Preparation and Performance Evaluation of Self-Cementing Nanoscale Polymeric Microspheres with Salt and Temperature Tolerance
Abstract
1. Introduction
2. Results and Analysis
2.1. Preparation and Characterization of Nano-Sized Polymer Microspheres
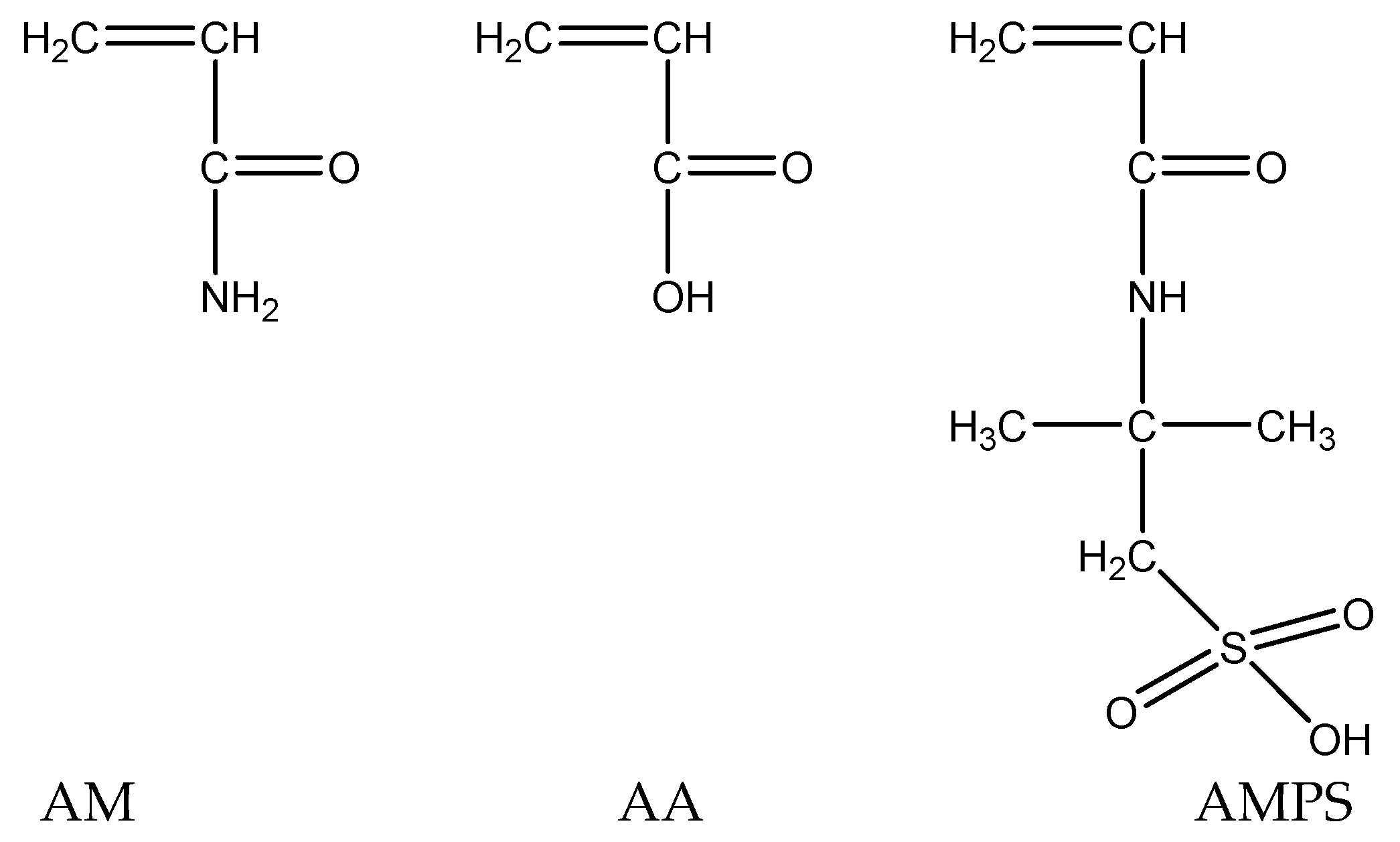
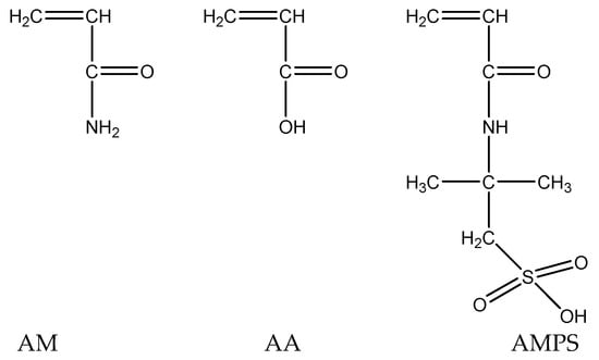
2.1.1. Selection of Core Monomer of Polymer Microspheres
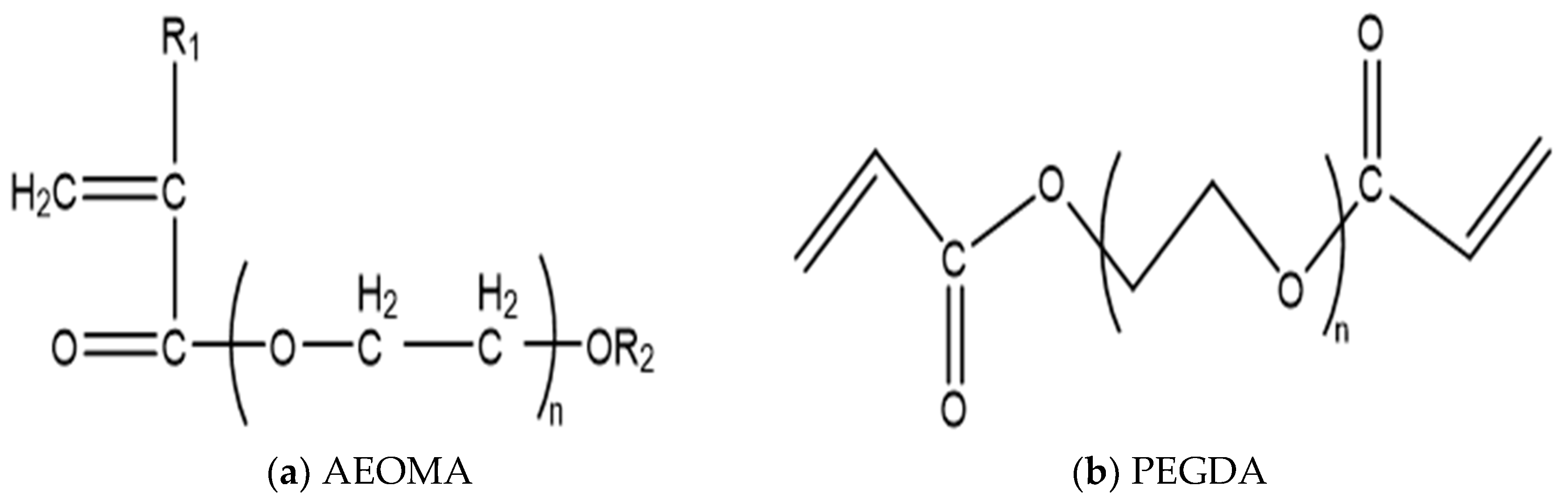
2.1.2. Selection of Polymer Microsphere Shell Monomer
2.1.3. Preparation of Nano-Scale Polymer Microspheres
- (1)
- At room temperature, 36 g of Span80 is weighed and added to 70 mL of paraffin oil. The mixture is mechanically stirred at a stirring speed of 150–160 r/min until a uniform solution is obtained, resulting in the oil-phase liquid.
- (2)
- In 25 g of water, 10 g of acrylamide (AM), 2 g of acrylic acid (AA), 3 g of 2-acrylamido-2-methyl propane sulfonic acid (AMPS), 0.045 g of N,N′-methylenebisacrylamide (MBA), and 3.2 g of TWEEN80 (polyoxyethylene sorbitan monooleate) are dissolved, and the pH is adjusted to neutral to obtain the core solution. In another 12 g of water, 5 g of acrylamide (AM), 1 g of acrylic acid (AA), 0.1 g of fatty alcohol polyethylene glycol ether methacrylate, and 0.06 g of polyethylene glycol diacrylate (PEGDA) are dissolved, and the pH is adjusted to neutral. Subsequently, 0.1 g of chromium acetate (DVB) is added to the solution and fully dissolved to obtain the shell solution.
- (3)
- The oil-phase liquid is added to a three-neck flask and mechanically stirred at 800 r/min. Under these conditions, 4/5 of the core solution is added dropwise. After the completion of the dropwise addition, stirring is continued for an additional 30 min. The stirring speed is then reduced to 300 r/min, and nitrogen gas is purged into the three-neck flask for 30 min. Subsequently, the temperature is raised to 60 °C, and 1.2 mL of a 1% ammonium persulfate (APS) solution is added dropwise to initiate the reaction. After 40 min, the remaining 1/5 of the core solution is added dropwise to the three-neck flask. Upon completion of the core solution addition, the shell solution is added dropwise to the three-neck flask. After the complete addition of the shell solution, 0.5 mL of a 1% APS solution is added dropwise. The polymerization reaction is allowed to proceed for 6 h, and polymer microspheres are obtained.
