Recent Advances on Pt-Based Compounds for Theranostic Applications
Abstract
1. Introduction
1.1. Mechanism of Action of Cisplatin and Resistance Mechanisms
1.2. Pt(IV) Complexes to Improve Cytotoxicity and to Overcome Resistance
1.3. Translation to Theranostics
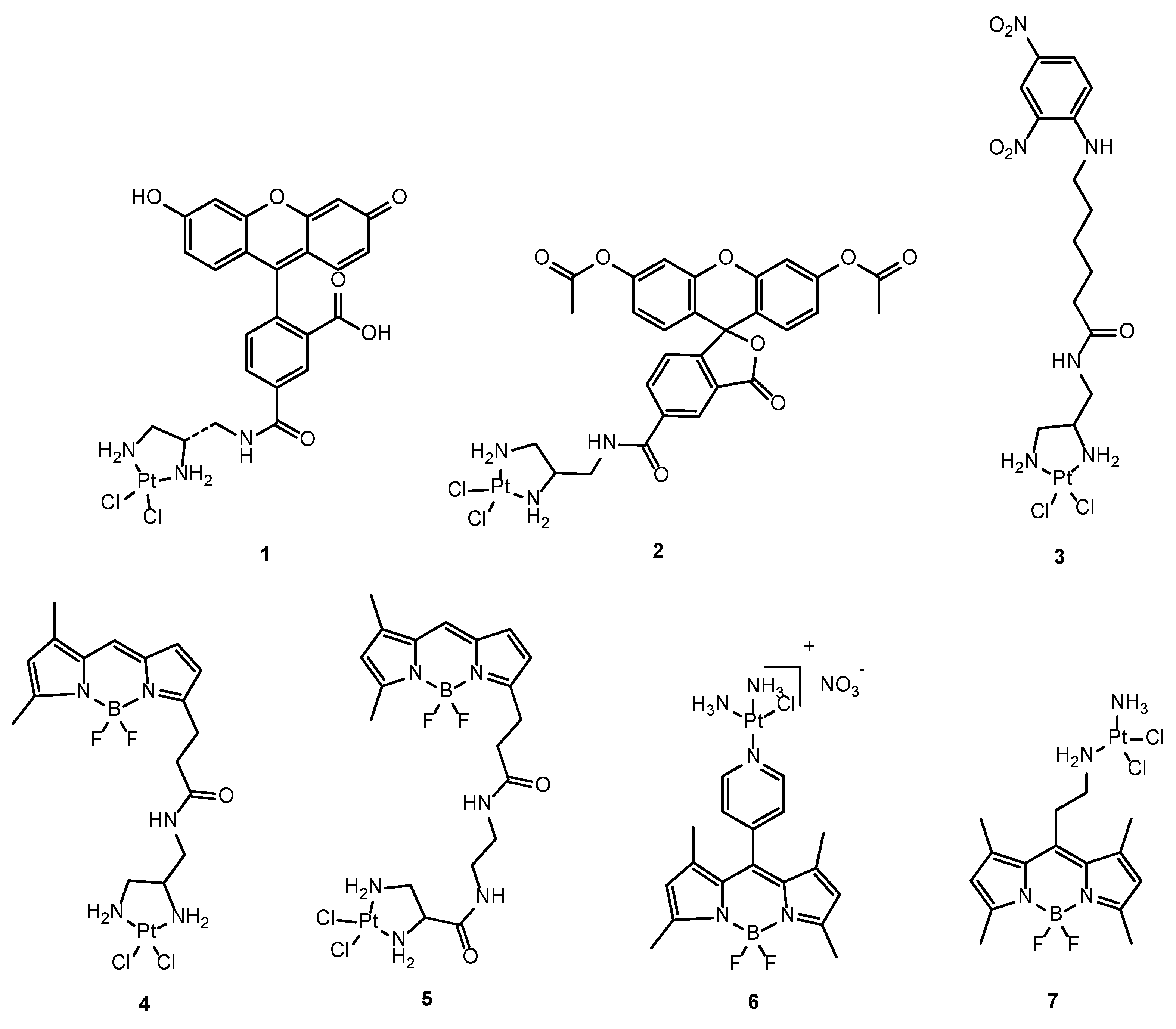
2. Illuminating Disease through Fluorescence Imaging
| NIR Fluorophores | Advantages | Disadvantages | Applications | Future Research |
|---|---|---|---|---|
| AuNCs | Easy surface modification. High biocompatibility. Large Stokes shift. | Photobleaching. | Bioimaging and therapeutic applications. | Escaping recognition by immune system. |
| Conjugated polymers | High brightness. Low toxicity. | Limitation of excitation and emission wavelengths (<900 nm). | Photoacoustic imaging. | Increase polymer’s conjugation degree to shift spectra towards NIR-II window. |
| Benzobisthiadizole | Large Stokes shifts. High imaging quality. | Photobleaching. | Probes for clinical translation. | Design of new materials for NIR-II imaging. |
| BODIPYs | High quantum yields. Excellent photostability. | Poor water solubility. | In vivo visualization of tumors. | Reducing bandgap of fluorophores to bathochromic shift wavelength enhancing hydrolytic stability. |
| QDs | High quantum yield. Good photostability. | Toxicity. | In vitro evaluation. | Design of non-toxic QDs for in vivo NIR imaging. |
3. Pioneering Platinum-Radiopharmaceuticals for SPECT and PET Imaging
4. Magnetic Resonance Imaging (MRI) Contrast Agent-Pt Conjugates for Detecting and Treating Solid Tumors
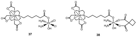
4.1. Pt-Based Gd (III) Conjugates as Theranostic Contrast Agents
4.2. Multifunctional Nanodevices Combining Platinum Complexes and Magnetic Resonance (MRI)
4.3. T1-Enhanced Contrast Agents
4.4. T2-Enhanced Contrast Agents
5. Conclusions
Author Contributions
Funding
Institutional Review Board Statement
Informed Consent Statement
Data Availability Statement
Conflicts of Interest
References
- Peng, K.; Liang, B.B.; Liu, W.; Mao, Z.W. What Blocks More Anticancer Platinum Complexes from Experiment to Clinic: Major Problems and Potential Strategies from Drug Design Perspectives. Coord. Chem. Rev. 2021, 449, 214210. [Google Scholar] [CrossRef]
- Gibson, D. Multi–Action Pt(IV) Anticancer Agents; Do We Understand How They Work? J. Inorg. Biochem. 2019, 191, 77–84. [Google Scholar] [CrossRef] [PubMed]
- Wheate, N.J.; Walker, S.; Craig, G.E.; Oun, R. The Status of Platinum Anticancer Drugs in the Clinic and in Clinical Trials. Dalton Trans. 2010, 39, 8113–8127. [Google Scholar] [CrossRef]
- Theiner, S.; Varbanov, H.P.; Galanski, M.; Egger, A.E.; Berger, W.; Heffeter, P.; Keppler, B.K. Comparative In Vitro and In Vivo Pharmacological Investigation of Platinum(IV) Complexes as Novel Anticancer Drug Candidates for Oral Application. J. Biol. Inorg. Chem. 2015, 20, 89–99. [Google Scholar] [CrossRef] [PubMed]
- Kim, E.S.; Tang, X.M.; Peterson, D.R.; Kilari, D.; Chow, C.W.; Fujimoto, J.; Kalhor, N.; Swisher, S.G.; Stewart, D.J.; Wistuba, I.I.; et al. Copper Transporter CTR1 Expression and Tissue Platinum Concentration in Non-Small Cell Lung Cancer. Lung Cancer 2014, 85, 88–93. [Google Scholar] [CrossRef]
- Lasorsa, A.; Natile, G.; Rosato, A.; Tadini–Buoninsegni, F.; Arnesano, F. Monitoring Interactions Inside Cells by Advanced Spectroscopies: Overview of Copper Transporters and Cisplatin. Curr. Med. Chem. 2018, 25, 462–477. [Google Scholar] [CrossRef]
- Samimi, G.; Varki, N.M.; Wilczynski, S.; Safaei, R.; Alberts, D.S.; Howell, S.B. Increase in Expression of the Copper Transporter ATP7A during Platinum Drug-Based Treatment Is Associated with Poor Survival in Ovarian Cancer Patients. Clin. Cancer Res. 2003, 9, 5853–5859. [Google Scholar]
- Samimi, G.; Safaei, R.; Katano, K.; Holzer, A.K.; Rochdi, M.; Tomioka, M.; Goodman, M.; Howell, S.B. Increased Expression of the Copper Efflux Transporter ATP7A Mediates Resistance to Cisplatin, Carboplatin, and Oxaliplatin in Ovarian Cancer Cells. Clin. Cancer Res. 2004, 10, 4661–4669. [Google Scholar] [CrossRef]
- Iida, T.; Mori, E.; Mori, K.; Goto, S.; Urata, Y.; Oka, M.; Kohno, S.; Kondo, T. Co-Expression of Gamma-Glutamylcysteine Synthetase Sub-Units in Response to Cisplatin and Doxorubicin in Human Cancer Cells. Int. J. Cancer. 1999, 82, 405–411. [Google Scholar] [CrossRef]
- Goto, S.; Iida, T.; Cho, S.; Oka, M.; Kohno, S.; Kondo, T. Overexpression of Glutathione S-Transferase π Enhances the Adduct Formation of Cisplatin with Glutathione in Human Cancer Cells. Free Rad. Res. 1999, 31, 549–558. [Google Scholar] [CrossRef]
- Chen, G.; Hutter, K.-J.; Zeller, W.J. Positive Correlation between Cellular Glutathione and Acquired Cisplatin Resistance in Human Ovarian Cancer Cells. Cell Biol. Toxicol. 1995, 11, 273–281. [Google Scholar] [CrossRef] [PubMed]
- Wang, D.; Lippard, S.J. Cellular Processing of Platinum Anticancer Drugs. Nat. Rev. Durg Discov. 2005, 4, 307–320. [Google Scholar] [CrossRef] [PubMed]
- Kelland, L. The Resurgence of Platinum-Based Cancer Chemotherapy. Nat. Rev. Cancer 2007, 7, 573–584. [Google Scholar] [CrossRef] [PubMed]
- Dilruba, S.; Kalayda, G.V. Platinum–Based Drugs: Past, Present and Future. Cancer Chemother. Pharmacol. 2016, 77, 1103–1124. [Google Scholar] [CrossRef]
- Holzer, A.K.; Samimi, G.; Katano, K.; Naerdemann, W.; Lin, X.; Safaei, R.; Howell, S.B. The Copper Influx Transporter Human Copper Transport Protein 1 Regulates the Uptake of Cisplatin in Human Ovarian Carcinoma Cells. Mol. Pharmacol. 2004, 66, 817–823. [Google Scholar] [CrossRef] [PubMed]
- Yoshizawa, K.; Nozaki, S.; Kitahara, H.; Ohara, T.; Kato, K.; Kawashiri, S.; Yamamoto, E. Copper Efflux Transporter (ATP7B) Contributes to the acquisition of Cisplatin-Resistance in Human Oral Squamous Cell Lines. Oncol. Rep. 2007, 18, 987–991. [Google Scholar] [CrossRef] [PubMed]
- Nakayama, K.; Kanzaki, A.; Terada, K.; Mutoh, M.; Ogawa, K.; Sugiyama, T.; Takenoshita, S.; Itoh, K.; Yaegashi, N.; Miyazaki, K.; et al. Prognostic Value of the Cu-Transporting ATPase in Ovarian Carcinoma Patients Receiving Cisplatin-Based Chemotherapy. Clin. Cancer Res. 2004, 10, 1804–2811. [Google Scholar] [CrossRef] [PubMed]
