High-Density Capacitive Energy Storage in Low-Dielectric-Constant Polymer PMMA/2D Mica Nanofillers Heterostructure Composite
Abstract
1. Introduction
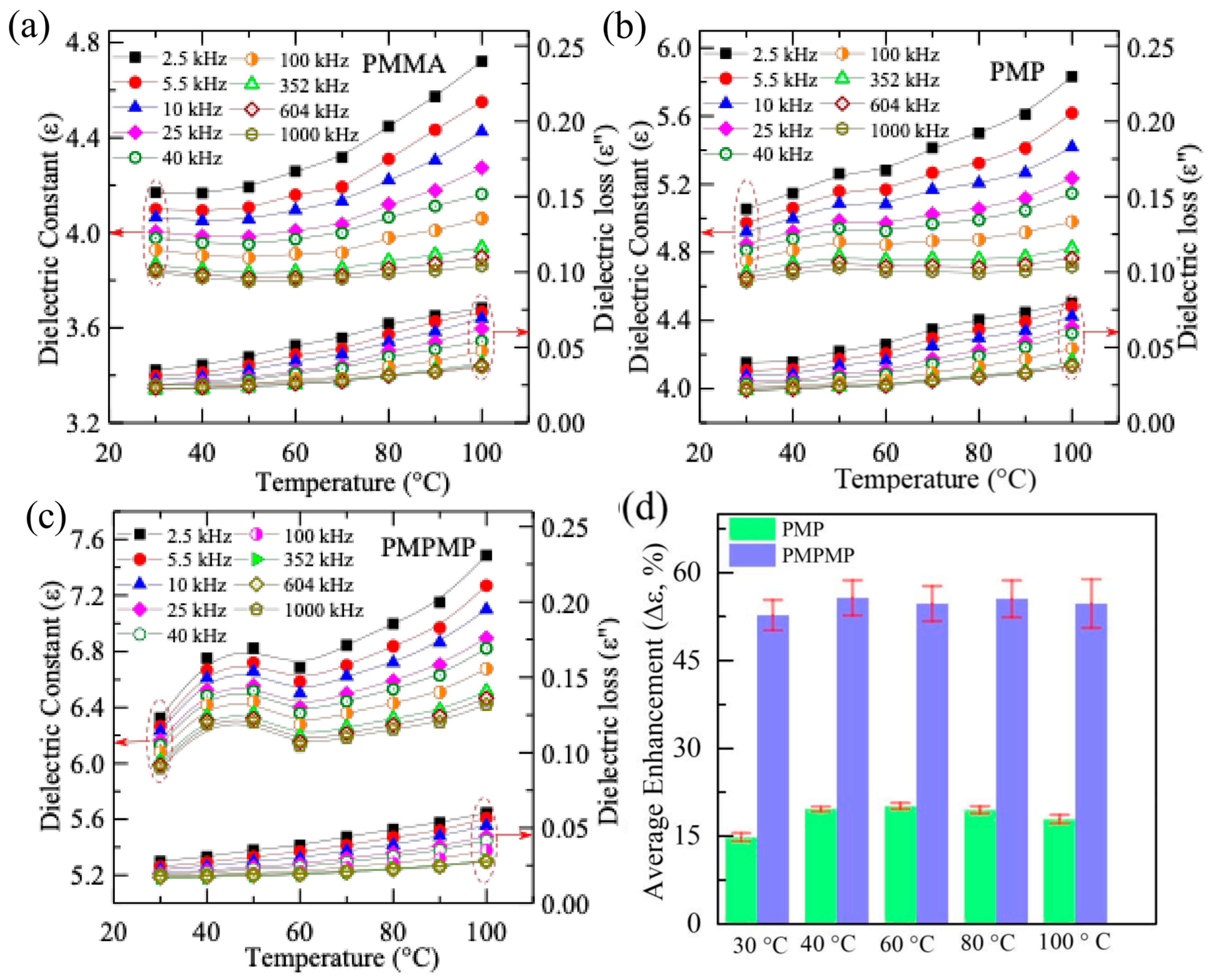
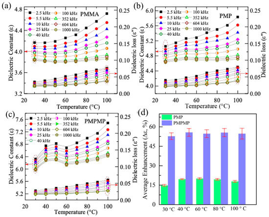
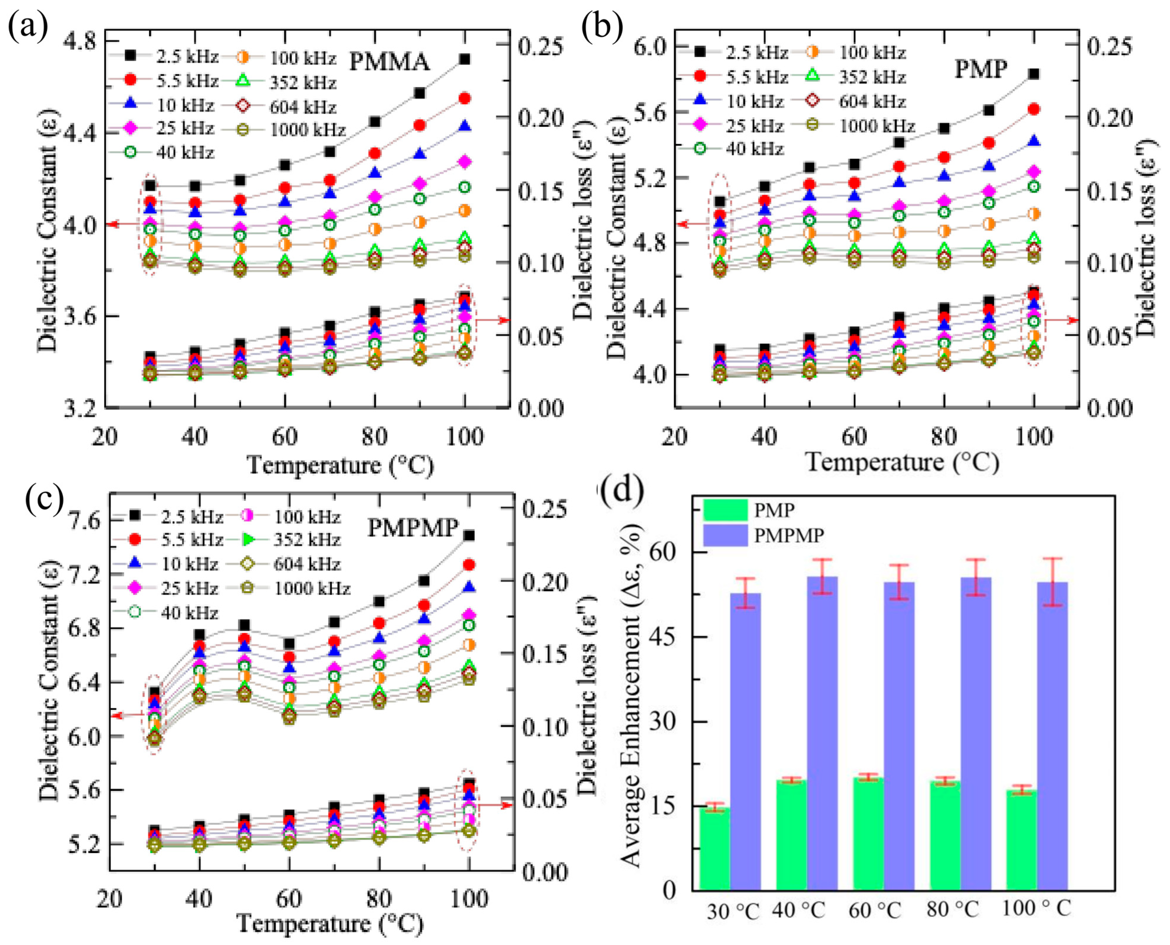
2. Results and Discussion
3. Materials and Methods
4. Conclusions
Author Contributions
Funding
Institutional Review Board Statement
Informed Consent Statement
Data Availability Statement
Conflicts of Interest
References
- Kebede, A.A.; Kalogiannis, T.; Van Mierlo, J.; Berecibar, M. A comprehensive review of stationary energy storage devices for large scale renewable energy sources grid integration. Renew. Sustain. Energy Rev. 2022, 159, 112213. [Google Scholar] [CrossRef]
- Kadam, S.A.; Kadam, K.P.; Pradhan, N.R. Pradhan, Advancements in 2D MXene-based supercapacitor electrodes: Synthesis, mechanisms, electronic structure engineering, flexible wearable energy storage for real-world applications, and future prospects. J. Mater. Chem. A 2024, 12, 17992–18046. [Google Scholar] [CrossRef]
- Kadam, S.A.; Ma, Y.-R.; Chen, Y.-R.; Navale, Y.H.; Salunkhe, A.S.; Patil, V.B.; Ralegankar, S.D.; More, P.D. Mn-Incorporated α-Fe2O3 Nanostructured Thin Films: Facile Synthesis and Application as a High-Performance Supercapacitor. J. Electron. Mater. 2023, 52, 500–513. [Google Scholar] [CrossRef]
- Zhang, M.; Du, H.; Wei, Z.; Zhang, X.; Wang, R. Ultrafast Microwave Synthesis of Nickel-Cobalt Sulfide/Graphene Hybrid Electrodes for High-Performance Asymmetrical Supercapacitors. ACS Appl. Energy Mater. 2021, 4, 8262–8274. [Google Scholar] [CrossRef]
- Zhang, M.; Nautiyal, A.; Du, H.; Wei, Z.; Zhang, X.; Wang, R. Electropolymerization of polyaniline as high-performance binder free electrodes for flexible supercapacitor. Electrochim. Acta 2021, 376, 138037. [Google Scholar] [CrossRef]
- Feng, Q.-K.; Zhong, S.-L.; Pei, J.-Y.; Zhao, Y.; Zhang, D.-L.; Liu, D.-F.; Zhang, Y.-X.; Dang, Z.-M. Recent Progress and Future Prospects on All-Organic Polymer Dielectrics for Energy Storage Capacitors. Chem. Rev. 2022, 122, 3820–3878. [Google Scholar] [CrossRef]
