Terahertz Spectra of Mannitol and Erythritol: A Joint Experimental and Computational Study
Abstract
1. Introduction
2. Results and Discussion
2.1. PXRD Characterization and Analysis of Two Sugar Substitutes
2.2. Raman Spectroscopic Characterization and Analysis of Two Sugar Substitutes
2.3. THz Spectra of Two Solid Sugar Substitutes
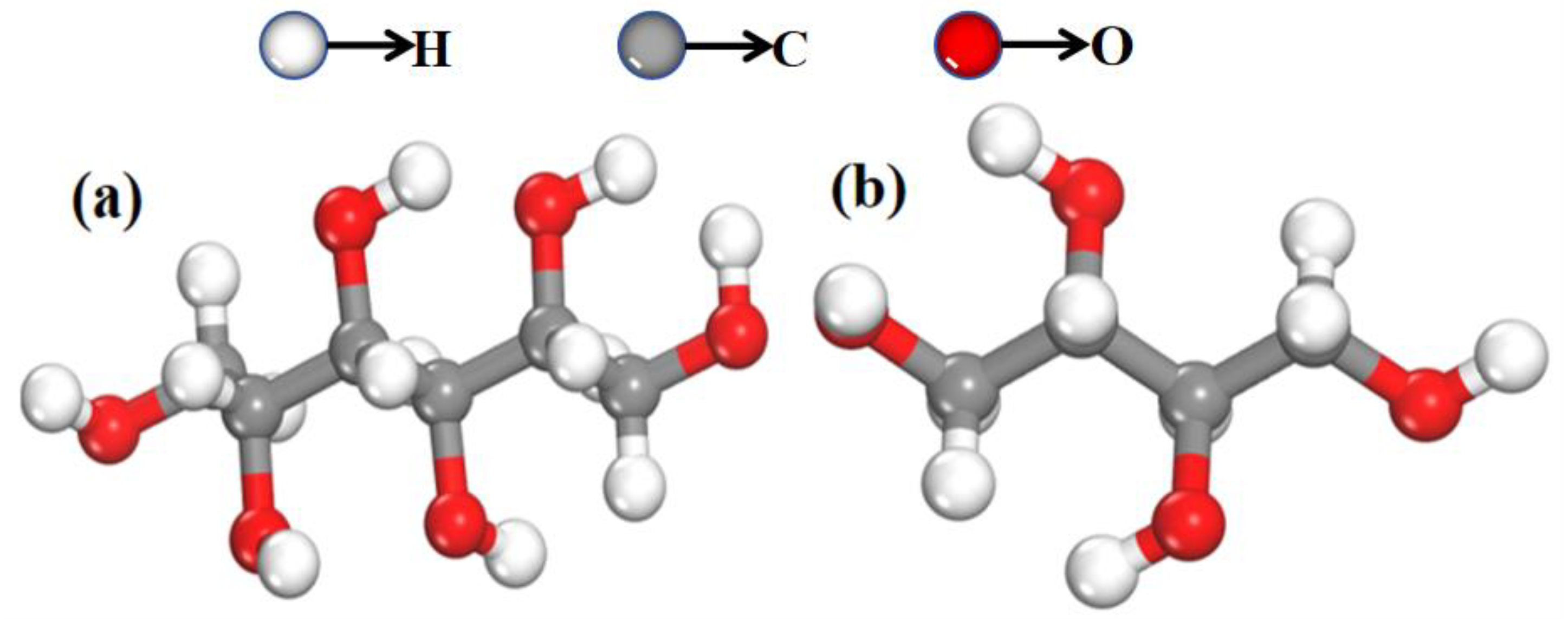
2.4. Simulation of Two Solid Sugar Substitutes
2.5. THz Spectra of Two Sugar Substitute Solutions
3. Experiment
3.1. THz Time-Domain Spectroscopy System
3.2. Fabrication of Microfluidic Chip
3.3. Sample Preparation
4. Analytical Methods and Theoretical Simulations
4.1. Data Processing
4.2. Simulation
5. Conclusions
Author Contributions
Funding
Data Availability Statement
Conflicts of Interest
References
- Paranthaman, R.; Moses, J.A.; Anandharamakrishnan, C. Powder X-ray diffraction conditions for screening curcumin in turmeric powder. J. Food Meas. Charact. 2022, 13, 1105–1113. [Google Scholar] [CrossRef]
- Paranthaman, R.; Moses, J.A.; Anandharamakrishnan, C. Development and validation of a screening method for simultaneous detection of KBrO3 and KIO3 in baking ingredients and additives using powder XRD. J. Food Compos. Anal. 2021, 102, 104007. [Google Scholar] [CrossRef]
- Chong, H.; Zhang, G.; Wu, Y.; Xu, B.; Wang, G.; Wang, C. Enantioselective recognition of amino acid based on electrochemical deposition and X-ray diffraction technology. J. Inorg. Biochem. 2021, 218, 111398. [Google Scholar] [CrossRef]
- Gupta, S.; Huang, C.H.; Singh, G.P.; Park, B.S.; Chua, N.-H.; Ram, R.J. Portable Raman leaf-clip sensor for rapid detection of plant stress. Sci. Rep. 2020, 10, 20206. [Google Scholar] [CrossRef] [PubMed]
- Hao, R.; Zhao, J.; Liu, J.; You, H.; Fang, J. Remote Raman Detection of Trace Explosives by Laser Beam Focusing and Plasmonic Spray Enhancement Methods. Anal. Chem. 2022, 94, 11230–11237. [Google Scholar] [CrossRef] [PubMed]
- Hou, L.; Shi, W.; Dong, C.; Yang, L.; Wang, Y.; Wang, H.; Hang, Y.; Xue, F. Probing trace lactose from aqueous solutions by terahertz time-domain spectroscopy. Spectrochim. Acta Part A Mol. Biomol. Spectrosc. 2021, 246, 119044. [Google Scholar] [CrossRef]
- Gezimati, M.; Singh, G. Advances in terahertz technology for cancer detection applications. Opt. Quantum Electron. 2023, 55, 151. [Google Scholar] [CrossRef] [PubMed]
