Abstract
Iridium(III) complexes are emerging as a promising tool in the area of detection and therapy due to their prominent photophysical properties, including higher photostability, tunable phosphorescence emission, long-lasting phosphorescence, and high quantum yields. In recent years, much effort has been devoted to develop novel near-infrared (NIR) iridium(III) complexes to improve signal-to-noise ratio and enhance tissue penetration. In this review, we summarize different classes of organometallic NIR iridium(III) complexes for detection and therapy, including cyclometalated ligand-enabled NIR iridium(III) complexes and NIR-dye-conjugated iridium(III) complexes. Moreover, the prospects and challenges for organometallic NIR iridium(III) complexes for targeted detection and therapy are discussed.
1. Introduction
Optical strategies for detection and therapy have received significant attention recently due to the advantages of minimal noninvasiveness, simple controllability, and high spatiotemporal selectivity [1]. However, traditional fluorescent probes emit in the UV–visible region, which limits their application in biomedical fields. In recent years, researchers have been researching the development of near-infrared (NIR) fluorescent probes that have emission wavelengths of over 650 nm [2,3], including cyanines, squaraines, and azo-boron dipyrromethenes (BODIPYs) [4,5,6]. Biological tissues exhibit low absorption and autofluorescence in the NIR region, thus achieving higher signal-to-noise ratios (SNR) [6,7]. However, organic NIR dyes suffer from limitations including aggregation, photobleaching, unspecific binding to cell components, small Stokes shifts, and poor hydrophilicity [5,8,9,10]. For example, squaraines are susceptible to be attacked by strong nucleophiles and are prone to aggregation, resulting in the formation of non-luminescent species [11]. BODIPYs have improved photostability and chemical stability under physiological conditions, but their low water solubility and their small Stokes shifts still present challenges for their use [5,9]. Indocyanine Green (ICG), the only Food and Drug Administration (FDA)-approved cyanine probe for in vivo use in medical applications, also has a small Stokes shift (λexc = 780 nm, λemi = 822 nm) and poor photostability [12,13]. Moreover, most organic fluorophores generally undergo photobleaching during long-term use, resulting in poor light stability [10,13].
Organometallic iridium(III) complexes have attracted much attention due to their superior photophysical properties, including higher photostability, tunable phosphorescence emission, long-lasting phosphorescence, high quantum yields, wide Stokes shifts, and higher photostability [14,15,16,17,18,19]. Compared with organic probes, iridium(III) complexes can avoid interference from short-lived background autofluorescence by time-resolved emission spectroscopy [20,21,22]. In addition, the modular construction of organometallic iridium(III) complexes allows for tunable properties and easy modifications [14,19,23]. A typical organometallic iridium(III) complex consists of two cyclometalated ligands and one ancillary ligand. The cyclometalated ligands regulate the wavelength of emission, allowing extension of the emission wavelength into the NIR region [14,19,23], while the modification of the ancillary ligand enables functionalization with targeting groups for precision imaging or therapy. For example, iridium(III) complexes have been developed that can visualize a variety of organelles, such as mitochondria, lysosomes, endoplasmic reticulum, Golgi apparatus, nucleus, and nucleolus, while other complexes have been demonstrated to detect specific analytes, such as small molecules, metal ions, enzymes, and proteins [16,24,25]. The unique photophysical properties of iridium(III) complexes have also been exploited for photodynamic therapy (PDT), photothermal therapy (PTT), and photoactivated (PACT) and sonodynamic therapies (SDT), largely based on non-emissive pathways of excited triplet state relaxation [26,27,28,29,30]. These characteristics of iridium(III) complexes provide myriad possibilities for the precise detection and treatment of disease.
