Spectroscopic Properties and Biological Activity of Fluphenazine Conjugates with Gold Nanoparticles
Abstract
1. Introduction
2. Results and Discussion
2.1. Physicochemical Characteristics of TC-AuNPs and FPZ-AuNP Conjugates
2.2. Spectroscopic Characteristics of FPZ and FPZ-AuNP Conjugates
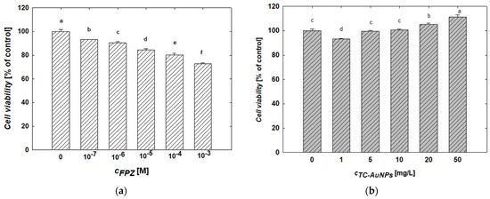
2.3. Biological Activity of FPZ, TC-AuNPs, and FPZ-AuNP Conjugates Towards SH-SY5Y Cell Line
3. Materials and Methods
3.1. Reagents
3.2. Cell Lines and Cell Culture Reagents
3.3. Synthesis of Gold Nanoparticles (TC-AuNPs) and Fluphenazine Conjugates with Gold Nanoparticles (FPZ-AuNPs)
3.4. Physicochemical Characteristics of TC-AuNPs and FPZ-AuNP Conjugates
3.5. Spectroscopic Characteristics of FZ-AuNP Conjugates
3.6. Determination of Cytotoxicity of TC-AuNPs and FPZ-AuNP Conjugates Towards SH-SY5Y Cell Line
3.7. Theoretical Calculations
3.8. Data Analysis
4. Conclusions
Supplementary Materials
Author Contributions
Funding
Institutional Review Board Statement
Informed Consent Statement
Data Availability Statement
Acknowledgments
Conflicts of Interest
References
- Duarte, D.; Vale, N. Antipsychotic Drug Fluphenazine against Human Cancer Cells. Biomolecules 2022, 12, 1360. [Google Scholar] [CrossRef] [PubMed]
- Zhang, Y.; Nguyen, D.T.; Olzomer, E.M.; Poon, G.P.; Cole, N.J.; Puvanendran, A.; Phillips, B.R.; Hesselson, D. Rescue of Pink1 Deficiency by Stress-Dependent Activation of Autophagy. Cell Chem. Biol. 2017, 24, 471–480. [Google Scholar] [CrossRef] [PubMed]
- Dysken, M.W.; Javaid, J.I.; Chang, S.S.; Schaffer, C.; Shahid, A.; Davis, J.M. Fluphenazine Pharmacokinetics and Therapeutic Response. Psychopharmacology 1981, 73, 205–210. [Google Scholar] [CrossRef] [PubMed]
- Porporato, P.E.; Payen, V.L.; Pérez-Escuredo, J.; De Saedeleer, C.J.; Danhier, P.; Copetti, T.; Dhup, S.; Tardy, M.; Vazeille, T.; Bouzin, C.; et al. A Mitochondrial Switch Promotes Tumor Metastasis. Cell Rep. 2014, 8, 754–766. [Google Scholar] [CrossRef] [PubMed]
- Aravagiri, M.; Marder, S.R.; Yuwiler, A.; Midha, K.K.; Kula, N.S.; Baldessarini, R.J. Distribution of Fluphenazine and Its Metabolites in Brain Regions and Other Tissues of the Rat. Neuropsychopharmacology 1995, 13, 235–247. [Google Scholar] [CrossRef]
- Voruganti, L.; Cortese, L.; Oyewumi, L.; Cernovsky, Z.; Zirul, S.; Awad, A. Comparative Evaluation of Conventional and Novel Antipsychotic Drugs with Reference to Their Subjective Tolerability, Side-Effect Profile and Impact on Quality of Life. Schizophr. Res. 2000, 43, 135–145. [Google Scholar] [CrossRef]
- Matar, H.E.; Almerie, M.Q.; Sampson, S.J. Fluphenazine (Oral) versus Placebo for Schizophrenia. Cochrane Database Syst. Rev. 2018, 2018, CD00635. [Google Scholar]
- Sampford, J.R.; Sampson, S.; Li, B.G.; Zhao, S.; Xia, J.; Furtado, V.A. Fluphenazine (Oral) versus Atypical Antipsychotics for Schizophrenia. Cochrane Database Syst. Rev. 2016, 2016, CD01083. [Google Scholar] [CrossRef]