- Yang, C.; Wei, H.; Guan, L.; Guo, J.; Wang, Y.; Yan, X.; Zhang, X.; Wei, S.; Guo, Z. Polymer nanocomposites for energy storage, energy saving, and anticorrosion. J. Mater. Chem. A 2015, 3, 14929–14941. [Google Scholar] [CrossRef]
- Arunachalam, P. 6-Polymer-based nanocomposites for energy and environmental applications, In Polymer-Based Nanocomposites for Energy and Environmental Applications; Jawaid, M., Khan, M.M., Eds.; Woodhead Publishing: Sawston, UK, 2018; pp. 185–203. [Google Scholar]
- Bera, S.; Singh, M.; Thantirige, R.; Tiwary, S.K.; Shook, B.T.; Nieves, E.; Raghavan, D.; Karim, A.; Pradhan, N.R. 2D-Nanofiller-Based Polymer Nanocomposites for Capacitive Energy Storage Applications. Small Sci. 2023, 3, 2300016. [Google Scholar] [CrossRef]
- Singh, M.; Das, P.; Samanta, P.N.; Bera, S.; Thantirige, R.; Shook, B.; Nejat, R.; Behera, B.; Zhang, Q.; Dai, Q.; et al. Ultrahigh Capacitive Energy Density in Stratified 2D Nanofiller-Based Polymer Dielectric Films. ACS Nano 2023, 17, 20262–20272. [Google Scholar] [CrossRef]
- Zhu, Y.; Zhu, Y.; Huang, X.; Chen, J.; Li, Q.; He, J.; Jiang, P. High Energy Density Polymer Dielectrics Interlayered by Assembled Boron Nitride Nanosheets. Adv. Energy Mater. 2019, 9, 1901826. [Google Scholar] [CrossRef]
- Li, H.; Ren, L.; Zhou, Y.; Yao, B.; Wang, Q. Recent progress in polymer dielectrics containing boron nitride nanosheets for high energy density capacitors. High Volt. 2020, 5, 365–376. [Google Scholar] [CrossRef]
- Liu, F.; Li, Q.; Li, Z.; Dong, L.; Xiong, C.; Wang, Q. Ternary PVDF-based terpolymer nanocomposites with enhanced energy density and high power density. Compos. Part A Appl. Sci. Manuf. 2018, 109, 597–603. [Google Scholar] [CrossRef]
- Likhi, F.H.; Singh, M.; Chavan, S.V.; Cao, T.; Shanbedi, M.; Karim, A. Effects of Film Confinement on Dielectric and Electrical Properties of Graphene Oxide and Reduced Graphene Oxide-Based Polymer Nanocomposites: Implications for Energy Storage. ACS Appl. Nano Mater. 2023, 6, 11699–11714. [Google Scholar] [CrossRef]
- Ji, M.; Min, D.; Li, Y.; Yang, L.; Wu, Q.; Liu, W.; Li, S. Improved energy storage performance of polyimide nanocomposites by constructing the meso- and macroscopic interfaces. Mater. Today Energy 2023, 31, 101200. [Google Scholar] [CrossRef]
