Anti-Inflammatory Flavonoids from Agrimonia pilosa Ledeb: Focusing on Activity-Guided Isolation
Abstract
1. Introduction
2. Results and Discussion
2.1. Activity-Guided Isolation
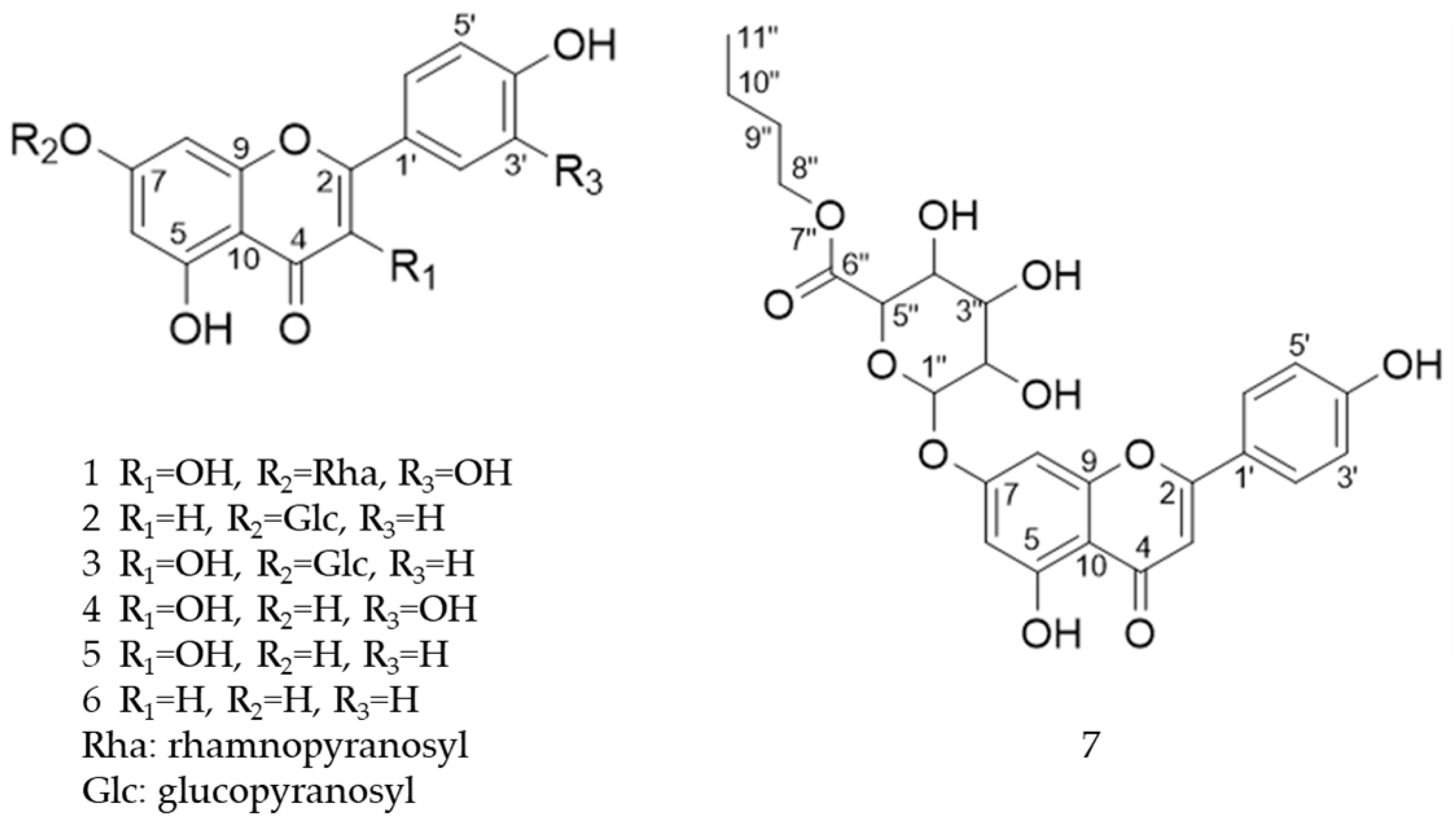
2.2. Identification of Bio-Active Compounds
- Quercetin-7-O-β-d-rhamnoside (1). Yellow, amorphous powder; HPLC TR 18.1 min (purity > 94%); UV (MeOH) λmax (log ε) 253 (2.40), 354 (2.55) nm; 1H NMR (MeOH-d4, 500 MHz) (Table S1); ESI-MS positive m/z, 449 [M + H]+ (Calculated for C21H20O11, 448).
