Synthesis of 1,3,5-Triazepines and Benzo[f][1,3,5]triazepines and Their Biological Activity: Recent Advances and New Approaches
Abstract
1. Introduction
2. Synthesis of 1,3,5-Triazepines and Benzo[f][1,3,5]triazepines with Biological Activity
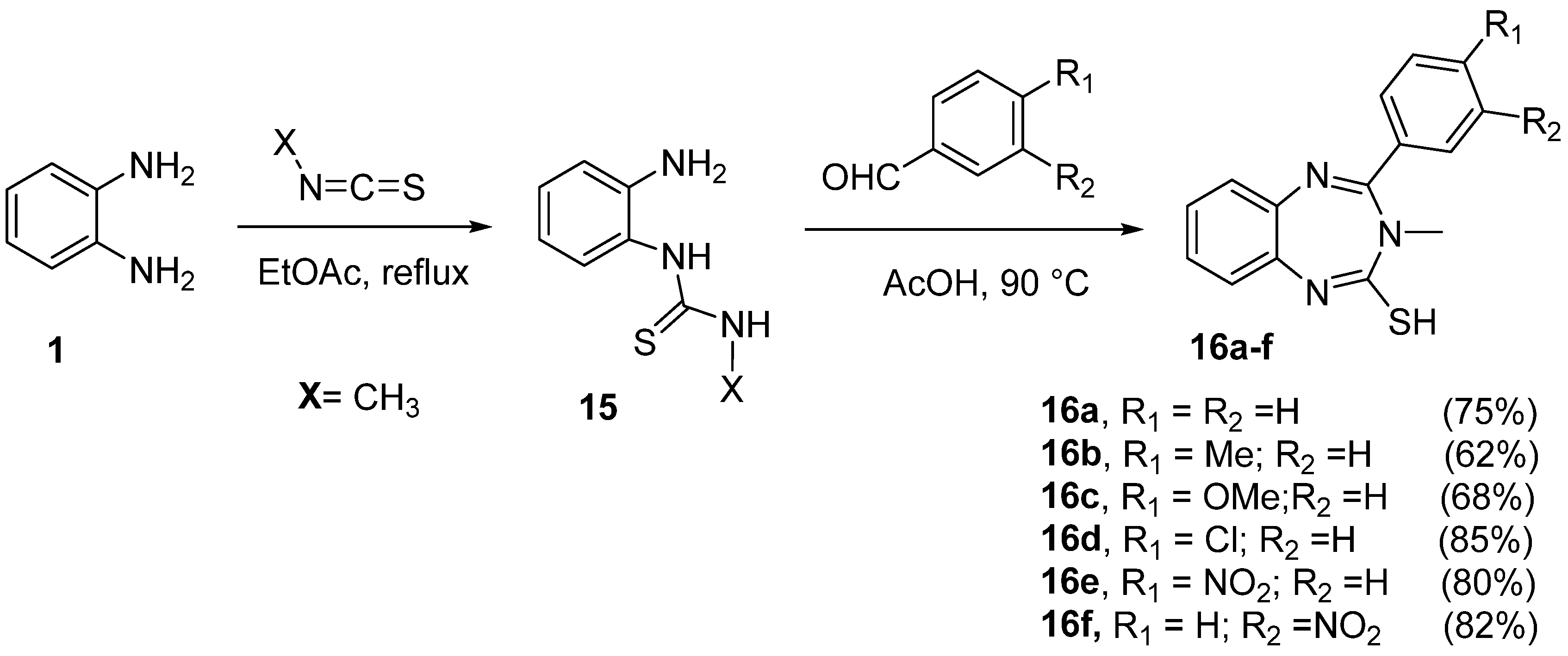
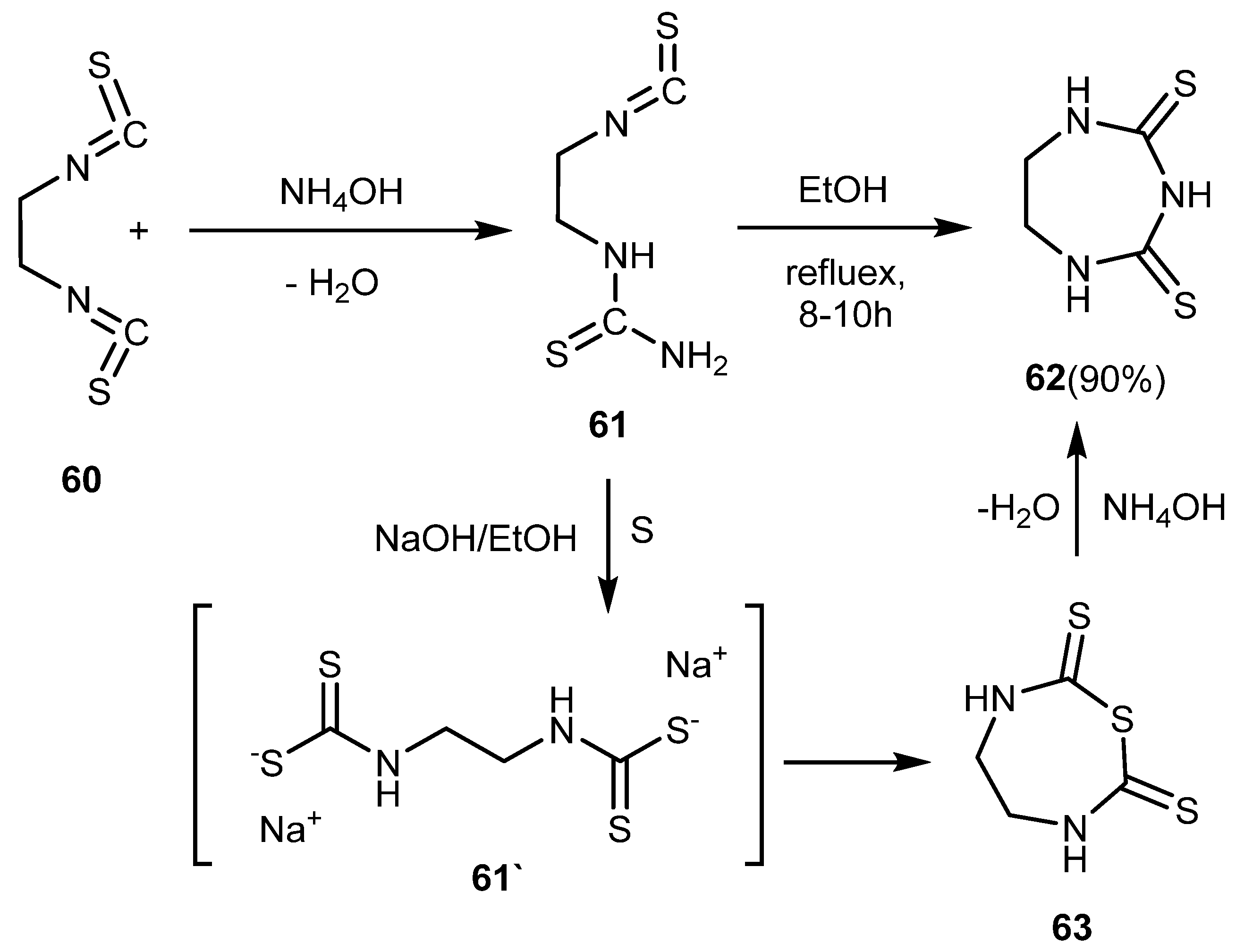
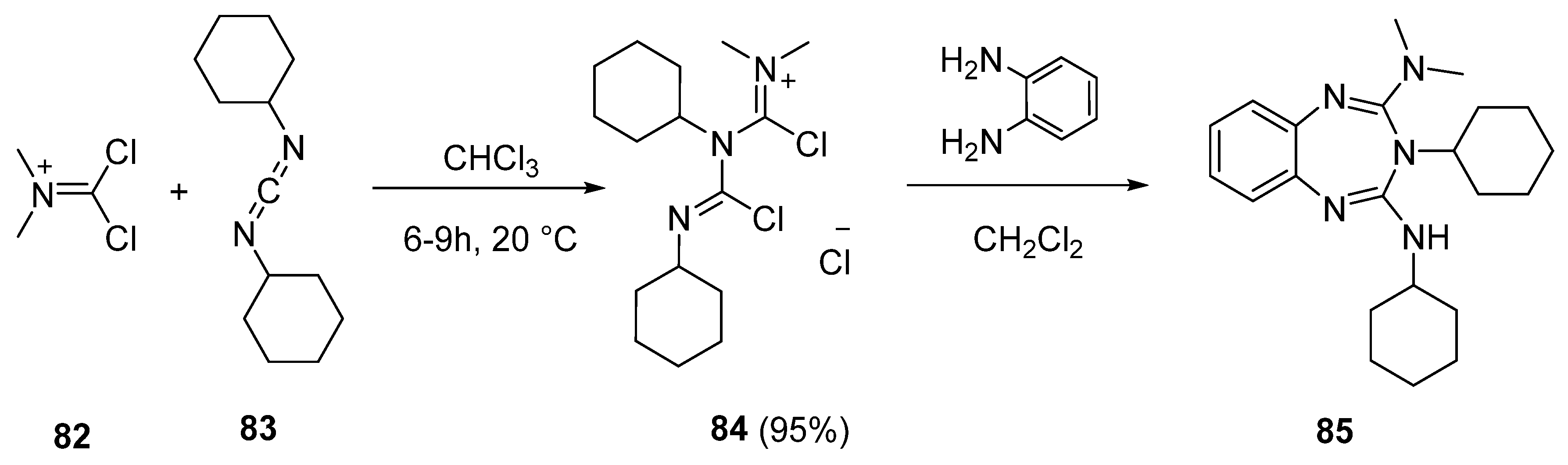
2.1. From o-Phenylenediamine
2.2. From 2-(Imidazolidin-2-ylideneamino) Aniline Derivatives
2.3. From 2-Aminobenzamide
2.4. From Carbonyl and Di-Carbonyl Compounds
2.5. From Pyridine N-Oxides and Imidazole Derivatives
2.6. From Active Methylene Compounds (Malononitrile Derivatives)
2.7. From Isothiocyanates Derivatives
2.8. From Pyrazole Derivatives
2.9. From Thiazole Derivatives
2.10. From Oxadiazole Derivatives
2.11. From Oxadiazepine Derivatives
2.12. From Hydrazine Hydrate and Hydrazonoyl Chloride Derivatives
2.13. From Carbohydrate (Monosaccharides) Derivatives
3. Summary of Biological Activity
4. Conclusions
Author Contributions
Funding
Institutional Review Board Statement
Informed Consent Statement
Data Availability Statement
Conflicts of Interest
Abbreviations
| Be[f][1,3,5]Tri | Benzo[f][1,3,5]triazepine |
| TriPy | Triazolopyrimidines |
| TEA | Triethylamine |
| THF | Tetrahydrofuran |
| DDQ | 2,3-dichloro-5,6-dicyano-1,2-benzoquinone |
| CDI | Carbonyldiimidazole |
| MCR | Multicomponent Reactions |
| DMSO | Dimethyl Sulfoxide |
| DMF | N,N-Dimethylformamide |
| TFA | Trifluoroacetic Acid |
| TBDMS | t-butyldimethylsilyl |
References
- Bellantuono, C.; Reggi, G.; Tognoni, G.; Garattini, S. Clinical Pharmacology and Therapeutic Use. Drugs 1980, 19, 195–219. [Google Scholar] [CrossRef]
- Bartsh, H.; Erker, T. Studies on the chemistry of O, N- and S, N-containing heterocycles. 3. Synthesis of 1,5-benzothiazepines with potential CNS activity. J. Heterocycl. Chem. 1988, 25, 1151–1154. [Google Scholar] [CrossRef]
- Basile, A.S.; Gammal, S.H.; Jones, E.A.; Skolnick, P. GABAA Receptor Complex in an Experimental Model of Hepatic Encephalopathy: Evidence for Elevated Levels of an Endogenous Benzodiazepine Receptor Ligand. J. Neurochem. 1989, 53, 1057–1063. [Google Scholar] [CrossRef]
- Zhou, M.; Song, R.; Li, J. Hexafluoroantimonic Acid Catalysis: Formal [3 + 2 + 2] Cycloaddition of Aziridines with Two Alkynes. Angew. Chem. Int. Ed. 2014, 126, 4280–4283. [Google Scholar] [CrossRef]
- Zhou, M.; Song, R.; Wang, C.; Li, J. Synthesis of Azepine Derivatives by Silver-Catalyzed [5 + 2] Cycloaddition of γ-Amino Ketones with Alkynes. Angew. Chem. Int. Ed. 2013, 52, 10805–10808. [Google Scholar] [CrossRef] [PubMed]
- Shu, X.-Z.; Li, X.; Shu, D.; Huang, S.; Schienebeck, C.M.; Zhou, X.; Robichaux, P.J.; Tang, W. Rhodium-Catalyzed Intra- and Intermolecular [5 + 2] Cycloaddition of 3-Acyloxy-1,4-enyne and Alkyne with Concomitant 1,2-Acyloxy Migration. J. Am. Chem. Soc. 2012, 134, 5211–5221. [Google Scholar] [CrossRef][Green Version]
- Gupta, M.; Paul, S.; Gupta, R. Efficient and novel one-pot synthesis of antifungal active 1-substituted-8-aryl-3-alkyl/aryl-4H-pyrazolo[4,5-f] [1,2,4] triazolo [4,3-b] [1,2,4] triazepines using solid support. Eur. J. Med. Chem. 2011, 46, 631–635. [Google Scholar] [CrossRef]
