Application Prospect of Ion-Imprinted Polymers in Harmless Treatment of Heavy Metal Wastewater
Abstract
1. Introduction
2. Principles of Ion-Imprinting Technology
3. Typical Heavy Metal Ion-Imprinted Polymer
3.1. Cu(II)-Imprinted Polymers
| Carrier | Ligand | Functional Monomers | Group | Regeneration Frequencies | Maximum Adsorption Capacity (mg/g) | Ref. |
|---|---|---|---|---|---|---|
| modified palygorskite | NA | NIAM | -CONH- -COOH | 6 | 35.55 | [77] |
| carbon encapsulated Fe3O4 nanospheres | NA | NIAM | -CONH- -COOH | 5 | 45.46 | [72] |
| Fe3O4-graphene@mesoporous SiO2 | NA | TPEMP | R-N | 6 | 195.3 | [79] |
| Montmorillonite | NA | 4-VP; MA | C≡N -COOH | 8 | 23.6 | [80] |
| carboxylation CoFe2O4 | NA | POPD | R-N | 5 | 114.198 | [81] |
| poly (glycidyl methacrylate-co-polyethylene glycol dimethacrylate) | DPC | MA | R-N | 5 | 85.6 | [82] |
| NA | NA | Cuphen(VBA)2H2O | C≡N -COOH | NA | 287.45 | [83] |
| epoxy resin | NA | PEPA | -OH -NH | 5 | 91.58 | [84] |
| NA | NA | aloe vera extract | -COOH -OH | 8 | 338.73 | [85] |
| NA | CA | PEI; CMP | -NH2 | 6 | 87.69 | [86] |
| NA | EDTA | 4-VP; MA | C≡N -COOH | 2.163 | [87] | |
| NA | NA | hydrazine hydrate | C-N C=O | 5 | 312.5 | [88] |
| NA | NA | 4-VP; MA | C≡N -COOH | 10 | 26.9 | [89] |
| NA | NA | SA; CTS | -NH2 | 3 | 83.33 | [90] |
| NA | NA | PEI; HEA | -NH2 -NH | 5 | 40 | [91] |
| NA | NA | G; HQ | -OH R-N | 10 | 111.81 | [92] |
| NA | NA | isatin; CTS | R-N -CONH- | 5 | 143 | [69] |
| NA | NA | AAPTMS | -NH2 -NH | 5 | 39.82 | [93] |
| nanofiber nonwoven fabric | NA | BC | -OH | 10 | 152.2 | [94] |

3.2. Ni(II)-Imprinted Polymers
3.3. Cd(II)-Imprinted Polymers
| Carrier | Ligand | Functional Monomers | Group | Regeneration Frequencies | Maximum Adsorption Capacity (mg/g) | Ref. |
|---|---|---|---|---|---|---|
| CdS/Fe3O4 | NA | sodium pyrrolidone carboxylate | -SH | 10 | 154.99 | [121] |
| NA | 1-VI | MPS | -SH -NH | 4 | 4.73 | [65] |
| core-shell mesoporous silica nanoparticles | NA | MPS | -SH | 5 | 22.6 | [119] |
| activated diatomite | NA | MPS | -SH | 5 | 5.5025 | [117] |
| thiol-modified diatom | NA | MPS | -SH | 5 | 4.8 | [68] |
| Fe3O4@SiO2 | NA | AECS | -NH2 | 6 | 26.1 | [124] |
| Fe3O4@SiO2 | PBTCA | NA | -COOH | 6 | 29.82 | [125] |
| NA | NA | TCCS | -SH | 5 | 305 | [126] |
| NA | NA | maleic anhydride; AN | C≡N C=O | 10 | 20.46 | [127] |
| Fe3O4@SiO2 | NA | beer yeast | -NH | 10 | 62.74 | [128] |
| GO | NA | salecan | -COOH | 5 | 412.5 | [129] |
| NA | NA | AN; PA | -NH2 -OH C=N | NA | 0.018 | [130] |
| R8Si8O12 | NA | 1-VI; NMA | -C=O -OH C≡N | 5 | 80.21 | [131] |
| natural sand | NA | AM | -NH2 -C=O | 8 | 33.84 | [132] |
| NA | vim; MA | -NH -COOH | 43 | [133] | ||
| NA | MCO | MA | -COOH | 10 | 62.9 | [134] |
| NA | NA | β-cyclodextrin; AM | -NH2 -OH | 5 | 107 | [122] |
| Fe3O4 | NA | salicylaldehyde Schiff base; MMA | -NH2 -OH | 5 | 179.04 | [123] |
3.4. Hg(II)-Imprinted Polymer
3.5. Pb(II)-Imprinted Polymers
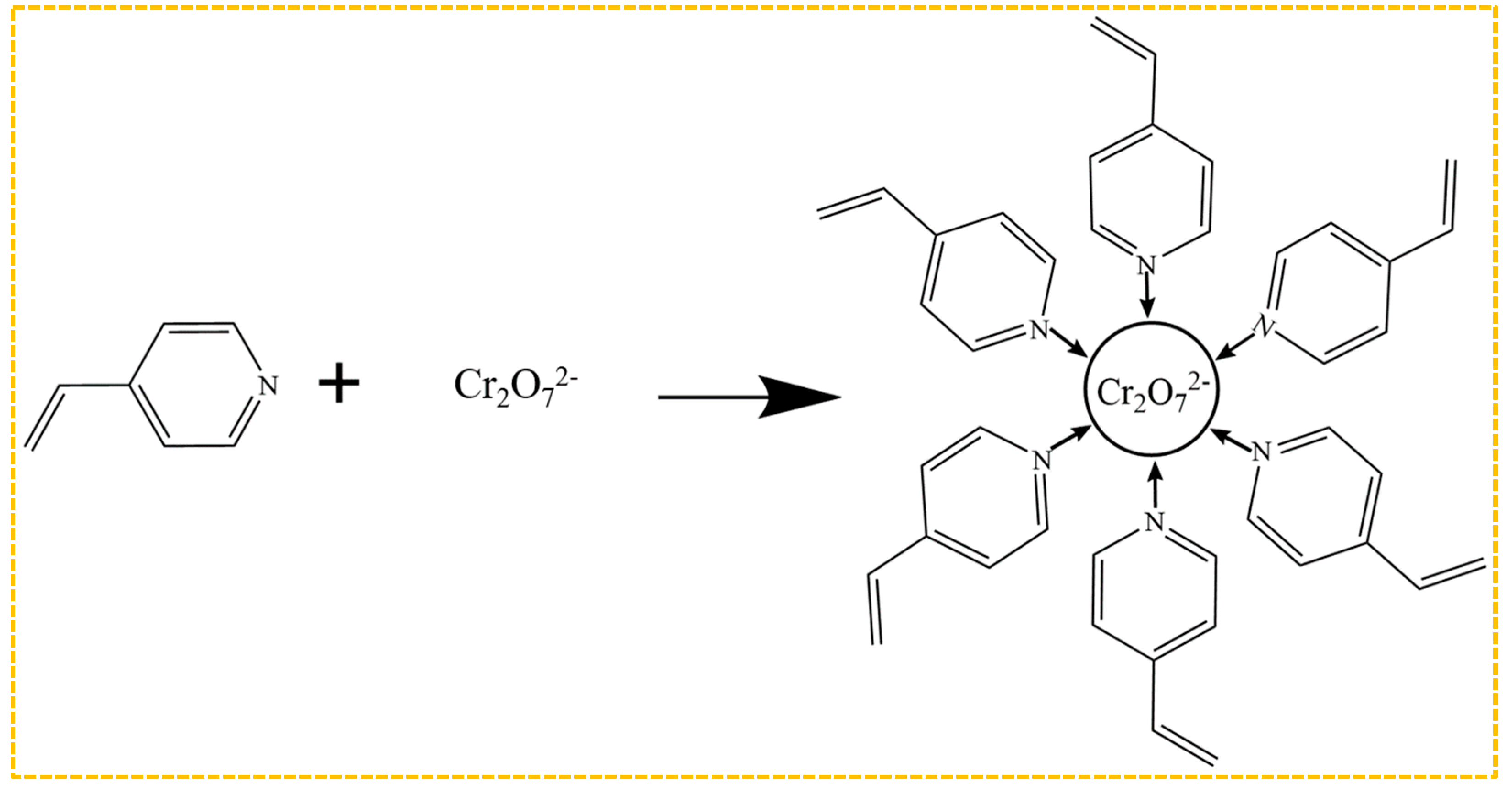
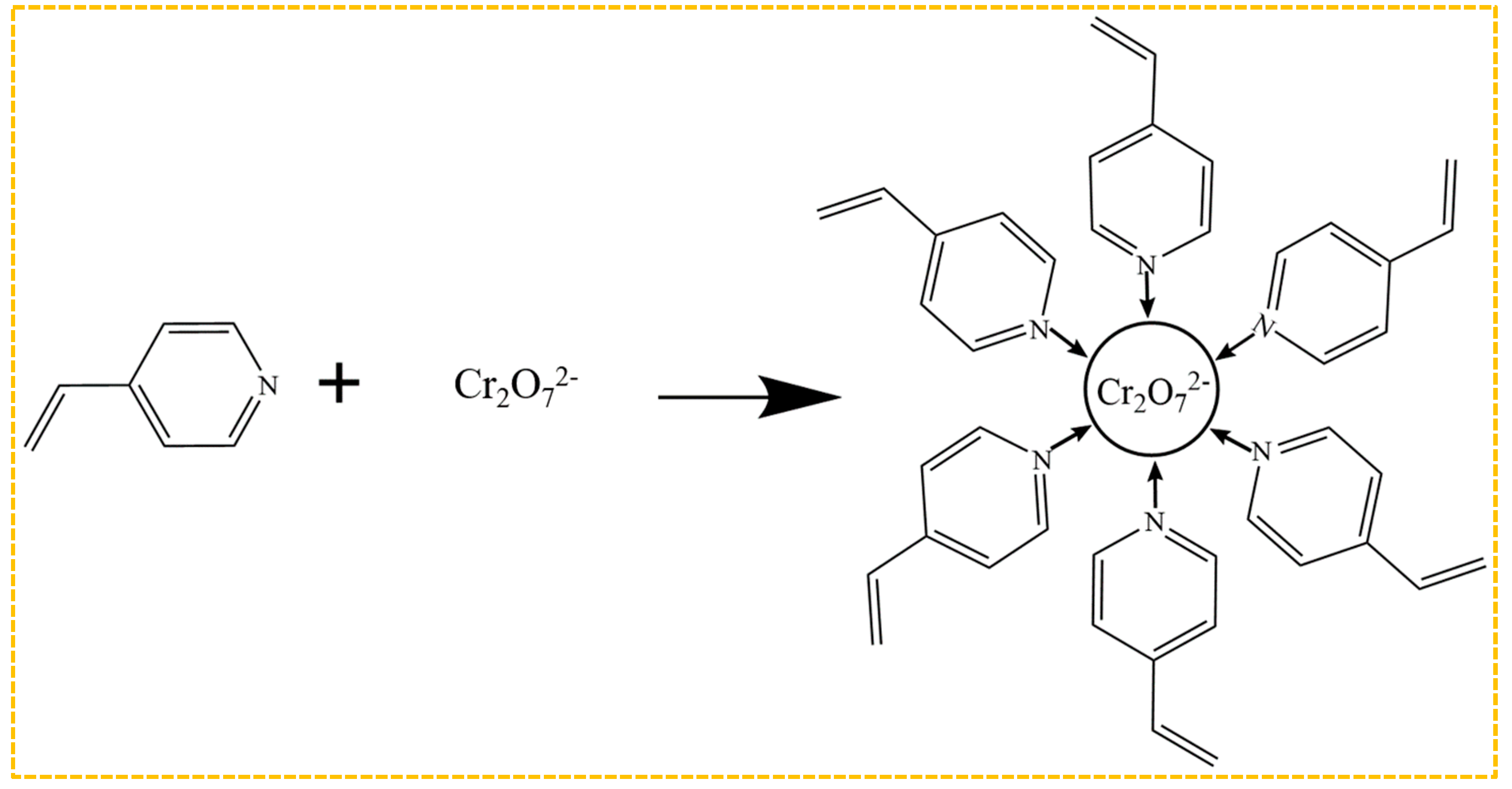
3.6. Cr(VI)-Imprinted Polymers
4. Metalloid Ion-Imprinted Polymer
4.1. As(III)-Imprinted Polymer
4.2. Sb(III)-Imprinted Polymer
5. Dual/Multi-Ion-Imprinted Polymers
6. Summary and Outlook
- (1)
- Multi-template imprinting allows for the simultaneous removal of more types of contaminants than single-template imprinted polymers. From the perspective of wastewater resource utilization, a pollutant treatment process with high selectivity is the most promising strategy.