- Ueda, S.; Shirabe, K.; Morita, K.; Umeda, K.; Kayashima, H.; Uchiyama, H.; Soejima, Y.; Taketomi, A.; Maehara, Y. Evaluation of ERCC1 Expression for Cisplatin Sensitivity in Human Hepatocellular Carcinoma. Ann. Surg. Oncol. 2011, 18, 1204–1211. [Google Scholar] [CrossRef] [PubMed]
- Britten, R.A.; Liu, D.; Tessier, A.; Hutchison, M.J.; Murray, D. ERCC1 Expression as a Molecular Marker of Cisplatin Resistance in Human Cervical Tumor Cells. Int. J. Cancer 2000, 89, 453–457. [Google Scholar] [CrossRef]
- Steffensen, K.D.; Waldstrøm, M.; Jakobsen, A. The Relationship of Platinum Resistance and ERCC1 Protein Expression in Epithelial Ovarian Cancer. Int. J. Gynecol. Cancer 2009, 19, 820–825. [Google Scholar] [CrossRef]
- Ulker, M.; Duman, B.B.; Sahin, B.; Gumurdulu, D. ERCC1 and RRM1 as a Predictive Parameter for Non-Small Cell Lung, Ovarian or Pancreas Cancer Treated with Cisplatin and/or Gemcitabine. Contemp. Oncol. 2015, 19, 207–213. [Google Scholar] [CrossRef] [PubMed]
- Kishi, K.; Doki, Y.; Yano, M.; Yasuda, T.; Fujiwara, Y.; Takiguchi, S.; Kim, S.; Higuchi, I.; Monden, M. Reduced MLH1 Expression after Chemotherapy Is an Indicator for Poor Prognosis in Esophageal Cancers. Clin. Cancer Res. 2003, 9, 4368–4375. [Google Scholar] [PubMed]
- Kawashima, N.; Yoshida, H.; Miwa, M.; Fujiwara, K. MLH1 Is a Prognostic Biomarker for Serous Ovarian Cancer Treated with Platinum- and Taxane-Based Chemotherapy. Anticancer Res. 2019, 39, 5505–5513. [Google Scholar] [CrossRef] [PubMed]
- Chavez–Dominguez, R.L.; Perez–Medina, M.A.; Lopez–Gonzalez, J.S.; Galicia–Velasco, M.; Matias–Florentino, M.; Avila–Rios, S.; Rumbo–Nava, U.; Salgado–Aguayo, A.; Gonzalez–Gonzalez, C.; Aguilar–Cazares, D. Role of HMGB1 in Cisplatin-Persistent Lung Adenocarcinoma Cell Lines. Front. Oncol. 2021, 11, 750677. [Google Scholar] [CrossRef] [PubMed]
- Xia, J.; Yu, X.; Song, X.; Li, G.; Mao, X.; Zhang, Y. Inhibiting the Cytoplasmic Location of HMGB1 Reverses Cisplatin Resistance in Human Cervical Cancer Cells. Mol. Med. Rep. 2017, 15, 488–494. [Google Scholar] [CrossRef] [PubMed]
- Ma, Y.; Feng, Q.; Han, B.; Yu, R.; Jin, Z. Elevated HMGB1 Promotes the Malignant Progression and Contributes to Cisplatin Resistance of Non-Small Cell Lung Cancer. Hereditas 2023, 160, 33. [Google Scholar] [CrossRef] [PubMed]
- Nishiguchi, Y.; Oue, N.; Fujiwara–Tani, R.; Sasaki, T.; Ohmori, H.; Kishi, S.; Mori, S.; Mori, T.; Ikeda, N.; Matsumoto, S.; et al. Role of Metastasis-Related Genes in Cisplatin Chemoresistance in Gastric Cancer. Int. J. Mol. Sci. 2020, 21, 254. [Google Scholar] [CrossRef] [PubMed]
- Timmerman, D.M.; Eleveld, T.F.; Gillis, A.J.M.; Friedrichs, C.C.; Hillenius, S.; Remmers, T.L.; Sriram, S.; Looijenga, L.H.J. The Role of Tp53 in Cisplatin Resistance in Mediastinal and Testicular Germ Cell Tumors. Int. J. Mol. Sci. 2021, 22, 11774. [Google Scholar] [CrossRef] [PubMed]
- Castedo, M.; Coquelle, A.; Vivet, S.; Vitale, I.; Kauffmann, A.; Dessen, P.; Pequignot, M.O.; Casares, N.; Valent, A.; Mouhamad, S.; et al. Apoptosis Regulation in Tetraploid Cancer Cells. EMBO J. 2006, 25, 2584–2595. [Google Scholar] [CrossRef]
- Ma, X.; Le Teuff, G.; Lacas, B.; Tsao, M.S.; Graziano, S.; Pignon, J.P.; Douillard, J.Y.; Le Chevalier, T.; Seymour, L.; Filipits, M.; et al. Prognostic and Predictive Effect of TP53 Mutations in Patients with Non-Small Cell Lung Cancer from Adjuvant Cisplatin-Based Therapy Randomized Trials: A LACE-Bio Pooled Analysis. J. Thorac. Oncol. 2016, 11, 850–861. [Google Scholar] [CrossRef]
- Wu, H.M.; Jiang, Z.F.; Ding, P.S.; Shao, L.J.; Liu, R.Y. Hypoxia-Induced Autophagy Mediates Cisplatin Resistance in Lung Cancer Cells. Sci. Rep. 2015, 5, 12291. [Google Scholar] [CrossRef] [PubMed]
- Wang, J.; Wu, G.S. Role of Autophagy in Cisplatin Resistance in Ovarian Cancer Cells. J. Biol. Chem. 2014, 289, 17163–17173. [Google Scholar] [CrossRef]
- Ren, J.-H.; He, W.-S.; Nong, L.; Zhu, Q.-Y.; Hu, K.; Zhang, R.-G.; Huang, L.-L.; Zhu, F.; Wu, G. Acquired Cisplatin Resistance in Human Lung Adenocarcinoma Cells Is Associated with Enhanced Autophagy. Cancer Biother. Radiophar. 2010, 25, 75–80. [Google Scholar] [CrossRef]
- Huang, D.; Duan, H.; Huang, H.; Tong, X.; Han, Y.; Ru, G.; Qu, L.; Shou, C.; Zhao, Z. Cisplatin Resistance in Gastric Cancer Cells Is Associated with HER2 Upregulation-Induced Epithelial-Mesenchymal Transition. Sci. Rep. 2016, 6, 20502. [Google Scholar] [CrossRef]
- Calikusu, Z.; Yildirim, Y.; Akcali, Z.; Sakalli, H.; Bal, N.; Unal, I.; Ozyilkan, O. The Effect of HER2 Expression on Cisplatin-Based Chemotherapy in Advanced Non-Small Cell Lung Cancer Patients. J. Exp. Clin. Cancer Res. 2009, 28, 97. [Google Scholar] [CrossRef]
- Gibson, D. Platinum(IV) Anticancer Prodrugs-Hypotheses and Facts. Dalton Trans. 2016, 45, 12983–12991. [Google Scholar] [CrossRef] [PubMed]
- Lee, K.H.; Hyun, M.S.; Kim, H.-K.; Jin, H.M.; Yang, J.; Song, H.S.; Do, Y.R.; Ryoo, H.M.; Chung, J.S.; Zang, D.Y.; et al. Randomized, Multicenter, Phase III Trial of Heptaplatin 1-Hour Infusion and 5-Fluorouracil Combination Chemotherapy Comparing with Cisplatin and 5-Fluorouracil Combination Chemotherapy in Patients with Advanced Gastric Cancer. Cancer Res. Treat. 2009, 41, 12–18. [Google Scholar] [CrossRef]
- McKeage, M.J. Lobaplatin: A New Antitumour Platinum Drug. Expert. Opin. Investig. Drugs 2001, 10, 119–128. [Google Scholar] [CrossRef] [PubMed]
- Yuan, Y.; Chen, Y.; Tang, B.Z.; Liu, B. A Targeted Theranostic Platinum(Iv) Prodrug Containing a Luminogen with Aggregation-Induced Emission (AIE) Characteristics for in Situ Monitoring of Drug Activation. Chem. Commun. 2014, 50, 3868–3870. [Google Scholar] [CrossRef]
- Kelland, L. Broadening the Clinical Use of Platinum Drug-Based Chemotherapy with New Analogues: Satraplatin and Picoplatin. Expert. Opin. Investig. Drugs 2007, 16, 1009–1021. [Google Scholar] [CrossRef]
- Wang, X.; Wang, X.; Guo, Z. Functionalization of Platinum Complexes for Biomedical Applications. Acc. Chem. Res. 2015, 48, 2622–2631. [Google Scholar] [CrossRef] [PubMed]
- Vivero-Escoto, J.L.; Huxford-Phillips, R.C.; Lin, W. Silica-Based Nanoprobes for Biomedical Imaging and Theranostic Applications. Chem. Soc. Rev. 2012, 41, 2673–2685. [Google Scholar] [CrossRef]
