Antimicrobial and Anesthetic Niosomal Formulations Based on Amino Acid-Derived Surfactants
Abstract
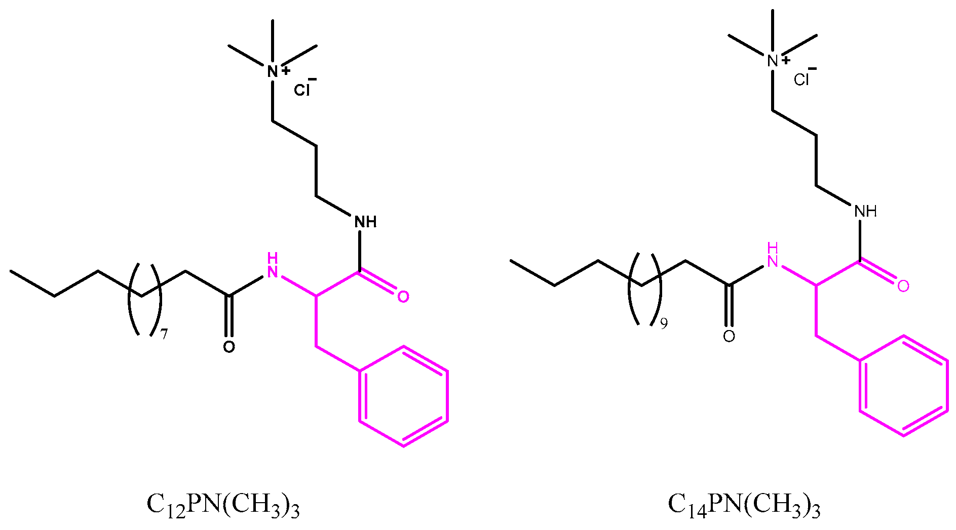
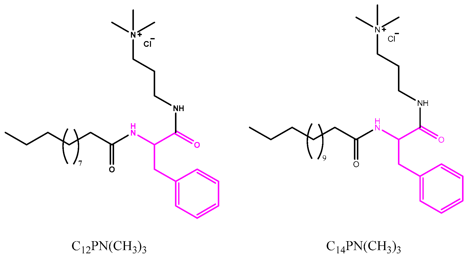
1. Introduction
2. Results and Discussion
2.1. Physical–Chemical Characterization of Niosomes
2.2. Stability Evaluation
2.3. Langmuir Balance Analysis: Surface Pressure/Area Isotherms
2.4. Small-Angle X-ray Scattering (SAXS)

| L | L/C/D/P14 (2:1:5:2) | L/C/D/P14 (5:1:2:2) | L/C | L/C/P14 (7:1:2) | |
|---|---|---|---|---|---|
| χ2 | 4.5 | 1.5 | 1.7 | 1.5 | 1.2 |
| σH (nm) | 0.4 ± 0.15 | 0.46 ± 0.10 | 0.33 ± 0.10 | 0.25 ± 0.10 | 0.62 ± 0.15 |
| ρH (e/nm3) | 36 ± 10 | 111 ± 10 | 118 ± 10 | 40 ± 10 | 65 ± 10 |
| ZH (nm) | 0.61 ± 0.15 | 1.77 ± 0.10 | 1.44 ± 0.10 | 0.51 ± 0.10 | 1.3 ± 0.2 |

2.5. Antimicrobial Activity
2.6. Biocompatibility of the Formulations: Ex Vivo Hemolytic Activity
2.7. Molecular Docking Results
3. Materials and Methods
3.1. Synthesis of the Phenylalanine-Based Surfactants
3.2. HPLC Analysis
3.3. NMR Experiments
3.4. Mass Spectroscopy
3.5. Niosomes’ Preparation
3.6. Physical–Chemical Characterization of Vesicles
3.7. Langmuir Balance Analysis
3.8. Small-Angle X-ray Scattering (SAXS)
3.9. Determination of the E% of LID, CA, and Cationic Surfactants in Vesicular Systems
3.10. Stability Evaluation
3.11. Biocompatibility of the Formulation: Ex Vivo Hemolytic Activity
3.12. In Vitro Antimicrobial Activity
3.13. Molecular Docking
3.14. Statistical Analysis of Data
4. Conclusions
Supplementary Materials
Author Contributions
Funding
Institutional Review Board Statement
Informed Consent Statement
Data Availability Statement
Acknowledgments
Conflicts of Interest
References
- Miwa, Y.; Hamamoto, H.; Ishida, T. Lidocaine self-sacrificially improves the skin permeation of the acidic and poorly water-soluble drug etodolac via its transformation into an ionic liquid. Eur. J. Pharm. Biopharm. 2016, 102, 92–100. [Google Scholar] [CrossRef] [PubMed]
- Pathak, P.; Nagarsenker, M. Formulation and evaluation of lidocaine lipid nanosystems for dermal delivery. Aaps PharmSciTech 2009, 10, 985–992. [Google Scholar] [CrossRef] [PubMed]
- Laffleur, F.; Keckeis, V. Advances in drug delivery systems: Work in progress still needed? Int. J. Pharm. 2020, 590, 119912. [Google Scholar] [CrossRef] [PubMed]
- Khizar, S.; Alrushaid, N.; Khan, F.A.; Zine, N.; Jaffrezic-Renault, N.; Errachid, A.; Elaissari, A. Nanocarriers based novel and effective drug delivery system. Int. J. Pharm. 2023, 632, 122570. [Google Scholar] [CrossRef] [PubMed]
