Abstract
The investigation of cycloaddition reactions involving acridine-based dipolarophiles revealed distinct regioselectivity patterns influenced mainly by the electronic factor. Specifically, the reactions of methyl-(2E)-3-(acridin-4-yl)-prop-2-enoate and 4-[(1E)-2-phenylethenyl]acridine with unstable benzonitrile N-oxides were studied. For methyl-(2E)-3-(acridin-4-yl)-prop-2-enoate, the formation of two regioisomers favoured the 5-(acridin-4-yl)-4,5-dihydro-1,2-oxazole-4-carboxylates, with remarkable exclusivity in the case of 4-methoxybenzonitrile oxide. Conversely, 4-[(1E)-2-phenylethenyl]acridine displayed reversed regioselectivity, favouring products 4-[3-(substituted phenyl)-5-phenyl-4,5-dihydro-1,2-oxazol-4-yl]acridine. Subsequent hydrolysis of isolated methyl 5-(acridin-4-yl)-3-phenyl-4,5-dihydro-1,2-oxazole-4-carboxylates resulted in the production of carboxylic acids, with nearly complete conversion. During NMR measurements of carboxylic acids in CDCl3, decarboxylation was observed, indicating the formation of a new prochiral carbon centre C-4, further confirmed by a noticeable colour change. Overall, this investigation provides valuable insights into regioselectivity in cycloaddition reactions and subsequent transformations, suggesting potential applications across diverse scientific domains.
1. Introduction
Organic chemistry continually advances as researchers explore novel synthetic methodologies and elucidate reaction mechanisms with ever-increasing precision. Among the myriad of chemical transformations, [3 + 2] cycloadditions [1,2,3,4] stand as a cornerstone in constructing complex molecular structures. These reactions have garnered substantial attention due to their ability to prepare 4,5-dihydroisoxazoles. They can be reduced to several synthetically important compounds such as β-hydroxy ketones, β-hydroxy esters, α,β-unsaturated carbonyl compounds or iminoketones [5,6]. Cycloadditions with monosubstituted alkenes proceed rapidly and regioselectively [7,8,9,10]. On the other hand, the reaction of nitrile oxides with non-activated 1,2-disubstituted alkenes tends to be slower and usually affords mixtures of regio- and stereoisomers. However, in the case of activated alkenes, such as nitroalkenes, fully regioselective [3 + 2] cycloadditions are possible [11,12,13,14,15]. As a consequence, regioselectivity has been investigated extensively and a lot of attempts to control regioselectivity using chiral alkenes were described [16,17]. Computational studies of [3 + 2] cycloadditions have been carried out to rationalise the reactivity and regioselectivity of these reactions [18,19,20,21,22]. However, these results often contradict the experimentally observed findings [23].
Our previous investigation [13,14] unveiled the fascinating chemistry of acridine-alkene when paired with relatively stable nitrile N-oxides. The outcomes were not only synthetically valuable but also provided insights into the mechanistic intricacies of such transformations. Building upon this foundation, the present study represents a natural extension, delving deeper into the reactivity and spectral nuances encountered when these acridine dipolarophiles meet their less-stable counterparts—unstable nitrile N-oxides.
Unstable nitrile N-oxides have remained relatively underexplored in [3 + 2] cycloaddition chemistry, primarily due to their rapid dimerization, which brings with it challenges in their creation and manipulation. Because of the rapid dimerization, unstable nitrile N-oxides are usually synthesised in situ from hydroximoyl halides [24,25], aldoximes or from primary nitroalkanes [26,27], which often limits their use in organic synthesis. The inherent reactivity of unstable nitrile oxides poses intriguing questions: How does their fleeting existence influence the outcome of the cycloaddition? What insights can we gain from the elucidation of their reaction pathways?
In this context, nuclear magnetic resonance (NMR) spectroscopy emerges as an invaluable tool. It allows us to scrutinise the subtle spectral changes. By employing these advanced analytical methods, we aim to shed light on the unique challenges and opportunities presented by this intriguing class of compounds.
This study represents not only a continuation of our prior work but also a significant stride toward comprehending the broader landscape of [3 + 2] cycloadditions with nitrile N-oxides. The insights gained herein promise to enrich our understanding of the reactivity patterns of acridine-based systems and pave the way for the development of innovative synthetic strategies in organic chemistry.
2. Result and Discussion
2.1. [3 + 2] Cycloaddition Reactions of Methyl (2E)-3-(Acridin-4-yl)-acrylate (1) and 4-[(E)-2-Phenylethenyl]acridin (2) with Nitrile N-Oxides 4a–e
Our investigation focused on the cycloaddition reactions of acridine-alkenes, namely methyl (2E)-3-(acridin-4-yl)-prop-2-enoate (1) and 4-[(1E)-2-phenylethenyl]acridine (2) [13], with unstable nitrile N-oxides 4a–e. Both alkene substrates 1 and 2 possess electron-accepting substituents. Identical reaction conditions were maintained across all ten reactions. The reactions involved dissolving acridine-alkene 1 or 2 in ethanol and subsequently adding a six-fold excess of the precursor of the three-atom-component (TAC)-N-hydroxybenzenecarbonimidoyl chloride 3a–e. As the major limitation of the chemistry of isoxazolines is the propensity of nitrile N-oxides to undergo rapid dimerization to furoxan N-oxides [28,29], we circumvent this problem by generating the nitrile N-oxide species in situ, and an ethanolic solution of triethylamine was added dropwise over 8 days to generate the corresponding nitrile N-oxide 4a–e (Scheme 1). Benzonitrile N-oxide 4 partially reacted with dipolarophiles, the remainder dimerized into furoxane. Experiments demonstrated that the use of less than a six-fold excess of oxime 3 led to exceedingly slow conversion to cycloadducts. To maintain a sufficiently low concentration of nitrile oxide 4a–e during the slow cycloaddition reaction, triethylamine had to be added very slowly. Consequently, the concentration of the generated unstable nitrile N-oxide 4a–e remained only slightly more than that of the alkene 1 or 2 throughout the experiment.
Scheme 1.
Synthesis of regioisomeric 3-substituted methyl 4-(acridin-4-yl)-4,5-dihydro-1,2-oxazole-5-carboxylates 5a,b,d,e and 4-(5-phenyl-4,5-dihydro-1,2-oxazol-4-yl)acridines 7a–e and 3-substituted methyl 5-(acridin-4-yl)-4,5-dihydro-1,2-oxazole-4-carboxylates 6a,b,d,e and 4-(4-phenyl-4,5-dihydro-1,2-oxazol-5-yl)acridines 8a–e. Yields of regioisomeric isoxazolines were determined by integration of corresponding proton signals of reaction mixture 1H NMR spectra.
Remarkably, our approach achieved nearly complete conversion of alkenes 1 or 2 to cycloadducts without the need for specific optimization of nitrile N-oxide 4a–e formation for cycloaddition rates versus dimerization.
The progression of the cycloaddition was monitored using 1H NMR spectra. These spectra revealed the complete absence of alkenes 1 and 2, confirming their near 100% conversion. Nonetheless, two pairs of doublets in the 4.00–7.00 ppm range, corresponding to the methine protons H-4 and H-5 of new regioisomers 5/6 and 7/8, were observed.
High regioselectivity of [3 + 2] cycloaddition reactions of 1 with nitrile oxides was observed. The ratios of regioisomers 5 and 6, formed from alkene 1, favoured the 5-(acridin-4-yl)-4,5-dihydro-1,2-oxazole-4-carboxylates 6a,b,d,e. Notably, the 1H NMR spectra of the crude reaction mixture of alkene 1 with 4-methoxybenzonitrile oxide (4a) showed only one pair of isoxazoline CH doublets, indicating exclusive formation of the regioisomeric derivative 6a, with no evidence of product 5a (Table 1).
Table 1.
Ratio of products of 1,3-dipolar cycloadditions of nitrile oxides 4a–e with methyl (2E)-3-(acridin-4-yl)-prop-2-enoate (1) and 4-[(1E)-2-phenylethenyl]acridine (2).
In contrast, no regioselectivity was reversed in the reactions of alkene 2 with nitrile oxides 4a–e. The reactions slightly favour the formation of products 7c–e. Interestingly, a major 8a isoxazoline was observed in the reaction of 2 with 4a, indicating a distinct regioselectivity pattern.
It is well known that the regioselectivity of [3 + 2] cycloadditions depends on both steric and electronic effects. We propose that the regioselectivity of described reactions is highly governed by the electronic factors of the alkene which can be found from the magnitudes of their 13C chemical shifts. In the case of (2E)-3-(acridin-4-yl)-prop-2-enoate (1), the presence of a mildly polar acridine ring and a strongly electron-accepting methoxycarbonyl group results in a highly polarized C3=C2 double bond with chemical shifts 141.8 ppm for C-3 (closer to acridine) and 120.3 ppm for C-2 (distant from acridine). This polarization facilitates an attack by the nitrile oxide oxygen, thereby favouring the formation of product 6. Conversely, in 4-[(1E)-2-phenyletenyl]acridine (2), the non-polar C1=C2 double bond with chemical shifts 130.5 ppm for C-1 (distant from acridine) and 125.2 ppm for C-2 (closer to acridine), owing to substituents with equivalent electron effects, leads to nearly equal preferences for either regioisomer (Table 1) [6,14].
The separation of cycloadducts from the reaction mixture proved to be labourious and time-consuming. Small quantities of sufficiently pure isoxazolines 5b, 6a,b,d,e, 7b, 8a–c for NMR analysis through multiple-column chromatography separations were obtained. However, it was unable to isolate adequate amounts of isoxazolines 5a,d,e, and 7a,d,e. Consequently, high-quality NMR spectra for these compounds could not be obtained, and their full characterisation remained elusive. However, their existence was confirmed by observing their presence in the 1H NMR spectra of the reaction mixture. Regioisomeric isoxazolines 7d/8d and 7e/8e could not be separated, and their structures were determined from the NMR spectra of these mixtures.
The complete structural characterisation of isolated compounds was achieved by the combined use of 1D and 2D NMR techniques (NMR spectra are included in Supplementary Materials). The procedures used to assign NMR data to compounds 7d and 8d are explained in detail here. The 1H NMR spectrum (Figure 1) suggested the presence of two acridin-4-yl rings, two 1,3-disubstituted phenyl units, three types of protons with doublet-shaped signals, and one proton with a broad singlet-shaped signal.
Figure 1.
1H (600 MHz, CDCl3) spectrum of the regioisomeric isoxazolines 7d (●) and 8d (■).
