Ciprofloxacin Removal via Acid-Modified Red Mud: Optimizing the Process, Analyzing the Adsorption Features, and Exploring the Underlying Mechanism
Abstract
1. Introduction
2. Results and Discussion
2.1. Adsorption Property of RM and ARM
2.2. Characteristics of RM and ARM
2.2.1. Morphology of RM and ARM by SEM and TEM
2.2.2. BET-BJH Analysis
2.2.3. XRD and XRF Analysis
2.2.4. TG-DSC Analysis
2.2.5. NH3-TPD Analysis
2.3. Optimization of Process Variables Using RSM
2.3.1. Establishment of the Model
2.3.2. Response Surface Analysis
2.3.3. Optimization Analysis
2.4. Adsorption Kinetics
2.5. Adsorption Isotherm
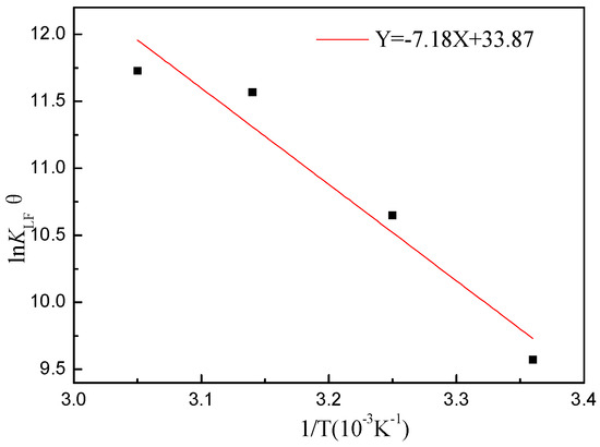
2.6. Adsorption Thermodynamics
2.7. ATR-FTIR Analysis of CIP and ARM
2.8. Adsorption Stability of ARM
3. Material and Methods
3.1. Materials
3.2. Methods
3.2.1. Preparation of ARM
3.2.2. Measurement of Adsorption Capacity
3.2.3. Response Surface Optimization
3.2.4. Adsorption Kinetics
3.2.5. Adsorption Isotherm
3.2.6. Analytical Methods
4. Conclusions
Supplementary Materials
Author Contributions
Funding
Institutional Review Board Statement
Informed Consent Statement
Data Availability Statement
Conflicts of Interest
References
- Jollet, V.; Gissane, C.; Schlaf, M. Optimization of the neutralization of red mud by pyrolysis bio-oil using a design of experiments approach. Energy Environ. Sci. 2014, 3, 1125–1133. [Google Scholar] [CrossRef]
- Wu, J.; Gong, Z.; Lu, C.; Niu, S.; Ding, K.; Xu, L.; Zhang, K. Preparation and performance ofmodified red mud-based catalysts for selective catalytic reductionof NOx with NH3. Catalysts 2018, 8, 35. [Google Scholar] [CrossRef]
- Ren, J.; Chen, J.; Guo, W.; Yang, B.; Qin, X.P.; Du, P. Physical, chemical, and surface charge properties of bauxite residue derived from a combined process. J. Cent. South Univ. 2019, 26, 373–382. [Google Scholar] [CrossRef]
- Xue, S.G.; Zhu, F.; Kong, X.F.; Wu, C.; Huang, L.; Huang, N.; Hartley, W. A review of the characterization and revegetation of bauxite residues (Red mud). Environ. Sci. Pollut. Res. 2016, 23, 1120–1132. [Google Scholar] [CrossRef] [PubMed]
- Schmalenberger, A.; O’sullivan, O.; Gahan, J.; Cotter, P.D.; Courtney, R. Bacterial communities established in bauxite residues with different restoration histories. Environ. Sci. Technol. 2013, 47, 7110–7119. [Google Scholar] [CrossRef]
- Ren, J.; Chen, J.; Han, L.; Wang, M.; Yang, B.; Du, P.; Li, F.S. Spatial distribution of heavy metals, salinity and alkalinity in soils around bauxite residue disposal area. Sci. Total Environ. 2018, 628–629, 1200–1208. [Google Scholar] [CrossRef] [PubMed]
- Hua, Y.M.; Heal, K.V.; Friesl-Hanl, W. The use of red mud as an immobiliser for metal/metalloid- contaminated soil: A review. J. Hazard Mater 2017, 325, 17–30. [Google Scholar] [CrossRef] [PubMed]
- Gu, H.N.; Wang, N.; Liu, S.R. Radiological restrictions of using red mud as building material additive. Waste Manag. Res. 2012, 30, 961–965. [Google Scholar] [CrossRef] [PubMed]
- Zhu, X.B.; Li, W.; Tang, S.; Zeng, M.J.; Bai, P.Y.; Chen, L.J. Selective recovery of vanadium and scandium by ion exchange with D201 and solvent extraction using P507 from hydrochloric acid leaching solution of red mud. Chemosphere 2017, 175, 365–372. [Google Scholar] [CrossRef]