The ideal bioimaging probe needs to fulfill several requirements: (1) chemical stability and biocompatibility, and (2) an emission wavelength located in the NIR window in order to improve tissue penetration and improve detection sensitivity [1,5,6,18,31]. However, most phosphorescent iridium(III) complexes reported in the literature exhibit emission wavelengths below 650 nm, which hinders their clinical potential [28]. Although a number of two-photon absorption or even three-photon absorption iridium(III) complexes have been reported in the literature [32,33,34,35,36], they generally require harsh excitation conditions, expensive equipment, and narrow excitation range. Therefore, researchers have turned their attention towards the development of NIR iridium(III) complexes that have the potential to overcome the autofluorescence of biomolecules, improve tissue penetration, and reduce phototoxicity in healthy tissues [25,28,31,37].
There have been several reviews on the NIR transition metal complexes [14,17,19,23,38]; however, none of them focused on the application of NIR iridium(III)-based probes for biomedical use. Therefore, this review presents the progress and strategies of organometallic NIR iridium(III) complexes for detection and therapy (Figure 1). We believe that this review will help researchers better understand the unique potential of these probes for practical applications.
Figure 1.
Schematic diagram of application of organometallic NIR iridium(III) complexes.
2. General Strategies to Design NIR Iridium(III) Complexes
A typical organometallic iridium(III) complex consists of two cyclometalated C^N ligands and an ancillary N^N ligand [14,39,40]. Hence, these complexes of general structure [Ir(C^N)2(N^N)]+ are heteroleptic and monocationic, requiring a positive counterion (e.g., Cl−, PF6−) to balance the charge [41,42]. 2-Phenylpyridine (ppy) is the prototypical and most widely used cyclometalating ligand. The C^N ligand largely determines the strength and structural rigidity of the spin–orbit coupling (SOC) interaction; thus, it plays a dominant role in controlling the photophysical properties of the final complex [23]. Consequently, the design of the C^N ligands is critical to tailor the emission of iridium(III) complexes. To enable NIR emission, a common strategy is to elongate the π-conjugation system of the cyclometalated ligands of iridium(III) complexes by introducing electron-rich aromatic or heteroaromatic rings (Figure 2) [14,23]. Alternatively, an NIR-absorbing fluorophore moiety such as azo-BODIPY and cyanine can be conjugated to the iridium(III) scaffold [19,38].
Figure 2.
Two main strategies of designing NIR iridium(III) complexes. (1) Cyclometalated ligand-enabled NIR iridium(III) complexes. (2) NIR dye conjugation-enabled NIR iridium(III) complexes.
A comparison of the advantages and disadvantages of these two methods is presented in Table 1.
Table 1.
The advantages and disadvantages of two methods (direct modification with cyclometalated ligand and indirect modification with NIR dye).
2.1. Cyclometalated Ligand-Enabled NIR Iridium(III) Complexes
At present, most NIR iridium(III) complexes are constructed through the modification of cyclometalated ligands, such as 2-pyridylbenzothiophene (btp) [43,44], 2-phenylbenzimidazole (2-pbz) [40,45,46], and 2-phenylquinoxaline (pqx) [47,48]. Generally speaking, the bathochromic shift in emission wavelengths of iridium(III) complexes can be achieved by increasing the conjugation of the chelating ligands and by introducing substituents [47]. These types of NIR iridium(III) complexes have been widely developed for environmental analysis and disease-related target detection.
2.1.1. Cyclometalated Ligand-Enabled NIR Iridium(III) Complexes for the Detection of Environmental Analytes
Conventional instrumental methods for detecting ions and environmental contaminants, including absorption spectroscopy and inductively coupled plasma mass spectrometry, often involve tedious preparation protocols, expensive instrumentation, long operation times, and low efficiency [49]. In recent years, luminescent transition metal complexes have been widely explored for environmental analysis and bioimaging due to their long emission lifetimes, tunable luminescence wavelengths, high photostability, and wide Stokes shifts. Consequently, considerable efforts have been undertaken to develop NIR iridium(III) complexes for the detection of environmental contaminants [50].