- (2)
- Currently, low-cost environmentally friendly materials, such as chitosan and corn stover, are gradually being used in the field of water treatment. Based on this, we should explore the design of environmentally friendly and green functional monomers, as well as the introduction of responsive elements such as photosensitivity and thermal sensitivity, to prepare stimulus-responsive “smart” imprinted materials.
- (3)
- The water samples used in most of the adsorption experiments are ideal solutions prepared in the laboratory. Interactions between concurrent pollutants in heavy metal industrial wastewater may affect the adsorption of ion-imprinted polymers through synergistic effects. Therefore, systematic studies are valuable to provide the necessary research data for their industrial applications.
Author Contributions
Funding
Conflicts of Interest
References
- Zhao, J.; Dang, Z.; Muddassir, M.; Raza, S.; Zhong, A.; Wang, X.; Jin, J. New Cd(II)-Based Coordination Polymer for Efficient Photocatalytic Removal of Organic Dyes. Molecules 2023, 28, 6848. [Google Scholar] [CrossRef]
- Xiang, R.; Zhou, C.; Liu, Y.; Qin, T.; Li, D.; Dong, X.; Muddassir, M.; Zhong, A. A new type Co(II)-based photocatalyst for the nitrofurantoin antibiotic degradation. J. Mol. Struct. 2024, 1312, 138501. [Google Scholar] [CrossRef]
- Wu, Y.; He, X.; Wang, X.; Xv, J.; Muddassir, M.; Istikhar, A.; Zhong, A. Synergistic efficacy unleashed: Co/Ni-based catalysts as a versatile powerhouse for photocatalytic degradation of ornidazole. Inorganica Chim. Acta 2024, 568, 122115. [Google Scholar] [CrossRef]
- Zhang, S.; Li, B.; Wang, X.; Zhao, G.; Hu, B.; Lu, Z.; Wen, T.; Chen, J.; Wang, X. Recent developments of two-dimensional graphene-based composites in visible-light photocatalysis for eliminating persistent organic pollutants from wastewater. Chem. Eng. J. 2020, 390, 124642. [Google Scholar] [CrossRef]
- Hodges, B.C.; Cates, E.L.; Kim, J.H. Challenges and prospects of advanced oxidation water treatment processes using catalytic nanomaterials. Nat. Nanotechnol. 2018, 13, 642–650. [Google Scholar] [CrossRef]
- Inyang, M.; Gao, B.; Yao, Y.; Xue, Y.; Zimmerman, A.; Pullammanappallil, P.; Cao, X. Removal of heavy metals from aqueous solution by biochars derived from anaerobically digested biomass. Bioresour. Technol. 2012, 110, 50–56. [Google Scholar]
- Punia, P.; Bharti, M.K.; Dhar, R.; Thakur, R.; Thakur, A. Recent advances in detection and removal of heavy metals from contaminated water. ChemBioEng Rev. 2022, 9, 351–369. [Google Scholar] [CrossRef]
- Dhaliwal, S.S.; Singh, J.; Taneja, P.K.; Mandal, A. Remediation techniques for removal of heavy metals from the soil contaminated through different sources: A review. Environ. Sci. Pollut. Res. 2020, 27, 1319–1333. [Google Scholar] [CrossRef]
- Jakavula, S.; Biata, N.R.; Dimpe, K.M.; Pakade, V.E.; Nomngongo, P.N. A critical review on the synthesis and application of ion-imprinted polymers for selective preconcentration, speciation, removal and determination of trace and essential metals from different matrices. Crit. Rev. Anal. Chem. 2020, 52, 314–326. [Google Scholar] [CrossRef]
- An, Y.; Zhang, W.; Zhang, X.; Zhong, Y.; Ding, L.; Hao, Y.; White, M.; Chen, Z.; An, Z.; Wang, X. Adsorption recycling and high-value reutilization of heavy-metal ions from wastewater: As a high-performance anode lithium battery. Langmuir 2023, 39, 12324–12335. [Google Scholar] [CrossRef]
- You, D.; Shi, H.; Xi, Y.; Shao, P.; Yang, L.; Yu, K.; Han, K.; Luo, X. Simultaneous heavy metals removal via in situ construction of multivariate metal-organic gels in actual wastewater and the reutilization for Sb(V) capture. Chem. Eng. J. 2020, 400, 125359. [Google Scholar] [CrossRef]
- Yang, L.; Hu, W.; Chang, Z.; Liu, T.; Fang, D.; Shao, P.; Shi, H.; Luo, X. Electrochemical recovery and high value-added reutilization of heavy metal ions from wastewater: Recent advances and future trends. Environ. Int. 2021, 152, 106512. [Google Scholar] [CrossRef]
- Zhang, J.; Cao, X.; Wang, H.; Long, X.; Li, X. Simultaneous enhancement of heavy metal removal and electricity generation in soil microbial fuel cell. Ecotoxicol. Environ. Saf. 2020, 192, 110314. [Google Scholar] [CrossRef]
- Siddeeg, S.M.; Tahoon, M.A.; Alsaiari, N.S.; Shabbir, M.; Rebah, F.B. Application of functionalized nanomaterials as effective adsorbents for the removal of heavy metals from wastewater: A review. Curr. Anal. Chem. 2021, 17, 4–22. [Google Scholar] [CrossRef]
- Koliehova, A.; Trokhymenko, H.; Melnychuk, S.; Gomelya, M. Treatment of wastewater containing a mixture of heavy metal ions (Copper-Zinc, Copper-Nickel) using ion-exchange methods. J. Ecol. Eng. 2019, 20, 146–151. [Google Scholar] [CrossRef]
- Fu, Z.-J.; Jiang, S.-K.; Chao, X.-Y.; Zhang, C.; Shi, Q.; Wang, Z.; Liu, M.; Sun, S. Removing miscellaneous heavy metals by all-in-one ion exchange-nanofiltration membrane. Water Res. 2022, 222, 118888. [Google Scholar] [CrossRef]
- Ibrahim, Y.; Abdulkarem, E.; Naddeo, V.; Banat, F.; Hasan, S.W. Synthesis of super hydrophilic cellulose-alpha zirconium phosphate ion exchange membrane via surface coating for the removal of heavy metals from wastewater. Sci. Total Environ. 2019, 690, 167–180. [Google Scholar] [CrossRef]
- Mao, M.; Yan, T.; Shen, J.; Zhang, J.; Zhang, D. Capacitive removal of heavy metal ions from wastewater via an electro-adsorption and electro-reaction coupling process. Environ. Sci. Technol. 2021, 55, 3333–3340. [Google Scholar] [CrossRef]
- Wu, C.; Gao, J.; Liu, Y.; Jiao, W.; Su, G.; Zheng, R.; Zhong, H. High-gravity intensified electrodeposition for efficient removal of Cd2+ and recovery of Cd from heavy metal wastewater. Sep. Purif. Technol. 2022, 289, 3995939. [Google Scholar] [CrossRef]
- Mulungulungu, G.A.; Mao, T.T.; Han, K. Efficient removal of high-concentration copper ions from wastewater via 2D g-C3N4 photocatalytic membrane filtration. Colloids Surf. A Physicochem. Eng. Asp. 2021, 623, 126714. [Google Scholar] [CrossRef]
- Adam, M.R.; Othman, M.H.D.; Kurniawan, T.A.; Puteh, M.H.; Ismail, A.F.; Khongnakorn, W.; Rahman, M.A.; Jaafar, J. Advances in adsorptive membrane technology for water treatment and resource recovery applications: A critical review. J. Environ. Chem. Eng. 2022, 10, 107633. [Google Scholar] [CrossRef]
- Renu Agarwal, M.; Singh, K. Heavy metal removal from wastewater using various adsorbents: A review. J. Water Reuse Desalin. 2017, 7, 387–419. [Google Scholar] [CrossRef]
- Burakov, A.E.; Galunin, E.V.; Burakova, I.V.; Kucherova, A.E.; Agarwal, S.; Tkachev, A.G.; Gupta, V.K. Adsorption of heavy metals on conventional and nanostructured materials for wastewater treatment purposes: A review. Ecotoxicol. Environ. Saf. 2017, 148, 702–712. [Google Scholar] [CrossRef]
- Gu, S.Q.; Kang, X.N.; Wang, L.; Lichtfouse, E.; Wang, C. Clay mineral adsorbents for heavy metal removal from wastewater: A review. Environ. Chem. Lett. 2019, 17, 629–654. [Google Scholar] [CrossRef]
- Yadav, S.; Yadav, A.; Bagotia, N.; Sharma, A.K.; Kumar, S. Adsorptive potential of modified plant-based adsorbents for sequestration of dyes and heavy metals from wastewater-a review. J. Water Process Eng. 2021, 42, 102148. [Google Scholar] [CrossRef]
- Othman, N.; Mohd-Asharuddin, S.; Azizul-Rahman, M.F.H. An overview of fruit waste as sustainable adsorbent for heavy metal removal. Appl. Mech. Mater. 2013, 389, 29–35. [Google Scholar] [CrossRef]
- Aigbe, U.O.; Ukhurebor, K.E.; Onyancha, R.B.; Osibote, O.A.; Darmokoesoemo, H.; Kusuma, H.S. Fly ash-based adsorbent for adsorption of heavy metals and dyes from aqueous solution: A review. J. Mater. Res. Technol. 2021, 14, 2751–2774. [Google Scholar] [CrossRef]
- Zhao, H.; Liang, Q.; Yang, Y.Z.; Liu, W.; Liu, X. Magnetic graphene oxide surface lithium ion-imprinted material towards lithium extraction from salt lake. Sep. Purif. Technol. 2021, 265, 118513. [Google Scholar] [CrossRef]
- Lazar, M.M.; Ghiorghita, C.A.; Dragan, E.S.; Humelnicu, D.; Dinu, M.V. Ion-imprinted polymeric materials for selective adsorption of heavy metal ions from aqueous solution. Molecules 2023, 28, 2798. [Google Scholar] [CrossRef]
- Sangu, H.D.; Akgönüllü, S.; Denizli, A. Ion-imprinted-based nanochelators for iron(III) removal from synthetic gastric fuid. Polym. Bull. 2022, 79, 8947–8965. [Google Scholar] [CrossRef]
- Zhu, G.; Tang, H.; Qing, P.; Zhang, H.; Cheng, X.; Cai, Z.; Xu, H.; Zhang, Y. A monophosphonic group-functionalized ion-imprinted polymer for a removal of Fe3+ from highly concentrated basic chromium sulfate solution. Korean J. Chem. Eng. 2020, 37, 911–920. [Google Scholar] [CrossRef]
- Guo, J.K.; Fan, X.H.; Li, Y.P.; Yu, S.; Zhang, Y.; Wang, L.; Ren, X. Mechanism of selective gold adsorption on ion-imprinted chitosan resin modified by thiourea. J. Hazard. Mater. 2021, 415, 125617. [Google Scholar] [CrossRef]
- Gao, X.P.; Liu, J.; Li, M.Y.; Guo, C.; Long, H.; Zhang, Y.; Xin, L. Mechanistic study of selective adsorption and reduction of Au (III) to gold nanoparticles by ion-imprinted porous alginate microspheres. Chem. Eng. 2019, 385, 123897. [Google Scholar] [CrossRef]