- Liu, H.; Wu, S.; Zhao, M.; Zheng, S.; Li, C.; Fang, G. Edge detection by spiral phase contrast imaging at terahertz frequencies. Electron. Lett. 2021, 57, 466–468. [Google Scholar] [CrossRef]
- Spotts, I.; Brodie, C.H.; Saeedkia, D.; Gadsden, S.A.; Collier, C.M. Improved Terahertz Time-Domain Spectroscopy via the Extended Kalman Filter. IEEE J. Sel. Top. Quantum Electron. 2023, 22, 156. [Google Scholar] [CrossRef]
- Yang, H.; Zheng, S.; He, W.; Yu, X.; Zhang, X. Terahertz orbital angular momentum: Generation, detection and communication. China Commun. 2021, 18, 131–152. [Google Scholar] [CrossRef]
- Petersen, M.; Yu, Z.; Lu, Z. Application of Raman spectroscopic methods in food safety: A review. Biosensors 2021, 11, 187. [Google Scholar] [CrossRef] [PubMed]
- Yang, Y.; Liu, J.; Hu, A.; Nie, T.; Cheng, Z.; Liu, W. A Critical Review on Engineering of d-Mannitol Crystals: Properties, Applications, and Polymorphic Control. Crystals 2022, 12, 1080. [Google Scholar] [CrossRef]
- Dai, Y.; Meng, Q.; Mu, W.; Zhang, T. Recent advances in the applications and biotechnological production of mannitol. J. Funct. Foods 2017, 36, 404–409. [Google Scholar] [CrossRef]
- Rzechonek, D.A.; Dobrowolski, A.; Rymowicz, W.; Mirończuk, A.M. Recent advances in biological production of erythritol. Crit. Rev. Biotechnol. 2017, 38, 620–633. [Google Scholar] [CrossRef] [PubMed]
- Okumura, M.; Motegi, S.; Ukigaya, T.; Miyazaki, K. Process for Producing a Solid which Is Rapidly Soluble in the Oral Cavity. U.S. Patent 6,187,336, 13 February 2001. [Google Scholar]
- Moon, H.-J.; Jeya, M.; Kim, I.-W.; Lee, J.-K. Biotechnological production of erythritol and its applications. Appl. Microbiol. Biotechnol. 2010, 86, 1017–1025. [Google Scholar] [CrossRef]
- Manabe, A.; Katsuno, K.; Itoh, K.; Wakumoto, S.; Miyasaka, T. Bonding efficacy of erythritol methacrylate solutions as dentin primers. J. Dent. Res. 1993, 70, 1294–1298. [Google Scholar] [CrossRef]
- Bai, Y.; Ji, J.; Ji, F.; Wu, S.; Tian, Y.; Jin, B.; Li, Z. Recombinase polymerase amplification integrated with microfluidics for nucleic acid testing at point of care. Talanta 2022, 240, 123209. [Google Scholar] [CrossRef] [PubMed]
- Weisenstein, C.; Richter, M.; Wigger, A.K.; Bosserhoff, A.; Haring Bolívar, P. Substrate-integrated microfluidics for sensitive biosensing with complementary THz metamate-rials in water. Appl. Phys. Lett. 2022, 120, 189. [Google Scholar]
