Elucidation of Antimicrobials and Biofilm Inhibitors Derived from a Polyacetylene Core
Abstract
1. Introduction
2. Results
2.1. Synthesis
2.1.1. Alkynol Preparation
2.1.2. Diyne Synthesis
2.2. Screening
2.2.1. Viability Screens
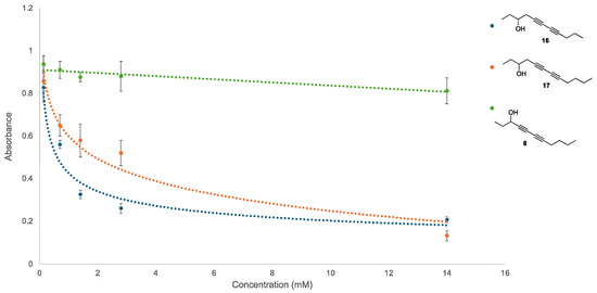
2.2.2. Biofilm Disruption Screens
3. Discussion
4. Materials and Methods
4.1. General Procedure A: Glaser–Hay Reaction
4.2. General Procedure B: Synthesis of Bromoalkynol Intermediates
4.3. General Procedure C: Cadiot–Chodkiewicz Reaction
4.4. Bacterial Viability Assay
4.5. Biofilm Formation Assay
5. Conclusions
Supplementary Materials
Author Contributions
Funding
Institutional Review Board Statement
Informed Consent Statement
Data Availability Statement
Acknowledgments
Conflicts of Interest
References
- The Centers for Disease Control (CDC) of the United States Hosts a Site Specifically Presenting Information on Antibacterial Resistance. Available online: https://www.cdc.gov/antimicrobial-resistance/about/index.html (accessed on 30 October 2024).
- Centers for Disease Control and Prevention (U.S.). Antibiotic Resistance Threats in the United States. 2019. Available online: https://stacks.cdc.gov/view/cdc/82532 (accessed on 30 October 2024).
- Muhammad, M.H.; Idris, A.L.; Fan, X.; Guo, Y.; Yu, Y.; Jin, X.; Qiu, J.; Guan, X.; Huang, T. Beyond risk: Bacterial biofilms and their regulating approaches. Front. Microbiol. 2020, 11, 928. [Google Scholar] [CrossRef] [PubMed]
- Pakharukova, N.; Tuittila, M.; Paavilainen, S.; Malmi, H.; Parilova, O.; Teneberg, S.; Knight, S.D.; Zavialov, A.V. Structural basis for acinetobacter baumannii biofilm formation. Proc. Natl. Acad. Sci. USA 2018, 115, 5558–5563. [Google Scholar] [CrossRef] [PubMed]
- Lisoń, J.; Taratuta, A.; Paszenda, Z.; Szindler, M.; Basiaga, M. Perspectives in prevention of biofilm for medical applications. Coatings 2022, 12, 197. [Google Scholar] [CrossRef]
- Newman, D.J.; Cragg, G.M. Natural products as sources of new drugs over the nearly four decades from 01/1981 to 09/2019. J. Nat. Prod. 2020, 83, 770–803. [Google Scholar] [CrossRef] [PubMed]
- Chin, W.-C.; Zhou, Y.-Z.; Wang, H.-Y.; Feng, Y.-T.; Yang, R.-Y.; Huang, Z.-F.; Yang, Y.-L. Bacterial polyynes uncovered: A journey through their bioactive properties, biosynthetic mechanisms, and sustainable production strategies. Nat. Prod. Rep. 2024, 41, 977–989. [Google Scholar] [CrossRef] [PubMed]
- Xie, Q.; Wang, C. Polyacetylenes in herbal medicine: A comprehensive review of its occurrence, pharmacology, toxicology, and pharmacokinetics (2014–2021). Phytochemistry 2022, 201, 113288. [Google Scholar] [CrossRef] [PubMed]
- Santos, J.A.M.; Santos, C.L.A.A.; Freitas Filho, J.R.; Menezes, P.H.; Freitas, J.C.R. Polyacetylene glycosides: Isolation, biological activities and synthesis. Chem. Rec. 2022, 22, e202100176. [Google Scholar] [CrossRef]
- Zhou, Z.-F.; Menna, M.; Cai, Y.-S.; Guo, Y.-W. Polyacetylenes of marine origin: Chemistry and bioactivity. Chem. Rev. 2015, 115, 1543–1596. [Google Scholar] [CrossRef] [PubMed]