- Janib, S.M.; Moses, A.S.; MacKay, J.A. Imaging and Drug Delivery Using Theranostic Nanoparticles. Adv. Drug Deliv. Rev. 2010, 62, 1052–1063. [Google Scholar] [CrossRef] [PubMed]
- Asif, S.; Shahid, S. Emerging Trends in Nano-Theranostics: Platinum-Based Drug Delivery Systems for Cancer Treatment. Glob. Drug Des. Dev. Rev. 2022, 8, 15–28. [Google Scholar] [CrossRef]
- Workman, P.; Aboagye, E.O.; Balkwill, F.; Balmain, A.; Bruder, G.; Chaplin, D.J.; Double, J.A.; Everitt, J.; Farningham, D.A.H.; Glennie, M.J.; et al. Guidelines for the Welfare and Use of Animals in Cancer Research. Br. J. Cancer 2010, 102, 1555–1577. [Google Scholar] [CrossRef] [PubMed]
- Cabral, H.; Nishiyama, N.; Kataoka, K. Supramolecular Nanodevices: From Design Validation to Theranostic Nanomedicine. Acc. Chem. Res. 2011, 44, 999–1008. [Google Scholar] [CrossRef]
- James, M.L.; Gambhir, S.S. A Molecular Imaging Primer: Modalities, Imaging Agents, and Applications. Physiol. Rev. 2012, 92, 897–965. [Google Scholar] [CrossRef] [PubMed]
- Schouw, H.M.; Huisman, L.A.; Janssen, Y.F.; Slart, R.H.J.A.; Borra, R.J.H.; Willemsen, A.T.M.; Brouwers, A.H.; van Dijl, J.M.; Dierckx, R.A.; van Dam, G.M.; et al. Targeted Optical Fluorescence Imaging: A Meta-Narrative Review and Future Perspectives. Eur. J. Nucl. Med. Mol. Imaging 2021, 48, 4272–4292. [Google Scholar] [CrossRef]
- Kirin, S.I.; Ott, I.; Gust, R.; Mier, W.; Weyhermüller, T.; Metzler–Nolte, N. Cellular Uptake Quantification of Metalated Peptide and Peptide Nucleic Acid Bioconjugates by Atomic Absorption Spectroscopy. Angew. Chem. Int. Ed. 2008, 47, 955–959. [Google Scholar] [CrossRef]
- Egger, A.E.; Rappel, C.; Jakupec, M.A.; Hartinger, C.G.; Heffeter, P.; Keppler, B.K. Development of an Experimental Protocol for Uptake Studies of Metal Compounds in Adherent Tumor Cells. J. Anal. At. Spectrom. 2009, 24, 51–61. [Google Scholar] [CrossRef]
- Hambley, T.W. The Influence of Structure on the Activity and Toxicity of Pt Anti-Cancer Drugs. Coord. Chem. Rev. 1997, 166, 181–223. [Google Scholar] [CrossRef]
- Safaei, R.; Katano, K.; Larson, B.J.; Samimi, G.; Holzer, A.K.; Naerdemann, W.; Tomioka, M.; Goodman, M.; Howell, S.B. Intracellular Localization and Trafficking of Fluorescein-Labeled Cisplatin in Human Ovarian Carcinoma Cells. Clin. Cancer Res. 2005, 11, 756–767. [Google Scholar] [CrossRef] [PubMed]
- Molenaar, C.; Teuben, J.M.; Heetebrij, R.J.; Tanke, H.J.; Reedijk, J. New Insights in the Cellular Processing of Platinum Antitumor Compounds, Using Fluorophore-Labeled Platinum Complexes and Digital Fluorescence Microscopy. J. Biol. Inorg. Chem. 2000, 5, 655–665. [Google Scholar] [CrossRef] [PubMed]
- Liang, X.J.; Shen, D.W.; Chen, K.G.; Wincovitch, S.M.; Garfield, S.H.; Gottesman, M.M. Trafficking and Localization of Platinum Complexes in Cisplatin-Resistant Cell Lines Monitored by Fluorescence-Labeled Platinum. J. Cell. Physiol. 2005, 202, 635–641. [Google Scholar] [CrossRef] [PubMed]
- Jagodinsky, J.C.; Sulima, A.; Cao, Y.; Poprawski, J.E.; Blackman, B.N.; Lloyd, J.R.; Swenson, R.E.; Gottesman, M.M.; Hall, M.D. Evaluation of Fluorophore-Tethered Platinum Complexes to Monitor the Fate of Cisplatin Analogs. J. Biol. Inorg. Chem. 2015, 20, 1081–1095. [Google Scholar] [CrossRef] [PubMed]
- Sun, T.; Guan, X.; Zheng, M.; Jing, X.; Xie, Z. Mitochondria-Localized Fluorescent BODIPY-Platinum Conjugate. ACS Med. Chem. Lett. 2015, 6, 430–433. [Google Scholar] [CrossRef] [PubMed]
- Miller, M.A.; Askevold, B.; Yang, K.S.; Kohler, R.H.; Weissleder, R. Platinum Compounds for High-Resolution In Vivo Cancer Imaging. ChemMedChem 2014, 9, 1131–1135. [Google Scholar] [CrossRef] [PubMed]
- Wexselblatt, E.; Yavin, E.; Gibson, D. Cellular Interactions of Platinum Drugs. Inorganica Chim. Acta 2012, 393, 75–83. [Google Scholar] [CrossRef]
- Shen, C.; Harris, B.D.W.; Dawson, L.J.; Charles, K.A.; Hambley, T.W.; New, E.J. Fluorescent Sensing of Monofunctional Platinum Species. Chem. Comm. 2015, 51, 6312–6314. [Google Scholar] [CrossRef]
- Kolanowski, J.L.; Dawson, L.J.; Mitchell, L.; Lim, Z.; Graziotto, M.E.; Filipek, W.K.; Hambley, T.W.; New, E.J. A Fluorescent Probe for Investigating Metabolic Stability of Active Transplatin Analogues. Sens. Actuators B Chem. 2018, 255, 2721–2724. [Google Scholar] [CrossRef]
- Ong, J.X.; Yap, J.Y.; Yap, S.Q.; Ang, W.H. Structure-Activity Relationship Studies on Rhodamine B-Based Fluorogenic Probes and Their Activation by Anticancer Platinum(II) Compounds. J. Inorg. Biochem. 2015, 153, 272–278. [Google Scholar] [CrossRef] [PubMed]
- Montagner, D.; Yap, S.Q.; Ang, W.H. A Fluorescent Probe for Investigating the Activation of Anticancer Platinum(IV) Prodrugs Based on the Cisplatin Scaffold. Angew. Chem. 2013, 125, 12001–12005. [Google Scholar] [CrossRef]
- Ong, J.X.; Lim, C.S.Q.; Le, H.V.; Ang, W.H. A Ratiometric Fluorescent Probe for Cisplatin: Investigating the Intracellular Reduction of Platinum(IV) Prodrug Complexes. Angew. Chem. Int. Ed. 2019, 58, 164–167. [Google Scholar] [CrossRef] [PubMed]
- Ong, J.X.; Ang, W.H. Development of a Pre-Assembled Through-Bond Energy Transfer (TBET) Fluorescent Probe for Ratiometric Sensing of Anticancer Platinum(Ll) Complexes. Chem. Asian J. 2020, 15, 1449–1455. [Google Scholar] [CrossRef]
- Fan, F.; Zhang, L.; Mu, F.; Shi, G. Using a High Quantum Yield Fluorescent Probe with Two-Photon Excitation to Detect Cisplatin in Biological Systems. ACS Sens. 2021, 6, 1400–1406. [Google Scholar] [CrossRef]
- Song, Y.; Suntharalingam, K.; Yeung, J.S.; Royzen, M.; Lippard, S.J. Synthesis and Characterization of Pt(Iv) Fluorescein Conjugates to Investigate Pt(Iv) Intracellular Transformations. Bioconjug. Chem. 2013, 24, 1733–1740. [Google Scholar] [CrossRef]
- Ding, F.; Fan, Y.; Sun, Y.; Zhang, F. Beyond 1000 Nm Emission Wavelength: Recent Advances in Organic and Inorganic Emitters for Deep-Tissue Molecular Imaging. Adv. Healthc. Mater. 2019, 8, 1900260. [Google Scholar] [CrossRef]
- Hong, G.; Antaris, A.L.; Dai, H. Near-Infrared Fluorophores for Biomedical Imaging. Nat. Biomed. Eng. 2017, 1, 10. [Google Scholar] [CrossRef]
- Zhu, S.; Wang, X.; Cong, Y.; Li, L. Regulating the Optical Properties of Gold Nanoclusters for Biological Applications. ACS Omega 2020, 5, 22702–22707. [Google Scholar] [CrossRef]
