Quality and Flavor Difference in Dry-Cured Meat Treated with Low-Sodium Salts: An Emphasis on Magnesium
Abstract
1. Introduction
2. Results
2.1. Effect of Low-Sodium Salts on the Physicochemical Properties of Dry-Cured Meat
2.1.1. Metal Ion Content, Weight Loss, Moisture, Water Activity, and Water State of Dry-Cured Meat
2.1.2. pH, Shear Force, and Color
2.1.3. Effects of Low-Sodium Salt on Fat Oxidation of Dry-Cured Meat
2.2. Effect of Low-Sodium Salts on the Aroma of Dry-Cured Meat
2.2.1. Volatile Compound Profile
2.2.2. Aroma in Dry-Cured Meat Determined by Electronic Nose
2.3. Effect of Low-Sodium Salts on the Taste of Dry-Cured Meat
2.3.1. Molecular Weight Distribution of Peptides
2.3.2. Free Amino Acid Contents in Dry-Cured Meat
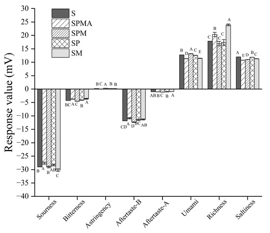
2.3.3. Taste Analysis by Electronic Tongue
2.4. Effect of Low-Sodium Salts on Sensory Scores of Dry-Cured Meat
2.5. Principal Component Analysis (PCA) of Physicochemical Properties, Aroma, Taste, and Sensory Scores
3. Materials and Methods
3.1. Materials
3.2. Preparations of Dry-Cured Meat
- (1)
- S (control): 100% NaCl, ionic strength 1.160 mol/g;
- (2)
- SPMA: 59.375% NaCl+28% KCl+12% MgCl2+0.625% L-arginine (Arg), ionic strength 1.160 mol/g;
- (3)
- SPM: 60% NaCl+28% KCl+12% MgCl2, ionic strength 1.085 mol/g;
- (4)
- SP: 72% NaCl+28% KCl, ionic strength 1.055 mol/g;
- (5)
- SM: 88% NaCl+12% MgCl2, ionic strength 1.190 mol/g.
3.3. Sodium, Potassium, and Magnesium Content
3.4. Weight Loss
3.5. Moisture Content and Water Activity (Aw)
3.6. Low-Field 1H NMR Measurements
3.7. pH
3.8. Shear Force
3.9. Surface Color
3.10. Thiobarbituric Acid (TBA) Values
3.11. Volatile Compound Measurement
3.12. Electronic Tongue Detection
3.13. Peptide Molecular Weight Distribution Determination
3.14. Free Amino Acid Measurement
3.15. Electronic Nose Detection
3.16. Sensory Analysis
3.17. Statistical Analysis
4. Conclusions
Supplementary Materials
Author Contributions
Funding
Institutional Review Board Statement
Informed Consent Statement
Data Availability Statement
Conflicts of Interest
References
- Vidal, V.A.S.; Lorenzo, J.M.; Munekata, P.E.S.; Pollonio, M.A.R. Challenges to reduce or replace NaCl by chloride salts in meat products made from whole pieces—A review. Crit. Rev. Food Sci. Nutr. 2021, 61, 2194–2206. [Google Scholar] [CrossRef]
- Laureati, M.; Buratti, S.; Giovanelli, G.; Corazzin, M.; Lo Fiego, D.P.; Pagliarini, E. Characterization and differentiation of Italian Parma, San Daniele and Toscano dry-cured hams: A multi-disciplinary approach. Meat Sci. 2014, 96, 288–294. [Google Scholar] [CrossRef] [PubMed]
- WHO Collaborating Centre on Population Salt Reduction; The George Institute for Global Health. Changes in the salt levels in processed meat 2010–2017. In Food Policy; WHO: Geneva, Switzerland, 2017. [Google Scholar]
- WHO. Sodium Intake for Adults and Children. Available online: https://www.who.int/en/news-room/fact-sheets/detail/salt-reduction (accessed on 25 April 2024).
