Designing Accurate Moment Tensor Potentials for Phonon-Related Properties of Crystalline Polymers
Abstract
1. Introduction

2. Results and Discussion
2.1. Generating Moment Tensor Potentials
2.1.1. The Tested Moment Tensor Potentials (MTPs) and Their Training Process
2.1.2. Generating the Training Data for the MTP Parametrization
2.2. Impact of the Choice of the Reference Data, the Level of the MTP, and the Number of Considered Atom Types
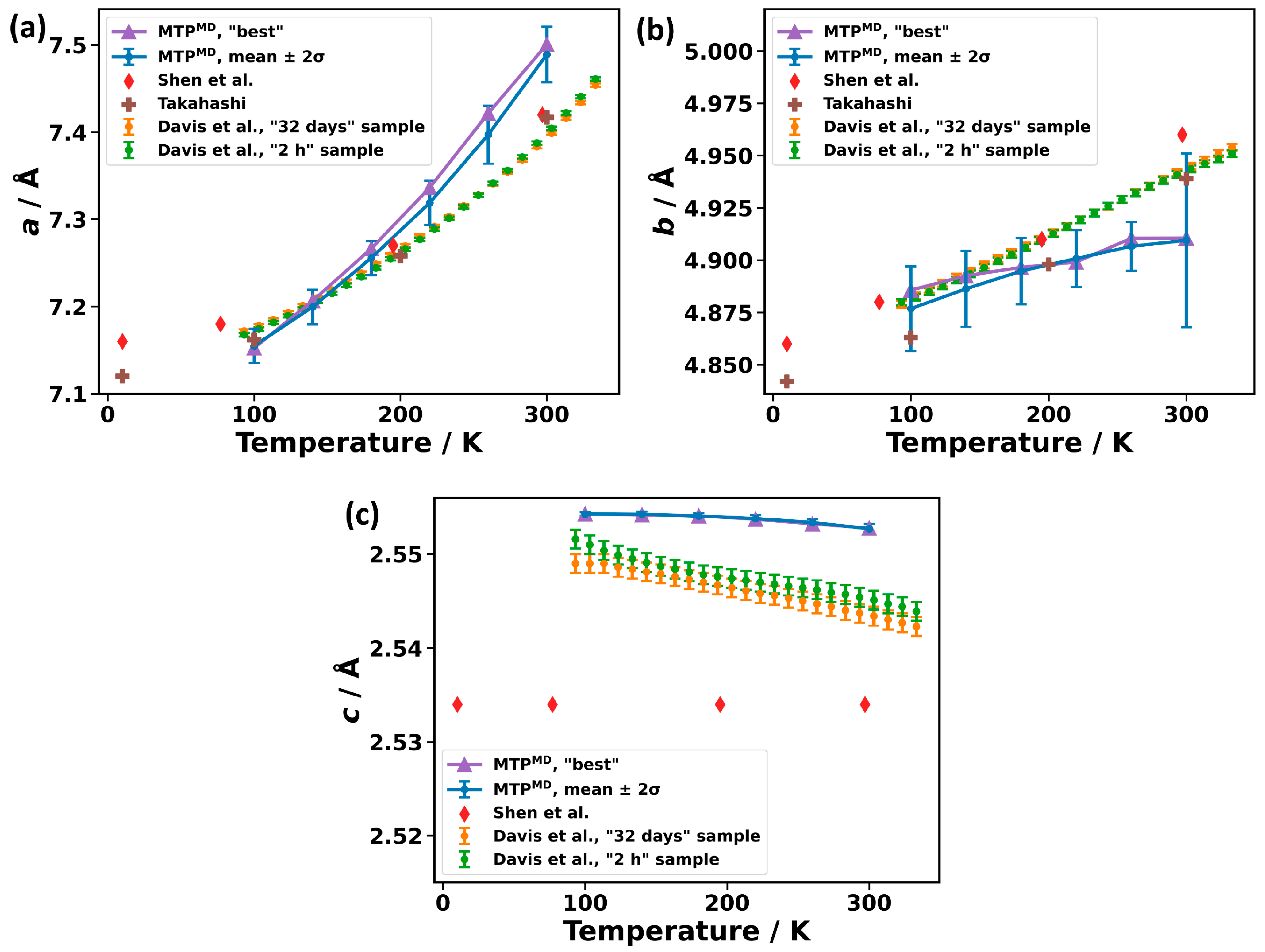
2.3. Predicting Unit Cell Parameters
2.4. Elastic Constants
| First Author | Year | Method | T [K] | [GPa] | [GPa] | [GPa] |
| Theoretical | ||||||
| This study | 2024 | DFT | 0 | 12.2 | 11.4 | 328 |
| This study | 2024 | MTPphonon, “best” | 0 | 13.2 | 12.2 | 322 |
| This study | 2024 | MTPphonon, mean | 0 | 13.0 ± 0.6 | 12.4 ± 0.5 | 322 ± 1 |
| This study | 2024 | MTPMD, “best” | 0 | 13.9 | 13.8 | 318 |
| This study | 2024 | MTPMD, mean | 0 | 15.8 ± 2.1 | 12.8 ± 2.0 | 316 ± 4 |
| Kurita [63] | 2018 | DFT | 0 | 10.9 | 7.8 | 333 |
| Experimental | ||||||
| Matsuo [67] | 1986 | X-ray | 293 | 213–229 | ||
| Nakamae [58] | 1991 | X-ray | RT | 235 | ||
| 117 | 254 | |||||
| Kobayashi [68] | 1983 | Raman | RT | 281 | ||
| Tashiro [69] | 1988 | Raman | RT | 260 | ||
| Pietralla [59] | 1997 | Raman | RT | 315 | ||
| Holliday [60] | 1971 | neutron | 298 | 6 | 6 | 329 |
| Twisleton [70] | 1982 | neutron | 76 | 9 | 8 | 326 |
2.5. Phonon Band Structure
2.6. Calculating the Thermal Conductivity of PE Using the Boltzmann Transport Equation
2.7. Studying the Thermal Expansion of PE
2.8. Energy, Force, and Stress in Molecular Dynamics
2.9. Speed Gain Due to Use of Moment Tensor Potentials
3. Methods
3.1. Details of the Applied Computational Approach
3.2. Modeling Physical Observables
4. Conclusions
Supplementary Materials
Author Contributions
Funding
Institutional Review Board Statement
Informed Consent Statement
Data Availability Statement
Acknowledgments
Conflicts of Interest
References
- He, L.; Ye, Z.; Zeng, J.; Yang, X.; Li, D.; Yang, X.; Chen, Y.; Huang, Y. Enhancement in Electrical and Thermal Properties of LDPE with Al2O3 and H-BN as Nanofiller. Materials 2022, 15, 2844. [Google Scholar] [CrossRef]
- Yang, C.; Navarro, M.E.; Zhao, B.; Leng, G.; Xu, G.; Wang, L.; Jin, Y.; Ding, Y. Thermal Conductivity Enhancement of Recycled High Density Polyethylene as a Storage Media for Latent Heat Thermal Energy Storage. Sol. Energy Mater. Sol. Cells 2016, 152, 103–110. [Google Scholar] [CrossRef]
- Liu, J.; Xu, Z.; Cheng, Z.; Xu, S.; Wang, X. Thermal Conductivity of Ultrahigh Molecular Weight Polyethylene Crystal: Defect Effect Uncovered by 0 K Limit Phonon Diffusion. ACS Appl. Mater. Interfaces 2015, 7, 27279–27288. [Google Scholar] [CrossRef]
- Kim, T.; Drakopoulos, S.X.; Ronca, S.; Minnich, A.J. Origin of High Thermal Conductivity in Disentangled Ultra-High Molecular Weight Polyethylene Films: Ballistic Phonons within Enlarged Crystals. Nat. Commun. 2022, 13, 2452. [Google Scholar] [CrossRef] [PubMed]
- Xu, Y.; Kraemer, D.; Song, B.; Jiang, Z.; Zhou, J.; Loomis, J.; Wang, J.; Li, M.; Ghasemi, H.; Huang, X.; et al. Nanostructured Polymer Films with Metal-like Thermal Conductivity. Nat. Commun. 2019, 10, 1771. [Google Scholar] [CrossRef]
