A Non-Matrix-Matched Calibration Method for In Situ Major and Trace Element Analysis of Scheelite by Nanosecond LA-ICP-MS
Abstract
:1. Introduction
2. Results and Discussion
2.1. Element Compositions of Scheelite Samples by EPMA Analysis
2.2. Ablation Behaviors of Ca and W in LA-ICP-MS Analysis
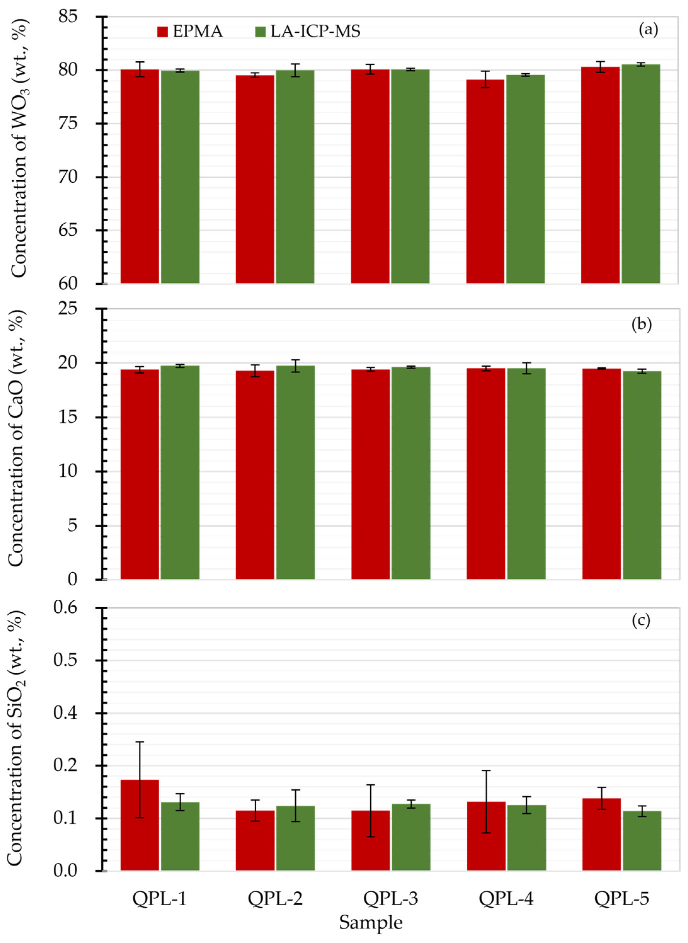
2.3. Matrix Effect and Quantification Accuracy of Major and Minor Elements Using LA-ICP-MS
2.4. Quantification Accuracy of Trace Elements Using LA-ICP-MS and SN-ICP-MS
2.5. Application to Scheelite Sample Quantification by LA-ICP-MS
3. Materials and Methods
3.1. Instrumentation and Operating Conditions
3.2. Sample Description and Handling
3.3. Data Acquisition and Processing
3.4. EMPA
3.5. SN-ICP-MS
4. Conclusions
Supplementary Materials
Author Contributions
Funding
Institutional Review Board Statement
Informed Consent Statement
Data Availability Statement
Acknowledgments
Conflicts of Interest
References
- Dickinson, R.G. The crystal structures of wulfenite and scheelite. J. Am. Chem Soc. 1920, 42, 85–93. [Google Scholar] [CrossRef]
- Choi, W.; Park, C.; Song, Y. Multistage W-mineralization and magmatic-hydrothermal fluid evolution: Microtextural and geochemical footprints in scheelite from the Weondong W-skarn deposit, South Korea. Ore Geol. Rev. 2020, 116, 103219. [Google Scholar] [CrossRef]
- Brugger, J.; Lahaye, Y.; Costa, S.; Lambert, D.; Bateman, R. Inhomogeneous distribution of REE in scheelite and dynamics of Archaean hydrothermal systems (Mt. Charlotte and Drysdale gold deposits, Western Australia). Contrib. Miner. Pet. 2000, 139, 251–264. [Google Scholar] [CrossRef]
- Wu, S.H.; Mao, J.W.; Ireland, T.R.; Zhao, Z.; Yao, F.; Yang, Y.; Sun, W. Comparative geochemical study of scheelite from the Shizhuyuan and Xianglushan tungsten skarn deposits, South China: Implications for scheelite mineralization. Ore Geol. Rev. 2019, 109, 448–464. [Google Scholar] [CrossRef]
- Cottrant, J.F. Cristallochimie et Géochimie Desterres Rares Dans la Scheelite: Application á Quelques Gisements Français. Ph.D. Thesis, University Paris-VI, Paris, France, 1981. [Google Scholar]
- Zhao, W.W.; Zhou, M.F.; Williams-Jones, A.E.; Zhao, Z. Constraints on the uptake of REE by scheelite in the Baoshan tungsten skarn deposit, South China. Chem. Geol. 2018, 477, 123–136. [Google Scholar] [CrossRef]
- Sciuba, M.; Beaudoin, G.; Grzela, D.; Makvandi, S. Trace element composition of scheelite in orogenic gold deposits. Miner. Depos. 2020, 55, 1149–1172. [Google Scholar] [CrossRef]
