Evaluating the Safety of Imidacloprid FS Seed Treatment Use in Potato Production: A Case Study from China
Abstract
1. Introduction
2. Results and Discussion
2.1. Quality Control of the Analytical Method
2.1.1. Specificity
2.1.2. Linearity
2.1.3. Sensitivity
2.1.4. Matrix Effect (ME)
2.1.5. Accuracy and Precision
2.2. Dissipation Studies
2.2.1. Dissipation Dynamics of Imidacloprid in Potato Plants
2.2.2. Dissipation Dynamics of Imidacloprid in Soil
2.3. Terminal Residue Studies
2.3.1. Terminal Residue in Potato
2.3.2. Terminal Residue in Field Soil
2.4. Dietary Risk Assessment
2.5. Ecological Risk Assessment
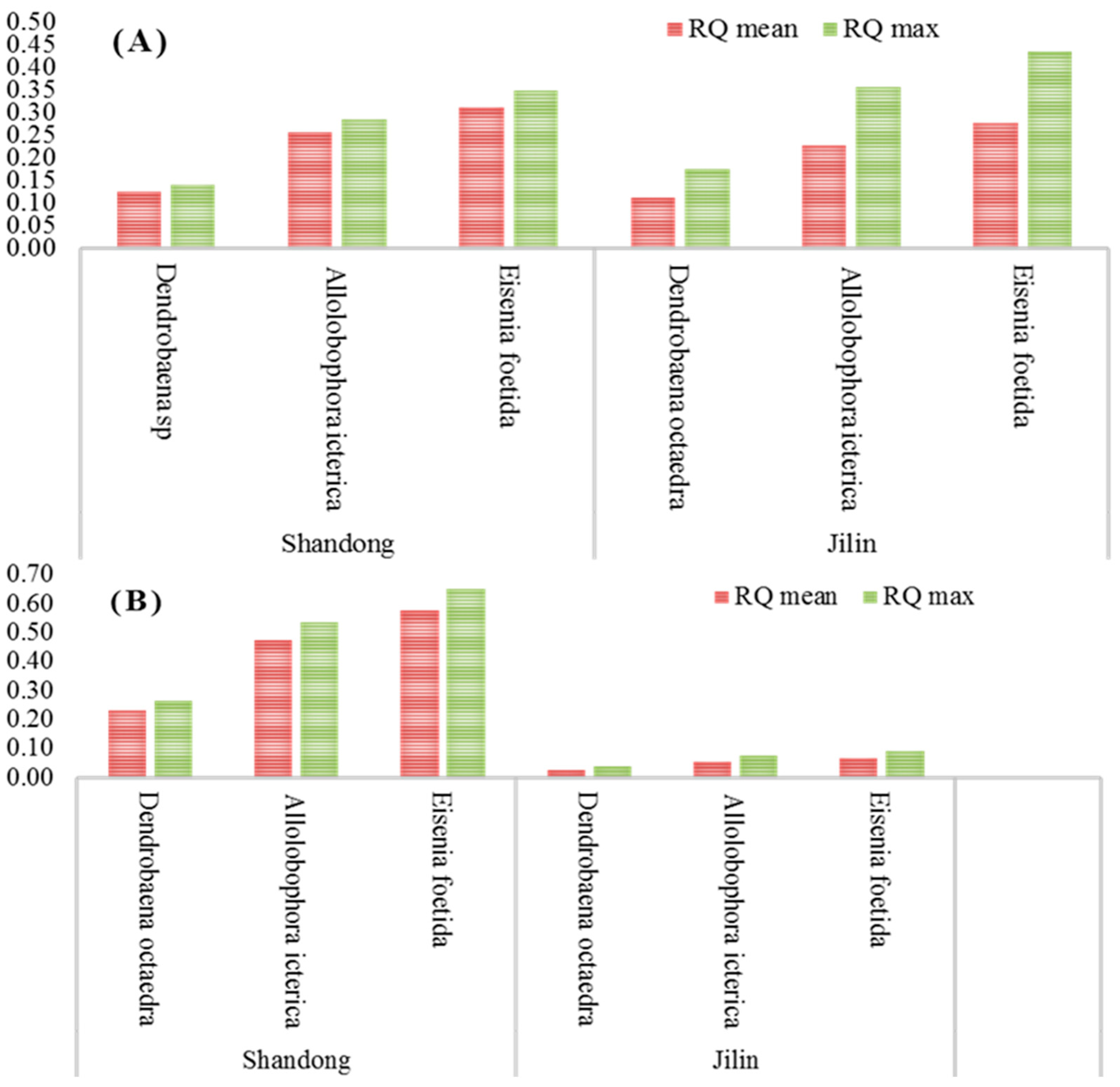
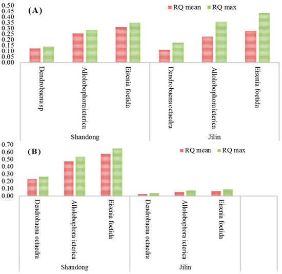
2.5.1. Ecological Risk Quotient (RQ)
2.5.2. Ecological Toxicity Exposure Ratios (TER)
3. Materials and Methods
3.1. Reagents and Materials
3.2. Preparation of Standard Solution
3.3. Experimental Sites and Times
3.4. Soil Type and Climatic Conditions
3.5. Design of the Field Experiment
3.6. Sample Collection
3.7. Sample Preparation
3.8. Instrumental Detection
3.9. Residue Calculation
3.10. Method Quality Control
3.11. Statistical Analysis
3.11.1. Calculation of Dissipation and Half-Life of Imidacloprid
3.11.2. Dietary Risk Assessment
3.11.3. Ecological Risk Assessment
4. Conclusions
Supplementary Materials
Author Contributions
Funding
Institutional Review Board Statement
Informed Consent Statement
Data Availability Statement
Acknowledgments
Conflicts of Interest
References
- Jeschke, P.; Nauen, R.; Beck, M.E. Nicotinic Acetylcholine Receptor Agonists: A Milestone for Modern Crop Protection. Angew. Chemie Int. Ed. 2013, 52, 9464–9485. [Google Scholar] [CrossRef] [PubMed]
- Tomizawa, M.; Casida, J.E. NEONICOTINOID INSECTICIDE TOXICOLOGY: Mechanisms of Selective Action. Annu. Rev. Pharmacol. Toxicol. 2005, 45, 247–268. [Google Scholar] [CrossRef] [PubMed]
- Luo, P. Toxicity Interaction of Fipronil and Imidacloprid against Coptotermes Formasanus. Master’s Thesis, Louisiana State University and Agricultural and Mechanical College, Baton Rouge, LA, USA, 2010. [Google Scholar]
- Goulson, D. An Overview of the Environmental Risks Posed by Neonicotinoid Insecticides. J. Appl. Ecol. 2013, 50, 977–987. [Google Scholar] [CrossRef]