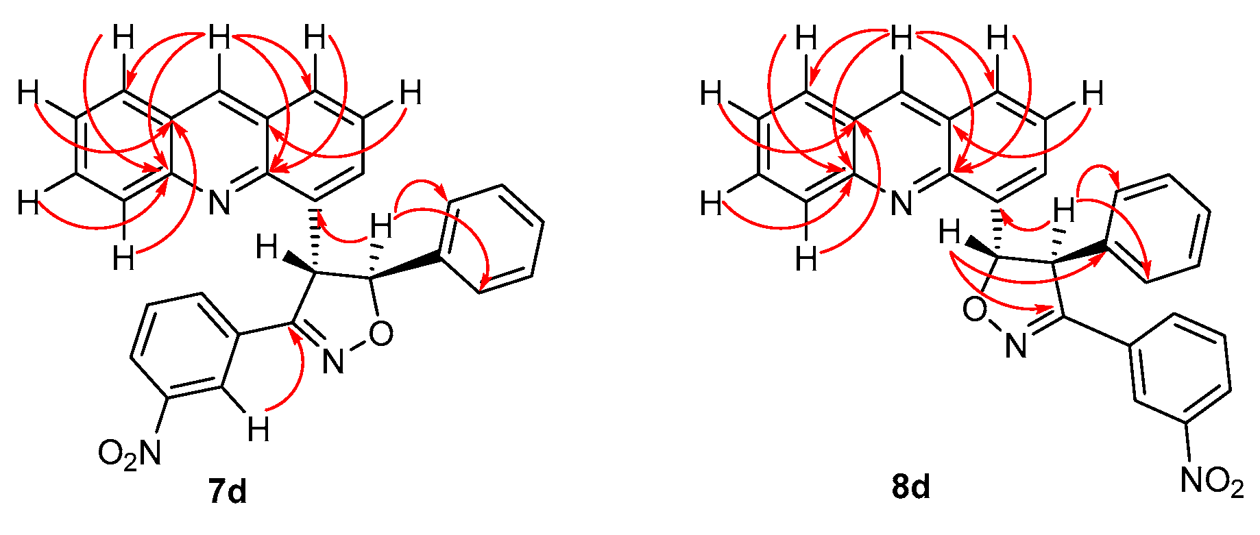
To distinguish between regioisomers 7d and 8d, 13C chemical shifts, as well as 1H,13C-HMBC correlations were analysed. 13C NMR signals of carbon atoms C-5 and C-4 of one regioisomeric isoxazoline were shown at 91.8 ppm and 55.7 ppm. This pair of carbons C-5 and C-4 provided HSQC correlations to protons H-5 at 5.79 ppm and H-4 at 6.58 ppm. Of note is a higher frequency of proton H-4 due to the magnetic anisotropy of neighbouring acridin-4-yl and phenyl moieties [15]. In both regioisomers trans relationship of protons H-4 and H-5 reflects the E configuration of the dipolarophiles 1 and 2 preserved in the cycloaddition reaction. 13C NMR signals of carbon atoms C-5 and C-4 of second regioisomeric isoxazoline were shown at 89.9 ppm and 62.5 ppm. This pair of carbons C-5 and C-4 provided HSQC correlations to protons H-5 at 6.78 ppm and H-4 at 4.92 ppm. To distinguish the regioisomers 7d and 8d, the HMBC correlations were crucial, namely, in regioisomer 7d HMBC, correlations between proton H-5 (5.79 ppm) and carbon atoms C-4′ (136.4 ppm) and C-2″,6″ (125.7 ppm), and in regioisomer 8d HMBC, correlations between proton H-4 (4.92 ppm) and carbon atoms C-4′ (137.5 ppm) and C-2″,6″ (128.3 ppm) (Figure 2).
Figure 2.
1H (600 MHz, CDCl3), 13C NMR (150 MHz, CDCl3), 1H,13C-HSQC and 1H,13C-HMBC spectra used for distinguishing regioisomeric isoxazolines 7d (●) and 8d (■).
Analysis of 2D COSY, 2D NOESY and 1D TOCSY spectra as well as 2D HSQCTOXY allowed resolution of the protons of six spin systems, two acridin-4-yl rings, and two 1,3-disubstituted phenyl units. The starting point for the assigning signals for both acridin-4-yl moieties were NOESY correlations between one proton singlets of H-9′ (7e: 8.84 ppm; 8e: 8.81 ppm) and protons H-1′ (7d: 7.99 ppm; 8d: 7.97 ppm) and H-8′ (7d: 8.06 ppm; 8d: 8.03 ppm) (Figure 3). The signals of the protons and carbons 1′–3′ and 5′–8′ for both acridin-4-yl systems as well as the signals of the protons and carbons 2″,4″–6″ for both phenyl rings were assigned using homonuclear 1H,1H-COSY correlations, heteronuclear 1H,13C-HSQCTOXY, 1H,13C-HSQC correlations, and 1H,13C-HMBC correlations. The 1H,13C-HMBC spectra allowed for assigning acridine quaternary carbons C-4′, C-8′a, C-9′a, C-4′a, and C-10′a, phenyl quaternary carbons C-1″, C-4″ and C-1‴, C-3‴, and quaternary carbon of isoxazoline fragment C-3 (Figure 4).
Figure 3.
1H,1H-NOESY spectrum of derivatives 7d (black symbols) and 8d (red symbols) showing key correlations between protons H-9′ and H-1′/H-8′ allowing to distinguish spin systems of lateral rings of acridin-4-yl moiety.
Figure 4.
The most important 1H,13C-HMBC correlations (→) for assignment of non-protonated carbons and distinguishing the regioisomers 7d and 8d.
The absolute configuration of C-4 and C-5 stereogenic centres in all regioisomers was not determined.
2.2. Basic Hydrolysis of 6a,b,d,e and Formation of Carboxylic Acids 9a,b,d,e and Isoxazole-5-ones Z-10e and E-10e
The subsequent step involved the hydrolysis of isolated esters 6a,b,d,e to produce carboxylic acids 9a,b,d,e. These reactions were carried out in ethanol with a 10-fold excess of the base over 4 h, resulting in nearly 100% conversion of starting substances 6a,b,d,e. Hydrolysis of derivative 6e yielded three products: acid 9e (81%) and two isoxazole-5-one stereoisomers, Z-10e (14%) and E-10e (5%) (Scheme 2) [13].
Scheme 2.
Synthesis of 5-(acridin-4-yl)-3-phenyl-4,5-dihydro-1,2-oxazole-4-carboxylic acids 9a,c–e, their decarboxylated products 11a,b,d,e, and isoxazole-5-ones Z-10e and E-10e.
The 1H chemical shift, splitting patterns, and intensities of proton signals for derivatives 9a,b,d,e were consistent with those of the starting esters 6a,b,d,e. The only noticeable difference in all these substances was the absence of the 1H NMR singlet signal of the methyl ester group around 3.90 ppm. In addition, the 13C NMR spectra of all products 9a,b,d,e exhibited a slight shift (approximately 0.9–2.1 ppm) of the C=O group signal to lower ppm values compared to the starting esters 6a,b,d,e.
The separation and purification of isoxazole-5-ones Z-10e, and E-10e proved challenging, yielding only a mixture of isoxazole-5-one Z-10e (87%) along with the E-10e derivative (13%) after repeated crystallization. While proton and carbon signals of the major Z-10e were successfully assigned based on NMR experiments, the minor derivative E-10e proton and carbon signals could not be assigned. The preliminary analysis of the 1H NMR spectrum of the mixture of stereoisomers Z-10e and E-10e in CDCl3 revealed signals with no overlap, facilitating the direct measurement of chemical shifts and J values and the correct determination of their multiplicities. The 1H and 13C NMR chemical shifts measured in CDCl3 are in reasonable agreement with those measured previously [13].
The acridine proton–proton connectivity was traced starting from NOESY correlations between proton H-9′ and protons H-1′/H-8′. The standard gCOSY experiment revealed H1′–H3′ and H5′–H8′ connectivities. The chemical shifts of protons attached to acridine carbon atoms were assigned through a straightforward application of the gHSQC experiment. The nonprotonated carbons C-4′, C-4′a/C-10′a, and C-8′a/C-9′a of acridin-4-yl moiety were assigned using their HMBC connectivities with the protons three-bonds distant. Additionally, the assignments of unprotonated carbons C-3, C-4, and C-5 of isoxazolone moiety were unequivocally accomplished through their observed HMBC connectivities with H-6 and H-2″,6″ protons (Figure 5 and Figure 6) [6].
Figure 5.
1H (600 MHz, CDCl3), 1H,1H-NOESY, and 1H,13C-HMBC spectra used for assigning structure of derivative Z-10e.
Figure 6.
Key NOESY (→) and 1H,13C-HMBC (→) correlations used for assigning the structure of derivative Z-10e.
For isoxazole-5-one Z-10e, the magnetic anisotropy effect on the acridine proton H-3’s chemical shift was evident. The high chemical shift (9.73 ppm) of the proton doublet H-3′ can be attributed to the magnetic anisotropic effect of the spatially close C=O group. In addition, a synergic effect of two electron-acceptor groups, C=O and C=N, elicited a strong deshielding of proton H-6 to 9.85 ppm.
It appears that the possibility of isoxazolone formation depends on the electron-withdrawing character of the phenyl substituent. The electron-withdrawing nitro group favoured the formation of isoxazole-5-one 10e, while the presence of unsubstituted phenyl, the electron-donor methoxy group or the nitro group in position 3 on the phenyl ring inhibited the formation of isoxazole-5-one.
2.3. Carboxylic Acids 9a,b,d,e Decarboxylation and Formation of 4-(3-Phenyl-4,5-dihydro-1,2-oxazol-5-yl)acridines 11a,b,d,e
During NMR measurements of carboxylic acids 9a,b,d,e in CDCl3, it was observed that decarboxylation occurred, resulting in NMR spectra featuring two distinct sets of signals (Figure 7). The most prominent indication of decarboxylation was the appearance of three new signals corresponding to the protons H-4a, H-4b and H-5. With the formation of the new prochiral carbon centre C-4, the two signals for protons H-4a and H-4b became non-equivalent. The occurrence of decarboxylation was further evidenced by a noticeable colour change from light yellow to dark green [30].
Figure 7.
The comparison of 1H (400 MHz, CDCl3) NMR spectra of derivatives 9b and 11b.
The structures of the non-purified decarboxylated products 11a,b,d,e were elucidated using 1D and 2D (TOCSY, H2BC, HMBC) NMR spectra and compared with those of carboxylic acids 9a,b,d,e. The 1H chemical shift, splitting patterns, and intensities of proton signals for derivatives 11a,b,d,e were consistent with those of the starting acids 9a,b,d,e. The only noticeable difference in all these substances was the presence of three signals corresponding to protons H-4a, H-4b and H-5, with chemical shifts of 4.20 ppm, 3.40 ppm, and 6.90 ppm, respectively. The relative stereochemistry of the prochiral carbon centre C-4 was determined through 2D NOESY spectra, where a NOESY cross peak between protons H-5 (6.9 ppm) and H-4a (4.2 ppm) was observed as well as through homonuclear coupling constants (Figure 8). As was written by Thomas, it is clear that as well as the dependence on dihedral angle, vicinal coupling constants depend on the electronegativity and orientation of substituents on the H–C–C–H fragment with both α and β effects, the H–C–C bond angles, overlap of orbitals from adjacent nuclei, and possibly on lone pairs and hyperconjugative effects. The lone pairs on nitrogen and oxygen have specific effects on both chemical shifts and coupling constants for protons on adjacent carbons [25]. The coupling constant 3J for the protons H-5 and H-4a, situated on the opposite side of the five-membered isoxazoline ring, falls within the 11.2–11.5 Hz range. However, the coupling constant 3J between protons H-5 and H-4b on the same side is in the 7.5–7.9 Hz range.