- Apigenin-7-O-β-d-glucopyranoside (2). Pale yellow; amorphous powder; HPLC TR 18.1 min (purity > 94%); UV (MeOH) λmax (log ε) 241 (2.38), 269 (2.43), 311 (2.45) nm; 1H NMR (DMSO-d6, 500 MHz) (Table S1); ESI-MS positive m/z, 433 [M + H]+ (Calculated for C21H20O10, 432).
- Kaempferol-7-O-β-d-glucopyranoside (3). Yellow; amorphous powder; HPLC TR 18.8 min (purity > 97%); UV (MeOH) λmax (log ε) 227 (2.35), 270 (2.43), 335 (2.52) nm; 1H NMR (DMSO-d6, 500 MHz) (Table S1); ESI-MS positive m/z, 449 [M + H]+ (Calculated for C21H20O11, 448).
- Quercetin (4). Yellow; amorphous powder; HPLC TR 20.7 min (purity > 97%); UV (MeOH) λmax nm (log ε) 253 (2.40), 354 (2.55); 1H NMR (MeOH-d4, 500 MHz) (Table S1); ESI-MS positive m/z, 303 [M + H]+ (Calculated for C15H10O7, 302).
- Kaempferol (5). Yellow; amorphous powder; HPLC TR 20.9 min (purity > 96%); UV (MeOH) λmax (log ε) 253 (2.40), 354 (2.55) nm; 1H NMR (DMSO-d6, 500 MHz), (Table S1); ESI-MS positive m/z, 287 [M + H] + (Calculated for C15H10O6, 286).
- Apigenin (6). Yellow; amorphous powder; HPLC TR 22.4 min (purity > 98%); UV (MeOH) λmax (log ε) 253 (2.40), 276 (2.44), 296 (2.47) nm; 1H NMR (DMSO-d6, 500 MHz), (Table S1); ESI-MS positive m/z, 271 [M + H]+ (Calculated for C15H10O5, 270).
- Apigenin-7-O-β-d-glucuronide-6″-butylester (7). Pale pink, amorphous powder; HPLC TR 19.9 min (purity > 91%); mp 259–264 °C; [α]25D −25.08° (c 0.1, MeOH); UV (MeOH) λmax (log ε) 267 (2.43), 337 (2.53) nm; 1H and 13C NMR (DMSO-d6, 500/125 MHz), HMBC, COSY, DEPT and HSQC; HR-ESI-MS positive m/z, 503.1557 [M + H]+ (Calculated for C25H26O11, 502.1633), (Table 2 and Figures S1–S6).
| Position | δC, Type | δH (mult, J, int) | HMBC | COSY |
|---|---|---|---|---|
| 2 | 165.66, C | |||
| 3 | 102.83, CH | 6.69 (s, 1H) | 4, 5, 8, 10, 1′ | |
| 4 | 182.93, C | |||
| 5 | 161.81, C | |||
| 6 | 99.75, CH | 6.51 (d, J = 2.2 Hz, 1H) | 5, 8, 10 | 8 |
| 7 | 163.21, C | |||
| 8 | 94.65, CH | 6.82 (d, J = 2.2 Hz, 1H) | 5, 6, 9, 10 | 6 |
| 9 | 157.77, C | |||
| 10 | 106.05, C | |||
| 1′ | 121.94, C | |||
| 2′ | 128.24, CH | 7.90 (d, J = 8.9 Hz, 2H) | 2, 5, 6′ | 6′ |
| 3′ | 115.67, CH | 6.97 (d, J = 8.9 Hz, 2H) | 1, 5, 8, 10, 5′ | |
| 5′ | 115.67, CH | 6.97 (d, J = 8.9 Hz, 2H) | 1, 5, 8, 10, 3′ | |
| 6′ | 128.24, CH | 7.90 (d, J = 8.9 Hz, 2H) | 2, 5, 2′ | 2′ |
| 1″ | 100.10, CH | 5.21 (d, J = 7.6 Hz, 1H) | 7 | 3″ |
| 2″ | 73.06, CH | 3.26 (dd, J = 9.5, 11.6 Hz, 1H) | ||
| 3″ | 75.71, CH | 3.54 (dd, J = 9.5, 11.6 Hz, 1H) | 1″, 2″, 3″, 4″, 5″ | 1″ |
| 4″ | 71.29, CH | 3.70 (m, 1H) | 3″, 5″ | 5″ |
| 5″ | 75.37, CH | 4.17 (d, J = 9.5 Hz, 2H) | 1″, 3″, 4″ | 3′′, 4′′ |
| 6″ | 169.15, C | |||
| 8″ | 65.04, CH2 | 4.23 (m, 2H) | 9″, 10″ | 9′′ |
| 9″ | 30.26, CH2 | 1.68 (m, 2H) | 8″, 10″, 11″ | 8″, 10″ |
| 10″ | 18.67, CH2 | 1.42 (m, 2H) | 8″, 9″, 11″ | 9″, 11″ |
| 11″ | 12.56, CH3 | 0.91 (t, J = 7.4 Hz, 3H) | 9″, 10″ | 10″ |