- Pisa, L.W.; Amaral-Rogers, V.; Belzunces, L.P.; Bonmatin, J.M.; Downs, C.A.; Goulson, D.; Kreutzweiser, D.P.; Krupke, C.; Liess, M.; McField, M.; et al. Effects of Neonicotinoids and Fipronil on Non-Target Invertebrates. Environ. Sci. Pollut. Res. 2015, 22, 68–102. [Google Scholar] [CrossRef] [PubMed]
- European Food Safety Authority (EFSA). Conclusion on the Peer Review of the Pesticide Risk Assessment for Bees for the Active Substance Imidacloprid. EFSA J. 2013, 11, 3068. [Google Scholar] [CrossRef]
- Struger, J.; Grabuski, J.; Cagampan, S.; Sverko, E.; McGoldrick, D.; Marvin, C.H. Factors Influencing the Occurrence and Distribution of Neonicotinoid Insecticides in Surface Waters of Southern Ontario, Canada. Chemosphere 2017, 169, 516–523. [Google Scholar] [CrossRef]
- Jeschke, P.; Nauen, R.; Schindler, M.; Elbert, A. Overview of the Status and Global Strategy for Neonicotinoids. J. Agric. Food Chem. 2011, 59, 2897–2908. [Google Scholar] [CrossRef]
- Shah, M.A.; Sharma, S.; Kumar, R. Efficacy of New-Chemistry Insecticides against Whitefly and Aphids in Potato. Potato J. 2022, 49, 41–47. [Google Scholar]
- Simon-Delso, N.; Amaral-Rogers, V.; Belzunces, L.P.; Bonmatin, J.M.; Chagnon, M.; Downs, C.; Furlan, L.; Gibbons, D.W.; Giorio, C.; Girolami, V.; et al. Systemic Insecticides (Neonicotinoids and Fipronil): Trends, Uses, Mode of Action and Metabolites. Environ. Sci. Pollut. Res. 2015, 22, 5–34. [Google Scholar] [CrossRef]
- FAO. FAOSTAT: Food and Agriculture Organization of the United Nations; FAO: Rome, Italy, 2020. [Google Scholar]
- Gao, Y. Potato Tuberworm: A Threat for China Potatoes. Entomol. Ornithol. Herpetol. Curr. Res. 2018, 7, 1000e132. [Google Scholar] [CrossRef]
- Zhang, H.; Xu, F.; Wu, Y.; Hu, H.; Dai, X. Progress of Potato Staple Food Research and Industry Development in China. J. Integr. Agric. 2017, 16, 2924–2932. [Google Scholar] [CrossRef]
- WANG, C.; XU, H.; PAN, X. Management of Colorado Potato Beetle in Invasive Frontier Areas. J. Integr. Agric. 2020, 19, 360–366. [Google Scholar] [CrossRef]
- Xu, J.; Zhu, J.H.; Yang, Y.L.; Tang, H.; Lü, H.P.; Fan, M.S.; Shi, Y.; Dong, D.F.; Wang, G.J.; Wang, W.X.; et al. Status of Major Diseases and Insect Pests of Potato and Pesticide Usage in China. Sci. Agric. Sin. 2019, 52, 2800–2808. [Google Scholar] [CrossRef]
