Research Progress on Bioactive Substances of Beets and Their Functions
Abstract
1. Introduction
2. Phenolics
2.1. Antioxidant Activity of Beets
2.2. Tumor-Suppressive Functions of Beets
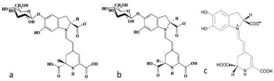
3. Betalains
3.1. Free Radical-Scavenging and Antioxidant Effects
3.1.1. In Vitro Antioxidant Activity of Betalains
3.1.2. Antioxidant-Related Effects of Betalains
3.2. Chemoprevention and Anti-Cancer Effects
3.3. Prevention of Cardiovascular Diseases
3.4. Improvements in Athletic Performance
3.5. Pharmaceutical Industries
4. Other Bioactive Substances
4.1. Dietary Fiber
4.2. Fatty Acids
4.3. Volatile Compounds
5. Conclusions and Perspectives
Author Contributions
Funding
Institutional Review Board Statement
Informed Consent Statement
Data Availability Statement
Conflicts of Interest
References
- Ballenger, J.G.; Adjesiwor, A.T.; Claypool, D.A.; Kniss, A.R. Relative contribution of shade avoidance and resource competition to early-season sugar beet yield loss due to weeds. Weed Sci. 2024, 72, 159–163. [Google Scholar] [CrossRef]
- Lauterbach, M.; Veranso-Libalah, M.C.; Sukhorukov, A.P.; Kadereit, G. Biogeography of the xerophytic genus Anabasis L. (Chenopodiaceae). Ecol. Evol. 2019, 9, 3539–3552. [Google Scholar] [CrossRef] [PubMed]
- Muir, B.M.; Anderson, A.R. Development and diversification of sugar beet in Europe. Sugar Tech. 2022, 24, 992–1009. [Google Scholar] [CrossRef]
- Neelwarne, B. Red Beet Biotechnology: Food and Pharmaceutical Applications; Springer Science and Business Media: Berlin, Germany, 2012. [Google Scholar]
- Goldman, I.L.; Janick, J. Evolution of root morphology in table beet: Historical and Iconographic. Front. Plant Sci. 2021, 12, 689926. [Google Scholar] [CrossRef]
- Wiersema, J.H.; León, B. World Economic Plants: A Standard Reference; CRC Press: Boca Raton, FL, USA, 1999. [Google Scholar]
- Fasahat, P.; Aghaeezadeh, M.; Jabbari, L.; Sadeghzadeh Hemayati, S.; Townson, P. Sucrose accumulation in sugar beet: From fodder beet selection to genomic selection. Sugar Tech. 2018, 20, 635–644. [Google Scholar] [CrossRef]
- Mcgrath, M.; Panella, L. Sugar Beet Breeding Plant Breeding Reviews; John Wiley & Sons: New York, NY, USA, 2018; pp. 167–218. [Google Scholar]
- Fu, Y.; Shi, J.; Xie, S.Y.; Zhang, T.Y.; Soladoye, O.P.; Aluko, R.E. Red beetroot betalains: Perspectives on extraction; processing; and potential health benefits. J. Agric. Food Chem. 2020, 68, 11595–11611. [Google Scholar] [CrossRef]
- Aguirre-Calvo, T.R.; Molino, S.; Perullini, M.; Rufián-Henares, J.Á.; Santagapita, P.R. Effects of in vitro digestion-fermentation over global antioxidant response and short chain fatty acid production of beet waste extracts in Ca (ii)-alginate beads. Food Funct. 2020, 11, 10645–10654. [Google Scholar] [CrossRef]
- Zin, M.M.; Borda, F.; Márki, E.; Bánvölgyi, S. Betalains, total polyphenols, and antioxidant contents in red beetroot peel (Cylindra type). Prog. Agric. Eng. Sci. 2021, 16, 27–36. [Google Scholar] [CrossRef]