- Christensen, L.P. Bioactive c17 and c18 acetylenic oxylipins from terrestrial plants as potential lead compounds for anticancer drug development. Molecules 2020, 25, 2568. [Google Scholar] [CrossRef]
- Kim, B.-R.; Paudel, S.B.; Nam, J.-W.; Jin, C.H.; Lee, I.-S.; Han, A.-R. Constituents of coreopsis lanceolate flower and their dipeptidyl peptidase iv inhibitory effects. Molecules 2020, 25, 4370. [Google Scholar] [CrossRef]
- Lin, M.; Zhang, W.; Su, J. Toxic polyacetylenes in the genus bupleurum (apiaceae)–distribution, toxicity, molecular mechanism and analysis. J. Ethnopharmacol. 2016, 193, 566–573. [Google Scholar] [CrossRef] [PubMed]
- Petrova, Y.D.; Mahenthiralingam, E. Discovery, mode of action and secretion of burkholderia sensu lato key antimicrobial specialised metabolites. Cell Surf. 2022, 8, 100081. [Google Scholar] [CrossRef]
- Sun, Z.; Zhang, Y.; Peng, X.; Huang, S.; Zhou, H.; Xu, J.; Gu, Q. Diverse sesquiterpenoids and polyacetylenes from atractylodes lancea and their anti-osteoclastogenesis activity. J. Nat. Prod. 2022, 85, 866–877. [Google Scholar] [CrossRef]
- Nishidono, Y.; Tanaka, K. Comprehensive characterization of polyacetylenes and diterpenes from the underground parts of solidago altissima l. And their contribution to the overall allelopathic activity. Phytochemistry 2022, 193, 112986. [Google Scholar] [CrossRef] [PubMed]
- Albayrak, G.; Demir, S.; Koyu, H.; Baykan, S. Anticholinesterase compounds from endemic prangos uechtritzii. Chem. Biodivers. 2022, 19, e202200557. [Google Scholar] [CrossRef]
- Lin, C.-C.; Hoo, S.Y.; Ma, L.-T.; Lin, C.; Huang, K.-F.; Ho, Y.-N.; Sun, C.-H.; Lee, H.-J.; Chen, P.-Y.; Shu, L.-J.; et al. Integrated omics approach to unveil antifungal bacterial polyynes as acetyl-coa acetyltransferase inhibitors. Commun. Biol. 2022, 5, 454. [Google Scholar] [CrossRef] [PubMed]
- Petrova, Y.D.; Zhao, J.; Webster, G.; Mullins, A.J.; Williams, K.; Alswat, A.S.; Challis, G.L.; Bailey, A.M.; Mahenthiralingam, E. Cloning and expression of burkholderia polyyne biosynthetic gene clusters in paraburkholderia hosts provides a strategy for biopesticide development. Microb. Biotechnol. 2022, 15, 2547–2561. [Google Scholar] [CrossRef] [PubMed]
- Lee, J.; Shi, Y.-M.; Gruen, P.; Gube, M.; Feldbruegge, M.; Bode, H.; Hennicke, F. Identification of feldin, an antifungal polyyne from the beefsteak fungus fistulina hepatica. Biomolecules 2020, 10, 1502. [Google Scholar] [CrossRef]
- Shen, J.; Hu, M.; Tan, W.; Ding, J.; Jiang, B.; Xu, L.; Hamulati, H.; He, C.; Sun, Y.; Xiao, P. Traditional uses, phytochemistry, pharmacology, and toxicology of coreopsis tinctoria nutt.: A review. J. Ethnopharmacol. 2021, 269, 113690. [Google Scholar] [CrossRef]
- Jakobsen, U.; Kobaek-Larsen, M.; Kjoeller, K.D.; Antonsen, S.; Baatrup, G.; Trelle, M.B. Quantification of the anti-neoplastic polyacetylene falcarinol from carrots in human serum by lc-ms/ms. J. Chromatogr. B Anal. Technol. Biomed. Life Sci. 2022, 1210, 123440. [Google Scholar] [CrossRef]
