The Interactions of Anti-HIV Pronucleotides with a Model Phospholipid Membrane
Abstract
1. Introduction
2. Results and Discussion
2.1. The Influence of the Chemical Structure of the Pronucleotide on the Interactions with the DPPC Monolayer
2.2. The Impact of the Concentration of Pronucleotides on the DPPC Monolayer
3. Materials and Methods
3.1. Structures of Pronucleotides
3.2. Chemicals
3.3. Methods
3.3.1. π–A Isotherms
3.3.2. Relaxation Studies
3.3.3. Brewster Angle Microscopy
4. Conclusions
Author Contributions
Funding
Institutional Review Board Statement
Informed Consent Statement
Data Availability Statement
Conflicts of Interest
References
- HIV and AIDS. 2024. Available online: https://www.who.int/news-room/fact-sheets/detail/hiv-aids (accessed on 15 November 2024).
- Clercq, E.D.; Li, G. Approved Antiviral Drugs over the Past 50 Years. Clin. Microbiol. Rev. 2016, 29, 695–747. [Google Scholar] [CrossRef] [PubMed]
- Yates, M.K.; Seley-Radtke, K.L. The evolution of antiviral nucleoside analogues: A review for chemists and non-chemists. Part II: Complex modifications to the nucleoside scaffold. Antivir. Res. 2019, 162, 5–21. [Google Scholar] [CrossRef] [PubMed]
- Elzagheid, M.I. Nucleosides and Nucleoside Analogues as Emerging Antiviral Drugs. Mini-Rev. Org. Chem. 2021, 18, 672–679. [Google Scholar] [CrossRef]
- Ho, H.T.; Hitchcock, M.J.M. Cellular Pharmacology of 2′,3′-Dideoxy-2′,3′-Didehydrothymidine, A Nucleoside Analog Active Against Human Immunodeficiency Virus. Antimicrob. Agents Chemother. 1989, 33, 844–849. [Google Scholar] [CrossRef] [PubMed]
- Schultz, C. Prodrugs of biologically active phosphate esters. Bioorganic Med. Chem. 2003, 11, 885–898. [Google Scholar] [CrossRef]
- Wiemer, A.J.; Wiemer, D.F. Prodrugs of Phosphonates and Phosphates: Crossing the Membrane Barrier. Top. Curr. Chem. 2014, 360, 115–160. [Google Scholar]
- Meier, C. Pro-nucleotides-Recent advances in the design of efficient tools for the delivery of biologically active nucleoside monophosphates. Synlett 1998, 3, 233–242. [Google Scholar] [CrossRef]
- McGuigan, C.; Pathirana, R.N.; Mahmood, N.; Devine, K.G.; Hay, A.J. Aryl phosphate derivatives of AZT retain activity against HIV1 in cell lines which are resistant to the action of AZT. Antivir. Res. 1992, 17, 311–321. [Google Scholar] [CrossRef]
- Gosselin, G.; Girardet, J.L.; Périgaud, C.; Benzaria, S.; Lefebvre, I.; Schlienger, N.; Pompon, A.; Imbach, J.L. New Insights Regarding the Potential of the Pronucleotide Approach in Antiviral Chemotherapy. Acta Biochim. Pol. 1996, 43, 195–208. [Google Scholar] [CrossRef]
- Wagner, C.R.; Chang, S.-L.; Griesgraber, G.W.; Song, H.; Mcintee, E.J.; Zimmerman, C.L. Antiviral nucleoside drug delivery via amino acid phosphoramidates. Nucleosides Nucleotides 1999, 18, 913–919. [Google Scholar] [CrossRef]