- Yu, Y.; Wang, S.; Zhang, Q.; Yang, Y.; Chen, Y.; Liu, X.; Feng, C.; Hu, D.; Lu, P. Dissipation, Residues, and Risk Assessment of Imidacloprid in Zizania Latifolia and Purple Sweet Potato under Field Conditions Using LC-MS/MS. J. Environ. Sci. Health Part B 2019, 54, 89–97. [Google Scholar] [CrossRef] [PubMed]
- Cao, L.; Chen, B.; Zheng, L.; Wang, D.; Liu, F.; Huang, Q. Assessment of Potential Dermal and Inhalation Exposure of Workers to the Insecticide Imidacloprid Using Whole-Body Dosimetry in China. J. Environ. Sci. 2015, 27, 139–146. [Google Scholar] [CrossRef]
- Tao, Y.; Dong, F.; Xu, J.; Phung, D.; Liu, Q.; Li, R.; Liu, X.; Wu, X.; He, M.; Zheng, Y. Characteristics of Neonicotinoid Imidacloprid in Urine Following Exposure of Humans to Orchards in China. Environ. Int. 2019, 132, 105079. [Google Scholar] [CrossRef] [PubMed]
- Rouchaud, J.; Gustin, F.; Wauters, A. Imidacloprid Insecticide Soil Metabolism in Sugar Beet Field Crops. Bull. Environ. Contam. Toxicol. 1996, 56, 29–36. [Google Scholar] [CrossRef]
- Sarkar, M.A.; Roy, S.; Kole, R.K.; Chowdhury, A. Persistence and Metabolism of Imidacloprid in Different Soils of West Bengal. Pest Manag. Sci. 2001, 57, 598–602. [Google Scholar] [CrossRef] [PubMed]
- EU. (2021/1881) Amending Annexes II and III to Regulation (EC) No 396/2005 of the European Parliament and of the Council as Regards Maximum Residue Levels for Imidacloprid in or on Certain Products. Off. J. Eur. Union 2021, 380, 5–19. [Google Scholar]
- SANTE. Guidance Document on Pesticide Analytical Methods for Risk Assessment and Post-Approval Control and Monitoring Purposes; SANTE: New York, NY, USA, 2021. [Google Scholar]
- del Mar Gómez-Ramos, M.; Rajski, Ł.; Lozano, A.; Fernández-Alba, A.R. The Evaluation of Matrix Effects in Pesticide Multi-Residue Methods via Matrix Fingerprinting Using Liquid Chromatography Electrospray High-Resolution Mass Spectrometry. Anal. Methods 2016, 8, 4664–4673. [Google Scholar] [CrossRef]
- Kaium, A.; Cao, J.; Liu, X.; Dong, F.; Xu, J.; Wu, X.; Zheng, Y. Validation of QuEChERS-Based UPLC-MS/MS Method for Determination of Quinoid Niclosamide (LDS) Residue in Water, Soil and Rice Samples. Int. J. Environ. Anal. Chem. 2018, 98, 644–654. [Google Scholar] [CrossRef]
- Trapp, S. Modelling Uptake into Roots and Subsequent Translocation of Neutral and Ionisable Organic Compounds. Pest Manag. Sci. 2000, 56, 767–778. [Google Scholar] [CrossRef]