- Rani Basu, L.; Mazumdar, K.; Dutta, N.K.; Karak, P.; Dastidar, S.G. Antibacterial Property of the Antipsychotic Agent Prochlorperazine, and Its Synergism with Methdilazine. Microbiol. Res. 2005, 160, 95–100. [Google Scholar] [CrossRef]
- Nehme, H.; Saulnier, P.; Ramadan, A.A.; Cassisa, V.; Guillet, C.; Eveillard, M.; Umerska, A. Antibacterial Activity of Antipsychotic Agents, Their Association with Lipid Nanocapsules and Its Impact on the Properties of the Nanocarriers and on Antibacterial Activity. PLoS ONE 2018, 13, e0189950. [Google Scholar] [CrossRef]
- Dastidar, S.G.; Kristiansen, J.E.; Molnar, J.; Amaral, L. Role of Phenothiazines and Structurally Similar Compounds of Plant Origin in the Fight against Infections by Drug Resistant Bacteria. Antibiotics 2013, 2, 58. [Google Scholar] [CrossRef] [PubMed]
- Grimsey, E.M.; Piddock, L.J.V. Do Phenothiazines Possess Antimicrobial and Efflux Inhibitory Properties? FEMS Microbiol. Rev. 2019, 43, 577–590. [Google Scholar] [CrossRef] [PubMed]
- Varga, B.; Csonka, Á.; Csonka, A.; Molnár, J.; Amaral, L.; Spengler, G. Possible Biological and Clinical Applications of Phenothiazines. Anticancer Res. 2017, 37, 5983–5993. [Google Scholar] [PubMed]
- Otręba, M.; Kośmider, L.; Rzepecka-Stojko, A. Antiviral Activity of Chlorpromazine, Fluphenazine, Perphenazine, Prochlorperazine, and Thioridazine towards RNA-Viruses. A Review. Eur. J. Pharmacol. 2020, 887, 173553. [Google Scholar] [CrossRef]
- Al-Otaibi, J.S.; Mary, Y.S.; Mary, Y.S.; Devi, R.N.; Soman, S. Experimental Spectra, Electronic Properties (Liquid and Gaseous Phases) and Activity against SARS-CoV-2 Main Protease of Fluphenazine Dihydrochloride: DFT and MD Simulations. J. Mol. Struct. 2022, 1267, 133633. [Google Scholar] [CrossRef]
- Aszalos, A. Phenothiazines in treatment of HIV infection (A review). Acta Microbiol. Immunol. Hung. 2003, 50, 43. [Google Scholar] [CrossRef]
- Menilli, L.; García-Argáez, A.N.; Via, L.D.; Miolo, G. The Neuroleptic Drug Fluphenazine Induces a Significant UVA-Mediated Cytotoxic Effect on Three Human Cancer Cell Lines through Apoptosis. Photochem. Photobiol. Sci. 2019, 18, 2232–2239. [Google Scholar] [CrossRef]
- Otręba, M.; Kośmider, L. In Vitro Anticancer Activity of Fluphenazine, Perphenazine and Prochlorperazine. A Review. J. Appl. Toxicol. 2021, 41, 82–94. [Google Scholar] [CrossRef]
- Falcao, S.I.; Durate, D.; Diallo, M.; Santos, J.; Riberio, E.; Vale, N.; Vilas-Boas, M. Improvement of the in vitro cytotoxic effect on HT-29 colon cancer cells by combining 5-fluorouracil and fluphenazine with green, red or brown propolis. Molecules 2023, 28, 3393. [Google Scholar] [CrossRef]