- Kraszewski, A.; Sobkowski, M.; Stawinski, J. H-Phosphonate Chemistry in the Synthesis of Electrically Neutral and Charged Antiviral and Anticancer Pronucleotides. Front. Chem. 2020, 8, 595738. [Google Scholar] [CrossRef] [PubMed]
- Romanowska, J.; Sobkowski, M.; Szymańska-Michalak, A.; Kołodziej, K.; Dąbrowska, A.; Lipniacki, A.; Piasek, A.; Pietrusiewicz, Z.M.; Figlerowicz, M.; Guranowski, A.; et al. Aryl H-Phosphonates 17: (N-Aryl)phosphoramidates of Pyrimidine Nucleoside Analogues and Their Synthesis, Selected Properties, and Anti-HIV Activity. J. Med. Chem. 2011, 54, 6482–6491. [Google Scholar] [CrossRef]
- Pruijssers, A.J.; Denison, M.R. Nucleoside analogues for the treatment of coronavirus infections. Curr. Opin. Virol. 2019, 35, 57–62. [Google Scholar] [CrossRef]
- Zhukov, A.; Popov, V. Eukaryotic Cell Membranes: Structure, Composition, Research Methods and Computational Modelling. Int. J. Mol. Sci. 2023, 24, 11226. [Google Scholar] [CrossRef]
- Van Meer, G.; Voelker, D.R.; Feigenson, G.W. Membrane lipids: Where they are and how they behave. Nat. Rev. Mol. Cell Biol. 2008, 9, 112–124. [Google Scholar] [CrossRef]
- Anamourlis, C. The cell membrane. S. Afr. J. Anaesth. Analg. 2020, 26 (6 Suppl. 3), S1–S7. [Google Scholar] [CrossRef]
- Epand, R.M. Introduction to membrane lipids. Methods Mol. Biol. 2015, 1232, 1–6. [Google Scholar] [PubMed]
- Van’t Hof, W.; Van Meer, G. Chapter 21-Lipid Polarity and Sorting in Epithelial Cells. Curr. Top. Membr. 1994, 40, 539–563. [Google Scholar]
- Goñi, F.M. The basic structure and dynamics of cell membranes: An update of the Singer–Nicolson model. Biochim. Biophys. Acta 2014, 1838, 1467–1476. [Google Scholar] [CrossRef]
- Nagle, J.F.; Tristram-Nagle, S. Structure of lipid bilayers. Biochim. Biophys. Acta 2000, 1469, 159–195. [Google Scholar] [CrossRef]
- Blanco, A.; Blanco, G. Chapter 11—Membranes. In Medical Biochemistry; Academic Press: New York, NY, USA, 2017; pp. 215–250. [Google Scholar]
- Frallicciardi, J.; Melcr, J.; Siginou, P.; Marrink, S.J.; Poolman, B. Membrane thickness, lipid phase and sterol type are determining factors in the permeability of membranes to small solutes. Nat. Commun. 2022, 13, 1605. [Google Scholar] [CrossRef] [PubMed]
- Singer, S.J.; Nicolson, G.L. The fluid mosaic model of the structure of cell membranes. Science 1972, 175, 720–731. [Google Scholar] [CrossRef] [PubMed]
- Martinsen, Ø.G.; Heiskanen, A. Chapter 4—Passive electrical properties of tissues. In Bioimpedance and Bioelectricity Basics, 4th ed.; Academic Press: New York, NY, USA, 2023; pp. 75–113. [Google Scholar]
- Lande, M.B.; Donovan, J.M.; Zeidel, M.L. The relationship between membrane fluidity and permeabilities to water, solutes, ammonia, and protons. J. Gen. Physiol. 1995, 106, 67–84. [Google Scholar] [CrossRef] [PubMed]
- Sezgin, E.; Levental, L.I.; Mayor, S.; Eggeling, C. The mystery of membrane organization: Composition, regulation and roles of lipid rafts. Nat. Rev. Mol. Cell Biol. 2017, 18, 361–374. [Google Scholar] [CrossRef]