- Bonmatin, J.-M.; Giorio, C.; Girolami, V.; Goulson, D.; Kreutzweiser, D.P.; Krupke, C.; Liess, M.; Long, E.; Marzaro, M.; Mitchell, E.A.D.; et al. Environmental Fate and Exposure; Neonicotinoids and Fipronil. Environ. Sci. Pollut. Res. 2015, 22, 35–67. [Google Scholar] [CrossRef] [PubMed]
- Flores-Céspedes, F.; González-Pradas, E.; Fernández-Pérez, M.; Villafranca-Sánchez, M.; Socías-Viciana, M.; Ureña-Amate, M.D. Effects of Dissolved Organic Carbon on Sorption and Mobility of Imidacloprid in Soil. J. Environ. Qual. 2002, 31, 880–888. [Google Scholar] [CrossRef]
- Mahapatra, B.; Adak, T.; Patil, N.K.B.; Pandi G, G.P.; Gowda, G.B.; Jambhulkar, N.N.; Yadav, M.K.; Panneerselvam, P.; Kumar, U.; Munda, S.; et al. Imidacloprid Application Changes Microbial Dynamics and Enzymes in Rice Soil. Ecotoxicol. Environ. Saf. 2017, 144, 123–130. [Google Scholar] [CrossRef]
- Zhang, Q.; Wang, C. Dissipation Dynamics of Imidacloprid Residue in Different Saline Soils. Adv. J. Food Sci. Technol. 2016, 10, 348–352. [Google Scholar] [CrossRef]
- Nauen, R.; Reckmann, U.; Armborst, S.; Stupp, H.-P.; Elbert, A. Whitefly-Active Metabolites of Imidacloprid: Biological Efficacy and Translocation in Cotton Plants. Pestic. Sci. 1999, 55, 265–271. [Google Scholar] [CrossRef]
- Bekolo, N.; Zachée, A.; Patrice, N.; William, K.; Abdou, K. Distribution of Imidacloprid Residues in Two Sandy Soils of Portneuf (Quebec) Under Potatoes (Solanum Tuberosum) Culture. Am. J. Exp. Agric. 2015, 5, 44–53. [Google Scholar] [CrossRef]
- Cycoń, M.; Piotrowska-Seget, Z. Biochemical and Microbial Soil Functioning after Application of the Insecticide Imidacloprid. J. Environ. Sci. 2015, 27, 147–158. [Google Scholar] [CrossRef]
- Guan, H.; Chi, D.; Yu, J.; Li, H. Dynamics of Residues from a Novel Nano-Imidacloprid Formulation in Soyabean Fields. Crop Prot. 2010, 29, 942–946. [Google Scholar] [CrossRef]
- Elzorgani, M.G.A. Effect of Light on Persistence of Imidacloprid in Soil. Int. J. Adv. Chem. 2018, 6, 85–88. [Google Scholar] [CrossRef]
- Cang, T.; Sun, C.; Zhao, H.; Tang, T.; Zhang, C.; Yu, R.; Wang, X.; Wang, Q.; Dai, F.; Zhao, X. Residue Behavior and Risk Assessment of Imidacloprid Applied on Greenhouse-Cultivated Strawberries under Different Application Conditions. Environ. Sci. Pollut. Res. 2018, 25, 5024–5032. [Google Scholar] [CrossRef] [PubMed]