- Wang, X.; Yi, Y.; Guo, C.; Wang, X.; Yu, J.; Xia, S. Enhanced sodium release and saltiness perception of surimi gels by microwave combined with water bath heating. Food Hydrocoll. 2023, 134, 108899. [Google Scholar] [CrossRef]
- Gong, X.; Jing, W.; Yeling, Z.; Ying, Z.; Qiujin, Z.; Linggao, L.; Dan, C.; Yanpei, H.; Sha, G.; Mingming, L. Mediated curing strategy: An overview of salt reduction for dry-cured meat products. Food Rev. Int. 2022, 39, 4565–4580. [Google Scholar]
- Pinna, A.; Saccani, G.; Schivazappa, C.; Simoncini, N.; Virgili, R. Revision of the cold processing phases to obtain a targeted salt reduction in typical Italian dry-cured ham. Meat Sci. 2020, 161, 107994. [Google Scholar] [CrossRef] [PubMed]
- Li, M.; Zhang, X.; Yin, Y.; Li, J.; Qu, C.; Liu, L.; Zhang, Y.; Zhu, Q.; Wang, S. Perspective of sodium reduction based on endogenous proteases via the strategy of sodium replacement in conjunction with mediated-curing. Crit. Rev. Food Sci. Nutr. 2023; 1–12, Online ahead of print. [Google Scholar]
- Pedro, D.; Saldana, E.; Lorenzo, J.M.; Pateiro, M.; Dominguez, R.; Dos Santos, B.A.; Cichoski, A.J.; Campagnol, P.C.B. Low-sodium dry-cured rabbit leg: A novel meat product with healthier properties. Meat Sci. 2021, 173, 108372. [Google Scholar] [CrossRef]
- Armenteros, M.; Aristoy, M.C.; Barat, J.M.; Toldra, F. Biochemical and sensory changes in dry-cured ham salted with partial replacements of NaCl by other chloride salts. Meat Sci. 2012, 90, 361–367. [Google Scholar] [CrossRef]
- Wu, H.; Zhang, Y.; Long, M.; Tang, J.; Yu, X.; Wang, J.; Zhang, J. Proteolysis and sensory properties of dry-cured bacon as affected by the partial substitution of sodium chloride with potassium chloride. Meat Sci. 2014, 96, 1325–1331. [Google Scholar] [CrossRef]
- Wu, H.; Zhuang, H.; Zhang, Y.; Tang, J.; Yu, X.; Long, M.; Wang, J.; Zhang, J. Influence of partial replacement of NaCl with KCl on profiles of volatile compounds in dry-cured bacon during processing. Food Chem. 2015, 172, 391–399. [Google Scholar] [CrossRef]
- Lee, Y.S.; Zhekov, Z.G.; Owens, C.M.; Kim, M.; Meullenet, J.F. Effects of partial and complete replacement of sodium chloride with potassium chloride on the texture, flavor and water-holding capacity of marinated broiler breast fillets. J. Texture Stud. 2012, 43, 124–132. [Google Scholar] [CrossRef]
- Nachtigall, F.M.; Vidal, V.A.S.; Pyarasani, R.D.; Dominguez, R.; Lorenzo, J.M.; Pollonio, M.A.R.; Santos, L.S. Substitution effects of NaCl by KCl and CaCl2 on lipolysis of salted meat. Foods 2019, 8, 595. [Google Scholar] [CrossRef]
- Li, F.; Zhuang, H.; Qiao, W.; Zhang, J.; Wang, Y. Effect of partial substitution of NaCl by KCl on physicochemical properties, biogenic amines and N-nitrosamines during ripening and storage of dry-cured bacon. J. Food Sci. Technol. 2016, 53, 3795–3805. [Google Scholar] [CrossRef]
- Xiong, Y.L.; Brekke, C.J. Gelation properties of chicken myofibrils treated with calcium and magnesium chlorides. J. Muscle Foods 1991, 1, 21–36. [Google Scholar] [CrossRef]
- Alino, M.; Grau, R.; Toldra, F.; Barat, J.M. Physicochemical changes in dry-cured hams salted with potassium, calcium and magnesium chloride as a partial replacement for sodium chloride. Meat Sci. 2010, 86, 331–336. [Google Scholar] [CrossRef]
- Alino, M.; Grau, R.; Toldra, F.; Blesa, E.; Pagan, M.J.; Barat, J.M. Influence of sodium replacement on physicochemical properties of dry-cured loin. Meat Sci. 2009, 83, 423–430. [Google Scholar] [CrossRef]