- Ronca, S.; Igarashi, T.; Forte, G.; Rastogi, S. Metallic-like Thermal Conductivity in a Lightweight Insulator: Solid-State Processed Ultra High Molecular Weight Polyethylene Tapes and Films. Polymer 2017, 123, 203–210. [Google Scholar] [CrossRef]
- Shrestha, R.; Li, P.; Chatterjee, B.; Zheng, T.; Wu, X.; Liu, Z.; Luo, T.; Choi, S.; Hippalgaonkar, K.; De Boer, M.P.; et al. Crystalline Polymer Nanofibers with Ultra-High Strength and Thermal Conductivity. Nat. Commun. 2018, 9, 1664. [Google Scholar] [CrossRef] [PubMed]
- Shen, S.; Henry, A.; Tong, J.; Zheng, R.; Chen, G. Polyethylene Nanofibres with Very High Thermal Conductivities. Nat. Nanotechnol. 2010, 5, 251–255. [Google Scholar] [CrossRef] [PubMed]
- Togo, A. First-Principles Phonon Calculations with Phonopy and Phono3py. J. Phys. Soc. Jpn. 2023, 92, 012001. [Google Scholar] [CrossRef]
- Müller-Plathe, F. A Simple Nonequilibrium Molecular Dynamics Method for Calculating the Thermal Conductivity. J. Chem. Phys. 1997, 106, 6082–6085. [Google Scholar] [CrossRef]
- Green, M.S. Markoff Random Processes and the Statistical Mechanics of Time-Dependent Phenomena. II. Irreversible Processes in Fluids. J. Chem. Phys. 1954, 22, 398–413. [Google Scholar] [CrossRef]
- Kubo, R. Statistical-Mechanical Theory of Irreversible Processes. I. General Theory and Simple Applications to Magnetic and Conduction Problems. J. Phys. Soc. Jpn. 1957, 12, 570–586. [Google Scholar] [CrossRef]
- Lampin, E.; Palla, P.L.; Francioso, P.A.; Cleri, F. Thermal Conductivity from Approach-to-Equilibrium Molecular Dynamics. J. Appl. Phys. 2013, 114, 33525. [Google Scholar] [CrossRef]
- Zhang, T.; Wu, X.; Luo, T. Polymer Nanofibers with Outstanding Thermal Conductivity and Thermal Stability: Fundamental Linkage between Molecular Characteristics and Macroscopic Thermal Properties. J. Phys. Chem. C 2014, 118, 21148–21159. [Google Scholar] [CrossRef]
- Henry, A.; Chen, G.; Plimpton, S.J.; Thompson, A. 1D-to-3D Transition of Phonon Heat Conduction in Polyethylene Using Molecular Dynamics Simulations. Phys. Rev. B Condens. Matter Mater. Phys. 2010, 82, 144308. [Google Scholar] [CrossRef]
- Ni, B.; Watanabe, T.; Phillpot, S.R. Thermal Transport in Polyethylene and at Polyethylene-Diamond Interfaces Investigated Using Molecular Dynamics Simulation. J. Phys. Condens. Matter 2009, 21, 084219. [Google Scholar] [CrossRef] [PubMed]
- Kamencek, T.; Wieser, S.; Kojima, H.; Bedoya-Martínez, N.; Dürholt, J.P.; Schmid, R.; Zojer, E. Evaluating Computational Shortcuts in Supercell-Based Phonon Calculations of Molecular Crystals: The Instructive Case of Naphthalene. J. Chem. Theory Comput. 2020, 16, 2716–2735. [Google Scholar] [CrossRef] [PubMed]
- Grimme, S.; Ehrlich, S.; Goerigk, L. Effect of the Damping Function in Dispersion Corrected Density Functional Theory. J. Comput. Chem. 2010, 32, 1456. [Google Scholar] [CrossRef] [PubMed]
- Grimme, S.; Antony, J.; Ehrlich, S.; Krieg, H. A Consistent and Accurate Ab Initio Parametrization of Density Functional Dispersion Correction (DFT-D) for the 94 Elements H-Pu. J. Chem. Phys. 2010, 132, 154104–154119. [Google Scholar] [CrossRef]
- Johnson, E.R.; Becke, A.D. A Post-Hartree-Fock Model of Intermolecular Interactions: Inclusion of Higher-Order Corrections. J. Chem. Phys. 2006, 124, 174104. [Google Scholar] [CrossRef]
