Computational and Experimental Comparison of Molecularly Imprinted Polymers Prepared by Different Functional Monomers—Quantitative Parameters Defined Based on Molecular Dynamics Simulation
Abstract
1. Introduction
2. Results and Discussion
2.1. QC Calculations
2.2. MD Simulations
2.2.1. The Effective Binding Number (EBN) and the Maximum Hydrogen Bond Number (HBNMax)
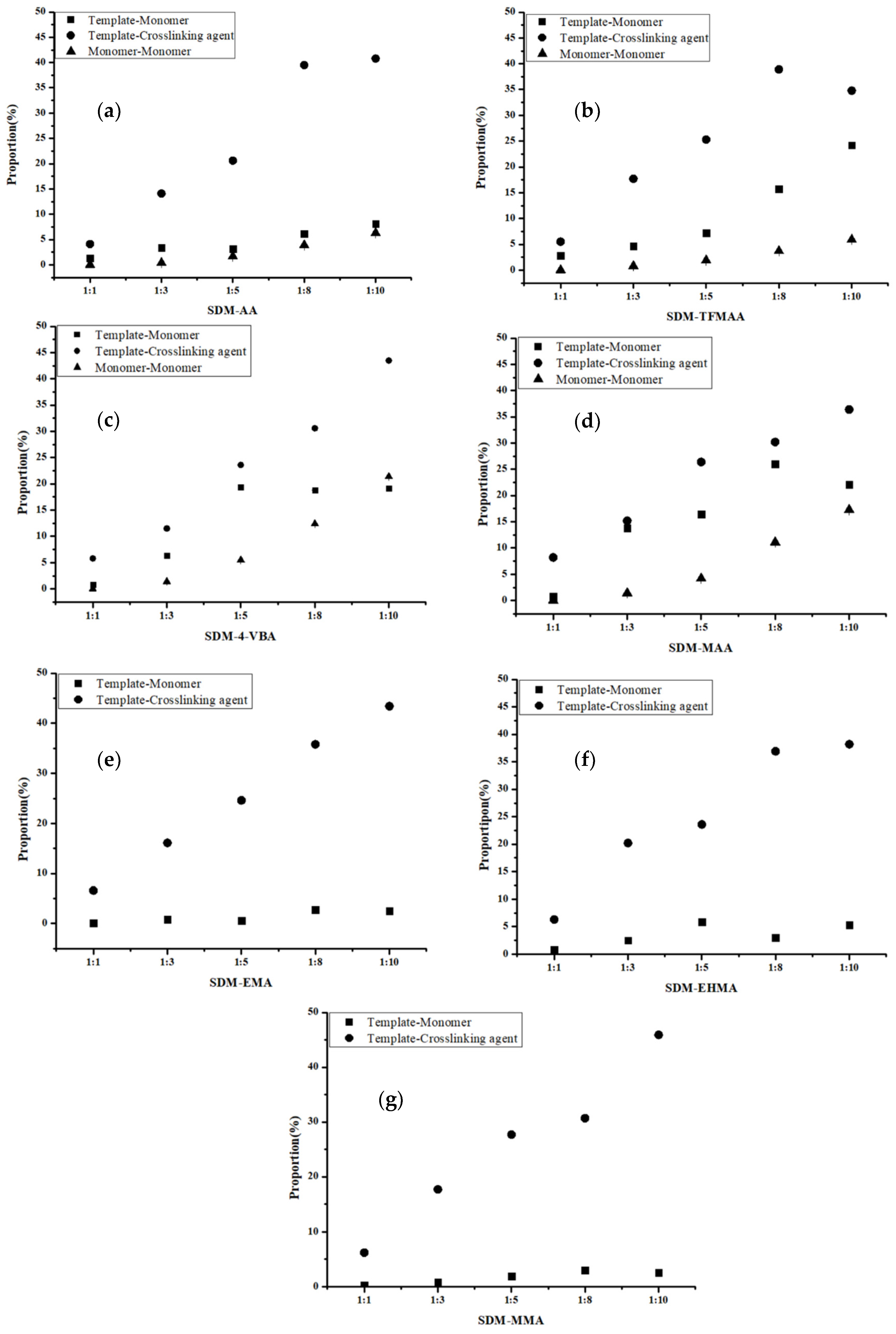
2.2.2. Analysis of Hydrogen Bond Occupancy
2.2.3. Radial Distribution Function (RDF) Analysis
2.3. Synthesis and Characterization of Surface MIPs (SMIPs)
2.4. Evaluation of the SMIPs
2.4.1. Effect of the Functional Monomer Species on the Adsorption Effect
2.4.2. Effect of the Amount of Functional Monomers on the Adsorption Effect
2.4.3. Binding Specificity
3. Materials and Methods
3.1. Chemicals and Materials
3.2. Instruments and Software
3.3. Chromatographic Conditions
3.4. Molecular Modeling
3.5. Synthesis of SMIPs
3.6. Binding Experiments
4. Conclusions
Supplementary Materials
Author Contributions
Funding
Institutional Review Board Statement
Informed Consent Statement
Data Availability Statement
Conflicts of Interest
References
- Liu, Y.; Qiu, X.; Zhang, M.; Lin, Y.; Lan, H.; Li, X.; Wu, Q.; He, J. Boronate affinity-based surface molecularly imprinted polymer microspheres using polyethyleneimine/dopamine coating for efficient selective recognition and separation of Ginsenoside Rb1. React. Funct. Polym. 2024, 194, 105780. [Google Scholar] [CrossRef]
- Tang, B.; Wang, Z.; Zhao, G. Preferential and simultaneous removal of chlorophenoxy herbicide pollutants via double molecular imprinted TiO2 single crystalline surface. Chem. Eng. J. 2022, 446, 137142. [Google Scholar] [CrossRef]
- Imen, D.; Bereli, N.; Gunaydin, S.; Denizli, A. Molecular imprinted nanoparticle assisted surface plasmon resonance biosensors for detection of thrombin. Talanta 2022, 246, 123484. [Google Scholar] [CrossRef] [PubMed]
- Li, H.; Xu, H.; Zhang, J.; Li, Y.; Yu, H.; Zhao, Y.; Wang, D.; Li, Y.; Zhu, J. Synthesis of an organic phosphoric acid-based multilayered SERS imprinted sensor for selective detection of dichlorophenol. New J. Chem. 2022, 46, 12069–12076. [Google Scholar] [CrossRef]
- Xie, X.; Li, J.; Zhen, X.; Chen, L.; Yuan, W.; Feng, Q.; Liu, X. Rational construction of fluorescent molecular imprinted polymers for highly efficient glycoprotein detection. Anal. Chim. Acta 2022, 1209, 339875. [Google Scholar] [CrossRef]
- Kumar, V.; Kim, K.H. Use of molecular imprinted polymers as sensitive/selective luminescent sensing probes for pesticides/herbicides in water and food samples. Environ. Pollut. 2022, 299, 118824. [Google Scholar] [CrossRef]
- Zhang, X.; Yang, J.; Liu, Z.; Huang, Y.; Aisa, H.A. Preparation of arctiin moleculary imprinted polymers with 4-vinylpyridine and Allyl-β-cyclodextrin as binary monomers under molecular crowding conditions. J. Chromatogr. B 2022, 1193, 123172. [Google Scholar] [CrossRef]
