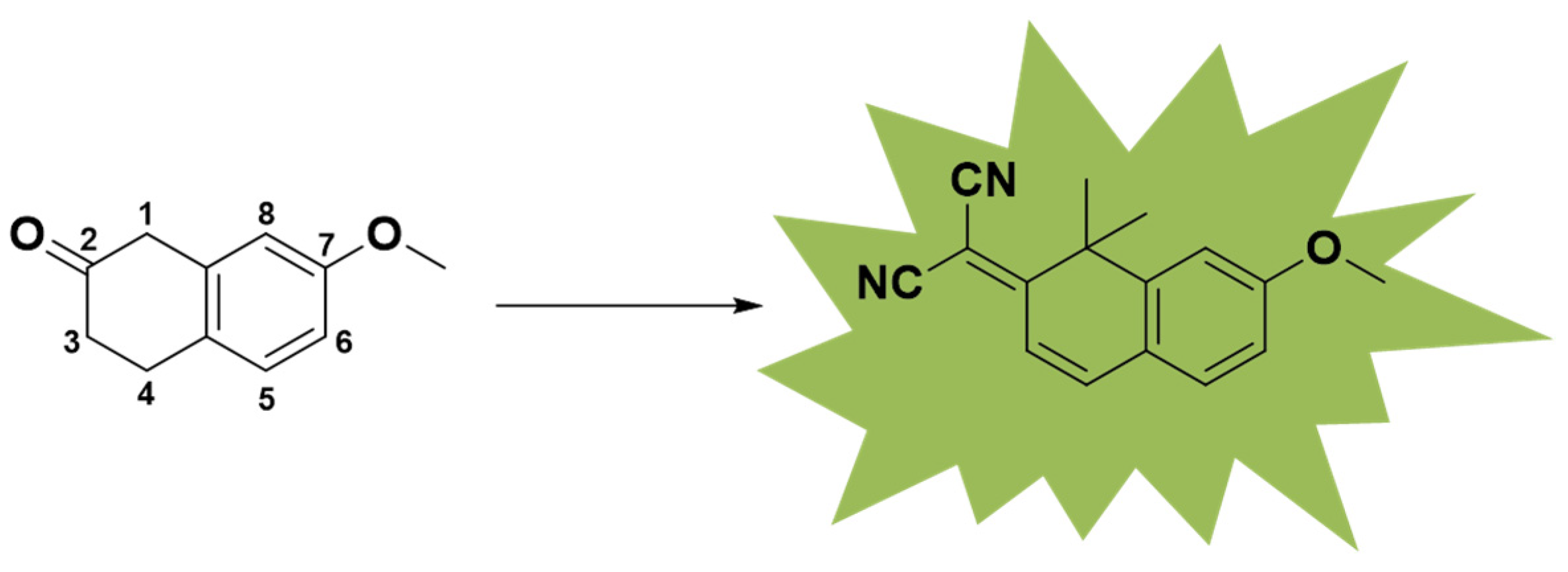
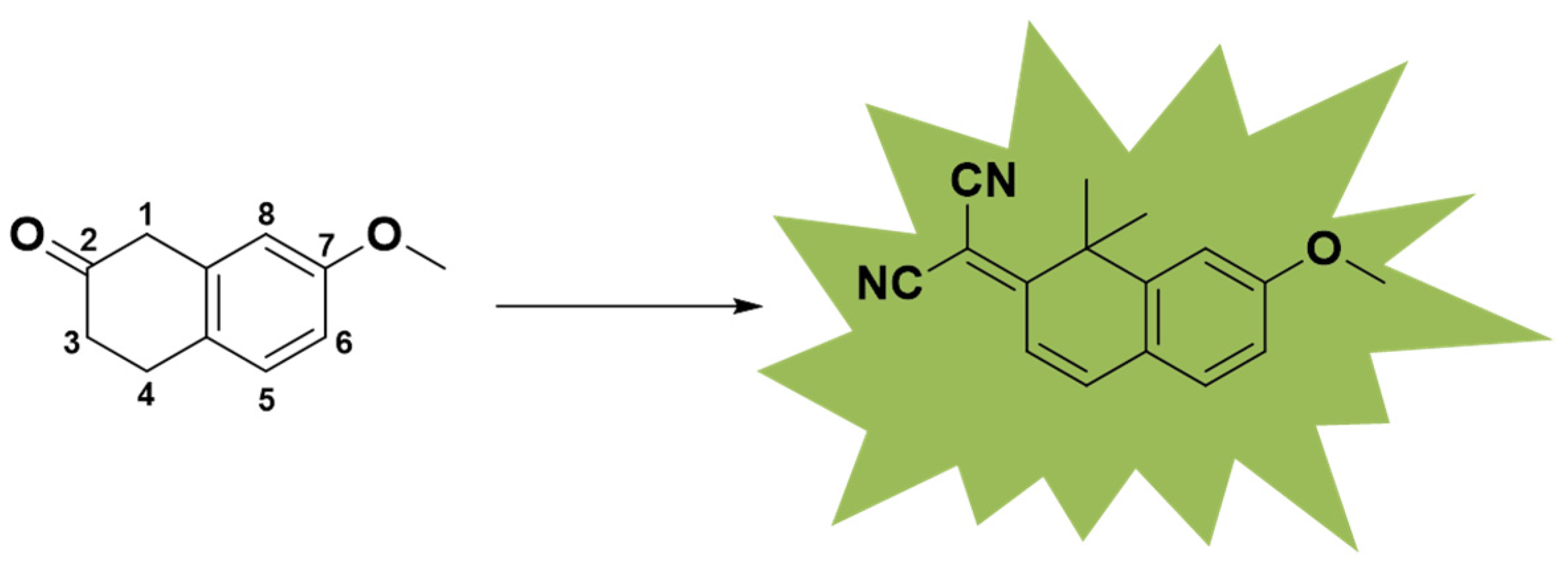
Design, Synthesis, and Evaluation of Small Fluorescent Molecules with a 1,1-Dimethylnaphthalen-2-(1H)-One Core
Abstract
1. Introduction
2. Results and Discussion
2.1. Spectral Properties
2.2. Calculation of the Electron Transition Orbital Energy of NC Compounds
2.3. Viscosity Sensitivities of the NC Compounds
2.4. Fluorescence Lifetimes of NC Compounds
2.5. Biological Evaluation
3. Experimental Section
3.1. Materials and Instruments
3.2. Synthetic Procedures for NC Compounds
3.3. Optical Properties Measurements
3.4. Fluorescence Lifetime Measurements
3.5. Molecular Orbitals Calculations
3.6. Cell Culture
3.7. In Vitro Cellular Uptake
4. Conclusions
Supplementary Materials
Author Contributions
Funding
Institutional Review Board Statement
Informed Consent Statement
Data Availability Statement
Acknowledgments
Conflicts of Interest
References
- Yao, J.; Yang, M.; Duan, Y. Chemistry, Biology, and Medicine of Fluorescent Nanomaterials and Related Systems: New Insights into Biosensing, Bioimaging, Genomics, Diagnostics, and Therapy. Chem. Rev. 2014, 114, 6130–6178. [Google Scholar] [CrossRef]
- Liu, Y.; Ai, K.; Yuan, Q.; Lu, L. Fluorescence-enhanced gadolinium-doped zinc oxide quantum dots for magnetic resonance and fluorescence imaging. Biomaterials 2011, 32, 1185–1192. [Google Scholar] [CrossRef] [PubMed]
- Chen, H.; Bai, Y.; Zheng, L.; Wu, L.; Wu, L.; Kong, Y.; Zhang, Y.; Xu, J. Interstitial oxygen defect induced mechanoluminescence in KCa (PO3)3: Mn2+. J. Mater. Chem. C 2020, 8, 6587–6594. [Google Scholar] [CrossRef]
- Xiao, Y.; Xiong, P.; Zhang, S.; Chen, K.; Tian, S.; Sun, Y.; Shao, P.; Qin, K.; Brik, M.G.; Ye, S.; et al. Deep-red to NIR mechanoluminescence in cen-trosymmetric perovskite MgGeO3: Mn2+ for potential dynamic signature anti-counterfeiting. Chem. Eng. J. 2023, 453, 139671. [Google Scholar] [CrossRef]
- Bai, Y.; Guo, X.; Tian, B.; Liang, Y.; Peng, D.; Wang, Z. Self-Charging Persistent Mechanoluminescence with Mechanics Storage and Visualization Activities. Adv. Sci. 2022, 9, e2203249. [Google Scholar] [CrossRef]
