Physicochemical Characterization and Antimicrobial Properties of Lanthanide Nitrates in Dilute Aqueous Solutions
Abstract
1. Introduction
2. Results and Discussion
2.1. X-ray Standing Wave Studies
2.2. X-ray Absorption Spectroscopy Studies
2.3. X-ray Diffraction
2.4. FT-IR Spectroscopy Data
- Stage I:
- Stage II:
- Stage III:
3. Materials and Methods
3.1. X-ray Studies
3.1.1. X-ray Absorption Spectroscopy Measurements at Liquid Surface
3.1.2. X-ray Absorption Spectroscopy Measurements of Powder Samples
3.1.3. XRSW Measurements
3.2. EXAFS Data Analysis
3.3. X-ray Diffraction Experiments
3.4. FT-IR Spectroscopy
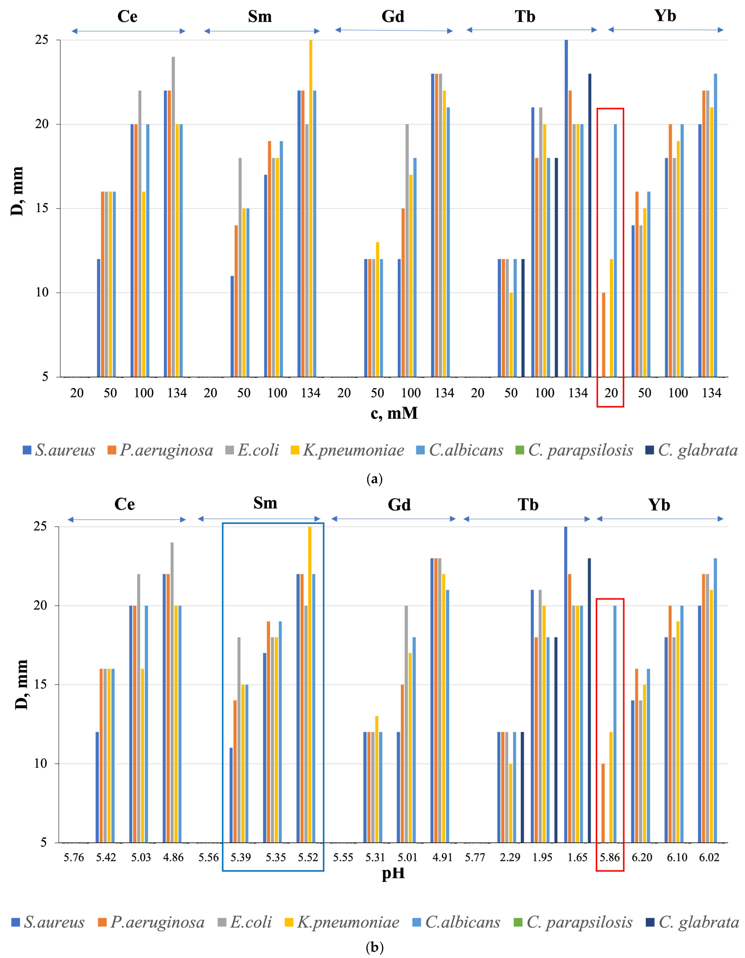
3.5. The Antimicrobial Activity
4. Conclusions
Supplementary Materials
Author Contributions
Funding
Institutional Review Board Statement
Informed Consent Statement
Data Availability Statement
Conflicts of Interest
References
- Ansari, S.A.; Mohapatra, P.K. A review on solid phase extraction of actinides and lanthanides with amide based extractants. J. Chromatogr. 2017, 1499, 1–20. [Google Scholar] [CrossRef] [PubMed]
- Liu, K.; You, H.; Jia, G.; Zheng, Y.; Huang, Y.; Song, Y.; Yang, M.; Zhang, L.; Zhang, H. Hierarchically Nanostructured Coordination Polymer: Facile and Rapid Fabrication and Tunable Morphologies. Cryst. Growth Des. 2010, 10, 790–797. [Google Scholar] [CrossRef]
- Nazarov, M.; Young, N. New Generation of Terbium and Europium Activated Phosphors; Pan Stanford Publishing: Boca Raton, FL, USA, 2011. [Google Scholar]
- Drossbach, G.P. Ueber den Einfluss der Elemente der Cer-und Zircongruppe auf das Wachstum von Bakterien. Zentralbl Bakteriol Parasitenk Infekt. Abt. 1897, 1, 57–58. [Google Scholar]
- Cota, I.; Marturano, V.; Tylkowski, B. Ln complexes as double faced agents: Study of antibacterial and antifungal activity. Coordin. Chem. Rev. 2019, 396, 49–71. [Google Scholar] [CrossRef]
- Garner, J.P.; Heppell, P.S.J. Cerium nitrate in the management of burns. Burns 2005, 31, 539–547. [Google Scholar] [CrossRef]
- Silva-Dias, A.; Miranda, I.M.; Branco, J.; Cobrado, L.; Monteiro-Soares, M.; Pina-Vaz, C.; Rodrigues, A.G. In vitro antifungal activity and in vivo antibiofilm activity of cerium nitrate against Candida species. J. Antimicrob. Chemother. 2015, 70, 1083–1093. [Google Scholar] [CrossRef]
- Gainanova, A.A.; Kuz’micheva, G.M.; Terekhova, R.P.; Pashkin, I.I.; Trigub, A.L.; Malysheva, N.E.; Svetogorov, R.D.; Alimguzina, A.R.; Koroleva, A.V. New antimicrobial objects with cerium ions in the composition of salts, solutions, composite systems based on Ce 3+(NO3)3 × 6H2O. New J. Chem. 2022, 46, 19271. [Google Scholar] [CrossRef]
