An N-Rich Polymer for the Selective Recovery of Gold from Wastewater
Abstract
1. Introduction
2. Results
2.1. Characterization and Chemical Properties
2.2. Adsorption Properties
2.2.1. Effect of pH on Adsorption Experiments
2.2.2. Effect of Adsorbent Dosage
2.2.3. Thermodynamic Studies
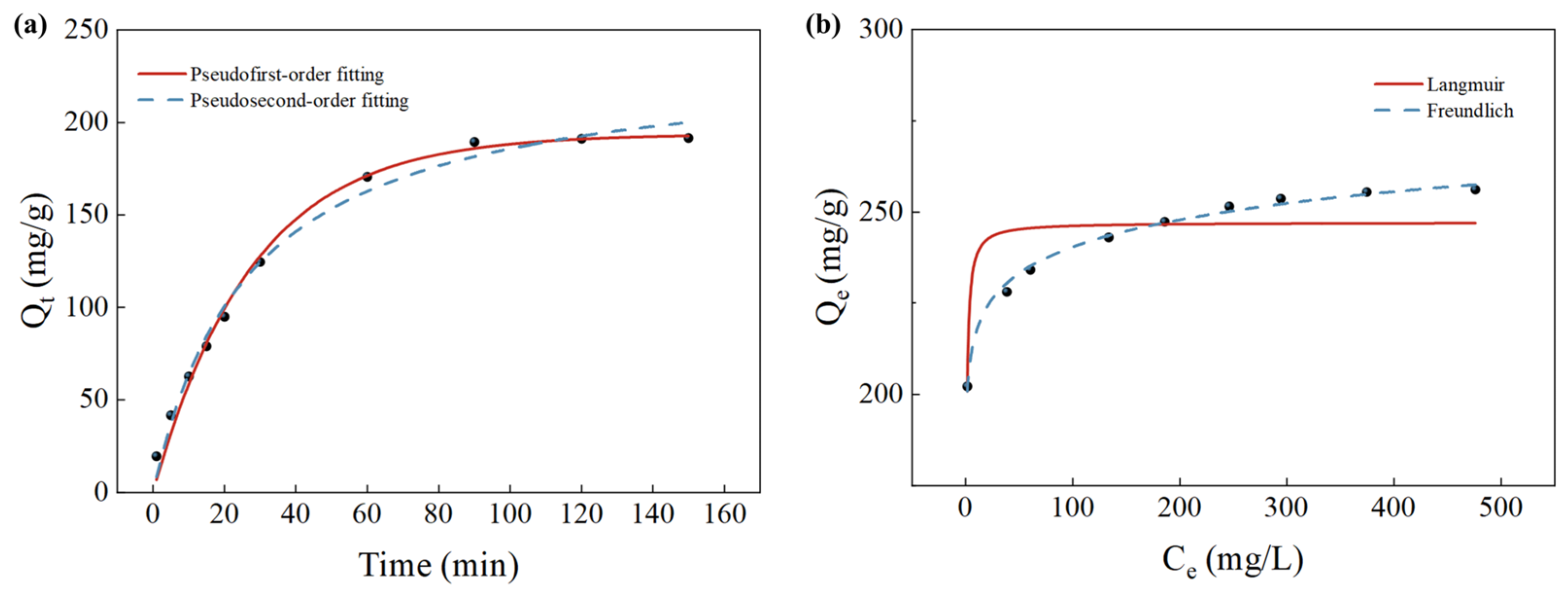
2.2.4. Kinetic Studies
2.2.5. Adsorption Isotherms
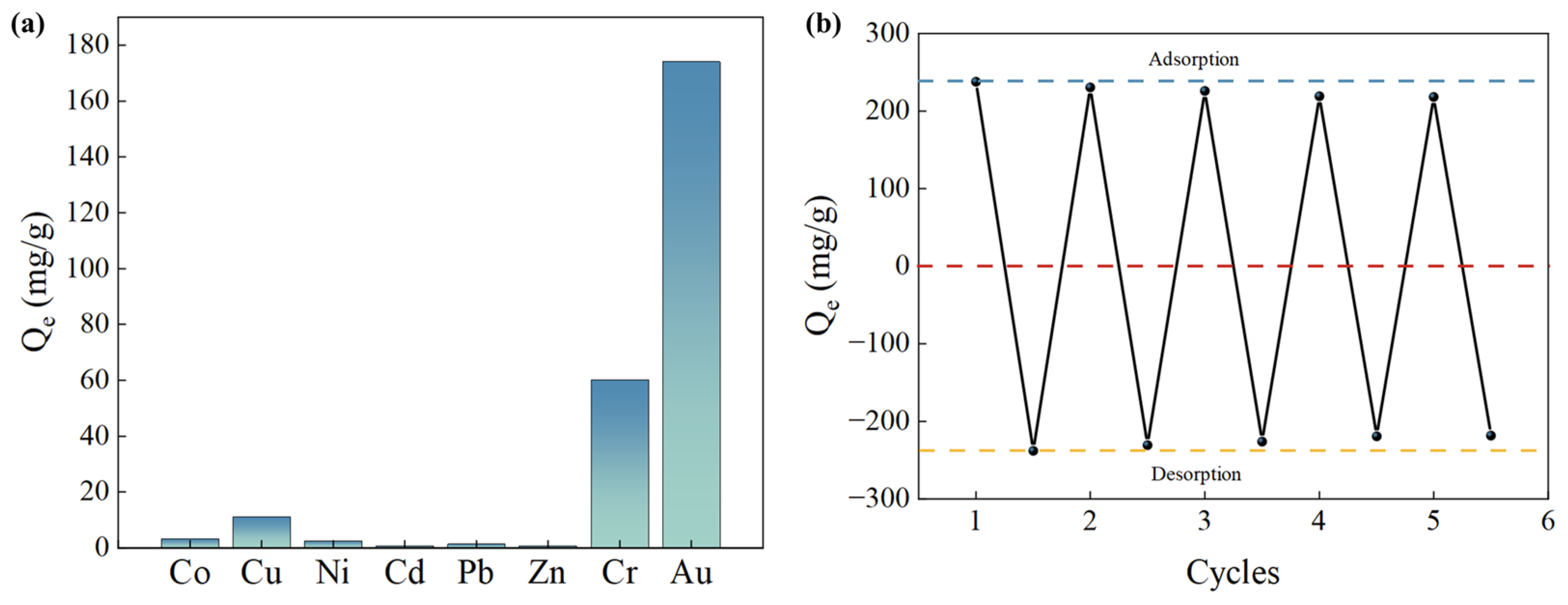
2.3. Selectivity and Recycling Studies
2.4. Mechanism Studies
3. Materials and Methods
3.1. Materials and Instruments
3.2. Preparation of TE
3.3. Adsorption Experiments
3.4. DFT Calculations
4. Conclusions
Author Contributions
Funding
Institutional Review Board Statement
Informed Consent Statement
Data Availability Statement
Conflicts of Interest
References
- Li, J.; Liu, C.; Liu, Y. Au/Graphene Hydrogel: Synthesis, Characterization and Its Use for Catalytic Reduction of 4-Nitrophenol. J. Mater. Chem. 2012, 22, 8426. [Google Scholar] [CrossRef]
- Drost, E.; Haußelt, J. Uses of Gold in Jewellery. Interdiscip. Sci. Rev. 1992, 17, 271–280. [Google Scholar] [CrossRef]
- Bhoyare, V.W.; Sosa Carrizo, E.D.; Chintawar, C.C.; Gandon, V.; Patil, N.T. Gold-Catalyzed Heck Reaction. J. Am. Chem. Soc. 2023, 145, 8810–8816. [Google Scholar] [CrossRef]
- Torres, R.; Lapidus, G.T. Copper Leaching from Electronic Waste for the Improvement of Gold Recycling. Waste Manag. 2016, 57, 131–139. [Google Scholar] [CrossRef]
- Aguilera, R.F.; Radetzki, M. The Synchronized and Exceptional Price Performance of Oil and Gold: Explanations and Prospects. Resour. Policy 2017, 54, 81–87. [Google Scholar] [CrossRef]
- Su-Gallegos, J.; Magallón-Cacho, L.; Ramírez-Aparicio, J.; Borja-Arco, E. Synthesis of Gold Nanoparticles from Gold Coatings Recovered from E-Waste Processors. Materials 2022, 15, 7307. [Google Scholar] [CrossRef] [PubMed]
- Nogueira, A.F.M.; Carreira, A.R.F.; Vargas, S.J.R.; Passos, H.; Schaeffer, N.; Coutinho, J.A.P. Simple Gold Recovery from E-Waste Leachate by Selective Precipitation Using a Quaternary Ammonium Salt. Sep. Purif. Technol. 2023, 316, 123797. [Google Scholar] [CrossRef]