In 2020, Wang’s group reported an NIR iridium(III) complex 1 (Figure 3) to monitor boron trifluoride (BF3) [51,52,53]. This probe utilized 2-aryl substituted quinoxaline C^N ligands and a 2-(1H-imidazo [4,5-f][1,10]phenanthrolin-2-yl)phenol N^N ligand. The luminescence intensity of the complex at 650 nm increased in the presence of BF3. It is worth noting that the probe can achieve rapid detection of BF3 within 5 s, being faster than previously reported optical probes. Moreover, the probe allowed for the visual detection of BF3 on a glass pane under UV irradiation. The mechanism of detection of BF3 was attributed to the coordination of BF3 to the N and O atoms of the N^N ligand of the complex. Moreover, the probe was selective for BF3 over a range of common boron reagents or by-products, such as sodium tetrafluoroborate (NaBF4), hydrogen fluoride (HF), and boric acid (H3BO3).
Figure 3.
Chemical structures of 1–3.
The anthropogenic discharge of free metal ions can lead to human health and environmental problems. Palladium (Pd) species can bind to thiol-rich biomolecules such as amino acids and proteins, impairing the normal function of cells and even causing disease [54,55]. In 2022, Wang’s group developed the first NIR iridium(III) complex 2 (Figure 3) with allyl and amino groups in the 2,2′-bipyridine N^N ligands for imaging mitochondrial Pd species in living cells [53]. The complex displayed large Stokes shift, a long emission lifetime (314.8 ns), and good photostability. The luminescence intensity of the complexes decreased dramatically in response to Pd0 in solution, with a limit of detection (LOD) of 0.5 μM. In live cell imaging experiments, the probe could not only image mitochondria Pd0 in HeLa cells but also sense other subcellular Pd species. We hypothesized that the inherently cationic and lipophilic properties of the complex endowed it with mitochondrial specificity.
Au3+ ions in the environment may cause growth inhibition, immobilization, developmental malformation, and/or death of aquatic organisms. Moreover, excessive exposure to Au3+ ions can cause oxidative DNA damage, especially in liver, kidney, and brain tissues [56,57]. Wang’s group reported a one-step synthesis and real-time monitoring of iridium(III) complex-functionalized AuNPs, which was enabled by the reaction between the propargyl groups of an iridium(III) complex 3 and Au3+ ions [52]. The probe exhibited multimodal characteristics, which decreases interference of other metal ions, thereby increasing selectivity of the probe for Au3+ ions. Moreover, as the Au3+ concentration increased from 0.5–200 μM, the emission intensity gradually decreased at 470 nm and 700 nm. A linear relationship between luminescence quenching at 700 nm and the concentration of Au3+ ions was observed in the range of 1–15 μM, with a detection limit of 0.38 μM. The photophysical properties of complexes 1–3 are summarized in Table 2.
Table 2.
Photophysical properties of 1–3.
2.1.2. Cyclometalated Ligand-Enabled NIR Iridium(III) Complexes for the Detection of Disease-Related Targets
Fluorescent probes have been widely used in biological imaging for disease diagnosis [58,59,60]. Due to their desirable advantages [61,62,63], the study of NIR iridium(III) complexes for biological imaging, sensing, and cancer diagnosis is rapidly increasing.
In 2020, Lv’s group developed an oxime-decorated iridium(III) complex 4a as a multimodal imaging probe for simultaneous chemiluminescence (CL) as well as two-photon luminescence lifetime imaging of hypochlorous acid (HClO) in living systems (Figure 4) [64]. Later, by extending the conjugation of the aromatic rings of the previous complex, the authors developed the oxime-conjugated iridium(III) complex 5a (Figure 5) as the first example of a two-photon NIR probe for multisignal detection and multimodal imaging with ClO− [65]. After the reaction with ClO−, the maximum emission intensity at 663 nm was significantly increased. Most recently, this group synthesized an ionic iridium(III) complex 6a by using the electron-rich 2-phenyl-3-methylquinoxaline as the C^N ligand and an oxime-modified N^N ligand to afford a molecular NIR CL probe. The CL signals of NIR 6a showed a good linear relationship with HClO concentrations within the range of 1–80 μM. Probe 6a was highly sensitive for HClO detection, while the LOD at 0.14 μM (3σ/k) was lower than most reported detection methods [66].