- Jagirani, M.S.; Balouch, A.; Alveroğlu, E.; Abdullah; Alveroğlu, E.; Zeytuncu, B.; Khaskhali, R.A. Fabrication of cobalt tagged smart ion-imprinted polymeric material applied for the elimination of Co2+ ions from real environmental samples. Polym. Bull. 2022, 79, 10135–10153. [Google Scholar] [CrossRef]
- Zhong, X.; Sun, Y.; Zhang, Z.; Dai, Y.; Wang, Y.; Liu, Y.; Hua, R.; Cao, X.; Liu, Y. A new hydrothermal cross-linking ion-imprinted chitosan for high-efciency uranium removal. J. Radioanal. Nucl. Chem. 2019, 322, 901–911. [Google Scholar] [CrossRef]
- Wang, S.; Wang, H.; Wang, S.; Fu, L.; Zhang, L. Novel magnetic covalent organic framework for the selective and effective removal of hazardous metal Pb(II) from solution: Synthesis and adsorption characteristics. Sep. Purif. Technol. 2023, 307, 122783. [Google Scholar] [CrossRef]
- Yang, J.; Wei, Q.; Tian, C.; Li, D.; Li, H.; Qin, G.; Hu, K.; Zhang, Q. Preparation of biomass carbon composites MgO@ZnO@BC and its adsorption and removal of Cu(II) and Pb(II) in Wastewater. Molecules 2023, 28, 6982. [Google Scholar] [CrossRef]
- Tan, T.L.; Somat, H.B.A.; Latif, M.A.B.M. One-pot solvothermal synthesis of Zr-based MOFs with enhanced adsorption capacity for Cu2+ ions removal. J. Solid State Chem. 2022, 315, 123429. [Google Scholar] [CrossRef]
- Ren, S.; Wang, Y.; Han, Z.; Zhang, Q.; Cui, C. Synthesis of polydopamine modified MgAl-LDH for high efficient Cr(VI) rem-oval from wastewater. Environ. Res. 2022, 215, 114191. [Google Scholar] [CrossRef] [PubMed]
- Sun, Y.; Gui, Q.; Zhang, A.; Shi, S.; Chen, X. Polyvinylamine grafted polypropylene membranes for adsorptive removal of Cr(VI) from water. React. Funct. Polym. 2022, 170, 105108. [Google Scholar] [CrossRef]
- Sao, K.; Pandey, M.; Pandey, P.K.; Khan, F. Highly efficient biosorptive removal of lead from industrial effluent. Environ. Sci. Pollut. Res. 2017, 24, 18410–18420. [Google Scholar] [CrossRef] [PubMed]
- Hamoudi, S.A.; Khelifa, N.; Nouri, L.; Hemidouche, S.; Boudjemaa, A.; Boucheffa, Y. Removal of Pb2+ and Cd2+ by adsorption onto Y zeolite and its selectivity of retention in an actual contaminated effluent. Colloid Polym. Sci. 2023, 301, 631–645. [Google Scholar] [CrossRef]
- Tolentino, M.S.; Aquino, R.R.; Tuazon, M.R.C.; Basilia, B.A.; Llana, M.J.; Cosico, J.A.M.C. Adsorptive removal of Ni2+ ions in wastewater using electrospun cellulose acetate/iron-modified nanozeolite nanostructured membrane. In Proceedings of the The 5th International Conference on Water Resource and Environment (WRE 2019), Macao, China, 16–19 July 2019. [Google Scholar]
- Ojembarrena, F.d.B.; García, S.; Merayo, N.; Blanco, A.; Negro, C. Ni(II) and Pb(II) removal using bacterial cellulose membranes. Polymers 2023, 15, 3684. [Google Scholar] [CrossRef] [PubMed]
- Gao, P.; Lei, J.; Tan, J.; Wang, G.; Liu, H.; Zhou, L. Selfassembled magnetic microcrystalline cellulose/MoS2/Fe3O4 composite for efficient adsorptive removal of mercury ions (Hg2+). Compos. Commun. 2021, 25, 100736. [Google Scholar] [CrossRef]
- Tang, J.; Chen, Y.; Zhao, M.; Wang, S.; Zhang, L. Phenylthiosemicarbazide-unctionalzed Ui0-66-NH2 as highly eticient adsorbent for the selective removal of lead from aqueous solutions. J. Hazard. Mater. 2021, 413, 125278. [Google Scholar] [CrossRef] [PubMed]
- Nicomel, N.R.; Otero-Gonzalez, L.; Folens, K.; Mees, B.; Hennebel, T.; Laing, G.D. Selective and enhanced nickel adsorpion from sulfate-and calciumrich solutions usinachitosan. Sep. Purif. Technol. 2021, 276, 119283. [Google Scholar] [CrossRef]
- Yoshikawa, M.; Tharpa, K.; Dima, S.O. Molecularly Imprinted Membranes: Past, Present, and Future. Chem. Rev. 2016, 116, 11500–11528. [Google Scholar] [CrossRef] [PubMed]
- Janczura, M.; Luliński, P.; Sobiech, M. Imprinting technology for effective sorbent fabrication: Current state-of-art and future prospects. Materials 2021, 14, 1850. [Google Scholar] [CrossRef]
- Yu, L.; Sun, L.; Zhang, Q.; Zhou, Y.; Zhang, J.; Yang, B.; Xu, B.; Xu, Q. Nanomaterials-based ion-imprinted electrochemical sensors for heavy metal ions detection: A review. Biosensors 2022, 12, 1096. [Google Scholar] [CrossRef]
- Wang, Z.; Kong, D.; Qiao, N.; Wang, N.; Wang, Q.; Liu, H.; Zhou, Z.; Ren, Z. Facile preparation of novel layer-by-layer surface ion-imprinted composite membrane for separation of Cu2+ from aqueous solution. Appl. Surf. Sci. 2018, 457, 981–990. [Google Scholar] [CrossRef]
- Zhou, X.; Wang, B.; Wang, R. Insights into ion-imprinted materials for the recovery of metal ions: Preparation, evaluation and application. Sep. Purif. Technol. 2022, 298, 121469. [Google Scholar] [CrossRef]
- Kusumkar, V.V.; Galamboš, M.; Viglašová, E.; Daňo, M.; Šmelková, J. Ion-Imprinted Polymers: Synthesis, Characterization, and Adsorption of Radionuclides. Materials 2021, 14, 1083. [Google Scholar] [CrossRef] [PubMed]
- Kong, D.L.; Qiao, N.; Liu, H.A.; Du, J.; Wang, N.; Zhou, Z.; Ren, Z. Fast and efficient removal of copper using sandwich-like graphene oxide composite imprinted materials. Chem. Eng. J. 2017, 326, 141–150. [Google Scholar] [CrossRef]
- Kumar, A.; Balouch, A.; Pathan, A.A. Synthesis, adsorption and analytical applicability of Ni-imprinted polymer for selective adsorption of Ni2+ ions from the aqueous environment. Polym. Test. 2019, 77, 105871. [Google Scholar] [CrossRef]
- Wang, H.; Shang, H.; Sun, X.; Hou, L.; Wen, M.; Qiao, Y. Preparation of thermo-sensitive surface ion-imprinted polymers based on multi-walled carbon nanotube composites for selective adsorption of Pb(II) ion. Colloids Surf. A Physicochem. Eng. Asp. 2020, 585, 124139. [Google Scholar] [CrossRef]
- Jagirani, M.S.; Balouch, A.; Mahesar, S.A.; Kumar, A.; Abdullah; Mustafai, F.A.; Bhanger, M.I. Preparation of novel arsenic-imprinted polymer for the selective extraction and enhanced adsorption of toxic As3+ ions from the aqueous environment. Polym. Bull. 2020, 77, 5261–5279. [Google Scholar] [CrossRef]
- Hou, L.; Yang, C.; Rao, X.; Hu, L.; Bao, Y.; Gao, Y.; Zhu, X. Fabrication of recoverable magnetic surface ion-imprinted polymer based on graphene oxide for fast and selective removal of lead ions from aqueous solution. Colloids Surf. A Physicochem. Eng. Asp. 2021, 625, 126949. [Google Scholar] [CrossRef]
- Gatabi, J.; Sarrafi, Y.; Lakouraj, M.M.; Taghavi, M. Facile and efficient removal of Pb(II) from aqueous solution by chitosan-lead ion imprinted polymer network. Chemosphere 2020, 240, 124772. [Google Scholar] [CrossRef] [PubMed]
- Cajamarca, F.A.; Tarley, C.R.T. Influence of synthesis parameters and polymerization methods on the selective and adsorptive performance of bio-inspired ion imprinted polymers. Separations 2022, 9, 266. [Google Scholar] [CrossRef]
- Sala, A.; Brisset, H.; Margaillan, A.; Mullot, J.; Branger, C. Electrochemical sensors modified with ion-imprinted polymers for metal ion detection. Trends Anal. Chem. 2022, 148, 116536. [Google Scholar] [CrossRef]
- Mesa, R.L.; Villa, J.E.; Khan, S.; Peixoto, R.R.A.; Morgano, M.A.; Gonçalves, L.M.; Sotomayor, M.D.; Picasso, G. Rational design of an ion-imprinted polymer for aqueous methylmercury sorption. Nanomaterials 2020, 10, 2541. [Google Scholar] [CrossRef] [PubMed]
- Msaadi, R.; Ammar, S.; Chehimi, M.M.; Yagci, Y. Diazonium-based ion-imprinted polymer/clay nanocomposite for the selective extraction of lead (II) ions in aqueous media. Eur. Polym. J. 2017, 89, 367–380. [Google Scholar] [CrossRef]
- El Ouardi, Y.; Giove, A.; Laatikainen, M.; Branger, C.; Laatikainen, K. Benefit of ion imprinting technique in solid-phase extraction of heavy metals, special focus on the last decade. J. Environ. Chem. Eng. 2021, 9, 106548. [Google Scholar] [CrossRef]
- Adaut, A.; Khan, S.; da Silva, M.A.; Neto, J.A.G.; Gino Picasso, G.; Sotomayor, M.D.P.T. Synthesis, characterization and application of a novel ion hybrid imprinted polymer to adsorb Cd(II) in different samples. Environ. Res. 2020, 187, 109669. [Google Scholar] [CrossRef] [PubMed]
- Kumar, S.; Balouch, A.; Alveroğlu, E.; Jagirani, M.S.; Abdullah; Moina Akhtar, M.; Mal, D. Fabrication of nickel-tagged magnetic imprinted polymeric network for the selective extraction of Ni(II) from the real aqueous samples. Environ. Sci. Pollut. Res. 2021, 28, 40022–40034. [Google Scholar] [CrossRef] [PubMed]
- He, J.; Shang, H.; Zhang, X.; Sun, X. Synthesis and application of ion imprinting polymer coated magnetic multi-walled carbon nanotubes for selective adsorption of nickel ion. Appl. Surf. Sci. 2018, 428, 110–117. [Google Scholar] [CrossRef]
- Miao, Y.; Zhang, H.; Xie, Q.; Chen, N.; Ma, L. Construction and selective removal of Cd ion based on diatom-based Cd(II) ion-imprinted composite adsorbent. J. Mater. Eng. 2021, 49, 151–157. [Google Scholar] [CrossRef]
- Monier, M.; Bukhari, A.A.H.; Elsayed, N.H. Designing and characterization of copper (II) ion-imprinted adsorbent based on isatin functionalized chitosan. Int. J. Biol. Macromol. 2020, 155, 795–804. [Google Scholar] [CrossRef]