- Song, X.; Zhou, T.; Li, J.; Zhang, M.; Xie, J.; He, L. Determination of Ten Macrolide Drugs in Environmental Water Using Molecularly Imprinted Solid-Phase Extraction Coupled with Liquid Chromatography-Tandem Mass Spectrometry. Molecules 2018, 23, 1172. [Google Scholar] [CrossRef] [PubMed]
- Qiu, X.; Huang, J.; Wang, G.; Liu, J.; Wang, J. Molecularly imprinted polymer based microtiter chemiluminescence array for determination of phenothiazines and benzodiazepines in pork. Anal. Biochem. 2018, 554, 9–15. [Google Scholar] [CrossRef]
- Zhang, Y.; Wang, Q.; Zhao, X.; Ma, Y.; Zhang, H.; Pan, G. Molecularly Imprinted Nanomaterials with Stimuli Responsiveness for Applications in Biomedicine. Molecules 2023, 28, 918. [Google Scholar] [CrossRef]
- Zhang, X.; Wang, Y.; Wei, Z.; An, D.; Pu, W.; Liu, Z.; Huang, Y. Improving the Identification of Lysine-Acetylated Peptides Using a Molecularly Imprinted Monolith Prepared by a Deep Eutectic Solvent Monomer. J. Proteome Res. 2022, 21, 325–338. [Google Scholar] [CrossRef]
- Huang, J.; Liu, J.; Liu, J.; Wang, J. A microtitre chemiluminescence sensor for detection of pyrethroids based on dual-dummy-template molecularly imprinted polymer and computational simulation. Luminescence 2020, 35, 120–128. [Google Scholar] [CrossRef]
- Alharbi, H.Y.; Aljohani, M.S.; Monier, M. Development of an acrylic acid-functionalized molecularly imprinted polymeric material for chiral recognition of S-ketamine. React. Funct. Polym. 2023, 191, 105686. [Google Scholar] [CrossRef]
- Suryana, S.; Mutakin, M.; Rosandi, Y.; Hasanah, A.N. Rational design of salmeterol xinafoate imprinted polymer through computational method: Functional monomer and crosslinker selection. Polym. Advan. Technol. 2022, 33, 221–234. [Google Scholar] [CrossRef]
- Yu, X.; Zeng, H.; Wan, J.; Cao, X. Computational design of a molecularly imprinted polymer compatible with an aqueous environment for solid phase extraction of chenodeoxycholic acid. J. Chromatogr. A 2020, 1609, 460490. [Google Scholar] [CrossRef]
- Li, H.; Zhang, W.; Wu, Z.; Huang, X.; Hui, A.; He, Y.; Wang, H. Theoretical design, preparation, and evaluation of Ginkgolide B molecularly imprinted polymers. J. Sep. Sci. 2020, 43, 514–523. [Google Scholar] [CrossRef]
- Sajini, T.; Thomas, R.; Mathew, B. Computational design and fabrication of enantioselective recognition sorbents for L-phenylalanine benzyl ester on multiwalled carbon nanotubes using molecular imprinting technology. Chin. J. Polym. Sci. 2019, 37, 1305–1318. [Google Scholar] [CrossRef]
- Xie, L.; Xiao, N.; Li, L.; Xie, X.; Li, Y. An Investigation of the Intermolecular Interactions and Recognition Properties of Molecular Imprinted Polymers for Deltamethrin through Computational Strategies. Polymers 2019, 11, 1872. [Google Scholar] [CrossRef]
