New Chloroprene Rubber/Styrene–Butadiene Rubber (CR/SBR) Blends Cross-Linked with Tin(II) Oxide (SnO): Curing Characteristics, Swelling Studies, Mechanical Properties, and Flame Resistance
Abstract
1. Introduction
- Reactions between two elastomers activated by a low-molecular substance that is not involved in the formation of cross-links;
- Reactions between two elastomers activated by a low-molecular substance that participates in the formation of cross-links;
- Reactions without the participation of cross-linking substances.
2. Results and Discussion
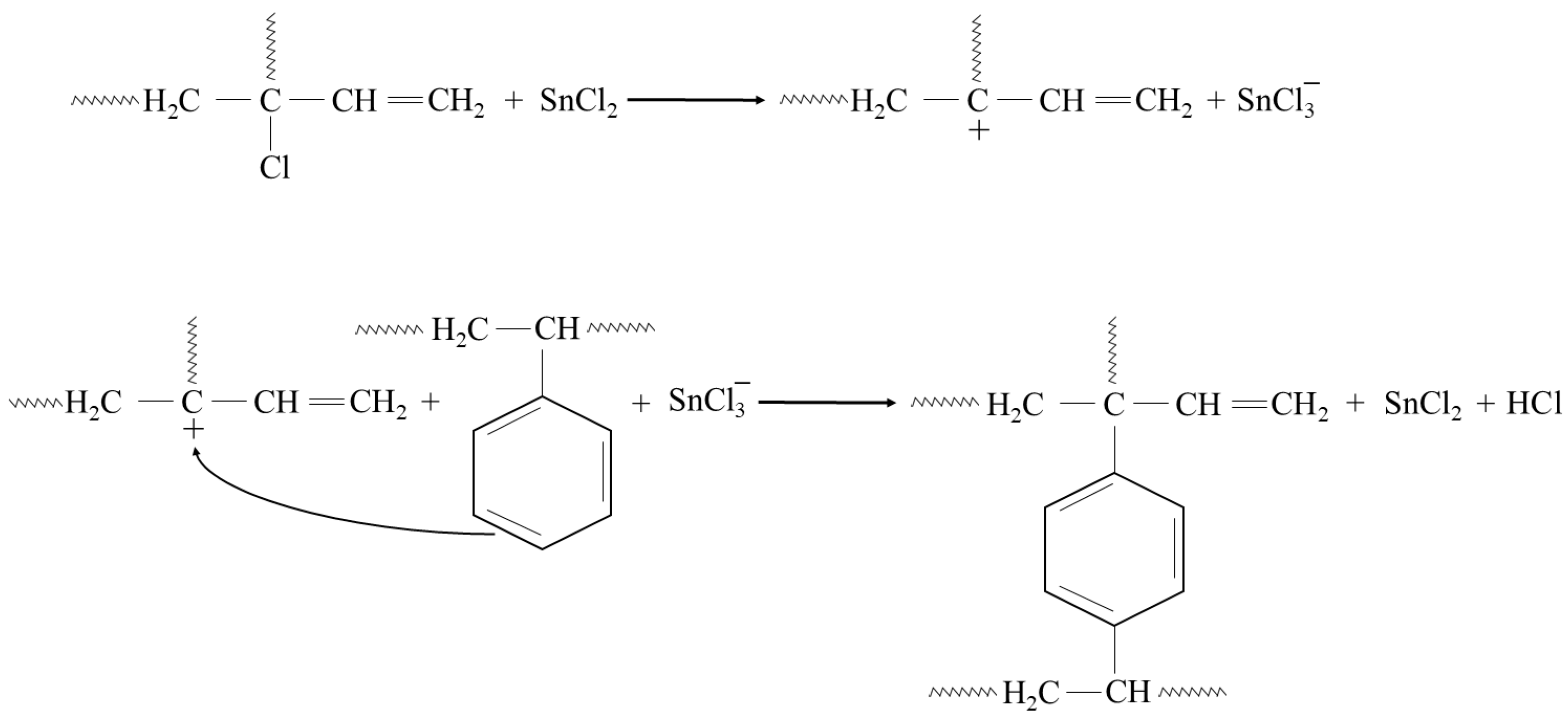
2.1. Cross-Linking Mechanism of CR/SBR Composites in the Presence of Tin(II) Oxide
2.2. Effect of Tin(II) Oxide on Structure and Dispersion of CR/SBR Blends
2.3. Effect of SnO on Cross-Linking and Properties of CR/SBR Blends
2.3.1. Degree of Cross-Linking of CR/SBR Composites Determined by Vulcametric and Swelling Properties
2.3.2. Mechanical Properties of Cured CR/SBR Blends Before and After Thermo-Oxidative Aging
2.4. Effect of Tin(II) Oxide Amount on Cross-Linking and Properties CR/SBR Blend
2.4.1. Evaluation of Tin(II) Oxide Quantity on Vulcametric and Swelling Properties
2.4.2. Effect Amount of Tin(II) Oxide on Mechanical Properties of CR/SBR Vulcanizates
2.5. Flame Resistance of CR/SBR/SnO Vulcanizates
2.6. Multivariate Regression Analysis of Selected Parameters of Tested CR/SBR/SnO Composites
3. Materials and Methods
3.1. Materials
3.2. Method of Testing
3.3. Statistical Analysis
3.4. Procedure of Investigation
4. Conclusions
Author Contributions
Funding
Institutional Review Board Statement
Informed Consent Statement
Data Availability Statement
Conflicts of Interest
References
- Posadas, P.; Malmierca, M.A.; Gonzalez-Jimenez, A.; Ibarra, L.; Rodriguez, A.; Valentin, J.L.; Nagaoka, T.; Yajima, H.; Toki, S.; Che, J.; et al. ESR Investigation of NR and IR Rubber Vulcanized with Different Cross-Link Agents. Express Polym. Lett. 2016, 10, 2–14. [Google Scholar] [CrossRef]
- Das, A.; Basu, D.K. Evaluation of Physical and Dielectric Properties of Chloroprene and Styrene Butadiene Rubber Blends. J. Appl. Polym. Sci. 2005, 96, 1492–1504. [Google Scholar] [CrossRef]
- Rao, V.; Johns, J. Mechanical Properties of Thermoplastic Elastomeric Blends of Chitosan and Natural Rubber Latex. J. Appl. Polym. Sci. 2008, 107, 2217–2223. [Google Scholar] [CrossRef]
- Idumah, C.I. Recent Advancements in Self-Healing Polymers, Polymer Blends, and Nanocomposites. Polym. Polym. Compos. 2021, 29, 246–258. [Google Scholar] [CrossRef]
- Nihmath, A.; Ramesan, M.T. Development of Novel Elastomeric Blends Derived from Chlorinated Nitrile Rubber and Chlorinated Ethylene Propylene Diene Rubber. Polym. Test. 2020, 89, 106728. [Google Scholar] [CrossRef]
- Kaliyathan, A.V.; Rane, A.V.; Huskic, M.; Kunaver, M.; Kalarikkal, N.; Rouxel, D.; Thomas, S. Carbon Black Distribution in Natural Rubber/Butadiene Rubber Blend Composites: Distribution Driven by Morphology. Compos. Sci. Technol. 2020, 200, 108484. [Google Scholar] [CrossRef]
- Eslami, Z.; Mirzapour, M. Compatibilizing Effect and Reinforcing Efficiency of Nanosilica on Ethylene-propylene Diene Monomer/Chloroprene Rubber Blends. Polym. Compos. 2021, 42, 1809–1817. [Google Scholar] [CrossRef]
- Anggaravidya, M.; Amry, A.; Arti, D.K.; Kalembang, E.; Susanto, H.; Hidayat, A.S.; Limansubroto, C.D. Properties of Natural Rubber/Chloroprene Rubber Blend for Rubber Fender Application: Effects of Blend Ratio. Macromol. Symp. 2020, 391, 1900150. [Google Scholar] [CrossRef]