- Qiu, X.; Wang, B.; Zhao, X.; Zhou, X.; Wang, R. Green and sustainable imprinting technology for removal of heavy metal ions from water via selective adsorption. Sustainability 2024, 16, 339. [Google Scholar] [CrossRef]
- Guo, S.; Zhang, F.; Li, D.; Jiao, P. Highly efficient and selective removal of cadmium from aqueous solutions based on magnetic graphitic carbon nitride materials with molecularly imprinted polymers. J. Mol. Struct. 2020, 1221, 128887. [Google Scholar] [CrossRef]
- Liu, W.; Qin, L.; An, Z.; Chen, L.; Liu, X.; Yang, Y.; Xu, B. Thermo-responsive ion imprinted polymer on the surface of magnetic carbon microspheres for identification and removal of low-concentrations of Cu2+. Environ. Chem. 2018, 15, 306–316. [Google Scholar] [CrossRef]
- Li, R.; Qin, L.; Fu, D.; Wang, M.; Song, X.; Bai, Y.; Liu, W.; Liu, X. A highly selective and sensitive electrochemical Cu(II) detector based on ion-imprinted magnetic carbon nanospheres. New Carbon Mater. 2023, 38, 1092–1103. [Google Scholar] [CrossRef]
- Aydoğan, N.; Aylaz, G.; Bakhshpour, M.; Tugsuz, T.; Andaç, M. Molecularly designed ion-imprinted nanoparticles for real-time sensing of Cu(II) ions using quartz crystal microbalance. Biomimetics 2022, 7, 191. [Google Scholar] [CrossRef] [PubMed]
- Khan, M.; Al-Ghouti, M.A.; Khraisheh, M.; Shomar, B.; Hijji, Y.; Tong, Y.; Mansour, S.; Nasser, M.S. Synthesis of nanostructured novel ion-imprinted polymer for selective removal of Cu2+ and Sr2+ ions from reverse osmosis concentrated brine. Environ. Res. 2023, 231, 116024. [Google Scholar] [CrossRef] [PubMed]
- Peng, W.; Xie, Z.; Cheng, G. Amino-functionalized adsorbent prepared by means of Cu(II) imprinted method and its selective removal of copper from aqueous solutions. J. Hazard. Mater. 2015, 294, 9–16. [Google Scholar] [CrossRef]
- Li, Z.; Su, Q.; Jiang, W.; Wu, L. Preparation of a thermosensitive surface imprinted polymer based on palygorskite for removal of copper (II) from environment aqueous Solution. Int. J. Environ. Anal. Chem. 2023, 103, 3235–3250. [Google Scholar] [CrossRef]
- Othman, N.A.F.; Selambakkannu, S.; Abdullah, T.A.T.; Hoshina, H.; Sattayaporn, S.; Seko, N. Selectivity of copper by amine-based ion recognition polymer adsorbent with different aliphatic amines. Polymers 2019, 11, 1994. [Google Scholar] [CrossRef]
- Fang, P.; Xia, W.Z.; Zhou, Y.Q.; Ai, Z.; Yin, W.; Xia, M.; Yu, J.; Chi, R.; Yue, Q. Ion-imprinted mesoporous silica/magnetic graphene oxide composites functionalized with Schiff-base for selective Cu(II) capture and simultaneously being transformed as a robust heterogeneous catalyst. Chem. Eng. J. 2020, 385, 123847. [Google Scholar] [CrossRef]
- Msaadi, R.; Yilmaz, G.; Allushi, A.; Hamadi, S.; Ammar, S.; Chehimi, M.M.; Yagci, Y. Highly selective copper ion imprinted clay/polymer nanocomposites prepared by visible light initiated radical photopolymerization. Polymer 2019, 11, 286. [Google Scholar] [CrossRef]
- He, F.; Lu, Z.; Song, M.; Liu, X.; Tang, H.; Huo, P.; Fan, W.; Dong, H.; Wu, X.; Han, S. Selective reduction of Cu2+ with simultaneous degradation of tetracycline by the dual channels ion imprinted POPD-CoFe2O4 heterojunction photocatalyst. Chem. Eng. J. 2019, 360, 750–761. [Google Scholar] [CrossRef]
- Bai, Q.; Huang, C.; Ma, S.; Gong, B.; Qu, J. Rapid adsorption and detection of copper ions in water by dual-functional ion-imprinted polymers doping with carbon dots. Sep. Purif. Technol. 2023, 315, 123666. [Google Scholar] [CrossRef]
- Bivián-Castro, E.Y.; Zepeda-Navarro, A.; Guzmán-Mar, J.L.; Flores-Alamo, M.; Mata-Ortega, B. Ion-imprinted polymer structurally preorganized using a phenanthroline-divinylbenzoate complex with the Cu(II) Ion as template and some adsorption results. Polymer 2023, 15, 1186. [Google Scholar] [CrossRef] [PubMed]
- Zhu, S.; Wan, H.; Yan, Z.; Xi, C.; Zhang, Y.; Zhang, F. Synthesis and characterization of epoxy resin-based ion-imprinted polymer for selective removal of copper ions. Korean J. Chem. Eng. 2023, 40, 2356–2364. [Google Scholar] [CrossRef]
- Sharef, H.Y.; Jalal, A.F.; Ibrahim, B.M.; Fakhre, N.A.; Qader, I.N. New ion-imprinted polymer for selective removal of Cu2+ ion in aqueous solution using extracted Aloe vera leaves as a monomer. Int. J. Biol. Macromol. 2023, 239, 124318. [Google Scholar] [CrossRef]
- Sun, Y.; Gu, Y.; Zhang, P. Adsorption properties and recognition mechanisms of a novel surface imprinted polymer for selective removal of Cu(II)-citrate complexes. J. Hazard. Mater. 2022, 424, 127735. [Google Scholar] [CrossRef] [PubMed]
- Chaipuang, A.; Phungpanya, C.; Thongpoon, C.; Watla-iad, K.; Inkaew, P.; Machan, T.; Orawan Suwantong, O. Effect of ethylene diamine tetra-acetic acid and functional monomers on the structure and adsorption properties of copper (II) ion-imprinted polymers. Polym. Adv. Technol. 2021, 32, 3000–3007. [Google Scholar] [CrossRef]
- Turan, K.; Canlidinç, R.S.; Kalfa, O.M. Preconcentration of trace amount Cu(II) by solid-phase extraction method using activated carbon-based ion-imprinted sorbent. Turk. J. Chem. 2022, 46, 550–566. [Google Scholar] [CrossRef]
- Jiang, Y.; Tang, B.; Zhao, P.; Xi, M.; Li, Y. Synthesis of copper and lead ion imprinted polymer submicron spheres to remove Cu2+ and Pb2+. J. Inorg. Organomet. Polym. Mater. 2021, 31, 4628–4636. [Google Scholar] [CrossRef]
- Zhang, W.; Yun, M.; Yu, Z.; Chen, D.; Li, X. A novel Cu(II) ion-imprinted alginate-chitosan complex adsorbent for selective separation of Cu(II) from aqueous solution. Polym. Bull. 2019, 76, 1861–1876. [Google Scholar] [CrossRef]
- Wang, J.J.; Li, Z.K. Enhanced selective removal of Cu(II) from aqueous solution by novel polyethylenimine-functionalized ion imprinted hydrogel: Behaviors and mechanisms. J. Hazard. Mater. 2015, 300, 18–28. [Google Scholar] [CrossRef]
- Wang, L.; Li, J.; Wang, J.; Guo, X.; Wang, X.; Choo, J.; Chen, L. Green multi-functional monomer based ion imprinted polymers for selective removal of copper ions from aqueous solution. J. Colloid Interface Sci. 2019, 541, 376–386. [Google Scholar] [CrossRef]
- Ren, Z.; Zhu, X.; Du, J.; Kong, D.; Wang, N.; Wang, Z.; Wang, Q.; Liu, W.; Li, Q.; Zhou, Z. Facile and green preparation of novel adsorption materials by combining sol-gel with ion imprinting technology for selective removal of Cu(II) ions from aqueous solution. Appl. Surf. Sci. 2018, 435, 574–584. [Google Scholar] [CrossRef]
- Kang, X.; Zhu, C.; Xiong, P.; Du, Z.; Cai, Z. Copper ion-imprinted bacterial cellulose for selectively removing heavy metal ions from aqueous solution. Cellulose 2022, 29, 4001–4019. [Google Scholar]
- Gao, Y.; Zhou, R.-Y.; Yao, L.; Yin, W.; Yu, J.; Yue, Q.; Xue, Z.; He, H.; Gao, B. Synthesis of rice husk-based ion-imprinted polymer for selective capturing Cu(II) from aqueous solution and re-use of its waste material in Glaser coupling reaction. J. Hazard. Mater. 2022, 424, 127203. [Google Scholar] [CrossRef] [PubMed]
- Kong, J.; Gu, R.; Yuan, J.; Liu, W.; Wu, J.; Fei, Z.; Yue, Q. Adsorption behavior of Ni(II) onto activated carbons from hide waste and high-pressure steaming hide waste. Ecotoxicol. Environ. Saf. 2018, 156, 294–300. [Google Scholar] [CrossRef] [PubMed]
- Liu, W.; Zhang, M.; Liu, X.; Zhang, H.; Jiao, J.; Zhu, H.; Zhou, Z.; Ren, R. Preparation of surface ion-imprinted materials based on modified chitosan for highly selective recognition and adsorption of nickel ions in aqueous solutions. Ind. Eng. Chem. Res. 2020, 59, 6033–6042. [Google Scholar] [CrossRef]
- Tamahkar, E.; Bakhshpour, M.; Andaç, M.; Denizli, A. Ion imprinted cryogels for selective removal of Ni(II) ions from aqueous solutions. Sep. Purif. Technol. 2017, 179, 36–44. [Google Scholar] [CrossRef]
- He, H.-X.; Gan, Q.; Feng, C.-G. An ion-imprinted silica gel polymer prepared by surface imprinting technique combined with aqueous solution polymerization for selective adsorption of Ni(II) from aqueous solution. Chin. J. Polym. Sci. 2018, 36, 462–471. [Google Scholar] [CrossRef]
- He, H.; Gan, Q.; Feng, C. Preparation and application of Ni(II) ion-imprinted silica gel polymer for selective separation of Ni(II) from aqueous solution. RSC Adv. 2017, 7, 15102–15111. [Google Scholar] [CrossRef]
- Zhou, G.; Wu, S.; Zhou, R.; Wang, C.; Song, Z.; Miller, R.H.B.; Hao, T.; Yang, R. Synthesis of ion imprinted magnetic nanocomposites and application for novel selective recycling of Ni(II). J. Clean. Prod. 2021, 314, 127999. [Google Scholar] [CrossRef]
- Zhang, W.; Ye, S.; Yang, X.; Zhu, B.; Li, W.; He, H.; Deng, X. A recoverable magnetic surface ion-imprinted polymer based on graphene oxide for fast and selective adsorption of Ni(II) from aqueous solution: Experimental and DFT calculations. New J. Chem. 2022, 47, 1197–1208. [Google Scholar] [CrossRef]
- Zhang, W.; Deng, X.; Ye, S.; Xia, Y.; Li, L.; Li, W.; He, H. Selective removal and recovery of Ni(II) using a sulfonic acid-based magnetic rattle-type ionimprinted polymer: Adsorption performance and mechanisms. RSC Adv. 2022, 12, 34571–34583. [Google Scholar] [CrossRef] [PubMed]