- Kujala, T.S.; Loponen, J.M.; Klika, K.D.; Pihlaja, K. Phenolics and betacyanins in red beetroot (Beta vulgaris) root: Distribution and effect of cold storage on the content of total phenolics and three individual compounds. J. Agric. Food Chem. 2000, 48, 5338–5342. [Google Scholar] [CrossRef]
- Calvo, T.R.A.; Perullini, M.; Santagapita, P.R. Encapsulation of betacyanins and polyphenols extracted from leaves and stems of beetroot in Ca (II)-alginate beads: A structural study. J. Food Eng. 2018, 235, 32–40. [Google Scholar] [CrossRef]
- Maravić, N.; Teslić, N.; Nikolić, D.; Dimić, I.; Šereš, Z.; Pavlić, B. From agricultural waste to antioxidant-rich extracts: Green techniques in extraction of polyphenols from sugar beet leaves. Sustain. Chem. Pharm. 2022, 28, 100728. [Google Scholar] [CrossRef]
- Vasconcellos, J.; Conte, C.; Silva, D. ; Pie Comparison of total antioxidant potential, and total phenolic, nitrate, sugar, and organic acid contents in beetroot juice, chips, powder, and cooked beetroot rucci. Food Sci. Biotechnol. 2016, 25, 79–84. [Google Scholar]
- Kavalcová, P.; Bystrická, J.; Tomáš, J.; Karovičová, J.; Kovarovič, J.; Lenková, M. The content of total polyphenols and antioxidant activity in red beetroot. Potravinarstvo 2015, 23, 77–83. [Google Scholar] [CrossRef] [PubMed]
- Kovarovič, J.; Bystrická, J.; Tomáš, J.; Lenková, M. The influence of variety on the content of bioactive compounds in beetroot (Beta vulgaris L.). Potravin. Slovak J. Food Sci. 2017, 11, 106–112. [Google Scholar] [CrossRef][Green Version]
- Bangar, S.P.; Sharma, N.; Sanwal, N.; Lorenzo, J.M.; Sahu, J.K. Bioactive potential of beetroot (Beta vulgaris). Food Res. Int. 2022, 158, 111556. [Google Scholar] [CrossRef]
- Liu, Y.; Zhang, H. Distribution and antioxidant activity of phenolic compounds in sugar beet. Food Chem. 2019, 275, 678–684. [Google Scholar]
- Smith, J.; Jones, A. Phenolic compounds in sugar beet leaves and roots. J. Agric. Food Chem. 2020, 68, 3545–3552. [Google Scholar]
- Fernando, G.S.N.; Wood, K.; Papaioannou, E.H.; Marshall, L.J.; Sergeeva, N.N.; Boesch, C. Application of an ultrasound-assisted extraction method to recover betalains and polyphenols from red beetroot waste. ACS Sustain. Chem. Eng. 2021, 9, 8736–8747. [Google Scholar] [CrossRef]
- Kujala, T.S.; Vienola, M.S.; Klika, K.D.; Loponen, J.M.; Pihlaja, K. Betalain and phenolic compositions of four beetroot (Beta vulgaris) cultivars. Eur. Food Res. Technol. 2002, 214, 505–510. [Google Scholar] [CrossRef]
- Liu, S.C.; Lin, J.T.; Hu, C.C.; Shen, B.Y.; Chen, T.Y.; Chang, Y.L.; Yang, D.J. Phenolic compositions and antioxidant attributes of leaves and stems from three inbred varieties of Lycium chinense Miller harvested at various times. Food Chem. 2017, 215, 284–291. [Google Scholar] [CrossRef]
- Backes, E.; Genena, A.K. Optimisation of the extraction process of antioxidant capacity compounds from beet (Beta vulgaris L.) stalk. Semin. Ciências Agrárias 2020, 41, 2621–2632. [Google Scholar] [CrossRef]
- Hanahan, D.; Weinberg, R.A. The hallmarks of cancer. Cell 2000, 100, 57–70. [Google Scholar] [CrossRef] [PubMed]
- Cordova, F.M.; Watson, R.R. Food and supplement polyphenol action in cancer recurrence. In Polyphenols in Human Health and Disease; Elsevier Inc.: Amsterdam, The Netherlands, 2014; pp. 191–192. [Google Scholar]