Figure 4.
Construction of the multimodal HClO imaging probe. Reproduced with permission from Ref. [66] Copyright 2023 American Chemical Society.
Figure 5.
Chemical structures of 4b–5b.
Biothiols mainly include three biomolecules, cysteine (Cys), homocysteine (Hcy), and glutathione (GSH). Aberrant levels of biothiols are indicative of different pathological conditions, including cardiovascular diseases, liver injuries, and cancer. Moreover, thiols affect oxidative stress in cells and are involved in the production of signal molecules (such as H2S), protein functionalization, and lipid metabolism [67].
In 2017, Fan’s group first reported an NIR iridium(III) complex with an aldehyde group on the main C^N ligand btp for visualizing Cys and Hcy in live cells and mice [68]. In the presence of Hcy/Cys, the luminescence intensity of 7a is enhanced, which is due to the fact that the electron-withdrawing property of the aldehyde group is abolished by reaction with the thiol (Figure 6). The detection limit was 13.7 μM for Cys and 9.7 μM for Hcy (S/N = 3), respectively. In 2020, the same group reported another NIR iridium(III) complex 8a with the main C^N ligand btp for visualizing Cys and Hcy in live cells and mice, in which the α,β-unsaturated ketone group, which acts as a quencher, is connected to the ancillary ligand ppy (Figure 7) [69]. The nucleophilic addition reaction between 8a and aminothiol occurred rapidly and the emission intensity increased by more than 40 times. In 2022, Lo’s group reported NIR iridium(III) polypyridine methylsulfone complexes 9 with high reactivity and selectivity towards Cys-bearing peptides and proteins [70]. The emission of the complex was regulated by using the highly π-conjugated ligand benzo[a]phenazine (bpz).
Figure 6.
Schematic illustration of the mechanism of 7a response to Cys and Hcy. Red simply represents enhanced luminescence of the complex. Reproduced with permission from Ref. [68]. Copyright 2017 Royal Society of Chemistry.
Figure 7.
Chemical structures of 8a–8c.
Peroxynitrite (ONOO−), a highly reactive nitrogen species (RNS) in the biosphere, is produced by the diffusion-controlled reaction between nitric oxide (NO) and superoxide (•O2−) radicals. It plays an important role in activating or inducing biological signal transduction processes and immune responses, as well as modulating redox homeostasis. An excessive amount of ONOO− is associated with cancer, cardiovascular diseases, and neurodegenerative disorders [59,71].