- Yan, X.M.; Miao, P.; Chang, G.Z.; Guo, Q.J. Characteristics of microstructures and reactivities during steam gasification of coal char catalyzed by red mud. Chem. Ind. Eng. Prog. 2018, 37, 1753–1759. [Google Scholar]
- Wang, Y.; Yu, Y.G.; Li, H.Y.; Shen, C.C. Comparison study of phosphorus adsorption on different waste solids: Fly ash, red mud and ferric-alum water treatment residues. J. Environ. Sci. 2016, 50, 79–86. [Google Scholar] [CrossRef]
- Li, C.M.; Yu, J.; Li, W.S.; He, Y.; Qiu, Y.L.; Li, P.; Wang, C.; Huang, F.L.; Wang, D.L.; Gao, S.Q. Immobilization, enrichment and recycling of Cr(Ⅵ) from wastewater using a red mud/carbon material to produce the valuable chromite (FeCr2O4). Chem. Eng. J. 2018, 350, 1103–1113. [Google Scholar] [CrossRef]
- Wang, Y.Z.; Zhang, L.Y.; Yan, Z.W.; Shao, L.H.; Kang, H.; Wei, G.T. Application of a low-cost bagasse carbon-red mud (BCRM) adsorbent for adsorption of methylene blue cationic dye: Adsorption performance, kinetics, isotherm, and thermodynamics. Desalination Water Treat. 2015, 57, 7109–7119. [Google Scholar] [CrossRef]
- Ye, J.; Cong, X.N.; Zhang, P.Y.; Hoffmann, E.; Zeng, G.M.; Liu, Y.; Fang, W.; Wu, Y.; Zhang, H.B. Interaction between phosphate and acid-activated neutralized red mud during adsorption process. Appl. Surf. Sci. 2015, 356, 128–134. [Google Scholar] [CrossRef]
- Walsh, C. Antibiotics: Actions, Origins, Resistance; ASM Press: Washington, DC, USA, 2003. [Google Scholar]
- Kolpin, D.W.; Furlong, E.T.; Meyer, M. Pharmaceuticals, hormones, and other organic wastewater contami- nants in U.S.streams, 1999–2000: A national reconnaissance. Environ. Sci. Technol. 2002, 36, 1202–1211. [Google Scholar] [CrossRef] [PubMed]
- Martins, A.F.; Vasconcelos, T.G.; Henriques, D.M.; Frank, C.S. Concentration of ciprofloxacin in Brazilian hospital effluent and preliminary risk assessment: A case study. Clean-Soil Air Water 2008, 36, 264–269. [Google Scholar] [CrossRef]
- Orimolade, B.O.; Oladipo, A.O.; Idris, A.O.; Usisipho, F.; Azizi, S.; Maaza, M.; Lebelo, S.L.; Mamba, B.B. Advancements in electrochemical technologies for the removal offluoroquinolone antibiotics in wastewater: A review. Sci. Total Environ. 2023, 881, 163522. [Google Scholar] [CrossRef] [PubMed]
- Ni, F.; He, J.S.; Wang, Y.B.; Luan, Z.K. Preparation and characterization of a cost-effective red mud/polyaluminum chloride composite coagulant for enhanced phosphate removal from aqueous solutions. J. Water Process Eng. 2015, 6, 158–165. [Google Scholar] [CrossRef]
- Atasoy, A. An investigation on characterization and thermal analysis of the aughinish red mud. J. Therm. Anal. Calorim. 2005, 81, 357–361. [Google Scholar] [CrossRef]
- Huang, W.W.; Wang, S.B.; Zhu, Z.H.; Li, L.; Yao, X.D.; Rudolph, V.; Haghseresht, F. Phosphate removal from wastewater using red mud. J. Hazard. Mater. 2008, 158, 35–42. [Google Scholar] [CrossRef]
- Jayasankar, K.; Ray, P.K.; Chaubey, A.K.; Padhi, A.; Satapathy, B.K.; Mukherjee, P.S. Production of pig iron from red mud waste fines using thermal plasma technology. Int. J. Miner. Metall. Mater. 2012, 19, 679–684. [Google Scholar] [CrossRef]
- Manoj, K.S.; Sandip, M.; Saswati, S.D.; Pranati, B.; Raj, K.P. Removal of Pb(II) from aqueous solution by acid activated red mud. J. Environ. Chem. Eng. 2013, 1, 1315–1324. [Google Scholar]
- Balarak, D.; Joghataei, A.; Mostafapour, F.K.; Bazrafshan, E.; Pharm, J. Ciprofloxacin antibiotics removal from effluent using heat-acid activated Red Mud. J. Pharm. Res. Int. 2017, 20, 1–8. [Google Scholar] [CrossRef]