- Luo, H.; Guo, C.; Lin, L.; Si, Y.; Gao, X.; Xu, D.; Jia, R.; Yang, W. Combined use of rheology, LF-NMR, and MRI for characterizing the gel properties of hairtail surimi with potato starch. Food Bioprocess Technol. 2020, 13, 637–647. [Google Scholar] [CrossRef]
- Yalınkılıç, B.; Kaban, G.; Kaya, M. Effect of sodium replacement on the quality characteristics of pastırma (a dry-cured meat product). Food Sci. Hum. Wellness 2023, 12, 266–274. [Google Scholar] [CrossRef]
- Lorenzo, J.M.; Bermúdez, R.; Domínguez, R.; Guiotto, A.; Franco, D.; Purriños, L. Physicochemical and microbial changes during the manufacturing process of dry-cured lacón salted with potassium, calcium and magnesium chloride as a partial replacement for sodium chloride. Food Control. 2015, 50, 763–769. [Google Scholar] [CrossRef]
- Ning, C.; Bao, P.; Zhang, D.; Li, L.; Chen, L.; Fang, H.; Tang, Y.; Zhou, C. Reduction and coordination properties of L-lysine/L-arginine/L-cysteine for the improvement of the color of cured sausage. Food Chem. 2020, 312, 126122. [Google Scholar] [CrossRef]
- Zhu, X.; Ning, C.; Li, S.; Xu, P.; Zheng, Y.; Zhou, C. Effects of L-lysine/L-arginine on the emulsion stability, textural, rheological and microstructural characteristics of chicken sausages. Int. J. Food Sci. Technol. 2017, 53, 88–96. [Google Scholar] [CrossRef]
- Zheng, Y.; Xu, P.; Li, S.; Zhu, X.; Chen, C.; Zhou, C. Effects of L-lysine/L-arginine on the Physicochemical properties and quality of sodium-reduced and phosphate-free pork sausage. Int. J. Nutr. Food Sci. 2017, 6, 12–18. [Google Scholar] [CrossRef]
- Pilar, H.N.; Donkeun, P.; Rhee, K.S. Chloride salt type/ionic strength, muscle site and refrigeration effects on antioxidant enzymes and lipid oxidation in pork. Meat Sci. 2001, 61, 405–410. [Google Scholar]
- Dos Santos, B.A.; Campagnol, P.C.B.; Fagundes, M.B.; Wagner, R.; Pollonio, M.A.R. Generation of volatile compounds in Brazilian low-sodium dry fermented sausages containing blends of NaCl, KCl, and CaC12 during processing and storage. Food Res. Int. 2015, 74, 306–314. [Google Scholar] [CrossRef] [PubMed]
- Rosario, R.; Cava, R. Volatile profiles of dry-cured meat products from three different Iberian X duroc genotypes. J. Agric. Food Chem. 2007, 55, 1923–1931. [Google Scholar]
- Li, F.; Feng, X.; Zhang, D.; Li, C.; Xu, X.; Zhou, G.; Liu, Y. Physical properties, compositions and volatile profiles of Chinese dry-cured hams from different regions. J. Food Meas. Charact. 2019, 14, 492–504. [Google Scholar] [CrossRef]
- Olivares, A.; Navarro, J.L.; Flores, M. Establishment of the contribution of volatile compounds to the aroma of fermented sausages at different stages of processing and storage. Food Chem. 2009, 115, 1464–1472. [Google Scholar] [CrossRef]
- Purriños, L.; Franco, D.; Carballo, J.; Lorenzo, J.M. Influence of the salting time on volatile compounds during the manufacture of dry-cured pork shoulder “lacón”. Meat Sci. 2012, 92, 627–634. [Google Scholar] [CrossRef] [PubMed]
- Chen, Q.; Kong, B.; Han, Q.; Xia, X.; Xu, L. The role of bacterial fermentation in lipolysis and lipid oxidation in harbin dry sausages and its flavour development. LWT-Food Sci. Technol. 2017, 77, 389–396. [Google Scholar] [CrossRef]
- Cano-García, L.; Rivera-Jiménez, S.; Belloch, C.; Flores, M. Generation of aroma compounds in a fermented sausage meat model system by debaryomyces hansenii strains. Food Chem. 2014, 151, 364–373. [Google Scholar] [CrossRef] [PubMed]
- Irigoyen, A.; Ortigosa, M.; Juansaras, I.; Oneca, M.; Torre, P. Influence of an adjunct culture of Lactobacillus on the free amino acids and volatile compounds in a Roncal-type ewe’s-milk cheese. Food Chem. 2007, 100, 71–80. [Google Scholar] [CrossRef]
