Screening of Key Components for Melanogenesis Inhibition of Polygonum cuspidatum Extract Based on the Spectrum–Effect Relationship and Molecular Docking
Abstract
1. Introduction
2. Results
2.1. HPLC Fingerprint of 10 Batches of PC Extract
2.1.1. Analysis of the Chromatographic Fingerprint and Similarities
2.1.2. Method Validation of Fingerprint Analysis
2.2. Effect of Different Extracts on Whitening Activity
2.2.1. Cell Viability Evaluation of Different Extracts
2.2.2. The Inhibition Effect of Different Extracts on Intracellular TYR
2.3. Analysis of Spectrum–Effect Relationships
2.3.1. Pearson’s Correlation Analysis
2.3.2. Gray Correlation Analysis (GRA)
2.3.3. Orthogonal Partial Least Squares Regression Analysis (OPLSR)
2.3.4. Comprehensive Statistical Analysis
2.4. Activity Verification of Effect-Related Compounds
2.4.1. In Vitro Cytotoxicity of Effect-Related Components on B16F10 Cells
2.4.2. TYR Activity and Melanogenesis
2.5. The Regulation Mechanism of Melanogenesis in B16F10 Cells
2.5.1. Molecular Docking Simulations of Three Components Interaction with TYR, TYRP-1, DCT and MITF
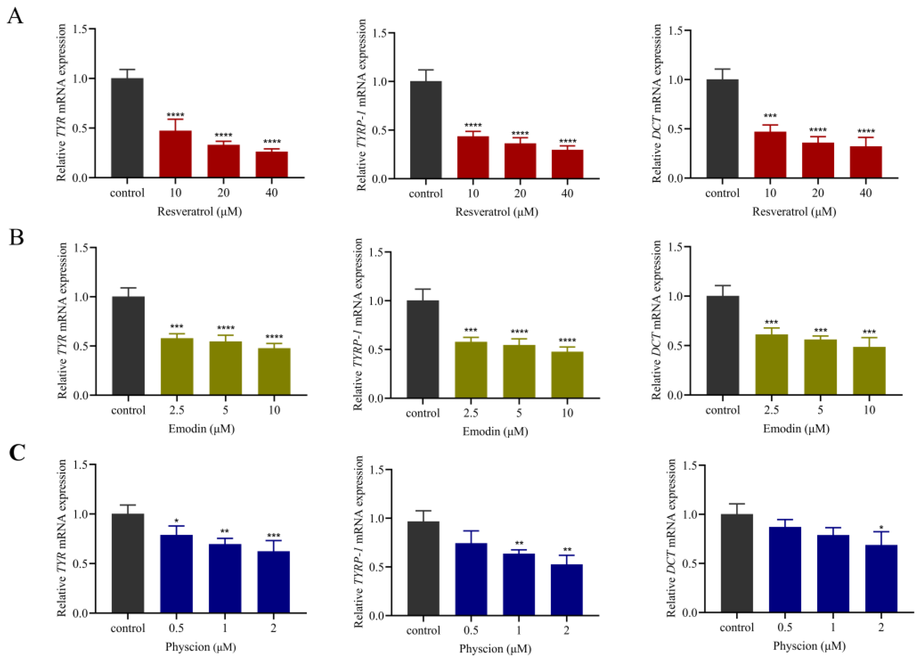
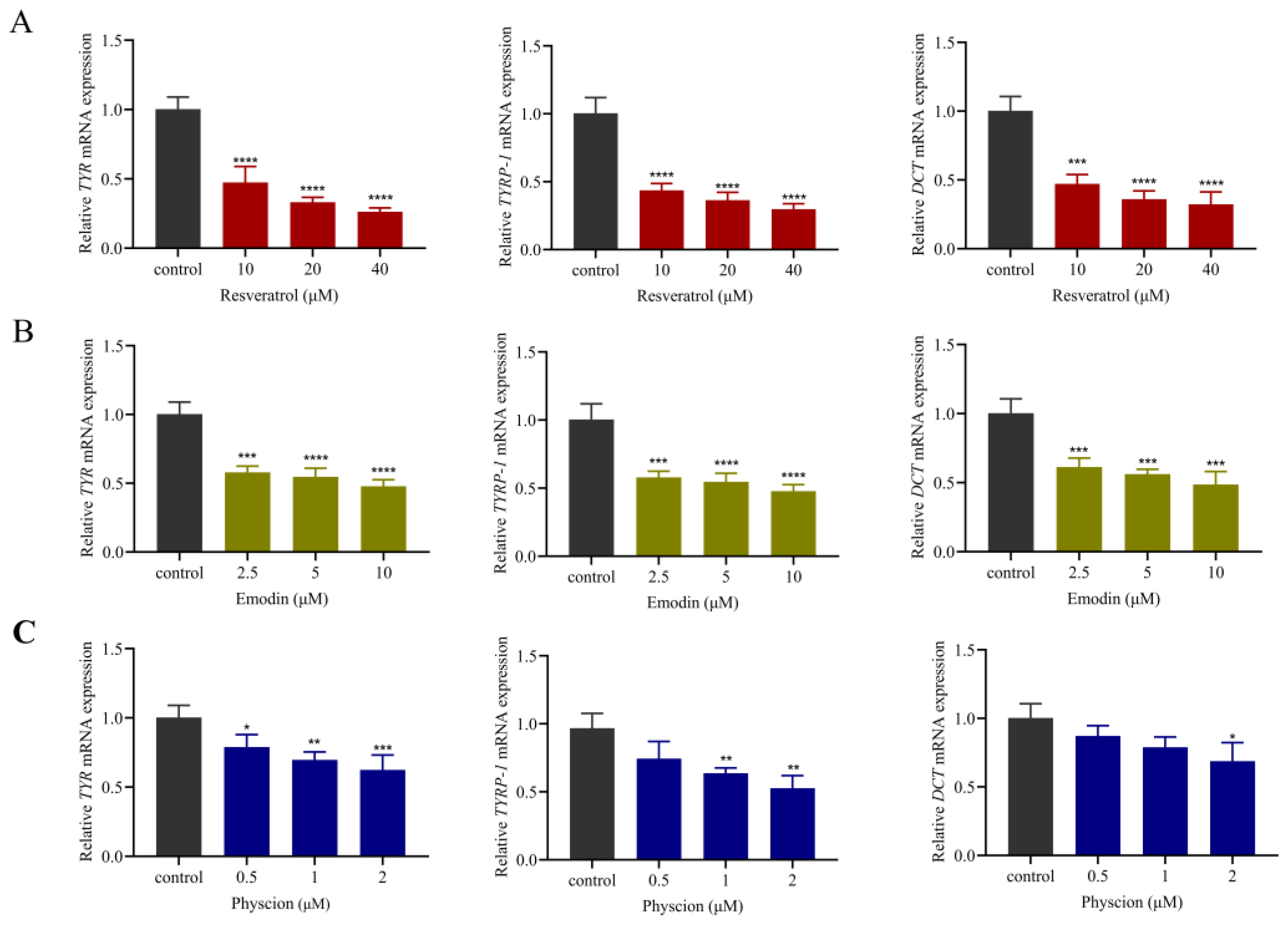
2.5.2. Down-Regulation of Both Transcripts of Melanogenesis-Related Factors
3. Discussion
4. Materials and Methods
4.1. Materials and Reagents
4.2. HPLC Fingerprint
4.2.1. Establishment of HPLC Condition
4.2.2. Preparation of Sample Solutions
4.2.3. Preparation of Standard Solutions
4.2.4. Validation of the Fingerprint Analysis Process
4.2.5. Similarity Analysis of Fingerprint
4.3. Pharmacodynamic Activity
4.3.1. Cell Culture
4.3.2. Cytotoxicity Analysis
4.3.3. Intracellular TYR Inhibition Rate Assay
4.4. Spectrum-Effect Relationships Analysis
4.4.1. Pearson’s Correlation Analysis
4.4.2. Gray Relational Analysis (GRA)
4.4.3. Orthogonal Partial Least Squares Regression Analysis (OPLSR)
4.5. Verifications of Predicted Active Substances’ In Vitro Activity
4.5.1. Intracellular TYR Inhibition Assay
4.5.2. Measurement of Melanin Level
4.6. Compound-Target Molecular Modeling
4.7. Gene Expression Analysis by qRT-PCR
4.8. Statistical Analysis
5. Conclusions
Author Contributions
Funding
Institutional Review Board Statement
Informed Consent Statement
Data Availability Statement
Acknowledgments
Conflicts of Interest
Abbreviations
| PC | Polygonum cuspidatum | TYR | tyrosinase |
| HPLC | high-performance liquid chromatography | TYRP-1 | tyrosinase-related protein 1 |
| GRA | gray correlation analysis | DCT | dopachrome tautomerase |