- Kuz’micheva, G.M.; Timaeva, O.I.; Novikova, N.N.; Yakunin, S.N.; Rogachev, A.V.; Svetogorov, R.D.; Pashkin, I.I.; Terekhova, R.P. Antimicrobial Activity of Composite Hydrogels in the Poly(N-vinylpyrrolidone)–RE(NO3)3·xH2O (RE Are Rare-Earth Ions) System. Crystallogr. Rep. 2020, 65, 922–932. [Google Scholar] [CrossRef]
- Beuchat, C.; Hagberg, D.; Spezia, R.; Gagliardi, L. Hydration of Lanthanide Chloride Salts: A Quantum Chemical and Classical Molecular Dynamics Simulation Study. J. Phys. Chem. B 2010, 114, 15590–15597. [Google Scholar] [CrossRef]
- Allen, P.G.; Bucher, J.J.; Shuh, D.K.; Edelstein, N.M.; Craig, I. Coordination Chemistry of Trivalent Lanthanide and Actinide Ions in Dilute and Concentrated Chloride Solutions. Inorg. Chem. 2000, 39, 595–601. [Google Scholar] [CrossRef]
- Rizkalla, E.N.; Choppin, G.R. Lanthanides and actinides hydration and hydrolysis. In Handbook on the Physics and Chemistry of Rare Earths; Gschneidner, K.A., Jr., Eying, L., Choppin, G.R., Lander, G.H., Eds.; Elsevier Science: Amsterdam, The Netherlands, 1994; Volume 18, pp. 529–558. [Google Scholar]
- Yokoyama, H.; Johansson, G. Structures of Nitrate Complexes of Erbium in Aqueous Solutions. Acta Chem. Scand. 1990, 4, 567–573. [Google Scholar] [CrossRef][Green Version]
- Smirnov, P.R.; Grechin, O.V.; Trostin, V.N. Concentration Dependence of the Structure of Aqueous Solutions of Lutetium Nitrate According to X-ray Diffraction. Russ. J. Phys. Chem. A 2014, 88, 250–253. [Google Scholar] [CrossRef]
- Butcher, T.A.; Formon, G.J.M.; Dunne, P.; Hermans, T.M.; Ott, F.; Noirez, L.; Coey, J.M.D. Neutron imaging of liquid-liquid systems containing paramagnetic salt solutions. Appl. Phys. Lett. 2020, 116, 022405. [Google Scholar] [CrossRef]
- Yaita, T.; Narita, H.; Suzuki, S.; Tachimori, S. Structural study of lanthanides(III) in aqueous nitrate and chloride solutions by EXAFS. J. Radioanal. Nucl. Chem. 1999, 239, 371–375. [Google Scholar] [CrossRef]
- Ohta, A.; Kagi, H.; Tsuno, H.; Nomura, M.; Kawabe, I. Influence of multi-electron excitation on EXAFS spectroscopy of trivalent rare-earth ions and elucidation of change in hydration number through the series. Am. Mineral. 2008, 93, 1384–1392. [Google Scholar] [CrossRef]
- Nelson, D.L.; Irish, D.E. Interactions in Lanthanide Systems. I. A Raman and Infrared Study of Aqueous Gadolinium Nitrate. J. Chem. Phys. 1971, 54, 4479–4489. [Google Scholar] [CrossRef]
- Onghena, B.; Papagni, E.; Rezende Souza, E.; Banerjee, D.; Binnemans, K.; Hoogerstraete, T. Speciation of lanthanide ions in the organic phase after extraction from nitrate media by basic extractants. RSC Adv. 2018, 8, 32044–32054. [Google Scholar] [CrossRef] [PubMed]