- Mónica, A.; Toldrá, F.; Aristoy, M.C.; Ventanas, J.; Estévez, M. Effect of the partial replacement of sodium chloride by other salts on the formation of volatile compounds during ripening of dry-cured ham. J. Agric. Food Chem. 2012, 60, 7607–7615. [Google Scholar]
- Api, A.M.; Belsito, D.; Botelho, D.; Bruze, M.; Burton, G.A.; Buschmann, J.; Cancellieri, M.A.; Dagli, M.L.; Date, M.; Dekant, W.; et al. RIFM fragrance ingredient safety assessment, 6-methyl-5-hepten-2-one, CAS registry number 110-93-0. Food Chem. Toxicol. 2021, 156, 112558. [Google Scholar] [CrossRef]
- Sunesen, L.O.; Stahnke, L.H. Mould starter cultures for dry sausages—Selection, application and effects. Meat Sci. 2003, 65, 935–948. [Google Scholar] [CrossRef]
- Laura, P.N.; de Revel, G.; Bertrand, A.; Maujean, A. Formation of flavor components by the reaction of amino acid and carbonyl compounds in mild conditions. J. Agric. Food Chem. 2000, 48, 3761–3766. [Google Scholar]
- Koutsidis, G.; Elmore, J.S.; Oruna-Concha, M.J.; Campo, M.M.; Wood, J.D.; Mottram, D.S. Water-soluble precursors of beef flavour. Part II: Effect of post-mortem conditioning. Meat Sci. 2008, 79, 270–277. [Google Scholar] [CrossRef] [PubMed]
- Maarse, H. Volatile Compounds in Foods and Beverages; Taylor & Francis: New York, NY, USA, 2017. [Google Scholar]
- Monica, F.; M-Concepcion, A.; Spanier, A.M.; Toldra, F. Non-volatile components effects on quality of “Serrano” dry-cured ham as related to processing time. J. Food Sci. 1997, 62, 1235–1239. [Google Scholar]
- Armenteros, M.; Aristoy, M.C.; Barat, J.M.; Toldra, F. Biochemical and sensory properties of dry-cured loins as affected by partial replacement of sodium by potassium, calcium, and magnesium. J. Agric. Food Chem. 2009, 57, 9699–9705. [Google Scholar] [CrossRef]
- José, M.L.; Cittadini, A.; Munekata, P.E.; Domínguez, R. Physicochemical properties of foal meat as affected by cooking methods. Meat Sci. 2015, 108, 50–54. [Google Scholar]
- Aksu, M.İ.; Erdemir, E. The effect of potassium lactate on the free amino acid composition, lipid oxidation, colour, microbiological, and sensory properties of ready-to-eat pastırma, a dry-cured and dried meat product. J. Food Sci. Technol. 2021, 59, 1288–1298. [Google Scholar] [CrossRef]
- Kęska, P.; Stadnik, J. Taste-active peptides and amino acids of pork meat as components of dry-cured meat products: An in-silico study. J. Sens. Stud. 2017, 32, e12301. [Google Scholar] [CrossRef]
- Pérez-Santaescolástica, C.; Carballo, J.; Fulladosa, E.; Garcia-Perez, J.V.; Benedito, J.; Lorenzo, J.M. Effect of proteolysis index level on instrumental adhesiveness, free amino acids content and volatile compounds profile of dry-cured ham. Food Res. Int. 2018, 107, 559–566. [Google Scholar] [CrossRef] [PubMed]
- Zhang, X.; Yang, J.; Gao, H.; Zhao, Y.; Wang, J.; Wang, S. Substituting sodium by various metal ions affects the cathepsins activity and proteolysis in dry-cured pork butts. Meat Sci. 2020, 166, 108132. [Google Scholar] [CrossRef] [PubMed]
- Blesa, E.; Alino, M.; Barat, J.M.; Grau, R.; Toldra, F.; Pagan, M.J. Microbiology and physico-chemical changes of dry-cured ham during the post-salting stage as affected by partial replacement of NaCl by other salts. Meat Sci. 2008, 78, 135–142. [Google Scholar] [CrossRef] [PubMed]
- GB5009.91-2017; Determination of Potassium and Sodium in Food. National Health and Family Planning Commission of the PRC: Beijing, China, 2017.
- GB5009.241-2017; Determination of Magnesium in Food. National Health and Family Planning Commission of the PRC: Beijing, China, 2017.