- Maryam, S.; Mehdi, A.; Mehdi, F.M.; Maryam, K. Computational design as a green approach for facile preparation of molecularly imprinted polyarginine-sodium alginate-multiwalled carbon nanotubes composite film on glassy carbon electrode for theophylline sensing. J. Pharmaceut. Biomed. 2019, 162, 215–224. [Google Scholar] [CrossRef]
- Hammam, M.A.; Abdel-Halim, M.; Madbouly, A.; Wagdy, H.A.; El Nashar, R.M. Computational design of molecularly imprinted polymer for solid phase extraction of moxifloxacin hydrochloride from Avalox® tablets and spiked human urine samples. Microchem. J. 2019, 148, 51–56. [Google Scholar] [CrossRef]
- Yuan, J.; Wang, C.; Gao, Y.; Hu, J.; Niu, S.; Meng, X.; Jia, T.; Yin, R. Probing the molecular basis for sulfonamides recognition in surface molecularly imprinted polymers using computational and experimental approaches. React. Funct. Polym. 2022, 170, 105105. [Google Scholar] [CrossRef]
- Golker, K.; Karlsson, B.C.G.; Olsson, G.D.; Rosengren, A.M.; Nicholls, I.A. Influence of Composition and Morphology on Template Recognition in Molecularly Imprinted Polymers. Macromolecules 2013, 46, 1408–1414. [Google Scholar] [CrossRef]
- He, Q.; Liang, J.; Chen, L.; Chen, S.; Zhang, H.; Liu, H.; Zhang, H. Removal of the environmental pollutant carbamazepine using molecular imprinted adsorbents: Molecular simulation, adsorption properties, and mechanisms. Water Res. 2019, 168, 115164. [Google Scholar] [CrossRef]
- Daniels, E.; Mustafa, Y.L.; Herdes, C.; Leese, H.S. Optimization of Cortisol-Selective Molecularly Imprinted Polymers Enabled by Molecular Dynamics Simulations. ACS Appl. Bio Mater. 2021, 4, 7243–7253. [Google Scholar] [CrossRef]
- Cubuk, M.; Ozbil, M.; Hatir, P.C. Computational analysis of functional monomers used in molecular imprinting for promising COVID-19 detection. Comput. Theor. Chem. 2021, 1199, 113215. [Google Scholar] [CrossRef]
- García, Y.; ÚSuga, B.A.; Campos, C.H.; Alderete, J.B.; Jiménez, V.A. NanoMIPs Design for Fucose and Mannose Recognition: A Molecular Dynamics Approach. J. Chem. Inf. Model. 2021, 61, 2048–2061. [Google Scholar] [CrossRef]
- Mamo, S.K.; Elie, M.; Baron, M.G.; Gonzalez-Rodriguez, J. Computationally Designed Perrhenate Ion Imprinted Polymers for Selective Trapping of Rhenium Ions. ACS Appl. Polym. Mater. 2020, 2, 3135–3147. [Google Scholar] [CrossRef]
- Rebelo, P.; Pacheco, J.G.; Voroshylova, I.V.; Melo, A.; Cordeiro, M.N.D.S.; Delerue-Matos, C. Rational development of molecular imprinted carbon paste electrode for Furazolidone detection: Theoretical and experimental approach. Sensor. Actuat. B-Chem. 2020, 329, 129112. [Google Scholar] [CrossRef]