- Gupta, M. Efficient synthesis of antifungal active 9-substituted-3-aryl-5H,13aH-quinolino[3,2-f] [1,2,4] triazolo[4,3-b] [1,2,4] triazepines in ionic liquids. Bioorg. Med. Chem. Lett. 2011, 21, 4919–4923. [Google Scholar] [CrossRef]
- Esseffar, M.; Jalal, R.; El Messaoudi, M.; El Mouhtadi, M. AM1 theoretical study on the mechanism of 1,3-dipolar cycloaddition reaction of 1,2,4-triazepine and formonitrile oxide. J. Mol. Struct. 1998, 433, 301–309. [Google Scholar] [CrossRef]
- Rezessy, B.; Zubovics, Z.; Kovacs, J.; Toth, G. Synthesis and structure elucidation of new thiazolotriazepines. Tetrahedron 1999, 55, 5909–5922. [Google Scholar] [CrossRef]
- Sladowska, H.; Bodetko, M.; Sieklucka-Dziuba, M.; Rajtar, G.; Ziolkowska, D.; Kleinrok, Z. Transformation of some pyrido[2,3-d]-pyrimidine derivatives into other di- and triheterocyclic systems. Farmaco 1997, 52, 657–662. [Google Scholar] [CrossRef]
- Verardo, G.; Toniutti, N.; Gorassini, A.; Giumanini, A.G. New Heterocycles from the Reaction between Some Natural α-Amino Acid Hydrazides and Formaldehyde. Eur. J. Org. Chem. 1999, 11, 2943–2948. [Google Scholar] [CrossRef]
- Sewell, P.; Hawking, F.; Brit, F. Chemotherapy of experimental filariasis. Br. J. Pharmacol. Chemother. 1950, 5, 239–260. [Google Scholar] [CrossRef]
- Fischer, R.; Kunzle, F.M.; Schmutz, J.; Sandoz, A.G. Pyrrolobenzotriazepines. U.S. Patent 4,450,108, 22 May 1984. [Google Scholar]
- Kodato, S.-I.; Wada, H.; Saito, S.; Takeda, M.; Nishibata, Y.; Aoe, K.; Date, T.; Onoda, Y.; Tamaki, H. Synthesis of novel pyridotriazepinones as antisecretory agents. Chem. Pharm. Bull. 1987, 35, 80–89. [Google Scholar] [CrossRef] [PubMed]
- Fernández, P.; Guillen, M.I.; Gomar, F.; Aller, E.; Molina, P.; Alcaraz, M.J. A novel cyclo-oxygenase-2 inhibitor modulates catabolic and antiinflammatory mediators in osteoarthritis. Biochem. Pharmacol. 2004, 68, 417–421. [Google Scholar] [CrossRef] [PubMed]
- Shaxted, M.E.; Adatia, T.; Bashall, A. Achiral, selective CCK2 receptor antagonists based on a 1,3,5-benzotriazepine-2,4-dione template. Bioorg. Med. Chem. 2008, 16, 2974–2983. [Google Scholar] [CrossRef]
- Kaur, K.; Talele, T.T. 3D QSAR studies of 1,3,4-benzotriazepine derivatives as CCK2 receptor antagonists. J. Mol. Graph. Modell. 2008, 27, 409–420. [Google Scholar] [CrossRef]
- Mashevskaya, I.V.; Makhmudov, R.R.; Kuslina, L.V.; Mokrushin, I.G.; Shurov, S.N.; Maslivets, A.N. Synthesis and analgesic activity of the products of the interaction between 3-aroylpyrrolo[1,2-a]-quinoxaline-1,2,4(5H)-triones with benzoic acid hydrazides. Pharm. Chem. J. 2012, 45, 660–663. [Google Scholar] [CrossRef]
- Ibrahim, S.M.; Baraka, M.M.; El-Sabbagh, O.I.; Kothayer, H. Synthesis of new benzotriazepin-5(2H)-one derivatives of expected antipsychotic activity. Med. Chem. Res. 2013, 22, 1488–1496. [Google Scholar] [CrossRef]
- Chen, Q.; Zhu, X.L.; Jiang, L.L.; Liu, Z.M.; Yang, G.F. Synthesis, antifungal activity and CoMFA analysis of novel 1,2,4-triazolo[1,5-a] pyrimidine derivatives. Eur. J. Med. Chem. 2008, 43, 595–603. [Google Scholar] [CrossRef]
- Lee, H.W.; Kim, B.Y.; Ahn, J.B.; Kang, S.K.; Lee, J.H.; Shin, J.S.; Ahn, S.K.; Lee, S.J.; Yoon, S.S. Molecular design, synthesis, and hypoglycemic and hypolipidemic activities of novel pyrimidine derivatives having thiazolidinedione. Eur. J. Med. Chem. 2005, 40, 862–874. [Google Scholar] [CrossRef]