- Zhao, L.; Hu, X.; Zi, F.; Liu, Y.; Hu, D.; Li, P.; Cheng, H. Preparation and adsorption properties of Ni(II) ion-imprinted polymers based on synthesized novel functional monomer. E-Polymers 2021, 21, 590–605. [Google Scholar] [CrossRef]
- Ahmadi, E.; Hajifatheali, H.; Valipoor, Z.; Marefat, M. Synthesis, characterization and analytical applications of Ni(II) ion-imprinted polymer prepared by N-(2-hydroxyphenyl) acrylamide. J. Polym. Res. 2021, 28, 181. [Google Scholar] [CrossRef]
- Awual, E.; Salman, S.; Hasan, M.; Hasan, N.; Kubra, K.T.; Sheikh, C.; Rasee, A.I.; Rehan, A.I.; Waliullah, R.M.; Hossain, M.S.; et al. Ligand imprinted composite adsorbent for effective Ni(II) ion monitoring and removal from contaminated water. J. Ind. Eng. Chem. 2024, 131, 585–592. [Google Scholar] [CrossRef]
- Chen, Y.; Ma, X.; Peng, J. Highly selective removal and recovery of Ni(II) from aqueous solution using magnetic ion-imprinted chitosan nanoparticles. Carbohydr. Polym. 2021, 271, 118435. [Google Scholar] [CrossRef]
- Wu, S.; Liang, L.; Zhang, Q.; Xiong, L.; Shi, S.; Chen, Z.; Lu, Z.; Fan, L. The ion-imprinted oyster shell material for targeted removal of Cd(II) from aqueous solution. J. Environ. Manag. 2022, 302, 114031. [Google Scholar] [CrossRef]
- Guo, N.; Su, S.-J.; Liao, B.; Ding, S.; Sun, W. Preparation and properties of a novel macro porous Ni2+-imprinted chitosan foam adsorbents for adsorption of nickel ions from aqueous solution. Carbohydr. Polym. 2017, 165, 376–383. [Google Scholar] [CrossRef]
- Zeng, J.; Zen, J.; Zhou, H.; Liu, G.; Yuan, Z.; Jian, J. Ion-imprinted silica gel and its dynamic membrane for nickel ion removal from wastewaters. Front. Chem. Sci. Eng. 2020, 14, 1018–1028. [Google Scholar] [CrossRef]
- Zhou, G.; Yu, P.; Shen, Y.; Wang, C.; Li, Y.; Yang, R.; Fu, X.; Chi, J.; Chen, X.; Feng, Y. Ion imprinted polymer layer modified magnetic nanocomposites for selective recycling of aqueous Ni(II). J. Clean. Prod. 2022, 373, 133748. [Google Scholar] [CrossRef]
- Yu, P.; Zhou, G.; Yang, R.; Li, Y.; Zhang, L.; Sun, L.; Fu, X.; Hao, T. Green synthesis of ion-imprinted macroporous composite magnetic hydrogels for selective removal of nickel (II) from wastewater. J. Mol. Liq. 2021, 344, 117963. [Google Scholar] [CrossRef]
- Hu, J.; Sedki, M.; Shen, Y.; Mulchandani, A.; Gao, G. Chemiresistor sensor based on ion-imprinted polymer (IIP)-functionalized rGO for Cd(II) ions in water. Sens. Actuators B Chem. 2021, 346, 130474. [Google Scholar] [CrossRef]
- Li, M.; Feng, C.; Li, M.; Zeng, Q.; Gan, Q.; Yang, H. Synthesis and characterization of a surface-grafted Cd(II) ion-imprinted polymer for selective separation of Cd(II) ion from aqueous solution. Appl. Surf. Sci. 2015, 332, 463–472. [Google Scholar] [CrossRef]
- Liu, Y.; Hu, X.; Meng, M.; Liu, Z.; Ni, L.; Meng, X.; Qiu, J. RAFT-mediated microemulsion polymerization to synthesize a novel high-performance graphene oxide-based cadmium imprinted polymer. Chem. Eng. J. 2016, 302, 609–618. [Google Scholar] [CrossRef]
- Costa, M.; Di Masi, S.; Garcia-Cruz, A.; Piletsky, S.A.; Malitesta, C. Disposable electrochemical sensor based on ion imprinted polymeric receptor for Cd(II) ion monitoring in waters. Sens. Actuators B Chem. 2023, 383, 133559. [Google Scholar] [CrossRef]
- Huang, L.; Wang, L.Q.; Gong, L.; Xie, Q.; Chen, N. Preparation, characterization and adsorption characteristics of diatom-based Cd(II) surface ionimprinted polymer. J. Dispers. Sci. Technol. 2022, 3, 1321–1332. [Google Scholar] [CrossRef]
- Huang, K.; Chen, Y.; Zhou, F.; Zhao, X.; Liu, J.; Mei, S.; Zhou, K.; Jing, T. Integrated ion imprinted polymers-paper composites for selective and sensitive detection of Cd(II) ions. J. Hazard. Mater. 2017, 333, 137–143. [Google Scholar] [CrossRef] [PubMed]
- Cao, H.; Yang, P.; Ye, T.; Yuan, M.; Yu, J.; Wu, X.; Yin, F.; Li, Y.; Xu, F. Recognizing adsorption of Cd(II) by a novel core-shell mesoporous ion-imprinted polymer: Characterization, binding mechanism and practical application. Chemosphere 2021, 278, 130369. [Google Scholar] [CrossRef]
- Cao, H.; Yang, P.; Ye, T.; Yuan, M.; Yu, J.; Wu, X.; Yin, F.; Li, Y.; Xu, F. The selective recognition mechanism of a novel highly hydrophobic ion-imprinted polymer towards Cd(II) and its application in edible vegetable oil. RSC Adv. 2021, 11, 34487–34497. [Google Scholar] [CrossRef]
- Lu, Z.; He, F.; Hsieh, C.Y.; Wu, X.; Song, M.; Liu, X.; Liu, Y.; Yuan, S.; Dong, H.; Han, S.; et al. Magnetic hierarchical photocatalytic nanoreactors: Toward highly selective Cd2+ removal with secondary pollution free tetracycline degradation. ACS Appl. Nano Mater. 2019, 2, 1664–1674. [Google Scholar] [CrossRef]
- Zhu, F.; Li, L.; Xing, J. Selective adsorption behavior of Cd(II) ion imprinted polymers synthesized by microwave-assisted inverse emulsion polymerization: Adsorption performance and mechanism. J. Hazard. Mater. 2017, 321, 103–110. [Google Scholar] [CrossRef] [PubMed]
- Zhu, F.; Li, L.; Li, N.; Liu, W.; Liu, X.; He, S. Selective solid phase extraction and preconcentration of Cd(II) in the solution using microwave-assisted inverse emulsion-suspension Cd(II) ion imprinted polymer. Microchem. J. 2021, 164, 106060. [Google Scholar] [CrossRef]
- Wang, H.; Lin, Y.; Li, Y.; Dolgormaa, A.; Fang, H.; Guo, L.; Huang, J.; Yang, J. A novel magnetic Cd(II) ion-imprinted polymer as a selective sorbent for the removal of cadmium ions from aqueous solution. J. Inorg. Organomet. Polym. Mater. 2019, 29, 1874–1885. [Google Scholar] [CrossRef]
- Ye, S.; Zhang, W.; Hu, X.; He, H.; Zhang, Y.; Li, W.; Hu, G.; Li, Y.; Deng, X. Selective adsorption behavior and mechanism for Cd(II) in aqueous solution with a recoverable magnetie-surface ion-imprinted polymer. Polymers 2023, 15, 2416. [Google Scholar] [CrossRef] [PubMed]
- Alamrani, N.A.; Almutairi, F.M.; Alotaibi, F.A.; Alenazi, D.A.K.; Monier, M.; Abdel-Latif, D.A.; Elsayed, N.H. Developing thiosemicarbazide-modified/ion-imprinted chitosan for selective cadmium ion biosorption. Mater. Today Chem. 2023, 30, 101547. [Google Scholar] [CrossRef]
- Murat, A.; Wang, L.; Abliz, S.; Yimit, A. Preparation, characterization of Cd(II) ion-imprinted microsphere and its selectivity for template ion. Coatings 2022, 12, 1038. [Google Scholar] [CrossRef]
- Xie, C.; Wei, S.; Chen, D.; Lan, W.; Yan, Z.; Wang, Z. Preparation of magnetic ion imprinted polymer with waste beer yeast as functional monomer for Cd(II) adsorption and detection. RSC Adv. 2019, 9, 23474–23483. [Google Scholar] [CrossRef] [PubMed]
- Hu, X.; Yan, L.; Wang, Y.; Man, X. Ice segregation induced self-assembly of salecan and grapheme oxide nanosheets into ion-imprinted aerogel with superior selectivity for cadmium (II) capture. Chem. Eng. J. 2021, 417, 128106. [Google Scholar] [CrossRef]
- Gomes, A.C.S.A.; Costa, L.C.; Brito, D.C.; França, R.J.; Marques, M.R.C. Development of a new ion-imprinted polymer (IIP) with Cd2+ ions based on divinylbenzene copolymers containing amidoxime groups. Polym. Bull. 2020, 77, 1969–1981. [Google Scholar] [CrossRef]
- Ding, Z.; Su, Y.; Kang, Y.; Huang, Q.; Tao, Q.; Li, H.; Liu, J.; Liu, Z.; Liu, Y. Controllable synthesis of 3D superhydrophilic Cd(II) ion-imprinted polymer microspheres based on OV-POSS and bifunctional monomers synergy with superior selectivity for Cd(II) adsorption. Colloids Surf. A Physicochem. Eng. Asp. 2023, 676, 132169. [Google Scholar] [CrossRef]
- Murat, A.; Gao, S.; Wang, L.; Chai, L.; Abliz, S.; Yimit, A. Synthesis and Characterization of Cadmium Ion-Imprinted/Natural Sand Composite and Research on Its Adsorption Properties. Coatings 2023, 13, 1288. [Google Scholar] [CrossRef]
- Yolcu, Z.; Çıtlakoglu, M. Novel Cd(II) methacrylate monomer complex with 1-vinylimidazole: Synthesis, characterization and ion imprinted polymer applications. Polyhedron 2021, 205, 115322. [Google Scholar] [CrossRef]
- Jagirani, M.S.; Balouch, A.; Mahesar, S.A.; Kumar, A.; Baloch, A.R.; Abdullah; Bhanger, M.I. Fabrication of cadmium tagged novel ion imprinted polymer for detoxification of the toxic Cd2+ ion from aqueous environment. Microchem. J. 2020, 158, 105247. [Google Scholar] [CrossRef]
- Rebolledo-Perales, L.E.; Ibarra, I.; Guzm’an, M.F.; Islas, G.; Romero, G.A.A. A novel ion-imprinted polymer based on pyrrole as functional monomer for the voltammetric determination of Hg(II) in water samples. Electrochim. Acta 2022, 434, 141258. [Google Scholar] [CrossRef]
- Liu, S. Preparation of nanocellulose grafted molecularly imprinted polymer for selective adsorption Pb(II) and Hg(II). Chemosphere 2023, 316, 137832. [Google Scholar] [CrossRef]
- Esmali, F.; Mansourpanah, Y.; Farhadi, K.; Amani, S.; Rasoulifard, A.; Ulbricht, A. Fabrication of a novel and highly selective ion-imprinted PES-based porous adsorber membrane for the removal of mercury(II) from water. Sep. Purif. Technol. 2020, 250, 117183. [Google Scholar] [CrossRef]