- Xiong, P.; Huang, B.; Peng, D.; Viana, B.; Peng, M.; Ma, Z. Self-Recoverable Mechanically Induced Instant Luminescence from Cr3+-Doped LiGa5O8. Adv. Funct. Mater. 2021, 31, 2010685. [Google Scholar] [CrossRef]
- Li, J.; Shen, P.; Zhao, Z.; Tang, B.Z. Through-Space Conjugation: A Thriving Alternative for Optoelectronic Materials. CCS Chem. 2018, 1, 181–196. [Google Scholar] [CrossRef]
- Sinkeldam, R.W.; Greco, N.J.; Tor, Y. Fluorescent Analogs of Biomolecular Building Blocks: Design, Properties, and Applications. Chem. Rev. 2010, 110, 2579–2619. [Google Scholar] [CrossRef]
- Yin, H.-Q.; Yin, X.-B. Metal–Organic Frameworks with Multiple Luminescence Emissions: Designs and Applications. Acc. Chem. Res. 2020, 53, 485–495. [Google Scholar] [CrossRef]
- Bialas, D.; Kirchner, E.; Röhr, M.I.S.; Würthner, F. Perspectives in Dye Chemistry: A Rational Approach toward Functional Materials by Understanding the Aggregate State. J. Am. Chem. Soc. 2021, 143, 4500–4518. [Google Scholar] [CrossRef]
- Shi, T.; Huang, C.; Li, Y.; Huang, F.; Yin, S. NIR-II phototherapy agents with aggregation-induced emission charac-teristics for tumor imaging and therapy. Biomaterials 2022, 285, 121535. [Google Scholar] [CrossRef]
- Huang, L.; Qian, C.; Ma, Z. Stimuli-Responsive Purely Organic Room-Temperature Phosphorescence Materials. Chem. Eur. J. 2020, 26, 11914–11930. [Google Scholar] [CrossRef] [PubMed]
- Rostami-Tapeh-Esmail, E.; Golshan, M.; Salami-Kalajahi, M.; Roghani-Mamaqani, H. Perylene-3,4,9,10-tetracarboxylic diimide and its derivatives: Synthesis, properties and bioapplications. Dye. Pigment. 2020, 180, 108488. [Google Scholar] [CrossRef]
- Lin, H.; Lv, Q.-B.; Wang, H.-F.; Zhao, K.-Q.; Hu, P.; Wang, B.-Q.; Heinrich, B.; Donnio, B. Organic dyads and triads based on the triphenylene-rylenediimide couple: Molecular design, self-organization, and photo-physical properties. Dye. Pigment. 2022, 197, 109911. [Google Scholar] [CrossRef]
- Huang, X.; Qian, L.; Zhou, Y.; Liu, M.; Cheng, Y.; Wu, H. Effective structural modification of traditional fluorophores to obtain organic mechanofluorochromic molecules. J. Mater. Chem. C 2018, 6, 5075–5096. [Google Scholar] [CrossRef]
- Suzuki, N.; Saikusa, M.; Hayashi, Y.; Maeda, T.; Yagi, S. Development of novel deep-red/near-infrared fluorescent dyes based on a pyridinium–cyclic enolate betaine skeleton. Dye. Pigment. 2023, 216, 111291. [Google Scholar] [CrossRef]