- Zhou, F.; Feng, B.; Yu, H.; Wang, D.; Wang, T.; Liu, J.; Meng, Q.; Wang, S.; Zhang, P.; Zhang, Z.; et al. Cisplatin Prodrug-Conjugated Gold Nanocluster for Fluorescence Imaging and Targeted Therapy of the Breast Cancer. Theranostics 2016, 6, 679–687. [Google Scholar] [CrossRef]
- Yu, Z.; Xiao, H.; Zhang, X.; Yang, Y.; Yu, Y.; Chen, H.; Meng, X.; Ma, W.; Yu, M.; Li, Z.; et al. Illuminating Platinum Transportation While Maximizing Therapeutic Efficacy by Gold Nanoclusters via Simultaneous Near-Infrared-I/II Imaging and Glutathione Scavenging. ACS Nano 2020, 14, 13536–13547. [Google Scholar] [CrossRef]
- Ding, D.; Li, K.; Zhu, Z.; Pu, K.Y.; Hu, Y.; Jiang, X.; Liu, B. Conjugated Polyelectrolyte-Cisplatin Complex Nanoparticles for Simultaneous in Vivo Imaging and Drug Tracking. Nanoscale 2011, 3, 1997–2002. [Google Scholar] [CrossRef] [PubMed]
- Saha, M.L.; Yan, X.; Stang, P.J. Photophysical Properties of Organoplatinum(II) Compounds and Derived Self-Assembled Metallacycles and Metallacages: Fluorescence and Its Applications. Acc. Chem. Res. 2016, 49, 2527–2539. [Google Scholar] [CrossRef] [PubMed]
- Sun, Y.; Ding, F.; Zhou, Z.; Li, C.; Pu, M.; Xu, Y.; Zhan, Y.; Lu, X.; Li, H.; Yang, G.; et al. Rhomboidal Pt(II) Metallacycle-Based NIR-II Theranostic Nanoprobe for Tumor Diagnosis and Image-Guided Therapy. Proc. Natl. Acad. Sci. USA 2019, 116, 1968–1973. [Google Scholar] [CrossRef] [PubMed]
- Wang, Y.; Zhang, W.; Sun, P.; Cai, Y.; Xu, W.; Fan, Q.; Hu, Q.; Han, W. A Novel Multimodal NIR-II Nanoprobe for the Detection of Metastatic Lymph Nodes and Targeting Chemo-Photothermal Therapy in Oral Squamous Cell Carcinoma. Theranostics 2019, 9, 391–404. [Google Scholar] [CrossRef] [PubMed]
- Liu, Y.; Li, Z.; Chen, L.; Xie, Z. Near Infrared BODIPY-Platinum Conjugates for Imaging, Photodynamic Therapy and Chemotherapy. Dye. Pigm. 2017, 141, 5–12. [Google Scholar] [CrossRef]
- Xing, X.; Pang, E.; Zhao, S.; Pan, T.; Tan, Q.; Wang, B.; Song, X.; Lan, M. Cisplatin-Appended BODIPY for near Infrared II Fluorescent and Photoacoustic Imaging-Guided Synergistic Phototherapy and Chemotherapy of Cancer. Chin. Chem. Lett. 2024, 35, 108467. [Google Scholar] [CrossRef]
- Isaac, K.M.; Sabaraya, I.V.; Ghousifam, N.; Das, D.; Pekkanen, A.M.; Romanovicz, D.K.; Long, T.E.; Saleh, N.B.; Rylander, M.N. Functionalization of Single-Walled Carbon Nanohorns for Simultaneous Fluorescence Imaging and Cisplatin Delivery In Vitro. Carbon 2018, 138, 309–318. [Google Scholar] [CrossRef]
- Nasrollahi, F.; Koh, Y.R.; Chen, P.; Varshosaz, J.; Khodadadi, A.A.; Lim, S. Targeting Graphene Quantum Dots to Epidermal Growth Factor Receptor for Delivery of Cisplatin and Cellular Imaging. Mater. Sci. Eng. C 2019, 94, 247–257. [Google Scholar] [CrossRef]
- Liu, H.; Li, C.; Qian, Y.; Hu, L.; Fang, J.; Tong, W.; Nie, R.; Chen, Q.; Wang, H. Magnetic-Induced Graphene Quantum Dots for Imaging-Guided Photothermal Therapy in the Second near-Infrared Window. Biomaterials 2020, 232, 119700. [Google Scholar] [CrossRef]
- Chen, Y.; Xue, L.; Zhu, Q.; Feng, Y.; Wu, M. Recent Advances in Second Near-Infrared Region (NIR-II) Fluorophores and Biomedical Applications. Front. Chem. 2021, 9, 750404. [Google Scholar] [CrossRef]
- Gong, L.; Shan, X.; Zhao, X.H.; Tang, L.; Zhang, X.B. Activatable NIR-II Fluorescent Probes Applied in Biomedicine: Progress and Perspectives. ChemMedChem 2021, 16, 2426–2440. [Google Scholar] [CrossRef] [PubMed]
- Crișan, G.; Moldovean-cioroianu, N.S.; Timaru, D.G.; Andrieș, G.; Căinap, C.; Chiș, V. Radiopharmaceuticals for PET and SPECT Imaging: A Literature Review over the Last Decade. Int. J. Mol. Sci. 2022, 23, 5023. [Google Scholar] [CrossRef]
- Rahmim, A.; Zaidi, H. PET versus SPECT: Strengths, Limitations and Challenges. Nucl. Med. Commun. 2008, 29, 193–207. [Google Scholar] [CrossRef] [PubMed]
- Kawai, K.; Tanaka, Y.; Yukihiro, N. Synthesis of Platinum-195m Radiolabelled Cis-Diammine(l,l-Cyclobutanedicarboxylato) Platinum(L1) of High Radionuclidic Purity. J. Label. Compd. Radiopharm. 1995, 36, 65–71. [Google Scholar] [CrossRef]
- Anand, D.; Wolf, W. A New, Semi-Automated System for the Micro-Scale Synthesis of [195mPt]Cisplatin Suitable for Clinical Studies. Int. J. Rad. Appl. Instr. A 1992, 43, 809–814. [Google Scholar] [CrossRef] [PubMed]
- Bodnar, E.N.; Dikiy, M.P.; Medvedeva, E.P. Photonuclear Production and Antitumor Effect of Radioactive Cisplatin (195mPt). J. Radioanal. Nucl. Chem. 2015, 305, 133–138. [Google Scholar] [CrossRef]
- Dowell, J.A.; Sancho, A.R.; Anand, D.; Wolf, W. Noninvasive Measurements for Studying the Tumoral Pharmacokinetics of Platinum Anticancer Drugs in Solid Tumors. Adv. Drug Deliv. Rev. 2000, 41, 111–126. [Google Scholar] [CrossRef] [PubMed]
- Sathekge, M.; Wagener, J.; Smith, S.V.; Soni, N.; Marjanovic-Painter, B.; Zinn, C.; Van de Wiele, C.; D’Asseler, Y.; Perkins, G.; Zeevaart, J.R. Biodistribution and Dosimetry of 195mPt-Cisplatin in Normal Volunteers. Imaging Agent for Single Photon Emission Computed Tomography. Nucl. Med. 2013, 52, 222–227. [Google Scholar] [CrossRef]
- Aalbersberg, E.A.; de Wit van der Veen, B.J.; Zwaagstra, O.; van der Schilden, K.C.; Vegt, E.; Vogel, W.V. Preclinical Imaging Characteristics and Quantification of Platinum-195m SPECT. Eur. J. Nucl. Med. Mol. Imaging 2017, 44, 1347–1354. [Google Scholar] [CrossRef]
- Howell, R.W.; Kassis, A.I.; James Adelstein, S.; Rao, D.V.; Wright, H.A.; Hamm, R.N.; Turner, J.E.; Sastry, K.S.R. Radiotoxicity of Platinum-195m-Labeled Trans-Platinum (II) in Mammalian Cells. Radiat. Res. 1994, 140, 55–62. [Google Scholar] [CrossRef]
- Aalbersberg, E.A. Imaging Biomarker Development and Optimization of 195mPT-Cisplatin and 68Ga-DOTATATE; University of Utrecht: Utrecht, The Netherlands, 2019. [Google Scholar]
- Nadar, R.A.; Farbod, K.; van der Schilden, K.C.; Schlatt, L.; Crone, B.; Asokan, N.; Curci, A.; Brand, M.; Bornhaeuser, M.; Iafisco, M.; et al. Targeting of Radioactive Platinum-Bisphosphonate Anticancer Drugs to Bone of High Metabolic Activity. Sci. Rep. 2020, 10, 5889. [Google Scholar] [CrossRef] [PubMed]
- Nadar, R.A.; Franssen, G.M.; Van Dijk, N.W.M.; van der Schilden, K.C.; de Weijert, M.; Oosterwijk, E.; Iafisco, M.; Margiotta, N.; Heskamp, S.; van den Beucken, J.J.J.P.; et al. Bone Tumor-Targeted Delivery of Theranostic 195mPt-Bisphosphonate Complexes Promotes Killing of Metastatic Tumor Cells. Mater. Today Bio 2021, 9, 100088. [Google Scholar] [CrossRef]
