Experimental and DFT Approaches to Physico-Chemical Properties of Bioactive Resveratrol Analogues
Abstract
1. Introduction
2. Results and Discussion
2.1. Prediction of pKa Values for Resveratrol Analogues 2–6 and In Silico Study of Their Absorption and Distribution in the Human Body
2.2. Experimental Approach to pKa Determination
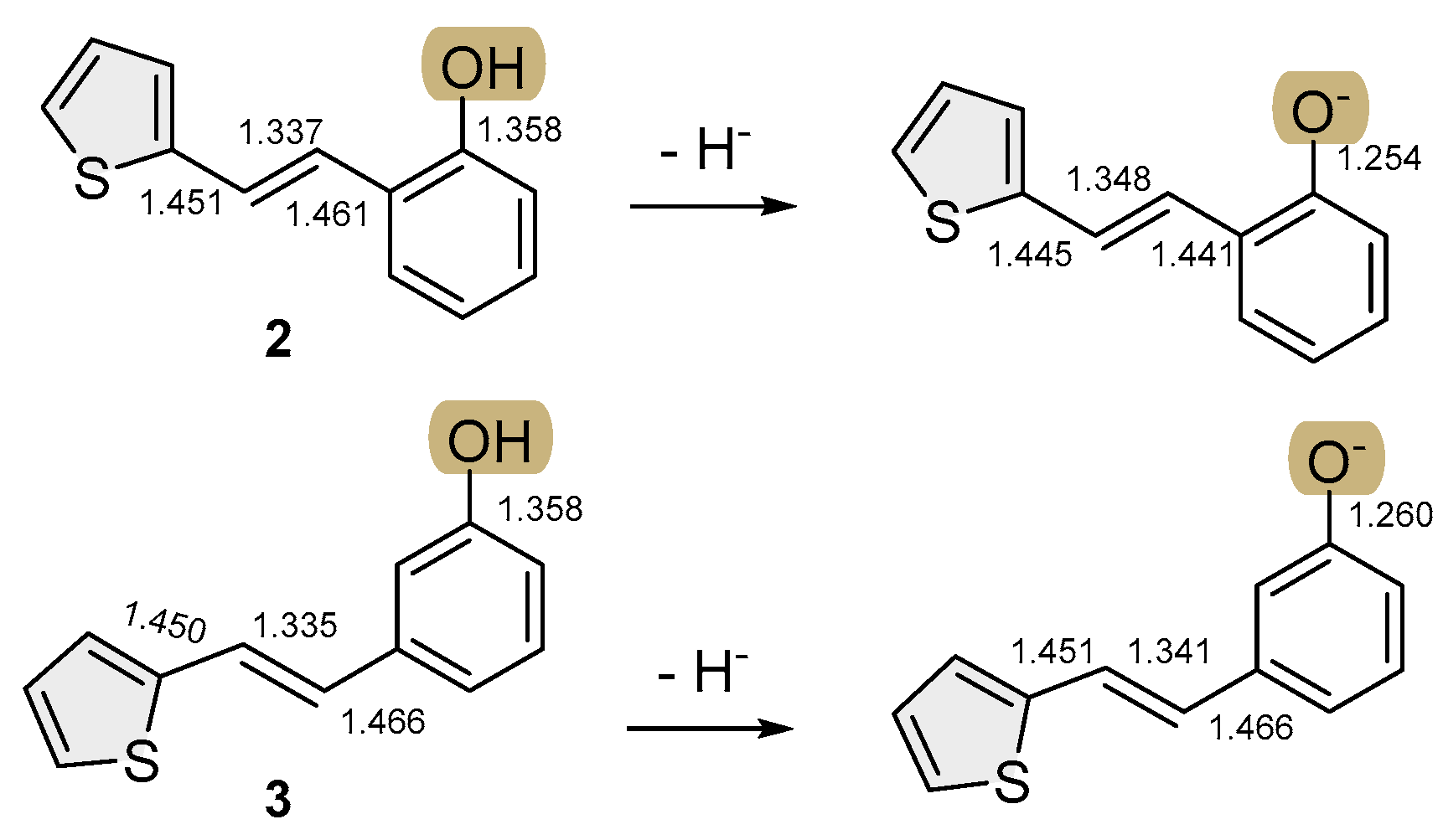
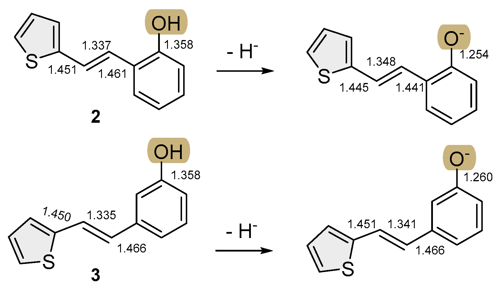
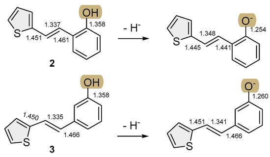
2.3. Computational Approach to pKa Determination
3. Materials and Methods
3.1. Materials
3.2. Spectroscopic Data for 2–6
- (E)-2-(2-(Thiophen-2-yl)vinyl)phenol (2): 495 mg, 82% isolated; white powder, m. p. 126–127 °C; Rf (PE/DCM (50%)) = 0.33; UV (ACN) λmax/nm (ε/dm3mol−1cm−1) 335 (27,412); 1H NMR (CDCl3, 600 MHz) δ/ppm: 7.46 (dd, J = 7.7, 1.6 Hz, 1H), 7.28 (dt, J = 16.1, 0.8 Hz, 1H), 7.20–7.16 (m, 2H), 7.15–7.10 (m, 1H), 7.07 (dt, J = 3.7, 0.9 Hz, 1H), 6.99 (dd, J = 