2.1.4. Structural Characterization of Nano-Sized Polymer Microspheres
- (1)
- Infrared spectrum characterization of polymer microspheres
- (2)
- Morphology of polymer microspheres
- (3)
- Particle size distribution of polymer microspheres
2.2. Evaluation of Physical and Chemical Properties of Polymer Microspheres
2.2.1. Evaluation of Temperature Resistance
2.2.2. Evaluation of Salt Tolerance
2.2.3. Evaluation of Expansion Performance
- (1)
- The effect of different salinity on the expansion properties of microspheres
- (2)
- The effect of different temperatures on the expansion properties of microspheres
2.2.4. Evaluation of Stability Performance
2.3. Evaluation of Profile Control Performance of Polymer Microspheres
2.3.1. Evaluation of Plugging Performance of Microsphere Particles
2.3.2. Evaluation of the Effect of Double-Tube Parallel Flow Steering of Polymer Microsphere Particles
2.3.3. Evaluation of the Enhanced Oil Recovery Effect of Polymer Microsphere Particles
2.3.4. Evaluation of Polymer Microsphere Particles Microporous Throat Migration-Plugging Oil Displacement Performance
3. Materials and Methods
3.1. Reagents and Instruments
3.2. Experimental Methods
- (1)
- Preparation of polymer microspheres: The three-component polymer microspheres, namely AM-AA-AMPS, were prepared using a reverse microemulsion polymerization method. Deionized water was selected as the aqueous phase, while paraffin oil was chosen as the oil phase. Ammonium persulfate, a water-soluble oxidizing agent, and sodium bisulfite, a reducing agent, were used as the initiators. N,N′-methylenebisacrylamide and polyethylene glycol diacrylate were used as the crosslinking agents. By incorporating the emulsifiers Span80 and Tween80, the reverse microemulsion polymerization method was employed to obtain nanoscale polymer microspheres with temperature and salt resistance, as well as delayed swelling characteristics.
- (2)
- Infrared spectroscopic characterization of polymer microspheres: The infrared characterization of the microspheres was performed using the potassium bromide (KBr) pellet method. A small amount of dry microsphere powder was mixed and ground with a small amount of KBr powder to obtain a fine powder. The mixture was uniformly spread in a mold, and pressure was applied to produce transparent thin pellets. These pellets were then placed on the sample holder of a Bruker infrared spectrometer for scanning. The scanning range was set between 400 and 4000 cm−1, and the infrared absorption spectra were measured and recorded [43].
- (3)
- Scanning electron microscopy evaluation of polymer microspheres: A small amount of dry microsphere powder was evenly dispersed onto a conductive adhesive attached to the sample stage to prepare the sample. The sample was then coated with a thin layer of gold using an ion sputtering device to prevent charge accumulation and ensure accurate results. The micro-scale morphology of the polymer microspheres was observed using a scanning electron microscope (SEM), and micrographs of the dry microspheres were captured at different magnifications, documenting their microscopic shape and structure [44,45].
- (4)
- Temperature Resistance Evaluation of Polymer Microspheres: A small amount of dry polymer microspheres is taken, and thermogravimetric analysis (TGA) is performed on the polymer microsphere samples using a TGA instrument. The temperature range is set from 0 to 800 °C, with a heating rate of 10 °C/min, under a nitrogen atmosphere. The sample is heated from room temperature to 800 °C, and the generated data are exported to generate a data curve for the temperature resistance evaluation of the polymer [46,47,48].
- (5)
- Evaluation of salt resistance of polymer microspheres: A certain amount of the prepared polymer microsphere dry powder was placed in deionized water and different salinity produced water samples. Polymer microsphere solutions were prepared by mixing the microsphere powder with the respective water samples. The solutions were then placed in a thermostatic chamber set at 25 °C. Samples were taken at intervals of 0 days, 3 days, 15 days, and 30 days. Each time, a small amount of the test solution was placed in an ultrasonic bath for dispersion. The dispersed solution was then transferred into a measuring tube, and the median particle size was measured using a particle size analyzer.
- (6)
- Evaluation of the swelling behavior of polymer microspheres: Experimental data on the influence of microsphere emulsion particle size under different salinity levels are collected. The swelling factor of the microspheres is calculated using Equation (1) to demonstrate the effect of salinity on the swelling capacity of the microspheres. Temperature is then introduced as a factor, and the particle size changes before and after swelling are measured using a laser particle size analyzer. A comparison is made between the prepared microspheres to evaluate their swelling performance.
- (1)
- Evaluation of the stability of polymer microspheres: A 100 mL volume of a 3 wt% microsphere solution was prepared using oilfield produced water with a salinity of 25,000 mg/L. The solution was transferred into a blue-capped reagent bottle and sealed. The bottle was then placed in a thermostatic chamber for aging, with the temperature set at 120 °C. At regular intervals, a portion of the microsphere solution was taken out and observed under an optical microscope at a magnification of 500×. The morphological characteristics of the microsphere particles were observed and recorded [49,50].
- (2)
- Evaluation of the plugging performance of polymer microspheres: Different formulations of polymer microsphere solutions were prepared for core flow experiments. A Φ3.8 cm × 100 cm sand-packed tube with four pressure measuring points was used. The pressure data at each measuring point were recorded during the water flooding, injection of polymer microsphere solution, and subsequent water flooding processes. The plugging efficiency of the polymer microspheres was calculated based on the pressure data [51].
- (1)
- Study of fluid flow diversion using dual-tube parallel flow with polymer microspheres: Dual-tube parallel oil displacement experiments were conducted using artificial cores with different permeabilities (Φ2.5 cm × 10 cm). The changes in effluent volume and pressure before and after plugging were recorded for both high- and low-permeability cores [28,52].
- (2)
- Study on the Enhanced Oil Recovery Effect of Polymer Microspheres: Dual-tube parallel oil displacement experiments were conducted using artificial cores with different permeabilities (Φ2.5 cm × 10 cm). Record the effluent volume and oil production at the outlet end of high- and low-permeability cores. Calculate the comprehensive water-cut and recovery factor of microspheres under different permeability gradients.