- Rudolph, W.W.; Irmer, G. On the Hydration of the Rare Earth Ions in Aqueous Solution. J. Solut. Chem. 2020, 49, 316–331. [Google Scholar] [CrossRef]
- Fratiello, A.; Kubo-Anderson, V.; Azimi, S.; Flores, T.; Marinez, E.; Matejka, D.; Perrigan, R.; Vigil, M. A Hydrogen-I, Nitrogen-15, and Chlorine-35 NMR Coordination Study of Lu(CIO4)3 and Lu(NO3)3 in Aqueous Solvent Mixtures. J. Solut. Chem. 1990, 19, 811–829. [Google Scholar] [CrossRef]
- Dobler, M.; Guilbaud, P.; Dedieub, A.; Wipff, G. Interaction of trivalent lanthanide cations with nitrate anions: A quantum chemical investigation of monodentate/bidentate binding modes. New J. Chem. 2001, 25, 1458–1465. [Google Scholar] [CrossRef]
- Duvail, M.; Ruas, A.; Venault, L.; Moisy, P.; Guilbaud, P. Molecular Dynamics Studies of Concentrated Binary Aqueous Solutions of Lanthanide Salts: Structures and Exchange Dynamics. Inorg. Chem. 2010, 49, 519–530. [Google Scholar] [CrossRef] [PubMed]
- Migliorati, V.; Serva, A.; Sessa, F.; Lapi, A.; D’Angelo, P. Influence of Counterions on the Hydration Structure of Lanthanide Ions in Dilute Aqueous Solutions. J. Phys. Chem. B 2018, 122, 2779–2791. [Google Scholar] [CrossRef]
- Bonal, C.; Morel, J.-P.; Morel-Desrosiers, N. Interactions between lanthanide cations and nitrate anions in water Part 2. Microcalorimetric determination of the Gibbs energies, enthalpies and entropies of complexation of Y3‘ and trivalent lanthanide cations. J. Chem. Soc. Faraday Trans. 1998, 94, 1431–1436. [Google Scholar] [CrossRef]
- Rao, L.; Tian, G. Complexation of Lanthanides with Nitrate at Variable Temperatures: Thermodynamics and Coordination Modes. Inorg. Chem. 2009, 48, 964–970. [Google Scholar] [CrossRef] [PubMed]
- Bera, M.K.; Luo, G.; Schlossman, M.L.; Soderholm, L.; Lee, S.; Antonio, M.R. Erbium(III) Coordination at the Surface of an Aqueous Electrolyte. J. Phys. Chem. B 2015, 119, 8734–8745. [Google Scholar] [CrossRef]
- Shiery, R.C.; Fulton, J.L.; Balasubramanian, M.; Nguyen, M.-T.; Lu, J.-B.; Li, J.; Rousseau, R.; Glezakou, V.-A.; Cantu, D.C. Coordination Sphere of Lanthanide Aqua Ions Resolved with Ab Initio Molecular Dynamics and X-ray Absorption Spectroscopy. Inorg. Chem. 2021, 60, 3117–3130. [Google Scholar] [CrossRef]
- Persson, I.; D’Angelo, P.; De Panfilis, S.; Sandström, M.; Erikssonet, L. Hydration of Lanthanoid (III) Ions in Aqueous Solution and Crystalline Hydrates Studied by EXAFS Spectroscopy and Crystallography: The Myth of the “Gadolinium Break”. Chem. Eur. J. 2008, 14, 3056–3066. [Google Scholar] [CrossRef] [PubMed]
