Phytoconstituents and Ergosterol Biosynthesis-Targeting Antimicrobial Activity of Nutmeg (Myristica fragans Houtt.) against Phytopathogens
Abstract
1. Introduction
2. Results
2.1. Extract Characterization
2.1.1. Vibrational Characterization Using ATR–FTIR
2.1.2. Phytoconstituents Elucidation by GC–MS
2.2. In Vitro Antifungal/Antioomycetal NME Activity
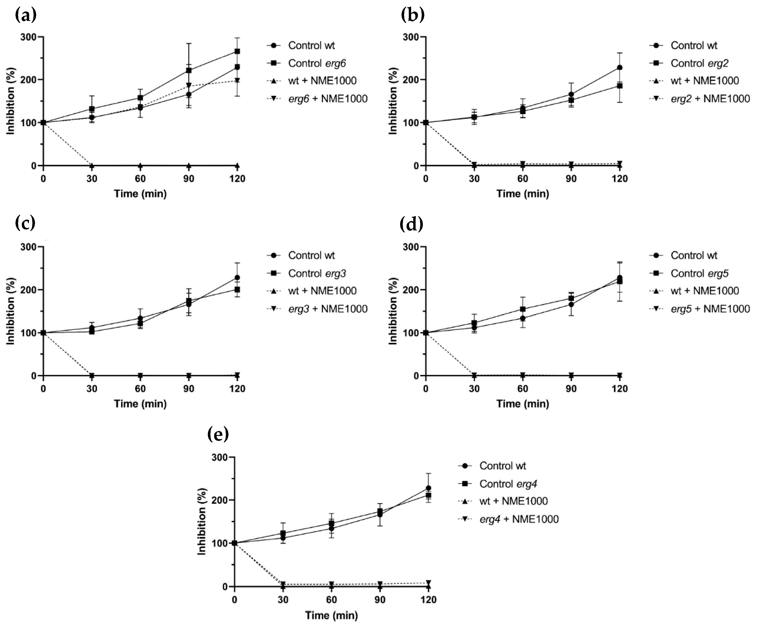
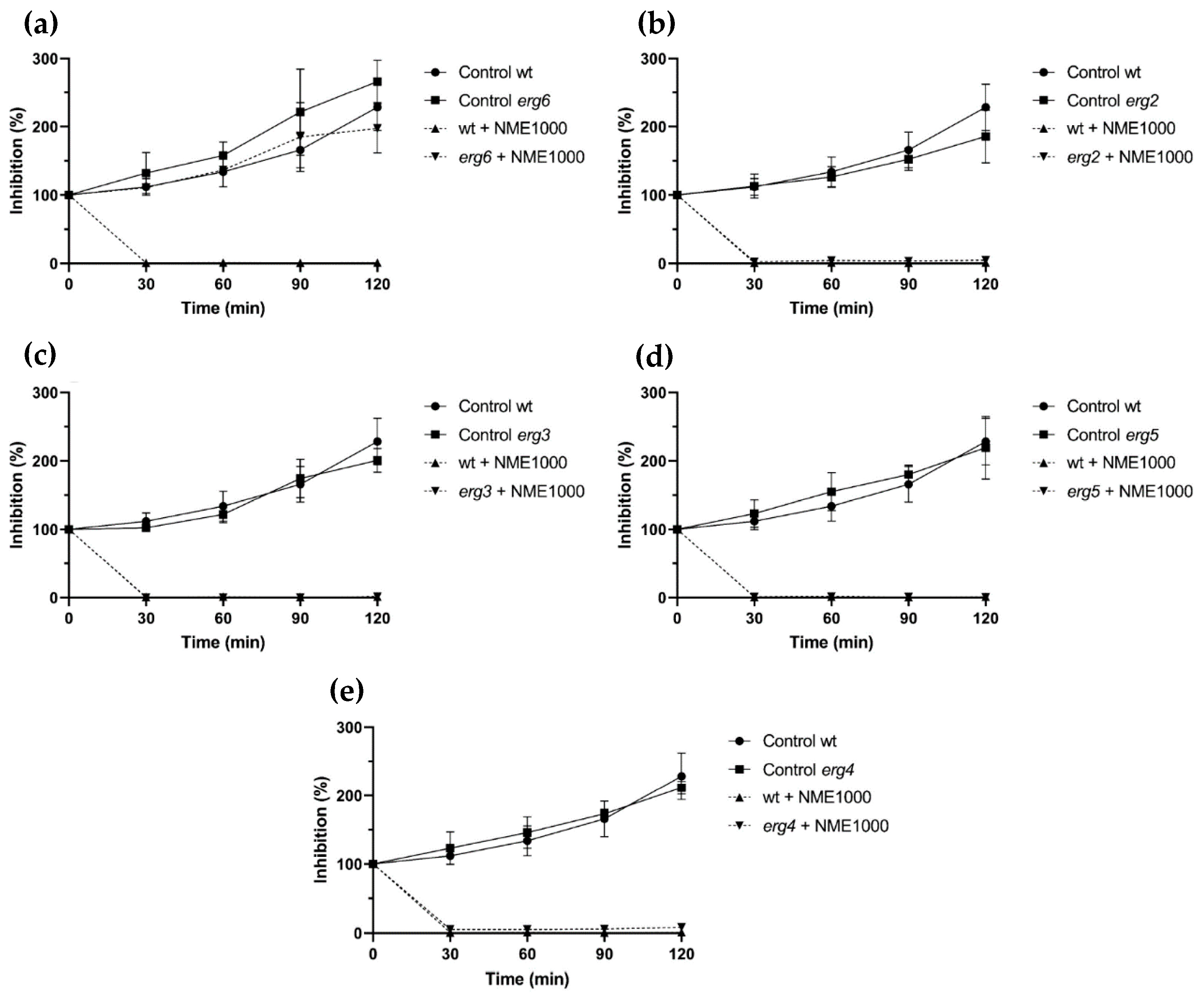
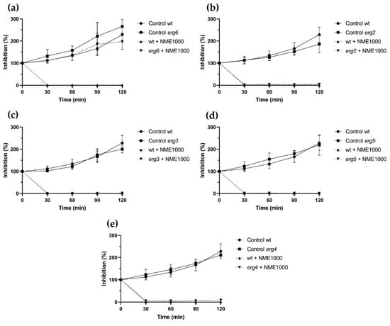
2.3. NME Toxicity Mechanism
3. Discussion
3.1. On the Phytochemical Profile
3.2. On Nutmeg Extracts Antimicrobial Activity
3.3. Mechanism of Action
4. Materials and Methods
4.1. Microbial Organisms, Media, and Growth Conditions
4.2. Plant Material and Extract Preparation
4.3. Extract Characterization
4.4. In Vitro Screening of NME Antifungal/Antioomycetal Activity
4.5. Cell Viability Assays
4.6. Membrane Integrity of S. cerevisiae by Fluorescence Microscopy
4.7. Statistical Analysis
5. Conclusions
Supplementary Materials
Author Contributions
Funding
Institutional Review Board Statement
Informed Consent Statement
Data Availability Statement
Acknowledgments
Conflicts of Interest
References
- Brauer, V.S.; Rezende, C.P.; Pessoni, A.M.; De Paula, R.G.; Rangappa, K.S.; Nayaka, S.C.; Gupta, V.K.; Almeida, F. Antifungal agents in agriculture: Friends and foes of public health. Biomolecules 2019, 9, 521. [Google Scholar] [CrossRef]
- Peng, Y.; Li, S.J.; Yan, J.; Tang, Y.; Cheng, J.P.; Gao, A.J.; Yao, X.; Ruan, J.J.; Xu, B.L. Research progress on phytopathogenic fungi and their role as biocontrol agents. Front. Microbiol. 2021, 12, 670135. [Google Scholar] [CrossRef]
- Soyer, J.L.; Hamiot, A.; Ollivier, B.; Balesdent, M.H.; Rouxel, T.; Fudal, I. The APSES transcription factor LmStuA is required for sporulation, pathogenic development and effector gene expression in Leptosphaeria maculans. Mol. Plant Pathol. 2015, 16, 1000–1005. [Google Scholar] [CrossRef]
- Thynne, E.; Saur, I.M.L.; Simbaqueba, J.; Ogilvie, H.A.; Gonzalez-Cendales, Y.; Mead, O.; Taranto, A.; Catanzariti, A.M.; McDonald, M.C.; Schwessinger, B.; et al. Fungal phytopathogens encode functional homologues of plant rapid alkalinization factor (RALF) peptides. Mol. Plant Pathol. 2016, 18, 811–824. [Google Scholar] [CrossRef]
- Yin, Z.; Ke, X.; Kang, Z.; Huang, L. Apple resistance responses against Valsa mali revealed by transcriptomics analyses. Physiol. Mol. Plant Pathol. 2016, 93, 85–92. [Google Scholar] [CrossRef]
- Shang, Y.; Xiao, G.; Zheng, P.; Cen, K.; Zhan, S.; Wang, C. Divergent and convergent evolution of fungal pathogenicity. Genome Biol. Evol. 2016, 8, 1374–1387. [Google Scholar] [CrossRef]