2.3. Anti-Inflammatory Effects of Isolated Compounds
2.4. Structure-Activity Relationship of Flavones and Flavonols from A. pilosa
3. Materials and Methods
3.1. General Experimental Procedure
3.2. Plant Materials
3.3. Exraction and Isolation
3.4. LC-ESI-MS Analysis
3.5. Cell Culture
3.6. Cell Viability and NO Inhibitory Activity
4. Conclusions
Supplementary Materials
Author Contributions
Funding
Institutional Review Board Statement
Informed Consent Statement
Data Availability Statement
Acknowledgments
Conflicts of Interest
References
- Yoshida, T.; Feng, W.S.; Okuda, T. Tannins and Related Polyphenols of Rosaceous Medicinal-Plants. 12. Roshenins A-E, Dimeric Hydrolyzable Tannins from Rosa-henryi Boul. Chem. Pharm. Bull. 1992, 40, 1997–2001. [Google Scholar] [CrossRef][Green Version]
- Kato, H.; Li, W.; Koike, M.; Wang, Y.H.; Koike, K. Phenolic glycosides from Agrimonia pilosa. Phytochemistry 2010, 71, 1925–1929. [Google Scholar] [CrossRef] [PubMed]
- Nguyen, D.H.; Seo, U.M.; Zhao, B.T.; Le, D.D.; Seong, S.H.; Choi, J.S.; Min, B.S.; Woo, M.H. Ellagitannin and flavonoid constituents from Agrimonia pilosa Ledeb. with their protein tyrosine phosphatase and acetylcholinesterase inhibitory activities. Bioorganic Chem. 2017, 72, 293–300. [Google Scholar] [CrossRef] [PubMed]
- Park, E.J.; Oh, H.; Kang, T.H.; Sohn, D.H.; Kim, Y.C. An isocoumarin with hepatoprotective activity in Hep-G2 and primary hepatocytes from Agrimonia pilosa. Arch. Pharm. Res. 2004, 27, 944–946. [Google Scholar] [CrossRef] [PubMed]
- Kim, H.W.; Park, J.; Kang, K.B.; Kim, T.B.; Oh, W.K.; Kim, J.; Sung, S.H. Acylphloroglucinolated Catechin and Phenylethyl Isocoumarin Derivatives from Agrimonia pilosa. J. Nat. Prod. 2016, 79, 2376–2383. [Google Scholar] [CrossRef] [PubMed]
- Jin, Z.X.; Wang, B.Q.; Chen, Z.J. Microwave-assisted extraction of tannins from Chinese herb Agrimonia pilosa Ledeb. J. Med. Plants Res. 2010, 4, 2229–2234. [Google Scholar] [CrossRef]
- Liu, X.; Zhu, L.; Tan, J.; Zhou, X.; Xiao, L.; Yang, X.; Wang, B. Glucosidase inhibitory activity and antioxidant activity of flavonoid compound and triterpenoid compound from Agrimonia pilosa Ledeb. BMC Complement. Altern. Med. 2014, 14, 12. [Google Scholar] [CrossRef] [PubMed]
- Kim, C.Y.; Yu, Q.M.; Kong, H.j.; Lee, J.Y.; Yang, K.M.; Seo, J.S. Antioxidant and Anti-Inflammatory Activities of Agrimonia pilosa Ledeb. Extract. Evid. Based Complement. Altern. Med. 2020, 10, 8571207. [Google Scholar] [CrossRef]
- Kim, T.Y.; Koh, K.S.; Ju, J.M.; Kwak, Y.J.; Bae, S.K.; Jang, H.O.; Kim, D.S. Proteomics Analysis of Antitumor Activity of Agrimonia pilosa Ledeb. in Human Oral Squamous Cell Carcinoma Cells. Curr. Issues Mol. Biol. 2022, 44, 3324–3334. [Google Scholar] [CrossRef]
- Park, M.J.; Kang, Y.H. Isolation of Isocoumarins and Flavonoids as α-Glucosidase Inhibitors from Agrimonia pilosa L. Molecules 2020, 25, 2572. [Google Scholar] [CrossRef]