- Bedoya-Martínez, N.; Giunchi, A.; Salzillo, T.; Venuti, E.; Della Valle, R.G.; Zojer, E. Toward a Reliable Description of the Lattice Vibrations in Organic Molecular Crystals: The Impact of van Der Waals Interactions. J. Chem. Theory Comput. 2018, 14, 4380–4390. [Google Scholar] [CrossRef] [PubMed]
- Mortazavi, B.; Zhuang, X.; Rabczuk, T.; Shapeev, A.V. Atomistic Modeling of the Mechanical Properties: The Rise of Machine Learning Interatomic Potentials. Mater. Horiz. 2023, 10, 1956–1968. [Google Scholar] [CrossRef] [PubMed]
- Ouyang, Y.; Yu, C.; He, J.; Jiang, P.; Ren, W.; Chen, J. Accurate Description of High-Order Phonon Anharmonicity and Lattice Thermal Conductivity from Molecular Dynamics Simulations with Machine Learning Potential. Phys. Rev. B 2022, 105, 115202. [Google Scholar] [CrossRef]
- Mortazavi, B.; Podryabinkin, E.V.; Novikov, I.S.; Rabczuk, T.; Zhuang, X.; Shapeev, A.V. Accelerating First-Principles Estimation of Thermal Conductivity by Machine-Learning Interatomic Potentials: A MTP/ShengBTE Solution. Comput. Phys. Commun. 2021, 258, 107583. [Google Scholar] [CrossRef]
- Shapeev, A.V. Moment Tensor Potentials: A Class of Systematically Improvable Interatomic Potentials. Multiscale Model. Simul. 2016, 14, 1153–1173. [Google Scholar] [CrossRef]
- Novikov, I.S.; Gubaev, K.; Podryabinkin, E.V.; Shapeev, A.V. The MLIP Package: Moment Tensor Potentials with MPI and Active Learning. Mach. Learn. Sci. Technol. 2021, 2, 025002. [Google Scholar] [CrossRef]
- Mortazavi, B.; Rajabpour, A.; Zhuang, X.; Rabczuk, T.; Shapeev, A.V. Exploring Thermal Expansion of Carbon-Based Nanosheets by Machine-Learning Interatomic Potentials. Carbon 2022, 186, 501–508. [Google Scholar] [CrossRef]
- Mortazavi, B.; Novikov, I.S.; Shapeev, A.V. A Machine-Learning-Based Investigation on the Mechanical/Failure Response and Thermal Conductivity of Semiconducting BC2N Monolayers. Carbon 2022, 188, 431–441. [Google Scholar] [CrossRef]
- Wieser, S.; Zojer, E. Machine Learned Force-Fields for an Ab-Initio Quality Description of Metal-Organic Frameworks. NPJ Comput. Mater. 2024, 10, 18. [Google Scholar] [CrossRef]
- Strasser, N.; Wieser, S.; Zojer, E. Predicting Spin-Dependent Phonon Band Structures of HKUST-1 Using Density Functional Theory and Machine-Learned Interatomic Potentials. Int. J. Mol. Sci. 2024, 25, 3023. [Google Scholar] [CrossRef]
- Togo, A.; Seko, A. On-the-Fly Training of Polynomial Machine Learning Potentials in Computing Lattice Thermal Conductivity. J. Chem. Phys. 2024, 160, 211001. [Google Scholar] [CrossRef] [PubMed]
- Sirringhaus, H. Device Physics of Solution-Processed Organic Field-Effect Transistors. Adv. Mater. 2005, 17, 2411–2425. [Google Scholar] [CrossRef]
- Knobloch, A.; Manuelli, A.; Bernds, A.; Clemens, W. Fully Printed Integrated Circuits from Solution Processable Polymers. J. Appl. Phys. 2004, 96, 2286–2291. [Google Scholar] [CrossRef]
- Lim, J.A.; Liu, F.; Ferdous, S.; Muthukumar, M.; Briseno, A.L. Polymer Semiconductor Crystals. Mater. Today 2010, 13, 14–24. [Google Scholar] [CrossRef]
- Pacher, P.; Lex, A.; Proschek, V.; Etschmaier, H.; Tchernychova, E.; Sezen, M.; Scherf, U.; Grogger, W.; Trimmel, G.; Slugovc, C.; et al. Chemical Control of Local Doping in Organic Thin-Film Transistors: From Depletion to Enhancement. Adv. Mater. 2008, 20, 3143–3148. [Google Scholar] [CrossRef]