- Wang, X.; Muhoza, B.; Wang, X.; Feng, T.; Xia, S.; Zhang, X. Comparison between microwave and traditional water bath cooking on saltiness perception, water distribution and microstructure of grass crap meat. Food Res. Int. 2019, 125, 108521. [Google Scholar] [CrossRef] [PubMed]
- Chen, C.; Cheng, G.; Liu, Y.; Yi, Y.; Chen, D.; Zhang, L.; Wang, X.; Cao, J. Correlation between microorganisms and flavor of Chinese fermented sour bamboo shoot: Roles of Lactococcus and Lactobacillus in flavor formation. Food Biosci. 2022, 50, 101994. [Google Scholar] [CrossRef]
- Wang, X.; Feng, T.; Wang, X.; Xia, S.; Yu, J.; Zhang, X. Microwave heating and conduction heating pork belly: Non-volatile compounds and their correlation with taste characteristics, heat transfer modes, and matrix microstructure. Meat Sci. 2022, 192, 108899. [Google Scholar] [CrossRef] [PubMed]
- Zhan, H.; Hayat, K.; Cui, H.; Hussain, S.; Ho, C.-T.; Zhang, X. Characterization of flavor active non-volatile compounds in chicken broth and correlated contributing constituent compounds in muscle through sensory evaluation and partial least square regression analysis. LWT 2020, 118, 108786. [Google Scholar] [CrossRef]
- GBT16291.1-2012; Sensory Analysis-General Guidance for the Selection, Training and Monitoring of Assessors-Part 1: Selected Assessors. Academia: San Francisko, CA, USA, 2012.
- Sugimoto, M.; Obiya, S.; Kaneko, M.; Enomoto, A.; Honma, M.; Wakayama, M.; Tomita, M. Simultaneous analysis of consumer variables, acceptability and sensory characteristics of dry-cured ham. Meat Sci. 2016, 121, 210–215. [Google Scholar] [CrossRef]








| Type | Index | Groups | ||||
|---|---|---|---|---|---|---|
| S | SPMA | SPM | SP | SM | ||
| Metal ion contents and permeability (dry basis) | Na+ (%) | 5.63 ± 0.22 A | 3.70 ± 0.29 D | 3.48 ± 0.16 D | 4.11 ± 0.17 C | 4.64 ± 0.25 B | 
| Theoretical value | 6.77 | 4.04 | 4.06 | 4.88 | 5.96 | |
| Permeability (%) | 83.25 ± 3.31 B | 91.58 ± 7.19 A | 85.71 ± 3.99 AB | 84.22 ± 3.57 AB | 77.85 ± 4.34 B | |
| K+ (%) | \ | 3.40 ± 0.18 A | 3.46 ± 0.18 A | 3.27 ± 0.16 A | \ | |
| Theoretical value | \ | 1.9 | 1.9 | 1.9 | \ | |
| Permeability (%) | \ | 1.79 ± 0.010 A | 1.82 ± 0.10 A | 1.72 ± 0.09 A | \ | |
| Mg2+ (%) | \ | 0.21 ± 0.02 A | 0.17 ± 0.04 A | \ | 0.17 ± 0.01 A | |
| Theoretical value | \ | 0.81 | 0.81 | \ | 0.81 | |
| Permeability (%) | \ | 25.92 ± 0.02 A | 20.98 ± 0.05 A | \ | 20.98 ± 0.01 A | |
| Physical and chemical properties | Weight loss (%) | 55.68 ± 0.15 A | 50.25 ± 1.90 AB | 47.42 ± 1.34 B | 51.93 ± 2.39 AB | 45.46 ± 2.39 B | 
| Moisture (%) | 27.59 ± 3.44 A | 25.05 ± 1.91 A | 24.56 ± 0.64 A | 24.29 ± 2.41 A | 24.31 ± 1.09 A | |
| Aw | 0.707 ± 0.011 BC | 0.723 ± 0.012 AB | 0.729 ± 0.007 A | 0.704 ± 0.024 C | 0.708 ± 0.006 ABC | |