- Nie, L.Q.; Wang, F.Y.; White, N.C.; Zhang, D.; Yan, C.; Wang, X. Scheelite trace element compositions: A robust new tool for mineral exploration. Ore Geol. Rev. 2023, 155, 105338. [Google Scholar] [CrossRef]
- Sánchez, S.M.T.; Benito, M.C.M.; Pérez, M.L.C. Mineralogical and physiochemical evolution of the Los Santos scheelite skarn, Salamanca, NW Spain. Econ. Geol. 2009, 104, 961–995. [Google Scholar] [CrossRef]
- Hazarika, P.; Mishra, B.; Pruseth, K.L. Scheelite, apatite, calcite and tourmaline compositions from the late Archean Hutti orogenic gold deposit: Implications for analogous two stage ore fluids. Ore Geol. Rev. 2016, 72, 989–1003. [Google Scholar] [CrossRef]
- Chen, R.; Zhu, L.; Jiang, S.Y. Fluid evolution and scheelite precipitation mechanism of the large-scale Shangfang quartz-vein-type tungsten deposit, South China: Constraints from rare earth element (REE) behaviour during fluid/rock interaction. J. Earth Sci. 2020, 31, 635–652. [Google Scholar] [CrossRef]
- Ghaderi, M.; Palin, J.M.; Campbell, I.H.; Sylvester, P.J. Rare earth element systematics in scheelite from hydrothermal gold deposits in the Kalgoorlie-Norseman region, Western Australia. Econ. Geol. 1999, 94, 423–437. [Google Scholar] [CrossRef]
- Song, G.; Qin, K.; Li, G.; Evans, N.J.; Chen, L. Scheelite elemental and isotopic signatures: Implications for the genesis of skarn-type W-Mo deposits in the Chizhou Area, Anhui Province, Eastern China. Am. Miner. 2014, 99, 303–317. [Google Scholar] [CrossRef]
- Poulin, R.S.; Kontak, D.J.; McDonald, A.; McCLenaghan, M.B. Assessing scheelite as an ore-deposit discriminator using its trace-element and REE chemistry. Can. Miner. 2018, 56, 265–302. [Google Scholar] [CrossRef]
- Li, W.; Xie, G.Q.; Cook, N.J.; Mao, J.W.; Li, C.; Ciobanu, C.L.; Zhang, Z.Y. Tracking dynamic hydrothermal processes: Textures, in-situ Sr-Nd isotopes and trace element analysis of scheelite from the Yangjiashan vein-type W deposit, South China. Am. Miner. 2021, 106, 1987–2002. [Google Scholar] [CrossRef]
- Dai, Z.W.; Li, G.M.; Xie, Y.L.; Yang, Z.M.; Huizenga, J.M.; Liang, W.; Fu, J.-G.; Cao, H.-W. Source and evolution of the ore-forming fluid of the Cuonadong Sn-W-Be polymetallic deposit (southern Tibet, China): Constraints from scheelite trace element and Sr isotope geochemistry. Ore Geol. Rev. 2022, 142, 104570. [Google Scholar] [CrossRef]
- Chen, X.Y.; Guo, F.L.; Chen, Q.; Liu, X.; Zhao, Z. Dissolution behavior of the associated rare-earth elements in scheelite using a mixture of sulfuric and phosphoric acids. Miner. Eng. 2019, 144, 106057. [Google Scholar] [CrossRef]