- Benbrook, C.M.; Davis, D.R. The Dietary Risk Index System: A Tool to Track Pesticide Dietary Risks. Environ. Health 2020, 19, 103. [Google Scholar] [CrossRef] [PubMed]
- El-Naggar, J.B.; Zidan, N.E.H.A. Field Evaluation of Imidacloprid and Thiamethoxam against Sucking Insects and Their Side Effects on Soil Fauna. J. Plant Prot. Res. 2013, 53, 375–387. [Google Scholar] [CrossRef]
- Morrissey, C.A.; Mineau, P.; Devries, J.H.; Sanchez-Bayo, F.; Liess, M.; Cavallaro, M.C.; Liber, K. Neonicotinoid Contamination of Global Surface Waters and Associated Risk to Aquatic Invertebrates: A Review. Environ. Int. 2015, 74, 291–303. [Google Scholar] [CrossRef] [PubMed]
- Biondi, A.; Mommaerts, V.; Smagghe, G.; Viñuela, E.; Zappalà, L.; Desneux, N. The Non-Target Impact of Spinosyns on Beneficial Arthropods. Pest Manag. Sci. 2012, 68, 1523–1536. [Google Scholar] [CrossRef] [PubMed]
- EC Guidance Document on Terrestrial Ecotoxicology under Council Directive 91/414/EEC 2002; European Commission: Brussels, Belgium, 2002.
- Bernardino, M.M.; Alves, P.R.L.; de Santo, F.B.; Niemeyer, J.C.; Leal, R.M.P. Ecotoxicity of Imidacloprid to Soil Invertebrates in Two Tropical Soils with Contrasting Texture. Environ. Sci. Pollut. Res. 2021, 28, 27655–27665. [Google Scholar] [CrossRef] [PubMed]
- Kenko Nkontcheu, D.B.; Fotio, A.L.; Kenfack, A.D.; Tasse Taboue, G.C.; Acha, D.A.; Fokam, E.B. Ecological Risk Assessment of Pesticides Based on Earthworms in Soils on the Southeast Slopes of Mount Cameroon. Soil Environ. Health 2023, 1, 100047. [Google Scholar] [CrossRef]
- Ge, J.; Cui, K.; Yan, H.; Li, Y.; Chai, Y.; Liu, X.; Cheng, J.; Yu, X. Uptake and Translocation of Imidacloprid, Thiamethoxam and Difenoconazole in Rice Plants. Environ. Pollut. 2017, 226, 479–485. [Google Scholar] [CrossRef] [PubMed]
- FAO/WHO. Inventory of Evaluations Performed by the Joint Meeting on Pesticides Residues. Available online: https://apps.who.int/pesticide-residues-jmpr-database/pesticide?name=IMIDACLOPRID (accessed on 15 February 2022).
- FAO/WHO. Global Environment Monitoring System–Food Contamination Monitoring and Assessment Programme. Available online: https://www.who.int/teams/nutrition-and-food-safety/databases/global-environment-monitoring-system-food-contamination/ (accessed on 15 June 2023).