- Peacock, A. Handbook of Polyethylene; Taylor & Francis: London, UK, 2000. [Google Scholar]
- Huan, T.D.; Ramprasad, R. Polymer Structure Prediction from First Principles. J. Phys. Chem. Lett. 2020, 11, 5823–5829. [Google Scholar] [CrossRef] [PubMed]
- Corish, J.; Morton-Blake, D.A.; Veluri, K.; Bénière, F. Atomistic Simulations of the Structures of the Pristine and Doped Lattices of Polypyrrole and Polythiophene. J. Mol. Struct. THEOCHEM 1993, 283, 121–134. [Google Scholar] [CrossRef]
- Cheng, P.; Shulumba, N.; Minnich, A.J. Thermal Transport and Phonon Focusing in Complex Molecular Crystals: Ab Initio Study of Polythiophene. Phys. Rev. B 2019, 100, 94306. [Google Scholar] [CrossRef]
- Zhugayevych, A.; Mazaleva, O.; Naumov, A.; Tretiak, S. Lowest-Energy Crystalline Polymorphs of P3HT. J. Phys. Chem. C 2018, 122, 9141–9151. [Google Scholar] [CrossRef]
- Brückner, S.; Porzio, W. The Structure of Neutral Polythiophene. An Application of the Rietveld Method. Die Makromol. Chem. 1988, 189, 961–967. [Google Scholar] [CrossRef]
- Momma, K.; Izumi, F. VESTA 3 for Three-Dimensional Visualization of Crystal, Volumetric and Morphology Data. J. Appl. Cryst. 2011, 44, 1272–1276. [Google Scholar] [CrossRef]
- Perdew, J.P.; Burke, K.; Ernzerhof, M. Generalized Gradient Approximation Made Simple. Phys. Rev. Lett. 1996, 77, 3865–3868. [Google Scholar] [CrossRef] [PubMed]
- Kresse, G.; Hafner, J. Ab Initio Molecular Dynamics for Liquid Metals. Phys. Rev. B 1993, 47, 558–561. [Google Scholar] [CrossRef] [PubMed]
- Morrow, J.D.; Gardner, J.L.A.; Deringer, V.L. How to Validate Machine-Learned Interatomic Potentials. J. Chem. Phys. 2023, 158, 121501. [Google Scholar] [CrossRef] [PubMed]
- Choi, J.M.; Lee, K.; Kim, S.; Moon, M.; Jeong, W.; Han, S. Accelerated Computation of Lattice Thermal Conductivity Using Neural Network Interatomic Potentials. Comput. Mater. Sci. 2022, 211, 111472. [Google Scholar] [CrossRef]
- Jinnouchi, R.; Karsai, F.; Verdi, C.; Asahi, R.; Kresse, G. Descriptors Representing Two-and Three-Body Atomic Distributions and Their Effects on the Accuracy of Machine-Learned Inter-Atomic Potentials. J. Chem. Phys. 2020, 152, 234102. [Google Scholar] [CrossRef]
- Liu, P.; Wang, J.; Avargues, N.; Verdi, C.; Singraber, A.; Karsai, F.; Chen, X.-Q.; Kresse, G. Combining Machine Learning and Many-Body Calculations: Coverage-Dependent Adsorption of CO on Rh(111). Phys. Rev. Lett. 2022, 130, 78001. [Google Scholar] [CrossRef]
- Thompson, A.P.; Aktulga, H.M.; Berger, R.; Bolintineanu, D.S.; Brown, W.M.; Crozier, P.S.; in ’t Veld, P.J.; Kohlmeyer, A.; Moore, S.G.; Nguyen, T.D.; et al. LAMMPS—A Flexible Simulation Tool for Particle-Based Materials Modeling at the Atomic, Meso, and Continuum Scales. Comput. Phys. Commun. 2022, 271, 108171. [Google Scholar] [CrossRef]
- Verdi, C.; Karsai, F.; Liu, P.; Jinnouchi, R.; Kresse, G. Thermal Transport and Phase Transitions of Zirconia by On-the-Fly Machine-Learned Interatomic Potentials. NPJ Comput. Mater. 2021, 7, 156. [Google Scholar] [CrossRef]
- VASP Best Practices for Machine-Learned Force Fields. Available online: https://www.vasp.at/wiki/index.php/Best_practices_for_machine-learned_force_fields (accessed on 4 June 2024).