- Zeilinger, S.; Gupta, V.K.; Dahms, T.E.S.; Silva, R.N.; Singh, H.B.; Upadhyay, R.S.; Gomes, E.V.; Tsui, C.K.-M.; Nayak, S.C.; van der Meer, J.R. Friends or foes? Emerging insights from fungal interactions with plants. FEMS Microbiol. Rev. 2016, 40, 182–207. [Google Scholar] [CrossRef]
- Wiederhold, N. Antifungal resistance: Current trends and future strategies to combat. Infect. Drug Resist. 2017, 10, 249–259. [Google Scholar] [CrossRef]
- Azevedo, M.-M.; Faria-Ramos, I.; Cruz, L.C.; Pina-Vaz, C.; Gonçalves Rodrigues, A. Genesis of azole antifungal resistance from agriculture to clinical settings. J. Agric. Food. Chem. 2015, 63, 7463–7468. [Google Scholar] [CrossRef]
- Zubrod, J.P.; Bundschuh, M.; Arts, G.; Brühl, C.A.; Imfeld, G.; Knäbel, A.; Payraudeau, S.; Rasmussen, J.J.; Rohr, J.; Scharmüller, A.; et al. Fungicides: An overlooked pesticide class? Environ. Sci. Technol. 2019, 53, 3347–3365. [Google Scholar] [CrossRef]
- Creusot, N.; Casado-Martinez, C.; Chiaia-Hernandez, A.; Kiefer, K.; Ferrari, B.J.D.; Fu, Q.; Munz, N.; Stamm, C.; Tlili, A.; Hollender, J. Retrospective screening of high-resolution mass spectrometry archived digital samples can improve environmental risk assessment of emerging contaminants: A case study on antifungal azoles. Environ. Int. 2020, 139, 105708. [Google Scholar] [CrossRef]
- Pironti, C.; Ricciardi, M.; Proto, A.; Bianco, P.M.; Montano, L.; Motta, O. Endocrine-disrupting compounds: An overview on their occurrence in the aquatic environment and human exposure. Water 2021, 13, 1347. [Google Scholar] [CrossRef]
- Kumar, J.; Ramlal, A.; Mallick, D.; Mishra, V. An overview of some biopesticides and their importance in plant protection for commercial acceptance. Plants 2021, 10, 1185. [Google Scholar] [CrossRef]
- Deresa, E.M.; Diriba, T.F. Phytochemicals as alternative fungicides for controlling plant diseases: A comprehensive review of their efficacy, commercial representatives, advantages, challenges for adoption, and possible solutions. Heliyon 2023, 9, e13810. [Google Scholar] [CrossRef]
- Scognamiglio, M.; Graziani, V.; Tsafantakis, N.; Esposito, A.; Fiorentino, A.; D’Abrosca, B. NMR-based metabolomics and bioassays to study phytotoxic extracts and putative phytotoxins from Mediterranean plant species. Phytochem. Anal 2019, 30, 512–523. [Google Scholar] [CrossRef]
- Arumugam, G.; Purushotham, B.; Swamy, M.K. Myristica fragrans Houtt.: Botanical, pharmacological, and toxicological aspects. In Natural Bio-Active Compounds; Swamy, M., Akhtar, M., Eds.; Springer: Singapore, 2019; pp. 81–106. [Google Scholar] [CrossRef]