- Velempini, T.; Pillay, K.; Mbianda, X.Y.; Arotiba, O.A. Carboxymethyl cellulose thiol-imprinted polymers: Synthesis, characterization and selective Hg(II) adsorption. J. Environ. Sci. 2019, 79, 280–296. [Google Scholar] [CrossRef] [PubMed]
- Rahman, S.K.A.; Yusof, N.A.; Abdullah, A.H.; Mohammad, F.; Idris, A.; Lohedan, H.H.A. Evaluation of porogen factors for the preparation of ion imprinted polymer monoliths used in mercury removal. PLoS ONE 2018, 13, 0195546. [Google Scholar] [CrossRef] [PubMed]
- Hajri, A.K.; Jamoussi, B.; Albalawi, A.E.; Alhawiti, O.H.N.; Alsharif, A.A. Designing of modified ion-imprinted chitosan particles for selective removal of mercury(II) ions. Carbohydr. Polym. 2022, 286, 119207. [Google Scholar] [CrossRef]
- Lins, S.S.; Virgens, C.F.; Santos, W.N.L.D.; Estevam, I.H.S.; Brandão, G.C.; Felix, C.S.A.; Ferreira, S.L.C. On-line solid phase extraction system using an ion imprinted polymer based on dithizone chelating for selective preconcentration and determination of mercury(II) in natural waters by CVAFS. Microchem. J. 2019, 150, 104075. [Google Scholar] [CrossRef]
- Francisco, J.E.; Feiteira, F.N.; da Silva, W.A.; Pacheco, W.F. Synthesis and application of ion-imprinted polymer for the determination of mercury II in water samples. Environ. Sci. Pollut. Res. 2019, 26, 19588–19597. [Google Scholar] [CrossRef] [PubMed]
- Xu, K.H.; He, T.; Li, L.; Iqbal, J.; Tong, Y.; Hua, L.; Tian, Z.; Zhao, L.; Li, H. DOTA functionalized adsorbent DOTA@Sludge@Chitosan derived from recycled shrimp shells and sludge and its application for lead and chromium removal from water. Int. J. Biol. Macromol. 2024, 255, 128263. [Google Scholar] [CrossRef]
- Priya, A.K.; Yogeshwaran, V.; Rajendran, S.; Hoang, T.K.A.; Moscoso, M.S.; Ghfar, A.A.; Bathula, C. Investigation of mechanism of heavy metals (Cr6+, Pb2+ & Zn2+) adsorption from aqueous medium using rice husk ash: Kinetic and thermodynamic approach. Chemosphere 2022, 286, 131796. [Google Scholar]
- Landarani, M.; Asgharinezhad, A.A.; Ebrahimzadeh, H. A magnetic ion-imprinted polymer composed of silica-coated magnetic nanoparticles and polymerized 4-vinyl pyridine and 2,6-diaminopyridine for selective extraction and determination of lead ions. New J. Chem. 2020, 44, 7561–7568. [Google Scholar] [CrossRef]
- Huang, R.; Shao, N.; Hou, L.; Zhu, X. Fabrication of an efficient surface ion-imprinted polymer based on sandwich-like graphene oxide composite materials for fast and selective removal of lead ions. Colloids Surf. A Physicochem. Eng. Asp. 2019, 566, 218–228. [Google Scholar] [CrossRef]
- Shen, W.; Jiang, X.; An, Q.D.; Xiao, Z.; Zhai, S.; Cui, L. Combining mussel and seaweed hydrogel-inspired strategies to design novel ion-imprinted sorbents for ultra-efficient lead removal from water. New J. Chem. 2019, 43, 5495–5502. [Google Scholar] [CrossRef]
- Chao, Z.; Tianjue, H.; Lin, T.; Zeng, G.; Deng, Y.; Lu, Y.; Fang, S.; Wang, J.; Liu, Y.; Yu, J. Highly efficient extraction of lead ions from smelting wastewater, slag and contaminated soil by two-dimensional montmorillonite-based surface ion imprinted polymer absorbent. Chemosphere 2018, 209, 246–257. [Google Scholar]
- Jiang, H.; Zhang, Y.; Chen, R.; Sun, M.; Tong, H.; Xu, J. Preparation of ion imprinted magnetic Fe3O4 nanoparticles for selective remediation of Pb(II). J. Taiwan Inst. Chem. Eng. 2017, 80, 184–191. [Google Scholar] [CrossRef]
- Zhang, X.; Wang, H.; Sun, X.; Shang, H.; Di, Y.; Zhao, Z. Preparation and properties of thermo-sensitive surface Pb(II) ion-imprinted polymers. Colloids Surf. A Physicochem. Eng. Asp. 2019, 577, 138–146. [Google Scholar] [CrossRef]
- He, Y.; Wu, P.; Xiao, W.; Li, G.; Yi, J.; He, Y.; Chen, C.; Ding, P.; Duan, Y. Efficient removal of Pb(II) from aqueous solution by a novel ion imprinted magnetic biosorbent: Adsorption kinetics and mechanisms. PLoS ONE 2019, 14, 0213377. [Google Scholar] [CrossRef]
- Sedghi, R.; Heidari, B.; Kazemi, S. Novel magnetic ion-imprinted polymer: An efficient polymeric nanocomposite for selective separation and determination of Pb ions in aqueous media. Environ. Sci. Pollut. Res. 2018, 25, 26297–26306. [Google Scholar] [CrossRef] [PubMed]
- Alnawmasi, J.S. Construction of amino-thiol functionalized ion-imprinted chitosan for lead(II) ion removal. Carbohydr. Polym. 2023, 308, 120596. [Google Scholar] [CrossRef] [PubMed]
- Barzkar, M.; Ghiasvand, A.; Safdarian, M. A simple and cost-effective synthesis route using itaconic acid to prepare a magnetic ion-imprinted polymer for preconcentration of Pb(II) from aqueous media. Talanta 2023, 259, 124501. [Google Scholar] [CrossRef] [PubMed]
- Li, X.; Xu, W.; Yang, Y.; Li, B.; Pan, G.; Chen, C.; Xie, Q. Optimization of diatom-based blotting materials and their efficient selective adsorption of Pb(II). Mater. Today Commun. 2023, 36, 106434. [Google Scholar] [CrossRef]
- Amini, M.H.; Beyki, M.H. Construction of 1,10-phenanthroline functionalized magnetic starch as a lead(II) tagged surface imprinted biopolymer for highly selective targeting of toxic lead ions. Int. J. Biol. Macromol. 2023, 242, 124996. [Google Scholar] [CrossRef] [PubMed]
- Zhang, M.Y.; Huang, R.F.; Ma, X.G.; Guo, L.; Wang, Y.; Fan, Y. Selective fluorescence sensor based on ion-imprinted polymer-modified quantum dots for trace detection of Cr (VI) in aqueous solution. Anal. Bioanal. Chem. 2019, 411, 7165–7175. [Google Scholar] [CrossRef] [PubMed]
- He, C.; Gu, L.; Xu, Z.; He, H.; Fu, G.; Han, F.; Huang, B.; Pan, X. Cleaning chromium pollution in aquatic environments by bioremediation, photocatalytic remediation, electrochemical remediation and coupled remediation systems. Environ. Chem. Lett. 2020, 18, 561–576. [Google Scholar] [CrossRef]
- Zhou, Z.; Liu, X.; Zhang, M.; Jiao, J.; Zhang, J.; Du, J.; Zhang, B.; Ren, Z. Preparation of highly efficient ion-imprinted polymers with Fe3O4 nanoparticles as carrier for removal of Cr (VI) from aqueous solution. Sci. Total Environ. 2020, 699, 134334. [Google Scholar] [CrossRef] [PubMed]
- Ren, Z.; Kong, D.; Wang, K.; Zhang, W. Preparation and adsorption characteristics of an imprinted polymer for selective removal of Cr (VI) ions from aqueous solutions. J. Mater. Chem. A 2014, 2, 17952–17961. [Google Scholar] [CrossRef]
- Hassanpour, S.; Taghizadeh, M.; Yamini, Y. Magnetic Cr (VI) ion imprinted polymer for the fast selective adsorption of Cr (VI) from aqueous solution. J. Polym. Environ. 2017, 248, 767–774. [Google Scholar] [CrossRef]
- Taghizadeh, M.; Hassanpour, S. Selective adsorption of Cr (VI) ions from aqueous solutions using a Cr (VI)-imprinted polymer supported by magnetic multiwall carbon nanotubes. Polymer 2017, 132, 1–11. [Google Scholar] [CrossRef]
- Liang, Q.; Geng, J.; Luo, H.; Fang, W.; Yin, Y. Fast and selective removal of Cr (VI) from aqueous solutions by a novel magnetic Cr (VI) ion-imprinted polymer. J. Mol. Liq. 2017, 248, 767–774. [Google Scholar] [CrossRef]
- Huang, R.; Ma, X.; Li, X.; Guo, L.; Xie, X.; Zhang, M.; Li, J. A novel ion-imprinted polymer based on graphene oxide-mesoporous silica nanosheet for fast and efficient removal of chromium (VI) from aqueous solution. J. Colloid Interface Sci. 2018, 514, 544–553. [Google Scholar] [CrossRef] [PubMed]
- Trzonkowska, L.; Leśniewska, B.; Godlewska-Żyłkiewicz, B. Development of solid phase extraction method based on ion imprinted polymer for determination of Cr (III) ions by ETAAS in waters. Water 2022, 14, 529. [Google Scholar] [CrossRef]
- Lia, J.; Cheng, H. Ion-imprinted modified molecular sieves show the efficient selective adsorption of chromium (VI) from aqueous solutions. RSC Adv. 2020, 10, 43425–43431. [Google Scholar] [CrossRef] [PubMed]
- Yang, H.-R.; Yang, C.; Li, H.-S.; Shan, X.; Song, G.; An, Q.; Zhai, S.; Xiao, Z. Site-imprinted hollow composites with integrated functions for ultra-efficient capture of hexavalent chromium from water. Sep. Purif. Technol. 2022, 284, 120240. [Google Scholar] [CrossRef]
- Roushani, M.; Saedi, Z.; Hamdi, F.; Rajabi, H.M. Application of ion-imprinted polymer synthesized by precipitation polymerization as an efficient and selective sorbent for separation and pre-concentration of chromium ions from some real samples. J. Iran. Chem. Soc. 2018, 15, 2241–2249. [Google Scholar] [CrossRef]
- Luo, Z.; Guo, M.; Jiang, H.; Geng, W.; Wei, W.; Lian, Z. Plasma polymerization mediated construction of surface ion-imprinted polypropylene fibers for the selective adsorption of Cr (VI). React. Funct. Polym. 2020, 150, 104552. [Google Scholar] [CrossRef]
- Xi, C.; Zhang, Y.; Zhang, F. The preparation of an ion-imprinted polymer based on hyperbranched polyamide-amines and epoxy resin and its efficient adsorption mechanism for Cr (VI) from aqueous solutions. J. Polym. Res. 2024, 31, 19. [Google Scholar] [CrossRef]
- Su, Y.; Kang, Y.; Huang, Q.; Zhang, J.; Liu, J.; Hu, Z.; Liu, Z.; Liu, Y. Cr (VI) anion-imprinted polymer synthesized on mesoporous silicon via synergistic action of bifunctional monomers for precise identification and separation of Cr (VI) from aqueous solution by fixed-bed adsorption. Water Technol. 2023, 87, 2061–2078. [Google Scholar] [CrossRef]