- Mohamed, T.; Rao, P.P.N. Design, synthesis, and evaluation of 2,4-disubstituted pyrimidines as cholinesterase inhibitors. Bioorg. Med. Chem. Lett. 2010, 20, 3606–3609. [Google Scholar] [CrossRef]
- Gala, D.; DiBenedetto, D.J.; Kugleman, M.; Puar, M.S. Pyrimidine to guanine PDE inhibitors: Determination of chemical course via structure elucidation. Tetrahedron Lett. 2003, 44, 2717–2720. [Google Scholar] [CrossRef]
- Mayasundari, A.; Fujii, N. Efficient formation of 4,6-disubstituted pyrrolo[2,3-d] pyrimidines: A novel route to TWS119, a glycogen synthase kinase-3β inhibitor. Tetrahedron Lett. 2010, 51, 3597–3598. [Google Scholar] [CrossRef]
- Angelucci, A.; Schenone, S.; Gravina, G.L.; Muzi, P.; Festuccia, C.; Vicentini, C.; Botta, M.; Bologna, M. Pyrazolo[3,4-d] pyrimidines c-Src inhibitors reduce epidermal growth factor-induced migration in prostate cancer cells. Eur. J. Cancer 2006, 42, 2838–2845. [Google Scholar] [CrossRef] [PubMed]
- Lokensgard, J.R.; Chao, C.C.; Gekker, G.; Hu, S.; Peterson, P.K. Benzodiazepines, glia, and HIV-1 neuropathogenesis. Mol. Neurobiol. 1998, 18, 23–33. [Google Scholar] [CrossRef] [PubMed]
- Gupta, M.B.; Nath, R.; Gupta, G.P.; Bhargava, K.P. A study of the anti-ulcer activity of diazepam and other tranquillosedatives in albino rats. Clin. Exp. Pharm. Physiol. 1985, 12, 61–66. [Google Scholar] [CrossRef] [PubMed]
- Thurston, D.E.; Bose, D.S. Synthesis of DNA-Interactive Pyrrolo[2,1-c][1,4]benzodiazepines. Chem. Rev. 1994, 94, 433–465. [Google Scholar] [CrossRef]
- Ochs, H.R.; Greenblatt, D.J.; Verburg-Ochs, B.; Locniskar, A. Comparative Single-Dose Kinetics of Oxazolam, Prazepam, and Clorazepate: Three Precursors of Desmethyl-diazepam. J. Clin. Pharmacol. 1984, 24, 446–451. [Google Scholar] [CrossRef]
- Lakatosh, S.A.; Luzikov, Y.N.; Preobrazhen-skaya, M.N. Synthesis of 6H-pyrrolo [3′,4′:2,3][1,4]diazepino[6,7,1-hi] indole-8,10(7H,9H)-diones using 3-bromo-4-(indol-1-yl) maleimide scaffold. Org. Biomol. Chem. 2003, 1, 826–833. [Google Scholar] [CrossRef]
- Curtis, M.P.; Dwight, W.; Pratt, J.; Cowart, M.; Es-benshade, T.A.; Kruger, K.M.; Fox, G.B.; Pan, J.B.; Pa-gano, T.G.; Hancock, A.A. D-Amino Acid Homopiperazine Amides: Discovery of A-320436, a Potent and Selective Non-Imidazole Histamine H3-Receptor Antagonist. Arch. Pharm. 2004, 337, 219–229. [Google Scholar] [CrossRef]
- Kato, S.; Harada, H.; Morie, T. Efficient synthesis of (6R)-6-amino-1-methyl-4-(3-methylbenzyl) hexahydro-1H-1,4-diazepine from methyl (2R)- and (2S)-1-benzyl-oxycarbonylaziridine-2-carboxylates. J. Chem. Soc. Perkin Trans. 1997, 21, 3219–3226. [Google Scholar] [CrossRef]
- Hirokawa, Y.; Fujiwara, I.; Suzuki, K.; Harada, H.; Yo-shikawa, T.; Yoshida, N.; Kato, S. Synthesis and Structure−Affinity Relationships of Novel N-(1-Ethyl-4-methylhexahydro-1,4-diazepin-6-yl) pyridine-3-carboxamides with Potent Serotonin 5-HT3 and Dopamine D2 Receptor Antagonistic Activity. J. Med. Chem. 2003, 46, 702–715. [Google Scholar] [CrossRef]
- Taillefumier, C.; Thielges, S.; Chapleur, Y. Anomeric spiroannelated 1,4-diazepine 2,5-diones from furano exo-glycals: Towards a new class of spironucleosides. Tetrahedron 2004, 60, 2213–2224. [Google Scholar] [CrossRef]
- Janin, Y.L.; Aubertin, A.M.; Chiaroni, A.; Riche, C.; Monneret, C.; Bisagani, E.; Grierson, D.S. Imidazo[1,5-g][1,4]diazepines, TIBO analogues lacking the phenyl ring: Synthesis and evaluation as anti-HIV agents. Tetrahedron 1996, 52, 15157–15170. [Google Scholar] [CrossRef]