- Billah, A.A.; Pujiyanto, A.; Hambali; Lestari, E. Recovery of Gold from Radioactive Gold Waste Using The Redox Replacement Method with Zn-Foil Reductor. IOP Conf. Ser. Mater. Sci. Eng. 2019, 546, 022002. [Google Scholar] [CrossRef]
- Raeisi, Z.; Farajmand, B.; Nakhostin Panahi, P.; Yaftian, M.R. Gold Recovery from Electronic Wastes Using a Solvent Extraction/Selective Back-Extraction Strategy. Sep. Sci. Technol. 2023, 58, 2961–2970. [Google Scholar] [CrossRef]
- Chang, Z.; Li, F.; Qi, X.; Jiang, B.; Kou, J.; Sun, C. Selective and Efficient Adsorption of Au (III) in Aqueous Solution by Zr-Based Metal-Organic Frameworks (MOFs): An Unconventional Way for Gold Recycling. J. Hazard. Mater. 2020, 391, 122175. [Google Scholar] [CrossRef]
- Guo, J.; Fan, X.; Li, Y.; Yu, S.; Zhang, Y.; Wang, L.; Ren, X. Mechanism of Selective Gold Adsorption on Ion-Imprinted Chitosan Resin Modified by Thiourea. J. Hazard. Mater. 2021, 415, 125617. [Google Scholar] [CrossRef]
- Hou, K.; Xu, X.; Xiang, Y.; Chen, X.; Lam, S.S.; Naushad, M.; Sonne, C.; Ge, S. Rapid Uptake of Gold Ions by Sulfonated Humic Acid Modified Phenolic Resin with High Adsorption Capacity and Selectivity. Adv. Compos. Hybrid. Mater. 2023, 6, 77. [Google Scholar] [CrossRef]
- Mei, D.; Yan, B. A 2D Acridine-Based Covalent Organic Framework for Selective Detection and Efficient Extraction of Gold from Complex Aqueous-Based Matrices. Angew. Chem. Int. Ed. 2024, 2024, e202402205. [Google Scholar] [CrossRef] [PubMed]
- Qian, H.; Meng, F.; Yang, C.; Yan, X. Irr eVersible Amide-Linked Covalent Organic Framework for Selective and Ultrafast Gold Recovery. Angew. Chem. Int. Ed. 2020, 59, 17607–17613. [Google Scholar] [CrossRef] [PubMed]
- Ke, F.; Pan, A.; Liu, J.; Liu, X.; Yuan, T.; Zhang, C.; Fu, G.; Peng, C.; Zhu, J.; Wan, X. Hierarchical Camellia-like Metal–Organic Frameworks via a Bimetal Competitive Coordination Combined with Alkaline-Assisted Strategy for Boosting Selective Fluoride Removal from Brick Tea. J. Colloid Interface Sci. 2023, 642, 61–68. [Google Scholar] [CrossRef] [PubMed]