- Avitabile, G.; Napolitano, R.; Pirozzi, B.; Rouse, K.D.; Thomas, M.W.; Willis, B.T.M. Low Temperature Crystal Structure of Polyehtylene: Results from a Neutron Diffraction Study and from Potential Energy Calculations. J. Polym. Sci. Polym. Lett. Ed. 1975, 13, 351–355. [Google Scholar] [CrossRef]
- Takahashi, Y. Neutron Structure Analysis of Polyethylene-D4. Macromolecules 1998, 31, 3868–3871. [Google Scholar] [CrossRef]
- Mo, Z.; Lee, K.B.; Moon, Y.B.; Kobayashi, M.; Heeger, A.J.; Wudl, F. X-Ray Scattering from Polythiophene: Crystallinity and Crystallographic Structure. Macromolecules 1985, 18, 1972–1977. [Google Scholar] [CrossRef]
- Shen, M.; Hansen, W.N.; Romo, P.C. Thermal Expansion of the Polyethylene Unit Cell. J. Chem. Phys. 1969, 51, 425–430. [Google Scholar] [CrossRef]
- Xavier, N.F.; Da Silva, A.M.; Bauerfeldt, G.F. What Rules the Relative Stability of α-, β-, and γ-Glycine Polymorphs? Cryst. Growth Des. 2020, 20, 4695–4706. [Google Scholar] [CrossRef]
- Červinka, C.; Beran, G.J.O. Ab Initio Thermodynamic Properties and Their Uncertainties for Crystalline α-Methanol. Phys. Chem. Chem. Phys. 2017, 19, 29940–29953. [Google Scholar] [CrossRef] [PubMed]
- Nakamae, K.; Nishino, T.; Ohkubo, H. Elastic Modulus of Crystalline Regions of Polyethylene with Different Microstructures: Experimental Proof of Homogeneous Stress Distribution. J. Macromol. Sci. Part B 1991, 30, 1–23. [Google Scholar] [CrossRef]
- Pietralla, M.; Hotz, R.; Engst, T.; Siems, R. Chain Direction Elastic Modulus of PE Crystal and Interlamellar Force Constant of N-Alkane Crystals from RAMAN Measurements. J. Polym. Sci. B Polym. Phys. 1997, 35, 47–57. [Google Scholar] [CrossRef]
- Holliday, L.; White, J. The Stiffness of Polymers in Relation to Their Structure. Pure Appl. Chem. 1971, 26, 545–582. [Google Scholar] [CrossRef]
- Jaeken, J.W.; Cottenier, S. Solving the Christoffel Equation: Phase and Group Velocities. Comput. Phys. Commun. 2016, 207, 445–451. [Google Scholar] [CrossRef]
- Wu, X.; Vanderbilt, D.; Hamann, D.R. Systematic Treatment of Displacements, Strains, and Electric Fields in Density-Functional Perturbation Theory. Phys. Rev. B Condens. Matter Mater. Phys. 2005, 72, 035105. [Google Scholar] [CrossRef]
- Kurita, T.; Fukuda, Y.; Takahashi, M.; Sasanuma, Y. Crystalline Moduli of Polymers, Evaluated from Density Functional Theory Calculations under Periodic Boundary Conditions. ACS Omega 2018, 3, 4824–4835. [Google Scholar] [CrossRef] [PubMed]
- Barham, P.J.; Keller, A. Achievement of High-Modulus Polyethylene Fibres and the Modulus of Polyethylene Crystals. J. Polym. Sci. Polym. Lett. Ed. 1979, 17, 591–593. [Google Scholar] [CrossRef]
- Root, S.E.; Savagatrup, S.; Printz, A.D.; Rodriquez, D.; Lipomi, D.J. Mechanical Properties of Organic Semiconductors for Stretchable, Highly Flexible, and Mechanically Robust Electronics. Chem. Rev. 2017, 117, 6467–6499. [Google Scholar] [CrossRef] [PubMed]
- Yang, Y.; Jiang, H.; Zhou, Z.; Yang, J.; Wang, Y.; Bi, K. The Experimental Young’s Modulus of Polythiophene Nanofibers. Mater. Sci. Eng. B 2024, 299, 117014. [Google Scholar] [CrossRef]
- Matsuo, M.; Sawatari, C. Elastic Modulus of Polyethylene in the Crystal Chain Direction As Measured by X-Ray Diffraction. Macromolecules 1986, 19, 2036–2040. [Google Scholar] [CrossRef]
- Kobayashi, M.; Sakagami, K.; Tadokoro, H. Effects of Interlamellar Forces on Longitudinal Acoustic Modes of N-alkanes. J. Chem. Phys. 1983, 78, 6391–6398. [Google Scholar] [CrossRef]