| CCK-8 | cell counting kit-8 | L-DOPA | levodopa |
| OPLSR | orthogonal partial least squares regression analysis | MITF | melanocyte-inducing transcription factor |
| PCR | polymerase chain reaction | TCM | traditional Chinese medicines |
| RSD | relative standard deviation | RPA | relative peak area |
| DMSO | dimethyl sulfoxide | FBS | fetal bovine serum |
| OD | optical density | RRT | relative retention time |
| cDNA | complementary DNA | VIP | very important person |
| UV | ultraviolet |
References
- D’Mello, S.A.; Finlay, G.J.; Baguley, B.C.; Askarian-Amiri, M.E. Signaling Pathways in Melanogenesis. Int. J. Mol. Sci. 2016, 17, 1144. [Google Scholar] [CrossRef]
- Qian, W.; Liu, W.; Zhu, D.; Cao, Y.; Tang, A.; Gong, G.; Su, H. Natural skin-whitening compounds for the treatment of melanogenesis (Review). Exp. Ther. Med. 2020, 20, 173–185. [Google Scholar] [CrossRef] [PubMed]
- Pillaiyar, T.; Manickam, M.; Jung, S.H. Recent development of signaling pathways inhibitors of melanogenesis. Cell. Signal. 2017, 40, 99–115. [Google Scholar] [CrossRef] [PubMed]
- Promden, W.; Viriyabancha, W.; Monthakantirat, O.; Umehara, K.; Noguchi, H.; De-Eknamkul, W. Correlation between the Potency of Flavonoids on Mushroom Tyrosinase Inhibitory Activity and Melanin Synthesis in Melanocytes. Molecules 2018, 23, 1403. [Google Scholar] [CrossRef] [PubMed]
- Pillaiyar, T.; Manickam, M.; Namasivayam, V. Skin whitening agents: Medicinal chemistry perspective of tyrosinase inhibitors. J. Enzyme Inhib. Med. Chem. 2017, 32, 403–425. [Google Scholar] [CrossRef] [PubMed]
- Enguita, F.J.; Leitão, A.L. Hydroquinone: Environmental pollution, toxicity, and microbial answers. Biomed. Res. Int. 2013, 2013, 542168. [Google Scholar] [CrossRef]
- Feng, D.; Fang, Z.; Zhang, P. The melanin inhibitory effect of plants and phytochemicals: A systematic review. Phytomedicine 2022, 107, 154449. [Google Scholar] [CrossRef] [PubMed]
- Liu, S.C.; Sheu, M.L.; Tsai, Y.C.; Lin, Y.C.; Chang, C.W.; Lai, D.W. Attenuation of in vitro and in vivo melanin synthesis using a Chinese herbal medicine through the inhibition of tyrosinase activity. Phytomedicine 2022, 95, 153876. [Google Scholar] [CrossRef]
- Kim, J.Y.; Lee, E.J.; Ahn, Y.; Park, S.; Kim, S.H.; Oh, S.H. A chemical compound from fruit extract of Juglans mandshurica inhibits melanogenesis through p-ERK-associated MITF degradation. Phytomedicine 2019, 57, 57–64. [Google Scholar] [CrossRef]
