Recent Development of Fluoroquinolone Derivatives as Anticancer Agents
Abstract
1. Introduction
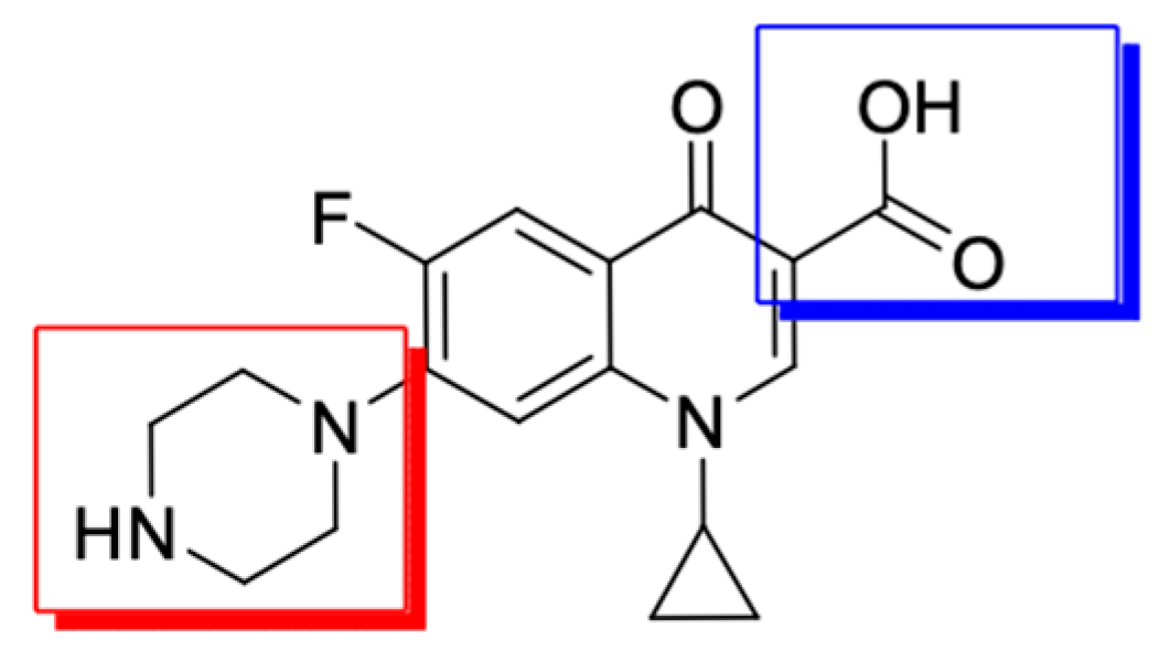
2. Structure of Fluoroquinolones and Their Antiproliferative Activity
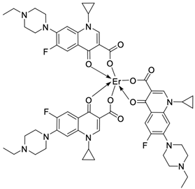
3. Complexes of Fluoroquinolones with Heavy Metals
| The Structure of the Complex | Cell Line or DNA/Activity | Ref. | |
|---|---|---|---|
| 6 | ![]() | MCF-7/17.3 µM MDA-MB-231/15.3 µM | [42] |
| 7 | ![]() | BF16-F10/27 µM | [43] |
| 8 | ![]() | BF16-F10/29 µM | [43] |
| 9 | ![]() | BF16-F10/45 µM | [43] |
| 10 | ![]() | K-562/13.12 µM | [44,45] |
| 11 | ![]() | K-562/19.99 µM | [45] |
| 12 | ![]() | A498/GI50 < 10 | [46] |
| 13 | ![]() | MCF-7/1.04 µM | [48] |
| 14 | ![]() | Ct DNA/Kb = 2.61 × 106 M−1 | [49] |
| 15 | ![]() | Ct DNA/Kb = 1.38 × 106 M−1 | [50] |
| 16 | ![]() | Ct DNA/Kb = 3.39 × 106 M−1 | [51] |
| 17 | ![]() | Ct DNA/Kb = 1.01 × 106 M−1 | [52] |
| 18 | ![]() | A549/8.3 µM CT26/7.3 µM | [53] |
| 19 | ![]() | A549/15.9 µM CT26/8.4 µM | [53] |
| 20 | ![]() | HL-60/induces apoptosis in 57.59% at concentration 100 µg × mL−1 | [54] |
| 21 | ![]() | BT20/12 µM | [55] |
| 22 | ![]() | Ct DNA/Kb = 4.24 × 106 M−1 | [56] |
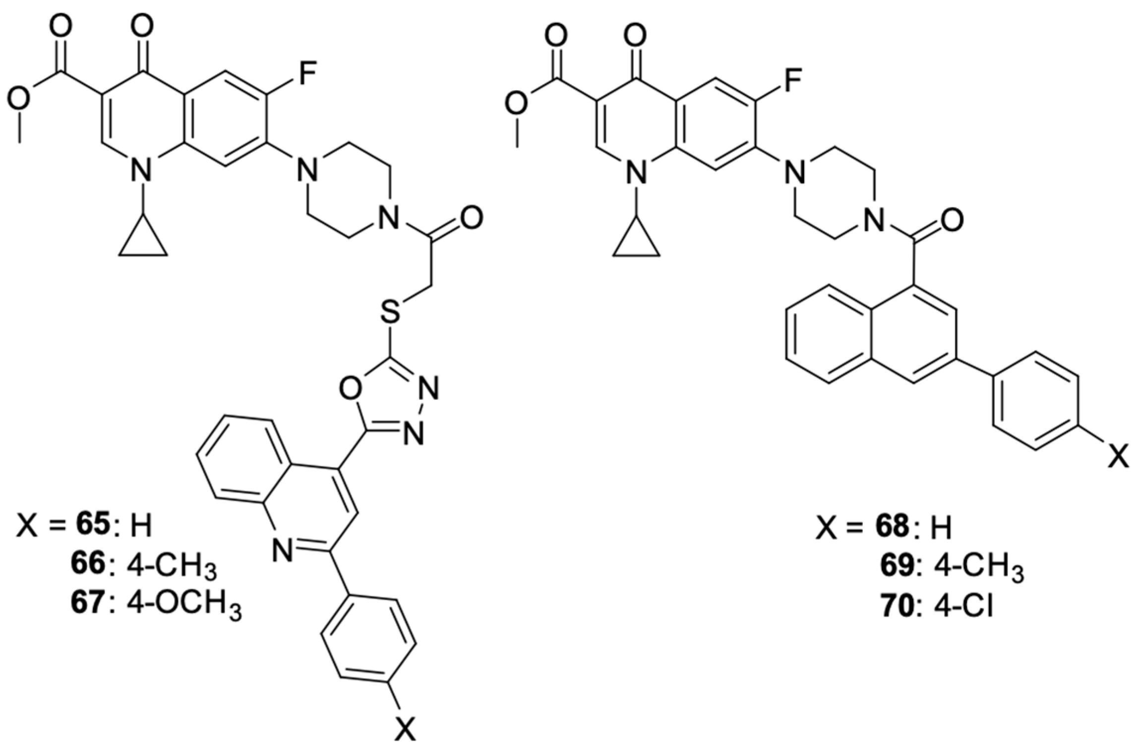
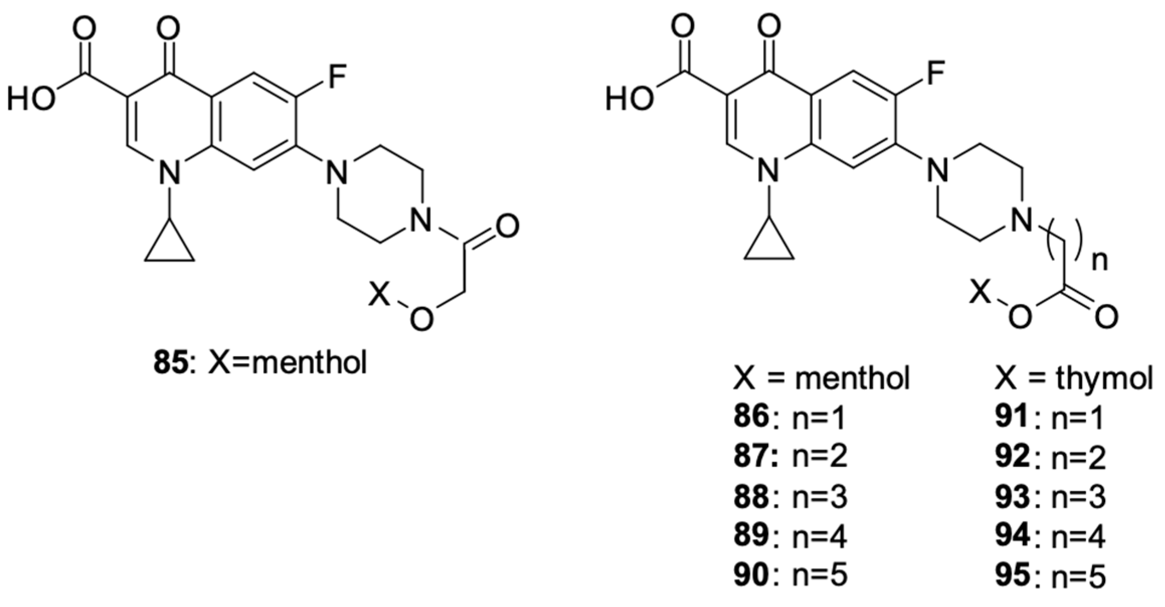
4. Fluoroquinolone Derivatives and Their Anticancer Properties
5. Molecular Docking
6. Methods
7. Conclusions and Future Directions
Author Contributions
Funding
Institutional Review Board Statement
Informed Consent Statement
Data Availability Statement
Acknowledgments
Conflicts of Interest
References
- Brown, J.S.; Amend, S.R.; Austin, R.H.; Gatenby, R.A.; Hammarlund, E.U.; Pienta, K.J. Updating the Definition of Cancer. Mol. Cancer Res. 2023, 21, 1142–1147. [Google Scholar] [CrossRef] [PubMed]
- Health at a Glance: Europe 2022. Available online: https://www.oecd.org/health/health-at-a-glance-europe (accessed on 11 June 2024).
- Global Burden of Disease 2019 Cancer Collaboration; Kocarnik, J.M.; Compton, K.; Dean, F.E.; Fu, W.; Gaw, B.L.; Harvey, J.D.; Henrikson, H.J.; Lu, D.; Pennini, A.; et al. Cancer Incidence, Mortality, Years of Life Lost, Years Lived With Disability, and Disability-Adjusted Life Years for 29 Cancer Groups from 2010 to 2019: A Systematic Analysis for the Global Burden of Disease Study 2019. JAMA Oncol. 2022, 8, 420–444. [Google Scholar] [CrossRef] [PubMed]
- Siegel, R.L.; Miller, K.D.; Fuchs, H.E.; Jemal, A. Cancer Statistics, 2022. CA A Cancer J. Clin. 2022, 72, 7–33. [Google Scholar] [CrossRef]
- Breast Cancer. Available online: https://www.who.int/news-room/fact-sheets/detail/breast-cancer (accessed on 11 June 2024).
- Zugazagoitia, J.; Guedes, C.; Ponce, S.; Ferrer, I.; Molina-Pinelo, S.; Paz-Ares, L. Current Challenges in Cancer Treatment. Clin. Ther. 2016, 38, 1551–1566. [Google Scholar] [CrossRef]
- Yadav, V.; Talwar, P. Repositioning of Fluoroquinolones from Antibiotic to Anti-Cancer Agents: An Underestimated Truth. Biomed. Pharmacother. 2019, 111, 934–946. [Google Scholar] [CrossRef]
- Bhatt, S.; Chatterjee, S. Fluoroquinolone Antibiotics: Occurrence, Mode of Action, Resistance, Environmental Detection, and Remediation—A Comprehensive Review. Environ. Pollut. 2022, 315, 120440. [Google Scholar] [CrossRef]
- Scroggs, S.L.P.; Offerdahl, D.K.; Flather, D.P.; Morris, C.N.; Kendall, B.L.; Broeckel, R.M.; Beare, P.A.; Bloom, M.E. Fluoroquinolone Antibiotics Exhibit Low Antiviral Activity against SARS-CoV-2 and MERS-CoV. Viruses 2020, 13, 8. [Google Scholar] [CrossRef] [PubMed]
- Yacouba, A.; Olowo-okere, A.; Yunusa, I. Repurposing of Antibiotics for Clinical Management of COVID-19: A Narrative Review. Ann. Clin. Microbiol. Antimicrob. 2021, 20, 37. [Google Scholar] [CrossRef]
- Pham, T.D.M.; Ziora, Z.M.; Blaskovich, M.A.T. Quinolone Antibiotics. Med. Chem. Commun. 2019, 10, 1719–1739. [Google Scholar] [CrossRef]
- Tang, K.; Zhao, H. Quinolone Antibiotics: Resistance and Therapy. Infect. Drug Resist. 2023, 16, 811–820. [Google Scholar] [CrossRef] [PubMed]
- Bisacchi, G.S. Origins of the Quinolone Class of Antibacterials: An Expanded “Discovery Story”. J. Med. Chem. 2015, 58, 4874–4882. [Google Scholar] [CrossRef]
- Asif, M. Antimicrobial and Anti-Tubercular Activity of Quinolone Analogues. Sci. Int. 2013, 1, 336–349. [Google Scholar] [CrossRef]