- Yang, F.; Zhang, Q.; Huang, S.; Ma, D. Recent advances of near infrared inorganic fluorescent probes for biomedical applications. J. Mater. Chem. B 2020, 8, 7856–7879. [Google Scholar] [CrossRef] [PubMed]
- Wang, D.; Su, H.; Kwok, R.T.K.; Hu, X.; Zou, H.; Luo, Q.; Lee, M.M.S.; Xu, W.; Lam, J.W.Y.; Tang, B.Z. Rational design of a water-soluble NIR AIEgen, and its application in ultrafast wash-free cellular imaging and photodynamic cancer cell ablation. Chem. Sci. 2018, 9, 3685–3693. [Google Scholar] [CrossRef]
- Matikonda, S.S.; Ivanic, J.; Gomez, M.; Hammersley, G.; Schnermann, M.J. Core remodeling leads to long wavelength fluoro-coumarins. Chem. Sci. 2020, 11, 7302–7307. [Google Scholar] [CrossRef]
- Wu, J.; Shi, Z.; Zhu, L.; Li, J.; Han, X.; Xu, M.; Hao, S.; Fan, Y.; Shao, T.; Bai, H.; et al. The Design and Bioimaging Applications of NIR Fluorescent Organic Dyes with High Brightness. Adv. Opt. Mater. 2022, 10, 2102514. [Google Scholar] [CrossRef]
- Day, S.-H.; Su, H.-J.; Lin, C.-N.; Yang, S.-Z. Constituents with a Novel Skeleton Isolated from Amentotaxus formosana. Helv. Chim. Acta 2002, 85, 2377–2382. [Google Scholar] [CrossRef]
- Deb, T.; Tu, J.; Franzini, R.M. Mechanisms and Substituent Effects of Metal-Free Bioorthogonal Reactions. Chem. Rev. 2021, 121, 6850–6914. [Google Scholar] [CrossRef]
- Prabu, S.; David, E.; Viswanathan, T.; Jinisha, J.A.; Malik, R.; Maiyelvaganan, K.R.; Prakash, M.; Palanisami, N. Ferrocene con-jugated donor-π-acceptor malononitrile dimer: Synthesis, theoretical calculations, electrochemical, optical and nonlinear optical studies. J. Mol. Struct. 2020, 1202, 127302. [Google Scholar] [CrossRef]
- Morales, A.R.; Frazer, A.; Woodward, A.W.; Ahn-White, H.Y.; Fonari, A.; Tongwa, P.; Timofeeva, T.; Belfield, K.D. Design, synthesis, and structural and spectroscopic studies of push–pull two-photon absorbing chromophores with acceptor groups of varying strength. J. Org. Chem. 2013, 78, 1014–1025. [Google Scholar] [CrossRef]









| Solvent | (nm) | (nm) | Δλ (nm) | QEin | AF |
|---|---|---|---|---|---|
| EA | 427 | 522 | 95 | 0.1097 | 0.0412 |
| DCM | 432 | 525 | 93 | 0.1105 | 0.0570 |
| EtOH | 426 | 537 | 111 | 0.1251 | 0.0372 |