- Cowen, T.; Karim, K.; Piletsky, S. Computational approaches in the design of synthetic receptors—A review. Anal. Chim. Acta 2016, 936, 62–74. [Google Scholar] [CrossRef]
- Nicholls, I.A.; Chavan, S.; Golker, K.; Karlsson, B.C.G.; Olsson, G.D.; Rosengren, A.M.; Suriyanarayanan, S.; Wiklander, J.G. Theoretical and computational strategies for the study of the molecular imprinting process and polymer performance. In Molecularly Imprinted Polymers in Biotechnology; Mattiasson, B., Ye, L., Eds.; Springer: Cham, Switzerland, 2015; pp. 25–50. [Google Scholar]
- Zink, S.; Moura, A.; Autreto, P.A.D.S.; Galvao, D.S.; Mizaikoff, B. Virtually imprinted polymers (VIPs): Understanding molecularly templated materials via molecular dynamics simulations. Phys. Chem. Chem. Phys. 2018, 20, 13145–13152. [Google Scholar] [CrossRef]
- Rebelo, P.; Pacheco, J.G.; Voroshylova, I.V.; Melo, A.; Cordeiro, M.N.D.S.; Delerue-Matos, C. A simple electrochemical detection of atorvastatin based on disposable screen-printed carbon electrodes modified by molecularly imprinted polymer: Experiment and simulation. Anal. Chim. Acta 2022, 1194, 339410. [Google Scholar] [CrossRef] [PubMed]
- Zhou, P.; Li, X.; Zhou, J.; Li, W.; Shen, L. A molecular imprinting polymer based on computer-aided design: Selective enrichment and purification of synephrine from the extract waste liquid of Citrus aurantium L. React. Funct. Polym. 2023, 190, 105647. [Google Scholar] [CrossRef]
- Kouki, S.; Jaoued-Grayaa, N.; Anene, A.; Beyou, E.; Chevalier, Y.; Hbaieb, S. The enhanced adsorption properties of molecular imprinted polymer material prepared using nitroxide-mediated Radical Deactivation Reversible Polymerization. Polymer 2022, 249, 124841. [Google Scholar] [CrossRef]
- Astuti, E.J.; Permana, B.; Ibrahim, S.; Zulfikar, M.A.; Damayanti, S. In silico and experimental study of functionalized monomer for molecularly imprinted-enoxaparin polymer: A novel green approach. React. Funct. Polym. 2024, 194, 105778. [Google Scholar] [CrossRef]
- Isarankura-Na-Ayudhya, C.; Nantasenamat, C.; Buraparuangsang, P.; Piacham, T.; Ye, L.; Bulow, L.; Prachayasittikul, V. Computational insights on sulfonamide imprinted polymers. Molecules 2008, 13, 3077–3091. [Google Scholar] [CrossRef]
- Frisch, M.J.; Trucks, G.W.; Schlegel, H.B.; Scuseria, G.E. Gaussian 09; Gaussian, Inc.: Wallingford, CT, USA, 2009. [Google Scholar]
- Berendsen, H.J.C.; Spoel, D.; Drunen, R. GROMACS: A message-passing parallel molecular dynamics implementation. Comput. Phys. Commun. 1995, 91, 43–56. [Google Scholar] [CrossRef]
- Páll, S.; Zhmurov, A.; Bauer, P.; Abraham, M.; Lundborg, M.; Gray, A.; Hess, B.; Lindahl, E. Heterogeneous Parallelization and Acceleration of Molecular Dynamics Simulations in GROMACS. J. Chem. Phys. 2020, 153, 134110. [Google Scholar] [CrossRef]
- Lu, T.; Chen, F. Multiwfn: A multifunctional wavefunction analyzer. J. Comput. Chem. 2012, 33, 580–592. [Google Scholar] [CrossRef]