- González-Muñoz, G.C.; Arce, M.P.; López, B.; Pérez, C.; Villarroya, M.; López, M.G.; García, A.G.; Conde, S.; Rodríguez-Franco, M.I. Old Phenothiazine and Dibenzothiadiazepine Derivatives for Tomorrow’s Neuroprotective Therapies against Neurodegenerative Diseases. Eur. J. Med. Chem. 2010, 45, 6152–6158. [Google Scholar] [CrossRef]
- Motohashi, N.; Kawase, M.; Saito, S.; Sakagami, H. Antitumor Potential and Possible Targets of Phenothiazine-Related Compounds. Curr. Drug Targets 2000, 1, 237–245. [Google Scholar] [CrossRef] [PubMed]
- Mehrabi, S.F.; Elmi, S.; Nylandsted, J. Repurposing Phenothiazines for Cancer Therapy: Compromising Membrane Integrity in Cancer Cells. Front. Oncol. 2023, 13, 1320621. [Google Scholar] [CrossRef] [PubMed]
- Dunne, M.M.; Ramtoola, Z.; Corrigan, O.I. Fluphenazine Release from Biodegradable Microparticles: Characterization and Modelling of Release. J. Microencapsul. 2009, 26, 403–410. [Google Scholar] [CrossRef] [PubMed]
- Abu Ershaid, J.M.; Vora, L.K.; Volpe-Zanutto, F.; Sabri, A.H.; Peng, K.; Anjani, Q.K.; McKenna, P.E.; Ripolin, A.; Larrañeta, E.; McCarthy, H.O.; et al. Microneedle Array Patches for Sustained Delivery of Fluphenazine: A Micron Scale Approach for the Management of Schizophrenia. Biomater. Adv. 2023, 153, 213526. [Google Scholar] [CrossRef]
- Oliveira, A.E.F.; Pereira, A.C.; Resende, M.A.C.; Ferreira, L.F. Gold Nanoparticles: A Didactic Step-by-Step of the Synthesis Using the Turkevich Method, Mechanisms, and Characterizations. Analytica 2023, 4, 250–263. [Google Scholar] [CrossRef]
- Bubniene, U.; Oćwieja, M.; Bugelyte, B.; Adamczyk, Z.; Nattich-Rak, M.; Voronovic, J.; Ramanaviciene, A.; Ramanavicius, A. Deposition of Gold Nanoparticles on Mica Modified by Poly(Allylamine Hydrochloride) Monolayers. Colloids Surf. A Physicochem. Eng. Asp. 2014, 441, 204–210. [Google Scholar] [CrossRef]
- Gnacek, P.; Piergies, N.; Niemiec, P.; Kowalska, O.; Oćwieja, M. Spectroscopic Studies under Properties of Chlorpromazine Conjugated to Gold Nanoparticles. Spectrochim. Acta Part A Mol. Biomol. Spectrosc. 2024, 320, 124588. [Google Scholar] [CrossRef]
- Contreras-Trigo, B.; Díaz-García, V.; Guzmán-Gutierrez, E.; Sanhueza, I.; Coelho, P.; Godoy, S.E.; Torres, S.; Oyarzún, P. Slight pH Fluctuations in the Gold Nanoparticle Synthesis Process Influence the Performance of the Citrate Reduction Method. Sensors 2018, 18, 2246. [Google Scholar] [CrossRef]
- Grys, D.-B.; de Nijs, B.; Salmon, A.R.; Huang, J.; Wang, W.; Chen, W.-H.; Scherman, O.A.; Baumberg, J.J. Citrate Coordination and Bridging of Gold Nanoparticles: The Role of Gold Adatoms in AuNP Aging. ACS Nano 2020, 14, 8689–8696. [Google Scholar] [CrossRef]
- Petrus, J.; Czarnik-Matusewicz, B.; Petrus, R.; Cieślik-Boczula, K.; Jaszczyszyn, A.; Gąsiorowski, K. Fluphenazine: From an Isolated Molecule to Its Interaction with Lipid Bilayers. Chem. Phys. Lipids 2015, 186, 51–60. [Google Scholar] [CrossRef]