- Xiaowei, C.; Wei, W.; Hong, G.; Hui, C.; Xiaofei, Z.; Haonan, W.; Yumeng, W.; Xuelan, Z.; Chunchao, H. Review of Polygonatum sibiricum: A new natural cosmetic ingredient. Pharmazie 2019, 74, 513–519. [Google Scholar] [PubMed]
- Chen, J.; Huang, Q.; He, Z.; Tan, G.; Zou, Y.; Xie, J.; Qian, Z. Screening of Tyrosinase, Xanthine Oxidase, and α-Glucosidase Inhibitors from Polygoni Cuspidati Rhizoma et Radix by Ultrafiltration and HPLC Analysis. Molecules 2023, 28, 4170. [Google Scholar] [CrossRef]
- Lee, C.C.; Chen, Y.T.; Chiu, C.C.; Liao, W.T.; Liu, Y.C.; David Wang, H.M. Polygonum cuspidatum extracts as bioactive antioxidaion, anti-tyrosinase, immune stimulation and anticancer agents. J. Biosci. Bioeng. 2015, 119, 464–469. [Google Scholar] [CrossRef]
- Quinty, V.; Colas, C.; Nasreddine, R.; Nehmé, R.; Piot, C.; Draye, M.; Destandau, E.; Da Silva, D.; Chatel, G. Screening and Evaluation of Dermo-Cosmetic Activities of the Invasive Plant Species Polygonum cuspidatum. Plants 2022, 12, 83. [Google Scholar] [CrossRef] [PubMed]
- Eo, S.H.; Kim, S.J. Resveratrol-mediated inhibition of cyclooxygenase-2 in melanocytes suppresses melanogenesis through extracellular signal-regulated kinase 1/2 and phosphoinositide 3-kinase/Akt signalling. Eur. J. Pharmacol. 2019, 860, 172586. [Google Scholar] [CrossRef] [PubMed]
- Leu, Y.L.; Hwang, T.L.; Hu, J.W.; Fang, J.Y. Anthraquinones from Polygonum cuspidatum as tyrosinase inhibitors for dermal use. Phytother. Res. 2008, 22, 552–556. [Google Scholar] [CrossRef] [PubMed]
- Orhan, I.E.; Deniz, F.S.S. Inhibition of Melanogenesis by Some Well-Known Polyphenolics: A Review. Curr. Pharm. Biotechnol. 2021, 22, 1412–1423. [Google Scholar] [CrossRef] [PubMed]
- Zhu, J.; Ding, H.; Zhong, L.; Xin, W.; Yi, X.; Fang, L. Spectrum-Effect Relationship-Based Strategy Combined with Molecular Docking to Explore Bioactive Flavonoids from Sceptridium ternatum. Molecules 2022, 27, 5698. [Google Scholar] [CrossRef] [PubMed]
- Zhu, C.S.; Lin, Z.J.; Xiao, M.L.; Niu, H.J.; Zhang, B. The spectrum-effect relationship-a rational approach to screening effective compounds, reflecting the internal quality of Chinese herbal medicine. Chin. J. Nat. Med. 2016, 14, 177–184. [Google Scholar] [CrossRef]
- Rao, S.W.; Duan, Y.Y.; Pang, H.Q.; Xu, S.H.; Hu, S.Q.; Cheng, K.G.; Liang, D.; Shi, W. Spectrum-Effect Relationship Analysis of Bioactive Compounds in Zanthoxylum nitidum (Roxb.) DC. by Ultra-High Performance Liquid Chromatography Mass Spectrometry Coupled With Comprehensive Filtering Approaches. Front. Pharmacol. 2022, 13, 794277. [Google Scholar] [CrossRef] [PubMed]