- Liu, Y.; Deng, J.; Li, C.; Shi, G.; Zheng, A. REE composition in scheelite and scheelite Sm-Nd dating for the Xuebaoding W-Sn-Be deposit in Sichuan. Chin. Sci. Bull. 2007, 52, 2543–2550. [Google Scholar] [CrossRef]
- Wang, G.; Du, G.; Liu, S.S.; Shi, H.; Zhang, L.; Ren, J. Accurate determination of rare earth elements in scheelite using high resolution-inductively coupled plasma-mass spectrometry-An instance of Nanyangtian scheelite mining, Malipo, Yunnan. Rock Miner. Anal. 2012, 31, 1050–1057. [Google Scholar]
- Zhao, Z.W.; Li, H.G. Thermodynamics for leaching of scheelite: Pseudo-ternary system phase diagram and its application. Metall. Mater. Trans. B 2008, 39, 519–523. [Google Scholar] [CrossRef]
- Hamid, S.A.; Alfonso, P.; Oliva, J.; Anticoi, H.; Guasch, E.; Sampaio, C.H.; Garcia-Vallès, M.; Escobet, T. Modeling the liberation of comminuted scheelite using mineralogical properties. Minerals 2019, 9, 536. [Google Scholar] [CrossRef]
- Chu, Z.Y.; Guo, J.H.; Yang, Y.H.; Liang, Q.; Chen, L.; Li, X.; Gao, J. Evaluation of sample dissolution method for Sm-Nd isotonic analysis of scheelite. J. Anal. At. Spectrom. 2012, 27, 509–515. [Google Scholar] [CrossRef]
- Gray, A.L. Solid sample introduction by laser ablation for inductively coupled plasma source mass spectrometry. Analyst 1985, 110, 551–556. [Google Scholar] [CrossRef]
- Mankoula, A.F.; Tawfik, W.; Gagnon, J.E.; Fryer, B.J.; El-Mekawy, F.; Shaheen, M.E. ICMMS-2: Assessment of heavy metals content in the agricultural soils of Kafr El-Zayat Egypt using laser ablation inductively coupled plasma mass spectrometry and inductively coupled plasma optical emission spectroscopy. Egypt. J. Chem. 2021, 64, 1167–1177. [Google Scholar] [CrossRef]
- Shaheen, M.E.; Tawfik, W.; Mankoula, A.F.; Gagnon, J.E.; Fryer, B.J.; El-Mekawy, F. Determination of heavy metal content and pollution indices in the agricultural soils using laser ablation inductively coupled plasma mass spectrometry. Environ. Sci. Pollut. Res. 2021, 28, 36039–36052. [Google Scholar] [CrossRef]
- Sylvester, P.J.; Ghaderi, M. Trace element analysis of scheelite by excimer laser ablation-inductively coupled plasma-mass spectrometry (ELA-ICP-MS) using a synthetic silicate glass standard. Chem. Geol. 1997, 141, 49–65. [Google Scholar] [CrossRef]
- Fu, Y.; Sun, X.M.; Xiong, D.X. In-situ determination of rare earth elements in scheelite by laser ablation-inductively coupled plasma-mass spectrometry. Rock Miner. Anal. 2013, 32, 875–882. [Google Scholar]