- Lepper, P. Manual on the Methodological Framework to Derive Environmental Quality Standards for Priority Substances in Accordance with Article 16 of the Water Framework Directive (2000/60/EC); European Commission: Brussels, Belgium, 2005. [Google Scholar]
- Vašíčková, J.; Hvězdová, M.; Kosubová, P.; Hofman, J. Ecological Risk Assessment of Pesticide Residues in Arable Soils of the Czech Republic. Chemosphere 2019, 216, 479–487. [Google Scholar] [CrossRef]
- Yao, L.; Wang, Y.; Tong, L.; Deng, Y.; Li, Y.; Gan, Y.; Guo, W.; Dong, C.; Duan, Y.; Zhao, K. Occurrence and Risk Assessment of Antibiotics in Surface Water and Groundwater from Different Depths of Aquifers: A Case Study at Jianghan Plain, Central China. Ecotoxicol. Environ. Saf. 2017, 135, 236–242. [Google Scholar] [CrossRef] [PubMed]
- Ikram, J.K.; Jegede, O.O.; Owojori, O.J.; Bouzid, J.; Gargouri, R.; Römbke, J. Effects of Deltamethrin, Dimethoate, and Chlorpyrifos on Survival and Reproduction of the Collembolan Folsomia Candida and the Predatory Mite Hypoaspis Aculeifer in Two African and Two European Soils. Integr. Environ. Assess. Manag. 2018, 14, 92–104. [Google Scholar] [CrossRef]





| Analytes | Matrix | Linear Range (mg/kg) | Regression Equation | R2 | LOD (mg/kg) | LOQ (mg/kg) | ME (%) |
|---|---|---|---|---|---|---|---|
| Imidacloprid | Acetonitrile | 0.005–2.0 | y = 80,331x + 9161.9 | 0.9996 | 0.005 | 0.01 | |
| Potato | 0.005–2.0 | y = 23,184x + 3816.5 | 0.9992 | 0.005 | 0.01 | −71.1 | |
| Potato plant | 0.005–2.0 | y = 2890x + 412.97 | 0.9994 | 0.005 | 0.01 | −96.4 | |
| Soil | 0.005–2.0 | y = 22,360x + 3113.9 | 0.9950 | 0.005 | 0.01 | −72.2 |
| Imidacloprid | Spiked Level (mg/kg) | Recovery (%) | Average Recovery (%) | RSD (%) | ||||
|---|---|---|---|---|---|---|---|---|
| 1 | 2 | 3 | 4 | 5 | ||||
| Potato | 0.01 | 80.8 | 71.0 | 72.3 | 74.5 | 73.0 | 74.32 | 5.16 |
| 0.1 | 89.6 | 86.1 | 85.0 | 87.5 | 87.0 | 87.04 | 1.97 | |
| 0.5 | 89.0 | 86.8 | 91.7 | 89.8 | 87.7 | 89.00 | 2.13 | |
| Potato plant | 0.01 | 70.6 | 73.6 | 75.4 | 69.7 | 64.6 | 70.78 | 5.85 |
| 0.1 | 80.7 | 72.0 | 74.6 | 71.6 | 80.3 | 75.84 | 5.81 | |
| 0.5 | 72.6 | 70.0 | 84.0 | 84.7 | 85.0 | 79.26 | 9.25 | |
| Soil | 0.01 | 85.5 | 119.5 | 100 | 75.3 | 97.8 | 95.62 | 17.41 |
| 0.1 | 87.5 | 87.2 | 91.2 | 85.5 | 97.5 | 89.78 | 5.33 | |
| 0.5 | 73.4 | 79.8 | 89.2 | 100.9 | 79.2 | 84.50 | 12.75 | |
| Time | Place | Potato Variety | Application Dose (g a.i./100 kg Seed) | Mean Residue (mg/kg) |
|---|---|---|---|---|
| 2018 | Shandong Province | Virus-free | 30 | 0.059 |
| 45 | 0.077 | |||
| 2019 | Shandong Province | Virus-free | 30 | 0.238 |
| 45 | 0.778 | |||
| 2018 | Jilin province | Holland 7 | 30 | 0.029 |
| 45 | 0.033 | |||
| 2019 | Jilin province | Holland 7 | 30 | 0.104 |
| 45 | 0.075 |
| Time | Place | Potato Variety | Application Dose (g a.i./100 kg seed) | Mean Residue (mg/kg) |
|---|---|---|---|---|
| 2018 | Shandong Province | Virus-free | 30 | 0.078 |
| 45 | 0.118 | |||
| 2019 | Shandong Province | Virus-free | 30 | 0.066 |
| 45 | 0.149 | |||
| 2018 | Jilin province | Holland 7 | 30 | 0.027 |
| 45 | 0.021 | |||
| 2019 | Jilin province | Holland 7 | 30 | <0.01 |
| 45 | <0.01 |