- Shimizu, M.; Takase, Y.; Nakamura, S.; Katae, H.; Minami, A. Pipemidic Acid, a New Antibacterial Agent Active against Pseudomonas Aeruginosa: In Vitro Properties. Antimicrob. Agents Chemother. 1975, 8, 132–138. [Google Scholar] [CrossRef]
- Shimizu, M.; Nakamura, S.; Takase, Y.; Kurobe, N. Pipemidic Acid: Absorption, Distribution, and Excretion. Antimicrob. Agents Chemother. 1975, 7, 441–446. [Google Scholar] [CrossRef] [PubMed]
- Blondeau, J.M. Fluoroquinolones: Mechanism of Action, Classification, and Development of Resistance. Surv. Ophthalmol. 2004, 49 (Suppl. S2), S73–S78. [Google Scholar] [CrossRef]
- Abdel-Aal, M.A.A.; Abdel-Aziz, S.A.; Shaykoon, M.S.A.; Abuo-Rahma, G.E.-D.A. Towards Anticancer Fluoroquinolones: A Review Article. Arch. Pharm. 2019, 352, e1800376. [Google Scholar] [CrossRef]
- McClendon, A.K.; Osheroff, N. DNA Topoisomerase II, Genotoxicity, and Cancer. Mutat. Res. 2007, 623, 83–97. [Google Scholar] [CrossRef]
- Kohlbrenner, W.E.; Wideburg, N.; Weigl, D.; Saldivar, A.; Chu, D.T. Induction of Calf Thymus Topoisomerase II-Mediated DNA Breakage by the Antibacterial Isothiazoloquinolones A-65281 and A-65282. Antimicrob. Agents Chemother. 1992, 36, 81–86. [Google Scholar] [CrossRef] [PubMed]
- Idowu, T.; Schweizer, F. Ubiquitous Nature of Fluoroquinolones: The Oscillation between Antibacterial and Anticancer Activities. Antibiotics 2017, 6, 26. [Google Scholar] [CrossRef]
- Beberok, A.; Wrześniok, D.; Minecka, A.; Rok, J.; Delijewski, M.; Rzepka, Z.; Respondek, M.; Buszman, E. Ciprofloxacin-Mediated Induction of S-Phase Cell Cycle Arrest and Apoptosis in COLO829 Melanoma Cells. Pharmacol. Rep. 2018, 70, 6–13. [Google Scholar] [CrossRef]
- Beberok, A.; Wrześniok, D.; Rok, J.; Rzepka, Z.; Respondek, M.; Buszman, E. Ciprofloxacin Triggers the Apoptosis of Human Triple-Negative Breast Cancer MDA-MB-231 Cells via the P53/Bax/Bcl-2 Signaling Pathway. Int. J. Oncol. 2018, 52, 1727–1737. [Google Scholar] [CrossRef] [PubMed]
- Beberok, A.; Rzepka, Z.; Respondek, M.; Rok, J.; Sierotowicz, D.; Wrześniok, D. GSH Depletion, Mitochondrial Membrane Breakdown, Caspase-3/7 Activation and DNA Fragmentation in U87MG Glioblastoma Cells: New Insight into the Mechanism of Cytotoxicity Induced by Fluoroquinolones. Eur. J. Pharmacol. 2018, 835, 94–107. [Google Scholar] [CrossRef] [PubMed]
- Jemel-Oualha, I.; Elloumi-Mseddi, J.; Beji, A.; Hakim, B.; Aifa, S. Controversial Effect on Erk Activation of Some Cytotoxic Drugs in Human LOVO Colon Cancer Cells. J. Recept. Signal Transduct. 2016, 36, 21–25. [Google Scholar] [CrossRef] [PubMed]
- Kloskowski, T.; Szeliski, K.; Fekner, Z.; Rasmus, M.; Dąbrowski, P.; Wolska, A.; Siedlecka, N.; Adamowicz, J.; Drewa, T.; Pokrywczyńska, M. Ciprofloxacin and Levofloxacin as Potential Drugs in Genitourinary Cancer Treatment-The Effect of Dose-Response on 2D and 3D Cell Cultures. Int. J. Mol. Sci. 2021, 22, 11970. [Google Scholar] [CrossRef] [PubMed]
- Fan, M.; Chen, S.; Weng, Y.; Li, X.; Jiang, Y.; Wang, X.; Bie, M.; An, L.; Zhang, M.; Chen, B.; et al. Ciprofloxacin Promotes Polarization of CD86+CD206- Macrophages to Suppress Liver Cancer. Oncol. Rep. 2020, 44, 91–102. [Google Scholar] [CrossRef] [PubMed]
- Kloskowski, T.; Gurtowska, N.; Olkowska, J.; Nowak, J.M.; Adamowicz, J.; Tworkiewicz, J.; Dębski, R.; Grzanka, A.; Drewa, T. Ciprofloxacin Is a Potential Topoisomerase II Inhibitor for the Treatment of NSCLC. Int. J. Oncol. 2012, 41, 1943–1949. [Google Scholar] [CrossRef] [PubMed]
- Mondal, E.R.; Das, S.K.; Mukherjee, P. Comparative Evaluation of Antiproliferative Activity and Induction of Apoptosis by Some Fluoroquinolones with a Human Non-Small Cell Lung Cancer Cell Line in Culture. Asian Pac. J. Cancer Prev. 2004, 5, 196–204. [Google Scholar] [PubMed]
- Beberok, A.; Wrześniok, D.; Szlachta, M.; Rok, J.; Rzepka, Z.; Respondek, M.; Buszman, E. Lomefloxacin Induces Oxidative Stress and Apoptosis in COLO829 Melanoma Cells. Int. J. Mol. Sci. 2017, 18, 2194. [Google Scholar] [CrossRef]
- Beberok, A.; Rzepka, Z.; Rok, J.; Banach, K.; Wrześniok, D. UVA Radiation Enhances Lomefloxacin-Mediated Cytotoxic, Growth-Inhibitory and Pro-Apoptotic Effect in Human Melanoma Cells through Excessive Reactive Oxygen Species Generation. Int. J. Mol. Sci. 2020, 21, 8937. [Google Scholar] [CrossRef]