- Hao, Y.J.; Shang, Q.Q.; Ren, Y.S.; Liu, X.; Chen, C. In situ analysis of rare earth element composition of scheelite by LA-ICP-MS. J. Jilin Univ. Earth Sci. Ed. 2020, 50, 1029–1041. [Google Scholar]
- Xiao, Y.T.; Yang, J.; Deng, J.; Wang, W. Influence of spot size on LA-ICP-MS ablation behavior for synthetic calcium tungstate and silicate glass reference material NIST SRM 610. At. Spectrosc. 2021, 42, 36–42. [Google Scholar] [CrossRef]
- Fryer, B.J.; Jackson, S.E.; Longerich, H.P. The design, operation and role of the laser-ablation microprobe coupled with an inductively coupled plasma-mass spectrometer (LAM-ICP-MS) in the earth sciences. Can. Mineral. 1995, 33, 303–312. [Google Scholar]
- Xue, D.; Deng, X.-H.; Bagas, L.; Chen, X.-A.; Wu, Y.-S.; Jiang, X. Genesis of the Heiyanshan tungsten skarn deposit in the East Tianshan, NW China: Insights from geology, fluid inclusion, isotopic geochemistry and geochronology. Front. Earth Sci. 2021, 9, 664603. [Google Scholar] [CrossRef]
- Sun, C.P.; Chen, Y.F.; Liu, Y. Analysis of metallogenic system of Xiaodushan tungsten deposit in Beishan area. Gansu Sci. Technol. 2017, 33, 21–25. [Google Scholar]
- Müller, W.; Shelley, M.; Miller, P.; Broude, S. Initial performance metrics of a new custom-designed ArF Excimer LA-ICP-MS system coupled to a two-volume laser-ablation cell. J. Anal. At. Spectrom. 2009, 24, 209–214. [Google Scholar] [CrossRef]
- Xiong, D.Y.; Guo, L.F.; Liu, C.; Wang, L.; Liu, Y.; Tan, X. Analytical effect of stabilizer volume and shape on zircon U–Pb dating by nanosecond LA-ICP-QMS. J. Anal. Sci. Technol. 2022, 13, 13. [Google Scholar] [CrossRef]
- Lei, X.-F.; Jiang, S.-Y.; Su, H.-M.; Ying, Y.-C. Hydrothermal titanite U–Pb age and geochemistry as a reliable chronometer and genetic tracer for quartz vein-type tungsten deposit at Qipangou of Qinling orogenic belt, Central China. Ore Geol. Rev. 2021, 135, 104246. [Google Scholar] [CrossRef]
- Jochum, K.P.; Nohl, U.; Herwig, K.; Lammel, E.; Stoll, B.; Hofmann, A.W. GeoReM: A new geochemical database for reference materials and isotopic standards. Geostand. Geoanal. Res. 2005, 9, 333–338. [Google Scholar] [CrossRef]
- Fricker, M.B. Design of Ablation Cells for LA-ICP-MS. Ph.D. Thesis, ETH Zürich, Zürich, Switzerland, 2012. [Google Scholar] [CrossRef]
- Liu, Y.S.; Hu, Z.C.; Gao, S.; Günther, D.; Xu, J.; Gao, C.G.; Chen, H.H. In situ analysis of major and trace elements of anhydrous minerals by LA-ICP-MS without applying an internal standard. Chem. Geol. 2008, 257, 34–43. [Google Scholar] [CrossRef]