- Gholivand, M.B.; Khodadadian, M.; Ahmadi, F. Computer aided-molecular design and synthesis of a high selective molecularly imprinted polymer for solid-phase extraction of furosemide from human plasma. Anal. Chim. Acta 2010, 658, 225–232. [Google Scholar] [CrossRef] [PubMed]
- Wang, J.; Wang, W.; Kollman, P.A.; Case, D.A. Automatic atom type and bond type perception in molecular mechanical calculations. J. Mol. Graph. Model. 2006, 25, 247–260. [Google Scholar] [CrossRef] [PubMed]
- Wang, J.; Wolf, R.M.; Caldwell, J.W.; Kollman, P.A.; Case, D.A. Development and Testing of a General Amber Force Field. J. Comput. Chem. 2004, 25, 1157–1174. [Google Scholar] [CrossRef]
- Humphrey, W.F.; Dalke, A.; Schulten, K. VMD: Visual molecular dynamics. J. Mol. Graph. 1996, 14, 33–38. [Google Scholar] [CrossRef]
- Rebelo, P.; Pacheco, J.G.; Voroshylova, I.V.; Seguro, I.; Cordeiro, M.N.D.; Delerue-Matos, C. Computational modelling and sustainable synthesis of a highly selective electrochemical MIP-based sensor for citalopram detection. Molecules 2022, 27, 3315. [Google Scholar] [CrossRef]
- Rebelo, P.; Pacheco, J.G.; Voroshylova, I.V.; Cordeiro, M.N.D.; Delerue-Matos, C. Development of a molecular imprinted electrochemiluminescence sensor for amitriptyline detection: From MD simulations to experimental implementation. Electrochim. Acta 2021, 397, 139273. [Google Scholar] [CrossRef]
- Ribelli, T.G.; Lorandi, F.; Fantin, M.; Matyjaszewski, K. Atom transfer radical polymerization: Billion times more active catalysts and new initiation systems. Macromol. Rapid. Commun. 2019, 40, 1800616. [Google Scholar] [CrossRef]
- Hsiao, C.; Han, H.; Lee, G.; Peng, C. AGET and SARA ATRP of styrene and methyl methacrylate mediated by pyridyl-imine based copper complexes. Eur. Polym. J. 2014, 51, 12–20. [Google Scholar] [CrossRef]
- Luo, W.; Zhu, L.; Yu, C.; Tang, H.; Yu, H.; Li, X.; Zhang, X. Synthesis of surface molecularly imprinted silica micro-particles in aqueous solution and the usage for selective off-line solid-phase extraction of 2,4-dinitrophenol from water matrixes. Anal. Chim. Acta 2008, 618, 147–156. [Google Scholar] [CrossRef] [PubMed]











| 1:1 Template-Monomer Complexes | Hydrogen Bond Number | ΔEinteration (kJ/mol) | Hydrogen Bond * (Template⋯Monomer) | Charge (Acceptor⋯Donor) | Bond Length (nm) | Bond Angle (°) |
|---|---|---|---|---|---|---|
| SDM-AA① | 1 | −30.17 | N-H⋯O=C | −0.643⋯0.422 | 0.2023 | 164.9 |
| SDM-AA② | 1 | −33.19 | N-H⋯O=C | −0.645⋯0.424 | 0.2033 | 156.3 |
| SDM-AA③ | 2 | −68.12 | N-H⋯O=C | −0.665⋯0.471 | 0.1928 | 164.5 |
| S=O⋯H-O | −0.975⋯0.534 | 0.1758 | 172.4 | |||
| SDM-AA④ | 1 | −48.83 | S=O⋯H-O | −0.978⋯0.532 | 0.1818 | 173.4 |
| SDM-AA⑤ | 2 | −82.30 | N-H⋯O=C | −0.670⋯0.469 | 0.1843 | 169.6 |
