The Impact of Chemical Modifications on the Interferon-Inducing and Antiproliferative Activity of Short Double-Stranded Immunostimulating RNA
Abstract
1. Introduction
2. Results
2.1. isRNA Duplexes and Experimental Design
2.2. The Impact of Chemical Modifications on the Interferon-Inducing Activity of isRNA
2.2.1. Effect of Terminal Modifications and Ribose Modifications on the Interferon-Inducing Activity of isRNA
2.2.2. Effect of Phosphate Modifications on the Interferon-Inducing Activity of isRNA
2.3. The Impact of Chemical Modifications on the Antiproliferative Activity of isRNA
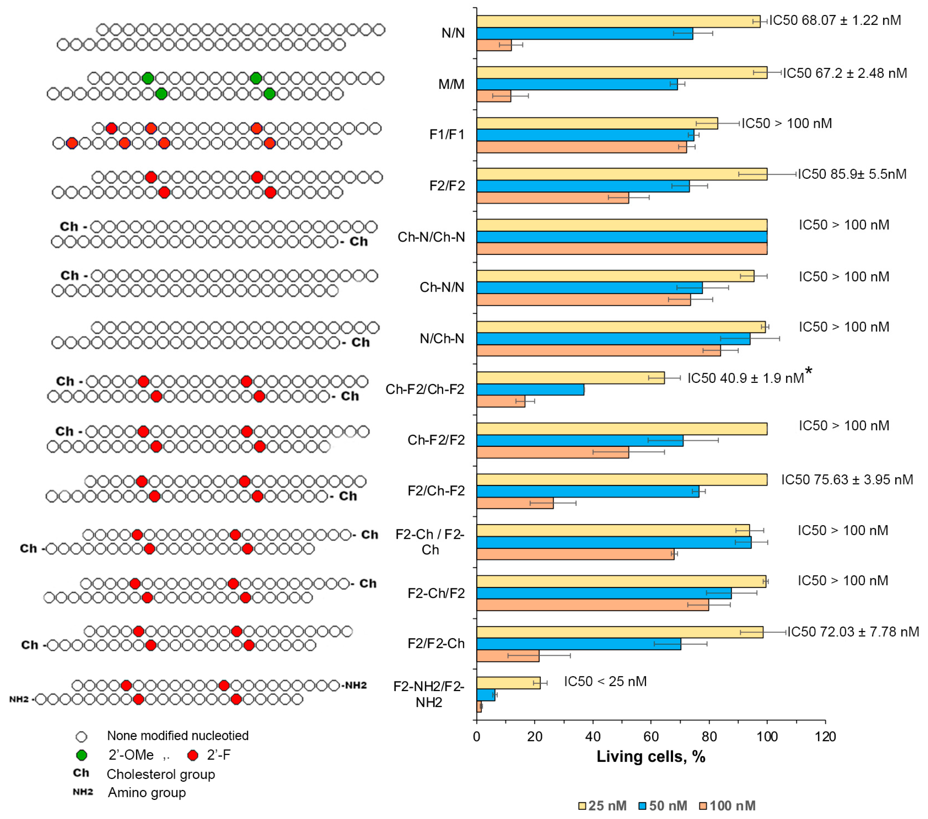
2.3.1. Effect of Terminal Modifications and Ribose Modifications on the Antiproliferative Activity of isRNA
2.3.2. Effect of Phosphate Modifications on the Antiproliferative Activity of isRNA
3. Discussion
4. Materials and Methods
4.1. isRNA Synthesis
4.2. isRNA/liposome Complex Preparation
4.3. Mice
4.4. ELISA Analysis of IFN-α Levels in Murine Blood Serum
4.5. Tumor Cell Line
4.6. Antiproliferative Activity
4.7. Ethical Guidelines
4.8. Statistical Analysis
Supplementary Materials
Author Contributions
Funding
Institutional Review Board Statement
Informed Consent Statement
Data Availability Statement
Acknowledgments
Conflicts of Interest
References
- Uehata, T.; Takeuchi, O. RNA Recognition and Immunity—Innate Immune Sensing and Its Posttranscriptional Regulation Mechanisms. Cells 2020, 9, 1701. [Google Scholar] [CrossRef] [PubMed]
- Yu, A.-M.; Choi, Y.H.; Tu, M.-J. RNA Drugs and RNA Targets for Small Molecules: Principles, Progress, and Challenges. Pharmacol. Rev. 2020, 72, 862–898. [Google Scholar] [CrossRef] [PubMed]
- Bajan, S.; Hutvagner, G. RNA-Based Therapeutics: From Antisense Oligonucleotides to miRNAs. Cells 2020, 9, 137. [Google Scholar] [CrossRef] [PubMed]
- Bishani, A.; Chernolovskaya, E.L. Activation of Innate Immunity by Therapeutic Nucleic Acids. Int. J. Mol. Sci. 2021, 22, 13360. [Google Scholar] [CrossRef] [PubMed]
- Heidegger, S.; Kreppel, D.; Bscheider, M.; Stritzke, F.; Nedelko, T.; Wintges, A.; Bek, S.; Fischer, J.C.; Graalmann, T.; Kalinke, U.; et al. RIG-I Activating Immunostimulatory RNA Boosts the Efficacy of Anticancer Vaccines and Synergizes with Immune Checkpoint Blockade. eBioMedicine 2019, 41, 146–155. [Google Scholar] [CrossRef] [PubMed]
- Linares-Fernández, S.; Lacroix, C.; Exposito, J.-Y.; Verrier, B. Tailoring mRNA Vaccine to Balance Innate/Adaptive Immune Response. Trends Mol. Med. 2020, 26, 311–323. [Google Scholar] [CrossRef] [PubMed]
- Meng, Z.; Lu, M. RNA Interference-Induced Innate Immunity, Off-Target Effect, or Immune Adjuvant? Front. Immunol. 2017, 8, 331. [Google Scholar] [CrossRef]