- Levin, J.I.; Dijoseph, J.F.; Killar, L.M.; Sung, A.; Wal-ter, T.; Sharr, M.A.; Roth, C.E.; Skotnicki, J.S.; Al-bright, J.D. The synthesis and biological activity of a novel series of diazepine MMP inhibitors. Bioorg. Med. Chem. Lett. 1998, 8, 2657–2662. [Google Scholar] [CrossRef]
- Mibu, N.; Yukawa, M.; Kashige, N.; Iwase, Y.; Goto, Y.; Miake, F.; Yamaguchi, T.; Ito, S.; Sumoto, K. Synthesis and DNA strand breakage activity of some 1, 4-diazepines. Chem. Pharm. Bull. 2003, 51, 27–31. [Google Scholar] [CrossRef] [PubMed][Green Version]
- Ouvry, G. Recent applications of seven-membered rings in drug design. Bioorg. Med. Chem. 2022, 57, 116650. [Google Scholar] [CrossRef] [PubMed]
- Sawanishi, H.; Myamoto, K.; Muramatsu, H.; Murakami, R. Preparation of 1,3,5-Triazepine and 1,2,4-triazolo[3,4-b] [1,3,5] Triazepine Derivatives for Enhancement of Anticancer Agents. Japan Patent Number JP06073027, 15 March 1994. [Google Scholar]
- Seebacher, W.; Michl, G.; Weis, R. Synthesis of new triazepinethiones. Tetrahedron Lett. 2002, 43, 7481–7483. [Google Scholar] [CrossRef]
- Savel’eva, E.A.; Rozin, Y.A.; Kodess, M.I.; Van Meervelt, L.; Dehaen, W.; Morzherin, Y.Y.; Bakulev, V.A. Synthesis of mesoionic [1,2,3] triazolo[5,1-d] [1,2,5] triazepines. Tetrahedron 2004, 60, 5367–5372. [Google Scholar] [CrossRef]
- Abu-Hashem, A.A.; Yousif, M.N.M.; El-Gazzar, A.B.A.; Hafez, H.N. Synthesis, design, and antimicrobial activity of pyrido[2,3-d] [1,2,4] triazolo[4,3-a] pyrimidinones based on quinoline derivatives. J. Chin. Chem. Soc. 2023, 70, 2187–2205. [Google Scholar] [CrossRef]
- Abu-Hashem, A.A.; Al-Hussain, S.A. The Synthesis, Antimicrobial Activity, and Molecular Docking of New 1, 2, 4-Triazole, 1, 2, 4-Triazepine, Quinoline, and Pyrimidine Scaffolds Condensed to Naturally Occurring Furochromones. Pharmaceuticals 2022, 15, 1232. [Google Scholar] [CrossRef] [PubMed]
- Abu-Hashem, A.A.; Al-Hussain, S.A.; Zaki, M.E.A. Design, Synthesis and Anticancer Activity of New Polycyclic: Imidazole, Thiazine, Oxathiine, Pyrrolo-Quinoxaline and Thienotriazolopyrimidine Derivatives. Molecules 2021, 26, 2031. [Google Scholar] [CrossRef] [PubMed]
- Abu-Hashem, A.A.; Al-Hussain, S.A.; Zaki, M.E.A. 1,3,5-Triazines; 1,3,5-Oxadiazepines and Thiazolopyrimidines Derived from Visnaginone and Khellinone as Anti-Inflammatory and Analgesic Agents. Molecules 2020, 25, 220. [Google Scholar] [CrossRef] [PubMed]
- Abu-Hashem, A.A. Synthesis of New Furothiazolo Pyrimido Quinazolinones from Visnagenone or Khellinone and Antimicrobial Activity. Molecules 2018, 23, 2793. [Google Scholar] [CrossRef] [PubMed]
- Abu-Hashem, A.A.; Youssef, M.M. Synthesis of new visnagen and khellin furochromone pyrimidine derivatives and their anti-inflammatory and analgesic activity. Molecules 2011, 16, 1956–1972. [Google Scholar] [CrossRef]
- Abu-Hashem, A.A.; Abdelgawad, A.A.M.; Gouda, M.A. Vilsmeier-Haack Cyclisation as A Facile Synthetic Route to Thieno [2,3-b] quinolines (Part I). Lett. Org. Chem. 2023, 20, 197–220. [Google Scholar] [CrossRef]
- Abu-Hashem, A.A.; Abu-Zied, K.M.; Zaki, M.E.A.; El-Shehry, M.F.; Awad, H.M.; Khedr, M.A. Design, Synthesis, and Anticancer Potential of the Enzyme (PARP-1) Inhibitor with Computational Studies of New Triazole, Thiazolidinone, -Thieno[2,3-d] Pyrimidinones. Lett. Drug Des. Discov. 2020, 17, 799–819. [Google Scholar] [CrossRef]