- Li, L.; Zou, J.; Han, Y.; Liao, Z.; Lu, P.; Nezamzadeh-Ejhieh, A.; Liu, J.; Peng, Y. Recent Advances in Al(iii)/In(iii)-Based MOFs for the Detection of Pollutants. New J. Chem. 2022, 46, 19577–19592. [Google Scholar] [CrossRef]
- Zheng, M.; Chen, J.; Zhang, L.; Cheng, Y.; Lu, C.; Liu, Y.; Singh, A.; Trivedi, M.; Kumar, A.; Liu, J. Metal Organic Frameworks as Efficient Adsorbents for Drugs from Wastewater. Mater. Today Commun. 2022, 31, 103514. [Google Scholar] [CrossRef]
- Wang, Y.; Lu, Q.; Cui, X.; Lu, W. Enhanced Recovery of Au(III) under Neutral pH Conditions Using Polysulfide-Porphyrin Polymers. ACS Appl. Polym. Mater. 2024, 6, 1449–1459. [Google Scholar] [CrossRef]
- Preetam, A.; Modak, A.; Naik, S.N.; Pant, K.K.; Kumar, V. Realistic Approach for Recovering Gold from Waste Electronics by Thiourea Leaching and Adsorption Using a Covalent Porphyrin/Triphenylamine-Based Porous Polymer. ACS Appl. Polym. Mater. 2024, 6, 3676–3689. [Google Scholar] [CrossRef]
- Chen, S.; Zhao, L.; Li, X.; Chen, Z.; Hu, X.; Zi, F. Constructing a Cationic Pyridine for the Highly Selective and Efficient Recovery of Gold from Waste Printed Circuit Boards. Chem. Eng. J. 2024, 483, 149325. [Google Scholar] [CrossRef]
- Wang, C.; Zhao, J.; Wang, S.; Zhang, L.; Zhang, B. Efficient and Selective Adsorption of Gold Ions from Wastewater with Polyaniline Modified by Trimethyl Phosphate: Adsorption Mechanism and Application. Polymers 2019, 11, 652. [Google Scholar] [CrossRef]
- Zhao, H.; Li, T.; Zhang, M.; Peng, X.; Xu, C.; Su, J.; Yang, Z.; Liu, X.; Sun, G.; Cui, Y. Enhanced Removal of Pb2+ and Congo Red from Aqueous Solutions Using Hierarchically Porous Melamine Sponge/Polyvinyl Alcohol/Zr-MOF Composites. J. Environ. Chem. Eng. 2024, 12, 112361. [Google Scholar] [CrossRef]
- Sayın, M.; Can, M.; İmamoğlu, M.; Arslan, M. 1,3,5-Triazine-Pentaethylenehexamine Polymer for the Adsorption of Palladium (II) from Chloride-Containing Solutions. React. Funct. Polym. 2015, 88, 31–38. [Google Scholar] [CrossRef]
- Guo, Y.; Wang, J.; Duan, T.; Wu, Q.; Yang, X.; Wang, C.; Wang, Z. In Site Preparation of Core-Shell Magnetic Triazine Functionalized Hyper-Crosslinking Polymers as Adsorbent for Efficient Enrichment of Benzoyl Urea Insecticides. Food Control 2023, 151, 109819. [Google Scholar] [CrossRef]