- (3)
- Study of the migration-plugging characteristics of polymer microspheres in microscopic pore throats: A saturated microfluidic glass etching model was prepared. The model was subjected to water flooding, injection of stained polymer microspheres (with methylene blue), and subsequent water flooding. Images of the model were processed using Image J software (the version number of this software is 1.54g) to study and analyze the microscopic distribution characteristics of oil and water during different displacement stages [53,54].
4. Conclusions
- (1)
- Temperature- and salt-resistant self-curing polymeric microspheres were synthesized by introducing temperature- and salt-resistant monomer AMPS and hydrophobic chains into a copolymerization reaction. The microspheres were synthesized using a reverse microemulsion polymerization method, resulting in nanoscale particles with regular spherical morphology.
- (2)
- The nanoscale polymeric microspheres exhibit temperature and salt resistance. Partial thermal weight loss was observed for the microspheres at temperatures as high as 295 °C. Under high-salinity conditions, the microspheres maintain a significant expansion ratio, reaching up to 4.17 times their original size. The expansion of the microspheres is facilitated by the strong hydrophilic groups present on the polymer chains, which interact with water. Moreover, the three-dimensional network structure of the microspheres, combined with internal entanglement, generates osmotic pressure that promotes water absorption and expansion.
- (3)
- Under high-temperature and high-salinity conditions, the polymeric microspheres exhibit agglomeration after 15 days of aging. However, even after 90 days of aging, they maintain a certain degree of self-curing. No significant hydrolysis occurs, indicating that the polymeric microspheres possess long-term stability.
- (4)
- The plugging efficiency, resistance coefficient, and residual resistance coefficient of the polymeric microspheres decrease with an increase in reservoir permeability. For a permeability of 980 × 10−3 μm2, the plugging efficiency is only 80.95%, while at a permeability of 263 × 10−3 μm2, the plugging efficiency reaches 89.02%. The nanoscale microspheres exhibit excellent plugging performance in low-permeability reservoirs.
- (5)
- Oil displacement and profile improvement effects mutually corroborate. When the permeability differential is 100, the plugging effect is poor, resulting in a recovery rate increase to only 54.1%. As the differential decreases, self-aggregating polymer microballs exhibit unique self-aggregation capabilities, significantly enhancing recovery rates in low-permeability layers and overall. The recovery rate increases at different differentials of 80, 40, and 10 are 17.5%, 20.3%, and 24.5%, respectively. Within the range of differentials from 10 to 80, oil displacement effectiveness significantly improves. Compared to conventional microballs, self-aggregating polymer microballs increase final recovery rates by 13.3%, marking a substantial improvement.
- (6)
- The polymeric microspheres plug the main flow channels with high permeability. Microscopic etched glass displacement experiments demonstrate that after the injection of polymeric microspheres, a flow diversion occurs, expanding the affected volume in the medium-to-low-permeability and non-mainstream regions. This leads to a 33.7% increase in oil recovery.
Author Contributions
Funding
Institutional Review Board Statement
Informed Consent Statement
Data Availability Statement
Conflicts of Interest
References
- Li, Y.; Li, Y.; Peng, Y.; Yu, Y. Water shutoff and profile control in China over 60 years. Oil Drill. Prod. Technol. 2019, 41, 773–787. [Google Scholar]
- Wang, X.; Guo, J.; Chen, J. Research Progress of Deep Profile Control Technology and Its Application. Oilfield Chem. 2020, 37, 738–744. [Google Scholar]
- Gbadamosi, A.O.; Junin, R.; Manan, M.A.; Agi, A.; Yusuff, A.S. An overview of chemical enhanced oil recovery: Recent advances and prospects. Int. Nano Lett. 2019, 9, 171–202. [Google Scholar] [CrossRef]