| pH | 6.11 ± 0.10 A | 5.86 ± 0.05 B | 5.93 ± 0.21 AB | 5.95 ± 0.09 AB | 5.90 ± 0.13 B | |
| Shear force (N) | 402.20 ± 45.90 B | 338.10 ± 44.50 AB | 287.10 ± 46.00 B | 309.00 ± 31.90 B | 269.06 ± 16.83 B | |
| Color | L* | 49.55 ± 2.32 A | 46.9 ± 1.19 AB | 45.69 ± 1.67 AB | 43.37 ± 4.33 B | 44.61 ± 4.18 AB | 
| a* | 12.21 ± 1.07 AB | 14.15 ± 2.41 A | 11.42 ± 0.76 B | 12.19 ± 0.37 AB | 11.72 ± 0.63 B | |
| b* | 26.00 ± 2.60 A | 24.05 ± 1.53 AB | 23.02 ± 0.54 AB | 23.67 ± 1.45 AB | 21.72 ± 0.90 B | |
| Volatile Compounds | Threshold (μg/kg) | S | SPMA | SPM | SP | SM | 
|---|---|---|---|---|---|---|
| 3-Methylbutanal | 1.2 | 6.04 | 4.83 | 9.42 | 8.28 | 15.23 | 
| 2-Methylbutyral | 0.1 | 67.80 | 52.90 | 98.70 | 113.70 | 180.30 | 
| Pentanal | 0.85 | 7.41 | 190.25 | 12.04 | 14.11 | 21.89 | 
| Hexanal | 5 | 29.54 | 32.34 | 37.76 | 54.43 | 42.70 | 
| Heptaldehyde | 0.26 | 87.15 | 95.81 | 104.73 | 238.46 | 146.08 | 
| Octyl aldehyde | 0.7 | 36.04 | 37.81 | 46.51 | 123.30 | 56.86 | 
| 1-Nonanal | 1 | 48.00 | 56.39 | 73.83 | 120.54 | 75.31 | 
| (E)-2-Heptanal | 2.4 | ND | 2.85 | 3.51 | ND | ND | 
| (E)-2-Octenal | 0.25 | 18.56 | 17.08 | 37.72 | 29.36 | 24.60 | 
| Decyl aldehyde | 0.4 | 14.43 | 14.90 | 29.88 | 46.40 | 24.88 | 
| (E)-2-Nonenal | 0.05 | 39.80 | 46.80 | 102.80 | 135.20 | 45.60 | 
| 3-Methyl-1-butanol | 1.7 | ND | ND | 1.89 | ND | ND | 
| 1-Pentanol | 0.36 | 168.44 | 128.56 | 60.89 | 72.11 | 68.33 | 
| 1-Hexanol | 10 | 4.43 | 3.77 | 4.58 | 5.01 | 4.82 | 
| 1-Octen-3-ol | 1 | ND | ND | 39.14 | 38.77 | 54.76 | 
| 1-Heptanol | 4.8 | 1.80 | 1.76 | 2.31 | 3.08 | 6.16 | 
| 1-Octanol | 2.7 | ND | 3.83 | 5.30 | 7.08 | 5.52 | 
| Methyl butyrate | 15.1 | 0.20 | 0.42 | 0.35 | 0.13 | 1.36 | 
| Methyl 2-methylbutyrate | 0.00025 | 36,480.00 | 22,720.00 | 26,520.00 | 13,400.00 | 72,280.00 | 
| Methyl Isovalerate | 2.2 | 5.85 | 3.22 | 3.49 | ND | 9.55 | 
| Methyl pentanoate | 2.2 | 7.72 | 9.48 | 6.26 | 1.35 | 0.00 | 
| Methyl caproate | 10 | 8.07 | 12.61 | 7.15 | 1.52 | 14.98 | 
| Ethyl caproate | 1 | 2.06 | 3.35 | 4.68 | ND | 11.69 | 
| γ-Caprolactone | 0.26 | 38.58 | 27.85 | 0.00 | 55.65 | 53.73 | 
| γ-octa lactone | 0.0222 | 0.00 | 0.00 | 592.34 | ND | ND | 
| 2-Heptanone | 0.9 | 8.34 | 10.10 | 8.34 | 13.99 | 18.08 | 
| 6-Methyl-5-hepten-2-one | 0.068 | 24.12 | 34.41 | 43.53 | ND | 59.85 | 
| 2,3,5-Trimethylpyrazine | 0.19 | 52.26 | ND | 27.00 | 91.74 | 44.32 | 
| Tetramethylpyrazine | 0.69 | 17.84 | ND | 11.57 | 27.93 | ND | 
| Toluene | 0.527 | 92.45 | ND | 9.92 | 10.53 | 21.76 | 
| Ethylbenzene | 1.2 | 1.61 | ND | ND | 1.94 | 2.43 | 
| Dipentene | 0.21 | ND | ND | ND | 19.38 | 48.52 | 
| 2-Pentyl furan | 0.27 | 51.74 | 62.37 | 46.15 | 81.15 | 106.81 | 
| Content (mg/100 g) | S | SPMA | SPM | SP | SM | Threshold | 