- Mahajan, S.; Mahajan, R.K. Interactions of Phenothiazine Drugs with Surfactants: A Detailed Physicochemical Overview. Adv. Colloid Interface Sci. 2013, 199–200, 1–14. [Google Scholar] [CrossRef] [PubMed]
- Lin, C.-E.; Liao, W.-S.; Chen, K.-H.; Lin, W.-Y. Influence of pH on Electrophoretic Behavior of Phenothiazines and Determination of Pa Values by Capillary Zone Electrophoresis. Electrophoresis 2003, 24, 3154–3159. [Google Scholar] [CrossRef] [PubMed]
- Zhou, X.; Dong, X.-W.; Priestley, T. The Neuroleptic Drug, Fluphenazine, Blocks Neuronal Voltage-Gated Sodium Channels. Brain Res. 2006, 1106, 72–81. [Google Scholar] [CrossRef] [PubMed]
- Pérez, R.; Rupérez, A.; Laserna, J.J.; Felidj, N.; Laassis, B.; Aaron, J.J.; Aubard, J. A Comparison of Surface-Enhanced Raman Spectroscopic and Fluorimetric Detection of the Phenothiazine Derivative Trifluoperazine and Its Photooxidation Products. Anal. Chim. Acta 1998, 369, 197–204. [Google Scholar] [CrossRef]
- Hao, X.; Liu, W.; Zhang, Y.; Kang, W.; Niu, L.; Ai, L. A Novel and Rapid Method to Detect Chlorpromazine Hydrochloride in Biological Sample Based on SERS. Chem. Phys. Lett. 2021, 784, 139066. [Google Scholar] [CrossRef]
- Bolboaca, M.; Iliescu, T.; Kiefer, W. Infrared Absorption, Raman, and SERS Investigations in Conjunction with Theoretical Simulations on a Phenothiazine Derivative. Chem. Phys. 2004, 298, 87–95. [Google Scholar] [CrossRef]
- Barveen, N.; Wang, T.-J.; Chang, Y.-H. A Photochemical Approach to Anchor Au NPs on MXene as a Prominent SERS Substrate for Ultrasensitive Detection of Chlorpromazine. Microchim. Acta 2022, 189, 16. [Google Scholar] [CrossRef]
- Yu, M.E.; Cheong, B.-S.; Cho, H.-G. SERS Spectroscopy and DFT Studies of Thionine and Its Derivatives Adsorbed on Silver Colloids: Which N Atom Is Used for Coordination of a Phenothiazine-Based Natural Dye to Electron-Deficient Metal Surface? SERS Spectra of Thionine and Its Derivatives. Bull. Korean Chem. Soc. 2017, 38, 928–934. [Google Scholar] [CrossRef]
- Moll, B.; Tichelkamp, T.; Wegner, S.; Francis, B.; Müller, T.J.J.; Janiak, C. Near-Infrared (NIR) Surface-Enhanced Raman Spectroscopy (SERS) Study of Novel Functional Phenothiazines for Potential Use in Dye Sensitized Solar Cells (DSSC). RSC Adv. 2019, 9, 37365–37375. [Google Scholar] [CrossRef]
- Gao, X.; Davies, J.P.; Weaver, M.J. Test of Surface Selection Rules for Surface-Enhanced Raman Scattering: The Orientation of Adsorbed Benzene and Monosubstituted Benzenes on Gold. J. Phys. Chem. 1990, 94, 6858–6864. [Google Scholar] [CrossRef]
- Davies, M.C.; Binns, J.S.; Melia, C.D.; Hendra, P.J.; Bourgeois, D.; Church, S.P.; Stephenson, P.J. FT Raman Spectroscopy of Drugs in Polymers. Int. J. Pharm. 1990, 66, 223–232. [Google Scholar] [CrossRef]
- Bolboaca, M.; Iliescu, T.; Paizs, C.; Irimie, F.D.; Kiefer, W. Raman, Infrared, and Surface-Enhanced Raman Spectroscopy in Combination with Ab Initio and Density Functional Theory Calculations on 10-Isopropyl-10H-Phenothiazine-5-Oxide. J. Phys. Chem. A 2003, 107, 5144. [Google Scholar] [CrossRef]