- Abdelsalam, A.A.; Araby, S.; El-Sabbagh, S.H.; Abdelmoneim, A.; Hassan, M.A. Effect of Carbon Black Loading on Mechanical and Rheological Properties of Natural Rubber/Styrene-Butadiene Rubber/Nitrile Butadiene Rubber Blends. J. Thermoplast. Compos. Mater. 2021, 34, 490–507. [Google Scholar] [CrossRef]
- Abdel-Hakim, A.; el-Mogy, S.A.; Abou-Kandil, A.I. Novel Modification of Styrene Butadiene Rubber/Acrylic Rubber Blends to Improve Mechanical, Dynamic Mechanical, and Swelling Behavior for Oil Sealing Applications. Polym. Polym. Compos. 2021, 29, S959–S968. [Google Scholar] [CrossRef]
- Bach, Q.-V.; Vu, C.M.; Vu, H.T. Effects of Co-Silanized Silica on the Mechanical Properties and Thermal Characteristics of Natural Rubber/Styrene-Butadiene Rubber Blend. Silicon 2020, 12, 1799–1809. [Google Scholar] [CrossRef]
- Zou, H.; Jing, Y.; Tu, J.; Shi, X.; Kadlcak, J.; Yong, Z.; Liu, S.; Liu, G. Investigation on the Mechanical Properties and Oil Resistance of Sulfur Cured Nitrile Rubber/Hydrogenated Nitrile Butadiene Rubber Blends. Polym. Eng. Sci. 2021, 61, 3050–3059. [Google Scholar] [CrossRef]
- Maria, H.J.; Thomas, M.G.; Morreale, M.; La Mantia, F.P.; Nzihou, A.; Joseph, K.; Rouxel, D.; Fernandes, S.C.M.; Kalarikkal, N.; Thomas, S. Gas Barrier, Rheological and Mechanical Properties of Immiscible Natural Rubber/Acrylonitrile Butadiene Rubber/Organoclay (NR/NBR/Organoclay) Blend Nanocomposites. Materials 2020, 13, 2654. [Google Scholar] [CrossRef] [PubMed]
- Abdelsalam, A.A.; Araby, S.; El-Sabbagh, S.H.; Abdelmoneim, A.; Hassan, M.A. A Comparative Study on Mechanical and Rheological Properties of Ternary Rubber Blends. Polym. Polym. Compos. 2021, 29, 15–28. [Google Scholar] [CrossRef]
- Hess, W.M.; Herd, C.R.; Vegvari, P.C. Characterization of Immiscible Elastomer Blends. Rubber Chem. Technol. 1993, 66, 329–375. [Google Scholar] [CrossRef]
- Luzi, F.; Torre, L.; Kenny, J.M.; Puglia, D. Bio- and Fossil-Based Polymeric Blends and Nanocomposites for Packaging: Structure–Property Relationship. Materials 2019, 12, 471. [Google Scholar] [CrossRef]
- Coran, A.Y. Vulcanization: Conventional and Dynamic. Rubber Chem. Technol. 1995, 68, 351–375. [Google Scholar] [CrossRef]
- Nakajima, N.; Harrell, E.R.; Seil, D.A. Energy Balance and Heat Transfer in Mixing of Elastomer Compounds with the Internal Mixer. Rubb. Chem. Technol. 1982, 55, 456–468. [Google Scholar] [CrossRef]
- Vayyaprontavida Kaliyathan, A.; Varghese, K.M.; Nair, A.S.; Thomas, S. Rubber–Rubber Blends: A Critical Review. Prog. Rubber Plast. Recycl. Technol. 2020, 36, 196–242. [Google Scholar] [CrossRef]
- Chanthot, P.; Kaeophimmueang, N.; Larpsuriyakul, P.; Pattamaprom, C. The Effect of Dynamic Vulcanization Systems on the Mechanical Properties and Phase Morphology of PLA/NR Reactive Blends. J. Polym. Res. 2021, 28, 34. [Google Scholar] [CrossRef]
- Vayyaprontavida Kaliyathan, A.; Rane, A.V.; Huskic, M.; Kanny, K.; Kunaver, M.; Kalarikkal, N.; Thomas, S. The Effect of Adding Carbon Black to Natural Rubber/Butadiene Rubber Blends on Curing, Morphological, and Mechanical Characteristics. J. Appl. Polym. Sci. 2022, 139, 51967. [Google Scholar] [CrossRef]
- Osaka, N.; Takeda, N.; Adachi, M.; Okufuji, M.; Osaka, R. Miscibility, Hierarchical Structures, and Enhanced Mechanical Properties of Acrylic Rubber by the Formation of a Chemically and Physically Crosslinked Partially Miscible Interpenetrating Polymer Network with Poly(Vinylidene Fluoride). Macromolecules 2023, 56, 1419–1433. [Google Scholar] [CrossRef]