- Pinzi, L.; Rastelli, G. Molecular Docking: Shifting Paradigms in Drug Discovery. Int. J. Mol. Sci. 2019, 20, 4331. [Google Scholar] [CrossRef] [PubMed]
- Ferreira, L.G.; Dos Santos, R.N.; Oliva, G.; Andricopulo, A.D. Molecular docking and structure-based drug design strategies. Molecules 2015, 20, 13384–13421. [Google Scholar] [CrossRef] [PubMed]
- Xiao, Y.; Shan, X.; Wang, H.; Hong, B.; Ge, Z.; Ma, J.; Li, Y.; Zhao, Y.; Ma, G.; Zhang, C. Spectrum-effect relationship between HPLC fingerprint and antioxidant of “San-Bai Decoction” extracts. J. Chromatogr. B Anal. Technol. Biomed. Life Sci. 2022, 1208, 123380. [Google Scholar] [CrossRef]
- Liu, J.; Cheng, A.; Wang, M.; Liu, M.; Zhu, D.; Yang, Q.; Wu, Y.; Jia, R.; Chen, S.; Zhao, X.; et al. Comparative genomics and metabolomics analysis of Riemerella anatipestifer strain CH-1 and CH-2. Sci. Rep. 2021, 11, 616. [Google Scholar] [CrossRef]
- Wang, H.; Su, D.; Wu, N.; Zhang, Y.-h. Mechanism of Tongfengshu Tablets in treatment of gout based on network pharmacology and molecular docking. Drugs Clin. 2022, 37, 952–960. (In Chinese) [Google Scholar]
- Huang, Y.; Yang, S.-s.; Lin, X.; Zhao, S.-j.; Wei, X.-y.; Fu, C.-m.; Zhang, Z. The mechanism of action of Fuzi-Lizhong pill in treatment of ulcerative colitis based on network pharmacology-molecular docking. Acta Pharm. Sin. 2020, 55, 1812–1822. (In Chinese) [Google Scholar]
- Wu, Q.Y.; Wong, Z.C.; Wang, C.; Fung, A.H.; Wong, E.O.; Chan, G.K.; Dong, T.T.; Chen, Y.; Tsim, K.W. Isoorientin derived from Gentiana veitchiorum Hemsl. flowers inhibits melanogenesis by down-regulating MITF-induced tyrosinase expression. Phytomedicine 2019, 57, 129–136. [Google Scholar] [CrossRef] [PubMed]
- Smit, N.; Vicanova, J.; Pavel, S. The hunt for natural skin whitening agents. Int. J. Mol. Sci. 2009, 10, 5326–5349. [Google Scholar] [CrossRef]
- Zhao, W.; Yang, A.; Wang, J.; Huang, D.; Deng, Y.; Zhang, X.; Qu, Q.; Ma, W.; Xiong, R.; Zhu, M.; et al. Potential application of natural bioactive compounds as skin-whitening agents: A review. J. Cosmet. Dermatol. 2022, 21, 6669–6687. [Google Scholar] [CrossRef] [PubMed]
- Ratz-Łyko, A.; Arct, J. Resveratrol as an active ingredient for cosmetic and dermatological applications: A review. J. Cosmet. Laser Ther. 2019, 21, 84–90. [Google Scholar] [CrossRef]
- Qiao, R.; Zhou, L.; Zhong, M.; Zhang, M.; Yang, L.; Yang, Y.; Chen, H.; Yang, W.; Yuan, J. Spectrum-effect relationship between UHPLC-Q-TOF/MS fingerprint and promoting gastrointestinal motility activity of Fructus aurantii based on multivariate statistical analysis. J. Ethnopharmacol. 2021, 279, 114366. [Google Scholar] [CrossRef]