5.1, 3.5 Hz, 1H), 6.93 (dt, J = 7.5, 1.2 Hz, 1H), 6.78 (dd, J = 8.1, 1.2 Hz, 1H), 4.97 (s, 1H); 13C NMR (CDCl3, 150 MHz) δ/ppm: 152.9, 143.3, 128.6, 127.6, 127.2, 126.0, 124.4, 124.3, 123.3, 122.7, 121.2, 115.9; MS (ESI) (m/z) (%, fragment): 203 (100); HRMS (m/z) for C12H10OS: [M + H]+calculated = 202.0452, [M + H]+measured = 202.0449.
- (E)-3-(2-(Thiophen-2-yl)vinyl)phenol (3): 13 mg, 5% isolated; white powder; m. p. 86–88 °C; Rf (PE/E (18%)) = 0.24; 1H NMR (CDCl3, 600 MHz) δ/ppm: 7.22–7.18 (m, 3H), 7.06 (d, J = 3.9 Hz, 1H), 7.04 (d, J = 7.9 Hz, 1H), 7.00 (dd, J = 5.4, 3.3 Hz, 1H), 6.94 (t, J = 2.1 Hz, 1H), 6.86 (d, J = 15.9 Hz, 1H), 6.72 (dd, J = 7.9, 2.5 Hz, 1H), 4.78 (s, 1H); 13C NMR (CDCl3, 150 MHz) δ/ppm: 155.8, 142.7, 138.7, 129.9, 127.8, 127.6, 126.3, 124.5, 122.3, 119.3, 114.7, 112.7; MS (ESI) (m/z) (%, fragment): 203 (100); HRMS (m/z) for C12H10OS: [M + H]+calculated = 202.0452, [M + H]+ measured = 202.0458.