- Perucca, P.; Savio, M.; Cazzalini, O.; Mocchi, R.; Maccario, C.; Sommatis, S.; Ferraro, D.; Pizzala, R.; Pretali, L.; Fasani, E.; et al. Structure-Activity Relationship and Role of Oxygen in the Potential Antitumour Activity of Fluoroquinolones in Human Epithelial Cancer Cells. J. Photochem. Photobiol. B Biol. 2014, 140, 57–68. [Google Scholar] [CrossRef]
- Nakai, S.; Imaizumi, T.; Watanabe, T.; Iwase, Y.; Nishi, K.; Okudaira, K.; Yumita, N. Photodynamically-Induced Apoptosis Due to Ultraviolet A in the Presence of Lomefloxacin in Human Promyelocytic Leukemia Cells. Anticancer Res. 2017, 37, 6407–6413. [Google Scholar] [CrossRef] [PubMed]
- He, X.; Yao, Q.; Hall, D.D.; Song, Z.; Fan, D.; You, Y.; Lian, W.; Zhou, Z.; Duan, L.; Chen, B. Levofloxacin Exerts Broad-Spectrum Anticancer Activity via Regulation of THBS1, LAPTM5, SRD5A3, MFAP5 and P4HA1. Anticancer Drugs 2022, 33, e235–e246. [Google Scholar] [CrossRef] [PubMed]
- Yu, M.; Li, R.; Zhang, J. Repositioning of Antibiotic Levofloxacin as a Mitochondrial Biogenesis Inhibitor to Target Breast Cancer. Biochem. Biophys. Res. Commun. 2016, 471, 639–645. [Google Scholar] [CrossRef] [PubMed]
- Yadav, V.; Sultana, S.; Yadav, J.; Saini, N. Gatifloxacin Induces S and G2-Phase Cell Cycle Arrest in Pancreatic Cancer Cells via P21/P27/P53. PLoS ONE 2012, 7, e47796. [Google Scholar] [CrossRef]
- Zhang, C.; Xu, C.; Gao, X.; Yao, Q. Platinum-Based Drugs for Cancer Therapy and Anti-Tumor Strategies. Theranostics 2022, 12, 2115–2132. [Google Scholar] [CrossRef]
- Romani, A.M.P. Cisplatin in Cancer Treatment. Biochem. Pharmacol. 2022, 206, 115323. [Google Scholar] [CrossRef]
- Rottenberg, S.; Disler, C.; Perego, P. The Rediscovery of Platinum-Based Cancer Therapy. Nat. Rev. Cancer 2021, 21, 37–50. [Google Scholar] [CrossRef]
- López-Gresa, M.P.; Ortiz, R.; Perelló, L.; Latorre, J.; Liu-González, M.; García-Granda, S.; Pérez-Priede, M.; Cantón, E. Interactions of Metal Ions with Two Quinolone Antimicrobial Agents (Cinoxacin and Ciprofloxacin): Spectroscopic and X-ray Structural Characterization. Antibacterial Studies. J. Inorg. Biochem. 2002, 92, 65–74. [Google Scholar] [CrossRef]
- Chohan, Z.H.; Supuran, C.T.; Scozzafava, A. Metal Binding and Antibacterial Activity of Ciprofloxacin Complexes. J. Enzym. Inhib. Med. Chem. 2005, 20, 303–307. [Google Scholar] [CrossRef]
- Azéma, J.; Guidetti, B.; Dewelle, J.; Le Calve, B.; Mijatovic, T.; Korolyov, A.; Vaysse, J.; Malet-Martino, M.; Martino, R.; Kiss, R. 7-((4-Substituted)Piperazin-1-Yl) Derivatives of Ciprofloxacin: Synthesis and in Vitro Biological Evaluation as Potential Antitumor Agents. Bioorg. Med. Chem. 2009, 17, 5396–5407. [Google Scholar] [CrossRef]
- Vieira, L.M.M.; de Almeida, M.V.; de Abreu, H.A.; Duarte, H.A.; Grazul, R.M.; Fontes, A.P.S. Platinum(II) Complexes with Fluoroquinolones: Synthesis and Characterization of Unusual Metal–Piperazine Chelates. Inorganica. Chimica. Acta 2009, 6, 2060–2064. [Google Scholar] [CrossRef]
- de Oliveira, L.P.; Carneiro, Z.A.; Ribeiro, C.M.; Lima, M.F.; Paixão, D.A.; Pivatto, M.; de Souza, M.V.N.; Teixeira, L.R.; Lopes, C.D.; de Albuquerque, S.; et al. Three New Platinum Complexes Containing Fluoroquinolones and DMSO: Cytotoxicity and Evaluation against Drug-Resistant Tuberculosis. Available online: https://www.americanelements.com/three-new-platinum-complexes-containing-fluoroquinolones-and-dmso-cytotoxicity-and-evaluation (accessed on 11 June 2024).
- Gouvea, L.R.; Garcia, L.S.; Lachter, D.R.; Nunes, P.R.; de Castro Pereira, F.; Silveira-Lacerda, E.P.; Louro, S.R.W.; Barbeira, P.J.S.; Teixeira, L.R. Atypical Fluoroquinolone Gold(III) Chelates as Potential Anticancer Agents: Relevance of DNA and Protein Interactions for Their Mechanism of Action. Eur. J. Med. Chem. 2012, 55, 67–73. [Google Scholar] [CrossRef]
- Kydonaki, T.E.; Tsoukas, E.; Mendes, F.; Hatzidimitriou, A.G.; Paulo, A.; Papadopoulou, L.C.; Papagiannopoulou, D.; Psomas, G. Synthesis, Characterization and Biological Evaluation of (99m)Tc/Re-Tricarbonyl Quinolone Complexes. J. Inorg. Biochem. 2016, 160, 94–105. [Google Scholar] [CrossRef]
- Pagoni, C.-C.; Xylouri, V.-S.; Kaiafas, G.C.; Lazou, M.; Bompola, G.; Tsoukas, E.; Papadopoulou, L.C.; Psomas, G.; Papagiannopoulou, D. Organometallic Rhenium Tricarbonyl-Enrofloxacin and -Levofloxacin Complexes: Synthesis, Albumin-Binding, DNA-Interaction and Cell Viability Studies. J. Biol. Inorg. Chem. 2019, 24, 609–619. [Google Scholar] [CrossRef]