- Mancini, M.C.S.; Ponte, L.G.S.; Silva, C.H.R.; Fagundes, I.; Pavan, I.C.B.; Romeiro, S.A.; Bezerra, R.M.N. Beetroot and leaf extracts present protective effects against prostate cancer cells, inhibiting cell proliferation, migration, and growth signaling pathways. Phytother. Res. 2021, 35, 5241–5258. [Google Scholar] [CrossRef] [PubMed]
- Appiah, S.; Verghese, M.; Boateng, J.; Shackelford, L.A.; Kanda, B.; Patterson, J.; Walker, L.T. Determination of processing effects on phytochemical content, antioxidants activity and chemopreventive potential of beets (Beta vulgaris) using a colon cancer Fisher 344 male rat model. Int. J. Cancer Res. 2012, 8, 105–118. [Google Scholar] [CrossRef]
- Pucher, G.W.; Curtis, L.C.; Vickery, H.B. The red pigment of the root of the beet (Beta vulgaris): I. the preparation of betanin. J. Biol. Chem. 1938, 123, 61–70. [Google Scholar] [CrossRef]
- Jaiswal, A.K. Nutritional Composition and Antioxidant Properties of Fruits and Vegetables; Academic Press: Cambridge, MA, USA, 2020. [Google Scholar]
- Belhadj Slimen, I.; Najar, T.; Abderrabba, M. Chemical and antioxidant properties of betalains. J. Agric. Food Chem. 2017, 65, 675–689. [Google Scholar] [CrossRef]
- Gasztonyi, M.N.; Daood, H.; Hajos, M.T.; Biacs, P. Comparison of red beet (Beta vulgaris var conditiva) varieties on the basis of their pigment components. J. Sci. Food Agric. 2001, 81, 932–933. [Google Scholar] [CrossRef]
- Bucur, L.; Ţarălungă, G.; Schroder, V. The betalains content and antioxidant capacity of red beet (Beta vulgaris L. subsp. vulgaris) root. Farmacia 2016, 64, 198–201. [Google Scholar]
- Gengatharan, A.; Dykes, G.A.; Choo, W.S. Betalains: Natural plant pigments with potential application in functional foods. LWT-Food Sci. Technol. 2015, 64, 645–649. [Google Scholar] [CrossRef]
- Wruss, J.; Waldenberger, G.; Huemer, S.; Uygun, P.; Lanzerstorfer, P.; Müller, U.; Weghuber, J. Compositional characteristics of commercial beetroot products and beetroot juice prepared from seven beetroot varieties grown in Upper Austria. J. Food Compos. Anal. 2015, 42, 46–55. [Google Scholar] [CrossRef]
- Pandita, D.; Pandita, A.; Pamuru, R.R.; Nayik, G.A. Beetroot. In Antioxidants in Vegetables and Nuts-Properties and Health Benefits; Nayik, G.A., Gull, A., Eds.; Springer: Berlin, Germany, 2020; pp. 423–452. [Google Scholar]
- Rahimi, P.; Abedimanesh, S.; Mesbah-Namin, S.A.; Ostadrahimi, A. Betalains, the nature-inspired pigments, in health and diseases. Crit. Rev. Food Sci. Nutr. 2019, 59, 2949–2978. [Google Scholar] [CrossRef] [PubMed]
- Pedreno, M.A.; Escribano, J. Studying the oxidation and the antiradical activity of betalain from beetroot. J. Biol. Educ. 2000, 35, 49–51. [Google Scholar] [CrossRef]
- Escribano, J.; Pedreño, M.A.; García-Carmona, F.; Muñoz, R. Characterization of the antiradical activity of betalains from Beta vulgaris L. roots. Phytochem. Anal. Int. J. Plant Chem. Biochem. Tech. 1998, 9, 124–127. [Google Scholar]
- Cai, Y.; Sun, M.; Corke, H. Antioxidant activity of betalains from plants of the Amaranthaceae. J. Agric. Food Chem. 2003, 51, 2288–2294. [Google Scholar] [CrossRef] [PubMed]
