Complexation of Boronic Acid with Chiral α-Hydroxycarboxylic Acids and the Ability of the Complexes to Catalyze α-Hydroxycarboxylic Acid Esterification
Abstract
1. Introduction
2. Results and Discussion
2.1. Effect of BA on the Optical Rotation of Aqueous HCA Solutions
2.2. Comparison of the Effects of Protonic Acid and BA on the Optical Rotation of Chiral HCAs
2.3. Complexes between BA and Several Common HCAs
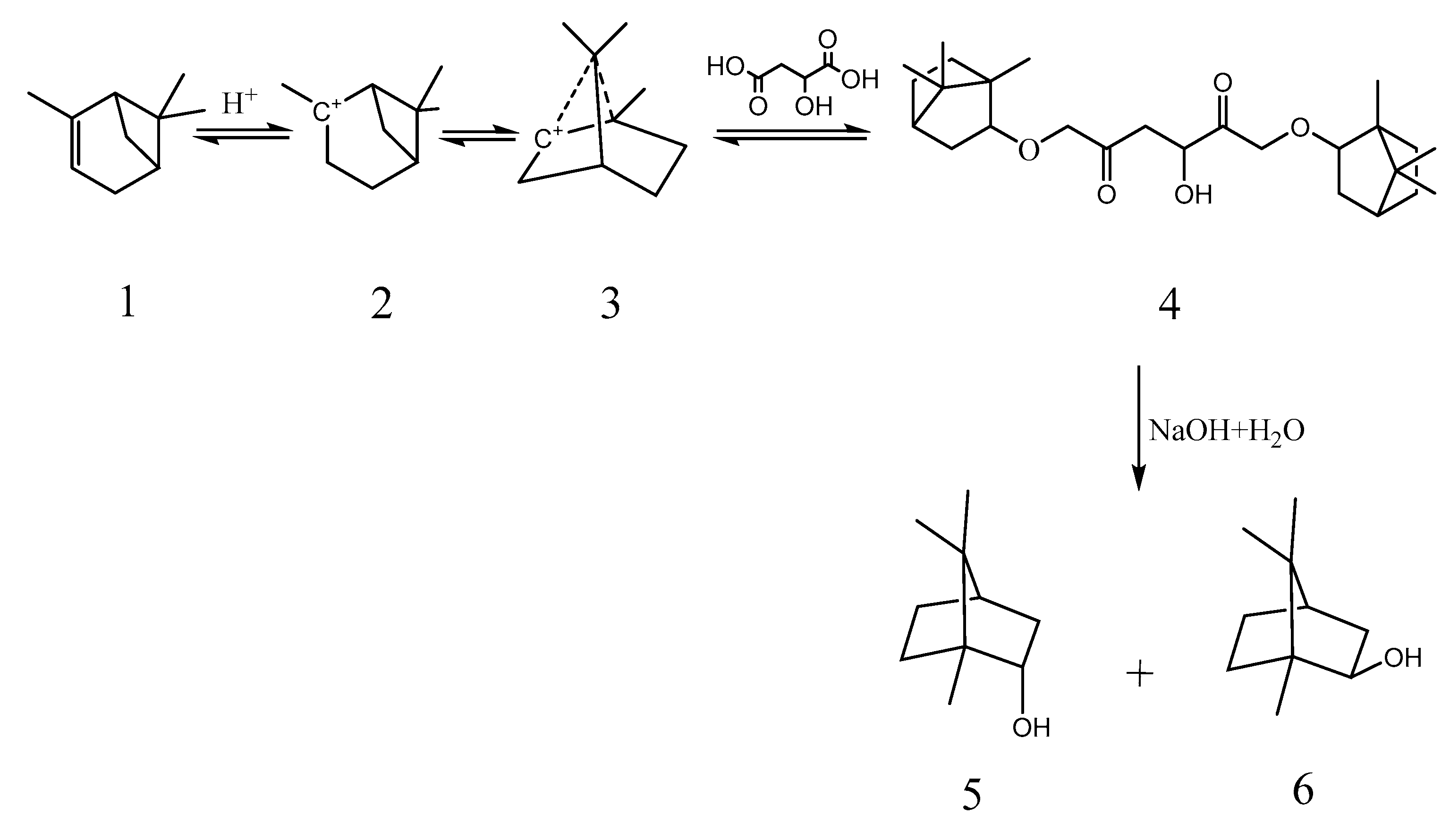
2.4. Boric Acid Catalyzed the Esterification of HCA
3. Experimental Section
3.1. Materials and Apparatus
3.2. Experimental Methods
3.2.1. Determination of the Optical Rotation of the BA and HCA Mixture
3.2.2. α-Hydroxycarboxylic Esters
3.3. Analytical Methods
4. Conclusions
Supplementary Materials
Author Contributions
Funding
Institutional Review Board Statement
Informed Consent Statement
Data Availability Statement
Acknowledgments
Conflicts of Interest
References
- Wilbur, J. Final Report on the Safety Assessment of Acetyl Triethyl Citrate, Acetyl Tributyl Citrate, Acetyl Trihexyl Citrate, and Acetyl Trioctyl Citrate. Int. J. Toxicol. 2002, 21 (Suppl. S2), 1–17. [Google Scholar] [CrossRef]
- Blevins, D.G.; Lukaszewski, K.M. Boron in plant structure and function. Annu. Rev. Plant Physiol. Plant Mol. Biol. 1998, 49, 481–500. [Google Scholar] [CrossRef] [PubMed]
- Abdelnour, S.A.; Abd El-Hack, M.E.; Swelum, A.A.; Perillo, A.; Losacco, C. The vitalroles of boron in animal health and production: A comprehensive review. J. Trace Elem. Med. Biol. 2018, 50, 296–304. [Google Scholar] [CrossRef] [PubMed]
- Rebstöcková, M.; Bartušek, M. Reactions of boric acid with oxalic, glycolic and tartaric acids. Collect. Czechoslov. Chem. Commun. 1977, 42, 627–636. [Google Scholar] [CrossRef]
- Britton, H.T.S.; Jackson, P. 209. Physicochemical studies of complex formation involving weak acids. Part IX. Complex formation between boric and tartaric acids. J. Chem. Soc. (Resumed) 1934, 1002. [Google Scholar] [CrossRef]
- Tsuzuki, Y. The Nature of the Complex Formation between Boric Acid and Organic Polyoxy Compounds. Bull. Chem. Soc. Jpn. 1941, 16, 23–31. [Google Scholar] [CrossRef]
- Larsson, R.; Nunziata, G.; Pedersen, S.B. An Infrared Spectroscopic Investigation on the Complexes formed between Boric Acid and Lactic Acid in Aqueous Solution. Acta Chem. Scand. 1970, 24, 2156–2168. [Google Scholar] [CrossRef][Green Version]
- Pizer, R.; Selzer, R. The boric acid/lactic acid system. Equilibria and reaction mechanism. Inorg. Chem. 2002, 23, 3023–3026. [Google Scholar] [CrossRef]
- Maseda, M.; Miyazaki, Y.; Takamuku, T. Thermodynamics for complex formation of boric acid and borate with hydroxy acids and diols. J. Mol. Liq. 2021, 341, 117343. [Google Scholar] [CrossRef]
