Abstract
The eleven new copper(II) and nickel(II) coordination compounds [Cu(L)Br]2 (1), [Cu(L)Cl] (2), [Cu(L)NO3] (3), [Ni(L)Cl] (4), [Ni(HL)2](NO3)2 (5), and [Cu(A)(L)]NO3, where A is 1,10-phenanthroline (6), 2,2′-bipyridine (7), 3,4-dimethylpyridine (8), 3-methylpyridine (9), pyridine (10) and imidazole (11) were synthesized with 3-(morpholin-4-yl)propane-2,3-dione 4-allylthiosemicarbazone (HL). The new thiosemicarbazone was characterized by NMR and FTIR spectroscopy. All the coordination compounds were characterized by elemental analysis and FTIR spectroscopy. Also, the crystal structures of HL and complexes 1, 6, 7, and 11 were determined using single-crystal X-ray diffraction analysis. Complex 1 has a dimeric molecular structure with two bromide bridging ligands, while 6, 7, and 11 are ionic compounds and comprise monomeric complex cations. The studied complexes manifest antibacterial and antifungal activities and also have an antiradical activity that, in many cases, surpasses the activity of trolox, which is used as a standard antioxidant in medicine. Copper complexes 1–3 have very weak antiradical properties (IC50 > 100 µM), but nickel complexes 4–5 are strong antiradicals with IC50 values lower than that of trolox. The mixed ligand copper complexes with additional ligand of N-heteroaromatic base are superior to complexes without these additional ligands. They are 1.4–5 times more active than trolox.
1. Introduction
Thiosemicarbazones are recognized as a significant category of chelating ligands. These ligands show interesting coordination with various transition or non-transition metals. The diverse bonding characteristics and possible uses of thiosemicarbazones and their metal complexes in catalysis [1], electrochemistry [2], as well as biological activities including antimicrobial [3,4], antifungal [5,6], anticancer [7,8], antioxidant [9], and antitubercular [10,11] applications have sparked increased interest in investigating these compounds. Among all the complexes of 3d metals with thiosemicarbazones, a special place is occupied by Cu(II) and Ni(II) complexes, which, in addition to exhibiting various types of activities [12,13,14,15,16,17], are also potential antioxidant agents [18,19,20,21,22,23]. Some studies show that introducing an N-heteroaromatic base as an additional ligand in the inner sphere of Cu(II) complexes with thiosemicarbazones affects the biological properties of the resulting complexes [24,25].
The modification of the substituent at the fourth position in the composition of thiosemicarbazone often leads to the emergence and increase of its activity and can also affect various physical properties [26]. It was noted that 4-allylthiosemicarbazones show interesting biological activity. The synthesis of these thiosemicarbazones starts from the natural substance allyl isothiocyanate, which exhibits strong antimicrobial activity [27] and anticancer activity in many cancer models [28,29]. Therefore, the presence of a natural substance fragment at the fourth position, which possesses various types of activities, makes the resulting thiosemicarbazone and its complexes potential biologically active substances.
Thiosemicarbazone derivatives of oxoacids also have interesting biological properties. Therefore, they stand out as a separate class for study. The coordination compounds of zinc(II), cobalt, and nickel with thiosemicarbazone of glyoxylic acid effectively inhibit some metabolic enzymes like α-glycosidase, hCA I, hCA II, BChE, and AChE enzymes at the micromolar levels [30,31]. Cu(II) complexes with α-ketoglutaric acid thiosemicarbazone are able to inhibit the cell proliferation of U937 (leukemic derived from histiocytic lymphoma) and induce apoptosis [32]. The thiosemicarbazone derived from pyruvic acid was observed to inhibit both the soluble ornithine carbamoyl transferase in vitro and the enzyme within a cell fraction rich in mitochondria [33]. A Cu(II) coordination compound with pyruvic acid thiosemicarbazone was studied in vivo and showed good activity results against La, P-388, and L-1210 leukemias [34]. In addition, this complex showed antifungal, antimicrobial, and herbicidal activity and was more active than the non-coordinated thiosemicarbazone [24,35].
Previously, we synthesized 3-(piperidin-1-yl)propane-2,3-dione 4-allylthiosemicarbazone to study what effect the introducing of an amide moiety into the thiosemicarbazone of pyruvic acid would have on the structure, physico-chemical properties, and biological activity [36]. Morpholine, which is present in various approved and investigational drugs, as well as bioactive compounds, is a heterocyclic compound. Widely utilized in medicinal chemistry, it is valued for its favorable physicochemical, biological, and metabolic characteristics, along with its easily accessible synthetic pathways [37]. Numerous in vivo investigations have shown that morpholine has the capability not only to enhance potency but also to yield compounds exhibiting favorable drug-like characteristics and improved pharmacokinetics [38,39,40,41]. Thiosemicarbazones that include a morpholine fragment and their complexes have good solubility in water and exhibit various types of biological activity, such as antimicrobial [42] and antiproliferative [43,44] properties, and can be inhibitors of ENPP isozymes [45].
The aim of the present investigation is the synthesis, characterization, and study of antimicrobial, antifungal, and antiradical activities of new Cu(II) and Ni(II) coordination compounds with 3-(morpholin-4-yl)propane-2,3-dione 4-allylthiosemicarbazone (HL, Figure 1).
Figure 1.
The structural formula of HL.
2. Results and Discussions
In this work, new 3-(morpholin-4-yl)propane-2,3-dione 4-allylthiosemicarbazone (HL) was synthesized. It was obtained in two stages. First, pyruvic acid, oxalyl chloride, and morpholine reacted in CH2Cl2 to obtain 1-(morpholin-4-yl)propane-1,2-dione. In the next step, the reaction between 1-(morpholin-4-yl)propane-1,2-dione and 4-allylthiosemicarbazide in EtOH was performed (Scheme 1).
Scheme 1.
Synthesis of 3-(morpholin-4-yl)propane-2,3-dione 4-allylthiosemicarbazone (HL).
The structure of the thiosemicarbazone HL was confirmed using 1H and 13C NMR spectroscopy (Figures S1 and S2). The 1H NMR spectrum contains multiplets at 5.9, 5.2, and 4.3 ppm, which correspond to allyl fragments in the HL molecule. There are also broad singlets at 8.8 and 7.4 ppm, which correspond to the hydrogen atoms of the thiocarbamide NH groups, as well as signals of hydrogen atoms from morpholine moiety in the range of 3.8–3.5 ppm and a signal from the methyl group at 2.1 ppm.