Figure 8.
NOESY (CDCl3) spectrum and structure of derivative 11a together with key vicinal coupling constants between protons H4a/H5 and H4b/H5.
3. Experimental Section
3.1. General
All reagents (Merck, Darmstadt, Germany) were used as supplied without prior purification. The progression of the reaction was monitored by analytical thin-layer chromatography using TLC sheets ALUGRAM-SIL G/UV254 (Macherey Nagel, Düren, Germany). Purification by flash chromatography was performed using silica gel (60 Å, 230–400 mesh, Merck, Darmstadt, Germany) with the indicated eluent.
3.2. Melting Point Determination
The melting points of the synthesised derivatives were determined using a StuartTM melting point apparatus SMP10 (Bibby Scientific Ltd., Staffordshire, UK).
3.3. NMR Spectroscopy
NMR spectra were acquired using a Varian VNMRS spectrometer (Palo Alto, CA, USA) operating at 599.87 MHz for 1H, 150.84 MHz for 13C, and Varian Mercury spectrometer (Palo Alto, CA, USA) operating at 400.13 MHz for 1H and 100.62 MHz for 13C. These experiments were conducted at a temperature of 299.15 K, and a 5 mm inverse-detection H-X probe with a z-gradient coil was used. Pulse programs from the Varian sequence library were employed. Chemical shifts (δ in ppm) were referenced to internal solvent standard CDCl3 77.0 ppm for 13C, while a partially deuterated signal of CHD2Cl 7.26 ppm was used for 1H referencing. MestReNova v. 15.0.1 (Mestrelab Research, Santiago de Compostela, Spain) was utilized for NMR spectra processing and analysis.
3.4. IR Spectroscopy
The infrared spectra of prepared compounds were recorded with Avatar FT−IR 6700 (Fourier transform infrared spectroscopy) spectrometer in the range from 400 to 4000 cm−1 with 64 repetitions for a single spectrum using the ATR (attenuated total reflectance) technique. All obtained data were analysed using Omnic 8.2.0.387 (2010) software, and the structure of all new compounds was confirmed by analysis of FT-IR spectrum by functional group identification.
3.5. Elemental Analysis
Elemental analysis of C, H, and N was performed using a CHNOS Elemental Analyzer vario MICRO from Elementar Analysensysteme GmbH (Langenselbold, Germany).
3.6. General Procedure for Preparation of Methyl 4-(Acridin-4-yl)-3-phenyl-4,5-dihydro-1,2-oxazole-5-carboxylates 5a,b,d,e and Methyl 5-(Acridin-4-yl)-3-phenyl-4,5-dihydro-1,2-oxazole-4-carboxylates 6a–e
The corresponding N-hydroxybenzenecarbonimidoyl chloride (3a: 423 mg; 3b: 354 mg; 3c: 533 mg; 3d: 457 mg; 3e: 457 mg, 2.28 mmol) was added to an ethanolic solution (5 mL) of methyl (2E)-3-(acridin-4-yl)-prop-2-enoate (1, 100 mg, 0.37 mmol), and the reaction mixture was heated to 40 °C. Triethylamine (230 mg, 0.317 mL, 2.28 mmol) was dissolved in ethanol (5 mL) and added to the reaction mixture over eight days. The reaction’s progress was tracked using 1H NMR spectra. Further purification by column chromatography (SiO2, n-Hex/EtOAc, 5:1) yielded compounds 5b and 6a,b,d,e.
Methyl-4-(acridin-4-yl)-3-phenyl-4,5-dihydro-1,2-oxazole-5-carboxylate (5b). Yield: 7.0 mg (5.0%). Mp. 114–116 °C. Yellow needles. For C24H18N2O3 (382.13) found: C 74.78, H 5.30, N 7.21%; calc.: C 75.38, H 4.74, N 7.33, O 12.55%. Rf (n-Hex/EtOAc, 5:1) 0.13. FT-IR: νmax 3104, 3069, 1782, 1647, 1218, 1167, 1025, 753 cm−1. 1H NMR (600 MHz CDCl3): δ 8.80 (1H, s, H-9′), 8.29 (1H, dd, J = 8.4, 1.2 Hz, H-5′), 8.04 (1H, d, J = 8.4 Hz, H-8′), 7.95 (1H, dd, J = 8.4, 1.2 Hz, H-1′), 7.84 (1H, ddd, J = 8.4, 6.6, 1.8 Hz, H-6′), 7.73 (2H, dd, J = 6.6, 1.2 Hz, H-2″,6″), 7.60 (1H, ddd, J = 8.4, 6.6, 1.2 Hz, H-7′), 7.54 (1H, dd, J = 6.6, 1.2 Hz, H-3′), 7.42 (1H, dd, J = 8.4, 7.2 Hz, H-2′), 7.27 (1H, t, J = 8.4 Hz, H-4″), 7.21 (2H, t, J = 7.8 Hz, H-3″,5″), 6.85 (1H, d, J = 4.2 Hz, H-4), 5.05 (1H, d, J = 4.2 Hz, H-5), 3.91 (3H, s, H-7) ppm. 13C NMR (150.1 MHz, CDCl3): δ 170.5 (C-6), 159.4 (C-3), 148.7 (C-10′a), 146.0 (C-4′a), 136.3 (C-9′), 136.2 (C-4′), 130.5 (C-6′), 130.1 (C-4″), 130.1 (C-5′), 128.6 (C-3″,5″), 128.5 (C-1′), 128.3 (C-1″), 128.0 (C-8′), 127.7 (C-2″,6″), 126.8 (C-3′,C-8′a), 126.7 (C-9′a), 126.2 (C-7′), 125.5 (C-2′), 86.7 (C-5), 52.7 (C-7), 52.0 (C-4) ppm.
Methyl-5-(acridin-4-yl)-3-(4-methoxyphenyl)-4,5-dihydro-1,2-oxazole-4-carboxylate (6a). Yield: 133.1 mg (85.0%). M.p. 152–154 °C. Yellow powder. For C25H20N2O4 (412.45) found: C 72.75, H 4.73, N 6.88%; calc.: C 72.80, H 4.89, N 6.79, O 15.52%. Rf (5:1 v/v n-Hex/EtOAc) 0.16. FT-IR: νmax 3102, 3063, 2944, 2903, 1768, 1647, 1621, 1482, 1338, 1250, 1172, 1065, 1028 cm−1. 1H NMR (400 MHz CDCl3): δ 8.78 (1H, s, H-9′), 8.09 (1H, d, J = 8.8 Hz, H-5′), 8.01 (1H, d, J = 8.8 Hz, H-8′), 7.98 (1H, d, J = 6.8 Hz, H-3′), 7.96 (1H, d, J = 8.0 Hz, H-1′), 7.78 (1H, ddd, J = 8.4, 6.4, 1.2 Hz, H-6′), 7.71 (2H, d, J = 8.8 Hz, H-2″,6″), 7.56 (1H, ddd, J = 8.8, 6.4, 1.2 Hz, H-7′), 7.53 (1H, dd, J = 8.0, 6.8 Hz, H-2′), 7.12 (1H, d, J = 6.0 Hz, H-5), 6.85 (2H, d, J = 8.8 Hz, H-3″,5″), 4.59 (1H, d, J = 6.0 Hz, H-4), 3.95 (3H, s, H-7), 3.80 (3H, s, OCH3) ppm. 13C NMR (100.6 MHz, CDCl3): δ 170.6 (C-6), 161.2 (C-4″), 153.8 (C-3), 148.1 (C-10′a), 145.9 (C-4′a), 137.4 (C-4′), 136.0 (C-9′), 130.3 (C-6′), 129.7 (C-5′), 128.6 (C-2″,6″), 128.1 (C-8′), 128.2 (C-1′), 126.6 (C-8′a), 126.66 (C-9′a), 126.0 (C-7′), 125.9 (C-3′), 125.4 (C-2′), 121.1 (C-1″), 114.1 (C-3″,5″), 84.8 (C-5), 62.6 (C-4), 55.3 (OCH3), 52.9 (C-7) ppm.
Methyl-5-(acridin-4-yl)-3-phenyl-4,5-dihydro-1,2-oxazole-4-carboxylate (6b). Yield: 116.1 mg (80.0%). Mp. 177–179 °C. Yellow powder. For C24H18N2O3 (382.13) found: C 74.80, H 5.22, N 7.30%; calc.: C 75.38, H 4.74, N 7.33, O 12.55%; Rf (n-Hex/EtOAc, 5:1) 0.29. FT-IR: νmax 3096, 2910, 1770, 1646, 1604, 1536, 1328, 1217, 1045 cm−1. 1H NMR (400 MHz CDCl3): δ 8.78 (1H, s, H-9′), 8.08 (1H, d, J = 8.8 Hz, H-5′), 8.01 (1H, dd, J = 8.5, 0.7 Hz, H-8′), 7.97 (1H, m, H-1′), 7.97 (1H, m, H-3′), 7.78 (1H, m, H-6′), 7.78 (2H, m, H-2″,6″), 7.56 (1H, ddd, J = 8.5, 6.6, 1.2 Hz, H-7′), 7.53 (1H, dd, J = 8.5, 6.9 Hz, H-2′), 7.36 (3H, m, H-3″,5″, H-4″), 7.15 (1H, d, J = 6.5 Hz, H-5), 4.62 (1H, d, J = 6.5 Hz, H-4), 3.95 (3H, s, H-7) ppm. 13C NMR (100.6 MHz, CDCl3): δ 170.5 (C-6), 154.2 (C-3), 148.1 (C-10′a), 145.8 (C-4′a), 137.2 (C-4′), 136.0 (C-9′), 130.4 (C-6′), 130.2 (C-4″), 129.7 (C-5′), 128.7 (C-3″,5″), 128.1 (C-1′), 128.2 (C-8′), 128.6 (C-1″), 127.0 (C-2″,6″), 126.6 (C-8′a,9′a), 126.0 (C-3′), 126.0 (C-7′), 125.4 (C-2′), 85.1 (C-5), 62.3 (C-4), 52.9 (C-7) ppm.