- Wu, Y.; Wang, Y.; Guan, H.; Du, Y.; Zheng, X.; Xue, J. Effect of electron-donating substitution on the triplet state reactivities of 1-nitronaphthalene. Spectrochim. Acta Part A Mol. Biomol. Spectrosc. 2023, 286, 121997. [Google Scholar] [CrossRef]
- Fang, J.; Zhang, Z.; Bo, Y.; Xue, J.; Wang, Y.; Liu, J.; Qin, J.; Hong, Z.; Du, Y. Vibrational spectral and structural characterization of multicomponent ternary co-crystal formation within acetazolamide, nicotinamide and 2-pyridone. Spectrochim. Acta Part A Mol. Biomol. Spectrosc. 2021, 245, 118885. [Google Scholar] [CrossRef]
- Bosma, W.B.; Fried, L.E.; Mukamel, S. Simulation of the intermolecular vibrational spectra of liquid water and water clusters. J. Chem. Phys. 1993, 98, 4413–4421. [Google Scholar] [CrossRef]
- Ohmori, S.; Ohno, Y.; Makino, T.; Kashihara, T. Characteristics of erythritol and formulation of a novel coating with erythritol termed thin-layer sugarless coating. Int. J. Pharm. 2004, 278, 447–457. [Google Scholar] [CrossRef]
- Huang, H.; Shao, S.; Wang, G.; Ye, P.; Su, B.; Zhang, C. Terahertz spectral properties of glucose and two disaccharides in solid and liquid states. iScience 2022, 25, 104898. [Google Scholar] [CrossRef]
- Ahmed, F.; Mahana, A.; Taniizumi, K.; Wang, J.; Sakai, K.; Kiwa, T. Terahertz imaging technique for monitoring the flow of buffer solutions at different pH values through a microfluidic chip. Jpn. J. Appl. Phys. 2021, 60, 027003. [Google Scholar] [CrossRef]
- Zhang, Q.; Chen, T.; Ma, L.; Tang, Z.; Yu, L. Decoding the terahertz spectrum of allantoin crystal using DFT simulations and energy decomposition analysis. Chem. Phys. Lett. 2021, 767, 138350. [Google Scholar] [CrossRef]
- Mishra, M.; Kumar, N.; Singh, P.; Rawat, B.S.; Dhyani, R.; Singh, D.; Kumar, D. Density Functional Theory (DFT) Study of a Binary Mixture of MBBA and PAA Liquid Crystal for THz Application. Makara J. Sci. 2022, 26, 5–279. [Google Scholar] [CrossRef]
- Zhuang, C.Q.; Yue, H.; Zhang, H.J. Molecular simulation methods and materials studio applications to macromolecular material. Plastics 2010, 39, 81–84. [Google Scholar]
- Akbarzadeh, R.; Ayeleru, O.O.; Ibrahim, Q.; Olubambi, P.A.; Ndungu, P. Prediction of electronic properties of novel ZnS–ZnO-recycled expanded polystyrene nano-composites by DFT. Heliyon 2022, 8, 122. [Google Scholar] [CrossRef]
- Nagappayya, S.K.; Gaikar, V.G.; Ali, S.M. Designing of ligands for solvent extraction of Cs+ using molecular modeling approach. Desalination Water Treat. 2012, 38, 1–7. [Google Scholar] [CrossRef]