| Pyrimidine para-N⋯H-O | −0.639⋯0.531 | 0.1786 | 176.4 | |||
| SDM-AA⑥ | 1 | −42.72 | C-O⋯H-O | −0.580⋯0.524 | 0.1873 | 175.0 |
| SDM-AA⑦ | 1 | −34.64 | Pyrimidine para-N⋯H-O | −0.695⋯0.521 | 0.2012 | 155.7 |
| SDM-AA⑧ | 1 | −41.59 | C-O⋯H-O | −0.587⋯0.518 | 0.1860 | 161.4 |
| SDM-EMA① | 1 | −37.95 | N-H⋯O=C | −0.616⋯0.429 | 0.2009 | 173.9 |
| SDM-EMA② | 1 | −38.33 | N-H⋯O=C | −0.611⋯0.427 | 0.2023 | 173.3 |
| SDM-EMA③ | 1 | −65.29 | N-H⋯O=C | −0.638⋯0.460 | 0.2008 | 151.6 |
| SDM-EMA④ | 1 | −52.51 | N-H⋯O-C | −0.608⋯0.460 | 0.2015 | 162.4 |
| Functional Monomers | |||||||
|---|---|---|---|---|---|---|---|
| AA | MAA | TFMAA | VBA | EHMA | EMA | MMA | |
| EBN | 2 | 2 | 2 | 2 | 2 | 1 | 2 |
| HBNMax | 3 | 3 | 3 | 3 | 2 | 1 | 2 |
Disclaimer/Publisher’s Note: The statements, opinions and data contained in all publications are solely those of the individual author(s) and contributor(s) and not of MDPI and/or the editor(s). MDPI and/or the editor(s) disclaim responsibility for any injury to people or property resulting from any ideas, methods, instructions or products referred to in the content. |
© 2024 by the authors. Licensee MDPI, Basel, Switzerland. This article is an open access article distributed under the terms and conditions of the Creative Commons Attribution (CC BY) license (https://creativecommons.org/licenses/by/4.0/).
Share and Cite
Yuan, J.; Gao, Y.; Tian, X.; Su, W.; Su, Y.; Niu, S.; Meng, X.; Jia, T.; Yin, R.; Hu, J. Computational and Experimental Comparison of Molecularly Imprinted Polymers Prepared by Different Functional Monomers—Quantitative Parameters Defined Based on Molecular Dynamics Simulation. Molecules 2024, 29, 4236. https://doi.org/10.3390/molecules29174236
Yuan J, Gao Y, Tian X, Su W, Su Y, Niu S, Meng X, Jia T, Yin R, Hu J. Computational and Experimental Comparison of Molecularly Imprinted Polymers Prepared by Different Functional Monomers—Quantitative Parameters Defined Based on Molecular Dynamics Simulation. Molecules. 2024; 29(17):4236. https://doi.org/10.3390/molecules29174236
Chicago/Turabian StyleYuan, Jing, Ying Gao, Xinzhuo Tian, Wenhao Su, Yuxin Su, Shengli Niu, Xiangying Meng, Tong Jia, Ronghuan Yin, and Jianmin Hu. 2024. "Computational and Experimental Comparison of Molecularly Imprinted Polymers Prepared by Different Functional Monomers—Quantitative Parameters Defined Based on Molecular Dynamics Simulation" Molecules 29, no. 17: 4236. https://doi.org/10.3390/molecules29174236
APA StyleYuan, J., Gao, Y., Tian, X., Su, W., Su, Y., Niu, S., Meng, X., Jia, T., Yin, R., & Hu, J. (2024). Computational and Experimental Comparison of Molecularly Imprinted Polymers Prepared by Different Functional Monomers—Quantitative Parameters Defined Based on Molecular Dynamics Simulation. Molecules, 29(17), 4236. https://doi.org/10.3390/molecules29174236