- Attwood, D. The mode of association of amphiphilic drugs in aqueous solution. Adv. Colloid Interface Sci. 1995, 55, 271–303. [Google Scholar] [CrossRef]
- Romeo, M.; Mazzotta, E.; Perrotta, I.D.; Muzzalupo, R. Lidosomes: Innovative Vesicular Systems Prepared from Lidocaine Surfadrug. Pharmaceutics 2022, 14, 2190. [Google Scholar] [CrossRef] [PubMed]
- Zhang, W.; Zhang, Y.; Fan, J.; Feng, Z.; Song, X. Pharmacological activity of capsaicin: Mechanisms and controversies. Mol. Med. Rep. 2024, 29, 38. [Google Scholar] [CrossRef] [PubMed]
- Serra-Burriel, M.; Keys, M.; Campillo-Artero, C.; Agodi, A.; Barchitta, M.; Gikas, A.; Palos, C.; López-Casasnovas, G. Impact of multi-drug resistant bacteria on economic and clinical outcomes of healthcare-associated infections in adults: Systematic review and meta-analysis. PLoS ONE 2020, 15, e0227139. [Google Scholar] [CrossRef]
- Pinazo, A.; Manresa, M.A.; Marques, A.M.; Bustelo, M.; Espuny, M.J.; Pérez, L. Amino acid–based surfactants: New antimicrobial agents. Adv. Colloid. Interface Sci. 2016, 228, 17–39. [Google Scholar] [CrossRef]
- Hafidi, Z.; Pérez, L.; El Achouri, M.; Pons, R. Phenylalanine and Tryptophan-Based Surfactants as New Antibacterial Agents: Characterization, Self-Aggregation Properties, and DPPC/Surfactants Vesicles Formulation. Pharmaceutics 2023, 15, 1856. [Google Scholar] [CrossRef]
- Merchel Piovesan Pereira, B.; Tagkopoulos, I. Benzalkonium chlorides: Uses, regulatory status, and microbial resistance. Appl. Environ. Microbiol. 2019, 85, e00377-19. [Google Scholar] [CrossRef]
- Pérez, L.; García, M.T.; Pinazo, A.; Pérez-Matas, E.; Hafidi, Z.; Bautista, E. Cationic Surfactants Based on Arginine-Phenylalanine and Arginine-Tryptophan: Synthesis, Aggregation Behavior, Antimicrobial Activity, and Biodegradation. Pharmaceutics 2022, 14, 2602. [Google Scholar] [CrossRef]
- Tripathy, D.B.; Mishra, A.; Clark, J.; Farmer, T. Synthesis, chemistry, physicochemical properties and industrial applications of amino acid surfactants: A review. Comptes Rendus Chim. 2018, 21, 112–130. [Google Scholar] [CrossRef]
- Brito, R.O.; Marques, E.F.; Silva, S.G.; do Vale, M.L.; Gomes, P.; Araújo, M.J.; Rodriguez-Borges, J.E.; Infante, M.R.; Garcia, M.T.; Ribosa, I.; et al. Physicochemical and toxicological properties of novel amino acid-based amphiphiles and their spontaneously formed catanionic vesicles. Colloids Surf. B 2009, 72, 80–87. [Google Scholar] [CrossRef] [PubMed]