Methyl-5-(acridin-4-yl)-3-(3-nitrophenyl)-4,5-dihydro-1,2-oxazole-4-carboxylate (6d). Yield: 102.3 mg (63.0%). Mp. 113–115 °C. Yellow needles. For C24H17N3O5 (427.42) found: C 67.24, H 4.08, N 9.80%; calc.: C 67.44, H 4.01, N 9.83, O 18.27%. Rf (5:1 v/v n-Hex/EtOAc) 0.16. FT-IR: νmax 3098, 2910, 1780, 1663, 1337, 1231, 1172, 1165, 1071, 1058 cm−1. 1H NMR (400 MHz CDCl3): δ 8.80 (1H, s, H-9′), 8.62 (1H, d, J = 2.0 Hz, H-2″), 8.23 (1H, d, J = 8.4 Hz, H-4″), 8.17 (1H, d, J = 8.4 Hz, H-6″), 8.05 (1H, d, J = 8.4 Hz, H-5′), 8.03 (1H, d, J = 8.4 Hz, H-8′), 7.99 (1H, d, J = 8.4 Hz, H-8′), 7.96 (1H, dd, J = 6.8, 1.3 Hz, H-3′), 7.79 (1H, m, H-6′), 7.56 (3H, m, H-2′, H-7′, H-5″), 7.21 (1H, d, J = 6.8 Hz, H-5), 4.69 (1H, d, J = 6.8 Hz, H-4), 3.98 (3H, s, H-7) ppm. 13C NMR (100.6 MHz, CDCl3): δ 170.0 (C-6), 152.6 (C-3), 148.5 (C-3″), 148.1 (C-10′a), 145.7 (C-4′a), 136.6 (C-4′), 136.2 (C-9′), 132.6 (C-6″), 130.7 (C-1″), 130.5 (C-6′), 129.8 (C-5″),129.6 (C-5′), 128.6 (C-1′), 128.2 (C-8′), 126.6 (C-8′a), 126.6 (C-9′a), 126.2 (C-7′), 126.0 (C-3′), 125.3 (C-2′), 124.6 (C-4″), 121.9 (C-2″), 86.1 (C-5), 61.6 (C-4), 53.1 (C-7) ppm.
Methyl-5-(acridin-4-yl)-3-(4-nitrophenyl)-4,5-dihydro-1,2-oxazole-4-carboxylate (6e). Yield: 115.3 mg (71.0%). Mp. 165–167 °C. Yellow needles. For C24H17N3O5 (427.42) found: C 67.34, H 4.11, N 9.73%; calc.: C 67.44, H 4.01, N 9.83, O 18.27%. Rf (CH2Cl2) 0.56. FT-IR: νmax 3124, 3102, 2980, 1771, 1652, 1629, 1621, 1640, 1566, 1344, 1157, 1067, 1039, 842 cm−1. 1H NMR (400 MHz CDCl3): δ 8.79 (1H, s, H-9′), 8.21 (2H, d, J = 8.9, Hz H-3″,5″), 8.02 (3H, m, H-1′, H-5′, H-8′), 7.96 (3H, m, H-3′, H-2″,6″), 7.78 (1H, ddd, J = 8.4, 6.8, 1.2 Hz, H-6′), 7.57 (1H, ddd, J = 8.4, 6.8, 1.2 Hz, H-7′), 7.54 (1H, dd, J = 8.4, 6.8 Hz, H-2′), 7.18 (1H, d, J = 6.8 Hz, H-5), 4.68 (1H, d, J = 6.8 Hz, H-4), 3.97 (3H, s, H-7) ppm. 13C NMR (100.6 MHz, CDCl3): δ 169.9 (C-6), 152.9 (C-3), 148.5 (C-4″), 148.1 (C-10′a), 145.6 (C-4′a), 136.5 (C-4′), 136.2 (C-9′), 134.9 (C-1″), 130.5 (C-6′), 129.5 (C-5′), 128.6 (C-1′), 128.2 (C-8′), 127.8 (C-2″,6″), 126.6 (C-8′a, C-9′a), 126.2 (C-3′, C-7′), 125.2 (C-3′), 123.9 (C-3″,5″), 86.4 (C-5), 61.5 (C-4), 53.2 (C-7) ppm.
3.7. General Procedure for Preparation of 4-[3-(4-Nitrophenyl)-5-phenyl-4,5-dihydro-1,2-oxazol-4-yl]acridines 7a–e and 4-(3-Phenyl-4-phenyl-4,5-dihydro-1,2-oxazol-5-yl)acridines 8a–e
A corresponding N-hydroxybenzenecarbonimidoyl chloride (3a: 395 m; 3b: 331 mg; 3c: 500 mg; 3d: 427 mg; 3e: 427 mg, 2.13 mmol) was added to a solution of methyl 4-[(1E)-2-phenylethenyl]acridine (2, 100 mg, 0.35 mmol) in ethanol (5 mL), and the reaction mixture was heated to 40 °C. Over eight days, a triethylamine solution (215 mg, 0.296 mL, 2.28 mmol) in ethanol (5 mL) was added. 1H NMR spectra of the reaction mixture were used to track the process. The solvent was evaporated under reduced pressure. Further purification by column chromatography (SiO2, c-Hex/EtOAc, 5:1) yielded compounds 7b and 8b, and (SiO2, n-Hex/EtOAc, 5:1) yielded compounds 8a,c and the mixture of isomers 7d/8d and 7e/8e.
4-(3,5-Diphenyl-4,5-dihydro-1,2-oxazole-4-yl)acridine (7b). Yield: 55.5 mg (39.0%). Mp. 177–179 °C. Yellow crystals. For C28H20N2O (400.48) found: C 84.01, H 5.16, N 7.13%; calc.: C 83.98, H 5.03, N 6.99, O 4.00%. Rf (5:1 v/v n-Hex/EtOAc) 0.35. FT-IR: νmax 3091, 2895, 1640, 1355, 1034, 1010, 874, 754 cm−1. 1H NMR (400 MHz CDCl3): δ 8.81 (1H, s, H-9′), 8.29 (1H, dd, J = 8.8, 1.0 Hz, H-5′), 8.05 (1H, dd, J = 8.4, 1.0 Hz, H-8′), 7.95 (1H, dd, J = 8.6, 1.4 Hz, H-1′), 7.84 (1H, ddd, J = 8.4, 6.6, 1.4 Hz, H-6′), 7.78 (2H, d, J = 7.8 Hz, H-2″,6″), 7.69 (2H, dd, J = 8.4, 1.5 Hz, H-2‴,6‴), 7.60 (2H, m, H-3′, H-7′), 7.44 (3H, m, H-2′, H-3″,5″), 7.35 (1H, td, J = 8.5, 1.2 Hz, H-4″), 7.20 (3H, m, H-3‴,5‴, H-4‴), 6.52 (1H, d, J = 3.4 Hz, H-4), 5.64 (1H, d, J = 3.4 Hz, H-5) ppm. 13C NMR (100.6 MHz, CDCl3): δ 159.0 (C-3), 148.6 (C-10′a), 146.4 (C-4′a), 141.6 (C-1‴), 137.1 (C-4′), 136.3 (C-9′), 130.4 (C-6′), 129.8 (C-4‴, C-5′), 129.1 (C-1‴), 128.6 (C-3′), 128.4 (C-3‴,5‴), 128.5 (C-3″,5″), 128.1 (C-8′), 128.1 (C-1′), 127.7 (C-1″, C-4″), 127.5 (C-2‴,6‴), 126.9 (C-9′a), 126.7 (C-8′a), 126.1 (C-7′), 125.8 (C-2′), 125.8 (C-2″,6″), 90.9 (C-5), 56.4 (C-4) ppm.
4-[3-(3-Nitrophenyl)-5-phenyl-4,5-dihydro-1,2-oxazole-4-yl]acridine (7d). The compound 7e was obtained as a mixture of 7d and 8e. Rf (5:1 v/v c-Hex/EtOAc) 0.32. 1H NMR (600 MHz CDCl3): δ 8.84 (1H, s, H-9′), 8.64 (1H, t, J = 2.0 Hz, H-2‴), 8.31 (1H, dd, J = 8.8, 1.0 Hz, H-5′), 8.06 (1H, m, H-4‴, H-8′), 7.99 (2H, m, H-1′, H-6‴), 7.86 (1H, ddd, J = 8.8, 6.6, 1.4 Hz, H-6′), 7.70 (2H, d, J = 7.8 Hz, H-2″,6″), 7.61 (2H, m, H-3′, H-7′), 7.48 (1H, dd, J = 8.4, 7.0 Hz, H-2′), 7.46 (1H, t, J = 7.6 Hz, H-3″,5″), 7.38 (1H, td, J = 7.4, 1.8 Hz, H-4″), 7.35 (1H, t, J = 8.0 Hz, H-3‴,5‴), 6.58 (1H, br s, H-4), 5.78 (1H, d, J = 3.9 Hz, H-5) ppm. 13C NMR (150.1 MHz, CDCl3): δ 157.8 (C-3), 148.8 (C-10′a), 148.4 (C-3‴), 146.0 (C-4′a), 140.9 (C-1″), 136.6 (C-9′), 136.4 (C-4′), 131.0 (C-1‴), 132.9 (C-6″), 130.6 (C-6′), 129.9 (C-5′), 129.5 (C-5‴), 128.6 (C-3″,5″), 128.1 (C-4″), 128.6 (C-1′), 128.3 (C-3′), 128.0 (C-8′), 126.8 (C-9′a), 126.7 (C-8′a), 126.3 (C-7′), 125.6 (C-2′), 125.7 (C-2″,6″), 124.2 (C-4‴), 122.3 (C-2‴), 91.8 (C-5), 55.7 (C-4) ppm.
4-[3-(4-Nitrophenyl)-5-phenyl-4,5-dihydro-1,2-oxazole-4-yl]acridine (7e). The compound 7e was obtained as a mixture of 7e and 8e. Rf (5:1 v/v c-Hex/EtOAc) 0.32. 1H NMR (400 MHz CDCl3): δ 8.84 (1H, s, H-9′), 8.27 (2H, d, J = 9.0 Hz, H-3‴,5‴), 8.27 (1H, m, H-5′), 8.06 (1H, m, H-8′), 7.99 (1H, dd, J = 8.4, 1.0 Hz, H-8′), 7.85 (2H, d, J = 9.0 Hz, H-2‴,6‴), 7.85 (1H, m, H-6′), 7.71 (2H, m, H-2″,6″), 7.56 (1H, m, H-3′, H-7′), 7.46 (3H, m, H-2′, H-3″,5″), 7.38 (1H, m, H-4″), 6.55 (1H, br s, H-4), 5.76 (1H, d, J = 4.1 Hz, H-5) ppm. 13C NMR (100.6 MHz, CDCl3): δ 157.8 (C-3), 148.7 (C-10′a), 148.1 (C-4‴), 146.1 (C-4′a), 140.8 (C-1″), 136.4 (C-4′), 136.3 (C-9′), 135.4 (C-1‴), 130.7 (C-6′), 128.1 (C-4″), 129.7 (C-5′), 128.7 (C-3″,5″), 128.6 (C-1′), 128.2 (C-8′), 126.9 (C-9′a), 126.8 (C-8′a), 128.1 (C-2‴,6‴, C-3′), 126.3 (C-7′), 125.7 (C-2″,6″), 125.6 (C-2′), 123.5 (C-3‴,5‴), 92.0 (C-5), 55.7 (C-4) ppm.