- Abu-Hashem, A.A. Synthesis and Antimicrobial Activity of New 1,2,4-Triazole, 1,3,4-Oxadiazole, 1,3,4-Thiadiazole, Thiopyrane, Thiazolidinone, and Azepine Derivatives. J. Heterocycl. Chem. 2021, 58, 74–92. [Google Scholar] [CrossRef]
- Abu-Hashem, A.A. Synthesis of New Pyrazoles, Oxadiazoles, Triazoles, Pyrrolotriazines, and Pyrrolotriazepines as Potential Cytotoxic Agents. J. Heterocycl. Chem. 2021, 58, 805–821. [Google Scholar] [CrossRef]
- Abu-Hashem, A.A.; Gouda, M.A.; Badria, F.A. Design, Synthesis, and Identification of Novel Substituted Isothiochromene Analogs as Potential Antiviral and Cytotoxic Agents. Med. Chem. Res. 2018, 27, 2297–2311. [Google Scholar] [CrossRef]
- Timotou, A.; Adjou, A.; Say, M.; Drissa, D.; Toure, S.; Tea, G.; N’Guessan, Y. Novel synthesis of benzimidazole by Ring Contraction Rearrangement of benzodiazepine. Int. J. Biol. Chem. Sci. 2014, 7, 2568. [Google Scholar] [CrossRef][Green Version]
- Cellerin, C.; Pradere, J.P.; Danion, D.; Tonnard, F. Electrophilic reactivity of 2-aza-1-dimethylamino-3-methylthio-3-phenylpropeniminium iodide. Acad. Sci. Ser. II 1991, 313, 517–522. [Google Scholar]
- Chi, K.-W.; Kim, H.-A.; Furin, G.G.; Zhuzhgov, E.L.; Protzuk, N. The reaction of binucleophilic reagents containing 1,4-nucleophilic centers with perfluoro-2-methylpent-2-ene and perfluoro-5-azanon-4-ene. J. Fluor. Chem. 2001, 110, 11–20. [Google Scholar] [CrossRef]
- Okamoto, Y.; Ueda, T. Preparation and hydrolysis of 4-amino-1H-1,5-benzodiazepine-3-carbonitrile. Chem. Pharm. Bull. 1975, 23, 1391–1395. [Google Scholar] [CrossRef][Green Version]
- Okamoto, Y.; Ueda, T. Synthesis of 4-amino-1H-1,5-benzodiazepine-3-carbonitrile and related compounds. J. Chem. Soc. Chem. Commun. 1973, 11, 367. [Google Scholar] [CrossRef]
- Maruthikumar, T.V.; Rao, G.V.; Reddy, V.P.; Rao, P.H. Synthesis of 4-(substituted benzyl)-1H,3H-benzo[f]-1,3,5-triazepin-2-ones. Indian J. Chem. Sect. B Org. Chem. Incl. Med. Chem. 2011, 50B, 242–244. [Google Scholar]
- Babu, A.; Babu, V.; Hanumanthu, P. One-pot synthesis of 1,3,5-benzotriazepines. Synth. Commun. 2001, 31, 375–379. [Google Scholar] [CrossRef]
- Deohate, P.P.; Deohate, J.P.; Berad, B.N. Novel benzo-1,3,6-thiadiazepines; Synthesis, antimicrobial activity and isomerization into benzo-1,3,5-triazepines. Asian J. Chem. 2004, 16, 773–778. [Google Scholar]
- Ogura, H.; Takahashi, H.; Takeda, K. Studies on nucleoside analogs. XIX. Reaction of D-gluconyl isothiocyanate with diamines or enamines. Chem. Pharm. Bull. 1981, 29, 1832–1837. [Google Scholar] [CrossRef][Green Version]
- Sączewski, F.; Kobierska, E.; Tyacke, R.J.; Hudson, A.L.; Nutt, D.J.; Gdaniec, M. Synthesis of 2,3,5,6-tetrahydro-3H-imidazo[2,1-b] [1,3,5] benzotriazepines and their oxidative ring contraction into 1-(4,5-dihydro-1H-imidazol-2-yl)-1H-benzimidazoles. Il Farmaco 2005, 60, 127–134. [Google Scholar] [CrossRef]
- Gupta, P.; Sharma, A.; Sharma, R.L. A facile synthesis of 2-alkyl-3-α-carboxy-α-styryl/heterylvinyl quinazolin-4(3H)-ones and 3-arylidene/heterylmethylidene-4-aroyl-1H-[1,4]benzodiazepine-2,5(3H,4H)-diones and their transformation into novel heterocyclyl and heterocyclo analogues. J. Heterocycl. Chem. 2011, 49, 173–182. [Google Scholar] [CrossRef]