- Komarnicka, U.K.; Starosta, R.; Kyzioł, A.; Płotek, M.; Puchalska, M.; Jeżowska-Bojczuk, M. New Copper(I) Complexes Bearing Lomefloxacin Motif: Spectroscopic Properties, in Vitro Cytotoxicity and Interactions with DNA and Human Serum Albumin. J. Inorg. Biochem. 2016, 165, 25–35. [Google Scholar] [CrossRef] [PubMed]
- Galani, A.; Efthimiadou, E.K.; Mitrikas, G.; Sanakis, Y.; Psycharis, V.; Raptopoulou, C.; Kordas, G.; Karaliota, A. Synthesis, Crystal Structure and Characterization of Three Novel Copper Complexes of Levofloxacin. Study of Their DNA Binding Properties and Biological Activities. Inorganica Chim. Acta 2014, 423, 207–218. [Google Scholar] [CrossRef]
- Xiao, Y.; Wang, Q.; Huang, Y.; Ma, X.; Xiong, X.; Li, H. Synthesis, Structure, and Biological Evaluation of a Copper(II) Complex with Fleroxacin and 1,10-Phenanthroline. Dalton Trans. 2016, 45, 10928–10935. [Google Scholar] [CrossRef] [PubMed]
- Tewes, F.; Bahamondez-Canas, T.F.; Smyth, H.D.C. Efficacy of Ciprofloxacin and Its Copper Complex against Pseudomonas Aeruginosa Biofilms. AAPS PharmSciTech 2019, 20, 205. [Google Scholar] [CrossRef]
- Tewes, F.; Bahamondez-Canas, T.F.; Moraga-Espinoza, D.; Smyth, H.D.C.; Watts, A.B. In Vivo Efficacy of a Dry Powder Formulation of Ciprofloxacin-Copper Complex in a Chronic Lung Infection Model of Bioluminescent Pseudomonas Aeruginosa. Eur. J. Pharm. Biopharm. 2020, 152, 210–217. [Google Scholar] [CrossRef]
- Gałczyńska, K.; Drulis-Kawa, Z.; Arabski, M. Antitumor Activity of Pt(II), Ru(III) and Cu(II) Complexes. Molecules 2020, 25, 3492. [Google Scholar] [CrossRef]
- Guo, R.-F.; Yan, H.-T.; Liu, R.-X.; Li, H.-C.; Liu, Y.-C.; Chen, Z.-F.; Liang, H. Structural Characterization and Pharmacological Assessment in Vitro/in Vivo of a New Copper(II)-Based Derivative of Enrofloxacin. Metallomics 2020, 12, 2145–2160. [Google Scholar] [CrossRef] [PubMed]
- Mubarak, A.; Abu Ali, H.; Metani, M. Two Novel Cu (II) Levofloxacin Complexes with Different Bioactive Nitrogen-Based Ligands; Single-Crystal X-Ray and Various Biological Activities Determinations. Appl. Organomet. Chem. 2021, 35, e6428. [Google Scholar] [CrossRef]
- Bashir, M.; Yousuf, I. Synthesis, Structural Characterization and in Vitro Cytotoxic Evaluation of Mixed Cu(II)/Co(II) Levofloxacin–Bipyridyl Complexes. Inorganica Chim. Acta 2022, 532, 120757. [Google Scholar] [CrossRef]
- Bykowska, A.; Komarnicka, U.K.; Jeżowska-Bojczuk, M.; Kyzioł, A. CuI and CuII Complexes with Phosphine Derivatives of Fluoroquinolone Antibiotics—A Comparative Study on the Cytotoxic Mode of Action. J. Inorg. Biochem. 2018, 181, 1–10. [Google Scholar] [CrossRef] [PubMed]
- Guz-Regner, K.; Komarnicka, U.K.; Futoma-Kołoch, B.; Wernecki, M.; Cal, M.; Kozieł, S.; Ziółkowska, A.; Bugla-Płoskońska, G. Antibacterial Activity and Action Mode of Cu(I) and Cu(II) Complexes with Phosphines Derived from Fluoroquinolone against Clinical and Multidrug-Resistant Bacterial Strains. J. Inorg. Biochem. 2020, 210, 111124. [Google Scholar] [CrossRef] [PubMed]
- Mjos, K.D.; Polishchuk, E.; Abrams, M.J.; Orvig, C. Synthesis, Characterization, and Evaluation of the Antimicrobial Potential of Copper(II) Coordination Complexes with Quinolone and p-Xylenyl-Linked Quinolone Ligands. J. Inorg. Biochem. 2016, 162, 280–285. [Google Scholar] [CrossRef] [PubMed]
- Bhatt, B.S.; Gandhi, D.H.; Vaidya, F.U.; Pathak, C.; Patel, T.N. Cell Apoptosis Induced by Ciprofloxacin Based Cu(II) Complexes: Cytotoxicity, SOD Mimic and Antibacterial Studies. J. Biomol. Struct. Dyn. 2021, 39, 4555–4562. [Google Scholar] [CrossRef] [PubMed]
- Ude, Z.; Flothkötter, N.; Sheehan, G.; Brennan, M.; Kavanagh, K.; Marmion, C.J. Multi-Targeted Metallo-Ciprofloxacin Derivatives Rationally Designed and Developed to Overcome Antimicrobial Resistance. Int. J. Antimicrob. Agents 2021, 58, 106449. [Google Scholar] [CrossRef]
- Liu, Q.-Y.; Qi, Y.-Y.; Cai, D.-H.; Liu, Y.-J.; He, L.; Le, X.-Y. Sparfloxacin—Cu(II)—Aromatic Heterocyclic Complexes: Synthesis, Characterization and in Vitro Anticancer Evaluation. Dalton Trans. 2022, 51, 9878–9887. [Google Scholar] [CrossRef]