- Esatbeyoglu, T.; Wagner, A.E.; Schini-Kerth, V.B.; Rimbach, G. Betanin-A food colorant with biological activity. Mol. Nutr. Food Res. 2015, 59, 36–47. [Google Scholar] [CrossRef]
- Gandia-Herrero, F.; Escribano, J.; Garcia-Carmona, F. The role of phenolic hydroxy groups in the free radical scavenging activity of betalains. J. Nat. Prod. 2009, 72, 1142–1146. [Google Scholar] [CrossRef]
- Miguel, G. Betalains in some species of the Amaranthaceae family: A review. Antioxidants 2018, 7, 53–86. [Google Scholar] [CrossRef]
- Gliszczyńska-Świgło, A.; Szymusiak, H.; Malinowska, P. Betanin, the main pigment of red beet: Molecular origin of its exceptionally high free radical-scavenging activity. Food Addit. Contam. 2006, 23, 1079–1087. [Google Scholar] [CrossRef]
- Pitalua, E.; Jimenez, M.; Vernon-Carter, E.; Beristain, I. Antioxidative activity of microcapsules with beetroot juice using gum Arabic as wall material. Food Bioprod. Process. 2010, 88, 253–258. [Google Scholar] [CrossRef]
- Ravichandran, K.; Saw, N.M.M.T.; Mohdaly, A.A.; Gabr, A.M.; Kastell, A.; Riedel, H.; Smetanska, I. Impact of processing of red beet on betalain content and antioxidant activity. Food Res. Int. 2013, 50, 670–675. [Google Scholar] [CrossRef]
- Khan, M.I. Plant betalains: Safety, antioxidant activity, clinical efficacy, and bioavailability. Compr. Rev. Food Sci. Food Saf. 2016, 15, 316–330. [Google Scholar] [CrossRef] [PubMed]
- Reddy, M.K.; Alexander-Lindo, R.L.; Nair, M.G. Relative inhibition of lipid peroxidation, cyclooxygenase enzymes, and human tumor cell proliferation by natural food colors. J. Agric. Food Chem. 2005, 53, 9268–9273. [Google Scholar] [CrossRef] [PubMed]
- Thippeswamy, B.; Joshi, A.; Sethi, S.; Dahuja, A.; Kaur, C.; Tomar, B.S.; Varghese, E. Chemical additives for preserving the betalain pigment and antioxidant activity of red beetroot. Sugar Tech. 2022, 24, 890–899. [Google Scholar] [CrossRef]
- Taira, J.; Tsuchida, E.; Katoh, M.C.; Uehara, M.; Ogi, T. Antioxidant capacity of betacyanins as radical scavengers for peroxyl radical and nitric oxide. Food Chem. 2015, 166, 531–536. [Google Scholar] [CrossRef]
- Allegra, M.; Tesoriere, L.; Livrea, M.A. Betanin inhibits the myeloperoxidase/nitrite-induced oxidation of human low-density lipoproteins. Free. Radic. Res. 2007, 41, 335–341. [Google Scholar] [CrossRef]
- Sakihama, Y.; Maeda, M.; Hashimoto, M.; Tahara, S.; Hashidoko, Y. Beetroot betalain inhibits peroxynitrite-mediated tyrosine nitration and DNA strand cleavage. Free. Radic. Res. 2012, 46, 93–99. [Google Scholar] [CrossRef]
- Kumorkiewicz-Jamro, A.; Starzak, K.; Sutor, K.; Nemzer, B.; Pietrzkowski, Z.; Popenda, Ł.; Wybraniec, S. Structural study on hypochlorous acid-mediated chlorination of betanin and its decarboxylated derivatives from an anti-inflammatory Beta vulgaris L. extract. Molecules 2020, 25, 378. [Google Scholar] [CrossRef]
- Esatbeyoglu, T.; Wagner, A.E.; Motafakkerazad, R.; Nakajima, Y.; Matsugo, S.; Rimbach, G. Free radical scavenging and antioxidant activity of betanin: Electron spin resonance spectroscopy studies and studies in cultured cells. Food Chem. Toxicol. 2014, 73, 119–126. [Google Scholar] [CrossRef]