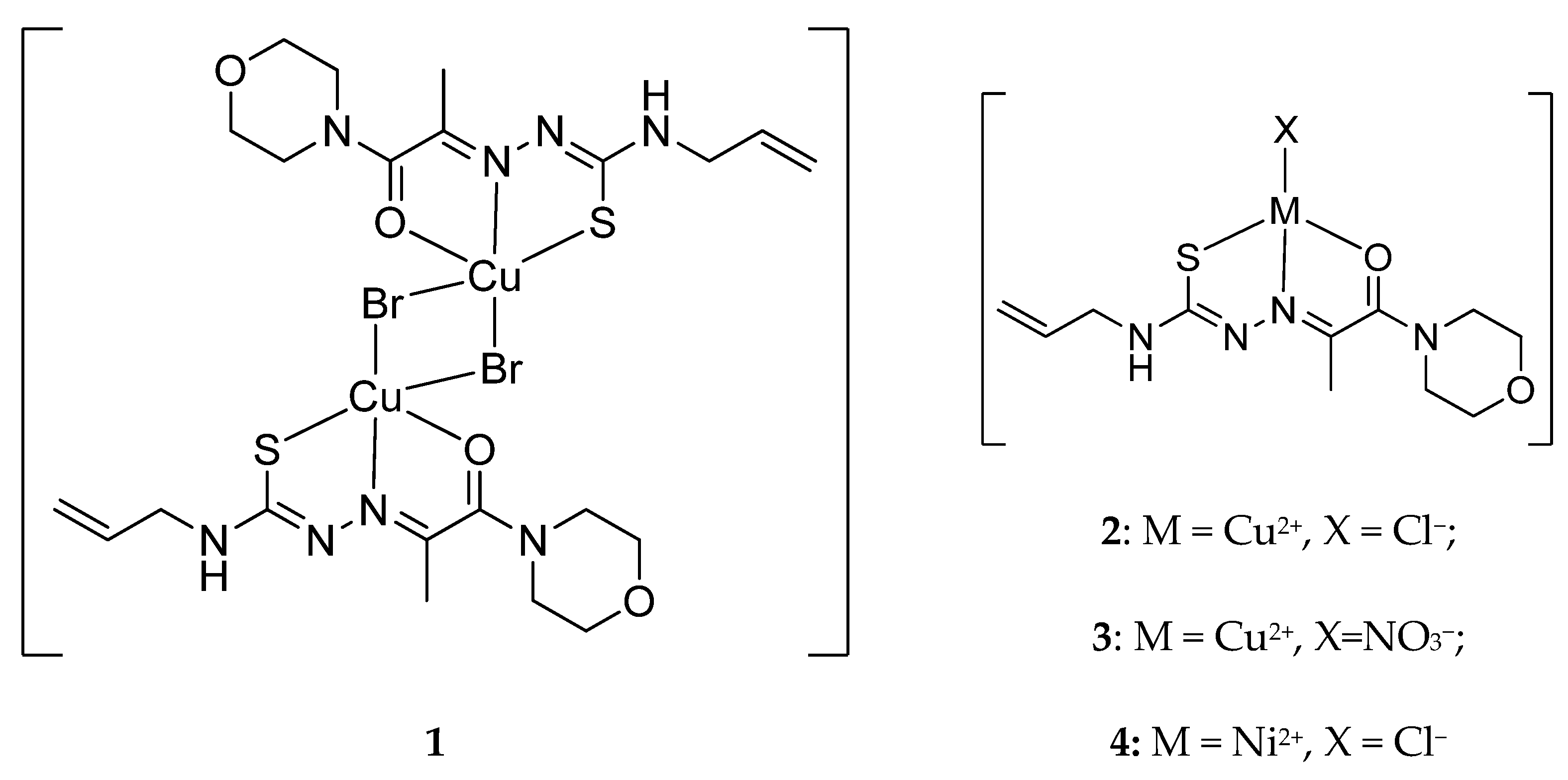
Eleven new Cu(II) and Ni(II) coordination compounds with HL were obtained (Scheme 2). Cu(II) complexes 1–3 were synthesized by the interaction of the corresponding Cu(II) salts with thiosemicarbazone HL in EtOH in a 1:1 molar ratio. Meanwhile, 1:1 and 1:2 molar ratios between the corresponding Ni(II) salt and HL were used for the synthesis of Ni(II) complexes. Cu(II) mixed ligand coordination compounds (6–11) were obtained by the interaction of complex 3 with the corresponding N-heteroaromatic base. The obtained complexes have the following composition: [Cu(L)Br]2 (1), [Cu(L)Cl] (2), [Cu(L)NO3] (3), [Ni(L)Cl] (4), [Ni(HL)2](NO3)2 (5), [Cu(phen)(L)]NO3 (6), [Cu(bpy)(L)]NO3·0.5MeOH·0.25H2O (7), [Cu(3,4-lut)(L)]NO3 (8), [Cu(3-pic)(L)]NO3 (9), [Cu(py)(L)]NO3 (10), [Cu(im)(L)]NO3 (11) (phen = 1,10-phenanthroline; bpy = 2,2′-bipyridine; 3,4-lut = 3,4-lutidine; 3-pic = 3-picoline; py = pyridine; im = imidazole). They are soluble in organic solvents such as MeOH, EtOH, DMF, and DMSO.
Scheme 2.
Synthesis of the coordination compounds 1–11.
The molar conductivity values of the coordination compounds 1–4 and 6–11 in MeOH are in the range of 70–98 Ω−1∙cm2∙mol−1, which corresponds to the 1:1 type of electrolyte. The molar conductivity value of the coordination compound 5 is 162 Ω−1∙cm2∙mol−1 which indicates that it behaves as a 1:2 type of electrolyte. This indicates that in the case of complex 5, there are two nitrate counterions in the outer sphere, while two thiosemicarbazone ligands remain in their non-deprotonated form. Such coordination of non-deprotonated thiosemicarbazones is frequently observed for Ni(II) complexes [23,46].
The FTIR spectra of complexes 1–11 (Figures S3–S15) were compared with the spectrum of thiosemicarbazone HL to determine the changes that occur during the coordination of the thiosemicarbazone with the central metal cation. It was determined that oxygen, sulfur, and nitrogen donor atoms of HL are involved in the process of coordination. In the spectra of complexes 1–4 and 6–11 the ν(NH) stretching vibration band is shifted by 39–110 cm−1 towards higher wavenumbers, while the second ν(NH) absorption band disappears [47,48]. It indicates that thiosemicarbazone HL is deprotonated in the process of its coordination to the metal ion. Both absorption bands of ν(NH) groups remain in the FTIR spectrum of Ni(II) complex 5, indicating that in this complex the thiosemicarbazone HL is not deprotonated. Also, small shifts of the absorption bands of ν(C=O) by 8–23 cm−1 and of the ν(C=N) by 47–69 cm−1 are observed in the FTIR spectra of the synthesized coordination compounds. The absorption band ν(C=S), which was present in the FTIR spectrum of thiosemicarbazone HL, disappears in the spectra of the complexes 1–4 and 6–11, which also confirms the coordination of thiosemicarbazone in its thiol form. In the spectra of these complexes, a new absorption band ν(C–S) appears in the region of 754–776 cm−1. The absorption band ν(C=S) does not disappear in the case of complex 5. This indicates that HL remains in the thione form.
A single crystal X-ray diffraction study of compound HL showed that it crystallizes in the Pbca orthorhombic space group (Table S1). The asymmetric unit contains two similar molecules A and B (Figure 2). Crystals of related thiosemicarbazone with a piperidine moiety [36] instead of morpholine also crystallize in the Pbca orthorhombic space group but with only one molecule in the asymmetric unit cell; two-unit cell parameters are similar to those of crystals of HL, but one is about half as long. The structural study revealed that HL adopts the same E conformation of the central thiosemicarbazide fragment as in piperidine derivative [36] with torsion angles SCNN and NCNN equal to 174.7 and –9.2° in A and 174.2 and –7.8° in B. The C8–S1, C8–N3, and C8–N4 bond distances are equal to 1.666(5), 1.356(3), and 1.334(5) Å for molecule A and 1.669(5), 1.361(5), and 1.311(6) Å for molecule B, respectively (Table S2) and confirm the stabilization of the ligand in its thione form with the C=S double bond.
Figure 2.
Molecular structures of two crystallographically independent molecules of compound HL with numbering scheme; displacement ellipsoids are drawn at the 40% probability. (a) molecule A; (b) molecule B.
In the crystal, the two crystallographically independent molecules A and B are connected by intermolecular N–H···O hydrogen bonds (Table S3), forming chains in which they alternate (Figure 3), N(4A)···O(1B)/N(4B)···O(1A) 2.830(5)/2.945(5) Å. The inversion-center-related molecules A join each other through two N–H···S hydrogen bonds, forming the R22(8) graph set and resulting in supramolecular layer formation, N(3A)···S(1A) 3.537(4) Å.
Figure 3.
Supramolecular layer forming by H-bonded molecules A and B in the structure of HL. H-atoms on carbon atoms are omitted for clarity.
The Cu(II) complexes 1, 7 crystallize in the triclinic P¯1, 6 in monoclinic P21/n, and 11 in P21/c space groups (Table S1). Structural analyses of these compounds revealed that 1 is a centrosymmetric neutral dimeric compound, in which Br(1) and Br(1)* atoms serve as bridging ligands (Figure 4a). The other structurally characterized complexes are ionic, formed by the complex cations [Cu(A)(L)]+, where A is phen (in 6), bpy (in 7), or imidazole (in 11), and NO3− anions providing charge balance (Figure 4b–d). The asymmetric part of unit cell 6 comprises a cationic mononuclear Cu(II) complex [Cu(phen)(L)]+ and two disordered NO3− anions occupying special positions on the inversion center. In the crystal of compound 7, the asymmetric part of the unit cell includes complex cation [Cu(bpy)(L)]+ and anion NO3− and solvent molecules of MeOH and H2O with occupancy coefficients 0.5 and 0.25, respectively. The crystals 11 are built up from [Cu(im)(L)]+ cations and NO3− anions.
Figure 4.
Molecular structure of compounds 1 (a), 6 (b), 7 (c), and 11 (d) with a partial numbering scheme; the solvent molecules are omitted.
