Molecular Hybrid Design, Synthesis, In Vitro Cytotoxicity, In Silico ADME and Molecular Docking Studies of New Benzoate Ester-Linked Arylsulfonyl Hydrazones
Abstract
1. Introduction
2. Results and Discussion
2.1. Synthesis and Characterization
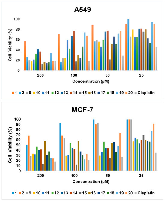
2.2. The Cytotoxic Activity Studies
2.3. Molecular Docking Studies
2.4. In Silico ADME Studies
3. Materials and Methods
3.1. General
3.1.1. General Procedures for the Synthesis of Sulfonyl Hydrazides (1 and 2)
3.1.2. General Procedures for the Synthesis of Benzoates (3–8)
3.1.3. General Methods for the Synthesis of the Sulfonyl Hydrazones (9–20)
3.2. The Cytotoxic Activity Studies
3.3. Docking Simulations
3.4. In Silico Pharmacokinetics
4. Conclusions
Supplementary Materials
Author Contributions
Funding
Institutional Review Board Statement
Informed Consent Statement
Data Availability Statement
Conflicts of Interest
References
- Bray, F.; Laversanne, M.; Sung, H.; Ferlay, J.; Siegel, R.L.; Soerjomataram, I.; Jemal, A. Global cancer statistics 2022: GLOBOCAN estimates of incidence and mortality worldwide for 36 cancers in 185 countries. CA Cancer J. Clin. 2024, 74, 229–263. [Google Scholar] [CrossRef]
- The International Agency for Research on Cancer. Global Cancer Burden Growing, Amidst Mounting Need for Services. 2024. Available online: https://www.iarc.who.int/news-events/global-cancer-burden-growing-amidst-mounting-need-for-services/ (accessed on 23 May 2024).
- Bray, F.; Laversanne, M.; Weiderpass, E.; Soerjomataram, I. The ever- increasing importance of cancer as a leading cause of prematüre death worldwide. Cancer 2021, 127, 3029–3030. [Google Scholar] [CrossRef]
- Chen, S.; Zhong, C.; Prettner, K.; Kuhn, M.; Yang, J.; Jiao, L.; Wang, Z.; Li, W.; Geldsetzer, P.; Bärnighausen, T.; et al. Estimates and projections of the global economic cost of 29 cancers in 204 countries and territories from 2020 to 2050. JAMA Oncol. 2023, 9, 465–472. [Google Scholar] [CrossRef] [PubMed]
- Çakmak, R.; Ay, B.; Çınar, E.; Başaran, E.; Akkoç, S.; Boğa, M.; Taş, E. Synthesis, spectroscopic, thermal analysis and in vitro cytotoxicity, anticholinesterase and antioxidant activities of new Co (II), Ni (II), Cu (II), Zn (II), and Ru (III) complexes of pyrazolone-based Schiff base ligand. J. Mol. Struct. 2023, 1292, 136225. [Google Scholar] [CrossRef]
- Karakuş, S.; Başçıl, E.; Tok, F.; Erdoğan, Ö.; Çevik, Ö.; Başoğlu, F. Synthesis, biological evaluation, and molecular docking studies of novel 1, 3, 4-thiadiazoles as potential anticancer agents and human carbonic anhydrase inhibitors. Mol. Divers. 2023, 1–15. [Google Scholar] [CrossRef]
- Wassel, M.M.S.; Ammar, Y.A.; Elhag Ali, G.A.M.; Belal, A.; Mehany, A.B.M.; Ragab, A. Development of adamantane scaffold containing 1,3,4-thiadiazole derivatives: Design, synthesis, anti-proliferative activity, and molecular docking study targeting EGFR. Bioorg. Chem. 2021, 110, 104794. [Google Scholar] [CrossRef]
- Nussbaumer, S.; Bonnabry, P.; Veuthey, J.L.; Fleury-Souverain, S. Analysis of anticancer Drugs: A review. Talanta 2011, 85, 2265–2289. [Google Scholar] [CrossRef]