- (E)-5-Methoxy-2-(2-(thiophen-2-yl)vinyl)phenol (4): 60 mg, 40% isolated; yellow powder; m. p. 91–94 °C; Rf (PE/E (60%)) = 0.35; UV (ACN) λmax/nm (ε/dm3mol−1cm−1) 336 (23,732), 244 (9367), 211 (15,320); 1H NMR (CDCl3, 600 MHz) δ/ppm: 7.36 (d, J = 8.7 Hz, 1H), 7.17–7.14 (m, 2H), 7.06 (d, J = 16.2 Hz, 1H), 7.03 (d, J = 3.4 Hz, 1H), 6.98 (dd, J = 4.9, 3.7 Hz, 1H), 6.51 (dd, J = 8.5, 2.6 Hz, 1H), 6.37 (d, J = 2.6 Hz, 1H), 5.03 (s, 1H), 3.79 (s, 3H); 13C NMR (CDCl3, 150 MHz) δ/ppm: 160.2, 153.9, 143.6, 128.2, 127.2, 125.4, 123.8, 122.6, 121.5, 117.3, 107.1, 101.9, 55.4; MS (ESI) (m/z) (%, fragment): 233 (100); HRMS (m/z) for C13H12O2S: [M + H]+calculated = 232.0558, [M + H]+measured = 232.0556.
- (E)-2-(2-(5-Methylthiophen-2-yl)vinyl)phenol (5): 95 mg, 40% isolated; yellow powder; m. p. 88–92 °C; Rf (PE/E (20%)) = 0.54; UV (ACN) λmax/nm (ε/dm3mol−1cm−1) 339 (26,378), 240 (10,925), 208 (19,311); 1H NMR (CDCl3, 600 MHz) δ/ppm: 7.44 (d, J = 7.3 Hz, 1H), 7.18 (d, J = 16.6 Hz, 1H), 7.11 (t, J = 7.9 Hz, 1H), 7.01 (d, J = 16.6 Hz, 1H), 6.92 (t, J = 7.6 Hz, 1H), 6.85 (d, J = 2.9 Hz, 1H), 6.78 (d, J = 7.9 Hz, 1H), 6.64–6.64 (m, 1H), 4.93 (s, 1H), 2.48 (s, 3H); 13C NMR (CDCl3, 150 MHz) δ/ppm: 152.8, 141.2, 139.3, 128.3, 127.1, 126.3, 125.7, 124.5 123.8, 121.4, 121.2, 115.9, 115.6; MS (ESI) (m/z) (%, fragment): 217 (100); HRMS (m/z) for C13H12OS: [M + H]+calculated = 216.0609, [M + H]+measured = 216.0607.
- (E)-5-Methoxy-2-(2-(5-methythiophen-2-yl)vinyl)phenol (6): 15 mg, 16% isolated; yellow powder; m.p. 91–95 °C; Rf (PE/E (60%)) = 0.45; 1H NMR (CDCl3, 600 MHz) δ/ppm: 7.33 (d, J = 8.4 Hz, 1H), 7.06 (d, J = 16.3 Hz, 1H), 6.91 (d, J = 16.3 Hz, 1H), 6.80 (d, J = 3.4 Hz, 1H), 6.62 (d, J = 3.1 Hz, 1H), 6.50 (dd, J = 8.7, 2.6 Hz, 1H), 6.37 (d, J = 2.5 Hz, 1H), 5.03 (s, 1H), 3.78 (s, 3H), 2.47 (s, 3H); 13C NMR (CDCl3, 150 MHz) δ/ppm: 160.0, 153.9, 141.5, 138.7, 128.0, 125.7, 121.9, 121.3, 117.5, 107.1, 101.9, 55.4, 15.6; MS (ESI) (m/z) (%, fragment): 245 (100); HRMS (m/z) for C14H14O2S: [M + H]+calculated = 246.0715, [M + H]+measured = 246.0712.