- Tashiro, K.; Wu, G.; Kobayashi, M. Morphological Effect on the Raman Frequency Shift Induced by Tensile Stress Applied to Crystalline Polyoxymethylene and Polyethylene: Spectroscopic Support for the Idea of an Inhomogeneous Stress Distribution in Polymer Material. Polymer 1988, 29, 1768–1778. [Google Scholar] [CrossRef]
- Twisleton, J.F.; White, J.W.; Reynolds, P.A. Dynamical Studies of Fully Oriented Deuteropolyethylene by Inelastic Neturon Scattering. Polymer 1982, 23, 578–588. [Google Scholar] [CrossRef]
- Stuart, S.J.; Tutein, A.B.; Harrison, J.A. A Reactive Potential for Hydrocarbons with Intermolecular Interactions. J. Chem. Phys. 2000, 112, 6472–6486. [Google Scholar] [CrossRef]
- Zhang, Z.; Ouyang, Y.; Guo, Y.; Nakayama, T.; Nomura, M.; Volz, S.; Chen, J. Hydrodynamic Phonon Transport in Bulk Crystalline Polymers. Phys. Rev. B 2020, 102, 195302. [Google Scholar] [CrossRef]
- Wang, X.; Kaviany, M.; Huang, B. Phonon Coupling and Transport in Individual Polyethylene Chains: A Comparison Study with the Bulk Crystal. Nanoscale 2017, 9, 18022–18031. [Google Scholar] [CrossRef] [PubMed]
- Shulumba, N.; Hellman, O.; Minnich, A.J. Lattice Thermal Conductivity of Polyethylene Molecular Crystals from First-Principles Including Nuclear Quantum Effects. Phys. Rev. Lett. 2017, 119, 185901. [Google Scholar] [CrossRef] [PubMed]
- Chaput, L. Direct Solution to the Linearized Phonon Boltzmann Equation. Phys. Rev. Lett. 2013, 110, 265506. [Google Scholar] [CrossRef] [PubMed]
- Lindsay, L.; Broido, D.A.; Reinecke, T.L. Ab Initio Thermal Transport in Compound Semiconductors. Phys. Rev. B Condens. Matter Mater. Phys. 2013, 87, 165201. [Google Scholar] [CrossRef]
- Simoncelli, M.; Marzari, N.; Mauri, F. Unified Theory of Thermal Transport in Crystals and Glasses. Nat. Phys. 2019, 15, 809–813. [Google Scholar] [CrossRef]
- Davis, G.T.; Eby, R.K.; Colson, J.P. Thermal Expansion of Polyethylene Unit Cell: Effect of Lamella Thickness. J. Appl. Phys. 1970, 41, 4316–4326. [Google Scholar] [CrossRef]
- Kamencek, T.; Schrode, B.; Resel, R.; Ricco, R.; Zojer, E. Understanding the Origin of the Particularly Small and Anisotropic Thermal Expansion of MOF-74. Adv. Theory Simul. 2022, 5, 2200031. [Google Scholar] [CrossRef]
- Togo, A.; Chaput, L.; Tanaka, I. Distributions of Phonon Lifetimes in Brillouin Zones. Phys. Rev. B Condens. Matter Mater. Phys. 2015, 91, 094306. [Google Scholar] [CrossRef]
- Togo, A.; Chaput, L.; Tadano, T.; Tanaka, I. Implementation Strategies in Phonopy and Phono3py. J. Phys. Condens. Matter 2023, 35, 353001. [Google Scholar] [CrossRef]
- Bedoya-Martínez, N.; Schrode, B.; Jones, A.O.F.; Salzillo, T.; Ruzié, C.; Demitri, N.; Geerts, Y.H.; Venuti, E.; Della Valle, R.G.; Zojer, E.; et al. DFT-Assisted Polymorph Identification from Lattice Raman Fingerprinting. J. Phys. Chem. Lett. 2017, 8, 3690–3695. [Google Scholar] [CrossRef]
- George, J.; Wang, R.; Englert, U.; Dronskowski, R. Lattice Thermal Expansion and Anisotropic Displacements in Urea, Bromomalonic Aldehyde, Pentachloropyridine, and Naphthalene. J. Chem. Phys. 2017, 147, 074112. [Google Scholar] [CrossRef] [PubMed]
- VASP Manual ML_CX. Available online: https://www.vasp.at/wiki/index.php/ML_CX (accessed on 4 June 2024).