- Liu, L.; Liu, Z.; Yang, L.; Wu, X.; Zhu, J.; Liu, L.; Liu, Y. Lobetyolin suppressed lung cancer in a mouse model by inhibiting epithelial-mesenchymal transition. Eur. J. Histochem. 2022, 66, 3423. [Google Scholar] [CrossRef] [PubMed]
- Liu, X.-L.; Ding, Y.-F.; Wang, S.-P.; Liu, L.; Wang, J.; Yang, F. New bioactive polyacetylenes from the marine sponge Petrosia sp. Chem. Biodivers. 2022, 19, e202200159. [Google Scholar] [CrossRef]
- Wang, M.-C.; Wu, Y.-F.; Yu, W.-Y.; Yu, B.; Ying, H.-Z. Polyacetylenes from Codonopsis lanceolata root induced apoptosis of human lung adenocarcinoma cells and improved lung dysbiosis. BioMed Res. Int. 2022, 2022, 7713355. [Google Scholar] [CrossRef]
- Hale, E.A.; Ryan, H.M.; McOsker, A.M.; Funk, C.M.; Green, L.C.; Mazur, L.E.; Uthappa, D.M.; Flood, B.M.; Young, D.D.; Hinkle, R.J. Effects of structural variations on antibacterial properties for conjugated diynes generated through glaser hay couplings. ChemMedChem 2022, 17, e202200455. [Google Scholar] [CrossRef]
- Su, L.; Dong, J.; Liu, L.; Sun, M.; Qiu, R.; Zhou, Y.; Yin, S.-F. Copper catalysis for selective heterocoupling of terminal alkynes. J. Am. Chem. Soc. 2016, 138, 12348–12351. [Google Scholar] [CrossRef]
- Nimmo, Z.M.; Halonski, J.F.; Chatkewitz, L.E.; Young, D.D. Development of optimized conditions for glaser-hay bioconjugations. Bioorg. Chem. 2018, 76, 326–331. [Google Scholar] [CrossRef]
- Lampkowski, J.S.; Uthappa, D.M.; Halonski, J.F.; Maza, J.C.; Young, D.D. Application of the solid-supported glaser-hay reaction to natural product synthesis. J. Org. Chem. 2016, 81, 12520–12524. [Google Scholar] [CrossRef] [PubMed]
- Lampkowski, J.S.; Durham, C.E.; Padilla, M.S.; Young, D.D. Preparation of asymmetrical polyynes by a solid-supported glaser-hay reaction. Org. Biomol. Chem. 2015, 13, 424–427. [Google Scholar] [CrossRef] [PubMed]
- Allison, D.G.; Ruiz, B.; SanJose, C.; Jaspe, A.; Gilbert, P. Extracellular products as mediators of the formation and detachment of pseudomonas fluorescens biofilms. FEMS Microbiol. Lett. 1998, 167, 179–184. [Google Scholar] [CrossRef] [PubMed]
- Xu, C.-F.; Xu, M.; Yang, L.-Q.; Li, C.-Y. Synthesis of allenes via gold-catalyzed intermolecular reaction of propargylic alcohols and aromatic compounds. J. Org. Chem. 2012, 77, 3010–3016. [Google Scholar] [CrossRef]
- Lee, A.S.-Y.; Chu, S.-F.; Chang, Y.-T.; Wang, S.-H. Synthesis of homopropargyl alcohols via sonochemical barbier-type reaction. Tetrahedron Lett. 2004, 45, 1551–1553. [Google Scholar] [CrossRef]
- Jõgi, A.; Mäeorg, U. Zn mediated regioselective barbier reaction of propargylic bromides in thf/aq. Nh4cl solution. Molecules 2001, 6, 964–968. [Google Scholar] [CrossRef]
- Reddy, M.S.; Kumar, Y.K.; Thirupathi, N. A new synthesis of γ-butyrolactones via aucl3- or hg(ii)-catalyzed intramolecular hydroalkoxylation of 4-bromo-3-yn-1-ols. Org. Lett. 2012, 14, 824–827. [Google Scholar] [CrossRef] [PubMed]
- Radhika, S.; Harry, N.A.; Neetha, M.; Anilkumar, G. Recent trends and applications of the cadiot-chodkiewicz reaction. Org. Biomol. Chem. 2019, 17, 9081–9094. [Google Scholar] [CrossRef] [PubMed]