The Cu(1) atom in 1 is penta-coordinated and adopts a square-pyramidal coordination geometry with the ONS set of donor atoms from tridentate monodeprotonated ligand (L–) and one Br1 atom in basal plane and Br1* atom of center symmetry related monomeric unit in the apex of pyramid, resulting in the dimeric complex formation. The bond distances in the coordination polyhedron Cu(1)–O(1), Cu(1)–N(2), Cu(1)–S(1), Cu(1)–Br(1) and Cu(1)–Br(1)* equal 2.022(3), 1.969(3), 2.235(1), 2.3775(6), and 2.9514(8) Å, respectively (Table S2).
The coordination of the monodeprotonated form of ligand L– results in its conformational transformation compared with HL, similar to that found for the ligand with piperazines [36], namely, the thiosemicarbazone moiety from E to Z form through a rotation around the C8–N3 single bond and additionally by the rotation in around the C(1)–C(6) bond. The tridentate ligand coordinates with the O(1), N(2), and S(1) atoms and forms two conjugated five-membered CuSCNN and CuNCCO metallacycles, with the dihedral angle between their mean planes being 6°. The value of the interatomic distances in the deprotonated thiosemicarbazide fragment highlights a delocalization of the bond lengths (Table S2).
In the crystal, the dimeric compounds join through N4–H∙∙∙O2 hydrogen bonds in supramolecular chains (Figure 5, Table S3), N···O 2.894(5) Å.
Figure 5.
Supramolecular chain in 1. Non-functional H–atoms are omitted for clarity.
The general descriptor τ = (β − α)/60, where α and β are the two largest angles at the center of the metal center, is used to evaluate the degree of distortion the coordination polyhedra in penta-coordinated Cu(1) in 6 and 7. For the idealized square pyramid and trigonal bipyramid, the extremes are τ = 0 and 1, respectively. In the studied complexes, τ is equal to 0.582 for 6 and 0.352 for 7, indicating that the N3OS surrounding the metal in 6 and 7 is intermediate between square pyramidal and trigonal bipyramidal (Table S2). The monodeprotonated organic ligand L– coordinates tridentately through the same set of ONS donor atoms as in 1 (Figure 4b,c). The distances Cu(1)–O(1), Cu(1)–N(2), Cu(1)–S(1), Cu(1)–N(5), and Cu(1)–N(6 ) in 6 and 7 are similar, and their medium values are equal to 2.171(4), 1.938(5), 2.249(2), 1.974(4), and 2.132(5) Å, respectively (Table S2).
In complex 11, unlike 1, 6, and 7, the copper ion displays a square-planar coordination geometry N2OS with the average deviation of the coordinated atoms ±0.026 Å from the plane passing through them; the Cu(1) atom is displaced from this plane only by 0.053 Å. The monodeprotonated ligand coordinates to the central atom in the same way as in 1, 6, and 7. The nitrogen atom of the imidazole ligand (Figure 4d) completes the metal surrounding. The interatomic distances Cu(1)–O(1), Cu(1)–N(2), Cu(1)–S(1), and Cu(1)–N(5) are equal to 1.978(3), 1.940(4), 2.232(1), and 1.938(4) Å (Table S2).
In compounds 6, 7, and 11, the ligand L– forms, similar to 1, two conjugated five-membered metallacycles CuSCNN and CuNCCO atoms, the dihedral angle between them being 28.01, 14.61 and 7.09°. As a result, the smaller values for these dihedral angles are set in 1 and 11, in which the coordination geometry adopts the form of a square-pyramidal or square-planar. The analysis of the interatomic distances in the thiosemicarbazide moiety highlights a delocalization. The value of the C–S bond lengths in these complexes is longer than in HL, which indicates a stabilization of the thiol form (Table S2).
In the crystals of compounds 6, 7, and 11, the complex cations [Cu(A)(L)]+ are united with NO3− anions through N(4)–H·∙∙O hydrogen bonds (Figure 6a–c) producing different supramolecular motifs, N···O 2.96(3)–3.036(6) Å (Table S3). In addition to H bonds in 6 and 7, the extension of the crystal structures occurs through π–π stacking interactions between phen and bpy fragments involving metallacycle. The π–π stacking interactions are evidenced by centroid-to-centroid distances in the range of 3.563–3.930 Å. The structure of all complexes is also stabilized by C–H·∙∙O, C–H·∙∙N, C–H·∙∙S, and C–H·∙∙Br hydrogen bonds (Table S3).
Figure 6.
The supramolecular layer in 6 (a), the fragment of crystal packing in 7 (b), and the supramolecular zigzag-like chain in 11 (c). Non-functional H–atoms are omitted for clarity.
The antibacterial and antifungal activities of the HL and complexes 1–11 were studied on a series of Gram-positive bacteria (S. aureus, B. cereus), Gram-negative bacteria (A. baumannii, E. coli), and fungi (C. albicans). The obtained results in the form of minimum inhibitory/bactericidal/fungicidal concentrations are shown in Table 1.
Table 1.
Antibacterial and antifungal activities of HL and complexes 1–11 as MIC/MBC/MFC values in μg mL−1.
Thiosemicarbazone HL shows activity only against B. cereus and A. baumannii, and in other cases, it is not active. Its coordination to the Cu atom leads to an increase in activity mainly against S. aureus. The activity of Cu(II) complexes against B. cereus is the same as that of HL or lower. Among all microorganisms, Cu(II) complexes showed activity only against Gram-positive microorganisms. The coordination of thiosemicarbazone HL to the central Ni atom also does not lead to an increase in the activity of the resulting complex 5. Complexes 6–11 with N-heteroaromatic bases in the inner sphere are more active than the non-coordinated thiosemicarbazone HL and the corresponding complex 3 from which they were synthesized. Some of them are active against a wider range of microorganisms, including Gram-negative microorganisms and fungi. Complex 6 is the most active among all synthesized compounds. The activity of compounds 6–11 is influenced by the nature of the N-heteroaromatic base in the internal sphere of the complexes. The activity of these compounds decreases according to the following series: phen > 3-pic > py > im > 3,4-lut > bpy. The antifungal activity of complex 6 exceeds the activity of Nystatine and exhibits the same activity as Fluconazole, which is used as a standard antifungal drug.
The antiradical activity against ABTS•+ cation radicals was studied for HL and complexes 1–11. The obtained results in the form of semimaximal inhibitory concentrations (IC50) are shown in Table 2. The coordination of thiosemicarbazone HL to the Cu(II) ions leads to a decrease in antiradical activity, while coordination to the Ni atom leads, on the contrary, to an increase in activity. According to the molar conductivity values of Cu(II) complexes 1–3, they dissociate in solution, forming a complex cation and an anion of the corresponding acid residue. The IC50 values of these complexes are similar to each other, indicating that while the nature of the acid residue affects the antiradical activity, it is not a major factor for this type of activity. Octahedral Ni(II) complex 5 with two non-deprotonated thiosemicarbazone ligands is more active than square-planar Ni(II) complex 4 with monodeprotonated thiosemicarbazone ligand in the inner sphere. The introduction of all studied N-heteroaromatic amines in the inner sphere of Cu(II) complex 3 led to a huge increase in antiradical activity. Almost all of these mixed-ligand complexes are more active than the most active Ni(II) complex (5). The activity of complexes 6–11 depends on the nature of the N-heteroaromatic base in the complex. Complexes containing monodentate amines showed better activity than complexes with bidentate amines (6, 7). Complexes 8 (IC50 = 7.3 ± 0.3 μM) and 9 (IC50 = 6.7 ± 0.2 μM) are the most active ones. The activity of these complexes exceeds 13–14 times the activity of the thiosemicarbazone HL and also exceeds 5 times the activity of Trolox.
Table 2.
Antiradical activity of HL and complexes 1–11 against cation radicals ABTS•+.
The antiradical activity of the synthesized compounds can be compared with the activity of 3-(piperidin-1-yl)propane-2,3-dione 4-allylthiosemicarbazone (HLa) and its Cu(II) and Ni(II) complexes that were previously described [36] (Figure 7). Thiosemicarbazone HL is less active than its analogue with the piperidine fragment (HLa). The same is observed in the case of Cu(II) complexes 2 and 3 and their analogues with HLa. However, the mixed-ligand coordination compounds of Cu(II) 6 and 7 exceed 4–5 times their structural analogues with the HLa activity of previously published substances similar in structure. The Ni(II) complex 5 is also more active than its structural analogue. This means that the appearance of a morpholine fragment in the composition of thiosemicarbazone and its complexes affects their antiradical activity increasing it in some cases. As it is described in the literature [37], the appearance of morpholine structure changes the polarity and lipophilicity of the resulting compounds, which influences the processes of drug-receptor interactions, as the electronegative oxygen atom in this ring changes the electron density distribution in the molecule.