- Solera, J.A.; García, J.; Proietti, M.G. Multielectron excitations at the L edges in rare-earth ionic aqueous solutions. Phys. Rev. B 1995, 51, 2678. [Google Scholar] [CrossRef]
- Plakhova, T.; Romanchuk, A.; Yakunin, S.; Dumas, T.; Demir, S.; Wang, S.; Minasian, S.; Shuh, D.; Tyliszczak, T.; Shiryaev, A.; et al. Solubility of Nanocrystalline Cerium Dioxide: Experimental Data and Thermodynamic Modeling. J. Phys. Chem. C 2016, 120, 22615–22626. [Google Scholar] [CrossRef]
- Zegenhagen, J.; Kazimirov, A. X-ray Standing Wave Technique, Principles and Applications; World Scientific Publishing: Singapore, 2013; 556p. [Google Scholar]
- Parratt, L.G. Surface Studies of Solids by Total Reflection of X-rays. Phys. Rev. 1954, 95, 359–369. [Google Scholar] [CrossRef]
- Milinski, N.; Ribar, B.; Sataric, M. Pentaaquatrinitratocerium(III) monohydrate, Ce(H2O)5(NO3)3·H2O. Cryst. Struct. Commun. 1980, 9, 473–477. [Google Scholar]
- Klein, W. Crystal structures of the penta- and hexahydrate of thulium nitrate. Acta Cryst. 2020, E76, 1863–1867. [Google Scholar] [CrossRef] [PubMed]
- Taha, Z.A.; Ajlouni, A.; Hijazi, A.K.; Kühn, F.E.; Herdtweck, E. Redetermination of [Gd(NO3)3(H2O)4]·2H2O. Acta Cryst. 2012, E68, i56–i57. [Google Scholar] [CrossRef] [PubMed]
- Kawashima, R.; Sasaki, M.; Satoh, S.; Isoda, H.; Kino, Y.; Shiozaki, Y. Report on Temperature Dependence of Crystal Structure for Samarium Nitrate Having Metastable Phenomena. J. Phys. Soc. Jpn. 2000, 69, 3297–3303. [Google Scholar] [CrossRef]
- Decadt, R.; Van Der Voort, P.; Van Driessche, I.; Van Deun, R.; Van Hecke, K. Redetermination of [Pr(NO3)3(H2O)4]_2H2O. Acta Cryst. 2012, E68, i59–i60. [Google Scholar]
- Stumpf, T.; Bolte, M. Tetraaquatrinitratoeuropium (III) dehydrate. Acta Cryst. 2001, E57, i10–i11. [Google Scholar]
- Moret, E.; Bunzli, J.-C.G.; Schenk, K.J. Structural and luminescence study of europium and terbium nitrate hexahydrates. Inorg. Chim. Acta 1990, 178, 83–88. [Google Scholar] [CrossRef]
- Rogers, D.J.; Taylor, N.J.; Toogood, G.E. Tetraaquatrinitratoneodymium(III) dihydrate, [Nd(NO3)3(H2O)4].2H2O. Acta Cryst. 1983, C39, 939–941. [Google Scholar] [CrossRef]
- Junk, P.C.; Kepert, D.L.; Skelton, B.W.; White, A.H. Structural Systematics of Rare Earth Complexes. XIII. (“Maximally”) Hydrated (Heavy) Rare Earth Nitrates. Aust. J. Chem. 1999, 52, 497–505. [Google Scholar]
- Rincke, C.; Schmidt, H.; Voigt, W. Rebuttal of the Existence of Solid Rare Earth Bicarbonates and the Crystal Structure of Holmium Nitrate Pentahydrate. Z. Für Anorg. Und Allg. Chem. 2017, 643, 437–442. [Google Scholar] [CrossRef]