- Zhi, J.Q.; Liu, Y.K.; Chen, J.F.; Bo, L.F.; Qu, G.H.; Jiang, N.; He, W.Z. Preparation and Performance Evaluation of a Temperature and Salt Resistant Hydrophobic Associative Weak Polymer Gel System. Molecules 2023, 28, 3125. [Google Scholar] [CrossRef] [PubMed]
- Gbadamosi, A.O.; Junin, R.; Manan, M.A.; Yekeen, N.; Agi, A.; Oseh, J.O. Recent Advances and Prospects in Polymeric Nanofluids Application for Enhanced Oil Recovery. J. Ind. Eng. Chem. 2018, 66, 1–19. [Google Scholar] [CrossRef]
- Zhang, B.K.; Xu, G.R.; Tie, L.L. Optimization of technological parameters and evaluation of reservoir adaptation by water plugging and profile control: A case from Bohai SZ36-1 oilfield. Lithol. Reserv. 2017, 29, 155–161. [Google Scholar]
- Yang, C.C.; Yue, X.A.; Zhou, D.Y. Performance Evaluation of Polymer Microsphere with High Temperature Resistance and High Salinity Tolerance. Oilfield Chem. 2016, 33, 254–260. [Google Scholar]
- Sun, Q.; Zhang, N.; Li, Z.; Wang, Y. Nanoparticle-stabilized foam for mobility control in enhanced oil recovery. Energy Technol. 2016, 4, 1084–1096. [Google Scholar] [CrossRef]
- Saghafi, H.R. Retention characteristics of enhanced preformed particle gels (PPGs) in porous media: Conformance control implications. J. Pet. Sci. Eng. 2018, 166, 962–968. [Google Scholar] [CrossRef]
- Niu, L.; Lu, X.; Xiong, C.; Tang, X.; Wu, X.; Jia, X.; Zhang, S. Experimental study on gelling property and plugging effect of inorganic gel system (OMGL). Pet. Explor. Dev. 2013, 40, 780–784. [Google Scholar] [CrossRef]
- Lashari, Z.A.; Yang, H.; Zhu, Z.; Tang, X.; Cao, C.; Iqbal, M.W.; Kang, W. Experimental research of high strength thermally stable organic composite polymer gel. J. Mol. Liq. 2018, 263, 118–124. [Google Scholar] [CrossRef]
- Abdulbaki, M.; Huh, C.; Sepehrnoori, K.; Delshad, M.; Varavei, A. A critical review on use of polymer microgels for conformance control purposes. J. Pet. Sci. Eng. 2014, 122, 741–753. [Google Scholar] [CrossRef]
- Al-Ibadi, A.; Civan, F. Experimental investigation and correlation of treatment in weak and high-permeability formations by use of gel particles. SPE Prod. Oper. 2013, 28, 387–401. [Google Scholar] [CrossRef]
- Kim, D.; Krishnamoorti, R. Interfacial Activity of Poly [ oligo (ethylene oxide)-Cmonomethyl ether methacrylate]-Grafted Silica Nanoparticles. Ind. Eng. Chem. Res. 2015, 54, 3648–3656. [Google Scholar] [CrossRef]
- Wang, Z.; Lin, M.; Gu, M.; Dong, Z.; Zhang, J.; Yang, Z. Zr-Induced high temperature resistance of polymer microsphere based on double crosslinked structure. RSC Adv. 2018, 35, 19765–19775. [Google Scholar] [CrossRef] [PubMed]
- Li, X.; Qu, J.; Ju, Y.; Tang, Z.L.; Wang, S.; Qi, P.Y.; Liu, F.G.; Liu, X.F. Research progress of nano polymer microspheres for deep profile control and flooding. Chem. Ind. Eng. 2021, 38, 48–54. [Google Scholar]
- Zhao, H.Q.; Peng, B. Research Progress of Polymer Microspheres in Deep Profile Control Technology of Oilfield. Chem. Ind. Eng. Prog. 2021, 40, 75–80. [Google Scholar]
- Jing, B.; Feng, Q.H. Preparation and performance evaluation of polymer microspheres for deep profile control and flooding in heterogeneous reservoirs. Oilfield Chem. 2023, 40, 264–271. [Google Scholar]
- Zhu, Y.W.; Guo, Y.J.; Xu, H.; Pang, X.J.; Li, H.B. Preparation and Performance Evaluation of Hydrophobically Associating Polymer with TemperatureResistance and Salt Tolerance. Oilfield Chem. 2021, 38, 317–323. [Google Scholar]
- Hu, W.R.; Wei, Y.; Bao, J.W. Development of the theory and technology for low permeability reservoirs in China. Pet. Explor. Dev. 2018, 45, 685–697. [Google Scholar] [CrossRef]
- Yao, C.; Wang, D.; Wang, J.; Hou, J.; Lei, G.; Steenhuis, T.S. Effect of ionic strength on the transport and retention of polyacrylamide microspheres in reservoir water shutoff treatment. Ind. Eng. Chem. Res. 2017, 56, 8158–8168. [Google Scholar] [CrossRef]