- Wang, C.; Li, M.; Chen, X.; Wang, Q.; Li, S.; Liu, W.; Hao, L.; Wu, Q.; Shi, X. Preparation of Amino-Functionalized Triazine-Based Hyper-Crosslinked Polymer for Efficient Adsorption of Endocrine Disruptors. Talanta 2024, 266, 125142. [Google Scholar] [CrossRef] [PubMed]
- Liu, X.; Wang, Y.; Wu, X.; Wang, Y.; Fan, G.; Huang, Y.; Zhang, L. Preparation of Magnetic DTPA-Modified Chitosan Composite Microspheres for Enhanced Adsorption of Pb(II) from Aqueous Solution. Int. J. Biol. Macromol. 2024, 264, 130410. [Google Scholar] [CrossRef]
- Zhang, W.; Deng, X.; Ye, S.; Xia, Y.; Li, L.; Li, W.; He, H. Selective Removal and Recovery of Ni(ii) Using a Sulfonic Acid-Based Magnetic Rattle-Type Ion-Imprinted Polymer: Adsorption Performance and Mechanisms. RSC Adv. 2022, 12, 34571–34583. [Google Scholar] [CrossRef]
- Gao, X.; Liu, J.; Li, M.; Guo, C.; Long, H.; Zhang, Y.; Xin, L. Mechanistic Study of Selective Adsorption and Reduction of Au (III) to Gold Nanoparticles by Ion-Imprinted Porous Alginate Microspheres. Chem. Eng. J. 2020, 385, 123897. [Google Scholar] [CrossRef]
- Wang, N.; Song, F.; Niu, Y.; Chen, W.; Liu, B.; Xie, W. Three-Dimensional-Printed Calcium Alginate/Graphene Oxide Porous Adsorbent with Super-High Lead Ion Adsorption Ability in Aqueous Solution. Sep. Purif. Technol. 2023, 326, 124757. [Google Scholar] [CrossRef]
- Wang, C.; Lin, G.; Zhao, J.; Wang, S.; Zhang, L. Enhancing Au(III) Adsorption Capacity and Selectivity via Engineering MOF with Mercapto-1,3,4-Thiadiazole. Chem. Eng. J. 2020, 388, 124221. [Google Scholar] [CrossRef]
- Wu, C.; Zhu, X.; Wang, Z.; Yang, J.; Li, Y.; Gu, J. Specific Recovery and In Situ Reduction of Precious Metals from Waste To Create MOF Composites with Immobilized Nanoclusters. Ind. Eng. Chem. Res. 2017, 56, 13975–13982. [Google Scholar] [CrossRef]
- Ying, Z.; Liu, S.; Wei, Q.; Ren, X. A Pilot Scale Test Study with Theoretical Justification of Reaction Mechanism for the Recovery of Chromium(VI) Based on Solvent Extraction Using Novel Centrifugal Extractors. Hydrometallurgy 2024, 223, 106210. [Google Scholar] [CrossRef]