- Chen, Y.; Zou, S.; Xu, W.; Sun, Q.; Yun, L. Spectrum-effect relationship of antioxidant and anti-inflammatory activities of Laportea bulbifera based on multivariate statistical analysis. Biomed. Chromatogr. 2020, 34, e4734. [Google Scholar] [CrossRef]
- Zhang, H.; Wei, Z.; Tong, Y.; Song, X.; Li, S.; Sun, Y.; Liu, C.; Han, F.; Yu, J. Spectrum-effect relationship study to reveal the pharmacodynamic substances in Flos Puerariae-Semen Hoveniae medicine pair for the treatment of alcohol-induced liver damage. J. Ethnopharmacol. 2023, 314, 116628. [Google Scholar] [CrossRef]
- Li, C.J.; Zhai, R.R.; Zhu, X.Y.; Guo, Z.F.; Yang, H. Discovery of effective combination from Renshen-Fuzi herbal pair against heart failure by spectrum-effect relationship analysis and zebrafish models. J. Ethnopharmacol. 2023, 317, 116832. [Google Scholar] [CrossRef] [PubMed]
- Wang, H.M.; Qu, L.Q.; Ng, J.P.L.; Zeng, W.; Yu, L.; Song, L.L.; Wong, V.K.W.; Xia, C.L.; Law, B.Y.K. Natural Citrus flavanone 5-demethylnobiletin stimulates melanogenesis through the activation of cAMP/CREB pathway in B16F10 cells. Phytomedicine 2022, 98, 153941. [Google Scholar] [CrossRef]
- Chang, Y.; Zhang, D.; Yang, G.; Zheng, Y.; Guo, L. Screening of Anti-Lipase Components of Artemisia argyi Leaves Based on Spectrum-Effect Relationships and HPLC-MS/MS. Front. Pharmacol. 2021, 12, 675396. [Google Scholar] [CrossRef]
- Qi, L.; Zhong, F.; Liu, N.; Wang, J.; Nie, K.; Tan, Y.; Ma, Y.; Xia, L. Characterization of the anti-AChE potential and alkaloids in Rhizoma Coptidis from different Coptis species combined with spectrum-effect relationship and molecular docking. Front. Plant Sci. 2022, 13, 1020309. [Google Scholar] [CrossRef] [PubMed]
- Jiang, Z.; Zhao, C.; Gong, X.; Sun, X.; Li, H.; Zhao, Y.; Zhou, X. Quantification and efficient discovery of quality control markers for Emilia prenanthoidea DC. by Fingerprint-Efficacy Relationship Modelling. J. Pharm. Biomed. Anal. 2018, 156, 36–44. [Google Scholar] [CrossRef] [PubMed]
- Wang, S.; Hua, Y.; Xu, L.; Zou, L.; Liu, X.; Luo, Y.; Liu, J.; Yan, Y. Quality Evaluation of Scrophulariae Radix Processed by Different ‘Sweating’ Methods Based on Simultaneous Determination of Multiple Bioactive Constituents Combined with Grey Relational Analysis. Molecules 2016, 21, 850. [Google Scholar] [CrossRef] [PubMed]