- Kure, B.; Morris, M.D. Raman Spectra of Phenothiazine and Some Pharmaceutical Derivatives. Talanta 1976, 23, 398–400. [Google Scholar] [CrossRef] [PubMed]
- Robles, N.; Cutin, E.; Della Vedova, C. Raman, Infrared Spectra and Theoretical Calculations of Trifluoromethyliminosulfur Difluoride, CF3N=SF2. J. Mol. Struct. 2006, 784, 265–268. [Google Scholar] [CrossRef]
- Mihaly, J.; Sterkel, S.; Ortner, H.; Kocsis, L.; Hajba, L.; Furdyga, É.; Mink, J. FTIR and FT-Raman Spectroscopic Study on Polymer Based High Pressure Digestion Vessels. Croat. Chem. Acta 2006, 79, 497–501. [Google Scholar]
- Kaur, M.; Mary, Y.S.; Panicker, C.Y.; Varghese, H.T.; Yathirajan, H.S.; Byrappa, K.; Van Alsenoy, C. Vibrational Spectroscopic (FT-IR, FT-Raman) and Quantum Chemical Calculations of 1-(5,5-Dioxido-10H-Phenothiazin-10-Yl)Ethanone. Spectrochim. Acta Part A Mol. Biomol. Spectrosc. 2014, 120, 445–455. [Google Scholar] [CrossRef]
- Minitha, R.; Sheena Mary, Y.; Varghese, H.T.; Panicker, C.Y.; Ravindran, R.; Raju, K.; Manikantan Nair, V. FT-IR, FT-Raman and Computational Study of 1H-2,2-Dimethyl-3H-Phenothiazin-4[10H]-One. J. Mol. Struct. 2011, 985, 316–322. [Google Scholar] [CrossRef]
- Sarata, G.; Sakai, M.; Takahashi, H. Nanosecond Time-Resolved Resonance Raman and Absorption Studies of the Photochemistry of Chlorpromazine and Related Phenothiazine Derivatives. J. Raman Spectrosc. 2000, 31, 785–790. [Google Scholar] [CrossRef]
- Moskovits, M. Surface Roughness and the Enhanced Intensity of Raman Scattering by Molecules Adsorbed on Metals. J. Chem. Phys. 1978, 69, 4159–4161. [Google Scholar] [CrossRef]
- Gao, P.; Weaver, M.J. Surface-Enhanced Raman Spectroscopy as a Probe of Adsorbate-Surface Bonding: Benzene and Monosubstituted Benzenes Adsorbed at Gold Electrodes. J. Phys. Chem. 1985, 89, 5040–5046. [Google Scholar] [CrossRef]
- Otręba, M.; Stojko, J.; Rzepecka-Stojko, A. The Role of Phenothiazine Derivatives in Autophagy Regulation: A Systematic Review. J. Appl. Toxicol. 2023, 43, 474–489. [Google Scholar] [CrossRef] [PubMed]
- Gil-Ad, I.; Shtaif, B.; Levkovitz, Y.; Dayag, M.; Zeldich, E.; Weizman, A. Characterization of Phenothiazine-Induced Apoptosis in Neuroblastoma and Glioma Cell Lines: Clinical Relevance and Possible Application for Brain-Derived Tumors. J. Mol. Neurosci. 2004, 22, 189–198. [Google Scholar] [CrossRef] [PubMed]
- Nordenberg, J.; Fenig, E.; Landau, M.; Weizman, R.; Weizman, A. Effects of psychotropic drugs on cell proliferation and differentiation. Biochem. Pharmacol. 1999, 58, 1229. [Google Scholar] [CrossRef] [PubMed]
- Mernea, M.; Borcan, L.-C.; Borcan, F.; Avram, S. Antipsychotics as Psychosis Drugs and Neuroprotective Promoters Evaluated by Chemical QSAR in Silico and in Vivo Studies. Lett. Drug Des. Discov. 2016, 13, 269–275. [Google Scholar] [CrossRef]