4-[3-(4-Methoxyphenyl)-4-phenyl-4,5-dihydro-1,2-oxazole-5-yl]acridine (8a). Yield: 64.3 mg (42.0%). Mp. 225–227 °C. Yellow solid. For C29H22N2O2 (430.51) found: C 81.00, H 5.10, N 6.63%; calc.: C 80.91, H 5.15, N 6.51, O 7.43%. Rf (5:1 v/v c-Hex/EtOAc) 0.32. FT-IR: νmax 3085, 2930, 2915, 1638, 1608, 1564, 1480, 1353, 1264, 1205, 1056, 1019, 796, 754 cm−1. 1H NMR (400 MHz CDCl3): δ 8.77 (1H, s, H-9′), 8.12 (1H, d, J = 8.4 Hz, H-5′), 8.01 (1H, d, J = 8.4 Hz, H-8′), 7.96 (1H, dd, J = 6.8, 1.2 Hz, H-3′), 7.93 (1H, d, J = 8.5 Hz, H-1′), 7.79 (1H, ddd, J = 8.4, 6.8, 1.2 Hz, H-6′), 7.63 (2H, d, J = 8.2 Hz, H-2″,6″), 7.54 (1H, m, H-7′), 7.54 (3H, m, H-2‴,6‴, H-2′), 7.48 (2H, t, J = 7.6 Hz, H-3″,5″), 7.38 (1H, t, J = 7.6 Hz, H-4″), 6.72 (2H, d, J = 8.9 Hz, H-3‴,5‴), 6.68 (1H, d, J = 3.2 Hz, H-5), 4.84 (1H, d, J = 3.2 Hz, H-4), 3.70 (3H, s, OCH3) ppm. 13C NMR (100.6 MHz, CDCl3): δ 160.7 (C-4‴), 158.4 (C-3), 148.2 (C-10′a), 146.4 (C-4′a), 139.7 (C-1″), 138.2 (C-4′), 136.0 (C-9′), 130.2 (C-6′), 129.6 (C-5′), 128.8 (C-3″,5″, C-2‴,6‴), 128.3 (C-2″,6″), 128.2 (C-8′), 127.8 (C-1′), 127.5 (C-4″), 126.8 (C-8′a), 126.4 (C-9′a), 126.1 (C-3′), 125.8 (C-2′, C-7′), 121.6 (C-1‴), 114.0 (C-3‴,5‴), 88.6 (C-5), 63.1 (C-4), 55.2 (OCH3) ppm.
4-(3,4-Diphenyl-4,5-dihydro-1,2-oxazole-5-yl)acridine (8b). Yield: 59.8 mg (42.0%). Mp. 210–212 °C. Yellow powder. For C28H20N2O (400.48) found: C 83.82, H 5.11, N 7.06%; calc.: C 83.98, H 5.03, N 6.99, O 4.00%. Rf (5:1 v/v 5:1 v/v c-hex/EtOAc) 0.39. FT-IR: νmax 3105, 2918, 1641, 1479, 1332, 1060, 1056, 877, 764 cm−1. 1H NMR (400 MHz CDCl3): δ 8.79 (1H, s, H-9′), 8.12 (1H, d, J = 8.8 Hz, H-5′), 8.03 (1H, dd, J = 8.4, 1.0 Hz, H-8′), 7.95 (2H, m, H-1′, H-3′), 7.79 (1H, ddd, J = 8.4, 6.8, 1.2 Hz, H-6′), 7.61 (4H, m, H-2″,6″, H-2‴,6‴), 7.53 (2H, m, H-2′, H-7′), 7.49 (2H, t, J = 7.8 Hz, H-3″,5″), 7.39 (1H, t, J = 7.6 Hz, H-4″), 7.23 (3H, m, H-3″,5″, H-4″), 6.72 (1H, d, J = 3.2 Hz, H-5), 4.87 (1H, d, J = 3.2 Hz, H-4) ppm. 13C NMR (100.6 MHz, CDCl3): δ 159.0 (C-3), 148.3 (C-10′a), 146.5 (C-4′a), 139.7 (C-1″), 138.2 (C-4′), 136.2 (C-9′), 130.3 (C-6′), 129.9 (C-4‴), 129.8 (C-5′), 129.3 (C-1‴), 129.1 (C-3″,5″), 128.7 (C-3‴,5‴), 128.5 (C-2‴,6‴), 128.3 (C-8′), 128.1 (C-1′), 127.7 (C-4″), 127.5 (C-2″,6″), 126.9 (C-9′a), 126.6 (C-8′a), 126.2 (C-3′), 126.0 (C-7′), 125.7 (C-2′), 89.1 (C-5), 63.1 (C-4) ppm.
4-[3-(4-Bromophenyl)-4-phenyl-4,5-dihydro-1,2-oxazole-5-yl]acridine (8c). Yield: 39.2 mg (23.0%). Mp. 185–187 °C. Yellow powder. For C28H19BrN2O (479.38) found: C 70.03, H 3.88, N 5.71%; calc.: C 70.16, H 4.00, Br 16.67, N 5.84, O 3.34%. Rf (5:1 v/v c-Hex/EtOAc) 0.46. FT-IR: νmax 3105, 2920, 1634, 1330, 1060, 1025, 950, 917, 758 cm−1. 1H NMR (400 MHz CDCl3): δ 8.79 (1H, s, H-9′), 8.09 (1H, d, J = 8.8 Hz, H-5′), 8.02 (1H, d, J = 8.4 Hz, H-8′), 7.94 (2H, m, H-1′, H-3′), 7.79 (1H, ddd, J = 8.8, 6.6, 1.4 Hz, H-6′), 7.58 (2H, d, J = 8.0 Hz, H-2″,6″), 7.53 (1H, m, H-2′, H-7′), 7.49 (4H, m, H-3″,5″, H-2‴,6‴), 7.40 (1H, t, J = 7.3 Hz, H-4″), 7.34 (2H, d, J = 8.7 Hz, H-3‴,5‴), 6.71 (1H, d, J = 3.5 Hz, H-5), 4.84 (1H, d, J = 3.5 Hz, H-4) ppm. 13C NMR (100.6 MHz, CDCl3): δ 158.3 (C-3), 148.3 (C-10′a), 146.4 (C-4′a), 139.4 (C-1″), 138.0 (C-4′), 136.2 (C-9′), 131.9 (C-3‴,5‴), 130.4 (C-6′), 129.7 (C-5′), 129.2 (C-3″,5″), 128.9 (C-2‴,6‴), 128.4 (C-2″,6″), 128.3 (C-8′), 128.2 (C-1‴, C-1′), 127.9 (C-4″), 126.9 (C-8′a), 126.6 (C-9′a), 126.2(C-3′), 126.1 (C-7′), 125.6 (C-2′), 124.2 (C-4‴), 89.4 (C-5), 62.9 (C-4) ppm.
4-[3-(3-Nitrophenyl)-4-phenyl-4,5-dihydro-1,2-oxazole-5-yl]acridine (8d). The compound 8e was obtained as a mixture of 7d and 8d. Rf (5:1 v/v c-Hex/EtOAc) 0.32. 1H NMR (600 MHz CDCl3): δ 8.81 (1H, s, H-9′), 8.41 (1H, t, J = 2.0 Hz, H-2‴), 8.09 (1H, ddd, J = 8.2, 2.3, 1.1 Hz, H-4‴), 8.06 (1H, m, H-5′), 8.03 (1H, ddt, J = 8.4, 1.4, 0.6 Hz, H-8′), 7.97 (1H, m, H-1′), 7.96 (1H, ddd, J = 8.0, 1.7, 1.1 Hz, H-6‴), 7.94 (dt, J = 6.9, 1.3 Hz, H-3′), 7.79 (1H, ddd, J = 8.8, 6.6, 1.4 Hz, H-6′), 7.61 (2H, m, H-2″,6″), 7.58 (1H, ddd, J = 8.4, 6.6, 1.1 Hz, H-7′), 7.54 (1H, dd, J = 8.4, 6.9 Hz, H-2′), 7.51 (2H, m, H-3″,5″), 7.42 (1H, m, H-4″), 7.41 (2H, t, J = 8.0 Hz, H-3‴,5‴) ppm. 13C NMR (150.1 MHz, CDCl3): δ 157.5 (C-3), 148.3 (C-3‴), 148.2 (C-10′a), 146.2 (C-4′a), 138.7 (C-1″), 137.5 (C-4′), 136.1 (C-9′), 132.8 (C-6‴), 131.0 (C-1‴), 130.4 (C-6′), 129.6 (C-5‴), 129.5 (C-5′), 129.2 (C-3″,5″), 128.6 (C-1′), 128.3 (C-2″,6″), 128.2 (C-8′), 128.1 (C-4″), 126.8 (C-9′a), 126.5 (C-8′a), 126.0 (C-7′), 125.9 (C-3′), 125.4 (C-2′), 124.2 (C-4‴), 122.1 (C-2‴), 89.9 (C-5), 62.5 (C-4) ppm.
4-[3-(4-Nitrophenyl)-4-phenyl-4,5-dihydro-1,2-oxazole-5-yl]acridine (8e). The compound 8d was obtained as a mixture of 7e and 8e. Rf (5:1 v/v c-Hex/EtOAc) 0.32. 1H NMR (400 MHz CDCl3): δ 8.78 (1H, s, H-9′), 8.06 (2H, m, H-3‴,5‴), 8.04 (1H, m, H-5′), 8.01 (1H, m, H-8′), 7.96 (1H, dd, J = 8.4, 0.8 Hz, H-1′), 7.91 (1H, dt, J = 6.9, 1.3 Hz, H-2′), 7.78 (1H, ddd, J = 8.8, 6.7, 1.5 Hz, H-6′), 7.76 (2H, d, J = 9.2 Hz, H-2‴,6‴), 7.62 (1H, m, H-7′), 7.56 (2H, m, H-2″,6″), 7.53 (1H, m, H-2′), 7.50 (2H, m, H-3″,5″), 7.41 (1H, m, H-4″), 6.76 (1H, d, J = 3.7 Hz, H-5), 4.91 (1H, d, J = 3.7 Hz, H-4) ppm. 13C NMR (100.6 MHz, CDCl3): δ 157.6 (C-3), 148.2 (C-10′a), 148.1 (C-4‴), 146.2 (C-4′a), 138.8 (C-1″), 137.4 (C-4′), 136.2 (C-9′), 135.3 (C-1‴), 130.4 (C-6′), 129.5 (C-5′), 128.6 (C-3″,5″), 128.3 (C-1′), 128.2 (C-2″,6″), 128.1 (C-4″, C-8′, C-2‴,6‴), 126.8 (C-9′a), 126.5 (C-8′a), 126.0 (C-3′, C-7′), 125.6 (C-2′), 123.8 (C-3‴,5‴), 90.2 (C-5), 62.0 (C-4) ppm.