- Bordes, R.; Holmberg, K. Amino acid-based surfactants—Do they deserve more attention? Adv. Colloid Interface Sci. 2015, 222, 79–91. [Google Scholar] [CrossRef]
- Guo, J.; Duan, Y.; Jia, Y.; Zhao, Z.; Gao, X.; Liu, P.; Li, F.; Chen, H.; Ye, Y.; Liu, Y.; et al. Biomimetic chiral hydrogen-bonded organic-inorganic frameworks. Nat. Commun. 2024, 15, 139. [Google Scholar] [CrossRef]
- Mangiarotti, A.; Caruso, B.; Wilke, N. Phase coexistence in films composed of DLPC and DPPC: A comparison between different model membrane systems. Biochim. Biophys. Acta 2014, 1838, 1823–1831. [Google Scholar] [CrossRef]
- Caddeo, C.; Pons, R.; Carbone, C.; Fernàndez-Busquets, X.; Cardia, M.C.; Maccioni, A.M.; Fadda, A.M.; Manconi, M. Physico-chemical characterization of succinyl chitosan-stabilized liposomes for the oral co-delivery of quercetin and resveratrol. Carbohydr. Polym. 2017, 157, 1853–1861. [Google Scholar] [CrossRef]
- Shirota, H.; Yanase, K.; Ogura, T.; Sato, T. Intermolecular Dynamics and Structure in Aqueous Lidocaine Hydrochloride Solutions. J. Phys. Chem. 2022, 126, 1787–1798. [Google Scholar] [CrossRef] [PubMed]
- Efthymiou, C.; Bergström, L.M.; Pedersen, J.N.; Pedersen, J.S.; Hansson, P. Self-assembling properties of ionisable amphiphilic drugs in aqueous solution. J. Colloid Interface Sci. 2021, 600, 701–710. [Google Scholar] [CrossRef] [PubMed]
- El Hage, S.; Lajoie, B.; Stigliani, J.-L.; Furiga-Chusseau, A.; Roques, C.; Baziard, G. Synthesis, Antimicrobial Activity and Physico-Chemical Properties of Some n-Alkyldimethylbenzylammonium Halides. J. Appl. Biomed. 2014, 12, 245–253. [Google Scholar] [CrossRef]
- Zhang, S.; Ding, S.; Yu, J.; Chen, X.; Lei, Q.; Fang, W. Antibacterial activity, in vitro cytotoxicity, and cell cycle arrest of gemini quaternary ammonium surfactants. Langmuir 2015, 31, 12161–12169. [Google Scholar] [CrossRef] [PubMed]
- Zhou, C.; Wang, Y. Structure–activity relationship of cationic surfactants as antimicrobial agents. Curr. Opin. Colloid Interface 2020, 45, 28–43. [Google Scholar] [CrossRef]
- Pinazo, A.; Pons, R.; Marqués, A.; Farfan, M.; da Silva, A.; Perez, L. Biocompatible catanionic vesicles from arginine-based surfactants: A new strategy to tune the antimicrobial activity and cytotoxicity of vesicular systems. Pharmaceutics 2020, 12, 857. [Google Scholar] [CrossRef] [PubMed]
- Vieira, D.V.; Carmona-Ribeiro, A.M. Cationic lipids and surfactants as antifungal agents: Mode of action. J. Antimicrob. Chemother 2006, 58, 760. [Google Scholar] [CrossRef]