- Liu, M.W.; Tan, X.J. Uncertainty of the results of electron probe microanalysis using a spectrometer with wavelength dispersion in the study of geological samples. J. Anal. Chem. 2022, 77, 1333–1339. [Google Scholar] [CrossRef]
- Armstrong, J.T. CITZAF: A package of correction programs for the quantitative electron microbeam X-ray analysis of thick polished materials, thin Films, and particles. Microbeam Anal. 1995, 4, 177–200. [Google Scholar]
- Tan, X.J.; Wang, Z.M. General high-pressure closed acidic decomposition method of rock samples for trace element determination using inductively coupled plasma mass spectrometry. J. Anal. Chem. 2020, 75, 1295–1303. [Google Scholar]



| Sample | CaO | WO3 | SiO2 | Na2O | MgO | MnO | FeO | MoO3 | |
|---|---|---|---|---|---|---|---|---|---|
| QPL-1 | QPL-1_1 | 19.08 | 80.87 | 0.30 | 0.019 | LD | LD | 0.002 | 0.025 |
| QPL-1_2 | 19.60 | 79.78 | 0.19 | LD | LD | LD | 0.022 | LD | |
| QPL-1_3 | 19.54 | 79.64 | 0.14 | 0.007 | 0.004 | LD | 0.013 | LD | |
| Average | 19.40 | 80.09 | 0.21 | 0.009 | 0.001 | LD | 0.012 | 0.008 | |
| 2σ | 0.33 | 0.78 | 0.10 | 0.011 | / | / | 0.012 | / | |
| QPL-2 | QPL-2_1 | 18.74 | 79.77 | 0.11 | LD | 0.021 | LD | 0.021 | 0.102 |
| QPL-2_2 | 19.35 | 79.48 | 0.16 | LD | 0.034 | LD | LD | 0.068 | |
| QPL-2_3 | 19.83 | 79.35 | 0.14 | 0.036 | 0.001 | LD | LD | LD | |
| Average | 19.31 | 79.54 | 0.14 | 0.012 | 0.019 | LD | 0.007 | 0.057 | |
| 2σ | 0.63 | 0.25 | 0.03 | / | 0.019 | / | 0.014 | 0.060 | |
| QPL-3 | QPL-3_1 | 19.25 | 80.61 | 0.10 | LD | LD | 0.029 | 0.038 | 0.008 |
| QPL-3_2 | 19.61 | 79.87 | 0.21 | 0.058 | LD | LD | LD | LD | |
| QPL-3_3 | 19.39 | 79.79 | 0.11 | LD | 0.017 | 0.011 | LD | 0.034 | |
| Average | 19.42 | 80.09 | 0.14 | 0.019 | 0.006 | 0.013 | 0.013 | 0.014 | |
| 2σ | 0.21 | 0.52 | 0.07 | / | / | 0.017 | / | 0.021 | |
| QPL-4 | QPL-4_1 | 19.68 | 79.37 | 0.14 | 0.074 | 0.033 | 0.014 | 0.038 | LD |
| QPL-4_2 | 19.59 | 78.28 | 0.24 | 0.186 | 0.036 | 0.021 | 0.054 | 0.017 | |
| QPL-4_3 | 19.27 | 79.78 | 0.10 | LD | 0.020 | 0.015 | LD | 0.042 | |
| Average | 19.52 | 79.14 | 0.16 | 0.130 | 0.030 | 0.017 | 0.031 | 0.020 | |
| 2σ | 0.25 | 0.90 | 0.08 | 0.091 | 0.010 | 0.004 | 0.032 | 0.024 | |
| QPL-5 | QPL-5_1 | 19.45 | 80.36 | 0.17 | 0.045 | 0.011 | 0.011 | 0.014 | dl |
| QPL-5_2 | 19.57 | 80.79 | 0.14 | LD | 0.034 | LD | 0.009 | 0.017 | |
| QPL-5_3 | 19.50 | 79.75 | 0.19 | 0.071 | LD | 0.019 | LD | LD | |
| Average | 19.51 | 80.30 | 0.17 | 0.039 | 0.015 | 0.010 | 0.008 | 0.006 | |
| 2σ | 0.07 | 0.60 | 0.03 | 0.041 | 0.020 | 0.011 | 0.008 | / | |