- Chen, L.; Teng, H.; Fang, T.; Xiao, J. Agrimonolide from Agrimonia pilosa suppresses inflammatory responses through down-regulation of COX-2/iNOS and inactivation of NF-kappaB in lipopolysaccharide-stimulated macrophages. Phytomedicine 2016, 23, 846–855. [Google Scholar] [CrossRef] [PubMed]
- Taira, J.; Nanbu, H.; Ueda, K. Nitric oxide-scavenging compounds in Agrimonia pilosa Ledeb on LPS-induced RAW264.7 macrophages. Food Chem. 2009, 115, 1221–1227. [Google Scholar] [CrossRef]
- Jin, X.; Song, S.; Wang, J.; Zhang, Q.; Qiu, F.; Zhao, F. Tiliroside, the major component of Agrimonia pilosa Ledeb ethanol extract, inhibits MAPK/JNK/p38-mediated inflammation in lipopolysaccharide-activated RAW 264.7 macrophages. Exp. Ther. Med. 2016, 12, 499–505. [Google Scholar] [CrossRef] [PubMed]
- Hibbs, J.B., Jr.; Taintor, R.R.; Vavrin, Z.; Rachlin, E.M. Nitric oxide: A cytotoxic activated macrophage effector molecule. Biochem. Biophys. Res. Commun. 1988, 157, 87–94. [Google Scholar] [CrossRef] [PubMed]
- Materska, M.; Piacente, S.; Stochmal, A.; Pizza, C.; Oleszek, W.; Perucka, I. Isolation and structure elucidation of flavonoid and phenolic acid glycosides from pericarp of hot pepper fruit Capsicum annuum L. Phytochemistry 2003, 63, 893–898. [Google Scholar] [CrossRef] [PubMed]
- Wang, X.; Cheng, C.; Sun, Q.; Li, F.; Liu, J.; Zheng, C. Isolation and purification of four flavonoid constituents from the flowers of Paeonia suffruticosa by high-speed counter-current chromatography. J. Chromatogr. A 2005, 1075, 127–131. [Google Scholar] [CrossRef] [PubMed]
- Leitao, G.G.; Soares, S.S.; Brito, T.; Monache, F.D. Kaempferol glycosides from Siparuna apiosyce. Phytochemistry 2000, 55, 679–682. [Google Scholar] [CrossRef] [PubMed]
- Sikorska, M.; Matlawska, I. Quercetin and its glycosides in the flowers of Asclepias syriaca L. Acta Pol. Pharm. 2000, 57, 321–324. [Google Scholar] [PubMed]
- Svehlikova, V.; Wang, S.; Jakubikova, J.; Williamson, G.; Mithen, R.; Bao, Y. Interactions between sulforaphane and apigenin in the induction of UGT1A1 and GSTA1 in CaCo-2 cells. Carcinogenesis 2004, 25, 1629–1637. [Google Scholar] [CrossRef]
- Mulkens, A.; Kapetanidis, I. Eugenylglucoside, a new natural phenylpropanoid heteroside from Melissa officinalis. J. Nat. Prod. 1988, 51, 496–498. [Google Scholar] [CrossRef]
- Agrawal, P.K. NMR spectroscopy in the structural elucidation of oligosaccharides and glycosides. Phytochemistry 1992, 31, 3307–3330. [Google Scholar] [CrossRef] [PubMed]
- Na, B.; Nguyen, P.H.; Zhao, B.T.; Vo, Q.H.; Min, B.S.; Woo, M.H. Protein tyrosine phosphatase 1B (PTP1B) inhibitory activity and glucosidase inhibitory activity of compounds isolated from Agrimonia Pilosa. Pharm. Biol. 2016, 54, 474–480. [Google Scholar] [CrossRef] [PubMed]