- Klein, W. Crystal structure of tetraaqua-tris(nitrato-κ2O,O′) erbium(III) monohydrate, Er(NO3)3·5H2O, H10ErN3O14. Z. Fur. Krist. New Cryst. Struct. 2022, 237, 265–266. [Google Scholar]
- Natoli, C.R. Distance Dependence of Continuum and Bound State of Excitonic Resonances in X-ray Absorption Near Edge Structure (XANES). In EXAFS and Near Edge Structure III. Springer Proceedings in Physics; Hodgson, K.O., Hedman, B., Penner-Hahn, J.E., Eds.; Springer: Berlin/Heidelberg, Germany, 1984; Volume 2, pp. 38–42. [Google Scholar]
- Rizkalla, E.N.; Choppin, G.R. Hydration and hydrolysis of lanthanides. In Handbook on the Physics and Chemistry of Rare; Gschneidner, K.A., Eyring, L., Eds.; Elsevier: Amsterdam, The Netherlands, 1991; Volume 15, pp. 393–443. [Google Scholar]
- Rizkalla, E.N.; Choppin, G.R. Hydration of lanthanides and actinides in solution. J. Alloys Compd. 1992, 180, 325–336. [Google Scholar] [CrossRef]
- Smirnov, P.R.; Trostin, V.N. Structural Parameters of the Immediate Environment of Ions in Aqueous Solutions of Inorganic Electrolytes; Ivanovo Publishing House: Ivanovo, Russia, 2011; 400p. (In Russian) [Google Scholar]
- Kanno, H.; Hiraishi, J. Raman study of aqueous rare earth nitrate solutions in liquid and glassy states. J. Phys. Chem. 1984, 88, 2787–2792. [Google Scholar] [CrossRef]
- Choppin, G.R.; Strazik, W.F. Complexes of Trivalent Lanthanide and Actinide Ions. I. Outer-Sphere Ion Pairs. Inorg. Chem. 1965, 4, 1250–1254. [Google Scholar]
- Klimov, V.D.; Chudinov, E.G. Application of Infrared Spectroscopy to Study Bonds in Complexes of Rare Earth Nitrates with Alkylammonium Nitrates; Order-of-Lenin I. V. Kurchatov Institute of Atomic Energy: Moscow, Russia, 1974. (In Russian) [Google Scholar]
- Setyaeva, E.A.; Glushko, A.A.; Kuzmicheva, G.M.; Neznanov, A.A.; Terekhova, R.P.; Svetogorov, R.D. Application of information technologies for the selection of salts and solutions RE(NO3)3·xH2O (RE=La-Lu, Y, Sc) with optimal structural characteristics and biocidal and neutron studies. In Book of Reports of the Kurchatov Forum of Synchrotron and Neutron Research; NRC “Kurchatov Institute”: Moscow, Russia, 2023. (In Russian) [Google Scholar]
- Grechin, O.V.; Smirnov, P.R.; Trostin, V.N. X-Ray Diffraction Study of Aqueous solutions of Lanthanum Chloride and Nitrate. Chem. Chem. Technol. 2013, 56, 15–20. (In Russian) [Google Scholar]
- Smirnov, P.R.; Grechin, O.V.; Vashurin, A.S. Ion Coordination in Aqueous Lanthanum Chloride and Lanthanum Nitrate Solutions as Probed by X-Ray Diffraction. Russ. J. Inorg. Chem. 2022, 67, 382–387. [Google Scholar] [CrossRef]