- Mehrarya, M.; Gharehchelou, B.; Haghighi Poodeh, S.; Jamshidifar, E.; Karimifard, S.; Farasati Far, B.; Akbarzadeh, I.; Seifalian, A. Niosomal formulation for antibacterial applications. J. Drug Target. 2022, 30, 476–493. [Google Scholar] [CrossRef]
- Yagi, N.; Ogawa, Y.; Kodaka, M.; Okada, T.; Tomohiro, T.; Konakahara, T.; Okuno, H. Preparation of functional liposomes with peptide ligands and their binding to cell membranes. Lipids 2000, 35, 673–680. [Google Scholar] [CrossRef]
- Lukáč, M.; Mojžiš, J.; Mojžišová, G.; Mrva, M.; Ondriska, F.; Valentová, J.; Lacko, I.; Bukovský, M.; Devínsky, F.; Karlovská, J. Dialkylamino and nitrogen heterocyclic analogues of hexadecylphosphocholine and cetyltrimetylammonium bromide: Effect of phosphate group and environment of the ammonium cation on their biological activity. Eur. J. Med. Chem. 2009, 44, 4970–4977. [Google Scholar] [CrossRef] [PubMed]
- Fogt, A.; Hägerstrand, H.; Isomaa, B. Effects of N, N′-bisdimethyl-1, 2-ethanediamine dichloride, a double-chain surfactant, on membrane-related functions in human erythrocytes. Chem. Biol. Interact. 1995, 94, 147–155. [Google Scholar] [CrossRef]
- Lv, H.; Zhang, S.; Wang, B.; Cui, S.; Yan, J. Toxicity of cationic lipids and cationic polymers in gene delivery. J. Control. Release 2006, 114, 100–109. [Google Scholar] [CrossRef]
- Pinnaduwage, P.; Schmitt, L.; Huang, L. Use of quaternary ammonium detergent in liposome mediated DNA transfection of mouse L-cells. Biochim. Biophys. Acta 1989, 985, 33. [Google Scholar] [CrossRef]
- Shehata, T.; Kimura, T.; Higaki, K.; Ogawara, K.I. In-vivo disposition characteristics of PEG niosome and its interaction with serum proteins. Int. J. Pharm. 2016, 512, 322–328. [Google Scholar] [CrossRef]
- Ullah, S.; Shah, M.R.; Shoaib, M.; Imran, M.; Shah, S.W.A.; Ahmed, F.; Gul, Q.; Shah, I. Hydrophilically modified self-assembling α-tocopherol derivative as niosomal nanocarrier for improving clarithromycin oral bioavailability. Artif. Cells Nanomed. 2018, 46, 568–578. [Google Scholar] [CrossRef]
- Kumar, Y.; Kuche, K.; Swami, R.; Katiyar, S.S.; Chaudhari, D.; Katare, P.B.; Banerjee, S.K.; Jain, S. Exploring the potential of novel pH sensitive lipoplexes for tumor targeted gene delivery with reduced toxicity. Int. J. Pharm. 2020, 573, 118889. [Google Scholar] [CrossRef]
- Tavano, L.; Aiello, R.; Ioele, G.; Picci, N.; Muzzalupo, R. Niosomes from glucuronic acid-based surfactant as new carriers for cancer therapy: Preparation, characterization and biological properties. Colloids Surf. B Biointerfaces 2014, 118, 7–13. [Google Scholar] [CrossRef]