- Yang, H.; Shao, S.; Zhu, T.; Chen, C.; Liu, S.; Zhou, B.; Hou, X.; Zhang, Y.; Kang, W. Shear resistance performance of low elastic polymer microspheres used for conformance control treatment. J. Ind. Eng. Chem. 2019, 79, 295–306. [Google Scholar] [CrossRef]
- Lou, Z.; Li, D.; Fan, A.; Du, Z.; Song, X. Study and applicationof pre-cross linked polymer particle flooding in eastern Wenliu Block25 of Zhongyuan Oilfield. J. Southw. Pet. Univ. 2012, 34, 125–132. [Google Scholar]
- Zhu, Q. Preparation and evaluation of profile control oil displacement microspheres by inverse emulsion polymerization. Southw. Pet. Univ. 2015, 6, 38–42. [Google Scholar]
- Fethi, G.; Kaddour, K.; Tesconi, M.; Alberto, B.; Carlo, C.; Angelo, G.G. El Borma-bright water-tertiary method of enhanced oil recovery for a mature field. In Proceedings of the SPE Production and Operations Conference and Exhibition, Tunis, Tunisia, 8–10 June 2010; 136140. pp. 8–10. [Google Scholar]
- Roussennac, B.; Toschi, C. Brightwater trial in Salema Field (Campos Basin, Brazil). In Proceedings of the SPE EUROPEC/EAGE Annual Conference and Exhibition, Barcelona, Spain, 14–17 June 2010; 131299. pp. 14–17. [Google Scholar]
- Lin, M.Q.; Zhao, Q.; Dang, S.M.; Yang, Z.H.; Dong, Z.X.; Zhang, J. Temperature resistance of AM/AMPS/NVP copolymer microspheres. Iran. Polym. J. 2020, 29, 445–453. [Google Scholar] [CrossRef]
- Pu, W.; Zhao, S.; Wang, S.; Wei, B.; Yuan, C.; Li, Y. Investigation into the migration of polymer microspheres (PMs) in porous media: Implications for profile control and oil displacement. Colloids Surf. A Physicochem. Eng. Asp. 2018, 540, 265–275. [Google Scholar] [CrossRef]
- Li, J.B.; Niu, L.W.; Wu, W.X.; Sun, M.F. The Reservoir Adaptability and Oil Displacement Mechanism of Polymer Microspheres. Polymers 2020, 12, 885. [Google Scholar] [CrossRef] [PubMed]
- Zhao, S.; Pu, W.; Wei, B.; Xu, X. A comprehensive investigation of polymer microspheres (PMs) migration in porous media: EOR implication. Fuel 2019, 235, 249–258. [Google Scholar] [CrossRef]
- Dai, C.; Liu, Y.; Zou, C.; You, Q.; Yang, S.; Zhao, M.; Zhao, G.; Wu, Y.; Sun, Y. Investigation on matching relationship between dispersed particle gel (DPG) and reservoir pore-throats for in-depth profile control. Fuel 2017, 207, 109–120. [Google Scholar] [CrossRef]
- Wang, B.; Lin, M.; Li, Q. The influence of the synthesis condition of phenolic resin on the performances of phenolic resin/acrylamide microspheres. Appl. Chem. Ind. 2017, 46, 620–624. [Google Scholar]
- Wang, Z.; Lin, M.; Xiang, Y.; Zeng, T.; Dong, Z.; Zhang, J.; Yang, Z. Zr-Induced thermostable polymeric nanospheres with double-cross-linked architectures for oil recovery. Energy Fuel 2019, 33, 10356–10364. [Google Scholar] [CrossRef]
- Chang, X.; Sun, J.; Lv, K.; Zhang, F. 2019 Research and application of a novel high temperature filter loss reducer. Drill. Fluid Complet. Fluid 2019, 36, 420–426. [Google Scholar]
- Dong, L.F.; Wang, M.; He, J.; Ding, M.C.; Lin, H. Experimental investigation of self-gathering microsphere on profile control in heterogeneous reservoir. J. Pet. Sci. Eng. 2021, 205, 108826. [Google Scholar] [CrossRef]
- Wang, B.; Lin, M.Q.; Guo, J.R.; Wang, D.L.; Xu, F.Q.; Li, M.Y. Plugging properties and profile control effects of crosslinked polyacrylamide microspheres. J. Appl. Polym. Sci. 2016, 133, 30. [Google Scholar] [CrossRef]
- Orowitz, T.E.; Sombo, P.P.P.A.A.; Rahayu, D.; Hasanah, A.N. Microsphere Polymers in Molecular Imprinting: Current and Future Perspectives. Molecules 2020, 25, 3256. [Google Scholar] [CrossRef] [PubMed]
- Cui, C.X.; Zhou, Z.J.; He, Z. Enhance oil recovery in low permeability reservoirs: Optimization and evaluation of ultra-high molecular weight HPAM / phenolic weak gel system. J. Pet. Sci. Eng. 2020, 195, 107908. [Google Scholar] [CrossRef]
- Tang, X.X.; Gao, J.C.; Wang, Q.X.; Liu, J.X.; Lu, X.G.; Xia, H.; Li, Y.Y.; Xing, J.F.; He, H. Performance evaluation and application effect of high temperature and salt resistant polymer microspheres. Oilfield Chem. 2022, 39, 425–430. [Google Scholar]