- Xie, B.; Wang, Q.; Zhang, Q.; Liu, Z.; Lu, J.; Zhang, H.; Jiang, S. High Energy Storage Performance of PMMA Nanocomposites Utilizing Hierarchically Structured Nanowires Based on Interface Engineering. ACS Appl. Mater. Interfaces 2021, 13, 27382–27391. [Google Scholar] [CrossRef] [PubMed]
- Yao, L.; Pan, Z.; Liu, S.; Zhai, J.; Chen, H.H.D. Significantly Enhanced Energy Density in Nanocomposite Capacitors Combining the TiO2 Nanorod Array with Poly(vinylidene fluoride). ACS Appl. Mater. Interfaces 2016, 8, 26343–26351. [Google Scholar] [CrossRef]
- Pan, Z.; Yao, L.; Zhai, J.; Shen, B.; Liu, S.; Wang, H.; Liu, J. Excellent energy density of polymer nanocomposites containing BaTiO3@Al2O3 nanofibers induced by moderate interfacial area. J. Mater. Chem. A 2016, 4, 13259–13264. [Google Scholar] [CrossRef]
- Jia, Q.; Huang, X.; Wang, G.; Diao, J.; Jiang, P. MoS2 Nanosheet Superstructures Based Polymer Composites for High-Dielectric and Electrical Energy Storage Applications. J. Phys. Chem. C 2016, 120, 10206–10214. [Google Scholar] [CrossRef]
- McPherson, J.; Kim, J.; Shanware, A.; Mogul, H.; Rodriguez, J. Proposed universal relationship between dielectric breakdown and dielectric constant. In Digest. International Electron Devices Meeting; IEEE: San Francisco, CA, USA, 2002; pp. 633–636. [Google Scholar]
- Peng, S.; Du, X.; Liang, Z.; Ma, M.; Guo, Y.; Xiong, L. Multilayer polymer nanocomposites based on interface engineering for high-performance capacitors. J. Energy Storage 2023, 60, 106636. [Google Scholar] [CrossRef]
- Chen, X.; Tseng, J.-K.; Treufeld, I.; Mackey, M.; Schuele, D.E.; Li, R.; Fukuto, M.; Baer, E.; Zhu, L. Enhanced dielectric properties due to space charge-induced interfacial polarization in multilayer polymer films. J. Mater. Chem. C 2017, 5, 10417–10426. [Google Scholar] [CrossRef]
- Rahimabady, M.; Lu, L.; Yao, K. Nanocomposite multilayer capacitors comprising BaTiO3@TiO2 and poly(vinylidene fluoride-hexafluoropropylene) for dielectric-based energy storage. J. Adv. Dielectr. 2014, 4, 1450009. [Google Scholar] [CrossRef]