3.8. Synthesis of 5-(Acridin-4-yl)-3-phenyl-4,5-dihydro-1,2-oxazole-4-carboxylic Acids 9a,b,d,e, (4Z)-4-[(Acridin-4-yl)Methylidene)]-3-(4-Nitrophenyl)-4,5-Dihydro-1,2-Oxazol-5-One Z-10e and (4E)-4-[(Acridin-4-yl)Methylidene)]-3-(4-Nitrophenyl)-4,5-Dihydro-1,2-Oxazol-5-One E-10e
To a solution of methylester (6a: 100 mg; 6b: 100 mg, 0.261 mmol, 0.24 mmol; 6d: 100 mg, 0.23 mmol; 6e: 100 mg, 0.23 mmol) in ethanol (5 mL) heated to 40 °C, KOH (6a: 136 mg, 2.40 mmol; 6b: 146 mg, 2.61 mmol; 6e: 146 mg, 2.30 mmol; 6d: 146 mg, 2.30 mmol) was added. The reaction mixture was stirred at 60 °C and monitored using TLC (SiO2, c-Hex/EtOAc, 1:1). Upon complexion of the reaction, the solvent was evaporated, and water (10 mL) was added. The resulting aqueous solution was acidified (HCl, 3:1), and the precipitate was extracted with diethyl ether (2 × 10 mL). The organic layer was dried, and the solvent was subsequently evaporated to yield the crude products. These products were further purified by column chromatography (SiO2, c-Hex/EtOAc, 1:1).
The compounds Z-10e and E-10e were separated from the mixture of 6e and 9e using column chromatography (SiO2, CHCl3/MeOH, 4:1). The ratio of isomers Z-10e and E-10e was determined to be 1.00:0.14 based on 1H NMR spectra.
5-(Acridin-4-yl)-3-(4-methoxyphenyl)-4,5-dihydro-1,2-oxazole-4-carboxylic acid (9a). Yield: 76.3 mg (79.0%). Mp. 190–192 °C. Yellow powder. For C24H18N2O4 (398.42) found: C 72.15, H 4.75, N 7.14%; calc.: C 72.35, H 4.55, N 7.03, O 16.06%. Rf (c-Hex/EtOAc, 1:1) 0.31. FT-IR: νmax 3443, 3117, 2929, 1788, 1643, 1622, 1525, 1353, 1243, 1209, 1115, 1066, 1038, 711, 617 cm−1. 1H NMR (600 MHz CDCl3): δ 9.05 (1H, s, H-9′), 8.40 (1H, d, J = 8.4 Hz, H-5′), 8.16 (1H, dt, J = 7.3, 1.5 Hz, H-3′), 8.13 (1H, d, J = 8.6 Hz, H-8′), 8.06 (1H, d, J = 8.4 Hz, H-1′), 7.96 (1H, ddd, J = 8.4, 6.7, 1.4 Hz, H-6′), 7.70 (1H, ddd, J = 8.6, 6.7, 1.0 Hz, H-7′), 7.64 (1H, m, H-2′), 7.62 (2H, d, J = 9.1 Hz, H-2″,6″), 6.85 (2H, d, J = 9.1 Hz, H-3″,5″), 6.83 (1H, d, J = 5.5 Hz, H-5), 4.76 (1H, d, J = 5.5 Hz, H-4), 3.79 (3H, s, OCH3) ppm. 13C NMR (150.1 MHz, CDCl3): δ 169.5 (C-6), 161.3 (C-4″), 153.8 (C-3), 147.1 (C-10′a), 144.2 (C-4′a), 140.0 (C-9′), 135.6 (C-4′), 132.9 (C-6′), 129.0 (C-2″,6″), 128.8 (C-1′), 128.7 (C-8′), 127.7 (C-3′), 127.3 (C-9′a), 127.0 (C-7′), 126.8 (C-8′a), 126.5 (C-5′), 126.1 (C-2′), 121.5 (C-1″), 114.2 (C-3″,5″), 82.3 (C-5), 62.4 (C-4), 55.3 (OCH3) ppm.
5-(Acridin-4-yl)-3-phenyl-4,5-dihydro-1,2-oxazole-4-carboxylic acid (9b). Yield: 94.3 mg (84.0%). Mp. 190–192 °C. Yellow powder. For C23H16N2O3 (368.40) found: C 74.85, H 4.22, N 7.68%; calc.: C 74.99, H 4.38, N 7.60, O 13.03%; Rf (c-Hex/EtOAc, 1:1) 0.34. FT-IR: νmax 3428, 3112, 2906, 1799, 1231, 1198, 1040, 508 cm−1. 1H NMR (600 MHz CDCl3): δ 9.06 (1H, s, H-9′), 8.41 (1H, d, J = 8.4 Hz, H-5′), 8.16 (1H, dd, J = 7.0, 1.4 Hz, H-3′), 8.14 (1H, d, J = 8.0 Hz, H-8′), 8.07 (1H, d, J = 8.4 Hz, H-1′), 7.97 (1H, ddd, J = 8.4, 6.8, 1.5 Hz, H-6′), 7.70 (3H, m, H-7′, H-2″,6″), 7.65 (1H, dd, J = 8.4, 7.0 Hz, H-2′), 7.35 (3H, m, H-3″,5″, H-4″), 6.87 (1H, d, J = 5.5 Hz, H-5), 4.80 (1H, d, J = 5.5 Hz, H-4) ppm. 13C NMR (150.1 MHz, CDCl3): δ 169.4 (C-6), 154.3 (C-3), 147.0 (C-10′a), 144.2 (C-4′a), 140.0 (C-9′), 135.4 (C-4′), 132.8 (C-6′), 130.4 (C-4″), 128.9 (C-1′, C-8′), 128.8 (C-3″,5″), 128.4 (C-1″), 127.7 (C-3′), 127.5 (C-2″,6″), 127.1 (C-7′), 126.9 (C-8′a), 126.6 (C-9′a), 126.5 (C-5′), 126.2 (C-2′), 82.6 (C-5), 62.1 (C-4) ppm.
5-(Acridin-4-yl)-3-(3-nitrophenyl)-4,5-dihydro-1,2-oxazole-4-carboxylic acid (9d). Yield: 95.7 mg (99.0%). Mp. 183–185 °C. For C23H15N3O5 (413.39) found: C 66.71, H 3.56, N 10.22%; calc.: C 66.83, H 3.66, N 10.16, O 19.35%. Rf (1:1 v/v c-Hex/EtOAc) 0.11. FT-IR: νmax 3445, 3107, 1792, 1659, 1634, 1354, 1149, 1136, 1082, 1054, 733, 695, 617 cm−1. 1H NMR (600 MHz CDCl3): δ 9.09 (1H, s, H-9′), 8.45 (1H, dd, J = 2.1, 1.7 Hz, H-2″), 8.43 (1H, dd, J = 8.8, 1.0 Hz, H-5′), 8.22 (1H, ddd, J = 8.2, 2.2, 1.1 Hz, H-4″), 8.16 (2H, m, H-3′, H-3′), 8.11 (2H, m, H-1′, H-6″), 8.00 (1H, ddd, J = 8.8, 6.6, 1.4 Hz, H-6′), 7.73 (1H, ddd, J = 8.4, 6.6, 1.0 Hz, H-7′), 7.67 (1H, dd, J = 8.4, 7.0 Hz, H-2′), 7.55 (1H, m, H-5″), 6.94 (1H, d, J = 5.9 Hz, H-5), 4.85 (1H, d, J = 5.9 Hz, H-4) ppm. 13C NMR (150.1 MHz, CDCl3): δ 169.4 (C-4), 154.3 (C-3), 148.3 (C-3″), 147.0 (C-10′a), 144.2 (C-4′a), 140.0 (C-9′), 135.4 (C-4′), 133.0 (C-6″), 132.8 (C-6′), 130.9 (C-1″), 128.9 (C-1′, C-8′), 128.8 (C-5″), 127.6 (C-3′), 127.1 (C-7′), 126.9 (C-8′a), 126.6 (C-9′a), 126.5 (C-5′), 126.2 (C-2′), 124.6 (C-4″), 122.2 (C-2″), 82.6 (C-5), 62.1 (C-4) ppm.
5-(Acridin-4-yl)-3-(4-nitrophenyl)-4,5-dihydro-1,2-oxazole-4-carboxylic acid (9e). Yield: 58.7 mg (63.0%). Mp. 250–253 °C. Yellow powder. For C23H15N3O5 (413.39) found: C 66.79, H 3.45, N 10.14%; calc.: C 66.83, H 3.66, N 10.17, O 19.35%. Rf (c-Hex/EtOAc, 1:1) 0.16. FT-IR: νmax 3486, 3102, 2946, 2916, 1798, 1655, 1570, 1333, 1205, 1171, 1080, 1057, 831, 460 cm−1. 1H NMR (600 MHz CDCl3): δ 9.09 (1H, s, H-9′), 8.42 (1H, d, J = 8.4 Hz, H-5′), 8.21 (2H, d, J = 9.2 Hz, H-3″,5″), 8.16 (2H, m, H-3′, H-8′), 8.11 (1H, dd, J = 8.4, 1.4 Hz, H-1′), 7.99 (1H, ddd, J = 8.4, 6.4, 1.2 Hz, H-6′), 7.87 (2H, d, J = 9.1 Hz, H-2″,6″), 7.73 (1H, ddd, J = 8.4, 6.4, 1.2 Hz, H-7′), 7.67 (1H, t, J = 7.7 Hz, H-2′), 6.94 (1H, d, J = 6.0 Hz, H-5), 4.82 (1H, d, J = 6.0 Hz, H-4) ppm. 13C NMR (150.1 MHz, CDCl3): δ 167.8 (C-6), 140.2 (C-9′), 133.2 (C-6′), 129.1 (C-1′), 128.6 (C-8′), 128.2 (C-2″,6″), 127.6 (C-3′), 127.1 (C-7′), 126.0 (C-5′), 125.9 (C-2′), 123.8 (C-3″,5″), 83.3 (C-5), 61.4 (C-4) ppm. The resonance lines for carbons C-3, C-4′, C-4′a, C-10′a, C-8′a, C-9′a, C-1″, C-4″ were not detected.
(4Z)-4-[(Acridin-4-ylmethylidene)]-3-(4-nitrophenyl)-4,5-dihydro-1,2-oxazole-5-one (Z-10e). The compound was obtained as a mixture of Z-10e and E-10e. Rf (4:1 v/v CHCl3/MeOH) 0.80. 1H NMR (600 MHz CDCl3): δ 9.85 (1H, s, H-6), 9.73 (1H, dd, J = 7.3, 1.4 Hz, H-3′), 8.87 (1H, s, H-9′), 8.54 (2H, d, J = 8.9 Hz, H-3″,5″), 8.33 (1H, dd, J = 8.4, 0.6 Hz, H-1′), 8.08 (2H, d, J = 8.9 Hz, H-2″,6″), 8.08 (1H, m, H-5′), 8.06 (1H, dd, J = 8.4, 1.2 Hz, H-8′), 7.86 (1H, ddd, J = 8.4, 6.6, 1.2 Hz, H-6′), 7.77 (1H, dd, J = 8.4, 7.3 Hz, H-2′), 7.63 (1H, ddd, J = 8.4, 6.6, 1.2 Hz, H-7′) ppm. 13C NMR (150.1 MHz, CDCl3): δ 168.5 (C-5), 162.7 (C-3), 149.6 (C-4″), 149.3 (C-6), 148.8 (C-10′a), 147.0 (C-4′a), 137.3 (C-9′), 137.2 (C-3′), 136.0 (C-1′), 134.1 (C-1″), 131.6 (C-6′), 130.1 (C-2″,6″), 129.7 (C-5′), 129.3 (C-4′), 128.2 (C-8′), 126.9 (C-8′a), 126.8 (C-7′), 126.2 (C-9′a), 125.6 (C-2′), 124.4 (C-3″,5″), 121.4 (C-4) ppm.