- O’Toole, G.A. Microtiter dish biofilm formation assay. J. Vis. Exp. 2011, 47, 2437. [Google Scholar] [CrossRef]
- Alami, M.; Ferri, F. A convenient route to unsymmetrical conjugated diynes. Tetrahedron Lett. 1996, 37, 2763. [Google Scholar] [CrossRef]







![]() | |||||
|---|---|---|---|---|---|
| Compound | R1 | m | n | # C | Yield 1 |
| 3 | CH3 | 0 | 3 | 10 | 28% |
| 4 | CH3 | 0 | 4 | 11 | 17% |
| 5 | CH3 | 0 | 5 | 12 | 19% |
| 6 | CH3 | 0 | 6 | 13 | 66% 2 |
| 7 | CH2CH3 | 0 | 2 | 10 | 33% |
| 8 | CH2CH3 | 0 | 3 | 11 | 31% |
| 9 | CH2CH3 | 0 | 4 | 12 | 26% |
| 10 | CH2CH3 | 0 | 5 | 13 | 44% |
| 11 | CH3 | 1 | 2 | 10 | 55% |
| 12 | CH3 | 1 | 3 | 11 | 91% |
| 13 | CH3 | 1 | 4 | 12 | 43% |
| 14 | CH3 | 1 | 5 | 13 | 73% |
| 15 | CH2CH3 | 1 | 1 | 10 | 37% 2 |
| 16 | CH2CH3 | 1 | 2 | 11 | 32% |
| 17 | CH2CH3 | 1 | 3 | 12 | 62% |
| 18 | CH2CH3 | 1 | 4 | 13 | 67% |
| 19 | CH2CH2CH3 | 1 | 0 | 10 | 47% 2 |
| 20 | CH2CH2CH3 | 1 | 1 | 11 | 48% 2 |
| 21 | CH2CH2CH3 | 1 | 2 | 12 | 89% |
| 22 | CH2CH2CH3 | 1 | 3 | 13 | 58% |
Disclaimer/Publisher’s Note: The statements, opinions and data contained in all publications are solely those of the individual author(s) and contributor(s) and not of MDPI and/or the editor(s). MDPI and/or the editor(s) disclaim responsibility for any injury to people or property resulting from any ideas, methods, instructions or products referred to in the content. |
© 2024 by the authors. Licensee MDPI, Basel, Switzerland. This article is an open access article distributed under the terms and conditions of the Creative Commons Attribution (CC BY) license (https://creativecommons.org/licenses/by/4.0/).
Share and Cite
Skeen, T.L.; Gresham, R.L.; Agamaite, K.A.; Molz, O.M.; Westlake, I.F.; Kregenow, S.M.; Romero, A.K.; Flood, B.M.; Mazur, L.E.; Hinkle, R.J.; et al. Elucidation of Antimicrobials and Biofilm Inhibitors Derived from a Polyacetylene Core. Molecules 2024, 29, 5945. https://doi.org/10.3390/molecules29245945
Skeen TL, Gresham RL, Agamaite KA, Molz OM, Westlake IF, Kregenow SM, Romero AK, Flood BM, Mazur LE, Hinkle RJ, et al. Elucidation of Antimicrobials and Biofilm Inhibitors Derived from a Polyacetylene Core. Molecules. 2024; 29(24):5945. https://doi.org/10.3390/molecules29245945
Chicago/Turabian StyleSkeen, Tyler L., Rebekah L. Gresham, Katherine A. Agamaite, Olivia M. Molz, Isabelle F. Westlake, Sage M. Kregenow, Al K. Romero, Brian M. Flood, Lauren E. Mazur, Robert J. Hinkle, and et al. 2024. "Elucidation of Antimicrobials and Biofilm Inhibitors Derived from a Polyacetylene Core" Molecules 29, no. 24: 5945. https://doi.org/10.3390/molecules29245945
APA StyleSkeen, T. L., Gresham, R. L., Agamaite, K. A., Molz, O. M., Westlake, I. F., Kregenow, S. M., Romero, A. K., Flood, B. M., Mazur, L. E., Hinkle, R. J., & Young, D. D. (2024). Elucidation of Antimicrobials and Biofilm Inhibitors Derived from a Polyacetylene Core. Molecules, 29(24), 5945. https://doi.org/10.3390/molecules29245945