- Sadowska-Bartosz, I.; Bartosz, G. Biological properties and applications of betalains. Molecules 2021, 26, 2520. [Google Scholar] [CrossRef]
- Krajka-Kuźniak, V.; Paluszczak, J.; Szaefer, H.; Baer-Dubowska, W. Betanin, a beetroot component, induces nuclear factor erythroid-2-related factor 2-mediated expression of detoxifying/antioxidant enzymes in human liver cell lines. Br. J. Nutr. 2013, 110, 2138–2149. [Google Scholar] [CrossRef]
- Vulić, J.J.; Ćebović, T.N.; Čanadanović-Brunet, J.M.; Ćetković, G.S.; Čanadanović, V.M.; Djilas, S.M.; Šaponjac, T. In vivo and in vitro antioxidant effects of beetroot pomace extracts. J. Funct. Foods 2014, 6, 168–175. [Google Scholar] [CrossRef]
- Nowacki, L.; Vigneron, P.; Rotellini, L.; Cazzola, H.; Merlier, F.; Prost, E.; Vayssade, M. Betanin-enriched red beetroot (Beta vulgaris L.) extract induces apoptosis and autophagic cell death in MCF-7 cells. Phytother. Res. 2015, 29, 1964–1973. [Google Scholar] [CrossRef] [PubMed]
- Farabegoli, F.; Scarpa, E.S.; Frati, A.; Serafini, G.; Papi, A.; Spisni, E.; Ninfali, P. Betalains increase vitexin-2-O-xyloside cytotoxicity in CaCo-2 cancer cells. Food Chem. 2017, 218, 356–364. [Google Scholar] [CrossRef] [PubMed]
- Lechner, J.F.; Stoner, G.D. Red beetroot and betalains as cancer chemopreventative agents. Molecules 2019, 24, 1602. [Google Scholar] [CrossRef]
- Allegra, M.; Furtmüller, P.G.; Jantschko, W.; Zederbauer, M.; Tesoriere, L.; Livrea, M.A.; Obinger, C. Mechanism of interaction of betanin and indicaxanthin with human myeloperoxidase and hypochlorous acid. Biochem. Biophys. Res. Commun. 2005, 332, 837–844. [Google Scholar] [CrossRef]
- Lechner, J.F.; Wang, L.S.; Rocha, C.M.; Larue, B.; Henry, C.; McIntyre, C.M.; Stoner, G.D. Drinking water with red beetroot food color antagonizes esophageal carcinogenesis in N-nitrosomethylbenzylamine-treated rats. J. Med. Food. 2010, 13, 733–739. [Google Scholar] [CrossRef]
- Klewicka, E. Fermented beetroot juice as a factor limiting chemical mutations induced by mnng in salmonella typhimurium ta98 and ta100 strains. Biotechnology 2010, 48, 229–233. [Google Scholar]
- Rahimi, P.; Mesbah-Namin, S.A.; Ostadrahimi, A.; Separham, A.; Jafarabadi, M.A. Betalain-and betacyanin-rich supplements’ impacts on the PBMC SIRT1 and LOX1 genes expression and Sirtuin-1 protein levels in coronary artery disease patients: A pilot crossover clinical trial. J. Funct. Foods. 2019, 60, 103401. [Google Scholar] [CrossRef]
- Rahimi, P.; Mesbah-Namin, S.A.; Ostadrahimi, A.; Abedimanesh, S.; Separham, A.; Jafarabadi, M.A. Effects of betalains on atherogenic risk factors in patients with atherosclerotic cardiovascular disease. Food Funct. 2019, 10, 8286–8297. [Google Scholar] [CrossRef]
- Mumford, P.W.; Kephart, W.C.; Romero, M.A.; Haun, C.T.; Mobley, C.B.; Osburn, S.C.; Young, K.C. Effect of 1-week betalain-rich beetroot concentrate supplementation on cycling performance and select physiological parameters. Eur. J. Appl. Physiol. 2018, 118, 2465–2476. [Google Scholar] [CrossRef]