- Ahmadi, F.; Ebrahimi-Dishabi, N.; Mansouri, K.; Salimi, F. Molecular Aspect on the Interaction of Zinc-Ofloxacin Complex with Deoxyribonucleic Acid, Proposed Model for Binding and Cytotoxicity Evaluation. Res. Pharm. Sci. 2014, 9, 367–383. [Google Scholar]
- Ahmadi, F.; Saberkari, M.; Abiri, R.; Motlagh, H.M.; Saberkari, H. In Vitro Evaluation of Zn-Norfloxacin Complex as a Potent Cytotoxic and Antibacterial Agent, Proposed Model for DNA Binding. Appl. Biochem. Biotechnol. 2013, 170, 988–1009. [Google Scholar] [CrossRef] [PubMed]
- Shahabadi, N.; Asadian, A.A.; Mahdavi, M. Intercalation of a Zn(II) Complex Containing Ciprofloxacin Drug between DNA Base Pairs. Nucleosides Nucleotides Nucleic Acids 2017, 36, 676–689. [Google Scholar] [CrossRef] [PubMed]
- Sakr, S.H.; Elshafie, H.S.; Camele, I.; Sadeek, S.A. Synthesis, Spectroscopic, and Biological Studies of Mixed Ligand Complexes of Gemifloxacin and Glycine with Zn(II), Sn(II), and Ce(III). Molecules 2018, 23, 1182. [Google Scholar] [CrossRef]
- Elshafie, H.S.; Sakr, S.H.; Sadeek, S.A.; Camele, I. Biological Investigations and Spectroscopic Studies of New Moxifloxacin/Glycine-Metal Complexes. Chem. Biodivers. 2019, 16, e1800633. [Google Scholar] [CrossRef] [PubMed]
- Psomas, G.; Kessissoglou, D.P. Quinolones and Non-Steroidal Anti-Inflammatory Drugs Interacting with Copper(II), Nickel(II), Cobalt(II) and Zinc(II): Structural Features, Biological Evaluation and Perspectives. Dalton Trans. 2013, 42, 6252–6276. [Google Scholar] [CrossRef] [PubMed]
- Protogeraki, C.; Andreadou, E.G.; Perdih, F.; Turel, I.; Pantazaki, A.A.; Psomas, G. Cobalt(II) Complexes with the Antimicrobial Drug Enrofloxacin: Structure, Antimicrobial Activity, DNA- and Albumin-Binding. Eur. J. Med. Chem. 2014, 86, 189–201. [Google Scholar] [CrossRef] [PubMed]
- Kouris, E.; Kalogiannis, S.; Perdih, F.; Turel, I.; Psomas, G. Cobalt(II) Complexes of Sparfloxacin: Characterization, Structure, Antimicrobial Activity and Interaction with DNA and Albumins. J. Inorg. Biochem. 2016, 163, 18–27. [Google Scholar] [CrossRef] [PubMed]
- Kozsup, M.; Farkas, E.; Bényei, A.C.; Kasparkova, J.; Crlikova, H.; Brabec, V.; Buglyó, P. Synthesis, Characterization and Biological Evaluation of Co(III) Complexes with Quinolone Drugs. J. Inorg. Biochem. 2019, 193, 94–105. [Google Scholar] [CrossRef]
- Singh, B.; Kisku, T.; Das, S.; Mukherjee, S.; Kundu, A.; Rath, J.; Das, R.S. Refashioning of the Drug-Properties of Fluoroquinolone through the Synthesis of a Levofloxacin-Imidazole Cobalt (II) Complex and Its Interaction Studies on with DNA and BSA Biopolymers, Antimicrobial and Cytotoxic Studies on Breast Cancer Cell Lines. Int. J. Biol. Macromol. 2023, 253, 127636. [Google Scholar] [CrossRef]
- Zampakou, M.; Balala, S.; Perdih, F.; Kalogiannis, S.; Turel, I.; Psomas, G. Structure, Antimicrobial Activity, Albumin- and DNA-Binding of Manganese(II)–Sparfloxacinato Complexes. RSC Adv. 2015, 5, 11861–11872. [Google Scholar] [CrossRef]
- Di Virgilio, A.L.; León, I.E.; Franca, C.A.; Henao, I.; Tobón, G.; Etcheverry, S.B. Cu(Nor)2·5H2O, a Complex of Cu(II) with Norfloxacin: Theoretic Approach and Biological Studies. Cytotoxicity and Genotoxicity in Cell Cultures. Mol. Cell Biochem. 2013, 376, 53–61. [Google Scholar] [CrossRef] [PubMed]
- Katsarou, M.E.; Efthimiadou, E.K.; Psomas, G.; Karaliota, A.; Vourloumis, D. Novel Copper(II) Complex of N-Propyl-Norfloxacin and 1,10-Phenanthroline with Enhanced Antileukemic and DNA Nuclease Activities. J. Med. Chem. 2008, 51, 470–478. [Google Scholar] [CrossRef] [PubMed]
- Shingnapurkar, D.; Butcher, R.; Afrasiabi, Z.; Sinn, E.; Ahmed, F.; Sarkar, F.; Padhye, S. Neutral Dimeric Copper–Sparfloxacin Conjugate Having Butterfly Motif with Antiproliferative Effects against Hormone Independent BT20 Breast Cancer Cell Line. Inorg. Chem. Commun. 2007, 10, 459–462. [Google Scholar] [CrossRef]
- He, X.; Yao, Q.; Hall, D.D.; Song, Z.; Fan, D.; You, Y.; Lian, W.; Zhou, Z.; Duan, L.; Chen, B. Theoretical, in Vitro Antiproliferative, and in Silico Molecular Docking and Pharmacokinetics Studies of Heteroleptic Nickel(II) and Copper(II) Complexes of Thiosemicarbazone-Based Ligands and Pefloxacin. Chem. Biodivers. 2023, 20, e202300702. Available online: https://onlinelibrary.wiley.com/doi/full/10.1002/cbdv.202300702 (accessed on 11 June 2024).