- Basaran, E.; Sogukomerogullari, H.G.; Cakmak, R.; Akkoc, S.; Taskin-Tok, T.; Köse, A. Novel chiral Schiff base Palladium (II), Nickel (II), Copper (II) and Iron (II) complexes: Synthesis, characterization, anticancer activity and molecular docking studies. Bioorg. Chem. 2022, 129, 106176. [Google Scholar] [CrossRef]
- Kamat, V.; Venuprasad, K.D.; Shadakshari, A.J.; Bhat, R.S.; D’souza, A.; Chapi, S.; Kumar, A.; Kuthe, P.J.; Sankaranarayanan, M.; Venugopala, K.N. Synthesis, anti-inflammatory, antibacterial, and antioxidant evaluation of novel pyrazole-linked hydrazone derivatives. J. Mol. Struct. 2024, 1312, 138634. [Google Scholar] [CrossRef]
- Dehestani, L.; Ahangar, N.; Hashemi, S.M.; Irannejad, H.; Masihi, P.H.; Shakiba, A.; Emami, S. Design, synthesis, in vivo and in silico evaluation of phenacyl triazole hydrazones as new anticonvulsant agents. Bioorg. Chem. 2018, 78, 119–129. [Google Scholar] [CrossRef]
- Kumar, D.; Kumar, N.M.; Ghosh, S.; Shah, K. Novel bis (indolyl) hydrazide–hydrazones as potent cytotoxic agents. Bioorg. Med. Chem. Lett. 2012, 22, 212–215. [Google Scholar] [CrossRef]
- Nasr, T.; Bondock, S.; Youns, M. Anticancer activity of new coumarin substituted hydrazide–hydrazone derivatives. Eur. J. Med. Chem. 2014, 76, 539–548. [Google Scholar] [CrossRef]
- Dincel, E.D.; Kuran, E.D.; Onarer, B.; Fıstıkçı, Y.; Gülçin, İ.; Ulusoy-Güzeldemirci, N. Synthesis and in vitro carbonic anhydrase and acetylcholinesterase inhibitory activities of novel hydrazide–hydrazone compounds containing 1,2,4-triazole ring. Phosphorus Sulfur Silicon Relat. Elem. 2024, 199, 236–244. [Google Scholar] [CrossRef]
- Rasgania, J.; Gavadia, R.; Varma-Basil, M.; Chauhan, V.; Kumar, S.; Mor, S.; Singh, D.; Jakhar, K. Design and synthesis of isoniazid-based pyrazolines as potential inhibitors of Mycobacterium tuberculosis with promising radical scavenging action: In-vitro and in silico evaluations. J. Mol. Struct. 2024, 1295, 136657. [Google Scholar] [CrossRef]
- Coanda, M.; Limban, C.; Nuța, D.C. Small Schiff base molecules-a possible strategy to combat biofilm-related infections. Antibiotics 2024, 13, 75. [Google Scholar] [CrossRef] [PubMed]
- Aslanhan, Ö.; Kalay, E.; Tokalı, F.S.; Can, Z.; Şahin, E. Design, synthesis, antioxidant and anticholinesterase activities of novel isonicotinic hydrazide-hydrazone derivatives. J. Mol. Struct. 2023, 1279, 135037. [Google Scholar] [CrossRef]
- Ozdemir Tarı, G. Synthesis, structural characterization by experimental and theoretical approaches of a new hydrazine derivative Schiff base compound. Mol. Cryst. Liq. Cryst. 2023, 766, 131–155. [Google Scholar] [CrossRef]
- Popiołek, Ł. The bioactivity of benzenesulfonyl hydrazones: A short review. Biomed. Pharmacother. 2021, 141, 111851. [Google Scholar] [CrossRef] [PubMed]
- Hayakawa, M.; Kawaguchi, K.-İ.; Kaizawa, H.; Koizumi, T.; Ohishi, T.; Yamano, M.; Okada, M.; Ohta, M.; Tsukamoto, S.-I.; Raynaud, F.I.; et al. Synthesis and biological evaluation of sulfonylhydrazone-substituted imidazo[1,2- α]pyridines as novel PI3 kinase p110α inhibitors. Bioorg. Med. Chem. 2007, 15, 5837–5844. [Google Scholar] [CrossRef]