| Sample | Solid Experiment f/THz | Simulation f/THz | Vibration Analysis |
|---|---|---|---|
| Mannitol | 0.94 | 0.95 | -CH2OH out-of-plane bending vibration, -OH in-plane bending vibration. |
| 1.23 | 1.26 | -CH2OH, -OH out-of-plane bending vibration | |
| 1.73 | 1.62 | -CH2OH, -OH in-plane bending vibration. | |
| 1.96 2.17 | 2.03 | -CH2OH in-plane bending vibration, -OH out-of-plane bending vibration. | |
| 2.43 | 2.35 | -OH in-plane bending vibration. | |
| Erythritol | 1.81 | 1.79 | -CH2OH, -OH in-plane bending vibration. |
| 1.96 | 1.98 | -CH2OH in-plane bending vibration, -OH out-of-plane bending vibration. | |
| 2.02 | 2.03 | -CH2OH, -OH in-plane bending vibration. | |
| 2.43 | 2.43 | -CH2OH, -OH out-of-plane bending vibration. |
Disclaimer/Publisher’s Note: The statements, opinions and data contained in all publications are solely those of the individual author(s) and contributor(s) and not of MDPI and/or the editor(s). MDPI and/or the editor(s) disclaim responsibility for any injury to people or property resulting from any ideas, methods, instructions or products referred to in the content. |
© 2024 by the authors. Licensee MDPI, Basel, Switzerland. This article is an open access article distributed under the terms and conditions of the Creative Commons Attribution (CC BY) license (https://creativecommons.org/licenses/by/4.0/).
Share and Cite
Hou, Z.; Yan, B.; Zhao, Y.; Peng, B.; Zhang, S.; Su, B.; Li, K.; Zhang, C. Terahertz Spectra of Mannitol and Erythritol: A Joint Experimental and Computational Study. Molecules 2024, 29, 3154. https://doi.org/10.3390/molecules29133154
Hou Z, Yan B, Zhao Y, Peng B, Zhang S, Su B, Li K, Zhang C. Terahertz Spectra of Mannitol and Erythritol: A Joint Experimental and Computational Study. Molecules. 2024; 29(13):3154. https://doi.org/10.3390/molecules29133154
Chicago/Turabian StyleHou, Zeyu, Bingxin Yan, Yuhan Zhao, Bo Peng, Shengbo Zhang, Bo Su, Kai Li, and Cunlin Zhang. 2024. "Terahertz Spectra of Mannitol and Erythritol: A Joint Experimental and Computational Study" Molecules 29, no. 13: 3154. https://doi.org/10.3390/molecules29133154
APA StyleHou, Z., Yan, B., Zhao, Y., Peng, B., Zhang, S., Su, B., Li, K., & Zhang, C. (2024). Terahertz Spectra of Mannitol and Erythritol: A Joint Experimental and Computational Study. Molecules, 29(13), 3154. https://doi.org/10.3390/molecules29133154