- Gandhi, D.H.; Vaidya, F.U.; Pathak, C.; Patel, T.N.; Bhatt, B.S. Mechanistic Insight of Cell Anti-Proliferative Activity of Fluoroquinolone Drug-Based Cu(II) Complexes. Mol. Divers. 2022, 26, 869–878. [Google Scholar] [CrossRef] [PubMed]
- Teo, R.D.; Termini, J.; Gray, H.B. Lanthanides: Applications in Cancer Diagnosis and Therapy. J. Med. Chem. 2016, 59, 6012–6024. [Google Scholar] [CrossRef]
- Nghia, N.N.; Huy, B.T.; Phong, P.T.; Han, J.S.; Kwon, D.H.; Lee, Y.-I. Simple Fluorescence Optosensing Probe for Spermine Based on Ciprofloxacin-Tb3+ Complexation. PLoS ONE 2021, 16, e0251306. [Google Scholar] [CrossRef]
- Li, J.-B.; Yang, P.; Gao, F.; Han, G.-Y.; Yu, K.-B. Novel Lanthanide Complexes of Ciprofloxacin: Synthesis, Characterization, Crystal Structure and in Vitro Antibacterial Activity Studies. Chin. J. Chem. 2001, 19, 598–605. [Google Scholar] [CrossRef]
- Shaban, S.Y.; El-Kemary, M.A.; Samir, G.; Elbaradei, H. Synthesis, Characterization, Antibacterial Activities Testing and the Interaction of DNA with Ciprofloxacin and Its La(III)-Based Complex. J. Chin. Adv. Mater. Soc. 2018, 6, 123–133. [Google Scholar] [CrossRef]
- Wang, Y.-J.; Hu, R.-D.; Jiang, D.-H.; Zhang, P.-H.; Lin, Q.-Y.; Wang, Y.-Y. Synthesis, Crystal Structure, Interaction with BSA and Antibacterial Activity of La(III) and Sm(III) Complexes with Enrofloxacin. J. Fluoresc. 2011, 21, 813–823. [Google Scholar] [CrossRef]
- Sadeek, S.A.; Abd El-Hamid, S.M.; El-Aasser, M.M. Synthesis, Characterization, Antimicrobial and Cytotoxicity Studies of Some Transition Metal Complexes with Gemifloxacin. Monatsh. Chem. 2015, 146, 1967–1982. [Google Scholar] [CrossRef]
- Sadeek, S.; El-Shwiniy, W. Preparation, Structural Characterization and Biological Studies of Some New Levofloxacin Metal Complexes. J. Iran. Chem. Soc. 2017, 14, 1711–1723. [Google Scholar] [CrossRef]
- Refat, M.; El-Hawary, W.; Mohamed, M. Study of the chemical chelates and anti-microbial effect of some metal ions in nanostructural form on the efficiency of antibiotic therapy “norfloxacin drug”. J. Mol. Struct. 2012, 1013, 45–54. [Google Scholar] [CrossRef]
- el-Gamel, N.E.A.; Zayed, M.A. Synthesis, Structural Characterization and Antimicrobial Activity Evaluation of Metal Complexes of Sparfloxacin. Spectrochim. Acta Part A Mol. Biomol. Spectrosc. 2011, 82, 414–423. [Google Scholar] [CrossRef] [PubMed]
- Arnaouti, E.; Georgiadou, C.; Hatizdimitriou, A.G.; Kalogiannis, S.; Psomas, G. Erbium(III) Complexes with Fluoroquinolones: Structure and Biological Properties. J. Inorg. Biochem. 2024, 255, 112525. [Google Scholar] [CrossRef] [PubMed]
- Castro, W.; Navarro, M.; Biot, C. Medicinal Potential of Ciprofloxacin and Its Derivatives. Future Med. Chem. 2013, 5, 81–96. [Google Scholar] [CrossRef] [PubMed]
- Cardoso-Ortiz, J.; Leyva-Ramos, S.; Baines, K.M.; Gómez-Durán, C.F.A.; Hernández-López, H.; Palacios-Can, F.J.; Valcarcel-Gamiño, J.A.; Leyva-Peralta, M.A.; Razo-Hernández, R.S. Novel Ciprofloxacin and Norfloxacin-Tetrazole Hybrids as Potential Antibacterial and Antiviral Agents: Targeting, S. Aureus Topoisomerase and SARS-CoV-2-MPro. J. Mol. Struct. 2023, 1274, 134507. [Google Scholar] [CrossRef]
- Alaaeldin, R.; Mustafa, M.; Abuo-Rahma, G.E.-D.A.; Fathy, M. In Vitro Inhibition and Molecular Docking of a New Ciprofloxacin-Chalcone against SARS-CoV-2 Main Protease. Fundam. Clin. Pharmacol. 2022, 36, 160–170. [Google Scholar] [CrossRef]
- Ahadi, H.; Emami, S. Modification of 7-Piperazinylquinolone Antibacterials to Promising Anticancer Lead Compounds: Synthesis and in Vitro Studies. Eur. J. Med. Chem. 2020, 187, 111970. [Google Scholar] [CrossRef]
- Chrzanowska, A.; Roszkowski, P.; Bielenica, A.; Olejarz, W.; Stępień, K.; Struga, M. Anticancer and Antimicrobial Effects of Novel Ciprofloxacin Fatty Acids Conjugates. Eur. J. Med. Chem. 2020, 185, 111810. [Google Scholar] [CrossRef]
- Akhtar, R.; Noreen, R.; Raza, Z.; Rasul, A.; Zahoor, A.F. Synthesis, Anticancer Evaluation, and In Silico Modeling Study of Some N-Acylated Ciprofloxacin Derivatives. Russ. J. Org. Chem. 2022, 58, 541–548. [Google Scholar] [CrossRef]
- Ahadi, H.; Shokrzadeh, M.; Hosseini-Khah, Z.; Ghassemi barghi, N.; Ghasemian, M.; Emadi, E.; Zargari, M.; Razzaghi-Asl, N.; Emami, S. Synthesis and Biological Assessment of Ciprofloxacin-Derived 1,3,4-Thiadiazoles as Anticancer Agents. Bioorganic Chem. 2020, 105, 104383. [Google Scholar] [CrossRef] [PubMed]
- Kassab, A.E.; Gedawy, E.M. Novel Ciprofloxacin Hybrids Using Biology Oriented Drug Synthesis (BIODS) Approach: Anticancer Activity, Effects on Cell Cycle Profile, Caspase-3 Mediated Apoptosis, Topoisomerase II Inhibition, and Antibacterial Activity. Eur. J. Med. Chem. 2018, 150, 403–418. [Google Scholar] [CrossRef] [PubMed]
- Ezelarab, H.A.A.; Hassan, H.A.; Abuo-Rahma, G.E.-D.A.; Abbas, S.H. Design, Synthesis, and Biological Investigation of Quinoline/Ciprofloxacin Hybrids as Antimicrobial and Anti-Proliferative Agents. J. Iran. Chem. Soc. 2023, 20, 683–700. [Google Scholar] [CrossRef]
- Fallica, A.N.; Barbaraci, C.; Amata, E.; Pasquinucci, L.; Turnaturi, R.; Dichiara, M.; Intagliata, S.; Gariboldi, M.B.; Marras, E.; Orlandi, V.T.; et al. Nitric Oxide Photo-Donor Hybrids of Ciprofloxacin and Norfloxacin: A Shift in Activity from Antimicrobial to Anticancer Agents. J. Med. Chem. 2021, 64, 11597–11613. [Google Scholar] [CrossRef] [PubMed]