Figure 7.
The antiradical activity of some of the studied compounds in comparison with their analogues with HLa ligand, where HLig is either HL (3-(morpholin-4-yl)propane-2,3-dione 4-allylthiosemicarbazone) or HLa (3-(piperidin-1-yl)propane-2,3-dione 4-allylthiosemicarbazone).
3. Materials and Methods
3.1. Materials
All the reagents used were chemically pure. Metal salts CuCl2·2H2O, CuBr2, Cu(NO3)2·3H2O, NiCl2·6H2O, and Ni(NO3)2·6H2O (Merck, Darmstadt, Germany) and N-heteroaromatic bases (phen, bpy, 3,4-dimethylpyridine, 3-methylpyridine, pyridine, imidazole) were used as supplied. Pyruvic acid, oxalyl chloride, sodium carbonate, dichloromethane, dimethylformamide, allyl isothiocyanate, hydrazine hydrate, and morpholine were used as received (Sigma-Aldrich, Munich, Germany).
4-Allylthiosemicarbazide was prepared similarly to the literature procedure [49] by reaction of the allyl isothiocyanate and a 50–60% (w/w) aqueous solution of hydrazine. The characteristics of the obtained substance correspond with the data reported in the literature [49].
White solid. Yield: 84%; mp 92–93 °C. FW: 131.20 g/mol; Anal Calc. for C4H9N3S: C, 36.62; H, 6.91; N, 32.03; S, 24.44; found: C, 36.48; H, 6.83; N, 32.09; S, 24.51%. 1H NMR (acetone-d6, 400 MHz) 9.03 (br s, 1H; NH); 7.86 (br s, 1H; NH); 5.92 (m, 1H; CH); 5.13 (m, 2H; CH2); 4.39 (br s, 1H; NH); 4.25 (t, 2H; CH2–N). 13C NMR (acetone-d6, 100 MHz) 178.86 (C=S); 134.76 (CH(allyl)); 114.85 (CH2(allyl,sp2)); 45.85 (CH2(allyl,sp3)).
The solvents were purified and dried according to standard procedures [50].
The NMR spectra were recorded on a Bruker DRX-400 using CDCl3 as a solvent. FT-IR spectra were recorded on a Bruker ALPHA FTIR spectrophotometer at room temperature in the range of 4000–400 cm–1. The elemental analysis was performed similarly to the literature procedures [51] and on the automatic Perkin Elmer 2400 elemental analyzer. The resistance of solutions of complexes in MeOH (20 °C, c 0.001 M) was measured using an R-38 rheochord bridge.
3.2. Synthesis
3.2.1. Synthesis of 3-(Morpholin-4-yl)propane-2,3-dione 4-allylthiosemicarbazone
1-(Morpholin-4-yl)propane-1,2-dione
The synthesis was carried out by a similar method described in [36]. Pyruvic acid (8.80 g, 0.100 mol) was dissolved in 5 mL of CH2Cl2 and placed in a flat-bottomed flask. Oxalyl chloride (15.24 g, 0.120 mol) was dissolved in 10 mL of CH2Cl2 and added dropwise to the reaction mixture with stirring at 0 °C. Subsequently, three drops of dimethylformamide were introduced as a catalyst, and a condenser fitted with a drying tube containing calcium chloride was attached to the flask. The reaction mixture was stirred and heated for 1.5 h, resulting in the formation of yellow oil. A suspension of morpholine (8.70 g, 0.100 mol), sodium carbonate (10.60 g, 0.100 mol), and 10 mL of CH2Cl2 was stirred at 0 °C. 2-Oxopropanoyl chloride was added dropwise to the obtained cooled suspension and the mixture was stirred at room temperature for 1 h. After filtration, the mixture was washed with water (3 × 100 cm3) and dried in the air to afford the crude product as mobile yellow oil. The characteristics of the obtained substance correspond with the data reported in the literature [52].
Yellow oil. Yield: 40%; FW: 157.17 g/mol; Anal Calc. for C7H11NO3: C, 53.49; H, 7.05; N, 8.91; found: C, 53.57; H, 7.01; N, 8.98. FTIR data (cm–1): 1710 (C=Oketone); 1638 (C=Oamide). 1H NMR (CDCl3, 400 MHz) 3.75–3.54 (m, 4 × 2H; CH2); 2.44 (s, 3H; CH3). 13C NMR (CDCl3, 100 MHz) 198.14 (C=O); 164.82 (C=O); 66.78 (CH2–O); 46.12 (CH2–N); 27.82 (CH3).
3-(morpholin-4-yl)propane-2,3-dione 4-allylthiosemicarbazone
1-(Morpholin-4-yl)propane-1,2-dione (3.14 g, 20.0 mmol) reacted with N-(prop-2-en-1-yl)hydrazinecarbothioamide (2.62 g, 20.0 mmol) in EtOH with stirring and heating. The obtained pale-yellow precipitate was separated through filtration, washed with a small amount of EtOH, and dried in the air.
Pale yellow solid. Yield: 78%; mp 138–139 °C. FW: 270.35 g/mol; Anal Calc. for C11H18N4O2S: C, 48.87; H, 6.71; N, 20.72; S, 11.86; found: C, 48.70; H, 6.61; N, 20.61; S, 11.78%. FTIR data (cm–1): ν(N–H) 3282, 3200; ν (C=O) 1636; ν (C=N) 1619; ν (C=S) 1360. 1H NMR (CDCl3, 400 MHz) 8.75 (br s, 1H; NH); 7.39 (br s, 1H; NH); 5.89 (m, 1H; CH); 5.21 (m, 2H; CH2); 4.30 (m, 2H; NH–CH2); 3.76–3.56 (m, 4 × 2H; CH2(morpholine)); 2.11 (s, 3H; CH3). 13C NMR (CDCl3, 100 MHz) 178.30 (C=S); 165.51 (C=O); 142.32 (C=N); 132.83 (CH(allyl)); 117.50 (CH2(allyl,sp2)); 66.72 (CH2O(morpholine)); 46.95 (CH2(allyl,sp3) and CH2N(morpholine)); 14.13 (CH3).
3.2.2. Synthesis of Coordination Compounds
[Cu(L)Br]2 (1)
Copper(II) bromide (CuBr2) (0.224 g, 1 mmol) was added to a hot (55° C) EtOH solution (25 mL) of 3-(morpholin-4-yl)propane-2,3-dione 4-allylthiosemicarbazone HL (0.270 g, 1 mmol). The mixture was stirred for 30 min with heating (55 °C). By cooling to room temperature, the green precipitate was obtained. It was filtered out, washed with cold EtOH, and dried in vacuo.
Green solid. Yield: 86%. Anal. Calc. for C22H34Br2Cu2N8O4S2 (825.59 g mol−1): C, 32.01; H, 4.15; Br, 19.36; Cu, 15.39; N, 13.57; S, 7.77. Found: C, 31.91; H, 4.05; Br, 19.24; Cu, 15.23; N, 13.44; S, 7.65. Main FTIR peaks (cm−1): ν(NH) 3288, ν(C=O) 1642, ν(C=N) 1587, ν(C–S) 746. χ(CH3OH): 56 Ω−1 cm−2 mol−1.
[Cu(L)Cl] (2)
Coordination compound 2 was synthesized similarly to compound 1 using CuCl2·2H2O (0.171 g; 1 mmol) and HL (0.270 g; 1 mmol).
Green solid. Yield: 72%. Anal. Calc. for C11H17ClCuN4O2S (368.34 g mol−1): C, 35.87; H, 4.65; Cl, 9.63; Cu, 17.25; N, 15.21; S, 8.71. Found: C, 35.77; H, 4.57; Cl, 9.54; Cu, 17.17; N, 15.12; S, 8.64. Main FTIR peaks (cm−1): ν(NH) 3310, ν(C=O) 1613, ν(C=N) 1564, ν(C–S) 771. χ(CH3OH): 79 Ω−1 cm−2 mol−1.
[Cu(L)NO3] (3)
Coordination compound 3 was synthesized similarly to compound 1 using Cu(NO3)2·3H2O c and HL (0.270 g; 1 mmol).