- Wolska, B.; Rzymski, W.M. Use of in Situ Generated Lewis Acids in Crosslinking of Elastomers. Polimery 2004, 49, 514–521. [Google Scholar] [CrossRef]
- Coran, A.Y. Chemistry of the Vulcanization and Protection of Elastomers: A Review of the Achievements. J. Appl. Polym. Sci. 2003, 87, 24–30. [Google Scholar] [CrossRef]
- Rodgers, B.; Halasa, A. Compounding and Processing of Rubber/Rubber Blends. In Encyclopedia of Polymer Blends; Wiley: Hoboken, NJ, USA, 2011; pp. 163–206. [Google Scholar]
- Rzymski, W.M. Structural Conditions of Processing and Application of Elastomers. Polimery 2022, 46, 100–106. [Google Scholar] [CrossRef]
- Dibbanti, M.K.; Mauri, M.; Mauri, L.; Medaglia, G.; Simonutti, R. Probing Small Network Differences in Sulfur-cured Rubber Compounds by Combining Nuclear Magnetic Resonance and Swelling Methods. J. Appl. Polym. Sci. 2015, 132, 43. [Google Scholar] [CrossRef]
- Sperling, L.H. Introduction to Physical Polymer Science, 5th ed.; John Wiley & Sons: Hoboken, NJ, USA, 2015; ISBN 1119103746. [Google Scholar]
- Achalla, P.; McCormick, J.; Hodge, T.; Moreland, C.; Esnault, P.; Karim, A.; Raghavan, D. Characterization of Elastomeric Blends by Atomic Force Microscopy. J. Polym. Sci. B Polym. Phys. 2006, 44, 492–503. [Google Scholar] [CrossRef]
- Azrem, A.A.; Noriman, N.Z.; Razif, M.N.; Sam, S.T.; Saiful Nizwan, M.S. Physical and Morphological Properties of Styrene Butadiene Rubber/Recycled Chloroprene Rubber (SBR/CRr) Blends. Adv. Mater. Res. 2013, 795, 119–123. [Google Scholar] [CrossRef]
- Leyva-Porras, C.; Estrada-Moreno, I.A.; Piñón-Balderrama, C.I.; Flores-Gallardo, S.G.; Márquez-Lucero, A. Thermodynamic Parameters of Crosslinked Elastomers (BR, SBR and NBR) and Their Blends. Polymers 2024, 16, 351. [Google Scholar] [CrossRef]
- Shixaliyev, K.S.; Sadig, K.O. Theory and Practice of Obtaining Composite Materials Based on Polymer Blends. Theor. Appl. Sci. 2019, 72, 401–412. [Google Scholar] [CrossRef]
- Chasib, K.F.; Kadhim, B.M. Prediction of the Behavior for Polymer Blends Using Thermodynamic Model. Rec. Adv. Petrochem. Sci. 2019, 6, 555699. [Google Scholar]
- Ajitha, A.R.; Thomas, S. Introduction: Polymer blends, thermodynamics, miscibility, phase separation, and compatibilization. In Compatibilization of Polymer Blends; Elsevier: Amsterdam, The Netherlands, 2020; pp. 1–29. [Google Scholar]
- Leng, L.; Han, Q.-Y.; Wu, Y.-P. The Aging Properties and Phase Morphology of Silica Filled Silicone Rubber/Butadiene Rubber Composites. RSC Adv. 2020, 10, 20272–20278. [Google Scholar] [CrossRef]
- Zhao, H.; Xiang, Y.; Wu, L.; Gao, J. Effect of Compatibilizer on Properties of Chloroprene Rubber/Natural Rubber Blends. Polym. Bull. 2022, 35, 65–71. [Google Scholar] [CrossRef]
- Jin, J.; Noordermeer, J.W.M.; Blume, A.; Dierkes, W.K. Effect of SBR/BR Elastomer Blend Ratio on Filler and Vulcanization Characteristics of Silica Filled Tire Tread Compounds. Polym. Test. 2021, 99, 107212. [Google Scholar] [CrossRef]
- Tang, S.; Li, Z.; Sun, W.; Liu, Y.; Wang, J.; Wang, X.; Lin, J. Natural Rubber/Styrene–Butadiene Rubber Blend Composites Potentially Applied in Damping Bearings. Polymers 2024, 16, 1945. [Google Scholar] [CrossRef] [PubMed]
- Marković, G.; Marinović-Cincović, M.; Tanasić, L.; Jovanović, V.; Samaržija-Jovanović, S.; Vukić, N.; Budinski-Simendić, J. The Influence of Nano Silica Particles on Gamma-Irradiation Ageing of Elastomers Based on Chlorosulphonated Polyethylene and Acrylonitrile Butadiene Rubber. Russ. J. Phys. Chem. A 2011, 85, 2410–2415. [Google Scholar] [CrossRef]