- Zhang, J.; Hou, A.; Dong, J.; Zheng, S.; Yu, H.; Wang, X.; Jiang, H.; Yang, L. Screening out key compounds of Glechomae Herba for antiurolithic activity and quality control based on spectrum-effect relationships coupled with UPLC-QDA. Biomed. Pharmacother. 2022, 149, 112829. [Google Scholar] [CrossRef]
- Trick, A.Y.; Chen, F.E.; Schares, J.A.; Freml, B.E.; Lor, P.; Yun, Y.; Wang, T.H. High resolution estimates of relative gene abundance with quantitative ratiometric regression PCR (qRR-PCR). Analyst 2021, 146, 6463–6469. [Google Scholar] [CrossRef] [PubMed]
- Rao, X.; Huang, X.; Zhou, Z.; Lin, X. An improvement of the 2^(−delta delta CT) method for quantitative real-time polymerase chain reaction data analysis. Biostat. Bioinform. Biomath. 2013, 3, 71–85. [Google Scholar]








| Peak NO. | RRT-RSD (%) | RPA-RSD (%) | ||||
|---|---|---|---|---|---|---|
| Precision | Repeatability | Stability | Precision | Repeatability | Stability | |
| 1 | 0.03% | 0.08% | 0.09% | 0.29% | 0.71% | 1.06% |
| 2 | 0.02% | 0.06% | 0.09% | 0.62% | 1.34% | 1.30% |
| 3 | 0.02% | 0.04% | 0.06% | 0.31% | 1.23% | 1.09% |
| 4 | 0.02% | 0.01% | 0.03% | 0.10% | 2.17% | 2.07% |
| 5 | 0.01% | 0.02% | 0.04% | 0.09% | 1.82% | 2.32% |
| 6 | 0.03% | 0.01% | 0.02% | 0.60% | 1.55% | 1.59% |
| 7 | 0 | 0 | 0 | 0 | 0 | 0 |
| 8 | 0.02% | 0.01% | 0.01% | 0.46% | 1.17% | 1.10% |
| 9 | 0.04% | 0.01% | 0.03% | 0.36% | 1.13% | 0.53% |
| 10 | 0.03% | 0.03% | 0.01% | 0.28% | 1.40% | 1.17% |
| 11 | 0.03% | 0.03% | 0.01% | 0.37% | 1.32% | 1.01% |
| Peak | Correlation Coefficient | p Value |
|---|---|---|
| P1 | −0.628 | 0.052 |
| P2 | 0.153 | 0.673 |
| P3 | −0.462 | 0.179 |
| P4 | −0.250 | 0.485 |
| P5 | −0.097 | 0.790 |
| P6 | −0.393 | 0.262 |
| P7 | 0.739 * | 0.015 |
| P8 | 0.162 | 0.656 |
| P9 | 0.427 | 0.218 |
| P10 | 0.704 * | 0.023 |
| P11 | 0.675 * | 0.032 |
| Peak | Correlation Degree | Ranking |
|---|---|---|
| P7 | 0.917 | 1 |
| P8 | 0.826 | 2 |
| P4 | 0.810 | 3 |
| P5 | 0.805 | 4 |
| P10 | 0.802 | 5 |
| P2 | 0.779 | 6 |
| P11 | 0.776 | 7 |
| P9 | 0.740 | 8 |
| P1 | 0.736 | 9 |
| P3 | 0.680 | 10 |
| P6 | 0.577 | 11 |
| No. | Origin | Lot. NO | Resveratrol Content |
|---|---|---|---|
| S1 | Hubei Yitai Biotechnology Co. | 221104 | ≥50% |
| S2 | Hubei Yitai Biotechnology Co. | 221113 | ≥50% |
| S3 | Shanxi MuMeng Biotechnology Co. | 221108 | 50% |
| S4 | Dongming Growth Biotechnology Co. | 221202 | ≥50% |
| S5 | Dongming Growth Biotechnology Co. | 221206 | ≥50% |
| S6 | Shanxi Ducheng Pharmaceutical Technology Co. | 220910 | ≥50% |
| S7 | Shanxi Baicao Xintian Biotechnology Co. | 221018 | 50% |
| S8 | Hubei Province Sanxin Biotechnology Co. | 221121 | ≥50% |