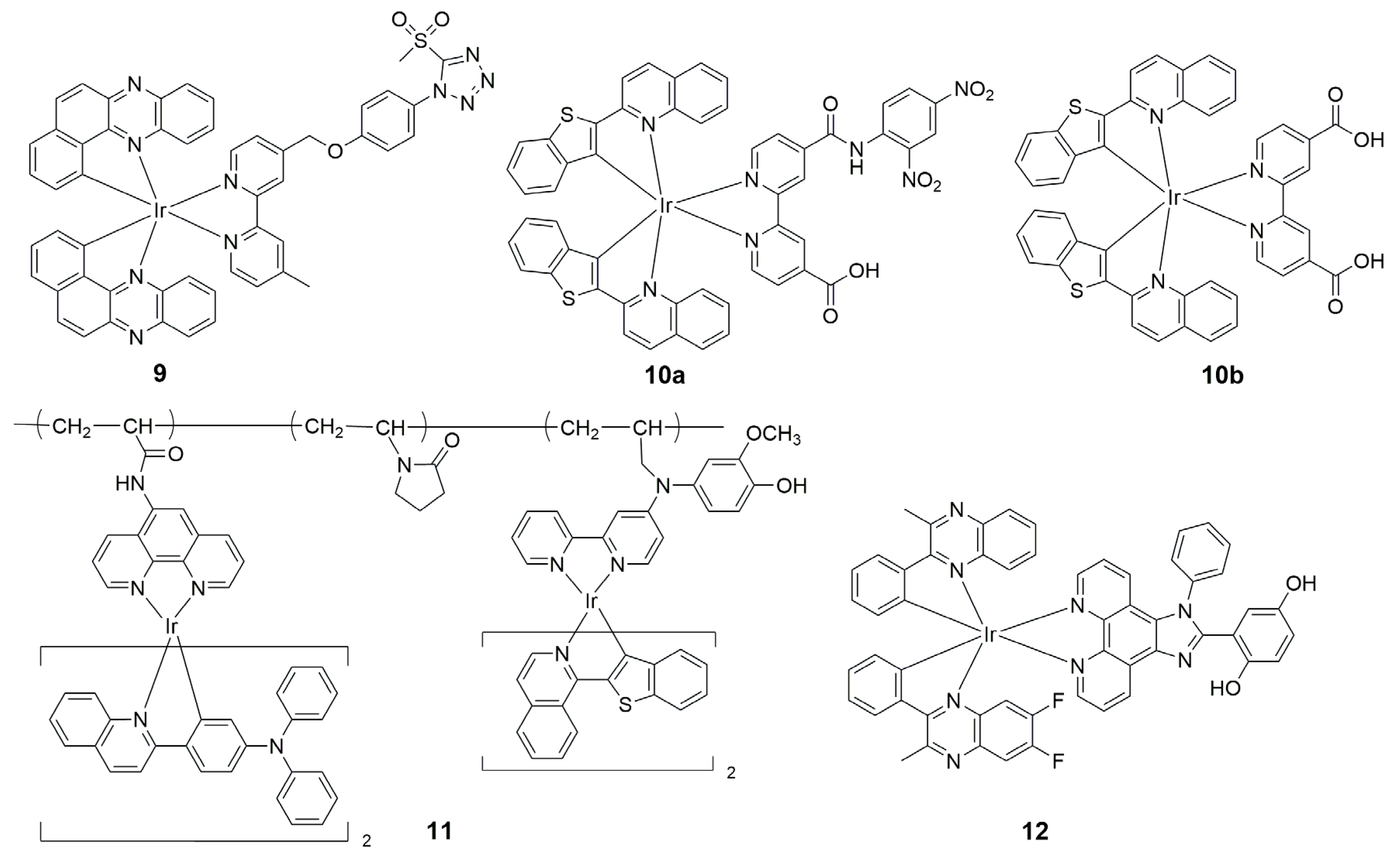
In 2019, a novel NIR iridium(III) complex was synthesized to detect ONOO− within seconds (Figure 8) [72]. A strong electron-withdrawing group, 2,4-dinitroaniline, was introduced into the accessory ligand of 10a, which reacts with the oxidizer ONOO−. Importantly, probe 10a showed an emission wavelength in the NIR region between 660 nm and 710 nm and was able to specifically sense ONOO− produced in living cells and mouse models of inflammation.
Figure 8.
Chemical structures of 9–12.
In 2020, Zhao’s group developed a luminescence method for exploring acute drug-induced liver injury in vivo based on a phosphorescent polymer probe 11 with NIR dual-emissive characteristics [73]. With the utilization of 11, the produced ONOO− was visualized successfully in drug-treated hepatocytes with a high signal-to-noise ratio via ratiometric and time-resolved photoluminescence imaging. Encouragingly, the increase in ONOO− produced in ketoconazole-induced liver injury was directly observed for the first time [73].