- Zhilkina, A.V.; Gordienko, A.A.; Prokudina, N.A.; Trusov, L.I.; Kuz’micheva, G.M.; Dulina, N.A.; Savinkina, E.V. Determination of the size of particles of highly dispersed materials by low temperature nitrogen adsorption. Russ. J. Phys. Chem. A 2013, 87, 674–679. [Google Scholar] [CrossRef]
- Guru, S.; Amritphale, S.S.; Mishra, J.; Joshi, S. Multicomponent red mud-polyester composites for neutron shielding Application. Mater. Chem. Phys. 2019, 224, 369–375. [Google Scholar] [CrossRef]
- Fang, H.; Liang, W.; Ma, C.; Tao, Q.; Liu, J. Effect of interaction between Pd and Fe in modified red mud on catalytic decomposition of toluene. Environ. Sci. Pollut. Res. 2023, 30, 77535–77550. [Google Scholar] [CrossRef] [PubMed]
- Deihimi, N.; Irannajad, M.; Rezai, B. Characterization studies of red mud modification processes as adsorbent for enhancing ferricyanide removal. J. Environ. Manag. 2018, 206, 266–275. [Google Scholar] [CrossRef] [PubMed]
- Liang, W.J.; Tao, Q.Y.; Fang, H.P.; Zhang, C.H.; Liu, J.; Bin, F.; Kang, R.N. Modification of red mud catalyst using oxalic acid-assisted UV treatment for toluene removal. Catal. Today 2024, 433, 114675. [Google Scholar] [CrossRef]
- Zhang, J.; Hayat, K.; Zhang, X.M.; Tong, J.M.; Xia, S.Q. Separation and purification of flavonoid from ginkgo extract by polyamide resin. Sep. Sci. Technol. 2010, 45, 2413–2419. [Google Scholar] [CrossRef]
- Liu, Y.; Lin, C.; Wu, Y. Characterization of red mud derived from a combined Bayer process and bauxite calcination method. J. Hazard. Mater. 2007, 146, 255–261. [Google Scholar] [CrossRef]
- Zhu, X.; Li, W.; Guan, X. An active dealkalization of red mud with roasting and water leaching. J. Hazard. Mater. 2015, 286, 85–91. [Google Scholar] [CrossRef]
- Liang, W.; Zhu, Y.; Ren, S.; Li, Q.; Song, L.; Shi, X. Catalytic combustion of chlorobenzene at low temperature over Ru-Ce/TiO2: High activity and high selectivity. Appl. Catal. A Gen. 2021, 623, 118257. [Google Scholar] [CrossRef]
- Saha, S.; Sarkar, P. Arsenic remediation from drinking water by synthesized nano-alumina dispersed in chitosan-grafted polyacry- lamide. J. Hazard. Mater. 2012, 227–228, 68–78. [Google Scholar] [CrossRef] [PubMed]
- Hu, X.J.; Wang, J.S.; Liu, Y.G.; Li, X.; Zeng, G.M.; Bao, Z.L.; Zeng, X.X.; Chen, A.W.; Long, F. Adsorption of chromium (VI) by ethylenediamine-modified cross-linked magnetic chitosan resin: Isotherms, kinetics and thermodynamics. J. Hazard. Mater. 2011, 185, 306–314. [Google Scholar] [CrossRef] [PubMed]
- Ofomaja, A.E. Kinetic study and sorption mechanism of methylene blue and methyl violet onto mansonia (Mansonia altissima) wood sawdust. Chem. Eng. J. 2008, 143, 85–95. [Google Scholar] [CrossRef]
- Tang, Y.; Chen, Q.; Li, W.; Xie, X.; Zhang, W.; Zhang, X.; Chai, H.; Huang, Y. Engineering magnetic N-doped porous carbon with super-high ciprofloxacin adsorption capacity and wide pH adaptability. J. Hazard. Mater. 2020, 388, 122059. [Google Scholar] [CrossRef] [PubMed]
- Jiang, C.; Zhang, X.; Xu, X.; Wang, L. Magnetic mesoporous carbon material with strong ciprofloxacin adsorption removal property fabricated through the calcination of mixed valence Fe based metal-organic framework. J. Porous Mater. 2016, 23, 1297. [Google Scholar] [CrossRef]