Green solid. Yield: 78%. Anal. Calc. for C11H17CuN5O5S (394.89 g mol−1): C, 33.46; H, 4.34; Cu, 16.09; N, 17.73; S, 8.12. Found: C, 33.38; H, 4.26; Cu, 15.93; N, 17.66; S, 8.06. Main FTIR peaks (cm−1): ν(NH) 3298, ν(C=O) 1619, ν(C=N) 1583, ν(C–S) 772. χ(CH3OH): 72 Ω−1 cm−2 mol−1.
[Ni(L)Cl] (4)
Coordination compound 4 was synthesized similarly to compound 1 using NiCl2·6H2O (0.238 g; 1 mmol) and HL (0.270 g; 1 mmol).
Red solid. Yield: 82%. Anal. Calc. for C11H17ClN4NiO2S (363.49 g mol−1): C, 36.35; H, 4.71; Cl, 9.75; N, 15.41; Ni, 16.15; S, 8.82. Found: C, 36.25; H, 4.66; Cl, 9.65; N, 15.33; Ni, 16.09; S, 8.77. Main FTIR peaks (cm−1): ν(NH) 3251, ν(C=O) 1623, ν(C=N) 1568, ν(C–S) 754. χ(CH3OH): 73 Ω−1 cm−2 mol−1.
[Ni(HL)2](NO3)2 (5)
Coordination compound 5 was synthesized similarly to compound 1 using Ni(NO3)2·6H2O (0.291 g; 1 mmol) and HL (0.540 g; 2 mmol).
Green solid. Yield: 76%. Anal. Calc. for C22H36N10NiO10S2 (723.41 g mol−1): C, 36.53; H, 5.02; N, 19.36; Ni, 8.11; S, 8.87. Found: C, 36.46; H, 4.94; N, 19.30; Ni, 8.07; S, 8.78. Main FTIR peaks (cm−1): ν(NH) 3280, 3200, ν(C=O) 1625, ν(C=N) 1570, ν(C=S) 1403. χ(CH3OH): 162 Ω−1 cm−2 mol−1.
[Cu(phen)(L)]NO3 (6)
Phen (0.180 g; 1 mmol) was added to a hot (55 °C) EtOH solution (25 mL) of the coordination compound 3 (0.395 g; 1 mmol). The mixture was stirred for 30 min with heating (55 °C). By cooling to room temperature, the green precipitate was obtained. It was filtered out, washed with cold EtOH, and dried in vacuo.
Green solid. Yield: 82%. Anal. Calc. for C23H25CuN7O5S (575.10 g mol−1): C, 48.03; H, 4.38; Cu, 11.05; N, 17.05; S, 5.58. Found: C, 47.94; H, 4.30; Cu, 11.00; N, 16.93; S, 5.48. Main FTIR peaks (cm−1): ν(NH) 3239, ν(C=O) 1625, ν(C=N) 1556, ν(C–S) 769. χ(CH3OH): 98 Ω−1 cm−2 mol−1.
[Cu(bpy)(L)]NO3·0.5MeOH·0.25H2O (7)
Bpy (0.156 g; 1 mmol) was added to a hot (55 °C) MeOH solution (25 mL) of the coordination compound 3 (0.395 g; 1 mmol). The mixture was stirred for 30 min with heating (55 °C). By cooling to room temperature, the green precipitate was obtained. It was filtered out, washed with cold EtOH, and dried in vacuo.
Green solid. Yield: 89%. Anal. Calc. for C21.5H27.5CuN7O5.75S (571.60 g mol−1): C, 45.18; H, 4.85; Cu, 11.12; N, 17.15; S, 5.61. Found: C, 45.30; H, 4.79; Cu, 11.17; N, 17.29; S, 5.67. Main FTIR peaks (cm−1): ν(NH) 3286, ν(C=O) 1625, ν(C=N) 1552, ν(C–S) 767. χ(CH3OH): 60 Ω−1 cm−2 mol−1.
[Cu(3,4-lut)(L)]NO3 (8)
Coordination compound 8 was synthesized similarly to compound 6 using 3,4-lutidine (0.107 g; 1 mmol) and 3 (0.395 g; 1 mmol).
Green solid. Yield: 75%. Anal. Calc. for C18H26CuN6O5S (502.05 g mol−1): C, 43.06; H, 5.22; Cu, 12.66; N, 16.74; S, 6.39. Found: C, 42.98; H, 5.18; Cu, 12.60; N, 16.68; S, 6.31. Main FTIR peaks (cm−1): ν(NH) 3266, ν(C=O) 1613, ν(C=N) 1552, ν(C–S) 767. χ(CH3OH): 82 Ω−1 cm−2 mol−1.
[Cu(3-pic)(L)]NO3 (9)
Coordination compound 9 was synthesized similarly to compound 6 using 3-picoline (0.093 g; 1 mmol) and 3 (0.395 g; 1 mmol).
Green solid. Yield: 79%. Anal. Calc. for C17H24CuN6O5S (488.02 g mol−1): C, 41.84; H, 4.96; Cu, 13.02; N, 17.22; S, 6.57. Found: C, 41.77; H, 4.87; Cu, 12.94; N, 17.17; S, 6.49. Main FTIR peaks (cm−1): ν(NH) 3294, ν(C=O) 1644, ν(C=N) 1556, ν(C–S) 776. χ(CH3OH): 98 Ω−1 cm−2 mol−1.
[Cu(py)(L)]NO3 (10)
Coordination compound 10 was synthesized similarly to compound 6 using pyridine (0.079 g; 1 mmol) and 3 (0.395 g; 1 mmol).
Green solid. Yield: 84%. Anal. Calc. for C16H22CuN6O5S (473.99 g mol−1): C, 40.54; H, 4.68; Cu, 13.41; N, 17.73; S, 6.76. Found: C, 40.46; H, 4.60; Cu, 13.34; N, 17.65; S, 6.65. Main FTIR peaks (cm−1): ν(NH) 3241, ν(C=O) 1640, ν(C=N) 1555, ν(C–S) 773. χ(CH3OH): 87 Ω−1 cm−2 mol−1.
[Cu(im)(L)]NO3 (11)
Coordination compound 11 was synthesized similarly to compound 6 using imidazole (0.068 g; 1 mmol) and 3 (0.395 g; 1 mmol).
Green solid. Yield: 83%. Anal. Calc. for C14H21CuN7O5S (462.98 g mol−1): C, 36.32; H, 4.57; Cu, 13.73; N, 21.18; S, 6.93. Found: C, 36.25; H, 4.50; Cu, 13.65; N, 21.10; S, 6.86. Main FTIR peaks (cm−1): ν(NH) 3244, ν(C=O) 1619, ν(C=N) 1550, ν(C–S) 756. χ(CH3OH): 82 Ω−1 cm−2 mol−1.
The proposed chemical structures are represented in Figure 8.

Figure 8.
Proposed chemical structures of complexes 1–11.
3.3. X-ray Crystallography
The X-ray diffraction measurements of crystals of HL and complexes 1, 6, 7, and 11 were performed on an Xcalibur E diffractometer equipped with a charge-coupled device (CCD) area detector and a graphite monochromator utilizing MoKα radiation (0.71073 Å) at room temperature (293 K). Data collection and reduction and unit cell determination were obtained using CrysAlis PRO CCD (Oxford Diffraction) [53]. The SHELXS97 and SHELXL2014 program packages [54,55] were used to solve and refine the structures. The structures were solved by direct methods and refined by full-matrix least-squares on F2 with anisotropic displacement parameters for all nonhydrogen atoms. The C-bound H–atoms were positioned geometrically and treated as riding atoms using SHELXL default parameters with Uiso(H) = 1.2Ueq(C) and Uiso(H) = 1.5Ueq(CH3). The disordering problems were resolved for morpholine and allyl fragments in HL and for NO3− anions, which are disordered over two positions in 6.
3.4. Antibacterial and Antifungal Activity
Standard strains of Staphylococcus aureus (ATCC 25923), Bacillus cereus (ATCC 11778), Acinetobacter baumannii (BAA-747), Escherichia coli (ATCC 25922), and Candida albicans (ATCC 10231) were used to study antibacterial and antifungal activities of the HL and coordination compounds 1–11. The minimum inhibitory concentrations (MICs, μg mL−1), minimum bactericidal concentrations (MBCs, μg mL−1), and minimum fungicidal concentrations (MFCs, μg mL−1) were determined using the method of serial dilutions in liquid broth. The tested substances were dissolved in DMSO at a concentration of 10 mg mL−1. The next dilutions were made using 2% of peptone bullion. Furacillinum was used as the standard antibacterial drug, whereas Nystatine and Fluconazole were used as the standard antifungal drugs.