- de Oliveira, K.N.; Souza, M.M.; Sathler, P.C.; Magalhães, U.O.; Rodrigues, C.R.; Castro, H.C.; Palm, P.R.; Sarda, M.; Perotto, P.E.; Cezar, S.; et al. Sulphonamide and sulphonyl-hydrazone cyclic imide derivatives: Antinociceptive activity, molecular modeling and in silico ADMET screening. Arch. Pharmacal Res. 2012, 35, 1713–1722. [Google Scholar] [CrossRef]
- Wang, H.; Ren, S.-X.; He, Z.-Y.; Wang, D.-L.; Yan, X.-N.; Feng, J.-T.; Zhang, X. Synthesis, antifungal activities and qualitative structure activity relationship of carabrone hydrazone derivatives as potential antifungal agents. Int. J. Mol. Sci. 2014, 15, 4257–4272. [Google Scholar] [CrossRef] [PubMed]
- Ghiya, S.; Joshi, Y.C. Synthesis and antimicrobial evaluation of hydrazones derived from 4-methylbenzenesulfonohydrazide in aqueous medium. Med. Chem. Res. 2016, 25, 970–976. [Google Scholar] [CrossRef]
- Alsaeedi, H.S.; Aljaber, N.A.; Ara, I. Synthesis and investigation of antimicrobial activity of some nifuroxazide analogues. Asian J. Chem. 2015, 27, 3639–3646. [Google Scholar] [CrossRef]
- Xie, Z.; Song, Y.; Xu, L.; Guo, Y.; Zhang, M.; Li, L.; Chen, K.; Liu, X. Rapid synthesis of N-tosylhydrazones under solvent-free conditions and their potential application against human triple-negative breast cancer. ChemistryOpen 2018, 7, 977–983. [Google Scholar] [CrossRef]
- Rajput, J.D.; Bagul, S.D.; Bendre, R.S. Synthesis, biological activities and molecular docking simulation of hydrazone scaffolds of carvacrol, thymol and eugenol. Res. Chem. Intermed. 2017, 43, 6601–6616. [Google Scholar] [CrossRef]
- Yang, K.; Yang, J.-Q.; Luo, S.-H.; Mei, W.-J.; Lin, J.-Y.; Zhan, J.-Q.; Wang, Z.-Y. Synthesis of N-2(5H)-furanonyl sulfonyl hydrazone derivatives and their biological evaluation in vitro and in vivo activity against MCF-7 breast cancer cells. Bioorg. Chem. 2021, 107, 104518. [Google Scholar] [CrossRef]
- Pilli, G.; Dumala, N.; Mattan, I.; Grover, P.; Prakash, J.M. Design, synthesis, biological and in silico evaluation of coumarin-hydrazone derivatives as tubulin targeted antiproliferative agents. Bioorg. Chem. 2019, 91, 103143. [Google Scholar] [CrossRef]
- Korcz, M.; Sączewski, F.; Bednarski, P.J.; Kornicka, A. Synthesis, structure, chemical stability, and ın vitro cytotoxic properties of novel quinoline-3-carbaldehyde hydrazones bearing a 1,2,4-triazole or benzotriazole moiety. Molecules 2018, 23, 1497. [Google Scholar] [CrossRef] [PubMed]
- Demirci, Y.; Kalay, E.; Kara, Y.; Güler, H.İ.; Can, Z.; Şahin, E. Synthesis of arylsulfonyl hydrazone derivatives: Antioxidant activity, acetylcholinesterase inhibition properties, and molecular docking study. ChemistrySelect 2023, 8, e202301474. [Google Scholar] [CrossRef]
- Abid, S.M.A.; Younus, H.A.; Al-Rashida, M.; Arshad, Z.; Maryum, T.; Gilani, M.A.; Alharthi, A.I.; Iqbal, J. Sulfonyl hydrazones derived from 3-formylchromone as non-selective inhibitors of MAO-A and MAO-B: Synthesis, molecular modelling and in-silico ADME evaluation. Bioorg. Chem. 2017, 75, 291–302. [Google Scholar] [CrossRef]
- de Oliveira, K.N.; Costa, P.; Santin, J.R.; Mazzambani, L.; Bürger, C.; Mora, C.; Nunes, R.J.; de Souza, M.M. Synthesis and antidepressant-like activity evaluation of sulphonamides and sulphonyl-hydrazones. Bioorg. Med. Chem. 2011, 19, 4295–4306. [Google Scholar] [CrossRef]