- Li, W.; Song, Z.; Zhong, J.; Qian, J.; Tan, Z.; Wu, X.; Chu, H.; Nie, W.; Ran, X. Multilayer-structured transparent MXene/PVDF film with excellent dielectric and energy storage performance. J. Mater. Chem. C 2019, 7, 10371–10378. [Google Scholar] [CrossRef]
- Zulkifli, A. Polymer Dielectric Materials. In Dielectric Material; Marius Alexandru, S., Ed.; IntechOpen: Rijeka, Croatia, 2012; p. 314. [Google Scholar]
- Bera, S.; Thantirige, R.M.; Wu, J.; Davidson, E.C.; Kadam, S.A.; Sumant, A.V.; Shook, B.T.; Rao, R.; Selhorst, R.; Singh, M.; et al. Enhanced Energy Density in a Heterostructure Capacitor of Multilayered PVDF and 2D Mica Nanocomposites. ACS Appl. Electron. Mater. 2024, 6, 6582–6590. [Google Scholar] [CrossRef]
- Weeks, J.J.R. The Dielectric Constant of Mica. Phys. Rev. 1922, 19, 319–322. [Google Scholar] [CrossRef]
- Pei, J.; Yin, L.; Zhong, S.; Dang, Z. Suppressing the Loss of Polymer-Based Dielectrics for High Power Energy Storage. Adv. Mater 2022, 35, 2203623. [Google Scholar] [CrossRef]
- Chen, J.; Wang, Y.; Yuan, Q.; Xu, X.; Niu, Y.; Wang, Q.; Wang, H. Multilayered ferroelectric polymer films incorporating low-dielectric-constant components for concurrent enhancement of energy density and charge–discharge efficiency. Nano Energy 2018, 54, 288–296. [Google Scholar] [CrossRef]
- Wang, Y.; Chen, J.; Li, Y.; Niu, Y.; Wang, Q.; Wang, H. Multilayered hierarchical polymer composites for high energy density capacitors. J. Mater. Chem. A 2019, 7, 2965–2980. [Google Scholar] [CrossRef]
- Bai, H.; Zhu, K.; Wang, Z.; Shen, B.; Zhai, J. 2D Fillers Highly Boost the Discharge Energy Density of Polymer-Based Nanocomposites with Trilayered Architecture. Adv. Funct. Mater. 2021, 31, 2102646. [Google Scholar] [CrossRef]
- Liu, Y.; Luo, H.; Xie, H.; Xiao, Z.; Wang, F.; Jiang, X.; Zhou, X.; Zhang, D. Trilayer PVDF nanocomposites with significantly enhanced energy density and energy efficiency using 0.55Bi0.5Na0.5TiO3-0.45(Sr0.7Bi0.2) TiO3 nanofibers. Microstructures 2023, 3, 2023008. [Google Scholar]