- Yatsenko, A.V.; Gloriozov, I.P.; Zhokhova, N.I.; Paseshnichenko, K.A.; Aslanov, L.A.; Ustynyuk, Y.A. Structure of lanthanide nitrates in solution and in the solid state: DFT modelling of hydration effects. J. Mol. Liq. 2021, 323, 115005. [Google Scholar] [CrossRef]
- Rojas-Mena, A.; López-González, H.; Rojas-Hernández, A. Preparation and Characterization of Holmium-Beta-Cyclodextrin Complex. Adv. Mater. Phys. Chem. 2015, 5, 87–94. [Google Scholar] [CrossRef][Green Version]
- Vratny, F. Infrared Spectra of Metal Nitrates. Appl. Spectrosc. 1959, 13, 59–70. [Google Scholar] [CrossRef]
- Falk, M.; Giguere, P.A. Infrared spectrum of the H3O+ ion in aqueous solutions. Can. J. Chem. 1957, 35, 1195–1204. [Google Scholar] [CrossRef]
- Sriramula, B.S.; Katreddi, H.R. Rare Earth Nitrate Complexes with an ONO Schiff Base Ligand: Spectral, Thermal, Luminescence and Biological Studies. Iran. J. Chem. Chem. Eng. 2017, 36, 101–109. [Google Scholar]
- Sidyakin, P.V.; Karpov, V.L.; Egorov, B.N.; Egorova, Z.S. Radiation transformations in epoxy oligomers based on epichlorohydrin and n,n’-dioxydiphenylpropane. Polym. Sci. Ser. A 1971, 8, 2195–2206. [Google Scholar]
- Mihaylov, M.Y.; Zdravkova, V.R.; Ivanova, E.Z.; Aleksandrov, H.A.; Petko, P.S.; Vayssilov, G.N.; Hadjiivanov, K.I. Infrared Spectra of Surface Nitrates: Revision of the Current Opinions Based on the Case Study of Ceria. J. Catal. 2021, 394, 245–258. [Google Scholar] [CrossRef]
- Khakhalin, A.V.; Koroleva, A.V. Investigation of the temperature dependence for the spectra of supercooled water in the middle infrared. Mosc. Univ. Phys. Bull. 2014, 1, 66–69. [Google Scholar] [CrossRef]
- Trivedi, M.K.; Branton, A.; Trivedi, D.; Jana, S. Spectroscopic Characterization of Disodium Hydrogen Orthophosphate and Sodium Nitrate after Biofield Treatment. J. Chromatogr. Sep. Tech. 2015, 6, 2–5. [Google Scholar] [CrossRef]
- Alberts, A.S.; Brighton, S.W.; Kempf, P.; Louw, W.K.; Beek, A.V.; Kritzenger, V.; Westerink, H.P.; Vanrensburg, A.J. Samarium-153-EDTMP for Palliation of Ankylosing Spondylitis, Paget’s Disease and Rheumatoid Arthritis. J. Nucl. Med. 1995, 36, 1417–1420. [Google Scholar] [PubMed]
- de Witt, G.C.; May, P.M.; Webb, J.; Hefter, G. Biospeciation, by potentiometry and computer simulation, of Sm-EDTMP, a bone tumor palliative agent. Biometals 1996, 9, 351–361. [Google Scholar] [CrossRef]
- de Witt, G.C.; May, P.M.; Webb, J.; Hefter, G. Potentiometric and computer studies of yttrium-EDTMP. Inorg. Chim. Acta. 1998, 275–276, 37–42. [Google Scholar] [CrossRef]
- Hydrolysis. Available online: https://skysmart.ru/articles/chemistry/gidroliz (accessed on 22 October 2022).
- Chemer. Available online: https://chemer.ru/services/hydrolysis/salts/Fe(NO3)3 (accessed on 29 July 2024).