- Tripathy, M.; Srivastava, A. Lipid packing in biological membranes governs protein localization and membrane permeability. Biophys. J. 2023, 122, 2727–2743. [Google Scholar] [CrossRef]
- Ballweg, S.; Sezgin, E.; Doktorova, M.; Covino, R.; Reinhard, J.; Wunnicke, D.; Hänelt, I.; Levental, I.; Hummer, G.; Ernst, R. Regulation of lipid saturation without sensing membrane fluidity. Nat. Commun. 2020, 11, 756. [Google Scholar] [CrossRef]
- Heather, G.M.; Allen, C. DPPC Langmuir Monolayer at the Air−Water Interface: Probing the Tail and Head Groups by Vibrational Sum Frequency Generation Spectroscopy. Langmuir 2006, 22, 5341–5349. [Google Scholar]
- Ghysels, A.; Krämer, A.; Venable, R.M.; Teague, W.E., Jr.; Lyman, E.; Gawrisch, K.; Pastor, R.W. Permeability of membranes in the liquid ordered and liquid disordered phases. Nat. Commun. 2019, 10, 5616. [Google Scholar] [CrossRef]
- Almeida, P.F.; Vaz, W.L.; Thompson, T.E. Lateral diffusion in the liquid phases of dimyristoylphosphatidylcholine/cholesterol lipid bilayers: A free volume analysis. Biochemistry 1992, 31, 6739–6747. [Google Scholar] [CrossRef]
- Almeida, P.F.F.; Vaz, W.L.C.; Thompson, T.E. Lipid diffusion, free area, and molecular dynamics simulations. Biophys. J. 2005, 88, 4434–4438. [Google Scholar] [CrossRef]
- Drabik, D.; Chodaczek, G.; Kraszewski, S.; Langner, M. Mechanical Properties Determination of DMPC, DPPC, DSPC, and HSPC Solid-Ordered Bilayers. Langmuir 2020, 36, 3826–3835. [Google Scholar] [CrossRef] [PubMed]
- Machado, A.C.; Caseli, L. Interaction of nitrofurantoin with lipid langmuir monolayers as cellular membrane models distinguished with tensiometry and infrared spectroscopy. Colloids Surf. B 2020, 188, 110794. [Google Scholar] [CrossRef]
- Sahin, I.; Ceylan, Ç.; Bayraktar, O. Ruscogenin interacts with DPPC and DPPG model membranes and increases the membrane fluidity: FTIR and DSC studies. Arch. Biochem. Biophys. 2023, 733, 109481. [Google Scholar] [CrossRef] [PubMed]
- Andersson, J.; Bilotto, P.; Mears, L.L.E.; Fossatia, S.; Ramach, U.; Köper, I.; Valtiner, M.; Knoll, W. Solid-supported lipid bi-layers—A versatile tool for the structural and functional characterization of membrane proteins. Methods 2020, 180, 56–68. [Google Scholar] [CrossRef]
- Rojewska, M.; Smułek, W.; Kaczorek, E.; Prochaska, K. Langmuir Monolayer Techniques for the Investigation of Model Bacterial Membranes and Antibiotic Biodegradation Mechanisms. Membranes 2021, 11, 707. [Google Scholar] [CrossRef] [PubMed]
- Valenzuela, S.M. Chapter 3: Liposome techniques for synthesis of biomimetic lipid membranes. In Nanobiotechnology of Biomimetic Membranes; Martin, D.K., Ed.; Springer: Berlin/Heidelberg, Germany, 2007. [Google Scholar]
- Brown, R.E.; Brockman, H.L. Using monomolecular films to characterize lipid lateral interactions. Lipid Rafts 2007, 398, 41–58. [Google Scholar]