- Roca Jalil, M.E.; Baschini, M.; Sapag, K. Removal of Ciprofloxacin from aqueous solutions using pillared clays. Materials 2017, 10, 1345. [Google Scholar] [CrossRef] [PubMed]
- Ma, W.; Dai, J.; Dai, X.; Yan, Y. Preparation and characterization of Chitosan/Kaolin/Fe3O4 magnetic microspheres and their application for the removal of Ciprofloxacin. Adsorpt. Sci. Technol. 2014, 32, 775. [Google Scholar] [CrossRef]
- Chen, H.; Gao, B.; Yang, L.Y.; Ma, L.Q. Montmorillonite enhanced ciprofloxacin transport in saturated porous media with sorbed ciprofloxacin showing antibiotic activity. J. Contam. Hydrol. 2015, 173, 1–7. [Google Scholar] [CrossRef]
- Yin, D.; Xu, Z.; Shi, J.; Shen, L.; He, Z. Adsorption characteristics of ciprofloxacin on the schorl: Kinetics, thermodynamics, effect of metal ion and mechanisms. J. Water Reuse Desalination 2018, 8, 350. [Google Scholar] [CrossRef]
- Li, Z.H.; Hong, H.L.; Liao, L.B.; Ackley, C.J.; Schulz, L.A.; MacDonald, R.A.; Mihelich, A.L.; Emard, S.M. A mechanistic study of ciprofloxacin removal by kaolinite. Colloids Surf. B Biointerfaces 2011, 88, 339–344. [Google Scholar] [CrossRef]
- Yu, F.; Li, Y.; Han, S.; Ma, J. Adsorptive removal of ciprofloxacin by sodium alginate/graphene oxide composite beads from aqueous solution. J. Colloid Interface Sci. 2016, 484, 196–204. [Google Scholar]
- Avcı, A.; Inci, I.; Baylan, N. A comparative adsorption study with various adsorbents for the removal of Ciprofloxacin hydrochloride from water. Water Air Soil Pollut. 2019, 230, 250. [Google Scholar] [CrossRef]
- Dhiman, N.; Sharma, N. Batch adsorption studies on the removal of ciprofloxacin hydrochloride from aqueous solution using ZnO nanoparticles and groundnut (Arachis hypogaea) shell powder: A comparison. Indian Chem. Eng. 2019, 61, 67. [Google Scholar] [CrossRef]
- Chen, T.; Da, T.; Ma, Y. Reasonable calculation of the thermodynamic parameters from adsorption equilibrium constant. J. Mol. Liq. 2021, 322, 114980. [Google Scholar] [CrossRef]
- Reza, R.A.; Ahmaruzzaman, M.; Sil, A.K.; Gupta, V.K. Comparative adsorption behavior of ibuprofen and clofibric acid onto microwave assisted activated bamboo waste. Ind. Eng. Chem. Res. 2014, 53, 9331–9339. [Google Scholar] [CrossRef]
- Kumar, R.; Rashid, J.; Barakat, M.A. Synthesis and characterization of a starch-AlOOH-FeS2 nanocomposite for the adsorption of congo red dye from aqueous solution. RSC Adv. 2014, 4, 38334–38340. [Google Scholar] [CrossRef]
- Venkatesan, G.; Narayanan, S.L. Synthesis of Fe2O3-coated and HCl-treated bauxite ore waste for the adsorption of arsenic (Ⅲ) from aqueous solution: Isotherm and kinetic models. Chem. Eng. Commun. 2018, 205, 34–46. [Google Scholar] [CrossRef]
- Castaldia, P.; Silvetti, M.; Enzob, S.; Melis, P. Study of sorption processes and FT-IR analysis of arsenate sorbed onto red muds (a bauxite ore processing waste). J. Hazard. Mater. 2010, 175, 172–178. [Google Scholar] [CrossRef]
- Paras, T.; Dharni, V. Spectroscopic investigation of ciprofloxacin speciation at the goethite-water interface. Environ. Sci. Technol. 2007, 41, 3153–3158. [Google Scholar]










| Samples (%) | CaO | Al2O3 | SiO2 | Na2O | Fe2O3 | TiO2 | K2O | MgO | Others |
|---|---|---|---|---|---|---|---|---|---|
| RM | 26.01 | 23.72 | 17.09 | 11.76 | 11.56 | 5.72 | 1.81 | 0.95 | 1.38 |
| ARM | 40.13 | 8.36 | 10.89 | 2.10 | 28.37 | 4.26 | 2.91 | 1.13 | 1.85 |