- Devyatov, F.V.; Rubanov, A.V. Hydrolytic properties of nitrates Ni(II), Cu(II), Dy(III). Proc. Kazan Univ. Nat. Sci. Ser. 2006, 148, 92–101. (In Russian) [Google Scholar]
- Bentouhami, E.; Bouet, G.M.; Meullemeestre, J.; Verling, F.; Khan, M.A. Physicochemical study of the hydrolysis of Rare-Earth elements (III) and thorium (IV). Comptes Rendus. Chimie. 2004, 7, 537–545. [Google Scholar] [CrossRef]
- Lucena, A.F.; Lourenço, C.; Michelini, M.C.; Rutkowski, P.X.; Carretas, J.M.; Zorz, N.; Berthon, L.; Dias, A.; Oliveira, M.C.; Gibson, J.K.; et al. Synthesis and hydrolysis of gas-phase lanthanide and actinide oxide nitrate complexes: A correspondence to trivalent metal ion redox potentials and ionization energies. Phys. Chem. Chem. Phys. 2015, 17, 9942–9950. [Google Scholar] [CrossRef]
- Habenschuss, A.; Spedding, F.H. The coordination (hydration) of rare earth ions in aqueous chloride solutions from x-ray diffraction. II. LaCl3, PrCl3, and NdCl3). J. Chem. Phys. 1979, 70, 3758–3763. [Google Scholar] [CrossRef]
- Habenschuss, A.; Spedding, F.H. The coordination (hydration) of rare earth ions in aqueous chloride solutions from x ray diffraction. I.TbCl3, DyCl3, ErCl3, TmCl3,and LuCl3. J. Chem. Phys. 1979, 70, 2797–2806. [Google Scholar] [CrossRef]
- Poluektov, N.S.; Kononenko, L.I.; Efryushina, N.P.; Beltyukova, S.V. Spectrophotometric and Luminescent Methods for Determining Lanthanides; Naukova Dumka: Kiev, Russia, 1989; p. 256. [Google Scholar]
- Esquivel-Castro, T.A.; Martínez-Luévanos, A.; Estrada-Flores, S.; Cano-Salazar, L.F. Porous Materials for Applications in Energy and Environment. In Handbook of Nanomaterials and Nanocomposites for Energy and Environmental Applications; Kharissova, O.V., Martínez, L.M.T., Kharisov, B.I., Eds.; Springer: Cham, Switzerland, 2020; pp. 1–19. [Google Scholar]
- Blatun, L.A.; Mitish, V.A.; Terekhova, R.P.; Grishina, I.A.; Alekseev, A.A.; Kirienko, A.I.; Bogdanets, L.I.; Titkova, Y.S.; Novozhilov, A.A.; Smirnov, S.V.; et al. EPLAN (ointment, solution) is a new medication for the topical treatment of skin and soft tissue infections at multidisciplinary hospital. Wounds Wound Infect. Prof. B.M. Kostyuchenok J. 2014, 1, 13–21. (In Russian) [Google Scholar] [CrossRef]
- Yakunin, S.N.; Novikova, N.N.; Rogachev, A.V.; Trigub, A.L.; Kuzmicheva, G.M.; Stepina, N.D.; Rozenberg, O.A.; Yurieva, E.A.; Kovalchuk, M.V. Spectral-Selective X-Ray Studies at the “Langmuir” Beamline of the Kurchatov Synchrotron Radiation Source. Crystallogr. Rep. 2022, 67, 799–812. [Google Scholar] [CrossRef]
- Chernyshov, A.A.; Veligzhanin, A.A.; Zubavichus, Y.V. Structural materials science end-station at the Kurchatov synchrotron radiation source: Recent instrumentation up-grades and experimental results. Nucl. Instr. Methods Phys. Res. 2009, A603, 95–98. [Google Scholar] [CrossRef]
- Bunker, G. Introduction to XAFS: A Practical Guide to X-ray Absorption Fine Structure Spectroscopy; Cambridge University Press: Cambridge, UK, 2010. [Google Scholar]
- Aksenov, V.L.; Koval’chuk, M.V.; Kuz’min, A.Y.; Purans, Y.; Tyutyunnikov, S.I. Development of methods of EXAFS spectroscopy on synchrotron radiation beams: Review. Crystallogr. Rep. 2006, 51, 908–935. [Google Scholar] [CrossRef]