- Areberg, J. Studies of Radioactive Cisplatin (191Pt) for Tumour Imaging and Therapy; Lund University: Malmo, Sweden, 2000. [Google Scholar]
- Areberg, J.; Norrgren, K.; Ren Mattsson, S. Absorbed Doses to Patients from 191 Pt-, 193m Pt-and 195m Pt-Cisplatin. Appl. Radiat. Isot. 1999, 51, 581–586. [Google Scholar] [CrossRef]
- Norrgren, K.; Sjölin, M.; Björkman, S.; Areberg, J.; Johnsson, A.; Johansson, L.; Mattsson, S. Comparative Renal, Hepatic, and Bone Marrow Toxicity of Cisplatin and Radioactive Cisplatin (191 Pt) in Wistar Rats. Cancer Biother. Radiopharm. 2006, 21, 528–534. [Google Scholar] [CrossRef] [PubMed]
- Areberg, J.; Johnsson, A.; Wennerberg, J. In Vitro Toxicity of (191)Pt-Labeled Cisplatin to a Human Cervical Carcinoma Cell Line (ME-180). Int. J. Radiat. Oncol. Biol. Phys. 2000, 46, 1275–1280. [Google Scholar] [CrossRef] [PubMed]
- Areberg, J.; Wennerberg, J.; Johnsson, A.; Norrgren, K.; Sören Mattsson, S. Antitumor Effect of Radioactive Cisplatin (191Pt) on Nude Mice. Int. J. Radiat. Oncol. Biol. Phys. 2001, 49, 827–832. [Google Scholar] [CrossRef]
- Vaidya, S.P.; Gadre, S.; Kamisetti, R.T.; Patra, M. Challenges and Opportunities in the Development of Metal-Based Anticancer Theranostic Agents. Biosci. Rep. 2022, 42, BSR20212160. [Google Scholar] [CrossRef] [PubMed]
- Holschbach, M.; Hamkens, W.; Steinbach, A.; Hamacher, K.; Stocklin, G. [13N]Cisplatin: A Fast and Efficient On-Line Synthesis Using a Solid State Support. Appl. Radial. Isot. 1997, 48, 739–744. [Google Scholar] [CrossRef]
- De Spiegeleer, B.; Slegers, G.; Vandecasteele, C.; Van den Bossche, W.; Schelstraete, K.; Claeys, A.; De Moerloose, P. Microscale Synthesis of Nitrogen-13-Labeled Cisplatin. J. Nucl. Med. 1986, 27, 399–403. [Google Scholar]
- Ginos, J.Z.; Cooper, A.J.L.; Dhawan, V.; Lai, J.C.K.; Strother, S.C.; Alcock, N.; Rottenberg, D.A.; Rottenberg, D.A. [13N]Cisplatin PET to Assess Pharmacokinetics of Intra-ArterialVersus Intravenous Chemotherapy for Malignant Brain Tumors. J. Nucl. Med. 1987, 28, 1844–1852. [Google Scholar]
- Lamichhane, N.; Dewkar, G.K.; Sundaresan, G.; Wang, L.; Jose, P.; Otabashi, M.; Morelle, J.L.; Farrell, N.; Zweit, J. 18F-Labeled Carboplatin Derivative for PET Imaging of Platinum Drug Distribution. J. Nucl. Med. 2017, 58, 1997–2003. [Google Scholar] [CrossRef]
- Cai, L.; Lu, S.; Pike, V.W. Chemistry with [18F]Fluoride Ion. Eur. J. Org. Chem. 2008, 2008, 2853–2873. [Google Scholar] [CrossRef]
- Holland, J.P.; Williamson, M.J.; Lewis, J.S. Unconventional Nuclides for Radiopharmaceuticals. Mol. Imaging 2010, 9, 1–20. [Google Scholar] [CrossRef]
- Lamichhane, N.; Dewkar, G.K.; Sundaresan, G.; Mahon, R.N.; Zweit, J. [18F]-Fluorinated Carboplatin and [111in]-Liposome for Image-Guided Drug Delivery. Int. J. Mol. Sci. 2017, 18, 1079. [Google Scholar] [CrossRef] [PubMed]
- Cosialls, R.; Simó, C.; Borrós, S.; Gómez-Vallejo, V.; Schmidt, C.; Llop, J.; Cuenca, A.B.; Casini, A. PET Imaging of Self-Assembled 18F-Labelled Pd2L4 Metallacages for Anticancer Drug Delivery. Chem. Eur. J. 2023, 29, e202202604. [Google Scholar] [CrossRef]
- Li, X.; Zhao, X.; Wang, W.; Shi, Z.; Zhang, Y.; Tian, Q.; Yao, Y.; He, C.; Duan, C. Biomedical Applications of Multinuclear Pt(II)/Ru(II)/Ir(III) Metallo-Supramolecular Assemblies for Intensive Cancer Therapy. Coord. Chem. Rev. 2023, 495, 215366. [Google Scholar] [CrossRef]
- Khosravifarsani, M.; Ait-Mohand, S.; Paquette, B.; Sanche, L.; Guérin, B. High Cytotoxic Effect by Combining Copper-64 with a NOTA-Terpyridine Platinum Conjugate. J. Med. Chem. 2021, 64, 6765–6776. [Google Scholar] [CrossRef] [PubMed]
- Khosravifarsani, M.; Ait-Mohand, S.; Paquette, B.; Sanche, L.; Guérin, B. Design, Synthesis, and Cytotoxicity Assessment of [64cu]Cu-Nota-Terpyridine Platinum Conjugate: A Novel Chemoradiotherapeutic Agent with Flexible Linker. Nanomaterials 2021, 11, 2154. [Google Scholar] [CrossRef]
- Gutfilen, B.; Mendes, F.; Guérin, B. In Vivo Behaviour of [64Cu]NOTA-Terpyridine Platinum, a Novel Chemo-Radio-Theranostic Agent for Imaging, and Theraphy of Colorectal Cancer. Front. Med. 2022, 9, 975213. [Google Scholar] [CrossRef]
- Lo, R.; Majid, A.; Fruhwirth, G.O.; Vilar, R. Radiolabelling Pt-Based Quadruplex DNA Binders via Click Chemistry. Bioorg. Med. Chem. 2022, 76, 117097. [Google Scholar] [CrossRef]
- Imberti, C.; Lok, J.; Coverdale, J.P.C.; Carter, O.W.L.; Fry, M.E.; Postings, M.L.; Kim, J.; Firth, G.; Blower, P.J.; Sadler, P.J. Radiometal-Labeled Photoactivatable Pt(IV) Anticancer Complex for Theranostic Phototherapy. Inorg. Chem. 2023, 62, 20745–20753. [Google Scholar] [CrossRef] [PubMed]
- Weissleder, R.; Pittet, M.J. Imaging in the Era of Molecular Oncology. Nature 2008, 452, 580–589. [Google Scholar] [CrossRef]
- Ara, S.A.; Katti, G.; Shireen, A. Magnetic Resonance Imaging (MRI)—A Review. Int. J. Clin. Dent. 2011, 3, 65–70. [Google Scholar]
- Verwilst, P.; Park, S.; Yoon, B.; Kim, J.S. Recent Advances in Gd-Chelate Based Bimodal Optical/MRI Contrast Agents. Chem. Soc. Rev. 2015, 44, 1791–1806. [Google Scholar] [CrossRef] [PubMed]
- Cabral, H.; Nishiyama, N.; Kataoka, K. Optimization of (1,2-Diamino-Cyclohexane)Platinum(II)-Loaded Polymeric Micelles Directed to Improved Tumor Targeting and Enhanced Antitumor Activity. J. Control. Release 2007, 121, 146–155. [Google Scholar] [CrossRef]
- Wahsner, J.; Gale, E.M.; Rodríguez-Rodríguez, A.; Caravan, P. Chemistry of MRI Contrast Agents: Current Challenges and New Frontiers. Chem. Rev. 2019, 119, 957–1057. [Google Scholar] [CrossRef]
- Lohrke, J.; Frenzel, T.; Endrikat, J.; Alves, F.C.; Grist, T.M.; Law, M.; Lee, J.M.; Leiner, T.; Li, K.C.; Nikolaou, K.; et al. 25 Years of Contrast-Enhanced MRI: Developments, Current Challenges and Future Perspectives. Adv. Ther. 2016, 33, 1–28. [Google Scholar] [CrossRef] [PubMed]
- Medical Imaging Drugs Advisory Committee Meeting. Gadolinium Retention after Gadolinium Based Contrast Magnetic Resonance Imaging in Patients with Normal Renal Function Briefing Document. 2017. Available online: https://www.fda.gov/media/107133/download (accessed on 25 April 2024).