- Chandler, M.; Johnson, M.B.; Panigaj, M.; Afonin, K.A. Innate Immune Responses Triggered by Nucleic Acids Inspire the Design of Immunomodulatory Nucleic Acid Nanoparticles (NANPs). In Therapeutic RNA Nanotechnology; Jenny Stanford Publishing: United Square, Singapore, 2021; ISBN 978-1-00-312200-5. [Google Scholar]
- Bishani, A.; Makarova, D.M.; Shmendel, E.V.; Maslov, M.A.; Sen’kova, A.V.; Savin, I.A.; Gladkikh, D.V.; Zenkova, M.A.; Chernolovskaya, E.L. Influence of the Composition of Cationic Liposomes on the Performance of Cargo Immunostimulatory RNA. Pharmaceutics 2023, 15, 2184. [Google Scholar] [CrossRef]
- Al-Qahtani, A.A.; Alhamlan, F.S.; Al-Qahtani, A.A. Pro-Inflammatory and Anti-Inflammatory Interleukins in Infectious Diseases: A Comprehensive Review. Trop. Med. Infect. Dis. 2024, 9, 13. [Google Scholar] [CrossRef]
- Hsu, R.-J.; Yu, W.-C.; Peng, G.-R.; Ye, C.-H.; Hu, S.; Chong, P.C.T.; Yap, K.Y.; Lee, J.Y.C.; Lin, W.-C.; Yu, S.-H. The Role of Cytokines and Chemokines in Severe Acute Respiratory Syndrome Coronavirus 2 Infections. Front. Immunol. 2022, 13, 832394. [Google Scholar] [CrossRef]
- Zhou, J.; Wang, Y.; Chang, Q.; Ma, P.; Hu, Y.; Cao, X. Type III Interferons in Viral Infection and Antiviral Immunity. Cell. Physiol. Biochem. 2018, 51, 173–185. [Google Scholar] [CrossRef]
- Wadhwa, A.; Aljabbari, A.; Lokras, A.; Foged, C.; Thakur, A. Opportunities and Challenges in the Delivery of mRNA-Based Vaccines. Pharmaceutics 2020, 12, 102. [Google Scholar] [CrossRef] [PubMed]
- Yen, A.; Cheng, Y.; Sylvestre, M.; Gustafson, H.H.; Puri, S.; Pun, S.H. Serum Nuclease Susceptibility of mRNA Cargo in Condensed Polyplexes. Mol. Pharm. 2018, 15, 2268–2276. [Google Scholar] [CrossRef] [PubMed]
- Aldosari, B.N.; Alfagih, I.M.; Almurshedi, A.S. Lipid Nanoparticles as Delivery Systems for RNA-Based Vaccines. Pharmaceutics 2021, 13, 206. [Google Scholar] [CrossRef] [PubMed]
- Chernikov, I.V.; Ponomareva, U.A.; Chernolovskaya, E.L. Structural Modifications of siRNA Improve Its Performance In Vivo. Int. J. Mol. Sci. 2023, 24, 956. [Google Scholar] [CrossRef]
- Ingle, R.G.; Fang, W.-J. An Overview of the Stability and Delivery Challenges of Commercial Nucleic Acid Therapeutics. Pharmaceutics 2023, 15, 1158. [Google Scholar] [CrossRef] [PubMed]
- Khvorova, A.; Watts, J.K. The Chemical Evolution of Oligonucleotide Therapies of Clinical Utility. Nat. Biotechnol. 2017, 35, 238–248. [Google Scholar] [CrossRef]
- Sioud, M.; Furset, G.; Cekaite, L. Suppression of Immunostimulatory siRNA-Driven Innate Immune Activation by 2′-Modified RNAs. Biochem. Biophys. Res. Commun. 2007, 361, 122–126. [Google Scholar] [CrossRef]
- Anwar, S.; Mir, F.; Yokota, T. Enhancing the Effectiveness of Oligonucleotide Therapeutics Using Cell-Penetrating Peptide Conjugation, Chemical Modification, and Carrier-Based Delivery Strategies. Pharmaceutics 2023, 15, 1130. [Google Scholar] [CrossRef]