- Xiao, Y.; Zhang, E.; Fu, A. Promotion of SH-SY5Y Cell Growth by Gold Nanoparticles Modified with 6-Mercaptopurine and a Neuron-Penetrating Peptide. Nanoscale Res. Lett. 2017, 12, 641. [Google Scholar] [CrossRef]
- Valdiglesias, V.; Paz, M.; Touzani, A.; Baúlde, S.; Mosquera, J.; Criado, A.; Pásaro, E.; Méndez, J.; Laffon, B.; Fernández-Bertólez, N. Influence of Surface Charge on Biological Behaviour of Gold Nanoparticles in Human SH-SY5Y Neuronal Cells. Mater. Proc. 2023, 14, 52. [Google Scholar] [CrossRef]
- Ozcicek, I.; Aysit, N.; Cakici, C.; Aydeger, A. The Effects of Surface Functionality and Size of Gold Nanoparticles on Neuronal Toxicity, Apoptosis, ROS Production and Cellular/Suborgan Biodistribution. Mater. Sci. Eng. C Mater. Biol. Appl. 2021, 128, 112308. [Google Scholar] [CrossRef]
- Oćwieja, M.; Barbasz, A.; Kowalska, O.; Maciejewska-Prończuk, J.; Lada, A. The Adsorption of Chlorpromazine on the Surface of Gold Nanoparticles and Its Effect on the Toxicity of Selected Mammalian Cells. Materials 2024, 17, 4774. [Google Scholar] [CrossRef]
- Dileseigres, A.S.; Prado, Y.; Pluchery, O. How to Use Localized Surface Plasmon for Monitoring the Adsorption of Thiol Molecules on Gold Nanoparticles? Nanomaterials 2022, 12, 292. [Google Scholar] [CrossRef]
- Ungor, D.; Barbasz, A.; Czyżowska, A.; Csapó, E.; Oćwieja, M. Cytotoxicity Studies of Protein-Stabilized Fluorescent Gold Nanoclusters on Human Lymphocytes. Colloids Surf. B Biointerfaces 2021, 200, 111593. [Google Scholar] [CrossRef]
- TURBOMOLE V7.6 2021, a Development of University of Karlsruhe and For-Schungszentrum Karlsruhe GmbH, 1989–2007, TURBOMOLE GmbH, Since 2007. Available online: https://www.turbomole.org/ (accessed on 2 July 2021).
- Broyden, C.G. The Convergence of a Class of Double-Rank Minimization Algorithms: 2. The New Algorithm. IMA J. Appl. Math. 1970, 6, 222–231. [Google Scholar] [CrossRef]
- Fletcher, R. A New Approach to Variable Metric Algorithms. Comput. J. 1970, 13, 317–322. [Google Scholar] [CrossRef]
- Goldfarb, D. A Family of Variable-Metric Methods Derived by Variational Means. Math. Comput. 1970, 24, 23–26. [Google Scholar] [CrossRef]
- Shanno, D.F. Conditioning of Quasi-Newton Methods for Function Minimization. Math. Comput. 1970, 24, 647–656. [Google Scholar] [CrossRef]
- Perdew, J.P.; Burke, K.; Ernzerhof, M. Generalized Gradient Approximation Made Simple. Phys. Rev. Lett. 1996, 77, 3865–3868. [Google Scholar] [CrossRef]
- Rappoport, D.; Furche, F. Property-Optimized Gaussian Basis Sets for Molecular Response Calculations. J. Chem. Phys. 2010, 133, 134105. [Google Scholar] [CrossRef]
- Grimme, S.; Antony, J.; Ehrlich, S.; Krieg, H. A Consistent and Accurate Ab Initio Parametrization of Density Functional Dispersion Correction (DFT-D) for the 94 Elements H-Pu. J. Chem. Phys. 2010, 132, 154104. [Google Scholar] [CrossRef]