- Rzymski, W.M.; Kmiotek, M. Interelastomer Reactions in Unconventional Elastomer Blends. Polimery 2007, 52, 511–516. [Google Scholar] [CrossRef]
- Estagy, S.; Movahed, S.O.; Yazdanbakhsh, S.; Nezhad, M.K. Study of the Friedel–Craft Co-Curing of Ethylene–Propylene–Diene Rubber and Styrene–Butadiene Rubber. Rubber Chem. Technol. 2016, 89, 540–556. [Google Scholar] [CrossRef]
- Smejda-Krzewicka, A.; Mrozowski, K.; Strzelec, K. Interelastomer Reactions Occurring during the Cross-Linking of Hydrogenated Acrylonitrile-Butadiene (HNBR) and Chloroprene (CR) Rubbers Blends in the Presence of Silver(I) Oxide (Ag2O) and Mechanical Properties of Cured Products. Materials 2023, 16, 4573. [Google Scholar] [CrossRef] [PubMed]
- Kobędza, P.; Smejda-Krzewicka, A.; Olejnik, A.; Strzelec, K. Flame Retardant and Durable Chloroprene Rubber and Styrene-Butadiene Rubber Blends Crosslinked with Copper(I) Oxide. Iran. Polym. J. 2021, 30, 149–165. [Google Scholar] [CrossRef]
- Smejda-Krzewicka, A.; Olejnik, A.; Strzelec, K. The Effect of Metal Oxide on the Cure, Morphology, Thermal and Mechanical Characteristics of Chloroprene and Butadiene Rubber Blends. Polym. Bull. 2020, 77, 4131–4146. [Google Scholar] [CrossRef]
- Smejda-Krzewicka, A.; Olejnik, A.; Strzelec, K. The Role of Iron(III) Oxide in Chloroprene and Butadiene Rubber Blends’ Cross-Linking, Structure, Thermal and Mechanical Characteristics. Iran. Polym. J. 2019, 28, 313–323. [Google Scholar] [CrossRef]
- Dmowska-Jasek, P.; Rzymski, W.M.; Koscista, E.; Bociong, K. A New Method of Styrene-Butadiene Rubber Curing Using in Situ Generated Lewis Acids. Polimery 2015, 61, 742–746. [Google Scholar] [CrossRef]
- Azizli, M.J.; Mokhtary, M.; Khonakdar, H.A.; Goodarzi, V. Hybrid Rubber Nanocomposites Based on XNBR/EPDM: Select the Best Dispersion Type from Different Nanofillers in the Presence of a Compatibilizer. J. Inorg. Organomet. Polym. Mater. 2020, 30, 2533–2550. [Google Scholar] [CrossRef]
- Sae-oui, P.; Sirisinha, C.; Hatthapanit, K. Effect of Blend Ratio on Aging, Oil and Ozone Resistance of Silica-Filled Chloroprene Rubber/Natural Rubber (CR/NR) Blends. Express Polym. Lett. 2007, 1, 8–14. [Google Scholar] [CrossRef]
- Ma, Y.; Yuan, X.; Jiang, R.; Liao, J.; Yu, R.; Chen, Y.; Liao, L. Molecular Dynamic and Dissipative Particle Dynamic Simulation on the Miscibility of NR/CR Blends. Polymers 2023, 15, 856. [Google Scholar] [CrossRef] [PubMed]
- Pöschl, M.; Sathi, S.G.; Stoček, R. Identifying the Co-Curing Effect of an Accelerated-Sulfur/Bismaleimide Combination on Natural Rubber/Halogenated Rubber Blends Using a Rubber Process Analyzer. Polymers 2021, 13, 4329. [Google Scholar] [CrossRef]
- Pöschl, M.; Gopi Sathi, S.; Stoček, R.; Kratina, O. Rheometer Evidences for the Co-Curing Effect of a Bismaleimide in Conjunction with the Accelerated Sulfur on Natural Rubber/Chloroprene Rubber Blends. Polymers 2021, 13, 1510. [Google Scholar] [CrossRef]
- Antony, P.; De, S.K.; van Duin, M. Self-Crosslinking Rubber/Rubber and Rubber/Thermoplastic Blends: A Review. Rubber Chem. Technol. 2001, 74, 376–408. [Google Scholar] [CrossRef]
- Alex, R.; De, P.P.; De, S.K. Self-Vulcanizable Rubber Blend System Based on Epoxidized Natural Rubber and Carboxylated Nitrile Rubber. J. Polym. Sci. C Polym. Lett. 1989, 27, 361–367. [Google Scholar] [CrossRef]