| Element | QPL-1 | QPL-2 | QPL-3 | QPL-4 | QPL-5 | |||||||||||||||
|---|---|---|---|---|---|---|---|---|---|---|---|---|---|---|---|---|---|---|---|---|
| SN-ICP-MS | LA-ICP-MS | SN-ICP-MS | LA-ICP-MS | SN-ICP-MS | LA-ICP-MS | SN-ICP-MS | LA-ICP-MS | SN-ICP-MS | LA-ICP-MS | |||||||||||
| Content μg/g | 2σ | Content μg/g | 2σ | Content μg/g | 2σ | Content μg/g | 2σ | Content μg/g | 2σ | Content μg/g | 2σ | Content μg/g | 2σ | Content μg/g | 2σ | Content μg/g | 2σ | Content μg/g | 2σ | |
| Y | 35.70 | 1.39 | 33.42 | 1.17 | 38.92 | 1.21 | 39.46 | 1.40 | 35.50 | 1.1 | 33.79 | 0.37 | 21.20 | 0.66 | 19.73 | 0.19 | 24.60 | 0.83 | 24.74 | 0.70 |
| La | 3.04 | 0.21 | 3.43 | 0.21 | 2.56 | 0.6 | 2.69 | 0.17 | 2.46 | 0.12 | 2.32 | 0.31 | 1.47 | 0.07 | 1.48 | 0.02 | 1.83 | 0.09 | 1.74 | 0.16 |
| Ce | 13.01 | 0.64 | 13.74 | 0.30 | 12.01 | 0.56 | 11.54 | 0.45 | 10.10 | 0.19 | 10.24 | 0.29 | 6.08 | 0.09 | 6.37 | 0.04 | 8.44 | 0.13 | 8.49 | 0.24 |
| Pr | 2.56 | 0.19 | 2.77 | 0.05 | 2.06 | 0.09 | 2.06 | 0.06 | 1.84 | 0.06 | 1.98 | 0.02 | 1.18 | 0.04 | 1.35 | 0.02 | 1.52 | 0.05 | 1.53 | 0.04 |
| Nd | 15.30 | 0.71 | 15.97 | 0.54 | 12.61 | 0.50 | 12.26 | 0.38 | 10.80 | 0.27 | 11.48 | 0.13 | 7.11 | 0.18 | 7.46 | 0.10 | 9.06 | 0.23 | 8.90 | 0.11 |
| Sm | 5.29 | 0.36 | 5.71 | 0.28 | 4.60 | 0.31 | 4.75 | 0.50 | 3.86 | 0.15 | 4.40 | 0.05 | 2.53 | 0.10 | 2.37 | 0.04 | 3.18 | 0.13 | 3.20 | 0.09 |
| Eu | 2.77 | 0.17 | 2.60 | 0.53 | 1.66 | 0.08 | 1.61 | 0.06 | 2.41 | 0.05 | 2.02 | 0.02 | 0.93 | 0.03 | 1.06 | 0.05 | 1.13 | 0.04 | 1.14 | 0.03 |
| Gd | 5.87 | 0.36 | 6.17 | 0.81 | 5.28 | 0.17 | 5.12 | 0.17 | 4.50 | 0.08 | 4.31 | 0.07 | 2.89 | 0.05 | 3.08 | 0.04 | 3.62 | 0.07 | 3.58 | 0.15 |
| Tb | 1.04 | 0.08 | 0.96 | 0.27 | 0.94 | 0.03 | 0.91 | 0.03 | 0.80 | 0.02 | 0.84 | 0.01 | 0.52 | 0.02 | 0.51 | 0.01 | 0.65 | 0.02 | 0.65 | 0.02 |
| Dy | 5.87 | 0.34 | 5.90 | 0.77 | 5.36 | 0.16 | 5.20 | 0.17 | 4.57 | 0.11 | 4.44 | 0.06 | 3.01 | 0.07 | 3.20 | 0.04 | 3.68 | 0.09 | 3.70 | 0.10 |
| Ho | 1.14 | 0.08 | 1.18 | 0.09 | 1.03 | 0.06 | 1.00 | 0.03 | 0.88 | 0.05 | 0.99 | 0.05 | 0.58 | 0.03 | 0.64 | 0.01 | 0.71 | 0.04 | 0.71 | 0.02 |
| Er | 2.82 | 0.18 | 2.93 | 0.30 | 2.50 | 0.05 | 2.45 | 0.07 | 2.17 | 0.05 | 2.04 | 0.04 | 1.42 | 0.03 | 1.58 | 0.02 | 1.75 | 0.04 | 1.74 | 0.06 |
| Tm | 0.30 | 0.02 | 0.31 | 0.03 | 0.26 | 0.01 | 0.26 | 0.01 | 0.25 | 0.01 | 0.29 | 0.06 | 0.15 | 0.01 | 0.13 | 0.02 | 0.18 | 0.01 | 0.18 | 0.01 |
| Yb | 1.32 | 0.08 | 1.38 | 0.13 | 1.14 | 0.05 | 1.14 | 0.03 | 1.02 | 0.05 | 1.33 | 0.02 | 0.67 | 0.03 | 0.55 | 0.01 | 0.82 | 0.04 | 0.82 | 0.02 |