3.5. Antiradical Activity
The antiradical activity of the synthesized compounds was studied using the ABTS•+ method described in [57,58] with modifications. The ABTS•+ radical was generated by reacting a 7 mM solution of ABTS (2,2′-azino-bis(3-ethylbenzothiazoline-6-sulphonic acid)) from Sigma with a 2.45 mM solution of potassium persulfate (K2S2O8), also from Sigma. This reaction took place at 25 °C in the dark for 12–20 h at room temperature. Subsequently, the resulting solution was diluted by combining it with acetate-buffered saline (0.02 M, pH 6.5) to achieve an absorbance of 0.70 ± 0.01 units at 734 nm. Dilutions of the studied compounds were prepared in DMSO, with concentrations ranging from 1 to 100 μM. Subsequently, 20 μL of each compound’s dilution was transferred to a 96-well microtiter plate, and 180 μL of the ABTS•+ working solution was dispensed using the dispense module of the hybrid reader (BioTek). The reduction in absorbance at 734 nm was precisely measured after a 30-min incubation at 25 °C. All measurements were conducted in triplicate. DMSO served as the negative control and blank samples were run using solvent without ABTS•+. The hybrid reader used for the measurement was the Synergy H1 from BioTek. All experiments were conducted three times, and the results obtained were averaged.
4. Conclusions
The new 3-(morpholin-4-yl)propane-2,3-dione 4-allylthiosemicarbazone HL and 11 new Cu(II) and Ni(II) coordination compounds have been synthesized. The study of the biological activity of the synthesized substances showed that they exhibit antimicrobial, antifungal, and antiradical activity. Cu(II) complexes with N-heteroaromatic bases in the internal sphere proved to be the most active; they also exhibited superior activity compared to the medicinal drugs used as standards. Complex 6 exceeds the activity of Nystatine and exhibits the same activity as Fluconazole. Regarding antiradical activity, complex 9 showed the highest activity with an IC50 value of 6.7 μM. This study confirms that thiosemicarbazones and their complexes represent a promising avenue in the biomedical field. It is possible to influence their biological activity by altering their structure.
Supplementary Materials
The following supporting information can be downloaded at: https://www.mdpi.com/article/10.3390/molecules29163903/s1, Figure S1: 1H NMR spectrum of 3-(morpholin-4-yl)propane-2,3-dione 4-allylthiosemicarbazone (HL); Figure S2: 13C NMR spectrum of 3-(morpholin-4-yl)propane-2,3-dione 4-allylthiosemicarbazone (HL); Figure S3: FTIR spectrum of 1-(morpholin-4-yl)propane-1,2-dione; Figure S4: FTIR spectrum of HL; Figures S5–S15: FTIR spectra of 1–11; Table S1: Crystal and Structure Refinement Date for HL and 1, 6, 7, and 11; Table S2: (a) Bond Lengths (Å) and Angles (deg) in Coordination Metal Environment in 1, 6, 7, and 11; (b) Selected Bond Lengths (Å) and Angles (deg) in ligands in HL, 1, 6, 7, and 11; Table S3: Hydrogen Bond Distances (Å) and Angles (deg) for HL and 1, 6, 7, and 11. The crystallographic data for compounds HL, 1, 6, 7, and 11 (CCDC 2350142–2350146) were deposited with the Cambridge Crystallographic Data Centre. Copies of this information may be obtained free of charge from the Director, CCDC, 12 Union Road, Cambridge CHB2 1EZ, UK (Fax: +44-1223-336033; e-mail: deposit@ccdc.cam.ac.uk or www.ccdc.cam.ac.uk).
Author Contributions
Conceptualization, V.T. and A.G.; methodology, I.G., O.G. and G.B.; validation, V.G., O.G., P.B., G.B. and A.G.; formal analysis, M.C., P.B., C.L.-T. and V.F.; investigation, I.G., M.C., O.G., E.M., C.L.-T. and G.B.; resources, P.B., G.B., V.F. and A.G.; data curation, V.G., P.B., E.M., V.T. and A.G.; writing—original draft preparation, I.G., V.G., E.M.; writing—review and editing, I.G., V.G., P.B., V.F. and A.G.; visualization, V.G. and P.B.; supervision, A.G.; project administration, A.G.; All authors have read and agreed to the published version of the manuscript.
Funding
This work was fulfilled with the financial support of the subprograms 010602, 010701, and 011202 of the institutional project.
Institutional Review Board Statement
Not applicable.
Informed Consent Statement
Not applicable.
Data Availability Statement
Data is contained within the article or Supplementary Material.
Conflicts of Interest
The authors declare no conflicts of interest.
References
- Priyarega, S.; Haribabu, J.; Karvembu, R. Development of thiosemicarbazone-based transition metal complexes as homogeneous catalysts for various organic transformations. Inorganica Chim. Acta 2022, 532, 120742. [Google Scholar] [CrossRef]
- Thamaraichelvan, M.; Sebastian, A.; Ganapathi, M.; Holla, H.; Duraippandi, P.; Narayanan, N.V. Copper thiosemicarbazone modified electrode for hydrazine electrocatalytic oxidation. Results Chem. 2023, 6, 101025. [Google Scholar] [CrossRef]
- Korkmaz, G. A review of recent research on the antimicrobial activities of thiosemicarbazone-based compounds. J. New Results Sci. 2024, 13, 61–83. [Google Scholar] [CrossRef]
- Khan, T.; Zehra, S.; Alvi, A.; Mishra, N.; Lawrence, R.; Joshi, S.; Khan, A.R. Synthesis, Characterization, Computational Studies and Antimicrobial activity evaluation of Mixed ligand-Metal complexes of selected thiosemicarbazones. ChemistrySelect 2024, 9, e202400202. [Google Scholar] [CrossRef]
- Li, T.; Lv, M.; Wen, H.; Du, J.; Wang, Z.; Zhang, S.; Xu, H. Natural products in crop protection: Thiosemicarbazone derivatives of 3-acetyl-N-benzylindoles as antifungal agents and their mechanism of action. Pest Manag. Sci. 2023, 79, 2801–2810. [Google Scholar] [CrossRef] [PubMed]
- Souza, R.A.; Cunha, V.L.; de Souza, J.H.; Martins, C.H.; Franca, E.D.F.; Pivatto, M.; Ellena, J.A.; Faustino, L.A.; Patrocinio, A.O.D.T.; Deflon, V.M.; et al. Zinc (II) complexes bearing N, N, S ligands: Synthesis, crystal structure, spectroscopic analysis, molecular docking and biological investigations about its antifungal activity. J. Inorg. Biochem. 2022, 237, 111995. [Google Scholar] [CrossRef] [PubMed]
- Machado, J.F.; Marques, F.; Pinheiro, T.; Villa de Brito, M.J.; Scalese, G.; Pérez-Díaz, L.; Otero, L.; António, J.P.M.; Gambino, D.; Morais, T.S. Copper (I)-Thiosemicarbazone Complexes with Dual Anticancer and Antiparasitic Activity. ChemMedChem 2023, 18, e202300074. [Google Scholar] [CrossRef]
- Shakya, B.; Yadav, P.N. Thiosemicarbazones as potent anticancer agents and their modes of action. Mini-Rev. Med. Chem. 2020, 20, 638–661. [Google Scholar] [CrossRef] [PubMed]
- Tok, F.; Küçükal, B.; Baltaş, N.; Tatar Yılmaz, G.; Koçyiğit-Kaymakçıoğlu, B. Synthesis of novel thiosemicarbazone derivatives as antidiabetic agent with enzyme kinetic studies and antioxidant activity. Phosphorus Sulfur Silicon Relat. Elem. 2022, 197, 1284–1294. [Google Scholar] [CrossRef]