- Lu, T.; Chen, F. Multiwfn: A Multifunctional Wavefunction Analyzer. J. Comput. Chem. 2012, 33, 580–592. [Google Scholar] [CrossRef] [PubMed]
- Diao, Z.; Zhang, L.; Li, Q.; Gao, X.; Gao, X.; Seliem, M.K.; Dhaoudi, F.; Sellaoui, L.; Deng, S.; Bonilla-Petriciolet, A.; et al. Adsorption of Food Dyes from Aqueous Solution on a Sweet Potato Residue-Derived Carbonaceous Adsorbent: Analytical Interpretation of Adsorption Mechanisms via Adsorbent Characterization and Statistical Physics Modeling. Chem. Eng. J. 2024, 482, 148982. [Google Scholar] [CrossRef]
- Hou, L.; Yang, C.; Rao, X.; Hu, L.; Bao, Y.; Gao, Y.; Zhu, X. Fabrication of Recoverable Magnetic Surface Ion-Imprinted Polymer Based on Graphene Oxide for Fast and Selective Removal of Lead Ions from Aqueous Solution. Colloids Surf. A Physicochem. Eng. Asp. 2021, 625, 126949. [Google Scholar] [CrossRef]
- Hu, B.; Yang, M.; Huang, H.; Song, Z.; Tao, P.; Wu, Y.; Tang, K.; Chen, X.; Yang, C. Triazine-Crosslinked Polyethyleneimine for Efficient Adsorption and Recovery of Gold from Wastewater. J. Mol. Liq. 2022, 367, 120586. [Google Scholar] [CrossRef]









| Category | TE |
|---|---|
| Surface area (m2/g) | 80.1599 |
| Average pore size (nm) | 11.3548 |
| Total pore volume (cm3/g) | 0.262001 |
| Adsorbent | Temperature (K) | ΔG (kJ/mol) | ΔH (kJ/mol) | ΔS (kJ/mol·K) |
|---|---|---|---|---|
| TE | 298 | −18.67 | 24.87 | 0.087 |
| 308 | −19.44 | |||
| 318 | −20.41 | |||
| 328 | −22.58 | |||
| 338 | −24.44 |
| Pseudo-First-Order Kinetic Model | Pseudo-Second-Order Kinetic Model | ||||||
|---|---|---|---|---|---|---|---|
| Adsorbent TE | K1 | Qe, cal | R12 | K2 | Qe, cal | R22 | |
| 0.03595 | 193.61 | 0.991 | 0.00016 | 235.60 | 0.988 | ||
| Langmuir | Freundlich | ||||||
|---|---|---|---|---|---|---|---|
| Adsorbent | Qe, exp | KL | Qm | R12 | KF | n | R22 |
| TE | 256.19 | 2.57309 | 247.14 | 0.699 | 196.35724 | 22.75606 | 0.993 |
| Metal Ion | Distribution Ratio (D) (mL/g) | Selectivity Coefficient (k) |
|---|---|---|
| Co | 32.87 | 1497.08 |
| Cu | 136.95 | 359.34 |
| Ni | 31.76 | 1549.60 |