- Roychoudhury, A.; De, P.P.; Bhowmick, A.K.; De, S.K. Self-Crosslinkable Ternary Blend of Chlorosulphonated Polyethylene, Epoxidized Natural Rubber and Carboxylated Nitrile Rubber. Polymer 1992, 33, 4737–4740. [Google Scholar] [CrossRef]
- Ismail, H.; Hairunezam, H.M. The Effect of a Compatibilizer on Curing Characteristics, Mechanical Properties and Oil Resistance of Styrene Butadiene Rubber/Epoxidized Natural Rubber Blends. Eur. Polym. J. 2001, 37, 39–44. [Google Scholar] [CrossRef]
- Colmenero, J.; Arbe, A. Segmental Dynamics in Miscible Polymer Blends: Recent Results and Open Questions. Soft Matter. 2007, 3, 1474. [Google Scholar] [CrossRef]
- Pilipovic, A.; Sercer, M.; Kodvanj, J. Influence of Crosslinking Parameters on Mechanical Properties of Chloroprene Rubber. Trans. Famena 2010, 34, 57–70. [Google Scholar]
- Desai, H.; Hendrikse, K.G.; Woolard, C.D. Vulcanization of Polychloroprene Rubber. I. A Revised Cationic Mechanism for ZnO Crosslinking. J. Appl. Polym. Sci. 2007, 105, 865–876. [Google Scholar] [CrossRef]
- Jiang, J.; Zhai, J.; Kong, L.; Zhao, D.; Feng, Y. Flame Retardant Chloroprene Rubbers with High Tensile Strength and Elongation at Break via Dual Cross-Linked Networks. RSC Adv. 2022, 12, 27633–27640. [Google Scholar] [CrossRef]
- Juma, M.; Bafrnec, M. Experimental Determination of Rubber Curing Reaction Heat Using the Transient Heat Conduction Equation. Chem. Pap. 2004, 58, 29–32. [Google Scholar]
- Smejda-Krzewicka, A.; Słubik, A.; Strzelec, K.; Rybiński, P. Study on the Effect of Zinc on the Rheological, Mechanical and Thermal Properties and Fire Hazard of Unfilled and Filled CR/BR Vulcanizates. Polymers 2020, 12, 2904. [Google Scholar] [CrossRef] [PubMed]
- Setiyana, B.; Ismail, R.; Jamari, J.; Sugiyanto; Haryanto, I. Mechanical Properties Identification of Vulcanized Rubber by Using Mooney-Rivlin Method. In Proceedings of the 2nd Borobudur International Symposium on Science and Technology (BIS-STE 2020), Virtual, 18 November 2020; Atlantis Press: Dordrecht, The Netherlands, 2021; pp. 99–103. [Google Scholar]
- Yamashita, Y.; Uematsu, H.; Tanoue, S. Calculation of Strain Energy Density Function Using Ogden Model and Mooney–Rivlin Model Based on Biaxial Elongation Experiments of Silicone Rubber. Polymers 2023, 15, 2266. [Google Scholar] [CrossRef]
- Suethao, S.; Phongphanphanee, S.; Wong-ekkabut, J.; Smitthipong, W. The Relationship between the Morphology and Elasticity of Natural Rubber Foam Based on the Concentration of the Chemical Blowing Agent. Polymers 2021, 13, 1091. [Google Scholar] [CrossRef] [PubMed]
- Li, S.; Qin, F.; Peng, Q.; Liu, S.; Zhang, Z.; Zhang, D.; Liu, C.; Li, D.; Liu, J.; Qi, J.; et al. Van Der Waals Mixed Valence Tin Oxides for Perovskite Solar Cells as UV-Stable Electron Transport Materials. Nano Lett. 2020, 20, 8178–8184. [Google Scholar] [CrossRef] [PubMed]
- Jagiełowicz, P.E.; Połowniak, P.; Wiśniewska, K.; Wiśniewski, P.; Nieckarz, P.; Basara-Wiśniewska, W. Evaluation of Flammability by the Oxygen Index of Selected Composites Based on Epoxy Resin. Mechanik 2023, 59–62. [Google Scholar] [CrossRef]
- Yin, D.; Zhang, Y.; Zhang, Y.; Peng, Z. Effect of Methacrylic Acid on the Mechanical Properties of Peroxide-Cured SBR Vulcanizates Filled with Al(Oh)3. Polym. Polym. Compos. 2001, 9, 523–529. [Google Scholar] [CrossRef]
- PN-ISO 3417:1994; Oznaczanie przebiegu wulkanizacji za pomocą wulkametru z oscylującym rotorem. Polski Komitet Normalizacyjny: Warsaw, Poland, 1994.