- Wang, X.; Li, P.; Wang, G.; Zhao, L.; Cheng, H. Preparation and permeation recognition mechanism of Cr (VI) ion-imprinted composite membranes. E-Polymers 2022, 22, 938–948. [Google Scholar] [CrossRef]
- Neolaka, Y.A.B.; Lawa, Y.; Naat, J.N.; Riwu, A.A.P.; Darmokoesoemo, H.; Supriyanto, G.; Holdsworth, C.A.; Amenaghawon, A.N.; Kusuma, H.S. A Cr (VI)-imprinted-poly(4-VP-co-EGDMA) sorbent prepared using precipitation polymerization and its application for selective adsorptive removal and solid phase extraction of Cr (VI) ions from electroplating industrial wastewater. React. Funct. Polym. 2020, 147, 104451. [Google Scholar] [CrossRef]
- Elsayed, N.H.; Monier, M.; Alatawi, R.A.S.; Albalawi, M.A.; Alhawiti, A.S. Preparation of chromium (III) ion-imprinted polymer based on azo dye functionalized chitosan. Carbohydr. Polym. 2022, 284, 119139. [Google Scholar] [CrossRef] [PubMed]
- Luo, Z.; Li, L.; Guo, M.; Jiang, H.; Geng, W.; Wei, W.; Lian, Z. Water-solid suspension grafting of dual monomers on polypropylene to prepare ion-imprinted fibers for selective adsorption of Cr (VI). Fibers Polym. 2020, 21, 2729–2739. [Google Scholar] [CrossRef]
- Li, P.; Wang, X.; Wang, G.; Zhao, L.; Hong, Y.; Hu, X.; Zi, F.; Cheng, H. Synthesis and evaluation of ion-imprinted composite membranes of Cr (VI) based on β-diketone functional monomers. RSC Adv. 2021, 11, 38915–38924. [Google Scholar] [CrossRef] [PubMed]
- Dakova, I.; Vasileva, P.; Karadjova, I. Cr (III) ion-imprinted hydrogel membrane for chromium speciation analysis in water samples. Gels 2022, 8, 757. [Google Scholar] [CrossRef] [PubMed]
- Luo, Z.; Xu, J.; Zhu, D.; Wang, D.; Jianjian Xu, J.; Hui Jiang, H.; Geng, W.; Wei, W.; Lian, Z. Ion-imprinted polypropylene fibers fabricated by the plasma-mediated grafting strategy for efficient and selective adsorption of Cr(VI). Polymers 2019, 11, 1508. [Google Scholar] [CrossRef] [PubMed]
- Kong, Z.; Du, Y.; Wei, J.; Zhang, H.; Fan, L. Synthesis of a new ion-imprinted polymer for selective Cr (VI) adsorption from aqueous solutions effectively and rapidly. J. Colloid Interface Sci. 2021, 588, 749–760. [Google Scholar] [CrossRef] [PubMed]
- Fang, L.; Xiao, X.; Kang, R.; Ren, Z.; Yu, H.; Pavlostathis, S.C.; Luo, J.; Luo, X. Highly selective adsorption of antimonite by novel imprinted polymer with microdomain confinement effect. Chem. Eng. Data 2018, 63, 1513–1523. [Google Scholar] [CrossRef]
- Mohan, D.; Pittman, C.U. Arsenic removal from water/wastewater using adsorbents-a critical review. J. Hazard. Mater. 2007, 142, 1–53. [Google Scholar] [CrossRef]
- Younas, M.; Bacha, A.U.R.; Khan, K.; Nabi, I.; Ullah, Z.; Humayun, M.; Hou, J. Application of manganese oxide-based materials for arsenic removal: A review. Sci. Total Environ. 2024, 918, 170269. [Google Scholar] [CrossRef] [PubMed]
- Zheng, H.; Guo, J.; Wang, X.; Fu, X. Fabrication of Fe3O4@GO@ZIF-8 nanohybrids via in-situ self-assembly with magnetic collectability for efficient adsorption of As(III) and As(V). J. Solid State Chem. 2024, 331, 124513. [Google Scholar] [CrossRef]
- Li, R.H.; Li, Q.; Gao, S.; Shang, G. Exceptional arsenic adsorption performance of hydrous cerium oxide nanoparticles: Part A. Adsorption capacity and mechanism. Chem. Eng. J. 2012, 185, 127–135. [Google Scholar] [CrossRef]
- Bang, S.; Patel, M.; Lippincott, L.; Meng, X. Removal of arsenic from groundwater by granular titanium dioxide adsorbent. Chemosphere 2005, 60, 389–397. [Google Scholar] [CrossRef] [PubMed]
- Chi, Z.; Zhu, Y.; Liu, W.; Huang, H.; Li, H. Selective removal of As(III) using magnetic graphene oxide ion-imprinted polymer in porous media: Potential effect of external magnetic field. J. Environ. Chem. Eng. 2021, 9, 105671. [Google Scholar] [CrossRef]
- Yin, F.; Liu, X.; Wu, M.; Yang, H.; Wu, X.; Hao, L.; Yu, J.; Wang, P.; Xu, F. “One-pot” synthesis of mesoporous ion imprinted polymer for selective adsorption and detection of As(V) in aqueous phase via cooperative extraction mechanism. Microchem. J. 2022, 177, 107272. [Google Scholar] [CrossRef]
- Samaha, N.A.; Rosli, N.A.M.; Manap, A.H.A.; Aziz, Y.F.A.; Yusoffm, M.M. Synthesis & characterization of ion imprinted polymer for arsenic removal from water: A value addition to the groundwater resources. Chem. Eng. J. 2020, 394, 124900. [Google Scholar]
- Sadani, M.; Rasolevandi, T.; Azarpira, H.; Mahvi, A.H.; Ghaderpoori, M.; Mohseni, S.M.; Atamaleki, A. Arsenic selective adsorption using a nanomagnetic ion imprinted polymer: Optimization, equilibrium, and regeneration studies. J. Mol. Liq. 2020, 317, 114246. [Google Scholar] [CrossRef]
- Jalilian, R.; Shahmari, M.; Taheri, A.; Gholami, K. Ultrasonic-assisted micro solid phase extraction of arsenic on a new ion imprinted polymer synthesized from chitosan-stabilized pickering emulsion in water, rice and vegetable samples. Ultrason. Sonochem. 2020, 61, 104802. [Google Scholar] [CrossRef]
- Fang, L.L.; Min, X.Y.; Kang, R.F.; Yu, H.; Pavlostathis, S.G.; Luo, X. Development of an anion imprinted polymer for high and selective removal of arsenite from wastewater. Sci. Total Environ. 2018, 639, 110–117. [Google Scholar] [CrossRef]
- Panhwar, A.H.; Tuzen, M.; Hazer, B.; Kazi, T.G. Solid phase microextraction method using a novel polystyrene oleic acid imidazole polymer in micropipette tip of syringe system for speciation and determination of antimony in environmental and food samples. Talanta 2018, 184, 115–121. [Google Scholar] [CrossRef] [PubMed]
- Westerhoff, P.; Prapaipong, P.; Shock, E.; Hillaireau, A. Antimony leaching from polyethylene terephthalate (PET) plastic used for bottled drinking water. Water Res. 2008, 42, 551–556. [Google Scholar] [CrossRef] [PubMed]
- Fu, X.; Song, X.; Zheng, Q.; Liu, C.; Li, C.; Luo, Q.; Chen, J.; Wang, Z.; Luo, J. Frontier materials for adsorption of antimony and arsenic in aqueous environments: A review. Int. J. Environ. Res. Public Health 2022, 19, 10824. [Google Scholar] [CrossRef]
- Shakerian, F.; Dadfarnia, S.; Shabani, A.M.H.; Abadi, M.N.A. Synthesis and characterisation of nano-pore antimony imprinted polymer and its use in the extraction and determination of antimony in water and fruit juice samples. Food Chem. 2014, 145, 571–577. [Google Scholar] [CrossRef] [PubMed]
- Jakavula, S.; Biata, N.R.; Dimpe, K.M.; Pakade, V.; Nomngongo, P. Magnetic ion imprinted polymers (MIIPs) for selective extraction and preconcentration of Sb(III) from environmental matrices. Polymers 2022, 14, 21. [Google Scholar] [CrossRef]
- Wang, L.; Luo, Y.; Li, H.; Yu, D.; Wang, W.; Wu, M. Preparation and selective adsorption of surface-imprinted microspheres based on hyperbranched polyamide-functionalized sodium alginate for the removal of Sb(III). Colloids Surf. A 2020, 585, 124106. [Google Scholar] [CrossRef]
- Bao, Y.; Liu, S.; Shao, N.; Tian, Z.; Zhu, X. Synthesis of a novel magnetic chitosan-mediated GO dual-template imprinted polymer for the simultaneous and selective removal of Cd(II) and Ni(II) from aqueous solution. Colloids Surf. A Physicochem. Eng. Asp. 2023, 676, 132266. [Google Scholar] [CrossRef]
- Abdullah; Balouch, A.; Alveroglu, E.; Ullah, R.; Shah, T.; Jagirani, M.; Mahar, A.; Chang, S. Synthesis of amine-functionalized ultrasonic assisted dual metal imprinted polymer: A real magnetic sorbent for simultaneous removal of Pb2+ and Cd2+ from water samples. J. Polym. Res. 2023, 30, 174. [Google Scholar] [CrossRef]
- Prasad, B.B.; Jauhari, D.; Verma, A. A dual-ion imprinted polymer embedded in sol–gel matrix for the ultra trace simultaneous analysis of cadmium and copper. Talanta 2014, 120, 398–407. [Google Scholar] [CrossRef]
- Fattahi, M.; Ezzatzadeh, E.; Jalilian, R.; Taheri, A. Micro solid phase extraction of cadmium and lead on a new ion-imprinted hierarchical mesoporous polymer via dual-template method in river water and fish muscles: Optimization by experimental design. J. Hazard. Mater. 2021, 403, 123716. [Google Scholar] [CrossRef]
- Xie, C.; Huang, X.; Wei, S.; Xiao, C.; Cao, J.; Wang, Z. Novel dual-template magnetic ion imprinted polymer for separation and analysis of Cd2+ and Pb2+ in soil and food. J. Clean. Prod. 2020, 262, 121387. [Google Scholar] [CrossRef]
- Hashami, Z.S.; Taheri, A.; Alikarami, M. Synthesis of a magnetic SBA-15-NH2@dual-template imprinted polymer for solid phase extraction and determination of Pb and Cd in vegetables; Box Behnken design. Anal. Chim. Acta 2022, 1204, 339262. [Google Scholar] [CrossRef] [PubMed]
- Abdolmohammad-Zadeh, H.; Rahimpour, E.; Pasandideh, Y. Utilizing a nanocomposite based on ion-imprinted polydopamine coated magnetic graphene oxide for extraction of Cd(II) and Ni(II) from water samples. J. Anal. Chem. 2020, 75, 967–974. [Google Scholar] [CrossRef]
- Huang, J.; Cai, H.; Zhao, Q.; Zhou, y.; Liu, H.; Wang, J. Dual-functional pyrene implemented mesoporous silicon material used for the detection and adsorption of metal ions. Chin. J. Chem. Eng. 2023, 60, 108–117. [Google Scholar] [CrossRef]