| Cd | 7.03 | 6997.04 |
| Pb | 12.68 | 3880.83 |
| Zn | 7.81 | 6304.25 |
| Cr | 781.61 | 62.96 |
| Au | 49,213.46 | 1 |
| Number | Atom | N | N + 1 | N − 1 | f(r)+ | f(r)− |
|---|---|---|---|---|---|---|
| 1 | N | −0.692 | −0.726 | −0.631 | 0.034 | 0.061 |
| 2 | C | 0.638 | 0.511 | 0.633 | 0.127 | 0.005 |
| 3 | N | −0.679 | −0.804 | −0.437 | 0.125 | 0.242 |
| 19 | N | −0.613 | −0.659 | 0.490 | 0.046 | 1.103 |
| 21 | C | −0.445 | −0.435 | −0.453 | −0.010 | −0.008 |
Disclaimer/Publisher’s Note: The statements, opinions and data contained in all publications are solely those of the individual author(s) and contributor(s) and not of MDPI and/or the editor(s). MDPI and/or the editor(s) disclaim responsibility for any injury to people or property resulting from any ideas, methods, instructions or products referred to in the content. |
© 2024 by the authors. Licensee MDPI, Basel, Switzerland. This article is an open access article distributed under the terms and conditions of the Creative Commons Attribution (CC BY) license (https://creativecommons.org/licenses/by/4.0/).
Share and Cite
Dong, H.; Shang, G.; Zhang, Y.; Dai, E.; Shao, M.; Chen, C.; He, H.; Nie, Z.; Xiong, M.; Miao, D.; et al. An N-Rich Polymer for the Selective Recovery of Gold from Wastewater. Molecules 2024, 29, 2398. https://doi.org/10.3390/molecules29102398
Dong H, Shang G, Zhang Y, Dai E, Shao M, Chen C, He H, Nie Z, Xiong M, Miao D, et al. An N-Rich Polymer for the Selective Recovery of Gold from Wastewater. Molecules. 2024; 29(10):2398. https://doi.org/10.3390/molecules29102398
Chicago/Turabian StyleDong, Haonan, Ge Shang, Yi Zhang, Enrui Dai, Mingdong Shao, Chunfeng Chen, Hongxing He, Zhifeng Nie, Mingyang Xiong, Deren Miao, and et al. 2024. "An N-Rich Polymer for the Selective Recovery of Gold from Wastewater" Molecules 29, no. 10: 2398. https://doi.org/10.3390/molecules29102398
APA StyleDong, H., Shang, G., Zhang, Y., Dai, E., Shao, M., Chen, C., He, H., Nie, Z., Xiong, M., Miao, D., & Zhao, S. (2024). An N-Rich Polymer for the Selective Recovery of Gold from Wastewater. Molecules, 29(10), 2398. https://doi.org/10.3390/molecules29102398