- Eichkorn, K.; Treutler, O.; Öhm, H.; Häser, M.; Ahlrichs, R. Auxiliary Basis Sets to Approximate Coulomb Potentials. Chem. Phys. Lett. 1995, 240, 283–290. [Google Scholar] [CrossRef]
- Eichkorn, K.; Weigend, F.; Treutler, O.; Ahlrichs, R. Auxiliary Basis Sets for Main Row Atoms and Transition Metals and Their Use to Approximate Coulomb Potentials. Theor. Chem. Acc. 1997, 97, 119–124. [Google Scholar] [CrossRef]
- Klamt, A.; Schüürmann, G. COSMO: A New Approach to Dielectric Screening in Solvents with Explicit Expressions for the Screening Energy and Its Gradient. J. Chem. Soc. Perkin Trans. 1993, 2, 799–805. [Google Scholar] [CrossRef]









| Experimental Wavenumbers | Calculated Wavenumbers | Band Assignment | ||||
|---|---|---|---|---|---|---|
| RS | SERS | |||||
| ν [cm−1] | FWHM [cm−1] | ν [cm−1] | FWHM [cm−1] | ν [cm−1] | Literature | DFT |
| 410 | 12 | |||||
| 435 | 11 | 429 | 19 | 424 | δoop(PTZ), δoop(ϕ), ρb(CNC)PTZ | δoop(PTZ), δoop(Pz) |
| 451 | 10 | 450 | 10 | 456 | δoop(Pz), γt(C10,C11,C12) | |
| 483 | 11 | 479 | 12 | 481 | ρb(CSC) | δoop(Pz), δoop(PTZ) |
| 527 | 18 | 521 | 14 | 525 | ρb(C23H49)PTZ, ρb(C24H50)PTZ, δoop(Pz) | |
| 544 | 11 | 541 | 17 | 550 | δ(CF3) | ν(S20C22)PTZ, δoop(PTZ), δoop(Pz) |
| 611 | 10 | 604 | 15 | 621 | δ(CCC)PTZ, δ(CNC)PTZ | ρr(C2H32H33), ρr(C3H34H35) |
| 617 | 12 | |||||
| 633 | 11 | δ(CF3) | ||||
| 645 | 11 | ρb(ϕ) | ||||
| 663 | 10 | 656 | 11 | 664 | δoop(Pz) | |
| 679 | 9 | 676 | 13 | 671 | νs(ϕ), ν(CS) | ρb(C19H48)PTZ, ρb(C18H47)PTZ, δoop(Pz) |
| 701 | 6 | 699 | 11 | 693 | ρb(CCC) | ρb(C25H51)PTZ, ρb(C26H52)PTZ, ν(C11C12) |
| 723 | 7 | 725 | 33 | 736 | δ(ϕ), δoop(CH)ϕ | δi.p.(Pz) |
| 732 | 15 | 749 | 22 | 746 | νs(CF2) | νs(CF3) |
| 772 | 25 | 770 | 19 | δoop(CH)ϕ | δi.p.(Pz), ρr(C2H32H33), ρr(C3H34H35) | |
| 800 | 20 | |||||
| 816 | 18 | 818 | 9 | 819 | δi.p.(Pz), ρr(C3H34H35), ρw(C10H40H41), | |
| 837 | 13 | |||||
| 854 | 16 | |||||
| 871 | 12 | |||||
| 887 | 8 | |||||
| 903 | 11 | |||||
| 920 | 15 | |||||
| 938 | 18 | 936 | 21 | 933 | δi.p.(PTZ) | |
| 962 | 22 | |||||
| 976 | 11 | 977 | 15 | δoop(CH) | ν(C10C11) | |
| 992 | 13 | |||||
| 1018 | 20 | |||||
| 1039 | 10 | 1038 | 18 | 1038 | δip(CH)Ph, νs(ϕ), ν(CC), ν(CH) | δip(CH)PTZ |
| 1054 | 16 | 1053 | 13 | 1055 | δip(CH)PTZ, ν(C12N13), ν(C10C11), ρb(CH)Pz, ν(O1C2) | |
| 1082 | 19 | 1084 | 10 | 1080 | ν(CSC), ν(NC), νs(CF3) | ν(C17F30) |
| 1110 | 12 | 1100 | 13 | 1111 | νas(CNC), νs(ϕ), | ρt(C2H32H33), ρb(O1H31), ρt(C3H34H35), νs(Pz) |
| 1131 | 18 | 1122 | 17 | 1135 | δ(CH)CH2, δ(CH)CH3, | ρt(C2H32H33), ρt(C3H34H35), ρb(CH)PTZ |
| 1149 | 12 | 1145 | 7 | 1141 | νas(C17F28F28), ρb(CH)PTZ | |
| 1163 | 19 | 1169 | 21 | 1163 | ρb(CH)ϕ | ρb(CH)PTZ, ρw(C12H44H45), ρw(C11H42H43), ρw(C10H40H41), ρw(C2H32H33), ρw(C3H34H35) |
| 1190 | 10 | ν(CF3) | ||||
| 1201 | 12 | νs(CF2) | ||||