- Zhu, H.; Pan, J.; Cao, J.; Ma, Y.; Qiu, f.; Zhang, W.; Yan, Y. Ion/Molecule imprinted polymers with double binding sites via twice imprinting strategy for selective and simultaneous removal of λ-Cyhalothrin and Cu(II). J. Ind. Eng. Chem. 2017, 49, 198–207. [Google Scholar] [CrossRef]
- Xu, Z.; Li, L.; Li, J.; Deng, P. One-pot synthesis of ion-imprinted three-dimensional porous material based on graphene oxide for the selective adsorption of copper(Ⅱ). J. Environ. Sci. Health Part A 2023, 58, 515–524. [Google Scholar] [CrossRef]
- Zhou, L.; Xu, M.; Yin, J.; Shui, J.; Yang, S.; Hua, D. Dual ion-imprinted mesoporous silica for selective adsorption of U(VI) and Cs(I) through multiple interactions. ACS Appl. Mater. Interfaces 2021, 13, 6322–6330. [Google Scholar] [CrossRef]
- Stevens, M.; Batlokwa, B. Selective and simultaneous removal of Ni (II) and Cu (II) ions from industrial wastewater employing a double Ni-Cu-ion imprinted polymer. Int. J. Adv. Eng. Res. Sci. 2018, 5, 264172. [Google Scholar] [CrossRef][Green Version]
- Fu, J.; Wang, X.; Li, J.; Ding, Y.; Chen, L. Synthesis of multi-ion imprinted polymers based on dithizone chelation for simultaneous removal of Hg2+, Cd2+, Ni2+ and Cu2+ from aqueous solutions. RSC Adv. 2016, 6, 44087. [Google Scholar] [CrossRef]
- Jakavula, S.; Biata, N.R.; Dimpe, K.M.; Pakade, V.; Nomngongo, P. Multi-ion imprinted polymers (MIIPs) for simultaneous extraction and preconcentration of Sb(III), Te(IV), Pb(II) and Cd(II) ions from drinking water sources. J. Hazard. Mater. 2021, 416, 126175. [Google Scholar] [CrossRef]









| Material Type | Pollutant | Maximum Adsorption Capacity (mg/g) | Adsorption Efficiency (%) | Ref. |
|---|---|---|---|---|
| Magnetism COF | Pb(II) | 411.80 | 95.64 | [36] |
| Biomass Charcoal Composites MgO@ZnO@BC | Cu(II) | 50.63 | 93.25 | [37] |
| Zr-MOFs | Cu(II) | 9.78 | 97.80 | [38] |
| PDA/MgAl-LDH | Cr(VI) | 87 | 93.37 | [39] |
| PPM-PVAm | Cr(VI) | 208.3 | 90.6 | [40] |
| shrub biological agent | Pb(II) | 63.77 | 92 | [41] |
| Y-type zeolite | Cd(II) | 53.58 | 80 | [42] |
| Iron-modified zeolite nanocellulose membrane | Ni(II) | 7.46 | 85 | [43] |
| Bacterial cellulose membrane | Ni(II) | 28.18 | 92.95 | [44] |
| Magnetic microcrystalline cellulose/MoS2/Fe3O4 | Hg(II) | 469.48 | 95.64 | [45] |
| UiO-66-NH2 | Pb(II) | 200.17 | 92.31 | [46] |
| chitosan | Ni(II) | 87.45 | 94 | [47] |
| Carrier | Ligand | Functional Monomers | Group | Regeneration Frequencies | Maximum Adsorption Capacity (mg/g) | Ref. |
|---|---|---|---|---|---|---|
| CoFe2O4@MPS | NA | AM; SA | -CONH2 | 4 | 41.95 | [101] |
| silica-coated magnetic Fe3O4@SiO2 | 4-VP | MA | C≡N -CO-OH | 10 | 158.73 | [66] |
| Fe3O4@GO | NA | AMPS | -N-C=O | 10 | 35.31 | [102] |
| Fe3O4@SiO2 | NA | AMPS | -N-C=O | 6 | 44.64 | [103] |
| NA | NA | NDTEA | -NH | 4 | 5387 | [104] |
| NA | NA | N-(2-hydroxyphenyl) acrylamide | -NH -OH | 6 | 38 | [105] |
| inorganic mesoporous silica | BIDA | NA | C≡N -COOH | 7 | 167.55 | [106] |
| NA | 4-VP | MA | C≡N -COOH | 10 | 125 | [55] |
| Fe3O4 | NA | CTS | -NH2 -OH | 15 | 18.5 | [107] |
| NA | NA | CTS | -NH2 -OH | 5 | 20 | [97] |
| magnetic carbon nanotubes | NA | AA; CTS | -NH2 -COOH | 5 | 19.86 | [67] |
| OS | NA | CMC | -NH2 -COOH | 6 | 69.1 | [108] |
| NA | NA | CTS | -NH2 | 5 | 69.93 | [109] |
| silica gel | NA | AAAPTS | -NH2 -NH | 10 | 14.93 | [110] |
| CoFe2O4/Bentonite | NA | VETOS | -OH | 5 | 16.51 | [111] |
| CoFe2O4/Bentonite | NA | PVA | -OH | 5 | 11.77 | [112] |
| SG-PMS | NA | AMPS | -SOOOH | 6 | 20.3 | [100] |
| Ligand | Functional Monomers | Group | Regeneration Frequencies | Maximum Adsorption Capacity (mg/g) | Ref. |
|---|---|---|---|---|---|
| Phenylphenanthroline | AM | -NH -NH2 C≡N | 6 | 21.6 | [137] |
| Cysteamine | NA | -SH -NH2 | 5 | 80.0 | [138] |
| NA | 4-VP | C≡N | NA | 31 | [142] |
| 2-mercaptobenzothiazole | AA | -SH | NA | 0.457 | [62] |
| Schiff base | NA | R-N S-OH | 5 | 315 | [140] |
| Carrier | Ligand | Functional Monomers | Group | Regeneration Frequencies | Maximum Adsorption Capacity (mg/g) | Ref. |
|---|---|---|---|---|---|---|
| NA | 4-VP | 2,6-DAPy | C≡N -NH2 | 5 | 128 | [145] |
| NA | APBI | 4-VP | C≡N -NH2 | 5 | 58.82 | [58] |
| CS | NA | 4-VP | C≡N -OH | 5 | 136 | [59] |
| Fe3O4 | NA | 4-VP | C≡N | 5 | 123.3 | [149] |
| CaCO3 composite materials | NA | 4-VP | C≡N | 5 | 357.4 | [147] |
| Montmorillonite | NA | 4-VP | -C=N -OH | 6 | 201.84 | [148] |
| MWCNTs | NA | 4-VP | C=O | 6 | 18.09 | [150] |
| NA | NA | CTS; serratia marcescens | -NH2 -CO | 5 | 116.279 | [151] |
| magnetic multi-walled carbon nanotubes | DTZ | MAPTMS; AM | -NH -C=S | 6 | 80.81 | [152] |
| NA | NA | CTS; NSB | -SH -NH2 | 5 | 300 | [153] |
| Fe3O4 | NA | ITA | C-O | 5 | 26.4 | [154] |
| Diatomaceous earth | NA | MPTES | -SH | 6 | 79.38 | [155] |
| magnetic starch | 1,10-phenanthroline | NA | C≡N | 5 | 120 | [156] |
| NA | Dz | AM | -NH-S- | NA | 301 | [63] |
| Carrier | Ligand | Functional Monomers | Group | Regeneration Frequencies | Maximum Adsorption Capacity (mg/g) | Ref. |
|---|---|---|---|---|---|---|
| NA | NA | 4-VP | C≡N | 5 | 338.73 | [160] |
| NA | phen | ST; 4-VP | C≡N | NA | 0.41 | [165] |
| NA | phen | ST | C≡N | NA | 1.18 | [165] |
| APTES | NA | 4-VP | C≡N | 5 | 56.46 | [166] |
| Magnetic nanoparticles | 4-VP | HEMA | C≡N | 5 | 44.86 | [161] |
| MMWCNTS | 4-VP | HEMA | C≡N | 5 | 56.1 | [162] |
| CAB | NA | PEI | -NH -NH2 | 6 | 679.13 | [167] |
| NA | 2,2-(azanediylbis (ethane-2,1-diyl)) bis (isoindoline-1,3-dione) | MA | -CONH- | 6 | 74.65 | [168] |
| PP | NA | GAM | -NH -NH2 | NA | 103 | [169] |
| Bisphenol A epoxy resins | NA | MA; EDA | -NH2 -CONH- -OH | 5 | 263.15 | [170] |
| MBA-15 | NA | MA; 4-VP | -CONH C≡N | 5 | 96.32 | [171] |
| nylon-6 | NA | 4-VP | C≡N | NA | 1.799 | [172] |
| NA | NA | 4-VP | C≡N | 10 | 3.28 | [173] |
| CTS | HRAB | NA | C≡N -OH | 5 | 293 | [174] |
| Polypropylene fibers | NA | AM; GMA | C=O -NH2 | 6 | 43.2 | [175] |
| Nylon membranes | NA | ADPD | C=O | 5 | 30.35 | [176] |
| NA | NA | PVA; SA | -COOH -OH | 3 | 1.75 | [177] |
| PP | NA | AA; TETA | -NH2 | 10 | 167 | [178] |
| PP | NA | ECH; DMAEMA | -NH C=O | 5 | 156.5 | [179] |
| Carrier | Ligand | Functional Monomers | Group | Regeneration Frequencies | Maximum Adsorption Capacity (mg/g) | Ref. |
|---|---|---|---|---|---|---|
| Magnetic graphene oxide | NA | MA | -COOH | 5 | 49.42 | [186] |
| NA | NA | allyl thiourea | C=S -NH -NH2 | NA | 7.255 | [188] |
| NA | Diethylenetriamine | [3-(2-Aminoethyl)aminopropyl]trimethoxysilane | -NH | 6 | 78.74 | [187] |
| modified hydrophobic Fe3O4 nanoparticles | 2-acetyl benzofuran thiosemicarbazone | MA | C=S -NH2 | 5 | 37.04 | [190] |
| Vinyl modified magnetic silica | 2-mercaptobenzothiazole | 4-VP | C≡N C=S -SH | 4 | 104.7 | [191] |
| NA | 4-VP | 2-HEMA | C≡N -OH | 10 | 106.3 | [57] |
| Carrier | Ligand | Functional Monomers | Group | Regeneration Frequencies | Maximum Adsorption Capacity (mg/g) | Ref. |
|---|---|---|---|---|---|---|
| NA | 1-Pyrrolidinecarbodithioic acid | Styrene | C-S | 10 | 6.7 | [195] |
| Magnetic mesoporous silica carbon fiber | 1-Pyrrolidinecarbodithioic acid | Styrene | C-S | 7 | 47.8 | [196] |
| SA | NA | hyperbranched polyamide | -CONH2 -NH2 | 8 | 35.57 | [197] |
| NA | NA | Tetrabromobiphenyl-4,5-di (methylenebisimidazole) acridine | C≡N | NA | 79.1 | [180] |
Disclaimer/Publisher’s Note: The statements, opinions and data contained in all publications are solely those of the individual author(s) and contributor(s) and not of MDPI and/or the editor(s). MDPI and/or the editor(s) disclaim responsibility for any injury to people or property resulting from any ideas, methods, instructions or products referred to in the content. |
© 2024 by the authors. Licensee MDPI, Basel, Switzerland. This article is an open access article distributed under the terms and conditions of the Creative Commons Attribution (CC BY) license (https://creativecommons.org/licenses/by/4.0/).
Share and Cite
Du, M.; Xu, Z.; Xue, Y.; Li, F.; Bi, J.; Liu, J.; Wang, S.; Guo, X.; Zhang, P.; Yuan, J. Application Prospect of Ion-Imprinted Polymers in Harmless Treatment of Heavy Metal Wastewater. Molecules 2024, 29, 3160. https://doi.org/10.3390/molecules29133160
Du M, Xu Z, Xue Y, Li F, Bi J, Liu J, Wang S, Guo X, Zhang P, Yuan J. Application Prospect of Ion-Imprinted Polymers in Harmless Treatment of Heavy Metal Wastewater. Molecules. 2024; 29(13):3160. https://doi.org/10.3390/molecules29133160
Chicago/Turabian StyleDu, Mengzhen, Zihao Xu, Yingru Xue, Fei Li, Jingtao Bi, Jie Liu, Shizhao Wang, Xiaofu Guo, Panpan Zhang, and Junsheng Yuan. 2024. "Application Prospect of Ion-Imprinted Polymers in Harmless Treatment of Heavy Metal Wastewater" Molecules 29, no. 13: 3160. https://doi.org/10.3390/molecules29133160
APA StyleDu, M., Xu, Z., Xue, Y., Li, F., Bi, J., Liu, J., Wang, S., Guo, X., Zhang, P., & Yuan, J. (2024). Application Prospect of Ion-Imprinted Polymers in Harmless Treatment of Heavy Metal Wastewater. Molecules, 29(13), 3160. https://doi.org/10.3390/molecules29133160