- Ruggiero-Lopez, D.; Lecomte, M.; Moinet, G.; Patereau, G.; Lagarde, M.; Wiernsperger, N. Reaction of metformin with dicarbonyl compounds. possible implication in the inhibition of advanced glycation end product formation. Biochem. Pharmacol. 1999, 58, 1765–1773. [Google Scholar] [CrossRef] [PubMed]
- Beisswenger, P.; Ruggiero-Lopez, D. Metformin inhibition of glycation processes. Diabetes Metab. 2003, 29, S95–S96. [Google Scholar] [CrossRef]
- Battah, S.; Ahmed, N.; Thornalley, P.J. Kinetics and mechanism of the reaction of metformin with methylglyoxal. Int. Congr. Ser. 2002, 1245, 355–356. [Google Scholar] [CrossRef]
- Zhiani, R.; Shahroudi, M.; Amarloo, F. Three-component and one-pot synthesis of 3-aryl-2,4-diselenoxo-1,3,5-triazepane-6,7-diones. J. Chem. Res. 2019, 43, 149–151. [Google Scholar] [CrossRef]
- Mahmoodi, N.O.; Mohammadi Zeydi, M.; Biazar, E. Ultrasound-promoted one-pot four-component synthesis of novel biologically active 3-aryl-2,4-dithioxo-1,3,5-triazepane-6,7-dione and their toxicity investigation. J. Sulfur Chem. 2016, 37, 613–621. [Google Scholar] [CrossRef]
- Yavari, I.; Mosaferi, S. Synthesis of 1,3,5-Triazepineselone Derivatives from Acyl Isoselenocyanates and Benzene-1,2-diamine. Helv. Chim. Acta 2016, 99, 130–132. [Google Scholar] [CrossRef]
- Kubik, M.; Reimschuessel, W. Synthesis and thermolysis of 1-alkyl-1,3,5-triazacyclo-heptane-2,4-diones. Bull. Acad. Pol. Sci. Ser. Sci. Chim. 1979, 27, 655–660. [Google Scholar]
- Anzai, M.; Suzuki, I.; Kamiya, S.; Nakashima, T.; Nakadate, M.; Nakamura, A.; Sueyoshi, S.; Tanno, M.; Miyahara, M. Antitumor effects of compounds synthesized in the department of synthetic chemistry. Eisei Shikenjo Hokoku 1976, 94, 148–159. [Google Scholar]
- Boehmer, W.; Herrmann, D. Reaction of alkyl thiocyanate with oxalylchloride. Justus Liebigs Ann. Chem. 1978, 10, 1704–1706. [Google Scholar]
- Thorn, G.D.; Ludwig, R.A. The aeration products of disodium ethylenebisdi-thiocarbamate. Can. J. Chem. 1954, 32, 872–879. [Google Scholar] [CrossRef]
- Lavergne, J.P.; Viallefont, P. Research in the azabenzodiazepine series. IV. 1-(3′-Triazinyl) ethylenediamines, synthetic intermediates for 7,8,9,10-tetrahydro-(2H) (6H)-as-triazino[2,3-c]-1,3,5-triazepines. Bull. Soc. Chim. Fr. 1976, 11–12, 1827–1828. [Google Scholar]
- Balewski, Ł.; Sączewski, F.; Gdaniec, M.; Bednarski, P.J.; Jara, I. Synthesis of N-(2-pyridyl) imidazolidin-2-ones and 1-(2-pyridyl)-2,3,7,8-tetrahydro-1H-imidazo[2,1-b] [1,3,5] triazepin-5(6H)-ones with potential biological activities. Heterocycl. Commun. 2013, 19, 331–341. [Google Scholar] [CrossRef]
- Wittekind, R.R.; Capiris, T.; Fahey, J.; Shavel, J. 1-(2-Imidazolin-2-yl)-2-imidazolines. I. Structure of Jaffe’s base and the chemistry of related compounds. J. Org. Chem. 1973, 38, 1641–1645. [Google Scholar] [CrossRef]
- Sheu, C.; Kang, P.; Khan, S.; Foote, C.S. Low-Temperature Photosensitized Oxidation of a Guanosine Derivative and Formation of an Imidazole Ring-Opened Product. J. Am. Chem. Soc. 2002, 124, 3905–3913. [Google Scholar] [CrossRef]
- Lorente, A.; Casillas, M. Syntheses of Imidazo[1,2-c] pyrimidines and 1,3,5-Triazepines from 2-Azabuta-1,3-dienes and 1,2-Diamines. Heterocycles 1996, 43, 1943–1950. [Google Scholar] [CrossRef]