- Zhang, Z.; Nair, S.A.; Mcmurry, T.J. Gadolinium Meets Medicinal Chemistry: MRI Contrast Agent Development. Curr. Med. Chem. 2005, 12, 751–778. [Google Scholar] [CrossRef]
- William, W.N.; Zinner, R.G.; Karp, D.D.; Oh, Y.W.; Glisson, B.S.; Phan, S.-C.; Stewart, D.J. Phase I Trial of Motexafin Gadolinium in Combination with Docetaxel and Cisplatin for the Treatment of Non-Small Cell Lung Cancer. J. Thorac. Oncol. 2007, 2, 745–750. [Google Scholar] [CrossRef]
- Brugger, R.M. Gadolinium as Xda Neutron Capture Therapy Agent. Med. Phys. 1992, 19, 733–744. [Google Scholar] [CrossRef]
- Salt, C.; Lennox, A.J.; Takagaki, M.; Maguire, J.A.; Hosmane, N.S. Boron and Gadolinium Neutron Capture Therapy. Russ. Chem. Bull. 2004, 53, 1871–1888. [Google Scholar] [CrossRef]
- Feng, J.; Luo, Q.; Chen, Y.; Li, B.; Luo, K.; Lan, J.; Yu, Y.; Zhang, S. DOTA Functionalized Cross-Linked Small-Molecule Micelles for Theranostics Combining Magnetic Resonance Imaging and Chemotherapy. Bioconjug. Chem. 2018, 29, 3402–3410. [Google Scholar] [CrossRef] [PubMed]
- Kaida, S.; Cabral, H.; Kumagai, M.; Kishimura, A.; Terada, Y.; Sekino, M.; Aoki, I.; Nishiyama, N.; Tani, T.; Kataoka, K. Visible Drug Delivery by Supramolecular Nanocarriers Directing to Single-Platformed Diagnosis and Therapy of Pancreatic Tumor Model. Cancer Res. 2010, 70, 7031–7041. [Google Scholar] [CrossRef] [PubMed]
- Wang, J.; Wang, X.; Song, Y.; Wang, J.; Zhang, C.; Chang, C.; Yan, J.; Qiu, L.; Wu, M.; Guo, Z. A Platinum Anticancer Theranostic Agent with Magnetic Targeting Potential Derived from Maghemite Nanoparticles. Chem. Sci. 2013, 4, 2605–2612. [Google Scholar] [CrossRef]
- Rammohan, N.; MacRenaris, K.W.; Moore, L.K.; Parigi, G.; Mastarone, D.J.; Manus, L.M.; Lilley, L.M.; Preslar, A.T.; Waters, E.A.; Filicko, A.; et al. Nanodiamond-Gadolinium(III) Aggregates for Tracking Cancer Growth in Vivo at High Field. Nano Lett. 2016, 16, 7551–7564. [Google Scholar] [CrossRef] [PubMed]
- Robertson, A.G.; Rendina, L.M. Gadolinium Theranostics for the Diagnosis and Treatment of Cancer. Chem. Soc. Rev. 2021, 50, 4231–4244. [Google Scholar] [CrossRef] [PubMed]
- Crossley, E.L.; Aitken, J.B.; Vogt, S.; Harris, H.H.; Rendina, L.M. Selective Aggregation of a Platinum-Gadolinium Complex within a Tumor-Cell Nucleus. Angew. Chem. Int. Ed. 2010, 49, 1231–1233. [Google Scholar] [CrossRef] [PubMed]
- Fenton, J.M.; Busse, M.; Rendina, L.M. Synthesis and DNA-Binding Studies of a Dinuclear Gadolinium(Iii)-Platinum(Ii) Complex. Aust. J. Chem. 2015, 68, 576–580. [Google Scholar] [CrossRef]
- Zhu, Z.; Wang, X.; Li, T.; Aime, S.; Sadler, P.J.; Guo, Z. Platinum(II)-Gadolinium(III) Complexes as Potential Single-Molecular Theranostic Agents for Cancer Treatment. Angew. Chem. Int. Ed. 2014, 53, 13225–13228. [Google Scholar] [CrossRef]
- Rosenthal, D.I.; Nurenberg, P.; Becerra, C.R.; Frenkel, E.P.; Carbone, D.P.; Lum, B.L.; Miller, R.; Engel, J.; Young, S.; Miles, D.; et al. A Phase I Single-Dose Trial of Gadolinium Texaphyrin (Gd-Tex), a Tumor Selective Radiation Sensitizer Detectable by Magnetic Resonance Imaging. Clin. Cancer Res. 1999, 5, 739–745. [Google Scholar] [PubMed]
- Pica, A.; Rosenthal, D.I.; Koprowski, C.; Schea, R.; Ruckle, J.; Tishler, R.; Larner, J.M.; Arwood, D.; Haie-Meder, C.; Young, S.; et al. A Phase Multi-Dose Trial of Gadolinium-Texaphyrin (Gd-Tex) as a Radiosensitizer in Patients with Brain Metastases Treated with Conventional Radiation Therapy: Preliminary Results. Int. J. Radiat. Oncol. Biol. Phys. 1997, 39, 270. [Google Scholar] [CrossRef]
- Miller, R.A.; Woodburn, K.; Fan, Q.; Renschler, M.F.; Sessler, J.L.; Koutcher, J.A. In Vivo Animal Studies with Gadolinium (III) Texaphyrin as a Radiation Enhancer. Int. J. Radiat. Oncol. Biol. Phys. 1999, 45, 981–989. [Google Scholar] [CrossRef] [PubMed]
- Mody, T.D.; Sessler, J.L. Texaphyrins: A New Approach to Drug Development. J. Porphyr. Phthalocyanines 2001, 5, 134–142. [Google Scholar] [CrossRef]
- Magda, D.J.; Wang, Z.; Gerasimchuk, N.; Wei, W.; Anzenbacher, P.; Sessler, J.L. Synthesis of Texaphyrin Conjugates. Pure Appl. Chem. 2004, 76, 365–374. [Google Scholar] [CrossRef]
- Arambula, J.F.; Sessler, J.L.; Fountain, M.E.; Wei, W.; Magda, D.; Siddik, Z.H. Gadolinium Texaphyrin (Gd-Tex)-Malonato-Platinum Conjugates: Synthesis Comparison with Carboplatin in Normal and Pt-Resistant Cell Lines. Dalton Trans. 2009, 48, 10834–10840. [Google Scholar] [CrossRef] [PubMed]
- Arambula, J.F.; Sessler, J.L.; Siddik, Z.H. Overcoming Biochemical Pharmacologic Mechanisms of Platinum Resistance with a Texaphyrin-Platinum Conjugate. Bioorg. Med. Chem. Lett. 2011, 21, 1701–1705. [Google Scholar] [CrossRef] [PubMed]
- Arambula, J.F.; Sessler, J.L.; Siddik, Z.H. A Texaphyrin-Oxaliplatin Conjugate That Overcomes Both Pharmacologic and Molecular Mechanisms of Cisplatin Resistance in Cancer Cells. Medchemcomm 2012, 3, 1275–1281. [Google Scholar] [CrossRef]
- Thiabaud, G.; Arambula, J.F.; Siddik, Z.H.; Sessler, J.L. Photoinduced Reduction of Pt(IV) within an Anti-Proliferative Pt(IV)-Texaphyrin Conjugate. Chemistry 2014, 20, 8942–8947. [Google Scholar] [CrossRef]
- Thiabaud, G.; He, G.; Sen, S.; Shelton, K.A.; Baze, W.B.; Segura, L.; Alaniz, J.; Munoz Macias, R.; Lyness, G.; Watts, A.B.; et al. Oxaliplatin Pt(IV) Prodrugs Conjugated to Gadolinium-Texaphyrin as Potential Antitumor Agents. Proc. Natl. Acad. Sci. USA 2020, 117, 7021–7029. [Google Scholar] [CrossRef]
- Thiabaud, G.; McCall, R.; He, G.; Arambula, J.F.; Siddik, Z.H.; Sessler, J.L. Activation of Platinum(IV) Prodrugs By Motexafin Gadolinium as a Redox Mediator. Angew. Chem. Int. Ed. 2016, 128, 12816–12821. [Google Scholar] [CrossRef]
- Adams, C.J.; Meade, T.J. Gd(III)-Pt(IV) Theranostic Contrast Agents for Tandem MR Imaging and Chemotherapy. Chem. Sci. 2020, 11, 2524–2530. [Google Scholar] [CrossRef] [PubMed]
- Adams, C.J.; Meade, T.J. Towards Imaging Pt Chemoresistance Using Gd(III)-Pt(II) Theranostic MR Contrast Agents. ChemMedChem 2021, 16, 3663–3671. [Google Scholar] [CrossRef] [PubMed]
- Dadwal, A.; Baldi, A.; Narang, R.K. Nanoparticles as Carriers for Drug Delivery in Cancer. Artif. Cells Nanomed. Biotechnol. 2018, 46, 295–305. [Google Scholar] [CrossRef] [PubMed]
- De Jong, W.H.; Borm, P.J.A. Drug Delivery and Nanoparticles: Applications and Hazards. Int. J. Nanomed. 2008, 3, 133–149. [Google Scholar] [CrossRef] [PubMed]
- Maeda, H.; Wu, J.; Sawa, T.; Matsumura, Y.; Hori, K. Tumor Vascular Permeability and the EPR Effect in Macromolecular Therapeutics: A Review. J. Control. Release 2000, 65, 271–284. [Google Scholar] [CrossRef] [PubMed]
- Matsumura, Y.; Kataoka, K. Preclinical and Clinical Studies of Anticancer Agent-Incorporating Polymer Micelles. Cancer Sci. 2009, 100, 572–579. [Google Scholar] [CrossRef]
- Kalyane, D.; Raval, N.; Maheshwari, R.; Tambe, V.; Kalia, K.; Tekade, R.K. Employment of Enhanced Permeability and Retention Effect (EPR): Nanoparticle-Based Precision Tools for Targeting of Therapeutic and Diagnostic Agent in Cancer. Mater. Sci. Eng. C 2019, 98, 1252–1276. [Google Scholar] [CrossRef] [PubMed]