|---|---|---|---|---|---|---|
| Asp | 35.4 ± 6.5 C | 62.9 ± 7.1 B | 39.2 ± 3.5 C | 28.8 ± 2.9 C | 96.8 ± 2.7 A | 100 | 
| Glu | 201.3 ± 24.1 AD | 279.1 ± 6.9 AB | 229.4 ± 12.2 CD | 302.1 ± 5.7 BC | 302.1 ± 0.6 d | 30 | 
| Ser | 42.9 ± 26.2 A | 35.8 ± 4.1 A | 29.4 ± 2.0 A | 32.5 ± 5.3 A | 30.7 ± 3.8 A | 150 | 
| His | 65.2 ± 13.0 A | 82.6 ± 5.8 A | 69.7 ± 3.1 A | 81.2 ± 8.9 A | 79.5 ± 4.5 A | 20 | 
| Gly | 56 ± 3.2 C | 97.6 ± 3.9 AB | 77.4 ± 4.0 CB | 89.4 ± 5.6 ABC | 118.6 ± 26.5 A | 130 | 
| Thr | 73.5 ± 4.5 B | 100.7 ± 1.5 A | 98.2 ± 5.8 AB | 101.6 ± 12.5 A | 116.7 ± 16.0 A | 260 | 
| Arg | 94.6 ± 3.3 C | 137.5 ± 5.9 A | 96.2 ± 0.9 C | 91.4 ± 3.7 C | 125.1 ± 5.2 B | 50 | 
| Ala | 661.8 ± 18.9 B | 650.7 ± 20.3 BC | 681.6 ± 28.5 B | 795.1 ± 24.8 A | 600.8 ± 15.0 C | 60 | 
| Tyr | 55.5 ± 2.6 A | 40.5 ± 23.5 A | 63.8 ± 4.4 A | 57.8 ± 3.1 A | 67.1 ± 1.7 A | - | 
| Val | 124.4 ± 3.5 A | 166.3 ± 35.0 A | 147.6 ± 4.4 A | 159.8 ± 3.2 A | 156.7 ± 6.9 A | 40 | 
| Met | 40.3 ± 1.7 AB | 380.0 ± 8.2 B | 50.7 ± 2.0 A | 37.6 ± 2.7 B | 46.5 ± 1.8 AB | 30 | 
| Phe | 54.7 ± 1.3 A | 80.2 ± 29.1 A | 70.2 ± 3.1 A | 52.4 ± 1.4 A | 65.3 ± 0.3 A | 90 | 
| Ile | 64.4 ± 1.0 A | 82.0 ± 17.2 A | 83.4 ± 2.5 A | 69.7 ± 3.3 A | 78.6 ± 2.1 A | 90 | 
| Leu | 94.8 ± 4.4 D | 111.2 ± 5.5 CD | 128.6 ± 6.3 A | 99.3 ± 3.8 CD | 117.7 ± 0.6 AB | 190 | 
| Lys | 175.4 ± 2.4 D | 226.3 ± 9.8 B | 208.7 ± 7.9 BC | 205.2 ± 3.9 C | 257.6 ± 8.3 A | 50 | 
| Pro | 94.0 ± 21.5 A | 101.7 ± 27.4 A | 83.2 ± 44.0 A | 110.1 ± 14.2 A | 127.3 ± 21.2 A | 300 | 
| Cys | 4.1 ± 3.0 A | 5.1 ± 5.0 A | 2.9 ± 1.5 A | 238.6 ± 4.3 A | 4.7 ± 3.8 A | |
| Umami FAAs | 236.8 ± 30.3 D | 342.0 ± 13.7 B | 268.6 ± 9.4 CD | 283.65 ± 0.4 C | 398.8 ± 6.7 A | - | 
| Sweet FAAs | 834.1 ± 8.7 B | 884.8 ± 27.2 B | 886.6 ± 39.5 B | 1018.6 ± 47.0 A | 866.8 ± 34.1 B | - | 
| Bitter FAAs | 334.6 ± 21.5 C | 396.5 ± 22.4 AB | 415.6 ± 18.3 A | 360.4 ± 12.4 BC | 408.1 ± 7.2 A | - | 
| Total FAAs | 1938.3 ± 46.0 C | 2298.3 ± 49.0 AB | 2160.0 ± 86.6 B | 2269.2 ± 78.1 AB | 2391.7 ± 2.0 A | - | 
| S | SPMA | SPM | SP | SM | |
|---|---|---|---|---|---|
| Score | |||||
| Redness | 2.53 ± 0.99 A | 3.08 ± 1.14 A | 2.67 ± 1.23 A | 3.17 ± 1.10 A | 3.15 ± 1.32 A | 
| Homogeneity | 3.11 ± 0.96 A | 3.33 ± 1.08 A | 3.17 ± 1.10 A | 3.00 ± 1.14 A | 3.22 ± 1.22 A | 
| Gloss | 2.73 ± 0.91 A | 3.18 ± 0.87 A | 3.03 ± 1.12 A | 2.61 ± 0.78 A | 3.25 ± 0.97 A | 
| Saltiness | 3.83 ± 1.14 A | 3.99 ± 0.76 A | 3.44 ± 0.78 A | 3.88 ± 0.95 A | 4.02 ± 0.84 A | 
| Bitterness | 1.42 ± 0.77 A | 1.69 ± 0.89 A | 1.86 ± 1.16 A | 1.81 ± 0.93 A | 1.53 ± 0.81 A | 
| Umami | 2.12 ± 1.09 A | 2.56 ± 0.99 A | 2.39 ± 1.05 A | 2.33 ± 1.08 A | 2.62 ± 1.10 A | 
| Sweetness | 1.36 ± 0.72 A | 1.31 ± 0.62 A | 1.36 ± 0.64 A | 1.36 ± 0.64 A | 1.42 ± 0.65 A | 