- Elgavi, A.; Viehe, H.G. Iminium chemistry. 16. New reagents for the synthesis of heterocycles from carbodiimides and phosgeniminium salts. Angew. Chem. 1977, 89, 188. [Google Scholar] [CrossRef]
- Stankovský, S.; Dérer, T.; Spirková, K. Amidinoyl isothiocyanates in the synthesis of condensed heterocycles: Preparation of quinazolino[3,4-c] [1,3,5]-benzotriazepines and quinazolino[3,4-c] [1,2,3,5]-benzotetraazepines. Monatsh. Chem. 1993, 124, 733–738. [Google Scholar] [CrossRef]
- Anwer, K.E.; Sayed, G.H. Conventional and microwave reactions of 1,3-diaryl-5,4-enaminonitrile-pyrazole derivative with expected antimicrobial and anticancer activities. J. Heterocycl. Chem. 2020, 57, 2339–2353. [Google Scholar] [CrossRef]
- El-Helw, E.A.; Abdelrahman, A.M.; Fahmi, A.A.; Rizk, S.A. Synthesis, Density Functional Theory, Insecticidal Activity, and Molecular Docking of Some N-Heterocycles Derived from 2-((1,3-Diphenyl-1H-Pyrazol-4-yl) Methylene) Malonyl Diisothiocyanate. Polycycl. Aromat. Compd. 2022, 43, 8265–8281. [Google Scholar] [CrossRef]
- Deshmukh, M.V.; Deshpande, D.S. Synthesis of some benzothiazolobenzotriazepines. Org. Prep. Proced. Int. 1993, 25, 105–108. [Google Scholar] [CrossRef]
- Gogoi, P.C.; Kataky, J.S. Bridgehead nitrogen heterocycles. IV, Reactions of 3-acyl/aroyl-5-(2,4-dichlorophenyl)-1,3,4-oxadiazol-2 (3H) ones with diamines. Heterocycles 1991, 32, 237–244. [Google Scholar]
- Abu-Hashem, A.A.; Aly, A.S. Chemistry of new dimethyl-benzo, -1,3,6-oxadiazepine and 1,3,5-triazepine derivatives as anticancer agents. Synth. Commun. 2017, 47, 2417–2425. [Google Scholar] [CrossRef]
- Abu-Hashem, A.A.; El-Shazly, M. Synthesis and Antimicrobial Evaluation of Novel Triazole, Tetrazole, and Spiropyrimidine-Thiadiazole Derivatives. Polycycl. Aromat. Compd. 2021, 41, 478–497. [Google Scholar] [CrossRef]
- Ogura, H.; Takahashi, H. Production of Carbon Nucleoside Derivative. Japan Patent Number JP59216880A, 6 December 1984. [Google Scholar]







































| Compounds | Biological Activity | Bioactivity Test | Organism/Enzymes/Substrates | References |
|---|---|---|---|---|
| 18–19 | Antimicrobial activity | In vitro agar diffusion method | E. coli, S. aureus, S. typhi, B. subtilis, A. aerogenes, and A. niger | [61] |
| 109, 126–134, 136–139 | Antimicrobial activity | In vitro disc diffusion/micro dilution method | Bacteria: Rhodo pseudomonas fp., Bacillus cereus, Micrococcus luteus, E. coli (HD 701), and Salmonella typhi; fungi: Alternaria alternata, Aspergillus flavus, Candida albicans, and Curvularia lunata | [87] |
| 91–92 | Antibacterial activity | In vitro disc diffusion method | E. coli, P. Aeuroginosa, S. Aureus, and B. Subtilis | [82] |
| 62–63 | Antifungal activity | In vitro agar diffusion method | Many fungi such as Rhizopus | [74] |
| 94–95 | Insecticidal activity | In vitro | P. interpunctella, Nilaparvata lugens | [83] |
| 42–46 | Antihyperglycemic effect and reducing the formation of AGE | In vivo | Rats | [65,66,67] |
| Compounds | Biological Activity | Bioactivity Test | Organism/Enzymes/Substrates | References |
|---|---|---|---|---|
| 55′, 55 | Antitumor activity | In vitro cytotoxicity assay | AH-13 cells and L-1210 cells | [71,72] |
| 91–92 | Anticancer activity | In vitro cytotoxicity assay | HCT-116 and MCF-7 | [82] |