- Liu, J.T.; Guan, X.X.; He, T.E.; Zhong, X.H.; Yi, R.J.; Li, Y.; Zhou, M. Performance evaluation of nano polymer microsphere profile control agent. Chem. Eng. Oil Gas 2023, 52, 77–82. [Google Scholar]
- Dong, M.T.; Zhang, K.W.; Liu, G.; Liao, R.Q.; Li, Z.; Cheng, L. Preparation and performance evaluation of temperature-resistant and salt-resistant polymer microsphere gel system. Oilfield Chem. 2019, 36, 405–410. [Google Scholar]
- Kang, W.; Kang, X.; Lashari, Z.A.; Li, Z.; Zhou, B.; Yang, H.; Sarsenbekuly, B.; Aidarova, S. Progress of polymer gels for conformance control in oilfield. Adv. Colloid Interface Sci. 2021, 289, 102363. [Google Scholar] [CrossRef]
- Liu, L.; Gou, S.H.; Fang, S.W.; He, Y.; Tang, L. Organic-inorganic microspheres of temperature-controlled size for profile control. J. Mol. Liq. 2020, 317, 113993. [Google Scholar] [CrossRef]
- Zhang, S.; Wu, D.; Zhou, L.P. Characterization of Controlled Release Microspheres Using FIB-SEM and Image-Based Release Prediction. AAPS PharmSciTech 2020, 21, 194. [Google Scholar] [CrossRef] [PubMed]
- Zhu, D.Y.; Hou, J.R.; Chen, Y.G.; Zhao, S.D.; Bai, B.J. In Situ Surface Decorated Polymer Microsphere Technology for Enhanced Oil Recovery in High-Temperature Petroleum Reservoirs. Energy Fuels 2018, 32, 3312–3321. [Google Scholar] [CrossRef]
- Yang, C.; Yue, X.; He, J.; Zhou, J.; Li, C.; Chen, G. Synthesis and performance evaluation of high-temperature and high-salinity tolerance polymer microspheres. J. Chem. Soc. Pak. 2016, 39, 240–247. [Google Scholar]
- Tang, X.; Yang, H.; Gao, Y.; Lashari, Z.A.; Cao, C.; Kang, W. Preparation of a micron-size silica-reinforced polymer microsphere and evaluation of its properties as a plugging agent. Colloids Surf. A 2018, 547, 8–18. [Google Scholar] [CrossRef]
- Song, Z.Z.; Hu, J.H.; Liu, P.; Sun, Y.L. Synthesis and Performance Evaluation of Alginate-Coated Temperature-Sensitive Polymer Gel Microspheres. Gels 2023, 9, 480. [Google Scholar] [CrossRef]
- Yang, H.B.; Hu, L.L.; Tang, X.C.; Gao, Y.B.; Shao, S.; Zhang, X.F.; Wang, P.X.; Zhu, Z.; Kang, W.L. Preparation of a Fluorescent Polymer Microsphere and Stability Evaluation of its Profile Control System by a Fluorescence Stability Index. Colloids Surf. A 2018, 558, 512–519. [Google Scholar] [CrossRef]
- Li, Z.B.; Zhao, T.Y.; Lv, W.; Ma, B.; Hu, Q.W.; Ma, X.; Luo, Z.; Zhang, M.; Yu, Z.Z.; Yang, D.Z. Nanoscale Polyacrylamide Copolymer/Silica Hydrogel Microspheres with High Compressive Strength and Satisfactory Dispersion Stability for Efficient Profile Control and Plugging. Ind. Eng. Chem. Res. 2021, 60, 10193–10202. [Google Scholar] [CrossRef]
- Lin, R.Y.; Luo, P.Y.; Sun, Y.; Pan, Y.; Sun, L. Experimental Study on the Optimization of Multi-level Nano-Microsphere Deep Profile Control in the Process of Gas Injection in Fracture-Type Buried-Hill Reservoirs. ACS Omega 2021, 6, 24185–24195. [Google Scholar] [CrossRef]
- Li, J.; Liu, Y.; Na, Z.; Zeng, Z.; Jiang, H. Investigation on the Adaptability of the Polymer Microspheres for Fluid Flow Diversion in Porous Media. J. Dispers. Sci. Technol. 2014, 35, 120–129. [Google Scholar] [CrossRef]
- Lei, W.H.; Lu, X.K.; Wu, T.J.; Yang, H.E.; Wang, M.R. High-performance displacement by microgel-in-oil suspension in heterogeneous porous media: Microscale visualization and quantification. J. Colloid Interface Sci. 2022, 627, 848–861. [Google Scholar] [CrossRef] [PubMed]
- Wu, D.J.; Zhou, K.; Liu, Y.S.; Wei, B.; An, Z.B.; Zhao, D.; Hou, J. Pore-scale study on flow characteristics and enhanced oil recovery mechanisms of polymer microspheres in microchannels. Chem. Eng. Sci. 2023, 266, 118300. [Google Scholar] [CrossRef]



















| Absorption Peak/cm−1 | Corresponding Group (Stretching Vibration) | 
|---|---|
| 3345 | The N-H bond on -CONH | 
| 2965 | -CH2- | 
| 2842 | -CH3 | 
| 1781, 1542 | -C=O | 
| 1219, 1119, 1033 | -SO3− | 
| Blocking Agent | Reinjection Water | Anhydrous Ethanol | Kerosene | 
|---|---|---|---|
| nanoscale microsphere granule | there is agglomeration phenomenont | obvious reunion, and agglomerated particles are large | large-scale agglomeration | 