- PN-ISO 37; Guma i Kauczuk Termoplastyczny—OZNACZANIE Właściwości Wytrzymałościowych Przy Rozciąganiu. Polski Komitet Normalizacyjny: Warsaw, Poland, 2007.
- Ślusarski, L.; Janowska, G.; Szkodzinski, A.; Niedomagała, M.; Harwazinski, A. System for Measuring the Oxygen Index of Plastics, Natural Materials or Rubber. Polish Patent No. PL 129411, 30 April 1987. [Google Scholar]
- Horcas, I.; Fernández, R.; Gómez-Rodríguez, J.M.; Colchero, J.; Gómez-Herrero, J.; Baro, A.M. WSXM: A Software for Scanning Probe Microscopy and a Tool for Nanotechnology. Rev. Sci. Instrum. 2007, 78, 013705. [Google Scholar] [CrossRef] [PubMed]
- European Union Risk Assessment Report. Available online: https://echa.europa.eu/documents/10162/cc20582a-d359-4722-8cb6-42f1736dc820 (accessed on 9 December 2024).























| CR/SBR (phr) | Tg CR | Tg SBR | Tonset | Tendset | ΔH |
|---|---|---|---|---|---|
| °C | °C | °C | °C | J/g | |
| 50/50 | −36.53 | −49.70 | 140 | 243 | 2.66 |
| 60/40 | −37.65 | −50.12 | 138 | 188 | 1.78 |
| 70/30 | −37.24 | −49.84 | 132 | 199 | 3.36 |
| 75/25 | −38.03 | −49.96 | 130 | 154 | 5.79 |
| 80/20 | −38.06 | 152 | 196 | 4.56 | |
| 90/10 | −35.95 | 125 | 198 | 3.74 | |
| 100/0 | −37.62 | - | 169 | 181 | 2.98 |
| Compositions of blends (phr) | ||||||||
| CR | 0 | 50 | 60 | 70 | 75 | 80 | 90 | 100 |
| SBR | 100 | 50 | 40 | 30 | 25 | 20 | 10 | 0 |
| Stearic acid | — | 0.5 | 0.6 | 0.7 | 0.75 | 0.8 | 0.9 | 1 |
| SnO | — | 1.20 | 1.44 | 1.68 | 1.80 | 1.92 | 2.16 | 2.40 |
| Vulcametric properties of blends | ||||||||
| t02 (min) | 1.9 | 2.5 | 2.0 | 2.1 | 1.9 | 1.8 | 1.6 | 1.9 |
| TM (dNm) | 13.0 | 10.2 | 9.4 | 9.1 | 9.3 | 9.0 | 9.3 | 9.9 |
| ΔT10 (dNm) | 1.3 | 6.7 | 8.0 | 8.9 | 10.0 | 10.8 | 11.9 | 13.6 |
| ΔT30 (dNm) | 1.5 | 9.0 | 10.7 | 12.5 | 14.4 | 16.3 | 18.7 | 21.1 |
| Swelling properties of vulcanizates | ||||||||
| QvT (mL/mL) | D | 11.41 ± 0.49 | 8.59 ± 0.42 | 6.70 ± 0.50 | 6.06 ± 0.30 | 6.14 ± 0.24 | 4.82 ± 0.06 | 3.63 ± 0.10 |
| QvM (mL/mL) | D | 1.80 ± 0.03 | 1.71 ± 0.01 | 1.59 ± 0.06 | 1.44 ± 0.03 | 1.43 ± 0.04 | 1.35 ± 0.03 | 1.22 ± 0.03 |
| QvH (mL/mL) | D | 0.46 ± 0.07 | 0.56 ± 0.01 | 0.40 ± 0.01 | 0.33 ± 0.01 | 0.29 ± 0.01 | 0.20 ± 0.01 | 0.50 ± 0.01 |
| WqT (mg/mg) | D | 0.51 ± 0.01 | 0.44 ± 0.01 | 0.33 ± 0.01 | 0.23 ± 0.02 | 0.18 ± 0.01 | 0.15 ± 0.01 | 0.13 ± 0.01 |
| WqM (mg/mg) | D | 0.17 ± 0.01 | 0.16 ± 0.01 | 0.15 ± 0.01 | 0.14 ± 0.02 | 0.15 ± 0.01 | 0.16 ± 0.01 | 0.15 ± 0.01 |
| WqtT (mg/mg) | D | 0.76 ± 0.01 | 0.66 ± 0.01 | 0.53 ± 0.01 | 0.42 ± 0.01 | 0.35 ± 0.01 | 0.24 ± 0.01 | 0.13 ± 0.01 |