- Togo, A.; Tanaka, I. First Principles Phonon Calculations in Materials Science. Scr. Mater. 2015, 108, 1–5. [Google Scholar] [CrossRef]
- Togo, A. Phono3py Documentation. Available online: https://phonopy.github.io/phono3py/tips.html (accessed on 19 December 2023).
- Le Page, Y.; Saxe, P. Symmetry-General Least-Squares Extraction of Elastic Data for Strained Materials from Ab Initio Calculations of Stress. Phys. Rev. B Condens. Matter Mater. Phys. 2002, 65, 104104. [Google Scholar] [CrossRef]
- Baroni, S.; De Gironcoli, S.; Dal Corso, A.; Giannozzi, P. Phonons and Related Crystal Properties from Density-Functional Perturbation Theory. Rev. Mod. Phys. 2001, 73, 515. [Google Scholar] [CrossRef]
- Zhang, T.; Luo, T. Morphology-Influenced Thermal Conductivity of Polyethylene Single Chains and Crystalline Fibers. J. Appl. Phys. 2012, 112, 094304. [Google Scholar] [CrossRef]
- Sæther, S.; Falck, M.; Zhang, Z.; Lervik, A.; He, J. Thermal Transport in Polyethylene: The Effect of Force Fields and Crystallinity. Macromolecules 2021, 54, 6563–6574. [Google Scholar] [CrossRef]
- Blum, V.; Gehrke, R.; Hanke, F.; Havu, P.; Havu, V.; Ren, X.; Reuter, K.; Scheffler, M. Ab Initio Molecular Simulations with Numeric Atom-Centered Orbitals. Comput. Phys. Commun. 2009, 180, 2175–2196. [Google Scholar] [CrossRef]
- Hermann, J.; Tkatchenko, A. Density Functional Model for van Der Waals Interactions: Unifying Many-Body Atomic Approaches with Nonlocal Functionals. Phys. Rev. Lett. 2020, 124, 146401. [Google Scholar] [CrossRef]
- Samdal, S.; Samuelsen, E.J.; Volden, H.V. Molecular Conformation of 2,2′-Bithiophene Determined by Gas Phase Electron Diffraction and Ab Initio Calculations. Synth. Met. 1993, 59, 259–265. [Google Scholar] [CrossRef]
- Kuhn, H.W. The Hungarian Method for the Assignment Problem. Nav. Res. Logist. Q. 1955, 2, 83–97. [Google Scholar] [CrossRef]
- Stukowski, A. Visualization and Analysis of Atomistic Simulation Data with OVITO—The Open Visualization Tool. Model. Simul. Mater. Sci. Eng. 2009, 18, 015012. [Google Scholar] [CrossRef]
- Schaufele, R.F.; Shimanouchi, T. Longitudinal Acoustical Vibrations of Finite Polymethylene Chains. J. Chem. Phys. 1967, 47, 3605–3610. [Google Scholar] [CrossRef]
- Feldkamp, L.A.; Venkataraman, G.; King, J.S. Dispersion Relation for Skeletal Vibrations in Deuterated Polyethylene. In Proceedings of the IAEA Symposium on Neutron Inelastic Scattering, Copenhagen, Denmark, 20–25 May 1968. [Google Scholar]
- Brenner, D.W.; Shenderova, O.A.; Harrison, J.A.; Stuart, S.J.; Ni, B.; Sinnott, S.B. A Second-Generation Reactive Empirical Bond Order (REBO) Potential Energy Expression for Hydrocarbons. J. Phys. Condens. Matter 2002, 14, 783–802. [Google Scholar] [CrossRef]
- Case, D.A.; Cheatham, T.E.; Darden, T.; Gohlke, H.; Luo, R.; Merz, K.M.; Onufriev, A.; Simmerling, C.; Wang, B.; Woods, R.J. The Amber Biomolecular Simulation Programs. J. Comput. Chem. 2005, 26, 1668–1688. [Google Scholar] [CrossRef]
- Guo, Z.; Han, Z.; Feng, D.; Lin, G.; Ruan, X. Sampling-Accelerated Prediction of Phonon Scattering Rates for Converged Thermal Conductivity and Radiative Properties. NPJ Comput. Mater. 2024, 10, 31. [Google Scholar] [CrossRef]










| a [Å] | b [Å] | c [Å] | α [°] | |
| Polyethylene | ||||
| DFT | 7.074 | 4.853 | 2.554 | 90 |