| Pseudo-First-Order Dynamic Model | Pseudo-Second-Order Dynamic Model | Intraparticle Diffusion Model | ||
|---|---|---|---|---|
| The First Phase | The Second Phase | The Third Phase | ||
| k1 = 0.03869 (min−1) | k2 = 0.023 [g/(mg·min)] | k1 = 0.40054 (min−1) | k2 = 0.06936 (min−1) | k3 = 0.02236 (min−1) |
| qe = 4.17 (mg/g) | qe = 7.90 (mg/g) | C = 6.74 (mg/g) | C = 1.59 (mg/g) | C = 1.03 (mg/g) |
| R2 = 0.883 | R2 = 0.999 | R2 = 0.861 | R2 = 0.976 | R2 = 0.984 |
| Adsorption Isotherm | Fitting Curve | Parameter 1 | Parameter 2 | R2 |
|---|---|---|---|---|
| Langmuir | Y = 7.35866X + 1.39057 | KL = 0.14 (L/mg) | 0.676 | |
| Freundlich | Y = 1.00799X − 1.25902 | KF = 0.28 (L/mg) | nF = 0.99 | 0.999 |
| Langmuir–Freundlich | Y = −1.64094X + 6.90526 | KLF = 0.99 (L/mg) | nLF = 1.65 | 0.963 |
| Adsorbents | Adsorption Capacity (mg/g) | pH | Temp (°C) | Ref. |
|---|---|---|---|---|
| Magnetic N-doped porous carbon | 1564 | 7.0 | 25 | [37] |
| Fe-based MOF | 868.6 | 6.8 | 15 | [38] |
| Fe-pillared clay | 122.1 | 10 | 20 | [39] |
| Chitosan/Kaolin/Fe3O4 | 47.85 | 6.0 | 25 | [40] |
| Activated red mud | 41.5 | 7.0 | - | [24] |
| Montmorillonite | 23 | - | - | [41] |
| Schorl | 8.49 | 5.5 | - | [42] |
| Acidified red mud | 7.84 | 3.0 | 45 | This study |
| Kaolinite | 6.31 | 3.5 | 25 | [43] |
| Sodium alginate hydrogel | 2.90 | 2.0 | 25 | [44] |
| Sodium alginate aerogel | 2.87 | |||
| AC | 1.86 | - | 25 | [45] |
| ZnO nanoparticles | 0.16 | 6.0 | 25 | [46] |
| Temperature (K) | ΔHθ (kJ/mol) | ΔSθ (J/mol·k) | ΔGθ (kJ/mol) |
|---|---|---|---|
| 298 | 0.86 | 281.6 | −83.05 |
| 308 | −85.87 | ||
| 318 | −88.68 | ||
| 328 | −91.50 |
Disclaimer/Publisher’s Note: The statements, opinions and data contained in all publications are solely those of the individual author(s) and contributor(s) and not of MDPI and/or the editor(s). MDPI and/or the editor(s) disclaim responsibility for any injury to people or property resulting from any ideas, methods, instructions or products referred to in the content. |
© 2024 by the authors. Licensee MDPI, Basel, Switzerland. This article is an open access article distributed under the terms and conditions of the Creative Commons Attribution (CC BY) license (https://creativecommons.org/licenses/by/4.0/).
Share and Cite
Shi, J.; Wang, W.; Li, Z.; Shi, Y. Ciprofloxacin Removal via Acid-Modified Red Mud: Optimizing the Process, Analyzing the Adsorption Features, and Exploring the Underlying Mechanism. Molecules 2024, 29, 2928. https://doi.org/10.3390/molecules29122928
Shi J, Wang W, Li Z, Shi Y. Ciprofloxacin Removal via Acid-Modified Red Mud: Optimizing the Process, Analyzing the Adsorption Features, and Exploring the Underlying Mechanism. Molecules. 2024; 29(12):2928. https://doi.org/10.3390/molecules29122928
Chicago/Turabian StyleShi, Jingzhuan, Wanqiong Wang, Ziyi Li, and Yingjuan Shi. 2024. "Ciprofloxacin Removal via Acid-Modified Red Mud: Optimizing the Process, Analyzing the Adsorption Features, and Exploring the Underlying Mechanism" Molecules 29, no. 12: 2928. https://doi.org/10.3390/molecules29122928
APA StyleShi, J., Wang, W., Li, Z., & Shi, Y. (2024). Ciprofloxacin Removal via Acid-Modified Red Mud: Optimizing the Process, Analyzing the Adsorption Features, and Exploring the Underlying Mechanism. Molecules, 29(12), 2928. https://doi.org/10.3390/molecules29122928