- Li, Z.; Shen, Z.; Yang, X.; Zhu, X.; Zhou, Y.; Dong, L.; Xiong, C.; Wang, Q. Ultrahigh charge-discharge efficiency and enhanced energy density of the sandwiched polymer nanocomposites with poly(methyl methacrylate) layer. Compos. Sci. Technol. 2020, 202, 108591. [Google Scholar] [CrossRef]
- More, P.; Kadam, S.A.; Ma, Y.; Chen, Y.; Tarwal, N.; Navale, Y.; Salunkhe, A.; Patil, V. Spray Synthesized Mn-doped CuO Electrodes for High Performance Supercapacitor. ChemistrySelect 2022, 7, e202202504. [Google Scholar] [CrossRef]
- Hingangavkar, G.M.; Kadam, S.A.; Ma, Y.-R.; Sartale, S.D.; Mulik, R.N.; Patil, V.B. Intercalation of two-dimensional graphene oxide in WO3 nanoflowers for NO2 sensing. Nano-Struct. Nano-Objects 2023, 34, 100964. [Google Scholar] [CrossRef]
- Hingangavkar, G.M.; Kadam, S.A.; Ma, Y.-R.; Bandgar, S.S.; Mulik, R.N.; Patil, V.B. Tailored formation of WO3-rGO nanohybrids for dependable low temperature NO2 sensing. Ceram. Int. 2023, 49, 38866–38876. [Google Scholar] [CrossRef]
- Zhang, T.; Dan, Z.; Shen, Z.; Jiang, J.; Guo, M.; Chen, B.; Lin, Y.; Nan, C.-W.; Shen, Y. An alternating multilayer architecture boosts ultrahigh energy density and high discharge efficiency in polymer composites. RSC Adv. 2020, 10, 5886–5893. [Google Scholar] [CrossRef] [PubMed]
- Zhang, C.; Tong, X.; Liu, Z.; Zhang, Y.; Zhang, T.; Tang, C.; Liu, X.; Chi, Q. Enhancement of Energy Storage Performance of PMMA/PVDF Composites by Changing the Crystalline Phase through Heat Treatment. Polymers 2023, 15, 2486. [Google Scholar] [CrossRef] [PubMed]
- Wen, F.; Zhu, C.; Lv, W.; Wang, P.; Zhang, L.; Li, L.; Wang, G.; Wu, W.; Ying, Z.; Zheng, X.; et al. Improving the Energy Density and Efficiency of the Linear Polymer PMMA with a Double-Bond Fluoropolymer at Elevated Temperatures. ACS Omega 2021, 6, 35014–35022. [Google Scholar] [CrossRef]
- Liu, Y.; Liu, Z.; Gao, J.; Wu, M.; Lou, X.; Hu, Y.; Li, Y.; Zhong, L. High Energy Density and Temperature Stability in PVDF/PMMA via In Situ Polymerization Blending. Front. Chem. 2022, 10, 902487. [Google Scholar] [CrossRef]
- Wu, Q.; Feng, Z.; Cai, Z.; Lan, C.; Xu, J.; Bi, K.; Hao, Y. Poly(methyl methacrylate)-based ferroelectric/dielectric laminated films with enhanced energy storage performances. Adv. Compos. Hybrid Mater. 2022, 5, 1137–1144. [Google Scholar] [CrossRef]