- Gagliardi, D.; Dziembowski, A. 5′ and 3′ Modifications Controlling RNA Degradation: From Safeguards to Executioners. Philos. Trans. R. Soc. B Biol. Sci. 2018, 373, 20180160. [Google Scholar] [CrossRef]
- Wu, S.Y.; Yang, X.; Gharpure, K.M.; Hatakeyama, H.; Egli, M.; McGuire, M.H.; Nagaraja, A.S.; Miyake, T.M.; Rupaimoole, R.; Pecot, C.V.; et al. 2’f-OMe-Phosphorodithioate Modified siRNAs Show Increased Loading into the RISC Complex and Enhanced Anti-Tumour Activity. Nat. Commun. 2014, 5, 3459. [Google Scholar] [CrossRef] [PubMed]
- Janas, M.M.; Zlatev, I.; Liu, J.; Jiang, Y.; Barros, S.A.; Sutherland, J.E.; Davis, W.P.; Liu, J.; Brown, C.R.; Liu, X.; et al. Safety Evaluation of 2′-Deoxy-2′-Fluoro Nucleotides in GalNAc-siRNA Conjugates. Nucleic Acids Res. 2019, 47, 3306–3320. [Google Scholar] [CrossRef] [PubMed]
- Michailidou, F.; Lebl, T.; Slawin, A.M.Z.; Sharma, S.V.; Brown, M.J.B.; Goss, R.J.M. Synthesis and Conformational Analysis of Fluorinated Uridine Analogues Provide Insight into a Neighbouring-Group Participation Mechanism. Molecules 2020, 25, 5513. [Google Scholar] [CrossRef] [PubMed]
- Hassler, M.R.; Turanov, A.A.; Alterman, J.F.; Haraszti, R.A.; Coles, A.H.; Osborn, M.F.; Echeverria, D.; Nikan, M.; Salomon, W.E.; Roux, L.; et al. Comparison of Partially and Fully Chemically-Modified siRNA in Conjugate-Mediated Delivery in Vivo. Nucleic Acids Res. 2018, 46, 2185–2196. [Google Scholar] [CrossRef]
- Shinohara, F.; Oashi, T.; Harumoto, T.; Nishikawa, T.; Takayama, Y.; Miyagi, H.; Takahashi, Y.; Nakajima, T.; Sawada, T.; Koda, Y.; et al. siRNA Potency Enhancement via Chemical Modifications of Nucleotide Bases at the 5′-End of the siRNA Guide Strand. RNA 2021, 27, 163–173. [Google Scholar] [CrossRef]
- Jaafar, M.; Paraqindes, H.; Gabut, M.; Diaz, J.-J.; Marcel, V.; Durand, S. 2′O-Ribose Methylation of Ribosomal RNAs: Natural Diversity in Living Organisms, Biological Processes, and Diseases. Cells 2021, 10, 1948. [Google Scholar] [CrossRef] [PubMed]
- Gatta, A.K.; Hariharapura, R.C.; Udupa, N.; Reddy, M.S.; Josyula, V.R. Strategies for Improving the Specificity of siRNAs for Enhanced Therapeutic Potential. Expert Opin. Drug Discov. 2018, 13, 709–725. [Google Scholar] [CrossRef] [PubMed]
- Hamm, S.; Latz, E.; Hangel, D.; Müller, T.; Yu, P.; Golenbock, D.; Sparwasser, T.; Wagner, H.; Bauer, S. Alternating 2′-O-Ribose Methylation Is a Universal Approach for Generating Non-Stimulatory siRNA by Acting as TLR7 Antagonist. Immunobiology 2010, 215, 559–569. [Google Scholar] [CrossRef]
- Biscans, A.; Caiazzi, J.; Davis, S.; McHugh, N.; Sousa, J.; Khvorova, A. The Chemical Structure and Phosphorothioate Content of Hydrophobically Modified siRNAs Impact Extrahepatic Distribution and Efficacy. Nucleic Acids Res. 2020, 48, 7665–7680. [Google Scholar] [CrossRef]