3.9. Synthesis of 4-(3-Phenyl-4,5-dihydro-1,2-oxazol-5-yl)acridines 11a,b,d,e
Carboxylic acids 9a,b,d,e (20 mg) were dissolved in deuterated chloroform (0.6 mL) and allowed to stand at room temperature for 3 weeks. The reactions were monitored by 1H NMR spectroscopy.
4-[3-(4-Methoxyphenyl)-4,5-dihydro-1,2-oxazol-5-yl]acridine (11a). The compound was obtained as a mixture of 9a and 11a. Yield: 61.0% (from 1H NMR). Rf (3:1 v/v toluene/EtOAc) 0.68. 1H NMR (600 MHz CDCl3): δ 8.77 (1H, s, H-9′), 8.23 (1H, d, J = 8.4 Hz, H-5′), 8.01 (1H, dd, J = 8.4, 1.5 Hz, H-8′), 7.98 (1H, dd, J = 6.9, 1.3 Hz, H-3′), 7.94 (1H, dd, J = 8.4, 1.4 Hz, H-1′), 7.79 (1H, ddd, J = 8.4, 6.6, 1.4 Hz, H-6′), 7.65 (2H, d, J = 9.0 Hz, H-2″,6″), 7.56 (1H, ddd, J = 8.4, 6.6, 1.1 Hz, H-7′), 7.53 (1H, dd, J = 8.4, 6.9 Hz, H-2′), 6.89 (2H, d, J = 9.0 Hz, H-3″,5″), 6.89 (1H, m, H-5), 4.24 (1H, dd, J = 17.0, 11.2 Hz, H-4a), 3.81 (3H, s, OCH3), 3.36 (1H, dd, J = 17.0, 7.5 Hz, H-4b) ppm. 13C NMR (150.1 MHz, CDCl3): δ 161.0 (C-4″), 156.6 (C-3), 148.2 (C-10′a), 146.2 (C-4′a), 139.2 (C-4′), 136.0 (C-9′), 130.1 (C-6′), 129.9 (C-5′), 128.3 (C-2″,6″), 128.1 (C-8′), 127.8 (C-1′), 126.6 (C-9′a), 126.4 (C-8′a), 126.0 (C-3′), 125.9 (C-7′), 125.6 (C-2′), 122.4 (C-1″), 114.1 (C-3″,5″), 79.5 (C-5), 55.3 (OCH3), 43.9 (C-4) ppm.
4-(3-Phenyl-4,5-dihydro-1,2-oxazol-5-yl)acridine (11b). The compound was obtained as a mixture of 9b and 11b. Yield: 94.0% (from 1H NMR). Rf (5:1 v/v n-Hex/EtOAc) 0.29. 1H NMR (400 MHz CDCl3): δ 8.78 (1H, s, H-9′), 8.23 (1H, d, J = 8.4 Hz, H-5′), 8.02 (1H, d, J = 8.4 Hz, H-8′), 7.98 (1H, dd, J = 6.9, 1.3 Hz, H-3′), 7.95 (1H, d, J = 8.4 Hz, H-1′), 7.79 (1H, ddd, J = 8.4, 6.6, 1.4 Hz, H-6′), 7.72 (2H, m, H-2″,6″), 7.55 (2H, m, H-2′, H-7′), 7.38 (3H, m, H-3″,5″, H-4″), 6.93 (1H, dd, J = 11.2, 7.5 Hz, H-5), 4.28 (1H, dd, J = 17.1, 11.2 Hz, H-4a), 3.41 (1H, dd, J = 17.1, 7.5 Hz, H-4b) ppm. 13C NMR (100.6 MHz, CDCl3): δ 158.1 (C-3), 149.3 (C-10′a), 147.2 (C-4′a), 140.1 (C-4′), 137.0 (C-9′), 131.2 (C-6′), 131.0 (C-5′, C-4″), 129.7 (C-1″, C-3″,5″), 129.1 (C-8′), 128.9 (C-1′), 127.8 (C-2″,6″), 127.7 (C-9′a), 127.5 (C-8′a), 126.9 (C-3′, C-7′), 126.6 (C-2′), 80.9 (C-5), 44.7 (C-4) ppm.
4-[3-(3-Nitrophenyl)-4,5-dihydro-1,2-oxazol-5-yl]acridine (11d). Yield: 50.0% (from 1H NMR). Rf (1:1 v/v c-Hex/EtOAc) 0.82. 1H NMR (600 MHz, CDCl3): δ 8.80 (1H, s, H-9′), 8.46 (1H, dd, J = 2.3, 1.2 Hz, H-2″), 8.24 (1H, ddd, J = 8.2, 2.3, 1.1 Hz, H-4″), 8.22 (1H, d, J = 8.4 Hz, H-5′), 8.14 (1H, m, H-6″), 8.03 (1H, dd, J = 8.4, 1.4 Hz, H-8′), 7.98 (1H, m, H-1′), 7.81 (1H, ddd, J = 8.4, 6.6, 1.4 Hz, H-6′), 7.59 (1H, m, H-7′, H-5″), 7.55 (1H, m, H-2′), 7.56 (2H, m, H-2′,), 6.98 (1H, dd, J = 11.5, 7.9 Hz, H-5), 4.32 (1H, dd, J = 17.1, 11.4 Hz, H-4a), 3.46 (1H, dd, J = 17.1, 7.8 Hz, H-4b) ppm. 13C NMR (150.1 MHz, CDCl3): δ 155.5 (C-3), 148.5 (C-3″), 148.3 (C-10′a), 146.1 (C-4′a), 138.4 (C-4′), 136.1 (C-9′), 132.3 (C-6″), 131.8 (C-1″), 130.3 (C-6′), 129.9 (C-5′), 129.7 (C-5″), 128.2 (C-8′), 128.1 (C-1′), 126.8 (C-9′a), 126.5 (C-8′a), 126.0 (C-3′, C-7′), 125.4 (C-2′), 124.4 (C-4″), 121.6 (C-2″), 80.9 (C-5), 43.2 (C-4) ppm.
4-[3-(4-Nitrophenyl)-4,5-dihydro-1,2-oxazol-5-yl]acridine (11e). Yield: 36.0% (from 1H NMR). Rf (1:1 v/v c-Hex/EtOAc) 0.83. 1H NMR (600 MHz CDCl3): δ 8.80 (1H, s, H-9′), 8.25 (1H, d, J = 9.0 Hz, H-5″), 8.20 (1H, dd, J = 8.7, 1.0 Hz, H-5′), 8.03 (1H, dd, J = 8.4, 1.4 Hz, H-8′), 7.98 (1H, dd, J = 8.4, 1.4 Hz, H-1′), 7.96 (1H, dd, J = 6.8, 1.3 Hz, H-3′), 7.89 (2H, d, J = 9.0 Hz, H-2″,6″), 7.80 (1H, ddd, J = 8.7, 6.6, 1.4 Hz, H-6′), 7.58 (1H, ddd, J = 8.4, 6.6, 1.2 Hz, H-7′), 7.55 (1H, dd, J = 8.4, 7.2 Hz, H-2′), 6.97 (1H, dd, J = 11.5, 7.9 Hz, H-5), 4.30 (1H, dd, J = 17.1, 11.5 Hz, H-4a), 3.45 (1H, dd, J = 17.1, 7.9 Hz, H-4b) ppm. 13C NMR (150.1 MHz, CDCl3): δ 155.7 (C-3), 148.4 (C-4″), 148.3 (C-10′a), 146.1 (C-4′a), 138.3 (C-4′), 136.1 (C-9′, C-1″), 130.3 (C-6′), 129.9 (C-5′), 128.2 (C-1′, C-8′), 127.5 (C-2″,6″), 126.7 (C-8′a), 126.6 (C-9′a), 126.0 (C-3′), 125.9 (C-7′), 125.4 (C-2′), 124.0 (C-3″,5″), 81.2 (C-5), 43.0 (C-4) ppm.
4. Conclusions
This study centred on the investigation of [3 + 2] cycloaddition reactions involving acridine-alkenes, specifically methyl-(2E)-3-(acridin-4-yl)-prop-2-enoate (1) and 4-[(1E)-2-phenylethenyl]acridine (2), with unstable benzonitrile N-oxides 4a–e. The reaction exhibited distinct regioselectivity patterns influenced by the polarity of the C=C double bond of the dipolarophile, electronic factors of the dipole, and steric factors.
In the case of alkene 1, the regioisomers 5 and 6 were formed favouring the 5-(acridin-4-yl)-4,5-dihydro-1,2-oxazole-4-carboxylates 6a,b,d,e. Remarkably, the reaction with 4-methoxybenzonitrile oxide (4a) exclusively produced the regioisomeric derivative 6a. In contrast, the regioselectivity was reversed for the reactions of alkene 2 with nitrile oxides 4c–e, favouring the formation of products 7c–e. An interesting regioselectivity pattern was observed in the reaction with 4a, yielding major isoxazoline 8a.
The subsequent hydrolysis of isolated esters 6a,b,d,e resulted in the production of carboxylic acids 9a,b,d,e with nearly 100% conversion. Hydrolysis of derivative 6e led to the formation of three products: acid 9e (81%) and two isoxazole-5-one stereoisomers, Z-10e (14%) and E-10e (5%). However, the separation and purification of isoxazole-5-ones Z-10e and E-10e proved challenging, yielding mainly a mixture of isoxazole-5-one Z-10e (87%) along with the E-10e (13%) derivative after repeated crystallization.
Notably, during NMR measurements of carboxylic acids 9a,b,d,e in CDCl3, decarboxylation was observed, manifesting in NMR spectra featuring two distinct sets of signals. The appearance of three new signals corresponding to protons H-4a, H-4b, and H-5, along with non-equivalent signals for protons H-4a and H-4b, indicated the formation of a new prochiral carbon centre C-4. The occurrence of decarboxylation was further conformed by a noticeable colour change from light yellow to dark green.
In conclusion, this comprehensive investigation provides valuable insights into the regioselectivity of [3 + 2] cycloadditions, and the subsequent transformations of the synthesised compounds, paving the way for further exploration of their potential applications in diverse scientific domains.
Supplementary Materials
The following supporting information can be downloaded at: https://www.mdpi.com/article/10.3390/molecules29122756/s1. Supplementary Materials contain the 1D and 2D NMR spectra of all synthesised derivatives.
Author Contributions
L.U.M.: conceptualization, methodology, investigation, writing—original draft preparation, M.V.: conceptualization, methodology, investigation, writing—original draft preparation. All authors have read and agreed to the published version of the manuscript.