| Food Species | Dietary Intake (kg) | Reference MRL (mg/kg) | Source of MRL | TMDI (mg) | ADI (mg) | RQ (%) |
|---|---|---|---|---|---|---|
| Rice and its products | 0.2399 | 0.05 | China | 0.011995 | ADI × 63 | |
| Wheat flour and its products | 0.1385 | 0.05 | China | 0.006925 | ||
| Other grains | 0.0233 | 0.05 | China | 0.001165 | ||
| Tubers | 0.0495 | 0.239 | STMR | 0.011831 | ||
| Dried beans and bean products | 0.016 | 0.05 | China | 0.0008 | ||
| Vegetables with a light color | 0.0915 | 5 | China | 0.4575 | ||
| Vegetables with a dark color | 0.1837 | 5 | China | 0.9185 | ||
| Pickles | 0.0103 | 0 | ||||
| Fruits | 0.0457 | 1 | China | 0.0457 | ||
| Nuts | 0.0039 | 0 | ||||
| Poultry and Meat | 0.0795 | 0 | ||||
| Milk and milk products | 0.0263 | 0 | ||||
| Eggs and egg products | 0.0236 | 0 | ||||
| Fish and shrimp | 0.0301 | 0 | ||||
| Vegetable oil | 0.0327 | 0.5 | China | 0.01635 | ||
| Animal oil | 0.0087 | 0 | ||||
| Sugar and starch | 0.0044 | 0.2 | China | 0.00088 | ||
| Salt | 0.012 | 1 | China | 0.012 | ||
| Soy sauce | 0.009 | 2 | China | 0.018 | ||
| Total | 1.0286 | 1.501646 | 3.78 | 39.73 |
| 30 g a.i./100 kg Seed | 45 g a.i./100 kg Seed | ||||
|---|---|---|---|---|---|
| Province | Species | TERmean | TERmax | TERmean | TERmax |
| Shandong | Dendrobaena octaedra | 7.97 | 7.13 | 4.29 | 3.80 |
| Allolobophora icterica | 3.92 | 3.50 | 2.11 | 1.87 | |
| Eisenia foetida | 3.22 | 2.88 | 1.73 | 1.53 | |
| Jilin | Dendrobaena octaedra | 8.91 | 5.70 | 36.77 | 27.14 |
| Allolobophora icterica | 4.38 | 2.80 | 18.06 | 13.33 | |
| Eisenia foetida | 3.59 | 2.30 | 14.84 | 10.95 | |
Disclaimer/Publisher’s Note: The statements, opinions and data contained in all publications are solely those of the individual author(s) and contributor(s) and not of MDPI and/or the editor(s). MDPI and/or the editor(s) disclaim responsibility for any injury to people or property resulting from any ideas, methods, instructions or products referred to in the content. |
© 2024 by the authors. Licensee MDPI, Basel, Switzerland. This article is an open access article distributed under the terms and conditions of the Creative Commons Attribution (CC BY) license (https://creativecommons.org/licenses/by/4.0/).
Share and Cite
Kaium, A.; Wu, C.; Man, Y.; Liu, X.; Dong, F.; Zheng, Y. Evaluating the Safety of Imidacloprid FS Seed Treatment Use in Potato Production: A Case Study from China. Molecules 2024, 29, 3362. https://doi.org/10.3390/molecules29143362
Kaium A, Wu C, Man Y, Liu X, Dong F, Zheng Y. Evaluating the Safety of Imidacloprid FS Seed Treatment Use in Potato Production: A Case Study from China. Molecules. 2024; 29(14):3362. https://doi.org/10.3390/molecules29143362
Chicago/Turabian StyleKaium, Abdul, Chi Wu, Yanli Man, Xingang Liu, Fengshou Dong, and Youngquan Zheng. 2024. "Evaluating the Safety of Imidacloprid FS Seed Treatment Use in Potato Production: A Case Study from China" Molecules 29, no. 14: 3362. https://doi.org/10.3390/molecules29143362
APA StyleKaium, A., Wu, C., Man, Y., Liu, X., Dong, F., & Zheng, Y. (2024). Evaluating the Safety of Imidacloprid FS Seed Treatment Use in Potato Production: A Case Study from China. Molecules, 29(14), 3362. https://doi.org/10.3390/molecules29143362