- Petrie, M.; Rejeski, W.J.; Basu, S.; Laurienti, P.J.; Marsh, A.P.; Norris, J.L.; Burdette, J.H. Beet root juice: An ergogenic aid for exercise and the aging brain. J. Gerontol. Ser. A Biomed. Sci. Med. Sci. 2017, 72, 1284–1289. [Google Scholar] [CrossRef] [PubMed]
- Chen, M.; Chang, S.; Xu, Y.; Guo, H.; Liu, J. Dietary Beetroot Juice–Effects in Patients with COPD: A Review. Int. J. Chronic Obstr. Pulm. Dis. 2024, 19, 1755–1765. [Google Scholar] [CrossRef] [PubMed]
- Khan, S.A.; Alsulami, M.N.; Alsehimi, A.A.; Alzahrani, M.S.; Mosule, D.A.; Albohiri, H.H. Beta vulgaris Betalains Mitigate Parasitemia and Brain Oxidative Stress Induced by Plasmodium berghei in Mice. Pharmaceuticals 2024, 17, 1064. [Google Scholar] [CrossRef]
- Liu, J.; Liu, Y.; Chen, Y.; Liu, Y.; Huang, C.; Luo, Y.; Wang, X. Betaine alleviates nonalcoholic fatty liver disease (NAFLD) via a manner involving BHMT/FTO/m6A/PGC1α signaling. J. Nutr. Biochem. 2024, 134, 109738. [Google Scholar] [CrossRef] [PubMed]
- Chung, M.Y.; Hwang, J.T.; Lee, J.; Choi, H.K. The anti-cancer effects of red-pigmented foods: Biomarker modulation and mechanisms underlying cancer progression. Appl. Sci. 2022, 12, 2584–2592. [Google Scholar] [CrossRef]
- Phukan, B.C.; Roy, R.; Paul, R.; Mazumder, M.K.; Nath, J.; Bhattacharya, P.; Borah, A. Traversing through the cell signaling pathways of neuroprotection by betanin: Therapeutic relevance to Alzheimer’s Disease and Parkinson’s Disease. Metab. Brain Dis. 2023, 38, 805–817. [Google Scholar] [CrossRef]
- Mzoughi, Z.; Chahdoura, H.; Chakroun, Y.; Cámara, M.; Fernández-Ruiz, V.; Morales, P.; Majdoub, H. Wild edible Swiss chard leaves (Beta vulgaris L. var. cicla): Nutritional, phytochemical composition and biological activities. Food Res. Int. 2019, 119, 612–621. [Google Scholar] [CrossRef]
- Nishimura, N.; Taniguchi, Y.; Kiriyama, S. Plasma cholesterol-lowering effect on rats of dietary fiber extracted from immature plants. Biosci. Biotechnol. Biochem. 2000, 64, 2543–2551. [Google Scholar] [CrossRef]
- Hara, H.; Haga, S.; Kasai, T.; Kiriyama, S. Fermentation products of sugar-beet fiber by cecal bacteria lower plasma cholesterol concentration in rats. J. Nutr. 1998, 128, 688–693. [Google Scholar]
- Ninfali, P.; Angelino, D. Nutritional and functional potential of Beta vulgaris cicla and rubra. Fitoterapia 2013, 89, 188–199. [Google Scholar] [CrossRef]
- Neelam Khatkar, A.; Sharma, K.K. Phenylpropanoids and its derivatives: Biological activities and its role in food, pharmaceutical and cosmetic industries. Crit. Rev. Food Sci. Nutr. 2020, 60, 2655–2675. [Google Scholar] [CrossRef] [PubMed]
- De, M.; De, A.K.; Sen, P.; Banerjee, A.B. Antimicrobial properties of star anise (Illicium verum Hook f). Phytother. Res. 2002, 16, 94–95. [Google Scholar] [CrossRef] [PubMed]
- Zardi-Bergaoui, A.; Ben Nejma, A.; Harzallah-Skhiri, F.; Flamini, G.; Ascrizzi, R.; Ben Jannet, H. Chemical composition and biological studies of the essential oil from aerial parts of Beta vulgaris subsp. maritima (L.) arcang. growing in Tunisia. Chem. Biodivers. 2017, 14, 1700234. [Google Scholar] [CrossRef] [PubMed]





| Beet Type | Phenol Type | Different Beet Parts | Phenolic Content (mg/g) | Reference |