| MTPphonon, “best” | 7.062 | 4.847 | 2.5543 | 90 |
| MTPphonon, mean | 7.060 ± 0.003 | 4.849 ± 0.002 | 2.5543 ± 0.0001 | 90 |
| MTPMD, “best” | 7.050 | 4.853 | 2.5541 | 90 |
| MTPMD, mean | 7.052 ± 0.013 | 4.849 ± 0.015 | 2.5542 ± 0.0002 | 90 |
| Experiment (4 K) [52] | 7.121 | 4.851 | 2.548 | 90 |
| Experiment (10 K) [53] | 7.120 | 4.842 | - | 90 |
| Experiment (10 K) [55] | 7.16 | 4.86 | 2.534 | 90 |
| Polythiophene | ||||
| DFT | 7.530 | 5.542 | 7.785 | 90 |
| MTPphonon, “best” | 7.467 | 5.508 | 7.782 | 90 |
| MTPphonon, mean | 7.472 ± 0.003 | 5.506 ± 0.002 | 7.782 ± 0.001 | 90 |
| MTPMD, “best” | 7.500 | 5.488 | 7.782 | 90 |
| MTPMD, mean | 7.449 ± 0.043 | 5.524 ± 0.027 | 7.781 ± 0.001 | 90 |
| Experiment 1 [54] | 7.80 | 5.55 | 8.03 | 90 |
| Experiment (RT) [41] | 7.79 | 5.53 | - | - |
| P3HT | ||||
| DFT | 7.575 | 14.731 | 7.816 | 88.75 |
| MTPphonon, “best” | 7.561 | 14.705 | 7.815 | 88.81 |
| MTPphonon, mean | 7.564 | 14.703 | 7.816 | 88.74 |
| MTPMD, “best” | 7.573 | 14.657 | 7.816 | 88.7 |
| MTPMD, mean | 7.569 ± 0.007 | 14.675 ± 0.021 | 7.816 ± 0.001 | 89.13 ±0.46 |
| PE [THz and (cm−1)] | PT [THz and (cm−1)] | P3HT [THz and (cm−1)] | |
| MTPphonon, “best” | 0.043 (1.43) | 0.029 (0.97) | 0.036 (1.20) |
| MTPphonon, median | 0.053 (1.77) | 0.032 (1.07) | - |
| MTPMD, “best” | 0.152 (5.07) | 0.080 (2.67) | 0.059 (1.97) |
| MTPMD, median | 0.163 (5.44) | 0.086 (2.87) | 0.089 (2.97) |
| κxx [Wm−1K−1] | κyy [Wm−1K−1] | κzz [Wm−1K−1] | |
| RTA | |||
| DFT | 0.54 | 0.46 | 306 |
| MTPphonon, “best” | 0.71 | 0.54 | 307 |
| MTPphonon, mean | 0.67 ± 0.09 | 0.53 ± 0.08 | 292 ± 33 |
| Full BTE | |||
| DFT | 0.52 | 0.47 | 398 |
| MTPphonon, “best” | 0.71 | 0.58 | 408 |
| MTPphonon, mean | 0.66 ± 0.09 | 0.58 ± 0.09 | 388 ± 40 |
Disclaimer/Publisher’s Note: The statements, opinions and data contained in all publications are solely those of the individual author(s) and contributor(s) and not of MDPI and/or the editor(s). MDPI and/or the editor(s) disclaim responsibility for any injury to people or property resulting from any ideas, methods, instructions or products referred to in the content. |
© 2024 by the authors. Licensee MDPI, Basel, Switzerland. This article is an open access article distributed under the terms and conditions of the Creative Commons Attribution (CC BY) license (https://creativecommons.org/licenses/by/4.0/).
Share and Cite
Reicht, L.; Legenstein, L.; Wieser, S.; Zojer, E. Designing Accurate Moment Tensor Potentials for Phonon-Related Properties of Crystalline Polymers. Molecules 2024, 29, 3724. https://doi.org/10.3390/molecules29163724
Reicht L, Legenstein L, Wieser S, Zojer E. Designing Accurate Moment Tensor Potentials for Phonon-Related Properties of Crystalline Polymers. Molecules. 2024; 29(16):3724. https://doi.org/10.3390/molecules29163724
Chicago/Turabian StyleReicht, Lukas, Lukas Legenstein, Sandro Wieser, and Egbert Zojer. 2024. "Designing Accurate Moment Tensor Potentials for Phonon-Related Properties of Crystalline Polymers" Molecules 29, no. 16: 3724. https://doi.org/10.3390/molecules29163724
APA StyleReicht, L., Legenstein, L., Wieser, S., & Zojer, E. (2024). Designing Accurate Moment Tensor Potentials for Phonon-Related Properties of Crystalline Polymers. Molecules, 29(16), 3724. https://doi.org/10.3390/molecules29163724