- Baer, E.; Zhu, L. 50th Anniversary Perspective: Dielectric Phenomena in Polymers and Multilayered Dielectric Films. Macromolecules 2017, 50, 2239–2256. [Google Scholar] [CrossRef]
- Mackey, M.; Hiltner, A.; Baer, E.; Flandin, L.; Wolak, A.; Shirk, M.; Shirk, J.S. Enhanced breakdown strength of multilayered films fabricated by forced assembly microlayer coextrusion. J. Phys. D Appl. Phys. 2009, 42, 175304. [Google Scholar] [CrossRef]
- Jiang, J.; Shen, Z.; Qian, J.; Dan, Z.; Guo, M.; He, Y.; Lin, Y.; Nan, C.-W.; Chen, L.; Shen, Y. Synergy of micro-/mesoscopic interfaces in multilayered polymer nanocomposites induces ultrahigh energy density for capacitive energy storage. Nano Energy 2019, 62, 220–229. [Google Scholar] [CrossRef]
- Xie, B.; Zhang, Q.; Zhang, L.; Zhu, Y.; Guo, X.; Fan, P.; Zhang, H. Ultrahigh discharged energy density in polymer nanocomposites by designing linear/ferroelectric bilayer heterostructure. Nano Energy 2018, 54, 437–446. [Google Scholar] [CrossRef]
- Zhang, Y.; Yang, H.; Dang, Z.; Zhan, S.; Sun, C.; Hu, G.; Lin, Y.; Yuan, Q. Multilayer Structured Poly(vinylidene fluoride)-Based Composite Film with Ultrahigh Breakdown Strength and Discharged Energy Density. ACS Appl. Mater. Interfaces 2020, 12, 22137–22145. [Google Scholar] [CrossRef] [PubMed]
- Zhang, Y.; Liu, L.; Zhang, T.; Zhang, C.; Chen, Q.; Wang, X.; Lei, Q. PVDF-Based Dielectric Composite Films with Excellent Energy Storage Performances by Design of Nanofibers Composition Gradient Structure. ACS Appl. Energy Mater. 2018, 1, 6320–6329. [Google Scholar] [CrossRef]
- Yang, X.; Zhu, X.; Ji, L.; Hu, P.; Li, Z. Largely enhanced energy storage performance in multilayered ferroelectric polymer nanocomposites with optimized spatial arrangement of ceramic nanofillers. Compos. Part A Appl. Sci. Manuf. 2020, 139, 106111. [Google Scholar] [CrossRef]
- Zhou, L.; Zhao, S.; Xie, P.; Miao, X.; Liu, S.; Sun, N.; Guo, M.; Xu, Z.; Zhong, T.; Shen, Y. Research progress and prospect of polymer dielectrics. Appl. Phys. Rev. 2023, 10, 031310. [Google Scholar] [CrossRef]