| Lu | 0.16 | 0.01 | 0.15 | 0.03 | 0.14 | 0.01 | 0.15 | 0.01 | 0.16 | 0.01 | 0.18 | 0.01 | 0.081 | 0.004 | 0.087 | 0.001 | 0.10 | 0.005 | 0.101 | 0.003 |
| ∑REE+Y | 96.18 | 1.3 | 96.62 | 2.01 | 91.03 | 1.57 | 90.58 | 1.79 | 81.52 | 1.17 | 80.67 | 1.21 | 49.81 | 0.69 | 49.61 | 0.45 | 61.27 | 1.14 | 61.23 | 1.37 |
| ICP-MS | Laser Ablation | ||
|---|---|---|---|
| MS type | Agilent 7700x | Laser type | ArF excimer |
| RF power, W | 1450 | Wavelength, nm | 193 |
| Plasma gas, L/min Ar | 15.0 | Pulse duration, ns | 5 |
| Auxiliary gas, L/min Ar | 1.0 | Repetition rate, Hz | 5 |
| Make-up gas, L/min Ar * | 0.8 | Fluence, J/cm2 | 2.51 |
| Detector mode | Dual | Spot size, µm | 35 |
| Settling time, ms | 0.2 | Sampling strategy | Single spot |
| Dwell time, ms * | 5.0 | Pulses/spot | 200 |
| Sweeps/reading * | 1 | Carrier gas, L/min He * | 0.2 Inner cup 0.6 Main volume |
| Data collection mode | Time-resolved analysis |
Disclaimer/Publisher’s Note: The statements, opinions and data contained in all publications are solely those of the individual author(s) and contributor(s) and not of MDPI and/or the editor(s). MDPI and/or the editor(s) disclaim responsibility for any injury to people or property resulting from any ideas, methods, instructions or products referred to in the content. |
© 2023 by the authors. Licensee MDPI, Basel, Switzerland. This article is an open access article distributed under the terms and conditions of the Creative Commons Attribution (CC BY) license (https://creativecommons.org/licenses/by/4.0/).
Share and Cite
Tan, X.; Tian, H.; Lu, L.; Xiong, D.; Liang, T. A Non-Matrix-Matched Calibration Method for In Situ Major and Trace Element Analysis of Scheelite by Nanosecond LA-ICP-MS. Molecules 2024, 29, 51. https://doi.org/10.3390/molecules29010051
Tan X, Tian H, Lu L, Xiong D, Liang T. A Non-Matrix-Matched Calibration Method for In Situ Major and Trace Element Analysis of Scheelite by Nanosecond LA-ICP-MS. Molecules. 2024; 29(1):51. https://doi.org/10.3390/molecules29010051
Chicago/Turabian StyleTan, Xijuan, Honghao Tian, Lin Lu, Dongyang Xiong, and Ting Liang. 2024. "A Non-Matrix-Matched Calibration Method for In Situ Major and Trace Element Analysis of Scheelite by Nanosecond LA-ICP-MS" Molecules 29, no. 1: 51. https://doi.org/10.3390/molecules29010051
APA StyleTan, X., Tian, H., Lu, L., Xiong, D., & Liang, T. (2024). A Non-Matrix-Matched Calibration Method for In Situ Major and Trace Element Analysis of Scheelite by Nanosecond LA-ICP-MS. Molecules, 29(1), 51. https://doi.org/10.3390/molecules29010051