3.3. Instrumentations and Methods
3.4. Computational Details
4. Conclusions
Supplementary Materials
Author Contributions
Funding
Institutional Review Board Statement
Informed Consent Statement
Data Availability Statement
Acknowledgments
Conflicts of Interest
References
- Freskgard, P.O.; Urich, E. Antibody therapies in CNS diseases. Neuropharmacology 2017, 120, 38–55. [Google Scholar] [CrossRef] [PubMed]
- Marambaud, P.; Zhao, H.; Davies, P. Resveratrol promotes clearance of Alzheimer’s disease amyloid-beta peptides. J. Biol. Chem. 2005, 280, 37377–37382. [Google Scholar] [CrossRef] [PubMed]
- Vingtdeux, V.; Dreses-Werringloer, U.; Zhao, H.; Davies, P.; Marambaud, P. Therapeutic potential of resveratrol in Alzheimer’s disease. BMC Neurosci. 2008, 9, 6. [Google Scholar] [CrossRef]
- Lange, K.W.; Li, S. Resveratrol, pterostilbene, and dementia. BioFactors 2018, 44, 83–90. [Google Scholar] [CrossRef] [PubMed]
- Braidy, N.; Jugder, B.E.; Poljak, A.; Jayasena, T.; Mansour, H.; Nabavi, S.M.; Sachdev, P.; Grant, R. Resveratrol as a potential therapeutic candidate for the treatment and management of Alzheimer’s disease. Curr. Top. Med. Chem. 2016, 16, 1951–1960. [Google Scholar] [CrossRef]
- Bastianetto, S.; Ménard, C.; Quirion, R. Neuroprotective action of resveratrol. Biochim. Biophys. Acta 2015, 1852, 1195–1201. [Google Scholar] [CrossRef]
- Pasinetti, G.M.; Wang, J.; Ho, L.; Zhao, W.; Dubner, L. Roles of resveratrol and other grape-derived polyphenols in Alzheimer’s disease prevention and treatment. Biochim. Biophys. Acta 2015, 1852, 1202–1208. [Google Scholar] [CrossRef]
- Malinowska, M.A.; Sharafan, M.; Lanoue, A.; Ferrier, M.; Hano, C.; Giglioli-Guivarc’h, N.; Dziki, A.; Sikora, E.; Szopa, A. Trans-Resveratrol as a health beneficial molecule: Activity, sources, and methods of analysis. Sci. Radices 2023, 2, 268–294. [Google Scholar] [CrossRef]
- Yuan, W.; Shang, Z.; Qiang, X.; Tan, Z.; Deng, Y. Synthesis of pterostilbene and resveratrol carbamate derivatives as potential dual cholinesterase inhibitors and neuroprotective agents. Res. Chem. Intermed. 2014, 40, 787–800. [Google Scholar] [CrossRef]
- Kohandel, Z.; Darrudi, M.; Naseri, K.; Samini, F.; Aschner, M.; Pourbagher-Shahri, A.-M.; Samarghandian, S. The Role of Resveratrol in aging and aenescence: A focus on molecular mechanisms. Curr. Mol. Med. 2024, 24, 867–875. [Google Scholar] [CrossRef]
- Salem, H.F.; Kharshoum, R.M.; Abou-Taleb, H.A.; Naguib, D.M. Brain targeting of resveratrol through intranasal lipid vesicles labelled with gold nanoparticles: In vivo evaluation and bioaccumulation investigation using computed tomography and histopathological examination. J. Drug Target 2019, 27, 1127–1134. [Google Scholar] [CrossRef] [PubMed]
- Buglio, D.S.; Marton, L.T.; Laurindo, L.F.; Landgraf Guiguer, E.; Cressoni Araújo, A.; Buchaim, R.L.; de Alvares Goulart, R.; Rubira, C.J.; Barbalho, S.M. The role of resveratrol in mild cognitive impairment and Alzheimer’s disease: A systematic review. J. Med. Food 2022, 25, 797–806. [Google Scholar] [CrossRef] [PubMed]