- Shen, Z.-H.; Wang, J.-J.; Lin, Y.; Nan, C.-W.; Chen, L.-Q.; Shen, Y. High-Throughput Phase-Field Design of High-Energy-Density Polymer Nanocomposites. Adv. Mater. 2018, 30, 1704380. [Google Scholar] [CrossRef]
- Luo, H.; Zhou, X.; Ellingford, C.; Zhang, Y.; Chen, S.; Zhou, K.; Zhang, D.; Bowen, C.R.; Wan, C. Interface design for high energy density polymer nanocomposites. Chem. Soc. Rev. 2019, 48, 4424–4465. [Google Scholar] [CrossRef]




Disclaimer/Publisher’s Note: The statements, opinions and data contained in all publications are solely those of the individual author(s) and contributor(s) and not of MDPI and/or the editor(s). MDPI and/or the editor(s) disclaim responsibility for any injury to people or property resulting from any ideas, methods, instructions or products referred to in the content. |
© 2024 by the authors. Licensee MDPI, Basel, Switzerland. This article is an open access article distributed under the terms and conditions of the Creative Commons Attribution (CC BY) license (https://creativecommons.org/licenses/by/4.0/).
Share and Cite
Bera, S.; Thantirige, R.; Kadam, S.A.; Sumant, A.V.; Pradhan, N.R. High-Density Capacitive Energy Storage in Low-Dielectric-Constant Polymer PMMA/2D Mica Nanofillers Heterostructure Composite. Molecules 2024, 29, 4671. https://doi.org/10.3390/molecules29194671
Bera S, Thantirige R, Kadam SA, Sumant AV, Pradhan NR. High-Density Capacitive Energy Storage in Low-Dielectric-Constant Polymer PMMA/2D Mica Nanofillers Heterostructure Composite. Molecules. 2024; 29(19):4671. https://doi.org/10.3390/molecules29194671
Chicago/Turabian StyleBera, Sumit, Rukshan Thantirige, Sujit A. Kadam, Anirudha V. Sumant, and Nihar R. Pradhan. 2024. "High-Density Capacitive Energy Storage in Low-Dielectric-Constant Polymer PMMA/2D Mica Nanofillers Heterostructure Composite" Molecules 29, no. 19: 4671. https://doi.org/10.3390/molecules29194671
APA StyleBera, S., Thantirige, R., Kadam, S. A., Sumant, A. V., & Pradhan, N. R. (2024). High-Density Capacitive Energy Storage in Low-Dielectric-Constant Polymer PMMA/2D Mica Nanofillers Heterostructure Composite. Molecules, 29(19), 4671. https://doi.org/10.3390/molecules29194671