- Irie, A.; Sato, K.; Hara, R.I.; Wada, T.; Shibasaki, F. An Artificial Cationic Oligosaccharide Combined with Phosphorothioate Linkages Strongly Improves siRNA Stability. Sci. Rep. 2020, 10, 14845. [Google Scholar] [CrossRef]
- Sajid, M.I.; Moazzam, M.; Kato, S.; Yeseom Cho, K.; Tiwari, R.K. Overcoming Barriers for siRNA Therapeutics: From Bench to Bedside. Pharmaceuticals 2020, 13, 294. [Google Scholar] [CrossRef]
- Crooke, S.T.; Vickers, T.A.; Liang, X. Phosphorothioate Modified Oligonucleotide–Protein Interactions. Nucleic Acids Res. 2020, 48, 5235–5253. [Google Scholar] [CrossRef] [PubMed]
- Hu, B.; Zhong, L.; Weng, Y.; Peng, L.; Huang, Y.; Zhao, Y.; Liang, X.-J. Therapeutic siRNA: State of the Art. Sig. Transduct. Target. Ther. 2020, 5, 1–25. [Google Scholar] [CrossRef] [PubMed]
- Kumari, A.; Kaur, A.; Aggarwal, G. The Emerging Potential of siRNA Nanotherapeutics in Treatment of Arthritis. Asian J. Pharm. Sci. 2023, 18, 100845. [Google Scholar] [CrossRef] [PubMed]
- Pan, Y.; Zhou, X.; Yang, Z. Progress of Oligonucleotide Therapeutics Target to Rna. In Nucleic Acids in Medicinal Chemistry and Chemical Biology; John Wiley & Sons, Ltd.: Hoboken, NJ, USA, 2023; pp. 373–427. ISBN 978-1-119-69279-9. [Google Scholar]
- Osborn, M.F.; Khvorova, A. Improving siRNA Delivery In Vivo Through Lipid Conjugation. Nucleic Acid. Ther. 2018, 28, 128–136. [Google Scholar] [CrossRef]
- Schroeder, A.; Levins, C.G.; Cortez, C.; Langer, R.; Anderson, D.G. Lipid-Based Nanotherapeutics for siRNA Delivery. J. Intern. Med. 2010, 267, 9–21. [Google Scholar] [CrossRef] [PubMed]
- Tai, W. Chemical Modulation of siRNA Lipophilicity for Efficient Delivery. J. Control Release 2019, 307, 98–107. [Google Scholar] [CrossRef] [PubMed]
- Kabilova, T.O.; Sen’kova, A.V.; Nikolin, V.P.; Popova, N.A.; Zenkova, M.A.; Vlassov, V.V.; Chernolovskaya, E.L. Antitumor and Antimetastatic Effect of Small Immunostimulatory RNA against B16 Melanoma in Mice. PLoS ONE 2016, 11, e0150751. [Google Scholar] [CrossRef] [PubMed]
- Kabilova, T.O.; Meschaninova, M.I.; Venyaminova, A.G.; Nikolin, V.P.; Zenkova, M.A.; Vlassov, V.V.; Chernolovskaya, E.L. Short Double-Stranded RNA with Immunostimulatory Activity: Sequence Dependence. Nucleic Acid. Ther. 2012, 22, 196–204. [Google Scholar] [CrossRef]
- Volkov, A.A.; Kruglova, N.S.; Meschaninova, M.I.; Venyaminova, A.G.; Zenkova, M.A.; Vlassov, V.V.; Chernolovskaya, E.L. Selective Protection of Nuclease-Sensitive Sites in siRNA Prolongs Silencing Effect. Oligonucleotides 2009, 19, 191–202. [Google Scholar] [CrossRef] [PubMed]
- Maslov, M.A.; Kabilova, T.O.; Petukhov, I.A.; Morozova, N.G.; Serebrennikova, G.A.; Vlassov, V.V.; Zenkova, M.A. Novel Cholesterol Spermine Conjugates Provide Efficient Cellular Delivery of Plasmid DNA and Small Interfering RNA. J. Control Release 2012, 160, 182–193. [Google Scholar] [CrossRef] [PubMed]