- Başaran, E. Synthesis, antioxidant, and anticholinesterase activities of novel N-arylsulfonyl hydrazones bearing sulfonate ester scaffold. J. Chin. Chem. Soc. 2023, 70, 1580–1590. [Google Scholar] [CrossRef]
- Çakmak, R.; Başaran, E.; Boğa, M.; Erdoğan, Ö.; Çınar, E.; Çevik, Ö. Schiff base derivatives of 4-aminoantipyrine as promising molecules: Synthesis, structural characterization, and biological activities. Russ. J. Bioorg. Chem. 2022, 48, 334–344. [Google Scholar] [CrossRef]
- Çakmak, R.; Başaran, E.; Şentürk, M. Synthesis, characterization, and biological evaluation of some novel Schiff bases as potential metabolic enzyme inhibitors. Arch. Pharm. 2022, 355, 2100430. [Google Scholar] [CrossRef]
- Olender, D.; Żwawiak, J.; Zaprutko, L. Multidirectional efficacy of biologically active nitro included in medicines. Pharmaceuticals 2018, 11, 54. [Google Scholar] [CrossRef] [PubMed]
- Joksimović, N.; Petronijević, J.; Janković, N.; Baskić, D.; Popović, S.; Todorović, D.; Matić, S.; Bogdanović, G.A.; Vraneš, M.; Tot, A.; et al. Synthesis, characterization, anticancer evaluation and mechanisms of cytotoxic activity of novel 3-hydroxy-3-pyrrolin-2-ones bearing thenoyl fragment: DNA, BSA interactions and molecular docking study. Bioorg. Chem. 2019, 88, 102954. [Google Scholar] [CrossRef]
- Al-Soud, Y.A.; Alhelal, K.A.S.; Saeed, B.A.; Abu-Qatouseh, L.; Al-Suod, H.H.; Al-Ahmad, A.H.; Al-Masoudi, N.A.; Al-Qawasmeh, R.A. Synthesis, anticancer activity and molecular docking studies of new 4-nitroimidazole derivatives. Arkivoc 2021, 8, 296–309. [Google Scholar] [CrossRef]
- Noguchi, K.; Uemura, H.; Harada, M.; Miura, T.; Moriyama, M.; Fukuoka, H.; Kitami, K.; Hosaka, M. Inhibition of PSA flare in prostate cancer patients by administration of flutamide for 2 weeks before initiation of treatment with slow-releasing LH-RH agonist. Int. J. Clin. Oncol. 2001, 6, 29–33. [Google Scholar] [CrossRef] [PubMed]
- Korotaev, V.Y.; Kutyashev, I.B.; Barkov, A.Y.; Sosnovskikh, V.Y. Recent advances in the chemistry of 3-nitro-2H- and 3-nitro-4H-chromenes. Russ. Chem. Rev. 2019, 88, 27–58. [Google Scholar] [CrossRef]
- Noriega, S.; Cardoso-Ortiz, J.; López-Luna, A.; Cuevas-Flores, M.D.R.; Flores De La Torre, J.A. The diverse biological activity of recently synthesized nitro compounds. Pharmaceuticals 2022, 15, 717. [Google Scholar] [CrossRef]
- Fahmy, H.H.; Khalifa, N.M.; Ismail, M.M.; El-Sahrawy, H.M.; Nossier, E.S. Biological validation of novel polysubstituted pyrazole candidates with in vitro anticancer activities. Molecules 2016, 21, 271. [Google Scholar] [CrossRef] [PubMed]
- Evan, G.I.; Vousden, K.H. Proliferation, cell cycle and apoptosis in cancer. Nature 2001, 411, 342–348. [Google Scholar] [CrossRef] [PubMed]
- Başaran, E.; Köprü, S.; Akkoç, S.; Türkmenoğlu, B. Investigation of newly synthesized fluorinated isatin-hydrazones by in vitro antiproliferative activity, molecular docking, adme analysis, and e-pharmacophore modeling. ACS Omega 2024, 9, 26503–26518. [Google Scholar] [CrossRef] [PubMed]
- Palmieri, C.; Cheng, G.J.; Saji, S.; Zelada-Hedman, M.; Weihua, Z.; Van Noorden, S.; Wahlstrom, T.; Coombes, R.C.; Warner, M.; Gustafsson, J.A. Estrogen receptor beta in breast cancer. Endocr. Relat. Cancer 2002, 9, 1–13. [Google Scholar] [CrossRef] [PubMed]