- Sriram, D.; Yogeeswari, P.; Thirumurugan, R.; Pavana, R.K. Discovery of new antitubercular oxazolyl thiosemicarbazones. J. Med. Chem. 2006, 49, 3448–3450. [Google Scholar] [CrossRef]
- Hegde, P.L.; Bhat, S.S.; Revankar, V.K.; Shaikh, S.A.; Kumara, K.; Lokanath, N.K. Syntheses, structural characterization and evaluation of the anti-tubercular activity of copper (II) complexes containing 3-methoxysalicylaldehyde-4-methylthiosemicarbazone. J. Mol. Struct. 2022, 1257, 132589. [Google Scholar] [CrossRef]
- Hosseini-Yazdi, S.A.; Mirzaahmadi, A.; Khandar, A.A.; Mahdavi, M.; Rahimian, A.; Eigner, V.; Dušek, M.; Zarrini, G. Copper, nickel and zinc complexes of a new water-soluble thiosemicarbazone ligand: Synthesis, characterization, stability and biological evaluation. J. Mol. Liq. 2017, 248, 658–667. [Google Scholar] [CrossRef]
- Sobiesiak, M.; Cieślak, M.; Krolewska, K.; Kaźmierczak-Barańska, J.; Pasternak, B.; Budzisz, E. Thiosemicarbazone-derived copper (II), cobalt (II) and nickel (II) complexes as potential anticancer agents: Nuclease activity, cytotoxicity and apoptosis studies. New J. Chem. 2016, 40, 9761–9767. [Google Scholar] [CrossRef]
- Aljahdali, M.S. Nickel (II) complexes of novel thiosemicarbazone compounds: Synthesis, characterization, molecular modeling and in vitro antimicrobial activity. Eur. J. Chem. 2013, 4, 434–443. [Google Scholar] [CrossRef]
- Jouad, E.M.; Larcher, G.; Allain, M.; Riou, A.; Bouet, G.M.; Khan, M.A.; Do Thanh, X. Synthesis, structure and biological activity of nickel (II) complexes of 5-methyl 2-furfural thiosemicarbazone. J. Inorg. Biochem. 2001, 86, 565–571. [Google Scholar] [CrossRef] [PubMed]
- Ibrahim, A.B.; Farh, M.K.; Mayer, P. Synthesis, structural studies and antimicrobial evaluation of nickel (II) complexes of NNS tridentate thiosemicarbazone based ligands. Appl. Organomet. Chem. 2019, 33, e4883. [Google Scholar] [CrossRef]
- West, D.X.; Liberta, A.E.; Padhye, S.B.; Chikate, R.C.; Sonawane, P.B.; Kumbhar, A.S.; Yerande, R.G. Thiosemicarbazone complexes of copper (II): Structural and biological studies. Coord. Chem. Rev. 1993, 123, 49–71. [Google Scholar] [CrossRef]
- Ilies, D.C.; Shova, S.; Radulescu, V.; Pahontu, E.; Rosu, T. Synthesis, characterization, crystal structure and antioxidant activity of Ni(II) and Cu(II) complexes with 2-formilpyridine N(4)-phenylthiosemicarbazone. Polyhedron 2015, 97, 157–166. [Google Scholar] [CrossRef]
- Eğlence-Bakır, S. New nickel (II) complexes containing N2O2 donor thiosemicarbazones: Synthesis, characterization and antioxidant properties. J. Mol. Struct. 2021, 1246, 131121. [Google Scholar] [CrossRef]
- Hosseini-Yazdi, S.A.; Mirzaahmadi, A.; Khandar, A.A.; Eigner, V.; Dušek, M.; Mahdavi, M.; Soltani, S.; Lotfipour, F.; White, J. Reactions of copper (II), nickel (II), and zinc (II) acetates with a new water-soluble 4-phenylthiosemicarbazone Schiff base ligand: Synthesis, characterization, unexpected cyclization, antimicrobial, antioxidant, and anticancer activities. Polyhedron 2017, 124, 156–165. [Google Scholar] [CrossRef]
- Ramachandran, E.; Kalaivani, P.; Prabhakaran, R.; Rath, N.P.; Brinda, S.; Poornima, P.; Padma, V.; Natarajan, K. Synthesis, X-ray crystal structure, DNA binding, antioxidant and cytotoxicity studies of Ni (II) and Pd (II) thiosemicarbazone complexes. Metallomics 2012, 4, 218–227. [Google Scholar] [CrossRef] [PubMed]
- Bal-Demirci, T.; Şahin, M.; Özyürek, M.; Kondakçı, E.; Ülküseven, B. Synthesis, antioxidant activities of the nickel (II), iron (III) and oxovanadium (IV) complexes with N2O2 chelating thiosemicarbazones. Spectrochim. Acta A Mol. Biomol. Spectrosc. 2014, 126, 317–323. [Google Scholar] [CrossRef] [PubMed]
- Graur, V.; Chumakov, Y.; Garbuz, O.; Hureau, C.; Tsapkov, V.; Gulea, A. Synthesis, Structure, and Biologic Activity of Some Copper, Nickel, Cobalt, and Zinc Complexes with 2-Formylpyridine N4-Allylthiosemicarbazone. Bioinorg. Chem. 2022, 2022, 2705332. [Google Scholar] [CrossRef] [PubMed]
- Gulea, A.P.; Graur, V.O.; Diurici, E.C.; Ulchina, I.I.; Bourosh, P.N.; Balan, G.G.; Burduniuc, O.S.; Tsapkov, V.I.; Rudic, V.F. Synthesis, Structure, and Biological Activity of Copper(II), Nickel(II), Cobalt(III), and Iron(III) Coordination Compounds with 2-{2-[(Prop-2-en-1-yl)carbamothioyl]hydrazinylidene}propanoic Acid. Russ. J. Gen. Chem. 2020, 90, 2120–2127. [Google Scholar] [CrossRef]
- Ulchina, I.; Graur, V.; Tsapkov, V.; Chumakov, Y.; Garbuz, O.; Burduniuc, O.; Ceban, E.; Gulea, A. Introducing N-Heteroaromatic Bases into Copper (II) Thiosemicarbazon Complexes: A Way to Change their Biological Activity. ChemistryOpen 2022, 11, e202200208. [Google Scholar] [CrossRef] [PubMed]
- Lukmantara, A.Y.; Kalinowski, D.S.; Kumar, N.; Richardson, D.R. Synthesis and biological evaluation of 2-benzoylpyridine thiosemicarbazones in a dimeric system: Structure–activity relationship studies on their anti-proliferative and iron chelation efficacy. J. Inorg. Biochem. 2014, 141, 43–54. [Google Scholar] [CrossRef] [PubMed]
- Lin, C.M.; Preston III, J.F.; Wei, C.I. Antibacterial mechanism of allyl isothiocyanate. J. Food Prot. 2000, 63, 727–734. [Google Scholar] [CrossRef] [PubMed]
- Liu, P.; Behray, M.; Wang, Q.; Wang, W.; Zhou, Z.; Chao, Y.; Bao, Y. Anti-cancer activities of allyl isothiocyanate and its conjugated silicon quantum dots. Sci. Rep. 2018, 8, 1084. [Google Scholar] [CrossRef] [PubMed]
- Tarar, A.; Peng, S.; Cheema, S.; Peng, C.A. Anticancer activity, mechanism, and delivery of allyl isothiocyanate. Bioengineering 2022, 9, 470. [Google Scholar] [CrossRef]
- Huseynova, M.; Medjidov, A.; Taslimi, P.; Aliyeva, M. Synthesis, Characterization, Crystal Structure of the Coordination Polymer Zn(II) with Thiosemicarbazone of Glyoxalic Acid and Their Inhibitory Properties Against Some Metabolic Enzymes. Bioorg. Chem. 2018, 83, 55–62. [Google Scholar] [CrossRef]
- Huseynova, M.; Taslimi, P.; Medjidov, A.; Farzaliyev, V.; Aliyeva, M.; Gondolova; Şahin, O.; Yalçın, B.; Sujayev, A.; Orman, E.B.; et al. Synthesis, Characterization, Crystal Structure, Electrochemical Studies and Biological Evaluation of Metal Complexes with Thiosemicarbazone of Glyoxylic Acid. Polyhedron 2018, 155, 25–33. [Google Scholar] [CrossRef]
- Belicchi Ferrari, M.; Bisceglie, F.; Gasparri Fava, G.; Pelosi, G.; Tarasconi, P.; Albertini, R.; Pinelli, S. Synthesis, characterization and biological activity of two new polymeric copper(II) complexes with α-ketoglutaric acid thiosemicarbazone. J. Inorg. Biochem. 2002, 89, 36–44. [Google Scholar] [CrossRef] [PubMed]