- Yadav, E.; Yadav, P.; Khan, M.M.U.; Singh, H.; Verma, A. Resveratrol: A potential therapeutic natural polyphenol for neurodegenerative diseases associated with mitochondrial dysfunction. Front. Pharmacol. 2022, 13, 922232. [Google Scholar] [CrossRef] [PubMed]
- Ramli, N.Z.; Fairuz Yahaya, M.; Tooyama, I.; Damanhuri, H.A. A mechanistic evaluation of antioxidant nutraceuticals on their potential against age-associated neurodegenerative diseases. Antioxidants 2020, 9, 1019. [Google Scholar] [CrossRef] [PubMed]
- Pourhanifeh, M.H.; Shafabakhsh, R.; Reiter, R.J.; Asemi, Z. The effect of resveratrol on neurodegenerative disorders: Possible protective actions against autophagy, apoptosis, inflammation and oxidative stress. Curr. Pharm. Des. 2019, 25, 2178–2191. [Google Scholar] [CrossRef]
- Vasanthi, C.; Sureshkumar, R. Neuroprotection by resveratrol: A review on brain delivery strategies for Alzheimer’s and Parkinson’s disease. J. Appl. Pharm. Sci. 2022, 12, 1–17. [Google Scholar]
- Socała, K.; Żmudzka, E.; Lustyk, K.; Zagaja, M.; Brighenti, V.; Costa, A.M.; Andres-Mach, M.; Pytka, K.; Martinelli, I.; Mandrioli, J.; et al. Therapeutic potential of stilbenes in neuropsychiatric and neurological disorders: A comprehensive review of preclinical and clinical evidence. Phytother Res. 2024, 38, 1400–1461. [Google Scholar] [CrossRef]
- Mlakić, M.; Odak, I.; Barić, D.; Talić, S.; Šagud, I.; Štefanić, Z.; Molčanov, K.; Lasić, Z.; Kovačević, B.; Škorić, I. New resveratrol analogs as improved biologically active structures: Design, synthesis and computational modeling. Bioorg. Chem. 2024, 143, 106965. [Google Scholar] [CrossRef]
- Mlakić, M.; Rajić, L.; Ljubić, A.; Vušak, V.; Zelić, B.; Gojun, M.; Odak, I.; Čule, I.; Šagud, I.; Šalić, A.; et al. Synthesis of new heterocyclic resveratrol analogues in milli- and microreactors: Intensification of the Wittig reaction. J. Flow Chem. 2022, 12, 429–440. [Google Scholar] [CrossRef]
- Fauconneau, B.; Waffo-Teguo, P.; Huguet, F.; Barrier, L.; Decendit, A.; Merillon, J.M. Comparative study of radical scavenger and antioxidant properties of phenolic compounds from Vitis vinifera cell cultures using in vitro tests. Life Sci. 1997, 61, 2103–2110. [Google Scholar] [CrossRef]
- Mlakić, M.; Talić, S.; Odak, I.; Barić, D.; Šagud, I.; Škorić, I. Cholinesterase Inhibition and Antioxidative Capacity of New Heteroaromatic Resveratrol Analogs: Synthesis and Physico—Chemical Properties. Int. J. Mol. Sci. 2024, 25, 7401. [Google Scholar] [CrossRef] [PubMed]
- Wishart, D.S. Improving early drug discovery through ADME modelling: An overview. Drugs R D 2007, 8, 349–362. [Google Scholar] [CrossRef] [PubMed]
- Manallack, D.T. The pKa Distribution of Drugs: Application to Drug Discovery. Perspect. Med. Chem. 2007, 1, 25–38. [Google Scholar] [CrossRef]
- Manallack, D.T.; Prankerd, R.J.; Yuriev, E.; Oprea, T.I.; Chalmers, D.K. The significance of acid/base properties in drug discovery. Chem Soc Rev. 2013, 42, 485–496. [Google Scholar] [CrossRef] [PubMed]