- Marziyeh, K.N.; Hamidreza, A. Tosylated cloisite as a new heterofunctional carrier for covalent immobilization of lipase and its utilization for production of biodiesel from waste frying oil. Renew. Energy 2021, 164, 876–888. [Google Scholar]
- Hamidreza, A.; Atefeh, Y.; Ameneh, T. Covalent immobilization of lipase from Candida rugosa on epoxy-activated cloisite 30B as a new heterofunctional carrier and its application in the synthesis of banana flavor and production of biodiesel. Int. J. Biol. Macromol. 2021, 178, 569–579. [Google Scholar]
- Martin, L.; Lopez, J.R.; Wallis, J.D.; Akutsu, H.; Wilson, C. Enantiopure and racemic radical-cation salts of B(malate)2− anions with BEDT-TTF. Dalton Trans. 2016, 45, 9285–9293. [Google Scholar] [CrossRef]
- Hu, S.Q.; Chen, Y.L.; Zhu, H.D.; Zhu, J.H.; Yan, N.; Chen, X.G. In situ synthesis of di-n-butyl l-tartrate–boric acid complex chiral selector and its application in chiral microemulsion electrokinetic chromatography. J. Chromatogr. A 2009, 1216, 7932–7940. [Google Scholar] [CrossRef]
- Wang, L.J.; Hu, S.Q.; Guo, Q.L.; Yang, G.L.; Chen, X.G. Di-n-amyl I-tartrate–boric acid complex chiral selector in situ synthesis and its application in chiral nonaqueous capillary electrophoresis. J. Chromatogr. A 2011, 1218, 1300–1309. [Google Scholar] [CrossRef] [PubMed]
- Hu, S.Q.; Chen, Y.L.; Zhu, H.D.; Shi, H.J.; Yan, N.; Chen, X.G. Effect of molecular structure of tartrates on chiral recognition of tartrate–boric acid complex chiral selectors in chiral microemulsion electrokinetic chromatography. J. Chromatogr. A 2010, 1217, 5529–5535. [Google Scholar] [CrossRef] [PubMed]
- Wang, L.J.; Liu, X.F.; Lu, Q.N.; Yang, G.L.; Chen, X.G. An ion-pair principle for enantioseparations of basic analytes by nonaqueous capillary electrophoresis using the di-n-butyl l-tartrate–boric acid complex as chiral selector. J. Chromatogr. A 2013, 1284, 188–193. [Google Scholar] [CrossRef] [PubMed]
- Jiao, F.P.; Chen, X.Q.; Wang, Z.; Hu, Y.H. Enantioselective transport of L-propranolol through a bulk liquid membrane containing complex of(S, S)-di-n-dodecyltartrate and boric acid. Lat. Am. Appl. Res. 2008, 38, 267–271. [Google Scholar]
- Zou, Y.; Wang, L.; Liu, Q.; Liu, H.; Li, F. Enantioseparations of three amino alcohols using a di-n-butyl-L-tartrate–boric acid complex as the mobile phase additive by reversed-phase high performance liquid chromatography. Anal. Methods 2014, 6, 4107–4114. [Google Scholar] [CrossRef]
- An, N.; Wang, L.; Zhao, J.; Lv, L.; Wang, N.; Guo, H. Enantioseparation of fourteen amino alcohols by nonaqueous capillary electrophoresis using lactobionic acid/D-(+)-xylose-boric acid complexes as chiral selectors. Anal. Methods 2016, 8, 1127–1134. [Google Scholar] [CrossRef]