- Pelz, A.; Wieland, K.P.; Putzbach, K.; Hentschel, P.; Albert, K.; Gotz, F. Structure and biosynthesis of staphyloxanthin from Staphylococcus aureus. J. Biol. Chem. 2005, 280, 32493–32498. [Google Scholar] [CrossRef]
- Janssen, D.B.; Dinkla, I.J.; Poelarends, G.J.; Terpstra, P. Bacterial degradation of xenobiotic compounds: Evolution and distribution of novel enzyme activities. Environ. Microbiol. 2005, 7, 1868–1882. [Google Scholar] [CrossRef]
- Hilvert, D. Critical analysis of antibody catalysis. Annu. Rev. Biochem. 2000, 69, 751–793. [Google Scholar] [CrossRef]
- Kim, S.; Broströmer, E.; Xing, D.; Jin, J.; Chong, S.; Ge, H.; Wang, S.; Gu, C.; Yang, L.; Gao, Y.Q.; et al. Probing allostery through DNA. Science 2013, 339, 816–819. [Google Scholar] [CrossRef] [PubMed]
- Sealey-Cardona, M.; Cammerer, S.; Jones, S.; Ruiz-Pérez, L.M.; Brun, R.; Gilbert, I.H.; Urbina, J.A.; González-Pacanowska, D. Kinetic characterization of squalene synthase from Trypanosoma cruzi: Selective inhibition by quinuclidine derivatives. Antimicrob. Agents Chemother. 2007, 51, 2123–2129. [Google Scholar] [CrossRef] [PubMed]
- Tsoumpra, M.K.; Muniz, J.R.; Barnett, B.L.; Kwaasi, A.A.; Pilka, E.S.; Kavanagh, K.L.; Evdokimov, A.; Walter, R.L.; Von Delft, F.; Ebetino, F.H.; et al. The inhibition of human farnesyl pyrophosphate synthase by nitrogen-containing bisphosphonates. Elucidating the role of active site threonine 201 and tyrosine 204 residues using enzyme mutants. Bone 2015, 81, 478–486. [Google Scholar] [CrossRef] [PubMed]
- Kakkassery, J.T.; Raphael, V.P.; Johnson, R. In vitro antibacterial and in silico docking studies of two Schiff bases on Staphylococcus aureus and its target proteins. Future J. Pharm. Sci. 2021, 7, 78. [Google Scholar]
- Fenton, R.R.; Easdale, W.J.; Er, H.M.; O’Mara, S.M.; McKeage, M.J.; Russell, P.J.; Hambley, T.W. Preparation, DNA binding, and in vitro cytotoxicity of a pair of enantiomeric platinum (II) complexes, [(R)-and (S)-3-aminohexahydroazepine] dichloro-platinum (II). Crystal structure of the S enantiomer. J. Med. Chem. 1997, 40, 1090–1098. [Google Scholar] [CrossRef] [PubMed]
- Pape, W.J.; Pfannenbecker, U.; Hoppe, U. Validation of the red blood cell test system as in vitro assay for rapid screening of irritation potencial of surfactants. Mol. Toxicol. 1987, 1, 525–536. [Google Scholar]
- Jones, R.N.; Barry, A.L.; Gavan, T.L.; Washington, J.A. Manual of Clinical Microbiology, 4th ed.; Lennette, E.H., Ballows, A., Hauser, W.J., Shadomy, H.J., Eds.; American Society for Microbiology: Washington, DC, USA, 1985. [Google Scholar]