- Hhh, M.; Sh, A.; Am, H.; Gea, A.-R.; Ya, M. Novel Urea Linked Ciprofloxacin-Chalcone Hybrids Having Antiproliferative Topoisomerases I/II Inhibitory Activities and Caspases-Mediated Apoptosis. Bioorganic Chem. 2021, 106. [Google Scholar] [CrossRef]
- Szostek, T.; Szulczyk, D.; Szymańska-Majchrzak, J.; Koliński, M.; Kmiecik, S.; Otto-Ślusarczyk, D.; Zawodnik, A.; Rajkowska, E.; Chaniewicz, K.; Struga, M.; et al. Design and Synthesis of Menthol and Thymol Derived Ciprofloxacin: Influence of Structural Modifications on the Antibacterial Activity and Anticancer Properties. Int. J. Mol. Sci. 2022, 23, 6600. [Google Scholar] [CrossRef]
- Ming, T.; Lei, J.; Peng, Y.; Wang, M.; Liang, Y.; Tang, S.; Tao, Q.; Wang, M.; Tang, X.; He, Z.; et al. Curcumin Suppresses Colorectal Cancer by Induction of Ferroptosis via Regulation of P53 and Solute Carrier Family 7 Member 11/Glutathione/Glutathione Peroxidase 4 Signaling Axis. Phytother. Res. 2024. Available online: https://onlinelibrary.wiley.com/doi/abs/10.1002/ptr.8258 (accessed on 18 June 2024). [CrossRef]
- Li, J.; Feng, S.; Wang, X.; Zhang, B.; He, Q. Exploring the Targets and Molecular Mechanisms of Curcumin for the Treatment of Bladder Cancer Based on Network Pharmacology, Molecular Docking and Molecular Dynamics. Mol. Biotechnol. 2024. [Google Scholar] [CrossRef]
- Mokbel, K.; Mokbel, K. Harnessing Micronutrient Power: Vitamins, Antioxidants and Probiotics in Breast Cancer Prevention. Anticancer Res. 2024, 44, 2287–2295. [Google Scholar] [CrossRef]
- Schiavoni, V.; Emanuelli, M.; Sartini, D.; Salvolini, E.; Pozzi, V.; Campagna, R. Curcumin and Its Analogues in Oral Squamous Cell Carcinoma: State-of-the-Art and Therapeutic Potential. Anti-Cancer Agents Med. Chem. 2024, 24, 1–18. [Google Scholar] [CrossRef] [PubMed]
- Karimzadeh, M.R.; Masoudi Chelegahi, A.; Shahbazi, S.; Reiisi, S. Co-Treatment of Silymarin and Cisplatin Inhibited Cell Proliferation, Induced Apoptosis in Ovarian Cancer. Mol. Biol. Rep. 2024, 51, 118. [Google Scholar] [CrossRef] [PubMed]
- Fu, W.; Liu, L.; Tong, S. Berberine Inhibits the Progression of Breast Cancer by Regulating METTL3-Mediated m6A Modification of FGF7 mRNA. Thorac. Cancer 2024, 15, 1357–1368. [Google Scholar] [CrossRef] [PubMed]
- Ruan, L.; Jiao, J.; Cheng, C.; Zhang, Y.; Cao, Z.; He, B.; Chen, Z. Berberine Chloride Suppresses Pancreatic Adenocarcinoma Proliferation and Growth by Targeting Inflammation-Related Genes: An in Silico Analysis with in Vitro and Vivo Validation. Cancer Chemother. Pharmacol. 2024, 1–13. [Google Scholar] [CrossRef] [PubMed]
- Khaled, A.M.; Othman, M.S.; Obeidat, S.T.; Aleid, G.M.; Aboelnaga, S.M.; Fehaid, A.; Hathout, H.M.R.; Bakkar, A.A.; Moneim, A.E.A.; El-Garawani, I.M.; et al. Green-Synthesized Silver and Selenium Nanoparticles Using Berberine: A Comparative Assessment of In Vitro Anticancer Potential on Human Hepatocellular Carcinoma Cell Line (HepG2). Cells 2024, 13, 287. [Google Scholar] [CrossRef] [PubMed]
- Milata, V.; Svedova, A.; Barbierikova, Z.; Holubkova, E.; Cipakova, I.; Cholujova, D.; Jakubikova, J.; Panik, M.; Jantova, S.; Brezova, V.; et al. Synthesis and Anticancer Activity of Novel 9-O-Substituted Berberine Derivatives. Int. J. Mol. Sci. 2019, 20, 2169. [Google Scholar] [CrossRef] [PubMed]
- Alaaeldin, R.; Abdel-Rahman, I.M.; Ali, F.E.M.; Bekhit, A.A.; Elhamadany, E.Y.; Zhao, Q.-L.; Cui, Z.-G.; Fathy, M. Dual Topoisomerase I/II Inhibition-Induced Apoptosis and Necro-Apoptosis in Cancer Cells by a Novel Ciprofloxacin Derivative via RIPK1/RIPK3/MLKL Activation. Molecules 2022, 27, 7993. [Google Scholar] [CrossRef] [PubMed]
- Fawzy, M.A.; Abu-baih, R.H.; Abuo-Rahma, G.E.-D.A.; Abdel-Rahman, I.M.; El-Sheikh, A.A.K.; Nazmy, M.H. In Vitro Anticancer Activity of Novel Ciprofloxacin Mannich Base in Lung Adenocarcinoma and High-Grade Serous Ovarian Cancer Cell Lines via Attenuating MAPK Signaling Pathway. Molecules 2023, 28, 1137. [Google Scholar] [CrossRef] [PubMed]
- Struga, M.; Roszkowski, P.; Bielenica, A.; Otto-Ślusarczyk, D.; Stępień, K.; Stefańska, J.; Zabost, A.; Augustynowicz-Kopeć, E.; Koliński, M.; Kmiecik, S.; et al. N-Acylated Ciprofloxacin Derivatives: Synthesis and In Vitro Biological Evaluation as Antibacterial and Anticancer Agents. ACS Omega 2023, 8, 18663–18684. [Google Scholar] [CrossRef]
- Xi, X.-X.; Hei, Y.-Y.; Guo, Y.; Zhao, H.-Y.; Xin, M.; Lu, S.; Jiang, C.; Zhang, S.-Q. Identification of Benzamides Derivatives of Norfloxacin as Promising microRNA-21 Inhibitors via Repressing Its Transcription. Bioorg. Med. Chem. 2022, 66, 116803. [Google Scholar] [CrossRef]
- Hei, Y.-Y.; Wang, S.; Xi, X.-X.; Wang, H.-P.; Guo, Y.; Xin, M.; Jiang, C.; Lu, S.; Zhang, S.-Q. Design, Synthesis, and Evaluation of Fluoroquinolone Derivatives as microRNA-21 Small-Molecule Inhibitors. J. Pharm. Anal. 2022, 12, 653–663. [Google Scholar] [CrossRef] [PubMed]
- Wang, X.; Jiang, X.; Sun, S.; Liu, Y. Synthesis and Biological Evaluation of Novel Quinolone Derivatives Dual Targeting Histone Deacetylase and Tubulin Polymerization as Antiproliferative Agents. RSC Adv. 2018, 8, 16494–16502. [Google Scholar] [CrossRef] [PubMed]