- Ha, M.T.; Vu, N.K.; Tran, T.H.; Kim, J.A.; Woo, M.H.; Min, B.S. Phytochemical and pharmacological properties of Myristica fragrans Houtt.: An updated review. Arch. Pharmacal. Res. 2020, 43, 1067–1092. [Google Scholar] [CrossRef]
- Barman, R.; Bora, P.K.; Saikia, J.; Kemprai, P.; Saikia, S.P.; Haldar, S.; Banik, D. Nutmegs and wild nutmegs: An update on ethnomedicines, phytochemicals, pharmacology, and toxicity of the Myristicaceae species. Phytother. Res. 2021, 35, 4632–4659. [Google Scholar] [CrossRef]
- Ahmad, R. Mild antihyperglycaemic activity in Eclipta alba, Berberis aristata, Betula utilis, Cedrus deodara, Myristica fragrans and Terminalia chebula. Indian J. Sci. Technol. 2008, 1, 1–6. [Google Scholar] [CrossRef]
- Jin, D.-Q.; Lim, C.S.; Hwang, J.K.; Ha, I.; Han, J.-S. Anti-oxidant and anti-inflammatory activities of macelignan in murine hippocampal cell line and primary culture of rat microglial cells. Biochem. Biophys. Res. Commun. 2005, 331, 1264–1269. [Google Scholar] [CrossRef]
- Radwan, M.M.; Tabanca, N.; Wedge, D.E.; Tarawneh, A.H.; Cutler, S.J. Antifungal compounds from turmeric and nutmeg with activity against plant pathogens. Fitoterapia 2014, 99, 341–346. [Google Scholar] [CrossRef]
- Gupta, A.D.; Bansal, V.K.; Babu, V.; Maithil, N. Chemistry, antioxidant and antimicrobial potential of nutmeg (Myristica fragrans Houtt). J. Genet. Eng. Biotechnol. 2013, 11, 25–31. [Google Scholar] [CrossRef]
- Shafiei, Z.; Shuhairi, N.N.; Md Fazly Shah Yap, N.; Harry Sibungkil, C.-A.; Latip, J. Antibacterial activity of Myristica fragrans against oral pathogens. Evid.-Based Complement. Altern. Med. 2012, 2012, 825362. [Google Scholar] [CrossRef]
- Piaru, S.P.; Mahmud, R.; Shanmugapriya, P. Determination of antibacterial activity of essential oil of Myristica fragrans Houtt. Using tetrazolium microplate assay and its cytotoxic activity against vero cell line. Int. J. Pharmacol. 2012, 8, 572–576. [Google Scholar] [CrossRef]
- Mary, H.; Tina, A.V.; Jeeja, K.J.; Abiramy, M. Phytochemical analysis and anticancer activity of essential oil from Myristica fragrans. Int. J. Curr. Pharm. Rev. Res. 2012, 2, 188–198. [Google Scholar]
- Kuo, S.-C.; Chuang, S.-K.; Lin, H.-Y.; Wang, L.-H. Study of the aerosol fragrances of eugenol derivatives in Cananga odorata using diffuse reflectance infrared Fourier transform spectroscopy and gas chromatography. Anal. Chim. Acta 2009, 653, 91–96. [Google Scholar] [CrossRef]