| Hardness | 2.93 ± 0.93 A | 3.00 ± 0.69 A | 2.96 ± 1.12 A | 3.32 ± 1.01 A | 2.99 ± 0.83 A | 
| Fat adhesion | 2.33 ± 1.03 A | 2.44 ± 1.10 A | 2.22 ± 0.94 A | 2.28 ± 1.02 A | 2.72 ± 1.07 A | 
| Chewiness | 3.03 ± 0.96 A | 3.47 ± 0.88 A | 3.08 ± 1.03 A | 3.12 ± 0.77 A | 3.36 ± 1.11 A | 
| Acceptance | 3.31 ± 1.05 A | 3.08 ± 1.29 A | 3.04 ± 1.24 A | 3.06 ± 0.87 A | 3.08 ± 1.09 A | 
| Category | Sensory Attributes | Judgment Criteria (a Scale of 1 to 5) | 
|---|---|---|
| Appearance | Redness | Pale pink to dark red | 
| Homogeneity | Non-homogeneous to homogeneous | |
| Glossiness | Glossy from dark to bright | |
| Taste | Saltiness | Not distinctly salty to moderately salty | 
| Bitterness | Not bitter to distinctly bitter | |
| Umami | Not perceived to perceived | |
| Sweetness | Not very sweet to very sweet | |
| Texture | Meat hardness | Loose to very hard in texture | 
| Fat adhesiveness | Not adhesive to appropriately adhesive | |
| Chewiness | Poorly chewable to very chewable | |
| Overall acceptance | Overall acceptance | Unattractive to very attractive | 
| Disclaimer/Publisher’s Note: The statements, opinions and data contained in all publications are solely those of the individual author(s) and contributor(s) and not of MDPI and/or the editor(s). MDPI and/or the editor(s) disclaim responsibility for any injury to people or property resulting from any ideas, methods, instructions or products referred to in the content. | 
© 2024 by the authors. Licensee MDPI, Basel, Switzerland. This article is an open access article distributed under the terms and conditions of the Creative Commons Attribution (CC BY) license (https://creativecommons.org/licenses/by/4.0/).
Share and Cite
Xiang, J.; Wang, X.; Guo, C.; Zang, L.; He, H.; Yin, X.; Wei, J.; Cao, J. Quality and Flavor Difference in Dry-Cured Meat Treated with Low-Sodium Salts: An Emphasis on Magnesium. Molecules 2024, 29, 2194. https://doi.org/10.3390/molecules29102194
Xiang J, Wang X, Guo C, Zang L, He H, Yin X, Wei J, Cao J. Quality and Flavor Difference in Dry-Cured Meat Treated with Low-Sodium Salts: An Emphasis on Magnesium. Molecules. 2024; 29(10):2194. https://doi.org/10.3390/molecules29102194
Chicago/Turabian StyleXiang, Jun, Xuejiao Wang, Chaofan Guo, Liping Zang, Houde He, Xiaoyu Yin, Jianping Wei, and Jianxin Cao. 2024. "Quality and Flavor Difference in Dry-Cured Meat Treated with Low-Sodium Salts: An Emphasis on Magnesium" Molecules 29, no. 10: 2194. https://doi.org/10.3390/molecules29102194
APA StyleXiang, J., Wang, X., Guo, C., Zang, L., He, H., Yin, X., Wei, J., & Cao, J. (2024). Quality and Flavor Difference in Dry-Cured Meat Treated with Low-Sodium Salts: An Emphasis on Magnesium. Molecules, 29(10), 2194. https://doi.org/10.3390/molecules29102194
 
        



 
       