- Zhang, P.; Wang, S.; Xu, W.; Tang, K. Modeling Multiple Chemical Equilibrium in Single-Stage Extraction of Atenolol Enantiomers with Tartrate and Boric Acid as Chiral Selector. J. Chem. Eng. Data 2017, 62, 4344–4355. [Google Scholar] [CrossRef]
- Ristic, M.D.; Rajakovic, L.V. Boron Removal by Anion Exchangers Impregnated with Citric and Tartaric Acids. Sep. Sci. Technol. 1996, 31, 2805–2814. [Google Scholar] [CrossRef]
- Rajakovic, L.V.; Ristic, M.D. Sorption of boric acid and borax by activated carbon impregnated with various compounds. Carbon 1996, 34, 769–774. [Google Scholar] [CrossRef]
- Zohdi, N.; Mahdavi, F.; Abdullah, L.C.; Choong, T.S. Removal of boron from aqueous solution using magnetic carbon nanotube improved with tartaric acid. J. Environ. Health 2014, 12, 3. [Google Scholar] [CrossRef] [PubMed]
- John, J.; Rugmini, S.; Nair, B.S. Effect of the substituent on the thermal stability of spiroborate esters of curcumin. J. Therm. Anal. Calorim Int. Forum Therm. Stud. 2020, 139, 3537–3547. [Google Scholar] [CrossRef]
- Gauss, C.; Kadivar, M.; Harries, K.A.; Savastano, H., Jr. Chemical modification of Dendrocalamus asper bamboo with citric acid and boron compounds: Effects on the physical-chemical, mechanical and thermal properties. J. Clean. Prod. 2021, 279, 123871. [Google Scholar] [CrossRef]
- Meng, Z.L.; Qin, R.X.; Wen, R.S.; Li, G.Q.; Liang, Z.Y.; Xie, J.K.; Zhou, Y.H.; Yang, Z.Q. Studyon Synthesizing Isobornyl Acetate/Isoborneol from Camphene Using α-Hydroxyl Carboxylic Acid Composite Catalyst. Molecules 2023, 28, 1875. [Google Scholar] [CrossRef] [PubMed]
- Meng, Z.L.; Qin, R.X.; Wen, R.S.; Li, G.Q.; Liang, Z.Y.; Xie, J.K.; Yang, Z.Q.; Zhou, Y.H. Study on the Hydration of α-Pinene Catalyzed by α-Hydroxycarboxylic Acid–Boric Acid Composite Catalysts. Molecules 2023, 28, 3202. [Google Scholar] [CrossRef]
- Qin, R.X.; Chen, H.Y.; Wen, R.S.; Li, G.Q.; Meng, Z.L. Effect of Boric Acid on the Ionization Equilibrium of α-Hydroxy Carboxylic Acids and the Study of Its Applications. Molecules 2023, 28, 4723. [Google Scholar] [CrossRef]
- Meng, Z.L.; Wen, R.S.; Huang, X.R.; Qin, R.X.; Hu, Y.M.; Zhou, Y.H. Synthesis of Terpineol from Alpha-Pinene Catalyzed byα-Hydroxy Acids. Molecules 2022, 27, 1126. [Google Scholar] [CrossRef]
- Nigiz, F.U.; Hilmioglu, N.D. Simultaneous separation performance of a catalytic membrane reactor for ethyl lactate production by using boric acid coated carboxymethyl cellulose membrane. React. Kinet. Mech. Catal. 2016, 118, 557–575. [Google Scholar] [CrossRef]
- Liu, J.P.; Wu, L.L.; Zhang, J.J.; Xu, P.F. Synthesis of Tributyl Citrate Catalyzed by Rare Earth Solid Superacid S2O82−/ZrO2-La2O3. J. East China Jiaotong Univ. 2015, 32, 108–113. [Google Scholar] [CrossRef]