- Abbey, J.A.; Percival, D.; Abbey, L.; Asiedu, S.K.; Prithiviraj, B.; Schilder, A. Biofungicides as alternative to synthetic fungicide control of grey mould (Botrytis cinerea)—Prospects and challenges. Biocontrol Sci. Technol. 2018, 29, 207–228. [Google Scholar] [CrossRef]
- Fernandes, I.; Alves, A.; Correia, A.; Devreese, B.; Esteves, A.C. Secretome analysis identifies potential virulence factors of Diplodia corticola, a fungal pathogen involved in cork oak (Quercus suber) decline. Fungal Biol. 2014, 118, 516–523. [Google Scholar] [CrossRef]
- Scherm, B.; Balmas, V.; Spanu, F.; Pani, G.; Delogu, G.; Pasquali, M.; Migheli, Q. Fusarium culmorum: Causal agent of foot and root rot and head blight on wheat. Mol. Plant Pathol. 2013, 14, 323–341. [Google Scholar] [CrossRef]
- Dowling, M.; Peres, N.; Villani, S.; Schnabel, G. Managing Colletotrichum on fruit crops: A “complex” challenge. Plant Dis. 2020, 104, 2301–2316. [Google Scholar] [CrossRef]
- Burgess, T.I.; Scott, J.K.; Mcdougall, K.L.; Stukely, M.J.; Crane, C.; Dunstan, W.A.; Brigg, F.; Andjic, V.; White, D.; Rudman, T. Current and projected global distribution of Phytophthora cinnamomi, one of the world’s worst plant pathogens. Glob. Chang. Biol. 2017, 23, 1661–1674. [Google Scholar] [CrossRef]
- Linaldeddu, B.T.; Scanu, B.; Maddau, L.; Franceschini, A.; Belbahri, L. Diplodia corticola and Phytophthora cinnamomi: The main pathogens involved in holm oak decline on Caprera Island (Italy). For. Pathol. 2013, 44, 191–200. [Google Scholar] [CrossRef]
- Sena, K.; Crocker, E.; Vincelli, P.; Barton, C. Phytophthora cinnamomi as a driver of forest change: Implications for conservation and management. For. Ecol. Manag. 2018, 409, 799–807. [Google Scholar] [CrossRef]
- Levin, D.E. Cell wall integrity signaling in Saccharomyces cerevisiae. Microbiol. Mol. Biol. Rev. 2005, 69, 262–291. [Google Scholar] [CrossRef]
- Prasath, K.G.; Sethupathy, S.; Pandian, S.K. Proteomic analysis uncovers the modulation of ergosterol, sphingolipid and oxidative stress pathway by myristic acid impeding biofilm and virulence in Candida albicans. J. Proteom. 2019, 208, 103503. [Google Scholar] [CrossRef]
- Casillas-Vargas, G.; Ocasio-Malavé, C.; Medina, S.; Morales-Guzmán, C.; Del Valle, R.G.; Carballeira, N.M.; Sanabria-Ríos, D.J. Antibacterial fatty acids: An update of possible mechanisms of action and implications in the development of the next-generation of antibacterial agents. Prog. Lipid Res. 2021, 82, 101093. [Google Scholar] [CrossRef]
- Howes, M.-J.R.; Kite, G.C.; Simmonds, M.S.J. Distinguishing Chinese star anise from Japanese star anise using thermal desorption−gas chromatography−mass spectrometry. J. Agric. Food. Chem. 2009, 57, 5783–5789. [Google Scholar] [CrossRef]