- Phan, M.D.; Shin, K. A Langmui Monolayer: Ideal model membrane to study cell. J. Chem. Biol. Interfaces 2014, 2, 1–5. [Google Scholar] [CrossRef]
- Stefaniu, C.; Brezesinski, G.; Möhwald, H. Langmuir monolayers as models to study processes at membrane surfaces. Adv. Coll. Interf. Sci. 2014, 208, 197–213. [Google Scholar] [CrossRef] [PubMed]
- Elderdfi, M.; Sikorski, A.F. Langmuir-monolayer methodologies for characterizing protein-lipid interactions. Chem. Phys. Lipids 2018, 212, 61–72. [Google Scholar] [CrossRef]
- Andelman, D.; Brochard, F.; Knobler, C.; Rondelez, F. Structures and Phase Transitions in Langmuir Monolayers. In Micelles, Membranes, Microemulsions and Monolayers; Gelbart, W.M., Ben-Shaul, A., Roux, D., Eds.; Springer-Verlag New York, Inc.: New York, NY, USA, 1994; pp. 559–602. [Google Scholar]
- Kaganer, V.M.; Möhwald, H.; Dutta, P. Structura and phase transitions in Langmuir monolayers. Rev. Mod. Phys. 1999, 71, 779–819. [Google Scholar] [CrossRef]
- Mehellou, Y.; Rattan, H.S.; Balzarini, J. The ProTide Prodrug Technology: From the Concept to the Clinic. J. Med. Chem. 2018, 61, 2211–2226. [Google Scholar] [CrossRef] [PubMed]
- Jessen, H.J.; Schulz, T.; Balzarini, J.; Meier, C. Bioreversible Protection of Nucleoside Diphosphates. Angew. Chem. Int. Ed. 2008, 47, 8719–8722. [Google Scholar] [CrossRef] [PubMed]
- Gollnest, T.; de Oliveira, T.; Schols, D.; Balzarini, J.; Meier, C. Lipophilic prodrugs of nucleoside triphosphates as biochemical probes and potential antivirals. Nat. Commun. 2015, 6, 8716. [Google Scholar] [CrossRef]
- Peters, B.J.; Van Cleave, C.; Haase, A.A.; Hough, J.P.B.; Giffen-Kent, K.A.; Cardiff, G.M.; Sostarecz, A.G.; Crick, D.C.; Crans, D.C. Structure Dependence of Pyridine and Benzene Derivatives on Interactions with Model Membranes. Langmuir 2018, 34, 8939–8951. [Google Scholar] [CrossRef] [PubMed]
- Zhao, T.; Xu, G.; Yuan, S.; Chen, Y.; Yan, H. Molecular Dynamics Study of Alkyl Benzene Sulfonate at Air/Water Interface: Effect of Inorganic Salts. J. Phys. Chem. B 2010, 114, 5025–5033. [Google Scholar] [CrossRef]
- Klopfer, K.J.; Vanderlick, T.K. Isotherms of Dipalmitoylphosphatidylcholine (DPPC) Monolayers: Features Revealed and Features Obscured. J. Colloid Interf. Sci. 1996, 182, 220–229. [Google Scholar] [CrossRef]
- Duncan, S.L.; Larson, R.G. Comparing Experimental and Simulated Pressure-Area Isothermsfor DPPC. Biophys. J. 2008, 94, 2965–2986. [Google Scholar] [CrossRef]
- Cutró, A.; Hollmann, A.; Cejas, J.; Maturana, P.; Disalvo, E.; Frías, M. Phenylalanine interaction with lipid monolayers at different pHs. Colloids Surf. B 2015, 135, 504–509. [Google Scholar] [CrossRef]
- Dynarowicz-Łątka, P.; Milart, P. Synthesis and Langmuir monolayer characterisation of some nitro derivatives of polyphenyl carboxylic acids. J. Chem. Res. 2009, 4, 225–228. [Google Scholar] [CrossRef]
- Dynarowicz-Ła, P.; Dhanabalan, A.; Cavalli, A.; Oliveira, O.N. Langmuir Monolayers of Polyphenyl Carboxylic Acids. J. Phys. Chem. B 2000, 104, 1701–1707. [Google Scholar] [CrossRef]