| WqtM (mg/mg) | D | 0.17 ± 0.01 | 0.16 ± 0.01 | 0.16 ± 0.01 | 0.15 ± 0.01 | 0.15 ± 0.01 | 0.16 ± 0.01 | 0.15 ± 0.02 |
| Elasticity constants of vulcanizates | ||||||||
| 2C1 (kG/cm2) | — | 0.75 ± 0.08 | 1.12 ± 0.09 | 1.14 ± 0.25 | 1.19 ± 0.44 | 1.30 ± 0.05 | 1.41 ± 0.14 | 1.53 ± 0.17 |
| 2C2 (kG/cm2) | — | 1.32 ± 0.02 | 1.54 ± 0.16 | 2.02 ± 0.12 | 2.39 ± 0.32 | 3.01 ± 0.05 | 3.21 ± 0.08 | 3.37 ± 0.19 |
| Amount of CR (phr) | 50 | 60 | 70 | 75 | 80 | 90 | 100 |
|---|---|---|---|---|---|---|---|
| Mechanical properties before thermo-oxidative aging | |||||||
| Se100 (MPa) | 0.4 ± 0.1 | 0.4 ± 0.1 | 0.4 ± 0.1 | 0.5 ± 0.1 | 0.5 ± 0.1 | 0.5 ± 0.1 | 0.5 ± 0.1 |
| Se200 (MPa) | 0.5 ± 0.1 | 0.5 ± 0.1 | 0.5 ± 0.1 | 0.6 ± 0.1 | 0.6 ± 0.1 | 0.6 ± 0.1 | 0.7 ± 0.1 |
| Se300 (MPa) | 0.5 ± 0.1 | 0.6 ± 0.1 | 0.6 ± 0.1 | 0.8 ± 0.1 | 0.8 ± 0.1 | 0.7 ± 0.1 | 0.8 ± 0.1 |
| TSb (MPa) | 2.0 ± 0.1 | 3.1 ± 0.2 | 3.6 ± 0.3 | 5.0 ± 0.2 | 4.8 ± 0.3 | 5.2 ± 0.3 | 5.7 ± 0.2 |
| Eb (%) | 540 | 690 | >800 | >800 | >800 | >800 | >800 |
| Mechanical properties after thermo-oxidative aging (T = 343 K; t = 7 days) | |||||||
| Se100′ (MPa) | 0.4 ± 0.1 | 0.5 ± 0.1 | 0.5 ± 0.1 | 0.5 ± 0.1 | 0.5 ± 0.1 | 0.5 ± 0.1 | 0.7 ± 0.1 |
| Se200′ (MPa) | 0.5 ± 0.1 | 0.6 ± 0.1 | 0.6 ± 0.1 | 0.7 ± 0.1 | 0.7 ± 0.1 | 0.7 ± 0.1 | 1.1 ± 0.1 |
| Se300′ (MPa) | 0.6 ± 0.1 | 0.8 ± 0.1 | 0.7 ± 0.1 | 0.9 ± 0.1 | 0.8 ± 0.1 | 0.8 ± 0.1 | 1.4 ± 0.1 |
| TSb’ (MPa) | 3.0 ± 0.2 | 3.2 ± 0.1 | 3.3 ± 0.1 | 1.9 ± 0.4 | 2.3 ± 0.4 | 1.8 ± 0.5 | 1.4 ± 0.1 |
| Eb’ (%) | 460 | 580 | >800 | 703 ± 91 | >800 | 652 ± 98 | 285 ± 17 |
| Composites CR/SBR = 75/25 by wt. | ||||||
|---|---|---|---|---|---|---|
| Amount of SnO (phr) | 0.25 | 0.50 | 0.75 | 1.125 | 1.875 | 2.25 |
| Vulcamteric properties of blends | ||||||
| t02 (min) | 1.9 | 2.1 | 1.7 | 1.5 | 1.6 | 1.4 |
| TM (dNm) | 8.4 | 8.4 | 9.0 | 8.6 | 8.6 | 9.1 |
| ΔM10 (dNm) | 6.4 | 10.1 | 10.7 | 9.8 | 9.2 | 9.7 |
| ΔM30 (dNm) | 16.3 | 24.9 | 20.2 | 16.0 | 12.0 | 12.4 |
| Swelling properties of vulcanizates | ||||||
| QvT (mL/mL) | 6.11 ± 0.80 | 4.51 ± 0.03 | 4.83 ± 0.10 | 5.71 ± 0.31 | 6.31 ± 0.56 | 7.20 ± 0.76 |
| QvM (mL/mL) | 1.12 ± 0.05 | 0.75 ± 0.02 | 0.91 ± 0.07 | 1.25 ± 0.08 | 1.45 ± 0.06 | 1.52 ± 0.09 |
| QvH (mL/mL) | 0.33 ± 0.01 | 0.29 ± 0.01 | 0.31 ± 0.02 | 0.34 ± 0.01 | 0.36 ± 0.01 | 0.36 ± 0.01 |
| WqT (mg/mg) | 0.19 ± 0.01 | 0.11 ± 0.01 | 0.15 ± 0.01 | 0.23 ± 0.01 | 0.29 ± 0.01 | 0.29 ± 0.01 |
| WqM (mg/mg) | 0.14 ± 0.01 | 0.10 ± 0.01 | 0.12 ± 0.01 | 0.13 ± 0.01 | 0.14 ± 0.01 | 0.14 ± 0.02 |
| WqtT (mg/mg) | 0.39 ± 0.07 | 0.33 ± 0.01 | 0.23 ± 0.01 | 0.38 ± 0.01 | 0.50 ± 0.01 | 0.47 ± 0.01 |