- Zimányi, L.; Thekkan, S.; Eckert, B.; Condren, A.R.; Dmitrenko, O.; Kuhn, L.R.; Alabugin, I.V.; Saltiel, J. Determination of the pKa Values of trans-Resveratrol, a Triphenolic Stilbene, by Singular Value Decomposition. Comparison with Theory. J. Phys. Chem. A 2020, 124, 6294–6302. [Google Scholar] [CrossRef]
- Mlakić, M.; Đurčević, E.; Odak, I.; Barić, D.; Juričević, I.; Šagud, I.; Burčul, F.; Lasić, Z.; Marinić, Ž.; Škorić, I. Thieno-thiazolostilbenes, thienobenzo-thiazoles, and naphtho-oxazoles: Computational study and cholinesterase inhibitory activity. Molecules 2023, 28, 3781. [Google Scholar] [CrossRef]
- Mlakić, M.; Faraho, I.; Odak, I.; Kovačević, B.; Raspudić, A.; Šagud, I.; Bosnar, M.; Škorić, I.; Barić, D. Cholinesterase inhibitory and anti-inflammatory activity of the naphtho- and thienobenzo-triazole photoproducts: Experimental and computational study. Int. J. Mol. Sci. 2023, 24, 14676. [Google Scholar] [CrossRef]
- Mlakić, M.; Selec, I.; Ćaleta, I.; Odak, I.; Barić, D.; Ratković, A.; Molčanov, K.; Škorić, I. New thienobenzo/naphtho-triazoles as butyrylcholinesterase inhibitors. Design, synthesis and computational study. Int. J. Mol. Sci. 2023, 24, 5879. [Google Scholar] [CrossRef]
- Mlakić, M.; Odak, I.; Faraho, I.; Talić, S.; Bosnar, M.; Lasić, K.; Barić, D.; Škorić, I. New naphtho/thienobenzo-triazoles with interconnected anti-inflammatory and cholinesterase inhibitory activity. Eur. J. Med. Chem. 2022, 241, 114616. [Google Scholar] [CrossRef]
- Mlakić, M.; Faraho, I.; Odak, I.; Talić, S.; Vukovinski, A.; Raspudić, A.; Bosnar, M.; Zadravec, R.; Ratković, A.; Lasić, K.; et al. Synthesis, photochemistry and computational study of novel 1,2,3-triazole heterostilbenes: Expressed biological activity of their electrocyclization photoproducts. Bioorg. Chem. 2022, 121, 105701. [Google Scholar] [CrossRef]
- Modrić, M.; Božičević, M.; Faraho, I.; Bosnar, M.; Škorić, I. Design, synthesis and biological evaluation of new 1,3-thiazole derivatives as potential anti-inflammatory agents. J. Mol. Struct. 2021, 1239, 130526. [Google Scholar] [CrossRef]
- Chemaxon. MarviSketch, Product, version 24.1.0; Chemaxon: Budapest, Hungary, 2024.
- Pires, D.E.V.; Blundell, T.L.; Ascher, D.B. pkCSM: Predicting small-molecule pharmacokinetic properties using graph-based signatures. J. Med. Chem. 2015, 58, 4066–4072. [Google Scholar] [CrossRef] [PubMed]
- Tomsho, J.W.; Pal, A.; Hall, D.G.; Benkovic, S.J. Ring structure and aromatic substituent effects on the pKa of the benzoxaborole pharmacophore. ACS Med. Chem. Lett. 2012, 3, 48–52. [Google Scholar] [CrossRef]
- Martínez, C.H.R.; Dardonville, C. Rapid determination of ionization constants (pKa) by UV spectroscopy using 96-well microtiter plates. ACS Med. Chem. Lett. 2013, 4, 142–145. [Google Scholar] [CrossRef] [PubMed]
- Albert, A.; Serjeant, E.P. The Determination of Ionization Constants: A Laboratory Manual; Chapman and Hall: London, UK, 1971. [Google Scholar]