- Saha, A.; SenGupta, S.; Kumar, A.; Naik, P.D. Interaction of l-Phenylalanine with Lipid Monolayers at Air–Water Interface at Different pHs: Sum-Frequency Generation Spectroscopy and Surface Pressure Studies. J. Phys. Chem. C 2018, 122, 3875–3884. [Google Scholar] [CrossRef]
- Mitsuya, H.; Weinhold, K.J.; Furman, P.A.; Clair, M.H.S.; Lehrman, S.N.; Gallo, R.C.; Bolognesi, D.; Barry, D.W.; Broder, S. 3′-Azido-3′-deoxythymidine (BW A509U): An antiviral agent that inhibits the infectivity and cytopathic effect of human T-lymphotropic virus type III/lymphadenopathy-associated virus in vitro. Proc. Natl. Acad. Sci. USA 1958, 82, 7096–7100. [Google Scholar] [CrossRef] [PubMed]
- Wagner, C.R.; McIntee, E.J.; Schinazi, R.F.; Abraham, T.W. Aromatic amino acid phosphoramidate di- and triesters of 3′-azido-3′-deoxythymidine (AZT) are non-toxic inhibitors of HIV-1 replication. Bioorg. Med. Lett. 1995, 5, 1819–1824. [Google Scholar] [CrossRef]
- Kraszewski, A.; Stawinski, J. Aryl nucleoside H-phosphonates. versatile intermediates in the synthesis of nucleotides and their analogues. Trends Org. Chem. 2003, 10, 1–19. [Google Scholar] [CrossRef]
- Romanowska, J.; Szymanska-Michalak, A.; Pietkiewicz, M.; Sobkowski, M.; Boryski, J.; Stawinski, J.; Kraszewski, A. A new, efficient entry to non-lipophilic H-phosphonate monoesters-preparation of anti-HIV nucleotide analogues. Lett. Org. Chem. 2009, 6, 496–499. [Google Scholar] [CrossRef]
- Romanowska, J.; Szymanska-Michalak, A.; Boryski, J.; Stawinski, J.; Loddo, R.; Sanna, G.; Collu, G.; Secci, B.; La Colla, P.; Kraszewski, A. Aryl nucleoside H-phosphonates. Part 16: Synthesis and anti-HIV-1 activity of diaryl nucleoside phosphotriesters. Bioorg. Med. Chem. 2009, 17, 3489–3498. [Google Scholar] [CrossRef]
- Romanowska, J.; Kolodziej, K.; Sobkowski, M.; Rachwalak, M.; Jakubowski, T.; Golebiewska, J.; Kraszewski, A.; Boryski, J.; Dabrowska, A.; Stawinski, J. Aryl H-phosphonates. 19. New anti-HIV pronucleotide phosphoramidate diesters containing amino- and hydroxypyridine auxiliaries. Eur. J. Med. Chem. 2019, 164, 47–58. [Google Scholar] [CrossRef]
- Davies, J.T.; Rideal, K. Interfacial Phenomena, 2nd ed.; Academic Press: New York, NY, USA, 1963; p. 265. [Google Scholar]
- Ładniak, A.; Jurak, M.; Wiącek, A.E. Langmuir monolayer study of phospholipid DPPC on the titanium dioxide–chitosan–hyaluronic acid subphase. Adsorption 2019, 25, 469–476. [Google Scholar] [CrossRef]
- Rojewska, M.; Smułek, W.; Grzywaczyk, A.; Kaczorek, E.; Prochaska, K. Study of Interactions between Saponin Biosurfactant and Model Biological Membranes: Phospholipid Monolayers and Liposomes. Molecules 2023, 28, 1965. [Google Scholar] [CrossRef]






| Substance | Chemical Structure | Molar Mass [g/mol] | |
|---|---|---|---|
| AZTMP | C10H12N5O7P2− Na+ | ![]() | M = 345.2 MNa+ = 23 |
| (1) | C12H17N5O7P− Na+ | ![]() | M = 374.3 MNa+ = 23 |