- Koeduka, T.; Sugimoto, K.; Watanabe, B.; Someya, N.; Kawanishi, D.; Gotoh, T.; Ozawa, R.; Takabayashi, J.; Matsui, K.; Hiratake, J.; et al. Bioactivity of natural O-prenylated phenylpropenes from Illicium anisatum leaves and their derivatives against spider mites and fungal pathogens. Plant Biol. 2014, 16, 451–456. [Google Scholar] [CrossRef]
- Oo, T.; Saiboonjan, B.; Srijampa, S.; Srisrattakarn, A.; Sutthanut, K.; Tavichakorntrakool, R.; Chanawong, A.; Lulitanond, A.; Tippayawat, P. Inhibition of bacterial efflux pumps by crude extracts and essential oil from Myristica fragrans Houtt. (nutmeg) seeds against methicillin-resistant Staphylococcus aureus. Molecules 2021, 26, 4662. [Google Scholar] [CrossRef]
- Wang, Y.-K.; Yang, X.-N.; Zhu, X.; Xiao, X.-R.; Yang, X.-W.; Qin, H.-B.; Gonzalez, F.J.; Li, F. Role of metabolic activation in elemicin-induced cellular toxicity. J. Agric. Food. Chem. 2019, 67, 8243–8252. [Google Scholar] [CrossRef]
- Rossi, P.-G.; Bao, L.; Luciani, A.; Panighi, J.; Desjobert, J.-M.; Costa, J.; Casanova, J.; Bolla, J.-M.; Berti, L. (E)-Methylisoeugenol and elemicin: Antibacterial components of Daucus carota L. essential oil against Campylobacter jejuni. J. Agric. Food. Chem. 2007, 55, 7332–7336. [Google Scholar] [CrossRef]
- Wei, X.; Yang, J.; Ma, H.-X.; Ding, C.-F.; Yu, H.-F.; Zhao, Y.-L.; Liu, Y.-P.; Khan, A.; Wang, Y.-F.; Yang, Z.-F.; et al. Antimicrobial indole alkaloids with adductive C9 aromatic unit from Gelsemium elegans. Tetrahedron Lett. 2018, 59, 2066–2070. [Google Scholar] [CrossRef]
- Reis, A.; Magne, K.; Massot, S.; Tallini, L.R.; Scopel, M.; Bastida, J.; Ratet, P.; Zuanazzi, J.A.S. Amaryllidaceae alkaloids: Identification and partial characterization of montanine production in Rhodophiala bifida plant. Sci. Rep. 2019, 9, 8471. [Google Scholar] [CrossRef]
- Khan, H.; Mubarak, M.S.; Amin, S. Antifungal potential of alkaloids as an emerging therapeutic target. Curr. Drug Targets 2017, 18, 1825–1835. [Google Scholar] [CrossRef]
- López, V.; Gerique, J.; Langa, E.; Berzosa, C.; Valero, M.S.; Gómez-Rincón, C. Antihelmintic effects of nutmeg (Myristica fragans) on Anisakis simplex L3 larvae obtained from Micromesistius potassou. Res. Vet. Sci. 2015, 100, 148–152. [Google Scholar] [CrossRef]
- Morsy, N.F.S. A comparative study of nutmeg (Myristica fragrans Houtt.) oleoresins obtained by conventional and green extraction techniques. J. Food Sci. Technol. 2016, 53, 3770–3777. [Google Scholar] [CrossRef]