- Ganesan, K.; Wang, Y.; Gao, F.; Liu, Q.; Zhang, C.; Li, P.; Zhang, J.; Chen, J. Targeting Engineered Nanoparticles for Breast Cancer Therapy. Pharmaceutics 2021, 13, 1829. [Google Scholar] [CrossRef]
- Navya, P.N.; Kaphle, A.; Srinivas, S.P.; Bhargava, S.K.; Rotello, V.M.; Daima, H.K. Current Trends and Challenges in Cancer Management and Therapy Using Designer Nanomaterials. Nano Converg. 2019, 6, 23. [Google Scholar] [CrossRef]
- Kumari, P.; Ghosh, B.; Biswas, S. Nanocarriers for Cancer-Targeted Drug Delivery. J. Drug Target. 2016, 24, 179–189. [Google Scholar] [CrossRef] [PubMed]
- Choi, M.R.; Bardhan, R.; Stanton-Maxey, K.J.; Badve, S.; Nakshatri, H.; Stantz, K.M.; Cao, N.; Halas, N.J.; Clare, S.E. Delivery of Nanoparticles to Brain Metastases of Breast Cancer Using a Cellular Trojan Horse. Cancer Nanotechnol. 2012, 3, 47–54. [Google Scholar] [CrossRef] [PubMed]
- Zhao, X.; Pan, J.; Li, W.; Yang, W.; Qin, L.; Pan, Y. Gold Nanoparticles Enhance Cisplatin Delivery and Potentiate Chemotherapy by Decompressing Colorectal Cancer Vessels. Int. J. Nanomed. 2018, 13, 6207–6221. [Google Scholar] [CrossRef]
- Varache, M.; Bezverkhyy, I.; Weber, G.; Saviot, L.; Chassagnon, R.; Baras, F.; Bouyer, F. Loading of Cisplatin into Mesoporous Silica Nanoparticles: Effect of Surface Functionalization. Langmuir 2019, 35, 8984–8995. [Google Scholar] [CrossRef] [PubMed]
- Cabral, H.; Nishiyama, N.; Okazaki, S.; Koyama, H.; Kataoka, K. Preparation and Biological Properties of Dichloro (1,2-Diaminocyclohexane) Platinum(II) (DACHPt)-Loaded Polymeric Micelles. J. Control. Release 2005, 101, 223–232. [Google Scholar] [CrossRef] [PubMed]
- Jokerst, J.V.; Lobovkina, T.; Zare, R.N.; Gambhir, S.S. Nanoparticle PEGylation for Imaging and Therapy. Nanomedicine 2011, 6, 715–728. [Google Scholar] [CrossRef] [PubMed]
- McCarthy, J.R.; Weissleder, R. Multifunctional Magnetic Nanoparticles for Targeted Imaging and Therapy. Adv. Drug Deliv. Rev. 2008, 60, 1241–1251. [Google Scholar] [CrossRef]
- Kato, K.; Hamaguchi, T.; Yasui, H.; Okusaka, T.; Ueno, H.; Ikeda, M.; Shirao, K.; Shimada, Y.; Nakahama, H.; Muro, K.; et al. Phase I Study of NK105, a Paclitaxel-Incorporating Micellar Nanoparticle, in Patients with Advanced Cancer. J. Clin. Oncol. 2006, 24, 2018. [Google Scholar] [CrossRef]
- Wilson, R.H.; Plummer, R.; Adam, J.; Eatock, M.M.; Boddy, A.V.; Griffin, M.; Miller, R.; Matsumura, Y.; Shimizu, T.; Calvert, H. Phase I and Pharmacokinetic Study of NC-6004, a New Platinum Entity of Cisplatin-Conjugated Polymer Forming Micelles. J. Clin. Oncol. 2008, 26, 2573. [Google Scholar] [CrossRef]
- Anelli, P.L.; Lattuada, L.; Lorusso, V.; Schneider, M.; Tournier, H.; Uggeri, F. Mixed Micelles Containing Lipophilic Gadolinium Complexes as MRA Contrast Agents. Magn. Reson. Mater. Phys. Biol. Med. 2001, 12, 114–120. [Google Scholar] [CrossRef]
- Yang, C.T.; Padmanabhan, P.; Gulyás, B.Z. Gadolinium(III) Based Nanoparticles for: T1-Weighted Magnetic Resonance Imaging Probes. RSC Adv. 2016, 6, 60945–60966. [Google Scholar] [CrossRef]
- Ghezzi, M.; Pescina, S.; Padula, C.; Santi, P.; Del Favero, E.; Cantù, L.; Nicoli, S. Polymeric Micelles in Drug Delivery: An Insight of the Techniques for Their Characterization and Assessment in Biorelevant Conditions. J. Control. Release 2021, 332, 312–336. [Google Scholar] [CrossRef] [PubMed]
- Nishiyama, N.; Kataoka, K. Current State, Achievements, and Future Prospects of Polymeric Micelles as Nanocarriers for Drug and Gene Delivery. Pharmacol. Ther. 2006, 112, 630–648. [Google Scholar] [CrossRef] [PubMed]
- Vinh, N.Q.; Naka, S.; Cabral, H.; Murayama, H.; Kaida, S.; Kataoka, K.; Morikawa, S.; Tani, T. MRI-Detectable Polymeric Micelles Incorporating Platinum Anticancer Drugs Enhance Survival in an Advanced Hepatocellular Carcinoma Model. Int. J. Nanomed. 2015, 10, 4137–4147. [Google Scholar] [CrossRef]
- Devaraj, S.; Munichandraiah, N. Effect of Crystallographic Structure of MnO2 on Its Electrochemical Capacitance Properties. J. Phys. Chem. C 2008, 112, 4406–4417. [Google Scholar] [CrossRef]
- Hao, Y.; Wang, L.; Zhang, B.; Li, D.; Meng, D.; Shi, J.; Zhang, H.; Zhang, Z.; Zhang, Y. Manganese Dioxide Nanosheets-Based Redox/PH-Responsive Drug Delivery System for Cancer Theranostic Application. Int. J. Nanomed. 2016, 11, 1759–1778. [Google Scholar] [CrossRef]
- Bañobre-López, M.; García-Hevia, L.; Cerqueira, M.F.; Rivadulla, F.; Gallo, J. Tunable Performance of Manganese Oxide Nanostructures as MRI Contrast Agents. Chem. Eur. J. 2018, 24, 1295–1303. [Google Scholar] [CrossRef] [PubMed]
- Brito, B.; Ruggiero, M.R.; Price, T.W.; da Costa Silva, M.; Genicio, N.; Wilson, A.J.; Tyurina, O.; Rosecker, V.; Eykyn, T.R.; Bañobre-López, M.; et al. Redox Double-Switch Cancer Theranostics through Pt(Iv) Functionalised Manganese Dioxide Nanostructures. Nanoscale 2023, 15, 10763–10775. [Google Scholar] [CrossRef] [PubMed]
- Zhang, Z.; Yan, W.; Ji, Y. A Novel Manganese Dioxide-Based Drug Delivery Strategy via in Situ Coating γ-Polyglutamic Acid/Cisplatin for Intelligent Anticancer Therapy. J. Mater. Chem. B 2023, 11, 667–674. [Google Scholar] [CrossRef]
- Grllrs, P.; Koenigi, S.H. Transverse Relaxation of Solvent Protons Induced by Magnetized Spheres: Application to Feffitin, Erythrocytes, and Magnetite. Magn. Reson. Med. 1987, 5, 323–345. [Google Scholar]
- Cheng, J.; Zhu, Y.; Xing, X.; Xiao, J.; Chen, H.; Zhang, H.; Wang, D.; Zhang, Y.; Zhang, G.; Wu, Z.; et al. Manganese-Deposited Iron Oxide Promotes Tumor-Responsive Ferroptosis That Synergizes the Apoptosis of Cisplatin. Theranostics 2021, 11, 5418–5429. [Google Scholar] [CrossRef] [PubMed]
- Wang, J.; Wang, X.; Song, Y.; Zhu, C.; Wang, J.; Wang, K.; Guo, Z. Detecting and Delivering Platinum Anticancer Drugs Using Fluorescent Maghemite Nanoparticles. Chem. Commun. 2013, 49, 2786–2788. [Google Scholar] [CrossRef] [PubMed]
- Hu, Y.; Hu, H.; Yan, J.; Zhang, C.; Li, Y.; Wang, M.; Tan, W.; Liu, J.; Pan, Y. Multifunctional Porous Iron Oxide Nanoagents for MRI and Photothermal/Chemo Synergistic Therapy. Bioconjug. Chem. 2018, 29, 1283–1290. [Google Scholar] [CrossRef] [PubMed]
- Xing, R.; Wang, X.; Zhang, C.; Wang, J.; Zhang, Y.; Song, Y.; Guo, Z. Superparamagnetic Magnetite Nanocrystal Clusters as Potential Magnetic Carriers for the Delivery of Platinum Anticancer Drugs. J. Mater. Chem. 2011, 21, 11142–11149. [Google Scholar] [CrossRef]
- Zhu, Z.; Wang, Z.; Hao, Y.; Zhu, C.; Jiao, Y.; Chen, H.; Wang, Y.M.; Yan, J.; Guo, Z.; Wang, X. Glutathione Boosting the Cytotoxicity of a Magnetic Platinum(Iv) Nano-Prodrug in Tumor Cells. Chem. Sci. 2016, 7, 2864–2869. [Google Scholar] [CrossRef] [PubMed]
- Mukherjee, S.; Patra, D.; Dash, T.K.; Chakraborty, I.; Bhattacharyya, R.; Senapati, S.; Shunmugam, R. Design and Synthesis of a Dual Imageable Theranostic Platinum Prodrug for Efficient Cancer Therapy. Polym. Chem. 2019, 10, 3066–3078. [Google Scholar] [CrossRef]