- Siegbahn, P.E.M.; Himo, F. The quantum chemical cluster approach for modeling enzyme reactions. Comput. Mol. Sci. 2011, 1, 323–336. [Google Scholar] [CrossRef]
- Thapa, B.; Schelegel, H.B. Density functional theory calculation of pKa’s of thiols in aqueous solution using explicit water molecules and the polarizable continuum model. J. Phys. Chem. A 2016, 120, 5726–5735. [Google Scholar] [CrossRef]
- Lee, C.; Yang, W.; Parr, R.G. Development of the Colle-Salvetti correlation-energy formula into a functional of the electron density. Phys. Rev. B 1988, 37, 785–789. [Google Scholar] [CrossRef]
- Grimme, S. Semiempirical GGA-type density functional constructed with a long-range dispersion correction. J. Comp. Chem. 2006, 32, 1456–1465. [Google Scholar] [CrossRef]
- Chai, J.-D.; Head-Gordon, M. Long-range corrected hybrid density functionals with damped atom-atom dispersion corrections. Phys. Chem. Chem. Phys. 2008, 10, 6615–6620. [Google Scholar] [CrossRef]
- Zhao, Y.; Truhlar, D.G. The M06 suite of density functionals for main group thermochemistry, thermochemical kinetics, noncovalent interactions, excited states, and transition elements: Two new functionals and systematic testing of four M06-class functionals and 12 other functionals. Theor. Chem. Acc. 2008, 120, 215–241. [Google Scholar]
- Marenich, A.V.; Cramer, C.J.; Truhlar, D.G. Universal solvation model based on solute electron density and on a continuum model of the solvent defined by the bulk dielectric constant and atomic surface tensions. J. Phys. Chem. B 2009, 113, 6378–6396. [Google Scholar] [CrossRef] [PubMed]
- Kelly, C.P.; Cramer, C.J.; Truhklar, D.G. Adding explicit solvent molecules to continuum solvent calculations for the calculation of aqueous acid dissociation constants. J. Phys. Chem. A 2006, 110, 2493–2499. [Google Scholar] [CrossRef] [PubMed]
- Liptak, M.; Gross, K.C.; Seybold, P.G.; Feldgus, S.; Shields, G.C. Absolute pKa Determinations for Substituted Phenols. J. Am. Chem. Soc. 2002, 124, 6421–6427. [Google Scholar] [CrossRef] [PubMed]
- Frisch, M.J.; Trucks, G.W.; Schlegel, H.B.; Scuseria, G.E.; Robb, M.A.; Cheeseman, J.R.; Scalmani, G.; Barone, V.; Petersson, G.A.; Nakatsuji, H.; et al. Gaussian 16, Revision, C.01; Gaussian, Inc.: Wallingford, CT, USA, 2016.







| Compound | Calculated pKa |
|---|---|
| 2 | ![]() |
| 3 | ![]() |
| 4 | ![]() |
| 5 | ![]() |
| 6 | ![]() |
| Property | Model Name | Compound 2 | Compound 3 | Compound 4 | Compound 5 | Compound 6 | Unit |
|---|---|---|---|---|---|---|---|
| Absorption | Water solubility | −3.45 | −3.45 | −3.46 | −3.66 | −3.69 | log mol/L |
| Absorption | Caco2 permeability | 1.67 | 1.67 | 1.78 | 1.67 | 1.79 | log Papp in 10−6 cm/s |
| Absorption | Intestinal absorption (human) | 90.34 | 90.34 | 90.23 | 91.01 | 90.91 | % absorbed |
| Absorption | Skin permeability | −2.32 | −2.32 | −2.43 | −2.26 | −2.39 | log Kp |
| Absorption | P-glycoprotein substrate | Yes | Yes | No | Yes | No | |
| Absorption | P-glycoprotein I inhibitor | No | No | No | No | No | |