| S9 | Hubei Province Sanxin Biotechnology Co. | 221123 | ≥50% |
| S10 | Hubei Province Sanxin Biotechnology Co. | 221127 | ≥50% |
| Gene Name | Direction | Sequence |
|---|---|---|
| MITF | Forward | TGAAGCAAGAGCATTGGCTA |
| Reverse | TCCACAGAGGCCTTGAGAAT | |
| TYR | Forward | CCTCCTGGCAGATCATTTGT |
| Reverse | GGTTTTGGCTTTGTCATGGT | |
| TRP-1 | Forward | CTGCGATGTCTGCACTGA TGACTTG |
| Reverse | TTTCTCCTGATTGGTCCACCCTCAG | |
| TRP-2 | Forward | GGATGACCGTGAGCAATGGCC |
| Reverse | CGGTTGTGACCAATGGGTGCC | |
| GAPDH | Forward | GGCAAATTCAACGGCACAGTCAA |
| Reverse | GACATACTCAGCACCGGCCTCAC |
Disclaimer/Publisher’s Note: The statements, opinions and data contained in all publications are solely those of the individual author(s) and contributor(s) and not of MDPI and/or the editor(s). MDPI and/or the editor(s) disclaim responsibility for any injury to people or property resulting from any ideas, methods, instructions or products referred to in the content. |
© 2024 by the authors. Licensee MDPI, Basel, Switzerland. This article is an open access article distributed under the terms and conditions of the Creative Commons Attribution (CC BY) license (https://creativecommons.org/licenses/by/4.0/).
Share and Cite
Du, R.; Ye, L.; Chen, X.; Meng, Y.; Zhou, L.; Chen, Q.; Zheng, G.; Hu, J.; Shi, Z. Screening of Key Components for Melanogenesis Inhibition of Polygonum cuspidatum Extract Based on the Spectrum–Effect Relationship and Molecular Docking. Molecules 2024, 29, 857. https://doi.org/10.3390/molecules29040857
Du R, Ye L, Chen X, Meng Y, Zhou L, Chen Q, Zheng G, Hu J, Shi Z. Screening of Key Components for Melanogenesis Inhibition of Polygonum cuspidatum Extract Based on the Spectrum–Effect Relationship and Molecular Docking. Molecules. 2024; 29(4):857. https://doi.org/10.3390/molecules29040857
Chicago/Turabian StyleDu, Ruojun, Lichun Ye, Xinyan Chen, Yan Meng, Lei Zhou, Qiao Chen, Guohua Zheng, Junjie Hu, and Zhaohua Shi. 2024. "Screening of Key Components for Melanogenesis Inhibition of Polygonum cuspidatum Extract Based on the Spectrum–Effect Relationship and Molecular Docking" Molecules 29, no. 4: 857. https://doi.org/10.3390/molecules29040857
APA StyleDu, R., Ye, L., Chen, X., Meng, Y., Zhou, L., Chen, Q., Zheng, G., Hu, J., & Shi, Z. (2024). Screening of Key Components for Melanogenesis Inhibition of Polygonum cuspidatum Extract Based on the Spectrum–Effect Relationship and Molecular Docking. Molecules, 29(4), 857. https://doi.org/10.3390/molecules29040857