- Patel, J.B.; Tenover, F.C.; Turnidge, J.D.; Jorgensen, J.H. Manual of Clinical Microbiology. In Susceptibility Test Methods: Dilution and Disk Diffusion Methods, 10th ed.; Versalovic, J., Carroll, K.C., Funke, G., Jorgensen, J.H., Landry, M.L., Warnock, D.W., Eds.; ASM Press: Washinton, DC, USA, 2011; Chapter 68. [Google Scholar]
- Trott, O.; Olson, A.J. AutoDock Vina: Improving the speed and accuracy of docking with a new scoring function, efficient optimization, and multithreading. J. Comput. Chem. 2010, 31, 455–461. [Google Scholar] [CrossRef] [PubMed]
- Kadukova, M.; Grudinin, S. Docking of small molecules to farnesoid X receptors using AutoDock Vina with the Convex-PL potential: Lessons learned from D3R Grand Challenge 2. J. Comput. Aided Mol. Des. 2018, 32, 151–162. [Google Scholar] [CrossRef]
- Hafidi, Z.; Yakkou, L.; Guouguaou, F.E.; Amghar, S.; Achouri, M.E. Aminoalcohol-based surfactants (N-(hydroxyalkyl)-N, N-dimethyl N-alkylammonium bromide): Evaluation of antibacterial activity and molecular docking studies against dehydrosqualene synthase enzyme (CrtM). J. Disper. Sci. Technol. 2021, 42, 514–525. [Google Scholar] [CrossRef]
- Lin, F.Y.; Liu, C.I.; Liu, Y.L.; Zhang, Y.; Wang, K.; Jeng, W.Y.; Ko, T.P.; Cao, R.; Wang, A.H.J.; Oldfield, E. Mechanism of action and inhibition of dehydrosqualene synthase. Proc. Natl. Acad. Sci. USA 2010, 107, 21337–21342. [Google Scholar] [CrossRef]
- Morris, G.M.; Huey, R.; Lindstrom, W.; Sanner, M.F.; Belew, R.K.; Goodsell, D.S.; Olson, A.J. AutoDock4 and AutoDockTools4: Automated docking with selective receptor flexibility. J. Comput. Chem. 2009, 30, 2785–2791. [Google Scholar] [CrossRef]










| * Formulations | SIZE nm | PI | PZ | E% LID | E% Pn | E% CA |
|---|---|---|---|---|---|---|
| L | 348 ± 93 | 0.381 | −16.8 ± 4.5 | 47.6 ± 1.9 | - | - |
| L/C (9:1) | 294 ± 63 | 0.393 | −9.6 ± 1.3 | 28.7 ± 5.8 | - | 56.1 ± 20 |
| L/D (8:2) | 675 ± 31 | 0.602 | −5.6± 1.5 | 42.0 ± 2.6 | - | - |
| L/C/P12 (7:1:2) | 279 ± 77 | 0.446 | 11.6 ± 0.7 | 29.8 ± 2.3 | 67.2 ± 0.6 | 40.2 ± 3.5 |
| L/D/P12 (6:2:2) | 194 ± 15 | 0.301 | 0.406 ± 3.8 | 27.2 ± 1.4 | 51.8 ± 0.8 | - |
| L/P14 (9:1) | 289 ± 46 | 0.284 | 15.5 ± 0.9 | 26.4 ± 3.6 | 68.5 ± 2.4 | - |
| L/C/P14 (7:1:2) | 309 ± 104 | 0.349 | 15.7 ± 0.4 | 31.3 ± 0.3 | 84.2 ± 1.3 | 64.3 ± 1.5 |
| L/D/P14 (6:2:2) | 177 ± 8 | 0.611 | 15.2 ± 1.2 | 23.7 ± 2.7 | 86.9 ± 2.4 | - |