| Mineralization/mg | Swelling Time/d | |||
|---|---|---|---|---|
| 0 | 3 | 15 | 30 | |
| 0 | 0.51 μm | 2.61 μm | 2.92 μm | 2.92 μm | 
| 5000 | 0.49 μm | 2.09 μm | 2.56 μm | 2.56 μm | 
| 15,000 | 0.44 μm | 1.93 μm | 2.22 μm | 2.26 μm | 
| 25,000 | 0.41 μm | 1.75 μm | 2.06 μm | 2.10 μm | 
| Mineralization/mg | Expansion Time/d | |||||||
|---|---|---|---|---|---|---|---|---|
| 0 | 10 | 15 | 20 | 30 | 40 | 50 | 60 | |
| 0 | 0.53 μm | 2.16 μm | 2.86 μm | 3.15 μm | 3.27 μm | 3.26 μm | 3.25 μm | 3.23 μm | 
| 5000 | 0.50 μm | 1.76 μm | 2.12 μm | 2.45 μm | 2.65 μm | 2.64 μm | 2.63 μm | 2.61 μm | 
| 15,000 | 0.45 μm | 1.30 μm | 1.69 μm | 1.91 μm | 2.00 μm | 2.03 μm | 2.01 μm | 1.97 μm | 
| 25,000 | 0.41 μm | 1.05 μm | 1.35 μm | 1.62 μm | 1.66 μm | 1.71 μm | 1.67 μm | 1.62 μm | 
| Temperatures/°C | Expansion Time/d | |||||||
|---|---|---|---|---|---|---|---|---|
| 0 | 10 | 15 | 20 | 30 | 40 | 50 | 60 | |
| 25 | 0.45 μm | 1.01 μm | 1.49 μm | 1.77 μm | 1.84 μm | 1.87 μm | 1.85 μm | 1.82 μm | 
| 45 | 0.48 μm | 1.25 μm | 1.90 μm | 2.31 μm | 2.66 μm | 2.70 μm | 2.65 μm | 2.62 μm | 
| 75 | 0.51 μm | 1.89 μm | 2.70 μm | 3.25 μm | 3.49 μm | 3.48 μm | 3.42 μm | 3.40 μm | 
| 120 | 0.54 μm | 2.38 μm | 3.59 μm | 3.93 μm | 4.03 μm | 4.09 μm | 4.06 μm | 3.99 μm | 
| Numbering | Length/cm | Inside Diameter/cm | Porosity/% | Permeability/10−3 μm2 | 
|---|---|---|---|---|
| S-1 | 100 | 3.8 | 20.1 | 210 | 
| S-2 | 25.5 | 507 | ||
| S-3 | 28.6 | 712 | ||
| S-4 | 33.2 | 1106 | 
| Permeability/×10−3 μm2 | Resistance Coefficient | Residual Resistance Coefficient | Plugging Efficiency/% | 
|---|---|---|---|
| 263 | 2.77 | 9.09 | 89.02 | 
| 480 | 2.60 | 8.17 | 87.80 | 
| 683 | 2.44 | 7.27 | 86.31 | 
| 980 | 2.31 | 5.25 | 80.95 | 
| Permeability/×10−3 μm2 | Contrast | Types of Microspheres | Recovery Rate/% | ||
|---|---|---|---|---|---|
| High Permeability | Low Permeability | Before Injecting Microspheres | After Injecting Microspheres | ||
| 1000 | 10 | 100 | Self-cementing nanoscale polymeric microspheres | 41.3 | 54.1 | 
| 800 | 10 | 80 | 43.9 | 61.4 | |
| 800 | 20 | 40 | 45.3 | 65.6 | |
| 200 | 20 | 10 | 46.2 | 70.7 | |
| 200 | 20 | 10 | Conventional microspheres | 41.8 | 55.1 | 
| Disclaimer/Publisher’s Note: The statements, opinions and data contained in all publications are solely those of the individual author(s) and contributor(s) and not of MDPI and/or the editor(s). MDPI and/or the editor(s) disclaim responsibility for any injury to people or property resulting from any ideas, methods, instructions or products referred to in the content. | 
© 2024 by the authors. Licensee MDPI, Basel, Switzerland. This article is an open access article distributed under the terms and conditions of the Creative Commons Attribution (CC BY) license (https://creativecommons.org/licenses/by/4.0/).
Share and Cite
Qu, G.; Li, B.; Liu, Y.; Zhang, Z.; Bo, L.; Zhi, J.; Tian, X.; Bai, X.; Li, X.; Lv, Q. Preparation and Performance Evaluation of Self-Cementing Nanoscale Polymeric Microspheres with Salt and Temperature Tolerance. Molecules 2024, 29, 2596. https://doi.org/10.3390/molecules29112596
Qu G, Li B, Liu Y, Zhang Z, Bo L, Zhi J, Tian X, Bai X, Li X, Lv Q. Preparation and Performance Evaluation of Self-Cementing Nanoscale Polymeric Microspheres with Salt and Temperature Tolerance. Molecules. 2024; 29(11):2596. https://doi.org/10.3390/molecules29112596
Chicago/Turabian StyleQu, Guohui, Bowen Li, Yikun Liu, Zilu Zhang, Lifeng Bo, Jiqiang Zhi, Xuebin Tian, Xiaorui Bai, Xiunan Li, and Qi Lv. 2024. "Preparation and Performance Evaluation of Self-Cementing Nanoscale Polymeric Microspheres with Salt and Temperature Tolerance" Molecules 29, no. 11: 2596. https://doi.org/10.3390/molecules29112596
APA StyleQu, G., Li, B., Liu, Y., Zhang, Z., Bo, L., Zhi, J., Tian, X., Bai, X., Li, X., & Lv, Q. (2024). Preparation and Performance Evaluation of Self-Cementing Nanoscale Polymeric Microspheres with Salt and Temperature Tolerance. Molecules, 29(11), 2596. https://doi.org/10.3390/molecules29112596
 
        


 
       