- Beberok, A.; Rok, J.; Rzepka, Z.; Marciniec, K.; Boryczka, S.; Wrześniok, D. The Role of MITF and Mcl-1 Proteins in the Antiproliferative and Proapoptotic Effect of Ciprofloxacin in Amelanotic Melanoma Cells: In Silico and in Vitro Study. Toxicol. Vitr. 2020, 66, 104884. [Google Scholar] [CrossRef] [PubMed]
- Suresh, N.; Suresh, A.; Yerramsetty, S.; Bhadra, M.P.; Alvala, M.; Sekhar, K.V.G.C. Anti-Proliferative Activity, Molecular Modeling Studies and Interaction with Calf Thymus DNA of Novel Ciprofloxacin Analogues. J. Chem. Sci. 2018, 130, 121. [Google Scholar] [CrossRef]
- Allaka, T.R.; Katari, N.K.; Veeramreddy, V.; Anireddy, J.S. Molecular Modeling Studies of Novel Fluoroquinolone Molecules. Curr. Drug Discov. Technol. 2018, 15, 109–122. [Google Scholar] [CrossRef]


















| Comp. No. | Name and Structure of Fluoroquinolone | Cell Line/Activity | Mechanism of Anticancer Activity | Ref. |
|---|---|---|---|---|
| 1 | Ciprofloxacin![]() | COLO829 melanoma cells/100 µM | Cell cycle arrests in S phase, induction of mitochondrial membrane breakdown leading to apoptosis | [22] |
| MDA-MB-231 breast cancer cells/14 µM | Cell cycle arrests in S phase, induction of apoptosis | [23] | ||
| U87MG glioma cells/0.5 µM | Cell cycle arrests in S and sub-G1 phase, DNA fragmentation, and induction of apoptosis | [24] | ||
| LOVO colon cancer cells/110 µM | Induction of apoptosis | [25] | ||
| T24 bladder cancer cells/238 µM | Cell cycle arrests in S phase, induction of apoptosis | [26] | ||
| Huh7/29.4 µM, HepG2/2.9 µM liver cancer cells | Increased expression of CD86+CD206- macrophages leading to inhibition of cell growth | [27] | ||
| Lung cancer cells A549 | Cell cycle arrests in G2/M phase | [28] | ||
| 2 | Norfloxacin![]() | NCI-H460 lung cancer cells/43.5% of inhibition at 200 µM | Antiproliferative effect, generation of apoptosis | [29] |
| B16-F10 (mouse melanoma)/<55 µM | Cell cycle arrests in S phase, induction of apoptosis | [26] | ||
| A20 (mouse lymphoma)/<55 µM | Cell cycle arrests in S phase, induction of apoptosis | |||
| 3 | Lomefloxacin![]() | COLO829 melanoma cells/250 µM | Cell cycle arrests in S and G2/M phases, induction of mitochondrial membrane breakdown leading to apoptosis and enhancement of the antiproliferative effect when the drug is exposed to UVA radiation | [30,31] |
| HeLa S3 epithelial cancer cells, A431/45.5% of inhibition at 100 µM | Antiproliferative effect, generation of photocleavage of plasmid DNA associated with high photoreactivity of the compound | [32] | ||
| HL-60 leukaemia cells/11% of inhibition at 100 µM | Induction of apoptosis in combination with UVA radiation | [33] | ||
| 4 | Levofloxacin![]() | HepG2 hepatocellular carcinoma/60% of inhibition at 250 µM | Cell cycle arrests in G2/M phase and induction of apoptosis | [34] |
| MCF-7/58% of inhibition at 5 µM, MDA-MB-231/45% of inhibition at 5 µM, SkBr-2 breast cancer cells/60% of inhibition at 5 µM | Inhibition of cell proliferation, induction of apoptosis | [35] | ||
| 5 | Gatifloxacin![]() | Pancreatic cancer cells MIA PaCa-2/73% of inhibition at 250 µM and Panc-1 pancreatic cancer cells/72% of inhibition at 250 µM | Cell cycle arrests in phases S and G2 without induction of apoptosis | [36] |
| Compound | IC50 [μM] | ||
|---|---|---|---|
| MCF-7 | A549 | SKOV-3 | |
| 39 | 3.84 | 10.24 | 9.66 |
| 40 | 3.58 | 9.97 | 7.17 |
| 41 | 3.90 | 6.49 | 8.50 |
| 42 | 3.31 | 8.52 | 7.60 |
| 43 | 3.26 | 10.53 | 5.08 |
| 44 | 5.71 | 14.80 | 4.14 |
| 45 | 3.34 | 9.69 | 5.43 |
| 46 | 9.48 | 6.95 | 3.58 |
| 47 | 7.71 | 5.50 | 10.57 |
| 48 | 15.79 | 23.51 | 16.58 |
Disclaimer/Publisher’s Note: The statements, opinions and data contained in all publications are solely those of the individual author(s) and contributor(s) and not of MDPI and/or the editor(s). MDPI and/or the editor(s) disclaim responsibility for any injury to people or property resulting from any ideas, methods, instructions or products referred to in the content. |
© 2024 by the authors. Licensee MDPI, Basel, Switzerland. This article is an open access article distributed under the terms and conditions of the Creative Commons Attribution (CC BY) license (https://creativecommons.org/licenses/by/4.0/).
Share and Cite
Nowakowska, J.; Radomska, D.; Czarnomysy, R.; Marciniec, K. Recent Development of Fluoroquinolone Derivatives as Anticancer Agents. Molecules 2024, 29, 3538. https://doi.org/10.3390/molecules29153538
Nowakowska J, Radomska D, Czarnomysy R, Marciniec K. Recent Development of Fluoroquinolone Derivatives as Anticancer Agents. Molecules. 2024; 29(15):3538. https://doi.org/10.3390/molecules29153538
Chicago/Turabian StyleNowakowska, Justyna, Dominika Radomska, Robert Czarnomysy, and Krzysztof Marciniec. 2024. "Recent Development of Fluoroquinolone Derivatives as Anticancer Agents" Molecules 29, no. 15: 3538. https://doi.org/10.3390/molecules29153538
APA StyleNowakowska, J., Radomska, D., Czarnomysy, R., & Marciniec, K. (2024). Recent Development of Fluoroquinolone Derivatives as Anticancer Agents. Molecules, 29(15), 3538. https://doi.org/10.3390/molecules29153538