- Sanford, K.J.; Heinz, D.E. Effects of storage on the volatile composition of nutmeg. Phytochemistry 1971, 10, 1245–1250. [Google Scholar] [CrossRef]
- Cho, J.Y.; Choi, G.J.; Son, S.W.; Jang, K.S.; Lim, H.K.; Lee, S.O.; Sung, N.D.; Cho, K.Y.; Kim, J.C. Isolation and antifungal activity of lignans from Myristica fragrans against various plant pathogenic fungi. Pest Manag. Sci. 2007, 63, 935–940. [Google Scholar] [CrossRef]
- Narasimhan, B.; Dhake, A.S. Antibacterial principles from Myristica fragrans seeds. J. Med. Food 2006, 9, 395–399. [Google Scholar] [CrossRef]
- Cossetin, L.F.; Santi, E.M.T.; Garlet, Q.I.; Matos, A.F.I.M.; De Souza, T.P.; Loebens, L.; Heinzmann, B.M.; Monteiro, S.G. Comparing the efficacy of nutmeg essential oil and a chemical pesticide against Musca domestica and Chrysomya albiceps for selecting a new insecticide agent against synantropic vectors. Exp. Parasitol. 2021, 225, 108104. [Google Scholar] [CrossRef]
- Heese-Peck, A.; Pichler, H.; Zanolari, B.; Watanabe, R.; Daum, G.; Riezman, H.; Pelham, H.R.B. Multiple functions of sterols in yeast endocytosis. Mol. Biol. Cell 2002, 13, 2664–2680. [Google Scholar] [CrossRef]
- Bhattacharya, S.; Esquivel, B.D.; White, T.C. Overexpression or deletion of ergosterol biosynthesis genes alters doubling time, response to stress agents, and drug susceptibility in Saccharomyces cerevisiae. mBio 2018, 9, e01291-18. [Google Scholar] [CrossRef] [PubMed]
- Kelly, S.L.; Lamb, D.C.; Corran, A.J.; Baldwin, B.C.; Kelly, D.E. Mode of action and resistance to azole antifungals associated with the formation of 14α-methylergosta-8,24(28)-dien-3β,6α-diol. Biochem. Biophys. Res. Commun. 1995, 207, 910–915. [Google Scholar] [CrossRef] [PubMed]
- Lee, H.-S.; Kim, Y. Paeonia lactiflora inhibits cell wall synthesis and triggers membrane depolarization in Candida albicans. J. Microbiol. Biotechnol. 2017, 27, 395–404. [Google Scholar] [CrossRef] [PubMed]
- Rodriguez-Canales, M.; Medina-Romero, Y.M.; Rodriguez-Monroy, M.A.; Nava-Solis, U.; Bolaños-Cruz, S.I.; Mendoza-Romero, M.J.; Campos, J.E.; Hernandez-Hernandez, A.B.; Chirino, Y.I.; Cruz-Sanchez, T.; et al. Activity of propolis from Mexico on the proliferation and virulence factors of Candida albicans. BMC Microbiol. 2023, 23, 325. [Google Scholar] [CrossRef]
- Balouiri, M.; Sadiki, M.; Ibnsouda, S.K. Methods for in vitro evaluating antimicrobial activity: A review. J. Pharm. Anal. 2016, 6, 71–79. [Google Scholar] [CrossRef]





| Wavenumber (cm−1) | Assignment |
|---|---|
| 2954 | O–H stretching of most carboxylic acids |
| 2915–2919 | asymmetric C–H stretching of methyl and methylene groups |