- Chen, X.Y.; Zhong, X.B. Formation of Trioctyl Citrate (TOC). J. Fuqing Branch Fujian Norm. Univ. 2008, 02, 30–34. [Google Scholar] [CrossRef]
- Ma, J.R.; Xu, Z.M.; Xi, Z.H.; Zhao, L. Kinetics of synthesis of trioctyl citrate catalyzed by tetrabutyl titanate. Petrochem. Technol. 2016, 45, 828–833. [Google Scholar] [CrossRef]
- Qin, R.X.; Chen, H.Y.; Wen, R.S.; Liang, Z.Y.; Meng, Z.L. Synthesis of C12-C18 Fatty Acid Isobornyl Esters. Molecules 2023, 28, 7510. [Google Scholar] [CrossRef]
- Fan, X.D.; Qiu, T.Q.; Su, J.Y. Progress in Preparation Methods and Pharmacological-pharmacodynamic Effects of Borneol. Chem. Ind. For. Prod. 2011, 31, 122–136. [Google Scholar]
- Chen, S.H.; Jiang, M.Y.; Huang, X. Application of B/Ti-based Composite Catalyst in Synthetic Borneol Production. Biomass Chem. Eng. 2010, 44, 36–39. [Google Scholar]






Disclaimer/Publisher’s Note: The statements, opinions and data contained in all publications are solely those of the individual author(s) and contributor(s) and not of MDPI and/or the editor(s). MDPI and/or the editor(s) disclaim responsibility for any injury to people or property resulting from any ideas, methods, instructions or products referred to in the content. |
© 2023 by the authors. Licensee MDPI, Basel, Switzerland. This article is an open access article distributed under the terms and conditions of the Creative Commons Attribution (CC BY) license (https://creativecommons.org/licenses/by/4.0/).
Share and Cite
Meng, Z.; Qin, R.; Wen, R.; Xie, J.; Chen, H.; Li, G. Complexation of Boronic Acid with Chiral α-Hydroxycarboxylic Acids and the Ability of the Complexes to Catalyze α-Hydroxycarboxylic Acid Esterification. Molecules 2024, 29, 43. https://doi.org/10.3390/molecules29010043
Meng Z, Qin R, Wen R, Xie J, Chen H, Li G. Complexation of Boronic Acid with Chiral α-Hydroxycarboxylic Acids and the Ability of the Complexes to Catalyze α-Hydroxycarboxylic Acid Esterification. Molecules. 2024; 29(1):43. https://doi.org/10.3390/molecules29010043
Chicago/Turabian StyleMeng, Zhonglei, Rongxiu Qin, Rusi Wen, Junkang Xie, Haiyan Chen, and Guiqing Li. 2024. "Complexation of Boronic Acid with Chiral α-Hydroxycarboxylic Acids and the Ability of the Complexes to Catalyze α-Hydroxycarboxylic Acid Esterification" Molecules 29, no. 1: 43. https://doi.org/10.3390/molecules29010043
APA StyleMeng, Z., Qin, R., Wen, R., Xie, J., Chen, H., & Li, G. (2024). Complexation of Boronic Acid with Chiral α-Hydroxycarboxylic Acids and the Ability of the Complexes to Catalyze α-Hydroxycarboxylic Acid Esterification. Molecules, 29(1), 43. https://doi.org/10.3390/molecules29010043