- Li, H.; Harriss, B.I.; Phinikaridou, A.; Lacerda, S.; Ramniceanu, G.; Doan, B.T.; Ho, K.L.; Chan, C.F.; Lo, W.S.; Botnar, R.M.; et al. Gadolinium and Platinum in Tandem: Real-Time Multi-Modal Monitoring of Drug Delivery by Mri and Fluorescence Imaging. Nanotheranostics 2017, 1, 186–195. [Google Scholar] [CrossRef]


























| Molecular Mechanism | Factor (Function) | Preclinical Evidence | Clinical Evidence | |
|---|---|---|---|---|
| Pre-target resistance | Reduced uptake | CTR1 (plasma membrane copper transporter) | Knockdown of CTR1 reduces cisplatin uptake (80%) in both yeast and mouse embryonic fibroblasts [15]. | NSCLC tumors with undetectable CTR1 expression exhibit reduced intratumorally platinum concentration [5]. |
| Increased efflux | ATP7A/ATP7B (copper P-type ATPases involved in the regulation of ion homeostasis). | Overexpression of ATP7B in human oral squamous cells resulted in cisplatin resistance [16]. Human ovarian carcinoma cells with ATP7A overexpression show higher resistance to cisplatin, carboplatin and oxaliplatin [8]. | Elevated expression of ATP7A is associated with reduced clinical outcome for patients with ovarian cancer [7]. High ATP7B expression in ovarian carcinoma correlates with poor clinical outcomes in cisplatin-based chemotherapy-treated patients [17]. | |
| Increased inactivation | GSH/γ-GCS/GST | Cisplatin resistant cells often exhibit elevated levels of GSH, γ-GCS and GST [9,10,11]. | No conclusive clinical evidence. | |
| On-target resistance | Nucleotide excision repair (NER) | ERCC1 (single-strand endonuclease) | Increased ERCC1 expression is associated with cisplatin resistance in human hepatocellular carcinoma and human cervical tumor cell lines [18,19]. | Positive ERCC1 expression and cisplatin clinical resistance in non-small cell lung, ovarian cancer and human hepatocellular carcinoma [18,20,21]. |
| DNA mismatch repair (MMR) | MLH1 (protein that initiates DNA repair) | – | MLH1 deficiency is correlated with cisplatin resistance in esophageal cancer [22]. Low MLH1 expression was associated with improved prognosis in ovarian cancer [23]. | |
| NER, MMR and base excision repair | HMGB1 (protein involved in transcriptional regulation, DNA replication and repair) | Higher HMGB1 expression was associated with higher cisplatin resistance in lung adenocarcinoma cell line [24]. HMGB1-induced cell autophagy contributes to cisplatin resistance in cervical cancer cells [25]. | HMGB1 overexpression significantly promoted cisplatin resistance of NSCLC in vitro and in vivo [26]. Positive HMGB1 expression is strongly associated with cisplatin resistance in gastric cancer patients [27]. | |
| Post-target resistance | – | TP53 (tumor-suppressive protein that controls DNA repair and apoptosis in response to stress). | Full knock-out of TP53 in human testicular cancer-derived embryonal carcinoma cell line resulted in higher cisplatin resistance [28,29]. | NSCLC patients harboring wild-type TP53 are associated with longer survival after cisplatin-based chemotherapy than patients with TP53 mutations [30]. |
| Off-target resistance | Autophagy | – | Ovarian and lung cancer cells showed cisplatin-induced autophagy [31,32,33]. | No data reported. |
| – | ERBB2/HER-2 (Oncogenic EGKR-like receptor that is overactivated in different types of cancer). | HER2 protein is overexpressed in cisplatin-resistant gastric cancer cells [34]. | High expression of HER2 is correlated with cisplatin resistance in NSCLC patients [35]. |
| Imaging Method | Imaging Time | Main Purpose | Benefits | Limitations |
|---|---|---|---|---|
| Fluorescence | Sec-Min | Monitoring tumor response to treatment, metastatic spread; imaging gene expression and protein–protein interaction. | Relativity non-invasive and cheap. Easy labeling with many fluorescent molecules available. High sensitivity. No ionizing radiation. | Limited clinical applications. Potential incompatibility and toxicity of fluorescent probes. Limited wavelength range (700–900 nm). Limited tissue penetration (≤2 cm). |
| PET | Min | Pharmacodynamics, pathophysiology, pharmacokinetics. | High sensitivity. Functional imaging is feasible. Fully quantitative. | Poor spatial resolution. Requires use of ionizing radiation. Limited accessibility. |
| SPECT | Min | Pharmacodynamics, pathophysiology, pharmacokinetics | High sensitivity. Quantitative. High versatility. | Requires use of ionizing radiation. Poor spatial resolution. |
| MRI | Min-hours | Pharmacodynamics, pathophysiology, pharmacokinetics, anatomy. | Good spatial resolution. No ionizing radiation. Several contrast agents and nanodevices are widely used for clinical imaging. | Poor sensitivity. Difficult real-time imaging. High dosage of contrast agent (potential toxicity and accumulation). |
| Radionuclide | Half-Life (Days) | Energies (keV) | Decay Mode | Method of Production |
|---|---|---|---|---|
| 191Pt | 2.86 | 539 | EC 1 | 191Ir (d,2n)191Pt |
| 193mPt | 4.33 | 66–77 | IT 2 (100%) Auger electrons. | 193Ir(d,2n)193mPt |
| 195mPt | 4.02 | 66–77, 99, 129 | IT (100%) Auger electrons. | 194Pt(n,γ) |
| 197Pt | 0.83 | 77, 191 | β− | 196Pt(n,γ) |
| Radionuclide | Half-Life | Emax (keV) | Radiation | Production | Production Reaction |
|---|---|---|---|---|---|
| PET radionuclides | |||||
| 13N | 10 min | 1199 | β+ (100%) | Cyclotron | 16O(p,α)13N |
| 18F | 110 min | 634 | β+ (97%) | Cyclotron | 18O(p,n)18F |
| 64Cu | 12.8 h | 656 | β+ (18%) | Cyclotron | 64Ni(p,n)64Cu |
| 68Ga | 67.6 min | 1900 | β+ (89%) | Generator | 68Ge → 68Ga + β− |
| SPECT radionuclides | |||||
| 99mTc | 6.0 h | 141 | γ | Generator | 99Mo → 99mTc |
| 111In | 67.9 h | 245, 172 | γ | Cyclotron | 112Cd (p, 2n)111In |
Disclaimer/Publisher’s Note: The statements, opinions and data contained in all publications are solely those of the individual author(s) and contributor(s) and not of MDPI and/or the editor(s). MDPI and/or the editor(s) disclaim responsibility for any injury to people or property resulting from any ideas, methods, instructions or products referred to in the content. |
© 2024 by the authors. Licensee MDPI, Basel, Switzerland. This article is an open access article distributed under the terms and conditions of the Creative Commons Attribution (CC BY) license (https://creativecommons.org/licenses/by/4.0/).
Share and Cite
Ferrari, G.; Lopez-Martinez, I.; Wanek, T.; Kuntner, C.; Montagner, D. Recent Advances on Pt-Based Compounds for Theranostic Applications. Molecules 2024, 29, 3453. https://doi.org/10.3390/molecules29153453
Ferrari G, Lopez-Martinez I, Wanek T, Kuntner C, Montagner D. Recent Advances on Pt-Based Compounds for Theranostic Applications. Molecules. 2024; 29(15):3453. https://doi.org/10.3390/molecules29153453
Chicago/Turabian StyleFerrari, Giulia, Ines Lopez-Martinez, Thomas Wanek, Claudia Kuntner, and Diego Montagner. 2024. "Recent Advances on Pt-Based Compounds for Theranostic Applications" Molecules 29, no. 15: 3453. https://doi.org/10.3390/molecules29153453
APA StyleFerrari, G., Lopez-Martinez, I., Wanek, T., Kuntner, C., & Montagner, D. (2024). Recent Advances on Pt-Based Compounds for Theranostic Applications. Molecules, 29(15), 3453. https://doi.org/10.3390/molecules29153453