- Shoubaky, G.A.E.; Mohamed, M.; Abdel-Daim, M.H.; Salem, E.A. Isolation and Identification of a Flavone Apigenin from Marine Red Alga Acanthophora spicifera with Antinociceptive and Anti-Inflammatory Activities. J. Exp. Neurosci. 2016, 10, 21–29. [Google Scholar] [CrossRef] [PubMed]
- Liu, W.J.; Hou, X.Q.; Chen, H.; Liang, J.Y.; Sun, J.B. Chemical constituents from Agrimonia pilosa Ledeb. and their chemotaxonomic significance. Nat. Prod. Res. 2016, 30, 2495–2499. [Google Scholar] [CrossRef] [PubMed]
- Hop, N.Q.; Son, N.T. The Medicinal Plant Agrimonia pilosa Ledeb.: Botanical Description, Traditional use, Phytochemistry and Pharmacology. Comb. Chem. High Throughput Screen. 2023, 26, 1660–1688. [Google Scholar] [CrossRef] [PubMed]
- Amic, D.; Davidovic-Amic, D.; Beslo, D.; Rastija, V.; Lucic, B.; Trinajstic, N. SAR and QSAR of the antioxidant activity of flavonoids. Curr. Med. Chem. 2007, 14, 827–845. [Google Scholar] [CrossRef] [PubMed]
- Zhu, L.; Chen, J.; Liu, T.C.; Wang, B. Flavonoids from Agrimonia pilosa Ledeb: Free Radical Scavenging and DNA Oxidative Damage Protection Activities and Analysis of Bioactivity-Structure Relationship Based on Molecular and Electronic Structures. Molecules 2017, 22, 195. [Google Scholar] [CrossRef] [PubMed]
- Ferrari, M.; Fornasiero, M.C.; Isetta, A.M. MTT colorimetric assay for testing macrophage cytotoxic activity in vitro. J. Immunol. Methods 1990, 131, 165–172. [Google Scholar] [CrossRef]
- Guevara, I.; Iwanejko, J.; Dembinska-Kiec, A.; Pankiewicz, J.; Wanat, A.; Anna, P.; Golabek, I.; Bartus, S.; Malczewska-Malec, M.; Szczudlik, A. Determination of nitrite/nitrate in human biological material by the simple Griess reaction. Clin. Chim. Acta 1998, 274, 177–188. [Google Scholar] [CrossRef]
- Linh, N.T.T.; Cham, B.T.; Anh, N.T.H.; Quan, T.D.; Nhung, L.T.H.; Thang, L.Q.; Adorisio, S.; Delfino, D.V.; Thuy, T.T. Flavonoid from the aerial parts of Cardiospermum halicacabum L. Vietnam. J. Chem. 2023, 61, 80–83. [Google Scholar] [CrossRef]
- Le, Q.U.; Joshi, R.K.; Lay, H.L.; Wu, M.C. Agrimonia pilosa Ledeb: Phytochemistry, Ethnopharmacology, Pharmacology of an important traditional herbal medicine. J. Pharmacogn. Phytochem. 2018, 7, 3202–3211. [Google Scholar]
- Jin, T.; Chi, L.; Ma, C. Agrimonia pilosa: A Phytochemical and Pharmacological Review. Evid. Based Complement. Altern. Med. 2022, 29, 3742208. [Google Scholar] [CrossRef] [PubMed]


| Frac. | IC50 (μg/mL) | Frac. | IC50 (μg/mL) | Frac. | IC50 (μg/mL) | Frac. | IC50 (μg/mL) |
|---|---|---|---|---|---|---|---|
| F1 | >100 | F6-I | 77.2 ± 2.9 | F7-I | 51.3 ± 3.7 | F7-II1 | 73.3 ± 2.9 |
| F2 | >100 | F6-II | 43.3 ± 3.7 | F7-II | 9.3 ± 1.3 | F7-II2 | >100 |
| F3 | >100 | F6-III | 34.6 ± 3.1 | F7-III | 35.9 ± 1.8 | F7-II3 | 30.5 ± 1.2 |
| F4 | >100 | F6-IV | 48.2 ± 0.5 | F7-IV | 35.8 ± 2.1 | F7-II4 | 6.5 ± 1.4 |
| F5 | 44.9 ± 0.6 | F6-V | 46.3 ± 0.6 | F7-V | 73.7 ± 0.8 | F7-II5 | 3.7 ± 0.6 |
| F6 | 12.8 ± 1.4 | F6-VI | 54.5 ± 1.8 | F7-VI | 48.9 ± 9.6 | F7-II6 | 73.8 ± 2.4 |