- Ankudinov, A.L.; Ravel, B.; Rehr, J.J.; Conradson, S.D. RealSpace Multiple-Scattering Calculation and Interpretation of X-RayAbsorption Near-Edge Structure. Phys. Rev. B 1998, 58, 7565. [Google Scholar] [CrossRef]
- Rehr, J.J.; Albers, R.C. Theoretical Approaches to X-Ray Absorption Fine Structure. Rev. Mod. Phys. 2000, 72, 621. [Google Scholar] [CrossRef]
- Hedin, L.; Lundqvist, B.I. Explicit Local Exchange-Correlation Potentials. J. Phys. C Solid State Phys. 1971, 4, 2064. [Google Scholar] [CrossRef]
- Newville, M.L. An Analysis Package for XAFS and Related Spectroscopies. J. Phys. Conf. Ser. 2013, 430, 012007. [Google Scholar] [CrossRef]
- Fonda, E.; Andreatta, D.; Colavita, P.E.; Vlaica, G. EXAFS analysis of the L3 edge of Ce in CeO2: Effects of multi-electron excitations and final-state mixed valence. J. Synchrotron Rad. 1999, 6, 34–42. [Google Scholar] [CrossRef]
- Ravel, B.; Newville, M. ATHENA, ARTEMIS, HEPHAESTUS: Data analysis for X-ray absorption spectroscopy using IFEFFIT. J. Synchrotron Rad. 2005, 12, 537–541. [Google Scholar] [CrossRef] [PubMed]
- Datsenko, B.M.; Biryukova, S.V.; Tamm, T.I. Methodical Recommendations for Experimental (Preclinical) Study of Drugs for Local Treatment of Purulent Wounds; USSR Ministry of Health: Moscow, Russia, 1989; 145p. [Google Scholar]
- Blatun, L.A. Wounds and wound infections. Prof. B.M. Kostyuchenok J. 2015, 2, 36–44. [Google Scholar]








Disclaimer/Publisher’s Note: The statements, opinions and data contained in all publications are solely those of the individual author(s) and contributor(s) and not of MDPI and/or the editor(s). MDPI and/or the editor(s) disclaim responsibility for any injury to people or property resulting from any ideas, methods, instructions or products referred to in the content. |
© 2024 by the authors. Licensee MDPI, Basel, Switzerland. This article is an open access article distributed under the terms and conditions of the Creative Commons Attribution (CC BY) license (https://creativecommons.org/licenses/by/4.0/).
Share and Cite
Kuz’micheva, G.; Trigub, A.; Rogachev, A.; Dorokhov, A.; Domoroshchina, E. Physicochemical Characterization and Antimicrobial Properties of Lanthanide Nitrates in Dilute Aqueous Solutions. Molecules 2024, 29, 4023. https://doi.org/10.3390/molecules29174023
Kuz’micheva G, Trigub A, Rogachev A, Dorokhov A, Domoroshchina E. Physicochemical Characterization and Antimicrobial Properties of Lanthanide Nitrates in Dilute Aqueous Solutions. Molecules. 2024; 29(17):4023. https://doi.org/10.3390/molecules29174023
Chicago/Turabian StyleKuz’micheva, Galina, Alexander Trigub, Alexander Rogachev, Andrey Dorokhov, and Elena Domoroshchina. 2024. "Physicochemical Characterization and Antimicrobial Properties of Lanthanide Nitrates in Dilute Aqueous Solutions" Molecules 29, no. 17: 4023. https://doi.org/10.3390/molecules29174023
APA StyleKuz’micheva, G., Trigub, A., Rogachev, A., Dorokhov, A., & Domoroshchina, E. (2024). Physicochemical Characterization and Antimicrobial Properties of Lanthanide Nitrates in Dilute Aqueous Solutions. Molecules, 29(17), 4023. https://doi.org/10.3390/molecules29174023