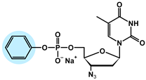
| (2) | C16H17N5O7P− Na+ | ![]() | M = 422.3 MNa+ = 23 |
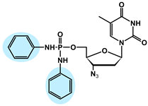
| (3) | C22H24N7O5P | ![]() | M = 497.45 |
| Alift-off [Å2/molec.] | Acollapse [Å2/molec.] | πcollapse [mN/m] | Amax [Å2/molec.] | πmax [mN/m] | Cs−1max [mN/m] | |
|---|---|---|---|---|---|---|
| DPPC | 85.1 | 32.9 | 58.4 | 40.2 | 42.3 | 270.5 |
| DPPC/AZTMP | 92.2 | 31.5 | 58.9 | 39.8 | 44.8 | 171.8 |
| DPPC/(1) | 88.2 | 32.8 | 56.9 | 41.7 | 40.2 | 264.8 |
| DPPC/(2) | 82.4 | 27.7 | 53.0 | 36.8 | 37.2 | 245.3 |
| DPPC/(3) | 108.1 | 36.3 | 44.5 | 42.3 | 34.6 | 142.1 |
| Substance | Concentration [mg/L] | Alift-off [Å2/molec.] | πcollapse [mN/m] | Acollapse [Å2/molec.] | Cs−1max [mN/m] | Amax [Å2/molec.] | πmax [mN/m] |
|---|---|---|---|---|---|---|---|
| DPPC | - | 85 | 58.4 | 32.9 | 270.5 | 40.2 | 42.3 |
| AZTMP | 5 | 92 | 58.9 | 31.5 | 171.8 | 39.8 | 44.7 |
| 30 | 94 | 62.6 | 31.6 | 205.1 | 39.0 | 47.2 | |
| 60 | 102 | 58.5 | 33.2 | 212.2 | 40.8 | 42.7 | |
| (2) | 5 | 82 | 53.0 | 27.7 | 245.2 | 36.8 | 37.2 |
| 30 | 110 | 51.8 | 36.7 | 163.7 | 45.4 | 40.7 | |
| 60 | 109 | 56.8 | 31.7 | 195.0 | 40.2 | 43.2 | |
| (3) | 5 | 108 | 44.5 | 36.3 | 142.1 | 42.3 | 34.6 |
| 30 | 110 | 55.9 | 31.0 | 211.2 | 38.3 | 44.1 | |
| 60 | 222 | 15.5 * | 58.8 * | 58.8 | 25.7 | 15.5 |
Disclaimer/Publisher’s Note: The statements, opinions and data contained in all publications are solely those of the individual author(s) and contributor(s) and not of MDPI and/or the editor(s). MDPI and/or the editor(s) disclaim responsibility for any injury to people or property resulting from any ideas, methods, instructions or products referred to in the content. |
© 2024 by the authors. Licensee MDPI, Basel, Switzerland. This article is an open access article distributed under the terms and conditions of the Creative Commons Attribution (CC BY) license (https://creativecommons.org/licenses/by/4.0/).
Share and Cite
Rojewska, M.; Romanowska, J.; Kraszewski, A.; Sobkowski, M.; Prochaska, K. The Interactions of Anti-HIV Pronucleotides with a Model Phospholipid Membrane. Molecules 2024, 29, 5787. https://doi.org/10.3390/molecules29235787
Rojewska M, Romanowska J, Kraszewski A, Sobkowski M, Prochaska K. The Interactions of Anti-HIV Pronucleotides with a Model Phospholipid Membrane. Molecules. 2024; 29(23):5787. https://doi.org/10.3390/molecules29235787
Chicago/Turabian StyleRojewska, Monika, Joanna Romanowska, Adam Kraszewski, Michał Sobkowski, and Krystyna Prochaska. 2024. "The Interactions of Anti-HIV Pronucleotides with a Model Phospholipid Membrane" Molecules 29, no. 23: 5787. https://doi.org/10.3390/molecules29235787
APA StyleRojewska, M., Romanowska, J., Kraszewski, A., Sobkowski, M., & Prochaska, K. (2024). The Interactions of Anti-HIV Pronucleotides with a Model Phospholipid Membrane. Molecules, 29(23), 5787. https://doi.org/10.3390/molecules29235787