| IC50 (μM) = 91, 92, respectively | HCT-116 >100 μM, >100, respectively | MCF-7. 65.15 ± 3.7, 83.90 ± 4.6, respectively | ||
| 51a–g | Anticancer activity | In vitro cytotoxicity assay | MKN-45 gastric adenocarcinoma. Positive control = Paclitaxel drug (8.1 ± 0.02) | [69] |
| IC50 (μM) = 51a, 51b, 51c, 51d, 51e, 51f, 51g, respectively. | MKN-45 gastric 9.8 ± 0.01, 9.2 ± 0.02, 9.4 ± 0.01, 10 ± 0.01, 9.1 ± 0.01, 8.8 ± 0.01, 9.1 ± 0.01, respectively | |||
| 68a–g; 69a–g; 70a–g | Anticancer activity | In vitro cytotoxicity assay | LCLC-103H, 5637, and A-427 human cancer cell lines | [76] |
| IC50 (μM) = 68a, 68c, 68g, 68h, 68j, 68r, 68s, and 69i, 69l, and 70i, 70q, 70w, respectively. | LCLC-103H. 137.04 ± 27.2, 101.2 ± 7.2, 52.87 ± 5.35, 101.2 ± 6.4, 96.7 ± 20.3, 100.5 ± 8.8, 93.4 ± 9.3, 74.1 ± 13.8, 58.97 ± 16.98, 99.3 ± 14.1, 96.8 ± 4.2, and 91.3 ± 5.2, respectively | 5637. 129.44 ± 25.08, 95.9 ± 32.2, 87.6 ± 14.53, 126.8 ± 10.8, 23.9 ± 13.2, 130.3 ± 11.3, 124.3 ± 46.7, 25.9 ± 2.0, 82.9 ± 10.97, 86.5 ± 12.7, 57.6 ± 12.8, and 38.4 ± 4.7, respectively | A-427. 133.21 ± 24.14, 74.2 ± 7.3, 106.04 ± 1.6, 101.3 ± 6.7, 18.4 ± 7.7, 93.5 ± 27.7, 38.54 ± 9.8, 79.7 ± 13.3, 115.75 ± 13.72, 87.1 ± 20.1, 86.2 ± 22.1, and 38.4 ± 11.1, respectively | |
| 107–125 | Anticancer activity | Ehrlich in vitro assay | Cytotoxic evaluation Mortality (%) | [86] |
| 107, 109, 111, 113, 115, 117, 119, 121, 123, 125, respectively. | Mortality (%) 64.3 ± 0.034, 82.2 ± 0.001, 78.75 ± 0.022, 72.55 ± 0.024, 86.1 ± 0.002, 94.6 ± 0.004, 92.85 ± 0.008, 90.7 ± 0.045, 88.9 ± 0.003, and 96.5 ± 0.005, respectively |
Disclaimer/Publisher’s Note: The statements, opinions and data contained in all publications are solely those of the individual author(s) and contributor(s) and not of MDPI and/or the editor(s). MDPI and/or the editor(s) disclaim responsibility for any injury to people or property resulting from any ideas, methods, instructions or products referred to in the content. |
© 2024 by the authors. Licensee MDPI, Basel, Switzerland. This article is an open access article distributed under the terms and conditions of the Creative Commons Attribution (CC BY) license (https://creativecommons.org/licenses/by/4.0/).
Share and Cite
Abu-Hashem, A.A.; Hakami, O.; Amri, N.; Mukhrish, Y.E.; Abdelgawad, A.A.M. Synthesis of 1,3,5-Triazepines and Benzo[f][1,3,5]triazepines and Their Biological Activity: Recent Advances and New Approaches. Molecules 2024, 29, 632. https://doi.org/10.3390/molecules29030632
Abu-Hashem AA, Hakami O, Amri N, Mukhrish YE, Abdelgawad AAM. Synthesis of 1,3,5-Triazepines and Benzo[f][1,3,5]triazepines and Their Biological Activity: Recent Advances and New Approaches. Molecules. 2024; 29(3):632. https://doi.org/10.3390/molecules29030632
Chicago/Turabian StyleAbu-Hashem, Ameen Ali, Othman Hakami, Nasser Amri, Yousef E. Mukhrish, and Ahmed A. M. Abdelgawad. 2024. "Synthesis of 1,3,5-Triazepines and Benzo[f][1,3,5]triazepines and Their Biological Activity: Recent Advances and New Approaches" Molecules 29, no. 3: 632. https://doi.org/10.3390/molecules29030632
APA StyleAbu-Hashem, A. A., Hakami, O., Amri, N., Mukhrish, Y. E., & Abdelgawad, A. A. M. (2024). Synthesis of 1,3,5-Triazepines and Benzo[f][1,3,5]triazepines and Their Biological Activity: Recent Advances and New Approaches. Molecules, 29(3), 632. https://doi.org/10.3390/molecules29030632