- Robbins, M.; Judge, A.; MacLachlan, I. siRNA and Innate Immunity. Oligonucleotides 2009, 19, 89–102. [Google Scholar] [CrossRef] [PubMed]
- Kim, S.; Kang, Y.G.; Kim, J.; Dua, P.; Lee, D. Development of Long Asymmetric siRNA Structure for Target Gene Silencing and Immune Stimulation in Mammalian Cells. Nucleic Acid. Ther. 2023, 33, 329–337. [Google Scholar] [CrossRef] [PubMed]
- Goodchild, A.; Nopper, N.; King, A.; Doan, T.; Tanudji, M.; Arndt, G.M.; Poidinger, M.; Rivory, L.P.; Passioura, T. Sequence Determinants of Innate Immune Activation by Short Interfering RNAs. BMC Immunol. 2009, 10, 40. [Google Scholar] [CrossRef]
- Angart, P.; Vocelle, D.; Chan, C.; Walton, S.P. Design of siRNA Therapeutics from the Molecular Scale. Pharmaceuticals 2013, 6, 440–468. [Google Scholar] [CrossRef] [PubMed]
- Kim, J.Y.; Choung, S.; Lee, E.-J.; Kim, Y.J.; Choi, Y.-C. Immune Activation by siRNA/Liposome Complexes in Mice Is Sequence- Independent: Lack of a Role for Toll-like Receptor 3 Signaling. Mol. Cells 2007, 24, 247–254. [Google Scholar] [CrossRef] [PubMed]
- Jin, L.; Han, Z.; Zhao, P.; Sun, K. Perspectives and Prospects on mRNA Vaccine Development for COVID-19. Curr. Med. Chem. 2022, 29, 3991–3996. [Google Scholar] [CrossRef] [PubMed]
- Kabilova, T.O.; Meschaninova, M.I.; Venyaminova, A.G.; Vlassov, V.V.; Zenkova, M.A.; Chernolovskaya, E.L. Impact of Chemical Modifications in the Structure of isRNA on Its Antiproliferative and Immunostimulatory Properties. Russ. J. Bioorg. Chem. 2017, 43, 50–57. [Google Scholar] [CrossRef]
- Chernikov, I.V.; Gladkikh, D.V.; Meschaninova, M.I.; Karelina, U.A.; Ven’yaminova, A.G.; Zenkova, M.A.; Vlassov, V.V.; Chernolovskaya, E.L. Fluorophore Labeling Affects the Cellular Accumulation and Gene Silencing Activity of Cholesterol-Modified siRNAs In Vitro. Nucleic Acid. Ther. 2019, 29, 33–43. [Google Scholar] [CrossRef]
- Meschaninova, M.I.; Novopashina, D.S.; Semikolenova, O.A.; Silnikov, V.N.; Venyaminova, A.G. Novel Convenient Approach to the Solid-Phase Synthesis of Oligonucleotide Conjugates. Molecules 2019, 24, 4266. [Google Scholar] [CrossRef]
- Complete Mixed Feeds for Laboratory Animals. Specification. Available online: https://docs.cntd.ru/document/1200167514 (accessed on 17 August 2023).
- General Requirements to Testing Laboratories. Specification. Available online: https://meganorm.ru/Data2/1/4294849/4294849735.pdf (accessed on 6 July 2024).
- State System for standardization of the Russian Federation. Accreditation System in the Russian Federation. General Requirements for Accreditation of Testing Laboratories. Available online: https://docs.cntd.ru/document/1200000867 (accessed on 6 July 2024).