| MeOH | 427 | 538 | 111 | 0.1103 | 0.0892 |
| MeCN | 425 | 534 | 109 | 0.1130 | 0.0372 |
| DMSO | 438 | 544 | 106 | 0.1131 | 0.0424 |
| PBS | 440 | 547 | 107 | 0.8512 | 0.0318 |
| H2O | 437 | 551 | 114 | 0.1078 | 0.0604 |
| DMSO | Lifetime (ns) | Chisqr | H2O | Lifetime (ns) | Chisqr |
|---|---|---|---|---|---|
| NC-4 | 0.4865 | 1.1646 | NC-4 | 0.7109 | 1.2095 |
| NC-4-F | 1.1789 | 1.4828 | NC-4-F | 0.8214 | 1.2838 |
| NC-4-Br | 4.6383 | 1.0791 | NC-4-Br | 5.9386 | 1.0211 |
| NC-4-Ph | 3.5154 | 1.0572 | NC-4-Ph | 2.9349 | 1.4302 |
| NC-5-IBX | 4.1780 | 1.1997 | NC-5-IBX | 2.0648 | 1.1008 |
| NC-5-3O | 4.0990 | 1.1743 | NC-5-3O | 0.9555 | 1.0602 |
Disclaimer/Publisher’s Note: The statements, opinions and data contained in all publications are solely those of the individual author(s) and contributor(s) and not of MDPI and/or the editor(s). MDPI and/or the editor(s) disclaim responsibility for any injury to people or property resulting from any ideas, methods, instructions or products referred to in the content. |
© 2024 by the authors. Licensee MDPI, Basel, Switzerland. This article is an open access article distributed under the terms and conditions of the Creative Commons Attribution (CC BY) license (https://creativecommons.org/licenses/by/4.0/).
Share and Cite
Wang, Z.; Wang, S.; Zhang, Y.; Ma, M. Design, Synthesis, and Evaluation of Small Fluorescent Molecules with a 1,1-Dimethylnaphthalen-2-(1H)-One Core. Molecules 2024, 29, 3396. https://doi.org/10.3390/molecules29143396
Wang Z, Wang S, Zhang Y, Ma M. Design, Synthesis, and Evaluation of Small Fluorescent Molecules with a 1,1-Dimethylnaphthalen-2-(1H)-One Core. Molecules. 2024; 29(14):3396. https://doi.org/10.3390/molecules29143396
Chicago/Turabian StyleWang, Zhengyang, Shuting Wang, Yuexing Zhang, and Mingliang Ma. 2024. "Design, Synthesis, and Evaluation of Small Fluorescent Molecules with a 1,1-Dimethylnaphthalen-2-(1H)-One Core" Molecules 29, no. 14: 3396. https://doi.org/10.3390/molecules29143396
APA StyleWang, Z., Wang, S., Zhang, Y., & Ma, M. (2024). Design, Synthesis, and Evaluation of Small Fluorescent Molecules with a 1,1-Dimethylnaphthalen-2-(1H)-One Core. Molecules, 29(14), 3396. https://doi.org/10.3390/molecules29143396