|---|---|---|---|---|
| Leaf feet | Ferulic acid derivatives, feruloyl glucosides a and b, quercetin pentoside, coumaric acid derivatives, apigenin glucoside, quinic acid derivatives, etc. | Leaf | 25~35 | Calvo [13] |
| Petiole | 3~5 | Maravić [14] | ||
| Table beets | Betaine dihydroflavone, xanthophyll A, dihydroisorhamnetin, saponins, vanillic acid, chlorogenic acid, syringic acid, etc. | Beetroot | 0.8~2 | Vasconcellos [15] |
| Beetroot slices | 0.5~1.2 | Kavalcová [16] | ||
| Fodder beet | Apigenin, syringic acid, kaempferol, chlorogenic acid | Beetroot slices | 0.4~0.8 | Kavalcová [17] |
| Petiole | 0.8~2.5 | Bangar [18] | ||
| Sugar beet | Ferulic acid, chlorogenic acid, caffeic acid, vanillic acid, p-coumaric acid, isorhamnetin-3-O-glucoside | Petiole | 10~20 | Liu [19] |
| Beetroot | 5~10 | Smith [20] |
| Chemoprevention and Anti-Cancer Effects | Experimental Approaches | Experimental Results | Reference |
|---|---|---|---|
| Liver protection and anti-cancer effects | Non-tumor THLE-2 and liver cancer HepG2 cells were used to investigate the effects of betanin on the activation of nuclear factor erythroid-2-related factor 2 (Nrf2), as well as on the expression of GSTA, GSTP, GSTM, GSTT, NQO1, and HO-1. | Betanin induced Nrf2-controlled gene expression, presumably by activating Nrf2. | Krajka-Kuz’niak [56] |
| In vivo antioxidant and potential hepatoprotective properties | The in vivo antioxidant and potential hepatoprotective properties of betanin were evaluated by assaying the activities of several enzymes (xanthine oxidase, catalase—CAT, peroxidase, glutathione peroxidase—GSHPx, and glutathione reductase), as well as the levels of glutathione-GSH and glutathione-barbituric acid reactive substances (TBARS) in Wistar rats fed for 7 to 8 weeks. | Betalains showed antioxidant and hepatoprotective effects. | Jelena J. Vulic [57] |
| Inhibition of breast cancer cell (MCF-7) proliferation | The expression of apoptosis-related proteins (Bad, TRAILR4, FAS, and p53) and changes in mitochondrial membrane potential in MCF-7 cells were analyzed to investigate the involvement of betanin/isobetanin in the internal and external apoptotic pathways of cells. | Betanin/isobetanin concentrate significantly reduced cancer cell proliferation and viability. | Nowacki [58] |
| Inhibition of prostate cancer cell growth | The roles of betalains in DU-145 and PC-3 prostate cancer cells were examined, including inhibitory effects against cell proliferation, cell migration, colony formation, and cell growth-related signaling pathways. | In PC-3 cells, betalains showed no regulatory effects on the proteins of the mTOR pathway but decreased the phosphorylation level of S6K1 and increased the content of the mTOR protein. In DU-145 cell assays, betalains exerted a regulatory effect on the mTOR pathway, reducing the mTOR level and total content of mTOR. In terms of apoptosis and cell cycle pathways, 100 μg/mL of betalain could significantly reduce Bcl-XL levels and the PARP1 content in DU-145 cells. | Mancini [27] |