| 1212 | 13 | νas(CNC), ρb(CH)ϕ | ||||
| 1237 | 19 | |||||
| 1247 | 15 | 1250 | 12 | 1242 | νs(CNC), ρb(CH)ϕ, ρt(CH2) | ν(C16C17), ρb(C19H48)PTZ, ρb(C18H47)PTZ |
| 1262 | 9 | |||||
| 1278 | 11 | 1277 | δ(CH)CH2, ρr(CH), ρb(CH)ϕ | ρw(C3H34H35), ν(CN)Pz | ||
| 1290 | 12 | 1291 | 24 | 1300 | ρb(CH), ρt(CH2), ν(CH), ν(CCC), ρb(CNC) | ρb(CH)PTZ, ν(C16C17) |
| 1305 | 19 | 1308 | 13 | 1316 | ρb(CH), ρt(CH2), ν(CH), ν(CCC), ρb(CNC) | ρb(CH)PTZ, ν(C16C17) |
| 1325 | 21 | 1323 | 22 | ν(CCC)Ph, ν(CNC), δ(ϕ) | ||
| 1341 | 8 | 1346 | ρs(C3H34H35) | |||
| 1355 | 25 | δ(CH)CH2, δ(CH)CH3, ρr(CH)ϕ | ||||
| 1370 | 15 | ν(ϕ) | ||||
| 1384 | 11 | 1384 | 17 | 1389 | ν(ϕ) | ρb(CH)PTZ |
| 1401 | 7 | 1400 | 19 | 1392 | ρw(CH2) | ρw(C2H32H33), ρb(O1H31), ρw(C3H34H35) |
| 1425 | 12 | 1421 | 22 | |||
| 1440 | 24 | δ(CH3) | ||||
| 1454 | 16 | 1460 | 27 | 1453 | ρs(C2H32H33) | |
| 1497 | 11 | 1492 | 15 | |||
| 1504 | 13 | |||||
| 1537 | 23 | |||||
| 1562 | 38 | |||||
| 1574 | 13 | 1580 | ν(CC)ϕ | |||
| 1591 | 8 | 1587 | 13 | ν(CC)ϕ, ν(C=C) | ||
| 1603 | 10 | 1602 | 15 | ν(CC)ϕ, ν(C=C) | ||
| 1620 | 27 | |||||
| 1642 | 24 | ν(C=C) | ||||
Disclaimer/Publisher’s Note: The statements, opinions and data contained in all publications are solely those of the individual author(s) and contributor(s) and not of MDPI and/or the editor(s). MDPI and/or the editor(s) disclaim responsibility for any injury to people or property resulting from any ideas, methods, instructions or products referred to in the content. |
© 2024 by the authors. Licensee MDPI, Basel, Switzerland. This article is an open access article distributed under the terms and conditions of the Creative Commons Attribution (CC BY) license (https://creativecommons.org/licenses/by/4.0/).
Share and Cite
Kowalska, O.; Piergies, N.; Barbasz, A.; Niemiec, P.; Gnacek, P.; Duraczyńska, D.; Oćwieja, M. Spectroscopic Properties and Biological Activity of Fluphenazine Conjugates with Gold Nanoparticles. Molecules 2024, 29, 5948. https://doi.org/10.3390/molecules29245948
Kowalska O, Piergies N, Barbasz A, Niemiec P, Gnacek P, Duraczyńska D, Oćwieja M. Spectroscopic Properties and Biological Activity of Fluphenazine Conjugates with Gold Nanoparticles. Molecules. 2024; 29(24):5948. https://doi.org/10.3390/molecules29245948
Chicago/Turabian StyleKowalska, Oliwia, Natalia Piergies, Anna Barbasz, Piotr Niemiec, Patrycja Gnacek, Dorota Duraczyńska, and Magdalena Oćwieja. 2024. "Spectroscopic Properties and Biological Activity of Fluphenazine Conjugates with Gold Nanoparticles" Molecules 29, no. 24: 5948. https://doi.org/10.3390/molecules29245948
APA StyleKowalska, O., Piergies, N., Barbasz, A., Niemiec, P., Gnacek, P., Duraczyńska, D., & Oćwieja, M. (2024). Spectroscopic Properties and Biological Activity of Fluphenazine Conjugates with Gold Nanoparticles. Molecules, 29(24), 5948. https://doi.org/10.3390/molecules29245948