| WqtM (mg/mg) | 0.15 ± 0.01 | 0.12 ± 0.01 | 0.12 ± 0.01 | 0.13 ± 0.01 | 0.15 ± 0.02 | 0.15 ± 0.01 |
| Parameter | Equation Coefficients | R2 | Adjusted R2 | |||
|---|---|---|---|---|---|---|
| ΔT10 | β0 | β1 | β2 | β3 | 0.999 | 0.874 |
| −2.6434 | 0.1645 | 0.0207 | 0.0593 | |||
| ΔT30 | β0 | β1 | β2 | β3 | 0.964 | 0.949 |
| −30.7765 | 0.5562 | 0.2607 | −0.8900 | |||
| QvT | β0 | β1 | β2 | β3 | 0.967 | 0.953 |
| 5.9670 | −0.0610 | 0.0945 | 1.5160 | |||
| QvM | β0 | β1 | β2 | β3 | 0.963 | 0.948 |
| −1.6750 | 0.0165 | 0.0409 | 0.5545 | |||
| WqT | β0 | β1 | β2 | β3 | 0.896 | 0.861 |
| −0.0619 | −0.0009 | 0.0097 | 0.0937 | |||
| TSb | β0 | β1 | β2 | β3 | 0.942 | 0.920 |
| 35.4285 | −0.2291 | −0.3694 | −3.1118 | |||
Disclaimer/Publisher’s Note: The statements, opinions and data contained in all publications are solely those of the individual author(s) and contributor(s) and not of MDPI and/or the editor(s). MDPI and/or the editor(s) disclaim responsibility for any injury to people or property resulting from any ideas, methods, instructions or products referred to in the content. |
© 2024 by the authors. Licensee MDPI, Basel, Switzerland. This article is an open access article distributed under the terms and conditions of the Creative Commons Attribution (CC BY) license (https://creativecommons.org/licenses/by/4.0/).
Share and Cite
Smejda-Krzewicka, A.; Mrozowski, K.; Strzelec, K. New Chloroprene Rubber/Styrene–Butadiene Rubber (CR/SBR) Blends Cross-Linked with Tin(II) Oxide (SnO): Curing Characteristics, Swelling Studies, Mechanical Properties, and Flame Resistance. Molecules 2024, 29, 6028. https://doi.org/10.3390/molecules29246028
Smejda-Krzewicka A, Mrozowski K, Strzelec K. New Chloroprene Rubber/Styrene–Butadiene Rubber (CR/SBR) Blends Cross-Linked with Tin(II) Oxide (SnO): Curing Characteristics, Swelling Studies, Mechanical Properties, and Flame Resistance. Molecules. 2024; 29(24):6028. https://doi.org/10.3390/molecules29246028
Chicago/Turabian StyleSmejda-Krzewicka, Aleksandra, Konrad Mrozowski, and Krzysztof Strzelec. 2024. "New Chloroprene Rubber/Styrene–Butadiene Rubber (CR/SBR) Blends Cross-Linked with Tin(II) Oxide (SnO): Curing Characteristics, Swelling Studies, Mechanical Properties, and Flame Resistance" Molecules 29, no. 24: 6028. https://doi.org/10.3390/molecules29246028
APA StyleSmejda-Krzewicka, A., Mrozowski, K., & Strzelec, K. (2024). New Chloroprene Rubber/Styrene–Butadiene Rubber (CR/SBR) Blends Cross-Linked with Tin(II) Oxide (SnO): Curing Characteristics, Swelling Studies, Mechanical Properties, and Flame Resistance. Molecules, 29(24), 6028. https://doi.org/10.3390/molecules29246028