- Biliz, Y.; Hasdemir, B.; Başpınar Küçük, H.; Zaim, M.; Şentürk, A.M.; Müdüroğlu Kırmızıbekmez, A.; Kara, İ. Novel N-acyl hydrazone compounds as promising anticancer agents: Synthesis and molecular docking studies. ACS Omega 2023, 8, 20073–20084. [Google Scholar] [CrossRef] [PubMed]
- Fernandes, T.B.; de Azevedo, R.A.; Yang, R.; Teixeira, S.F.; Goulart Trossini, G.H.; Marzagao Barbuto, J.A.; Ferreira, A.K.; Parise-Filho, R. Arylsulfonylhydrazone induced apoptosis in MDA-MB-231 breast cancer cells. Lett. Drug Des. Discov. 2018, 15, 1288–1298. [Google Scholar] [CrossRef]
- Velikorodov, A.V.; Kovalev, V.B.; Krivosheev, O.O. Synthesis of 3, 5-disubstituted pyrazole derivatives with a carbamate function. Russ. J. Org. Chem. 2009, 45, 1208–1209. [Google Scholar] [CrossRef]
- Akkoc, S.; Muhammed, M.T. Synthesis, biological application, and computational study of a thymol-based molecule. J. Biol. Act. Prod. Nat. 2024, 14, 35–50. [Google Scholar] [CrossRef]
- Sahin, D.; Kepekci, R.A.; Türkmenoğlu, B.; Akkoc, S. Biological evaluations and computational studies of newly synthesized thymol-based Schiff bases as anticancer, antimicrobial and antioxidant agents. J. Biomol. Struct. Dyn. 2023, 1–15. [Google Scholar] [CrossRef] [PubMed]
- Alghamdi, A.; Abouzied, A.S.; Alamri, A.; Anwar, S.; Ansari, M.; Khadra, I.; Zaki, Y.H.; Gomha, S.M. Synthesis, molecular docking, and dynamic simulation targeting main protease (Mpro) of new, thiazole clubbed pyridine scaffolds as potential COVID-19 inhibitors. Curr. Issues Mol. Biol. 2023, 45, 1422–1442. [Google Scholar] [CrossRef]





| Compounds | IC50 (µM) | |
|---|---|---|
| A549 | MCF-7 | |
| 1 | >200 | >200 |
| 2 | 66.92 | >200 |
| 9 | 50.72 | 170.30 |
| 10 | 58.83 | 34.61 |
| 11 | 66.47 | 64.96 |
| 12 | 71.80 | 95.61 |
| 13 | 161.10 | 54.30 |
| 14 | 176.70 | 59.92 |
| 15 | 29.59 | 27.70 |
| 16 | 55.21 | 108.90 |
| 17 | 50.91 | 56.94 |
| 18 | 49.89 | 40.58 |
| 19 | 166.20 | 51.03 |
| 20 | 128.30 | 86.06 |
| Cisplatin | 22.42 | 18.01 |
| Compounds | Molecular Docking Simulations (PDB ID: 1X7B) | (Kd) Values | ||
|---|---|---|---|---|
| Docking Score (Kcal/mol) | RMSD Value (Å) | Residues | ||
| 1 | −4.3304 | 0.8128 | SerB333, AsnB470 | 6.64 × 10−4 M |
| 2 | −4.4330 | 0.9198 | AsnB470, HisA467, Lys471 | 5.58 × 10−4 M |
| 9 | −4.8794 | 1.3110 | AsnB470 | 2.63 × 10−4 M |
| 10 | −6.2329 | 0.8675 | AsnB470, HisA467 | 2.67 × 10−5 M |
| 11 | −5.7709 | 1.1250 | AsnB470, HisA467, Lys471, Met473 | 5.82 × 10−5 M |
| 12 | −4.9932 | 1.7859 | Val499, Lys471 | 2.17 × 10−4 M |
| 13 | −5.5541 | 1.4146 | Met473 | 8.40 × 10−5 M |
| 14 | −5.0098 | 1.8998 | SerB333 | 2.11 × 10−4 M |
| 15 | −6.8508 | 1.6979 | His467, Lys471 | 9.39 × 10−6 M |
| 16 | −4.9910 | 1.5659 | Leu495, met473 | 2.18 × 10−4 M |
| 17 | −5.7721 | 1.3471 | Lys471, Met473, AsnB470 | 5.81 × 10−5 M |
| 18 | −5.6341 | 1.7282 | Lys471, Met473, AsnB470 | 7.34 × 10−5 M |
| 19 | −5.7763 | 1.6472 | Lys471 | 5.77 × 10−5 M |
| 20 | −5.0043 | 1.8942 | Lys471, Asn470 | 2.13 × 10−4 M |
| Doxorubicin | −4.3607 | 1.5752 | Met473, SerB333, Lys471 | 6.31 × 10−4 M |