| F7 | 9.3 ± 0.7 | F6-VII | 58.9 ± 4.6 | F7-VII | 63.6 ± 9.6 | F7-II7 | 63.6 ± 0.4 |
| F8 | 44.5 ± 2.0 | F6-VIII | 25.4 ± 4.8 | F7-II8 | 61.8 ± 1.7 | ||
| F9 | 59.1 ± 2.1 | F6-IX | 18.6 ± 2.7 | F7-II9 | 41.0 ± 3.3 | ||
| F10 | 8.5 ± 1.0 | F6-X | 36.9 ± 1.9 | F7-II10 | 32.6 ± 2.4 | ||
| F11 | 45.6 ± 4.0 | F6-XI | 7.7 ± 1.8 | F7-II11 | 1.4 ± 0.7 | ||
| F12 | >100 | F6-XII | 47.8 ± 2.5 | F7-II12 | 37.4 ± 2.0 | ||
| F13 | 57.0 ± 2.1 | F7-II13 | 48.3 ± 2.9 | ||||
| F14 | >100 | F7-II14 | 32.2 ± 4.6 | ||||
| F7-II15 | 36.8 ± 2.8 |
| No. | Compound | NO Inhibitory Activity (IC50, μM) |
|---|---|---|
| 1 | Quercetin-7-O-β-d-rhamnoside | 31.26 ± 0.06 |
| 2 | Apigenin-7-O-β-d-glucopyranoside | 8.03 ± 0.26 |
| 3 | Kaempferol-7-O-β-d-glucopyranoside | 22.24 ± 0.15 |
| 4 | Quercetin | 19.51 ± 0.13 |
| 5 | Kaempferol | 15.75 ± 0.39 |
| 6 | Apigenin | 1.43 ± 0.59 |
| 7 | Apigenin-7-O-β-d-glucuronide-6″ -butylester | 14.68 ± 0.09 |
| Aglycone | NO Inhibitory Activity (IC50, µM) | Glycone (Glc) | NO Inhibitory Activity (IC50, µM) |
|---|---|---|---|
![]() Apigenin | 3.69 ± 0.34 | ![]() Apigenin-7-O-Glc | 8.03 ± 1.26 |
![]() Luteolin | 4.62 ± 0.43 | ![]() Luteolin-7-O-Glc | 14.37 ± 1.84 |
![]() Kaempferol | 14.43 ± 0.23 | ![]() Kaempferol-7-O-Glc | 22.24 ± 2.14 |
![]() Quercetin | 19.50 ± 1.71 | ![]() Quercetin-7-O-Glc | 31.27 ± 3.75 |
Disclaimer/Publisher’s Note: The statements, opinions and data contained in all publications are solely those of the individual author(s) and contributor(s) and not of MDPI and/or the editor(s). MDPI and/or the editor(s) disclaim responsibility for any injury to people or property resulting from any ideas, methods, instructions or products referred to in the content. |
© 2024 by the authors. Licensee MDPI, Basel, Switzerland. This article is an open access article distributed under the terms and conditions of the Creative Commons Attribution (CC BY) license (https://creativecommons.org/licenses/by/4.0/).
Share and Cite
Park, M.; Ryu, D.; Cho, J.; Ku, K.-M.; Kang, Y.-H. Anti-Inflammatory Flavonoids from Agrimonia pilosa Ledeb: Focusing on Activity-Guided Isolation. Molecules 2024, 29, 283. https://doi.org/10.3390/molecules29020283
Park M, Ryu D, Cho J, Ku K-M, Kang Y-H. Anti-Inflammatory Flavonoids from Agrimonia pilosa Ledeb: Focusing on Activity-Guided Isolation. Molecules. 2024; 29(2):283. https://doi.org/10.3390/molecules29020283
Chicago/Turabian StylePark, Mijin, Dahye Ryu, Jwayeong Cho, Kang-Mo Ku, and Young-Hwa Kang. 2024. "Anti-Inflammatory Flavonoids from Agrimonia pilosa Ledeb: Focusing on Activity-Guided Isolation" Molecules 29, no. 2: 283. https://doi.org/10.3390/molecules29020283
APA StylePark, M., Ryu, D., Cho, J., Ku, K.-M., & Kang, Y.-H. (2024). Anti-Inflammatory Flavonoids from Agrimonia pilosa Ledeb: Focusing on Activity-Guided Isolation. Molecules, 29(2), 283. https://doi.org/10.3390/molecules29020283