| L/C/D/P14(6:1:2:1) | 302 ± 60 | 0.564 | 21 ± 2.5 | 33.3 ± 0.8 | 79.7 ± 2.1 | 70.0 ± 10 |
| L/C/D/P14 (5:1:2:2) | 259 ± 23 | 0.394 | 19.6 ± 10 | 42.8 ± 3.8 | 81.5 ± 2.5 | 74.7 ± 1.2 |
| L/C/D/P14 (2:1:5:2) | 260 ± 4 | 0.583 | 22.6 ± 1.3 | 40.5 ± 1.3 | 85.1 ± 0.1 | 65.6 ± 0.7 |
| Formulations | Time | Size | IP | PZ | E% LID | E% Pn | E% CA |
|---|---|---|---|---|---|---|---|
| L/C | 0 | 294 | 0.393 | −9.6 | 28.7 | - | 56.1 |
| 30 | 1761 | 0.508 | −6.6 | 36.8 | - | 31.3 | |
| L/C/P12 (7:1:2) | 0 | 279 | 0.446 | 11.6 | 29.1 | 67.2 | 40.2 |
| 30 | 183 | 0.505 | 6.2 | 33.5 | 18.7 | 74.3 | |
| L/C/P14 (7:1:2) | 0 | 309 | 0.349 | 15.7 | 31.3 | 84.2 | 64.3 |
| 30 | 275 | 0.447 | 20.6 | - | - | - | |
| L/D/P14 (6:2:2) | 0 | 176 | 0.611 | 15.2 | 23.7 | 86.9 | - |
| 30 | 271 | 0.430 | 14.0 | - | - | - | |
| L/C/D/P14 (6:1:2:1) | 0 | 302 | 0.564 | 21.0 | 33.3 | 79.7 | 70.1 |
| 30 | 122 | 0.393 | 25.1 | 35.5 | 82.5 | 67.1 | |
| L/C/D/P14 (5:1:2:2) | 0 | 258 | 0.394 | 19.6 | 42.8 | 81.5 | 74.7 |
| 30 | 162 | 0.444 | 19.0 | 44.2 | 87.9 | 75.5 | |
| L/C/D/P14 (2:1:5:2) | 0 | 260 | 0.583 | 22.6 | 40.5 | 85.1 | 65.6 |
| 30 | 102 | 0.520 | 22.2 | 39.6 | 84.9 | 66.7 |
| C12PN(CH3)3 MIC (MBC) (µM) | C14PN(CH3)3 MIC (MBC) (µM) | BAC (µM) | |
|---|---|---|---|
| Gram-positive | |||
| BS | 62 (62) | 16 (16) | 16 |
| SE | 32 (64) | 8 (64) | 16 |
| SA | 32 (128) | 8 (16) | 16 |
| LM | 125 (250) | 16 (32) | 62 |
| EF | 64 (64) | 16 (16) | 8 |
| Gram-negative | |||
| EC | 125 (500) | 125 (125) | 62 |
| AB | 250 (250) | 32 (125) | 62 |
| KA | >500 (>500) | 250 (250) | 62 |
| L/D/P12 (6:2:2) | L/C/P12 (7:1:2) | L/D/P14 (7:2:1) | L/C/P14 (7:1:2) | L/C/D/P14 (5:1:2:2) | |
|---|---|---|---|---|---|
| Gram-positive | |||||
| BS | 161 (161) | 62 (62) | 41 (41) | 53 (106) | 12 (25) |
| SE | 161 (161) | 124 (124) | 20 (20) | 27 (27) | 12 (12) |
| SA | 80 (80) | 62 (124) | 20 (20) | 54 (54) | 25 (50) |
| LM | 322 (>322) | 249 (>249) | 82 (82) | 27 (27) | 50 (50) |
| EF | 80 (80) | 124 (249) | 41 (41) | 54 (54) | 25 (25) |
| Gram-negative | |||||
| EC | 322 (322) | 249 (249) | >164 (>164) | 54 (54) | 100 (100) |
| AB | 322 (322) | 249 (249) | 82 (82) | 54 (54) | 50 (50) |
| KA | >322 (>322) | 249 (249) | >164 (>164) | 106 (106) | 400 (400) |
| Microorganism | Therapeutic Index (TI) | |||||
|---|---|---|---|---|---|---|
| P12 | P14 | L/D/P12 (6:2:2) | L/D/P14 (7:2:1) | L/C/P14 (7:1:2) | L/C/D/P14 (5:1:2:2) | |
| BS | 2.9 | 2.1 | 0.8 | 1.3 | 0.6 | 4.1 |
| SE | 5.8 | 4.3 | 0.8 | 2.7 | 1.3 | 4.1 |
| SA | 5.8 | 4.3 | 1.6 | 2.7 | 0.6 | 1.2 |