| Chemoprevention against colon cancer | The cytotoxicity of glucosinolate-2-O-xyloside (XVX) (derived from beet seeds), betaxanthin (R1), and betacyanins (R2) against CaCo-2 colon cancer cells was examined. | The combination of R2 and R1 with XVX could significantly prolong the cytotoxicity of the latter; this effect was mediated through the intrinsic apoptosis pathway. R1 and R2, either alone or in combination, could reduce H2O2-triggered oxidative stress in CaCo-2 cells. These results suggest that R1, R2, and XVX can serve as a chemopreventive agent for colon cancer. | Farabegoli [59] |
| Compound name | Compound/Structure | Activity | Effects |
|---|---|---|---|
| CiA derivative | ![]() | Antioxidant activity | Scavenges hydroxyl radicals and inhibits linoleic acid peroxidation and soybean LOX activity petiole |
| Phenylpropanoids derivatives-11 | ![]() | Antioxidant and anti-inflammatory activity | Intracellular ROS and ear edema. Inhibited TNF- a-induced NF-jB activation, ICAM-1, and VCAM-1 expression in ECs |
| N-trans-feruloyldopamine | ![]() | Antioxidant and neuroprotective activity | Scavenges free radical and chelates ferrous ions Inhibited AChE activity |
| Ferulic acid-O-alkylamine derivative, | ![]() | Neuroprotective activity | Inhibited BuChE and AChE activity. Prevented selffibrils from aggregation and induced Ab1-42, promoting its disaggregation |
| Cinnamic acyl 1,3,4-thiadiazole amide derivatives | ![]() | Anti-cancer activity | Inhibited tubulin polymerization and the anti-proliferation of A549 and MCF-7 cell lines |
| 4-methoxy cinnamic acid | ![]() | Cardioprotective activity | ROS, cardiac inflammation, collagen deposition, and NF-jB activation. Stimulated (SIRT-1)/eNOS expression. Reduced necrocytosis and cell apoptosis |
Disclaimer/Publisher’s Note: The statements, opinions and data contained in all publications are solely those of the individual author(s) and contributor(s) and not of MDPI and/or the editor(s). MDPI and/or the editor(s) disclaim responsibility for any injury to people or property resulting from any ideas, methods, instructions or products referred to in the content. |
© 2024 by the authors. Licensee MDPI, Basel, Switzerland. This article is an open access article distributed under the terms and conditions of the Creative Commons Attribution (CC BY) license (https://creativecommons.org/licenses/by/4.0/).
Share and Cite
Bian, C.; Ji, L.; Xu, W.; Dong, S.; Pan, N. Research Progress on Bioactive Substances of Beets and Their Functions. Molecules 2024, 29, 4756. https://doi.org/10.3390/molecules29194756
Bian C, Ji L, Xu W, Dong S, Pan N. Research Progress on Bioactive Substances of Beets and Their Functions. Molecules. 2024; 29(19):4756. https://doi.org/10.3390/molecules29194756
Chicago/Turabian StyleBian, Chun, Lanyang Ji, Wei Xu, Shirong Dong, and Nan Pan. 2024. "Research Progress on Bioactive Substances of Beets and Their Functions" Molecules 29, no. 19: 4756. https://doi.org/10.3390/molecules29194756
APA StyleBian, C., Ji, L., Xu, W., Dong, S., & Pan, N. (2024). Research Progress on Bioactive Substances of Beets and Their Functions. Molecules, 29(19), 4756. https://doi.org/10.3390/molecules29194756