| Absorption | P-glycoprotein II inhibitor | No | No | No | No | No | |
| Distribution | VDss (human) | 0.52 | 0.52 | 0.41 | 0.59 | 0.48 | log L/kg |
| Distribution | Fraction unbound (human) | 0.08 | 0.08 | 0.08 | 0.07 | 0.07 | Fu |
| Distribution | BBB permeability | 0.60 | 0.60 | 0.59 | 0.59 | 0.57 | log BB |
| Distribution | CNS permeability | −1.55 | −1.55 | −1.60 | −1.55 | −1.59 | log PS |
| Compound | pKa | R2 | ± Scatter Value |
|---|---|---|---|
| 2 | 9.85 | 0.99203 | 9.88 ± 0.04 |
| 9.86 | 0.98737 | ||
| 9.92 | 0.98910 | ||
| 3 | 10.10 | 0.96469 | 10.07 ± 0.03 |
| 10.07 | 0.97490 | ||
| 10.05 | 0.95865 | ||
| 4 | 9.11 | 0.99449 | 9.17 ± 0.06 |
| 9.19 | 0.99321 | ||
| 9.21 | 0.98008 | ||
| 5 | 9.45 | 0.99651 | 9.40 ± 0.05 |
| 9.40 | 0.98647 | ||
| 9.36 | 0.96787 | ||
| 6 | 9.62 | 0.95217 | 9.62 ± 0.04 |
| 9.59 | 0.95614 | ||
| 9.66 | 0.90128 |
| Compound | |||||||
|---|---|---|---|---|---|---|---|
| Model | 2 | 3 | 4 | 5 | 6 | MAE | |
| pKa | M1 | 8.6 | 9.7 | 8.1 | 7.9 | 8.1 | 1.1 |
| M2 | 8.7 | 10.2 | 8.9 | 9.3 | 8.6 | 0.4 | |
| M3 | 8.4 | 9.9 | 9.0 | 8.3 | 7.5 | 1.0 | |
| ΔGacid [kcal mol−1] | MII | 337.8 | 346.7 | 338.0 | 338.8 | 337.0 | |
| Compound | ||||||
|---|---|---|---|---|---|---|
| Model | 2 | 3 | 4 | 5 | 6 | |
| ∆Hπ-π [kcal mol−1] | M2 | −4.0 | −3.9 | −4.7 | −4.0 | −4.6 |
| ∆HHB [kcal mol−1] | M2 | −6.0 | −4.8 | −6.0 | −5.9 | −6.2 |
Disclaimer/Publisher’s Note: The statements, opinions and data contained in all publications are solely those of the individual author(s) and contributor(s) and not of MDPI and/or the editor(s). MDPI and/or the editor(s) disclaim responsibility for any injury to people or property resulting from any ideas, methods, instructions or products referred to in the content. |
© 2024 by the authors. Licensee MDPI, Basel, Switzerland. This article is an open access article distributed under the terms and conditions of the Creative Commons Attribution (CC BY) license (https://creativecommons.org/licenses/by/4.0/).
Share and Cite
Kovačević, B.; Šagud, I.; Drmić, K.M.; Mlakić, M.; Škorić, I.; Babić, S. Experimental and DFT Approaches to Physico-Chemical Properties of Bioactive Resveratrol Analogues. Molecules 2024, 29, 5481. https://doi.org/10.3390/molecules29225481
Kovačević B, Šagud I, Drmić KM, Mlakić M, Škorić I, Babić S. Experimental and DFT Approaches to Physico-Chemical Properties of Bioactive Resveratrol Analogues. Molecules. 2024; 29(22):5481. https://doi.org/10.3390/molecules29225481
Chicago/Turabian StyleKovačević, Borislav, Ivana Šagud, Katarina Marija Drmić, Milena Mlakić, Irena Škorić, and Sandra Babić. 2024. "Experimental and DFT Approaches to Physico-Chemical Properties of Bioactive Resveratrol Analogues" Molecules 29, no. 22: 5481. https://doi.org/10.3390/molecules29225481
APA StyleKovačević, B., Šagud, I., Drmić, K. M., Mlakić, M., Škorić, I., & Babić, S. (2024). Experimental and DFT Approaches to Physico-Chemical Properties of Bioactive Resveratrol Analogues. Molecules, 29(22), 5481. https://doi.org/10.3390/molecules29225481