| LM | 1.5 | 2.1 | 0.4 | 0.6 | 1.3 | 1.0 |
| EF | 2.9 | 2.1 | 1.6 | 1.3 | 0.6 | 1.9 |
| EC | 1.5 | 0.8 | 0.4 | 0.3 | 0.6 | 0.5 |
| AB | 0.7 | 1.1 | 0.4 | 0.6 | 0.6 | 1.0 |
| KA | 0.4 | 0.1 | 0.4 | 0.3 | 0.3 | 0.1 |
| Formulation Acronyms | LID (mg) | DPPC (mg) | C14PN(CH3)3 (mg) | C12PN(CH3)3 (mg) | CA (mg) |
|---|---|---|---|---|---|
| L | 30 | - | - | - | - |
| L/C (9:1) | 40.5 | - | - | - | 4.5 |
| L/D (8:2) | 24 | 6 | - | - | - |
| L/C/P12 (7:1:2) | 31.5 | - | 9 | - | 4.5 |
| L/D/P12 (6:2:2) | 18 | 6 | - | 6 | - |
| L/P14 (9:1) | 27 | - | 3 | - | - |
| L/C/P14 (8:1:1) | 24 | - | 3 | - | 3 |
| L/C/P14 (7:1:2) | 21 | - | 6 | - | 3 |
| L/D/P14 (6:2:2) | 18 | 6 | 6 | - | - |
| L/C/D/P14 (6:1:2:1) | 27 | 9 | 4.5 | - | 4.5 |
| L/C/D/P14 (5:1:2:2) | 22.5 | 9 | 9 | - | 4.5 |
| L/C/D/P14 (2:1:5:2) | 9 | 22.5 | 9 | - | 4.5 |
Disclaimer/Publisher’s Note: The statements, opinions and data contained in all publications are solely those of the individual author(s) and contributor(s) and not of MDPI and/or the editor(s). MDPI and/or the editor(s) disclaim responsibility for any injury to people or property resulting from any ideas, methods, instructions or products referred to in the content. |
© 2024 by the authors. Licensee MDPI, Basel, Switzerland. This article is an open access article distributed under the terms and conditions of the Creative Commons Attribution (CC BY) license (https://creativecommons.org/licenses/by/4.0/).
Share and Cite
Romeo, M.; Hafidi, Z.; Muzzalupo, R.; Pons, R.; García, M.T.; Mazzotta, E.; Pérez, L. Antimicrobial and Anesthetic Niosomal Formulations Based on Amino Acid-Derived Surfactants. Molecules 2024, 29, 2843. https://doi.org/10.3390/molecules29122843
Romeo M, Hafidi Z, Muzzalupo R, Pons R, García MT, Mazzotta E, Pérez L. Antimicrobial and Anesthetic Niosomal Formulations Based on Amino Acid-Derived Surfactants. Molecules. 2024; 29(12):2843. https://doi.org/10.3390/molecules29122843
Chicago/Turabian StyleRomeo, Martina, Zakaria Hafidi, Rita Muzzalupo, Ramon Pons, María Teresa García, Elisabetta Mazzotta, and Lourdes Pérez. 2024. "Antimicrobial and Anesthetic Niosomal Formulations Based on Amino Acid-Derived Surfactants" Molecules 29, no. 12: 2843. https://doi.org/10.3390/molecules29122843
APA StyleRomeo, M., Hafidi, Z., Muzzalupo, R., Pons, R., García, M. T., Mazzotta, E., & Pérez, L. (2024). Antimicrobial and Anesthetic Niosomal Formulations Based on Amino Acid-Derived Surfactants. Molecules, 29(12), 2843. https://doi.org/10.3390/molecules29122843