| Estrogen (Positive Control) | −5.8400 | 0.8300 | Lys471, Met473, AsnB470 | 5.18 × 10−5 M |
| Compounds | In Silico Pharmacokinetics Analysis a–g | ||||||
|---|---|---|---|---|---|---|---|
| MW (g/mol) | LogP | TPSA | BB | GI Abs | Type of CYP Inhibitions | Rule of Five | |
| 1 | 172.20 | 0.87 | 80.57 | No | High | None | Yes |
| 2 | 186.23 | 1.11 | 80.57 | No | High | None | Yes |
| 9 | 380.42 | 2.33 | 93.21 | No | High | CYP2C19, CYP2C9 | Yes |
| 10 | 425.41 | 1.98 | 139.03 | No | Low | CYP2C19, CYP2C9 | Yes |
| 11 | 470.41 | 1.63 | 184.85 | No | Low | CYP2C19, CYP2C9 | Yes |
| 12 | 380.42 | 2.31 | 93.21 | No | High | CYP2C19, CYP2C9 | Yes |
| 13 | 425.41 | 1.84 | 139.03 | No | High | CYP2C19, CYP2C9 | Yes |
| 14 | 470.41 | 1.33 | 184.85 | No | High | CYP2C19, CYP2C9 | Yes |
| 15 | 394.44 | 2.34 | 93.21 | No | High | CYP1A2, CYP2C9 | Yes |
| 16 | 439.44 | 2.61 | 139.03 | No | Low | CYP2C19, CYP2C9 | Yes |
| 17 | 484.44 | 2.33 | 184.85 | No | Low | CYP2C19, CYP2C9 | Yes, 1 violation: NorO > 10 |
| 18 | 394.44 | 3.18 | 93.21 | No | High | CYP1A2, CYP2C9 | Yes |
| 19 | 439.44 | 2.45 | 139.03 | No | Low | CYP2C19, CYP2C9 | Yes |
| 20 | 484.44 | 1.58 | 184.85 | No | Low | CYP2C19, CYP2C9 | Yes |
| Doxorubicin | 543.52 | 1.31 | 206.07 Å | No | Low | None | No |
Disclaimer/Publisher’s Note: The statements, opinions and data contained in all publications are solely those of the individual author(s) and contributor(s) and not of MDPI and/or the editor(s). MDPI and/or the editor(s) disclaim responsibility for any injury to people or property resulting from any ideas, methods, instructions or products referred to in the content. |
© 2024 by the authors. Licensee MDPI, Basel, Switzerland. This article is an open access article distributed under the terms and conditions of the Creative Commons Attribution (CC BY) license (https://creativecommons.org/licenses/by/4.0/).
Share and Cite
Ergan, E.; Çakmak, R.; Başaran, E.; Mali, S.N.; Akkoc, S.; Annadurai, S. Molecular Hybrid Design, Synthesis, In Vitro Cytotoxicity, In Silico ADME and Molecular Docking Studies of New Benzoate Ester-Linked Arylsulfonyl Hydrazones. Molecules 2024, 29, 3478. https://doi.org/10.3390/molecules29153478
Ergan E, Çakmak R, Başaran E, Mali SN, Akkoc S, Annadurai S. Molecular Hybrid Design, Synthesis, In Vitro Cytotoxicity, In Silico ADME and Molecular Docking Studies of New Benzoate Ester-Linked Arylsulfonyl Hydrazones. Molecules. 2024; 29(15):3478. https://doi.org/10.3390/molecules29153478
Chicago/Turabian StyleErgan, Erdem, Reşit Çakmak, Eyüp Başaran, Suraj N. Mali, Senem Akkoc, and Sivakumar Annadurai. 2024. "Molecular Hybrid Design, Synthesis, In Vitro Cytotoxicity, In Silico ADME and Molecular Docking Studies of New Benzoate Ester-Linked Arylsulfonyl Hydrazones" Molecules 29, no. 15: 3478. https://doi.org/10.3390/molecules29153478
APA StyleErgan, E., Çakmak, R., Başaran, E., Mali, S. N., Akkoc, S., & Annadurai, S. (2024). Molecular Hybrid Design, Synthesis, In Vitro Cytotoxicity, In Silico ADME and Molecular Docking Studies of New Benzoate Ester-Linked Arylsulfonyl Hydrazones. Molecules, 29(15), 3478. https://doi.org/10.3390/molecules29153478