- Directive 2010/63/EU of the European Parliament and of the Council of 22 September 2010 on the Protection of Animals Used for Scientific Purposes. Available online: https://eur-lex.europa.eu/eli/dir/2010/63/oj (accessed on 6 July 2024).






| Designation | Sequence 1 | |
|---|---|---|
| First Strand | Second Strand | |
| N | GUGUCAGGCUUUCAGAUUUUUU | AAAUCUGAAAGCCUGACACUUU |
| M | GUGUCmAGGCUUUCmAGAUUUUUU | AAAUCUmGAAAGCCUmGACACUUU |
| F1 | GUfGUCfAGGCUUUCfAGAUUUUUU | AAAUCUfGAAAGCCUfGACfACUUfA |
| F2 | GUGUCfAGGCUUUCfAGAUUUUUU | AAAUCUfGAAAGCCUfGACACUUU |
| F2_S | GsUsGUCfAGGCUUUCfAGAUUUUsUsU | AsAsAUCUfGAAAGCCUfGACACUsUsU |
| F2_S3 | GUGUCfAGGCUUUCfAGAUUUUsUsU | AAAUCUfGAAAGCCUfGACACUsUsU |
| F2_S5 | GsUsGUCfAGGCUUUCfAGAUUUUUU | AsAsAUCUfGAAAGCCUfGACACUUU |
| F2_SM | GUGUCfAGGCUsUsUCfAGAUUUUUU | AAAUCUfGAsAsAGCCUfGACACUUU |
| Ch-F2 | Ch-GUGUCfAGGCUUUCfAGAUUUUUU | Ch-AAAUCUfGAAAGCCUfGACACUUU |
| Ch-F2_S3 | Ch-GUGUCfAGGCUUUCfAGAUUUUsUsU | Ch-AAAUCUfGAAAGCCUfGACACUsUsU |
| F2-NH2 | GUGUCfAGGCUUUCfAGAUUUUUU-NH2 | AAAUCUfGAAAGCCUfGACACUUU-NH2 |
| F2-Ch | GUGUCfAGGCUUUCfAGAUUUUUU-Ch | AAAUCUfGAAAGCCUfGACACUUU-Ch |
| Ch-N | Ch-GUGUCAGGCUUUCAGAUUUUUU | Ch-AAAUCUGAAAGCCUGACACUUU |
Disclaimer/Publisher’s Note: The statements, opinions and data contained in all publications are solely those of the individual author(s) and contributor(s) and not of MDPI and/or the editor(s). MDPI and/or the editor(s) disclaim responsibility for any injury to people or property resulting from any ideas, methods, instructions or products referred to in the content. |
© 2024 by the authors. Licensee MDPI, Basel, Switzerland. This article is an open access article distributed under the terms and conditions of the Creative Commons Attribution (CC BY) license (https://creativecommons.org/licenses/by/4.0/).
Share and Cite
Bishani, A.; Meschaninova, M.I.; Zenkova, M.A.; Chernolovskaya, E.L. The Impact of Chemical Modifications on the Interferon-Inducing and Antiproliferative Activity of Short Double-Stranded Immunostimulating RNA. Molecules 2024, 29, 3225. https://doi.org/10.3390/molecules29133225
Bishani A, Meschaninova MI, Zenkova MA, Chernolovskaya EL. The Impact of Chemical Modifications on the Interferon-Inducing and Antiproliferative Activity of Short Double-Stranded Immunostimulating RNA. Molecules. 2024; 29(13):3225. https://doi.org/10.3390/molecules29133225
Chicago/Turabian StyleBishani, Ali, Mariya I. Meschaninova, Marina A. Zenkova, and Elena L. Chernolovskaya. 2024. "The Impact of Chemical Modifications on the Interferon-Inducing and Antiproliferative Activity of Short Double-Stranded Immunostimulating RNA" Molecules 29, no. 13: 3225. https://doi.org/10.3390/molecules29133225
APA StyleBishani, A., Meschaninova, M. I., Zenkova, M. A., & Chernolovskaya, E. L. (2024). The Impact of Chemical Modifications on the Interferon-Inducing and Antiproliferative Activity of Short Double-Stranded Immunostimulating RNA. Molecules, 29(13), 3225. https://doi.org/10.3390/molecules29133225