- Miersch, J.; Krauss, G.J.; Grancharov, K.; Bublitz, F.; Spassovska, N.; Golovinsky, E. The effect of pyruvic acid thiosemicarbazone on ornithine carbamoyl transferase of Lycopersicon esculentum Mill. Biol. Plant. 1986, 28, 174–179. [Google Scholar] [CrossRef]
- Cao, R.; Garcia, A.; Castell, E. QSAR of copper(II) complexes with cytotoxic properties. Monatsh. Chem. 1992, 123, 487–491. [Google Scholar] [CrossRef]
- Diaz, A.; Cao, R.; Garcia, A. Characterization and biological properties of a copper(II) complex with pyruvic acid thiosemicarbazone. Monatsh. Chem. 1994, 125, 823–825. [Google Scholar] [CrossRef]
- Graur, I.; Bespalova, T.; Graur, V.; Tsapkov, V.; Garbuz, O.; Melnic, E.; Bourosh, P.; Gulea, A. A new thiosemicarbazone and its 3d metal complexes: Synthetic, structural, and antioxidant studies. J. Chem. Res. 2023, 47. [Google Scholar] [CrossRef]
- Kourounakis, A.P.; Xanthopoulos, D.; Tzara, A. Morpholine as a privileged structure: A review on the medicinal chemistry and pharmacological activity of morpholine containing bioactive molecules. Med. Res. Rev. 2020, 40, 709–752. [Google Scholar] [CrossRef] [PubMed]
- Lenci, E.; Calugi, L.; Trabocchi, A. Occurrence of morpholine in central nervous system drug discovery. ACS Chem. Neurosci. 2021, 12, 378–390. [Google Scholar] [CrossRef] [PubMed]
- Kumari, A.; Singh, R.K. Morpholine as ubiquitous pharmacophore in medicinal chemistry: Deep insight into the structure-activity relationship (SAR). Bioorg. Chem 2020, 96, 103578. [Google Scholar] [CrossRef]
- Rupak, K.; Vulichi, S.R.; Suman, K.A.P.U.R. Emphasizing morpholine and its derivatives (maid): Typical candidate of pharmaceutical importance. Int. J. Chem. Sci. 2016, 14, 1777–1788. [Google Scholar]
- Asif, M.; Imran, M. A review on chemical and pharmacological interest of morpholine and pyrans derivatives. Fields Crop. Res. 2019, 1, 5–12. [Google Scholar] [CrossRef]
- Ohui, K.; Afanasenko, E.; Bacher, F.; Ting, R.L.X.; Zafar, A.; Blanco-Cabra, N.; Torrents, E.; Dömötör, O.; May, N.; Darvasiova, D.; et al. New water-soluble copper (II) complexes with morpholine–thiosemicarbazone hybrids: Insights into the anticancer and antibacterial mode of action. J. Med. Chem. 2018, 62, 512–530. [Google Scholar] [CrossRef] [PubMed]
- Bacher, F.; Dömötör, O.; Chugunova, A.; Nagy, N.V.; Filipović, L.; Radulović, S.; Enyedy, E.; Arion, V.B. Strong effect of copper (II) coordination on antiproliferative activity of thiosemicarbazone–piperazine and thiosemicarbazone–morpholine hybrids. Dalton Trans. 2015, 44, 9071–9090. [Google Scholar] [CrossRef] [PubMed]
- Agrawal, K.C.; Booth, B.A.; DeNuzzo, S.M.; Sartorelli, A.C. Potential antitumor agents. 14. 4-substituted 2-formylpyridine thiosemicarbazones. J. Med. Chem. 1976, 19, 1209–1214. [Google Scholar] [CrossRef] [PubMed]
- Tasleem, M.; Pelletier, J.; Sévigny, J.; Hussain, Z.; Khan, A.; Al-Harrasi, A.; El-kott, A.; Taslimi, P.; Negm, S.; Shafiq, Z.; et al. Synthesis, in vitro, and in silico studies of morpholine-based thiosemicarbazones as ectonucleotide pyrophosphatase/phosphodiesterase-1 and-3 inhibitors. Int. J. Biol. Macromol. 2024, 266, 131068. [Google Scholar] [CrossRef] [PubMed]
- Muralisankar, M.; Haribabu, J.; Bhuvanesh, N.S.; Karvembu, R.; Sreekanth, A. Synthesis, X-ray crystal structure, DNA/protein binding, DNA cleavage and cytotoxicity studies of N(4) substituted thiosemicarbazone based copper (II)/nickel (II) complexes. Inorganica Chim. Acta 2016, 449, 82–95. [Google Scholar] [CrossRef]
- Ibrahim, M.; Farh, A.B.; Plaisier, M.K.; Shalaby, E.M. Synthesis, structural and antimicrobial studies of binary and ternary complexes of a new tridentate thiosemicarbazone. Future Med. Chem. 2018, 10, 2507–2519. [Google Scholar] [CrossRef]
- Youssef, N.S.; Hegab, K.H. Synthesis and Characterization of some Transition Metal Complexes of Thiosemicarbazones Derived from 2-acetylpyrrole and 2-acetylfuran. Synth. React. Inorg. Met.-Org. Nano-Met. Chem. 2005, 35, 391–399. [Google Scholar] [CrossRef]
- Zhao, W.; Zhao, M. Synthesis and characterization of some multi-substituted thiosemicarbazones as the multi-dental ligands of metal ions. Chin. J. Org. Chem. 2001, 21, 681–684. [Google Scholar]
- Perrin, D.D.; Armarego, W.L.; Perrin, D.R. Purification of Laboratory Chemicals, 4th ed.; Butterworth-Heinemann/Pergamon Press: Oxford, UK, 1966. [Google Scholar]
- Leovac, V.M.; Vojinović, L.S.; Mesaroš-Sečenji, K.F.; Češljević, V.I. Transition metal complexes with thiosemicarbazide-based ligands, part 46: Synthesis and physico-chemical characterization of mixed ligand cobalt (III)-complexes with salicylaldehyde semi-, thiosemi-an. J. Serb. Chem. Soc. 2003, 68, 919–927. [Google Scholar] [CrossRef]
- Mupparapu, N.; Khan, S.; Battula, S.; Kushwaha, M.; Gupta, A.P.; Ahmed, Q.N.; Vishwakarma, R.A. Metal-free oxidative amidation of 2-oxoaldehydes: A facile access to α-ketoamides. Org. Lett. 2014, 16, 1152–1155. [Google Scholar] [CrossRef] [PubMed]
- CrysAlis RED, version 1.171.36.32; Oxford Diffraction Ltd.: Abingdon, UK, 2003.
- Sheldrick, G.M. A short history of SHELX. Acta Crystallogr. A Found. Adv. 2008, 64, 112–122. [Google Scholar] [CrossRef]
- Sheldrick, G.M. Crystal structure refinement with SHELXL. Acta Crystallogr. C Struct. Chem. 2015, 71, 3–8. [Google Scholar] [CrossRef] [PubMed]
- Macrae, C.F.; Edgington, P.R.; McCabe, P.; Pidcock, E.; Shields, G.P.; Taylor, R.; Towler, M.; van de Streek, J. Mercury: Visualization and analysis of crystal structures. J. Appl. Crystallogr. 2006, 39, 453–457. [Google Scholar] [CrossRef]
- Re, R.; Pellegrini, N.; Proteggente, A.; Pannala, A.; Yang, M.; Rice-Evans, C. Antioxidant activity applying an improved ABTS radical cation decolorization assay. Free Radic. Biol. Med. 1999, 26, 1231–1237. [Google Scholar] [CrossRef]
- Garbuz, O.; Gudumac, V.; Toderas, I.; Gulea, A. Antioxidant Properties of Synthetic Compounds and Natural Products. Action Mechanisms; Monograph; CEP USM: Chișinău, Moldova, 2023; ISBN 978-9975-62-516-6. [Google Scholar]
Disclaimer/Publisher’s Note: The statements, opinions and data contained in all publications are solely those of the individual author(s) and contributor(s) and not of MDPI and/or the editor(s). MDPI and/or the editor(s) disclaim responsibility for any injury to people or property resulting from any ideas, methods, instructions or products referred to in the content. |
© 2024 by the authors. Licensee MDPI, Basel, Switzerland. This article is an open access article distributed under the terms and conditions of the Creative Commons Attribution (CC BY) license (https://creativecommons.org/licenses/by/4.0/).