Funding
The authors gratefully acknowledge the financial support provided by the KEGA (Scientific Grant Agency) under Grant No. 008UPJS-4/2023. This research was carried out within the framework of Innovation of NMR spectroscopy courses education in the chemistry study field, and the authors appreciate the support and resources provided by KEGA during this study.
Institutional Review Board Statement
Not applicable.
Informed Consent Statement
Not applicable.
Data Availability Statement
The data presented in this study and associated additional data are available upon request.
Acknowledgments
We are grateful to Ján Imrich for his support.
Conflicts of Interest
The authors declare that they have no known competing financial interests or personal relationships that could have appeared to influence the work reported in this paper.
References
- Breugst, M.; Reissig, H.U. The Huisgen Reaction: Milestones of the 1,3-Dipolar Cycloaddition. Angew. Chem. Int. Ed. 2020, 59, 12293–12307. [Google Scholar] [CrossRef] [PubMed]
- Engels, B.; Christl, M. What Controls the Reactivity of 1,3-Dipolar Cycloadditions? Angew. Chem. Int. Ed. 2009, 48, 7968–7970. [Google Scholar] [CrossRef] [PubMed]
- Kissane, M.; Maguire, A.R. Asymmetric 1,3-Dipolar Cycloadditions of Acrylamides. Chem. Soc. Rev. 2010, 39, 845–883. [Google Scholar] [CrossRef] [PubMed]
- Plumet, J. 1,3-Dipolar Cycloaddition Reactions of Nitrile Oxides under “Non-Conventional” Conditions: Green Solvents, Irradiation, and Continuous Flow. ChemPlusChem 2020, 85, 2252–2271. [Google Scholar] [CrossRef] [PubMed]
- Gołȩbiewski, W.M.; Gucma, M. Enantioselective 1,3-Dipolar Cycloaddition Reactions Using Chiral Lanthanide Catalysts. J. Heterocycl. Chem. 2008, 45, 1687–1693. [Google Scholar] [CrossRef]
- Gucma, M.; Gołębiewski, W.M.; Krawczyk, M. Application of Chiral Ligands: Carbohydrates, Nucleoside-Lanthanides and Other Lewis Acid Complexes to Control Regio- and Stereoselectivity of the Dipolar Cycloaddition Reactions of Nitrile Oxides and Esters. RSC Adv. 2015, 5, 13112–13124. [Google Scholar] [CrossRef]
- Boruah, M.; Konwar, D. KF/Al2O3: Solid-Supported Reagent Used in 1,3-Dipolar Cycloaddition Reaction of Nitrile Oxide. Synth. Commun. 2012, 42, 3261–3268. [Google Scholar] [CrossRef]
- Sabolová, D.; Vilková, M.; Imrich, J.; Potočňák, I. New Spiroacridine Derivatives with DNA-Binding and Topoisomerase I Inhibition Activity. Tetrahedron Lett. 2016, 57, 5592–5595. [Google Scholar] [CrossRef]
- Zaki, M.; Oukhrib, A.; Akssirab, M.; Berteina-Raboin, S. Synthesis of Novel Spiro-Isoxazoline and Spiro-Isoxazolidine Derivatives of Tomentosin. RSC Adv. 2017, 7, 6523–6529. [Google Scholar] [CrossRef]
- Zawadzińska, K.; Ríos-Gutiérrez, M.; Kula, K.; Woliński, P.; Miroslaw, B.; Krawczyk, T.; Jasiński, R. The Participation of 3,3,3-Trichloro-1-nitroprop-1-ene in the [3 + 2] Cycloaddition Reaction with Selected Nitrile N-Oxides in the Light of the Experimental and MEDT Quantum Chemical Study. Molecules 2021, 26, 6774. [Google Scholar] [CrossRef]
- Alizadeh, A.; Roosta, A.; Rezaiyehrad, R.; Halvagar, M. Efficient One Pot and Chemoselective Synthesis of Functionalized 3-Bromo-4,5-Dihydroisoxazole Derivatives via 1,3-Dipolar Cycloaddition Reactions of Nitrile Oxides. Tetrahedron 2017, 73, 6706–6711. [Google Scholar] [CrossRef]
- Krompiec, S.; Bujak, P.; Szczepankiewicz, W. Convenient Synthesis of Isoxazolines via Tandem Isomerization of Allyl Compounds to Vinylic Derivatives and 1,3-Dipolar Cycloaddition of Nitrile Oxides to the Vinylic Compounds. Tetrahedron Lett. 2008, 49, 6071–6074. [Google Scholar] [CrossRef]
- Ungvarská Maľučká, L.; Vilková, M.; Kožíšek, J.; Imrich, J. Strong Deshielding in Aromatic Isoxazolines. Magn. Reson. Chem. 2016, 54, 17–27. [Google Scholar] [CrossRef] [PubMed]
- Vilková, M.; Ungvarská Maľučká, L.; Imrich, J. Prediction by 13C NMR of Regioselectivity in 1,3-Dipolar Cycloadditions of Acridin-9-Yl Dipolarophiles. Magn. Reson. Chem. 2015, 54, 8–16. [Google Scholar] [CrossRef] [PubMed]
- Weidner-Wells, M.A.; Fraga-Spano, S.A.; Turchi, I.J. Unusual Regioselectivity of the Dipolar Cycloaddition Reactions of Nitrile Oxides and Tertiary Cinnamides and Crotonamides. J. Org. Chem. 1998, 63, 6319–6328. [Google Scholar] [CrossRef] [PubMed]
- Caramella, P.; Reami, D.; Falzoni, M.; Quadrelli, P. Cycloaddition of Nitrile Oxides to Cyclic and Acyclic α,β-Unsaturated Amides. Frontier Orbital Interactions and an Unexpected Steric Drift Determine Regiochemistry. Tetrahedron 1999, 55, 7027–7044. [Google Scholar] [CrossRef]
- Pellissier, H. Asymmetric 1,3-Dipolar Cycloadditions. Tetrahedron 2007, 63, 3235–3285. [Google Scholar] [CrossRef]
- Scheldrick, G.M. SHELXT-Integrated Space-Group and Crystals-Structure Determination. Acta Crystallogr. Sect. A Found. Adv. 2015, 71, 3–8. [Google Scholar] [CrossRef] [PubMed]
- Flagstad, T.; Hansen, M.R.; Le Quement, S.T.; Givskov, M.; Nielsen, T.E. Combining the Petasis 3-Component Reaction with Multiple Modes of Cyclization: A Build/Couple/Pair Strategy for the Synthesis of Densely Functionalized Small Molecules. ACS Comb. Sci. 2015, 17, 19–23. [Google Scholar] [CrossRef]
- Ye, Y.; Zhu, X.; Zhang, C.; Luo, Y.; Liu, L.; Zhao, Y. Oxides or Nitrones; John Wiley & Sons, Inc.: Hoboken, NJ, USA, 2007; pp. 19–21. [Google Scholar]
- Carreiro, E.P. Synthesis of Novel 1,2,3-Triazole-Dihydropyrimidinone Hybrids Using Multicomponent 1, 3-Dipolar Cycloaddition (Click)–Biginelli Reactions: Anticancer Activity. Synlett 2020, 31, 615–621. [Google Scholar] [CrossRef]
- Domingo, L.R.; Ríos-Gutiérrez, M.; Pérez, P. Applications of the Conceptual Density Functional Theory Indices to Organic Chemistry Reactivity. Molecules 2016, 21, 748. [Google Scholar] [CrossRef] [PubMed]
- Kiss, L.; Escorihuela, J. A Computational Study of 1,3-Dipolar Cycloadditions of Nitrile Oxides with Dienes Lor A. Tetrahedron 2023, 139, 133435. [Google Scholar] [CrossRef]
- Shevalev, R.; Bischof, L.; Sapegin, A.; Bunev, A.; Olga, G.; Kantin, G.; Kalinin, S.; Hartmann, M.D. Discovery and Characterization of Potent Spiro-Isoxazole-Based Cereblon Ligands with a Novel Binding Mode. Eur. J. Med. Chem. 2024, 270, 116328. [Google Scholar] [CrossRef] [PubMed]
- Kankala, S.; Vadde, R.; Vasam, C.S. N-Heterocyclic Carbene-Catalyzed 1,3-Dipolar Cycloaddition Reactions: A Facile Synthesis of 3,5-Di- and 3,4,5-Trisubstituted Isoxazoles. Org. Biomol. Chem. 2011, 9, 7869–7876. [Google Scholar] [CrossRef] [PubMed]
- Zatsikha, Y.V.; Didukh, N.O.; Swedin, R.K.; Yakubovskyi, V.P.; Blesener, T.S.; Healy, A.T.; Herbert, D.E.; Blank, D.A.; Nemykin, V.N.; Kovtun, Y.P. Preparation of Viscosity-Sensitive Isoxazoline/Isoxazolyl-Based Molecular Rotors and Directly Linked BODIPY-Fulleroisoxazoline from the Stable Meso-(Nitrile Oxide)-Substituted BODIPY. Org. Lett. 2019, 21, 5713–5718. [Google Scholar] [CrossRef] [PubMed]
- Topchiy, M.A.; Lysenko, A.N.; Rasskazova, M.A.; Ageshina, A.A.; Rzhevskiy, S.A.; Minaeva, L.I.; Nechaev, M.S.; Asachenko, A.F. Arylation of Nitromethane with Sterically Hindered Aryl Halides. Russ. Chem. Bull. 2022, 71, 59–63. [Google Scholar] [CrossRef]
- Barbaro, G.; Battaglia, A.; Dondoni, A. Kinetics and Mechanism of Dimerisation of Benzonitrile N-Oxides to Furazan N-Oxides. J. Chem. Soc. B Phys. Org. 1970, 4, 588–592. [Google Scholar] [CrossRef]
- Yu, Z.X.; Caramella, P.; Houk, K.N. Dimerizations of Nitrile Oxides to Furoxans Are Stepwise via Dinitrosoalkene Diradicals: A Density Functional Theory Study. J. Am. Chem. Soc. 2003, 125, 15420–15425. [Google Scholar] [CrossRef]
- Gubič, Š.; Montalbano, A.; Sala, C.; Becchetti, A.; Hendrickx, L.A.; Van Theemsche, K.M.; Pinheiro-Junior, E.L.; Altadonna, G.C.; Peigneur, S.; Ilaš, J.; et al. Immunosuppressive Effects of New Thiophene-Based KV1.3 Inhibitors. Eur. J. Med. Chem. 2023, 259, 115561. [Google Scholar] [CrossRef]
Disclaimer/Publisher’s Note: The statements, opinions and data contained in all publications are solely those of the individual author(s) and contributor(s) and not of MDPI and/or the editor(s). MDPI and/or the editor(s) disclaim responsibility for any injury to people or property resulting from any ideas, methods, instructions or products referred to in the content. |
© 2024 by the authors. Licensee MDPI, Basel, Switzerland. This article is an open access article distributed under the terms and conditions of the Creative Commons Attribution (CC BY) license (https://creativecommons.org/licenses/by/4.0/).