| 2848–2850 | symmetric C–H stretching of methyl and methylene groups |
| 1698–1704 | carbonyl double bonds (C=O stretching) |
| 1590 | COO− stretching of the carboxyl group |
| 1503 | aromatic ring stretching |
| 1455–1464 | C–H bending |
| 1423–1428 | C=C aromatic stretching |
| 1376 | bending of methyl groups |
| 1330 | C–O stretching vibration of methoxy group (–OCH3) |
| 1262–1285 | unidentified ring mode |
| 1236 | C–O stretching; C–O–C vibrations |
| 1212 | CH3 symmetric deformation |
| 1190 | O–H bending |
| 1125–1126 | ring C–H bending; C–O–C |
| 1036–1093 | C–C stretching in the aliphatic chain |
| 919–938 | O–H out–of–plane bending |
| 814–820 | out–of–plane ring bending |
| 720–726 | –(CH2)n– in–phase rocking |
| RT (Min) | Area (%) | Chemical Species | Qual |
|---|---|---|---|
| 6.1021 | 0.3411 | α-Terpinolene | 97 |
| 6.7431 | 0.6730 | γ-Terpinene | 96 |
| 10.3577 | 0.4669 | Benzene, 1-methoxy-4-pentyl- (or p-pentylanisole) | 83 |
| 12.3104 | 3.3712 | (E)-Isoeugenol | 97 |
| 12.8506 | 0.8069 | (E)-Methyl isoeugenol | 98 |
| 13.2067 | 2.6466 | 1,3-Benzodioxole, 4-methoxy-6-(2-propenyl)- | 98 |
| 13.5687 | 5.2184 | Benzene, 1,2,3-trimethoxy-5-(2-propenyl)- (or elemicin) | 98 |
| 13.6874 | 1.8965 | Dodecanoic acid (or lauric acid) | 99 |
| 13.8655 | 1.6491 | 3,4-Dimethoxyphenylacetone (or veratryl acetone) | 96 |
| 14.1860 | 6.9547 | Phenol, 2,6-dimethoxy-4-(2-propenyl)- (or methoxyeugenol) | 98 |
| 14.2394 | 1.0242 | 3-(2-Methoxy-5-methylphenyl)propionic acid | 58 * |
| 14.6727 | 1.5085 | (E)-Isoelemicin | 98 |
| 15.4324 | 1.1836 | Ethyl 2,2,5-trimethyl-3,4-nonadienoate | 64 |
| 16.0912 | 21.3603 | Tetradecanoic acid (or myristic acid) | 99 |
| 16.1803 | 1.0401 | Dodecanoic acid, ethyl ester (or ethyl laurate) | 97 |
| 16.7857 | 0.9704 | 6b,7,8,9,10,10a-Hexahydrobenz[a]acenaphthylen-9-one | 72 |
| 17.9490 | 4.7691 | n-Hexadecanoic acid | 99 |
| 19.6465 | 10.0477 | 9-Octadecenoic acid (Z)- (or oleic acid) | 99 |
| 19.7770 | 1.3103 | Octadecanoic acid (or stearic acid) | 99 |
| 23.7181 | 0.7030 | 5-Keto-7-methyl-1,2,3,4,5,6,7,8-octahydro-2-quinolone | 64 |
| 23.7834 | 0.8237 | Phthalide, 4,6-dimethoxy- | 50 * |
| 23.8961 | 0.4049 | 9-Carbomethoxy-11-methoxy-6-hydroxy-5-oxoxantho[3,2-g]tetralin | 64 |
| 23.9733 | 0.4450 | 2-(5-Hydroxy-1,6-dimethyl-4,11-dioxo-4,11-dihydro-1H-isochromano(7,6-f)indazol-8-yl)acetic acid methyl ester | 55 * |
| 24.0445 | 0.5452 | N-(4-phenyl-1,2,5-thiadiazol-3-yl)-5-imino-4-phenyl-1,2,3-dithiazole 2-Oxide | 90 |
| 24.2523 | 2.4660 | Naphthalene, 1,4-dihydro-1-(diphenylmethylene)-5-hydroxy-4-oxo- | 90 |
| 24.4541 | 2.1928 | Methyl 3,5,7-trimethoxy-1-methylanthraquinone-2-carboxylate | 90 |
| 24.4897 | 1.3533 | 19-Norpregna-1,3,5(10),17(20)-tetraene-20-carboxylic acid, 3-hydroxy-, methyl ester | 95 |
| 24.5550 | 5.2001 | 1,4,6-Trimethyl-2-azafluorene | 64 |
| 24.8399 | 0.4043 | 6α-methyl-5α-cholestane-3β,6β-diol | 83 |
| 24.9408 | 2.1806 | methyl (5R)-2-(methoxycarbonyl)-3-(dimethoxymalonyl)-5,9-dimethyldec-8-enoate | 90 |
| 25.2494 | 0.8257 | 11β-Hydroxybenzo-18,20]pregna-4,20-dien-3-one | 78 |
| 25.2909 | 1.1488 | Voaluteine, 20-hydroxy-, (20S)- (or montanine (C22 alkaloid), or tabernaemontana) | 92 |
| 25.3503 | 0.4605 | Selinane | 86 |
| 25.7124 | 1.9767 | 19-hydroxy-gelsevirine | 94 |
Disclaimer/Publisher’s Note: The statements, opinions and data contained in all publications are solely those of the individual author(s) and contributor(s) and not of MDPI and/or the editor(s). MDPI and/or the editor(s) disclaim responsibility for any injury to people or property resulting from any ideas, methods, instructions or products referred to in the content. |
© 2024 by the authors. Licensee MDPI, Basel, Switzerland. This article is an open access article distributed under the terms and conditions of the Creative Commons Attribution (CC BY) license (https://creativecommons.org/licenses/by/4.0/).
Share and Cite
Cruz, A.; Sánchez-Hernández, E.; Teixeira, A.; Oliveira, R.; Cunha, A.; Martín-Ramos, P. Phytoconstituents and Ergosterol Biosynthesis-Targeting Antimicrobial Activity of Nutmeg (Myristica fragans Houtt.) against Phytopathogens. Molecules 2024, 29, 471. https://doi.org/10.3390/molecules29020471
Cruz A, Sánchez-Hernández E, Teixeira A, Oliveira R, Cunha A, Martín-Ramos P. Phytoconstituents and Ergosterol Biosynthesis-Targeting Antimicrobial Activity of Nutmeg (Myristica fragans Houtt.) against Phytopathogens. Molecules. 2024; 29(2):471. https://doi.org/10.3390/molecules29020471
Chicago/Turabian StyleCruz, Adriana, Eva Sánchez-Hernández, Ana Teixeira, Rui Oliveira, Ana Cunha, and Pablo Martín-Ramos. 2024. "Phytoconstituents and Ergosterol Biosynthesis-Targeting Antimicrobial Activity of Nutmeg (Myristica fragans Houtt.) against Phytopathogens" Molecules 29, no. 2: 471. https://doi.org/10.3390/molecules29020471
APA StyleCruz, A., Sánchez-Hernández, E., Teixeira, A., Oliveira, R., Cunha, A., & Martín-Ramos, P. (2024). Phytoconstituents and Ergosterol Biosynthesis-Targeting Antimicrobial Activity of Nutmeg (Myristica fragans Houtt.) against Phytopathogens. Molecules, 29(2), 471. https://doi.org/10.3390/molecules29020471