In 2021, Chao’s group developed a mitochondria-targeted NIR iridium(III) complex with an approximate maximum emission wavelength at 704 nm [74]. It has redox reversible properties and was used for the detection and imaging of cellular redox status by visualizing endogenous ONOO−/GSH. Probe 12 was successfully applied to monitor the reversible redox cycle between ONOO− and GSH in living animals, which means that 12 has great potential to be utilized for evaluating hepatotoxicity caused by drugs such as acetaminophen (APAP) and the progress of therapy by drugs such as N-acetylcysteine (NAC) in animals. The photophysical properties of complexes 4a–12 are summarized in Table 3.
Table 3.
Photophysical properties of 4a–12.
Biological microviscosity is one of the most essential micro-environmental parameters and contributes to biological functions by affecting the interaction and transportation of biomolecules and chemical signals within live cells. In 2018, Sun’s group reported a luminescent bimetallic iridium(III) complex for ratiometric tracking intracellular viscosity [75]. Probe 13 (Figure 9) has a large Stokes shift of 258 nm and exhibits dual emission maxima at around 521 and 708 nm. More importantly, 13 is cell-permeable and can be employed to distinguish cancer cells from normal cells and track viscosity changes during MCF-7 cell apoptosis.
Figure 9.
Chemical structures of 13–16b.
Oxygen is an important regulator of normal cells and an important indicator of cell/tissue physiological status under healthy and diseased conditions [76,77]. The demand and supplement of oxygen is thought to be closely linked to a variety of serious diseases, such as cancers, neurological diseases, arteriosclerosis, cerebral infarction, ischemic heart disease, chronic kidney disease, and diabetic retinopathy. The monitoring of oxygen concentration in the body can effectively diagnose and trace the metastasis of pathological tissues as well as more accurate personality therapy [78,79].
At present, the most widely used ligand in oxygen sensing is 2-(2-pyridyl)benzothiophene or related C^N ligands such as phenanthridine-benzothiophene (btph) cyclometalating ligand. In 2020, Kritchenkov et al. reported three iridium(III) complexes (14a–14c) bearing benzothienyl-phenanthridine groups as the cyclometalating C^N ligands and a pyridine-triazole ligand as the ancillary N^N ligand. With extended conjugation systems, these complexes had intense phosphorescence emission bands with maxima in the range of 710–720 nm [76]. Subsequently, a series of iridium(III) complexes (15a–15b) with the benzothienyl-phenanthridine group were further constructed [77]. All the complexes are luminescent in aqueous media with emission in the NIR region (~730 nm), a high quantum yield of up to ca. 12% in degassed solution, wide Stokes shifts, and lifetimes in the microsecond domain (3.23–3.28 μs). In the following report, a range of [Ir(N^C)2(N^N)]+-type iridium(III) complexes were synthesized, where the C^N cyclometalating and N^N diimine ligands were varied to modulate the donor/acceptor ability of substituents. These complexes displayed strong NIR emission (λemi > 710 nm) and high quantum yields from 10.3 to 20.5% in degassed methanol. All the complexes showed strong lifetime dependence on oxygen concentration, and two of them (16a–16b) were utilized as oxygen sensors in cell cultures [80]. The photophysical properties of complexes 13–16b are summarized in Table 4.
Table 4.
Photophysical properties of 13–16b.
2.1.3. Cyclometalated Ligand-Enabled NIR Iridium(III) Complexes for Targeted Therapy
Iridium(III) complexes have attracted great interest as promising photosensitizer (PS) candidates because of their favorable chemical and photophysical properties, long excited lifetimes, and high intersystem crossing (ISC) ability. As PSs, iridium(III) complexes exhibit highly populated triplet states for ROS production that can be tuned by modifying the coordination of different types of ligands. However, the long-wavelength excitation and deeper tissue penetration of PSs are crucial to ensure effective therapeutic effects. Unfortunately, most of the reported cyclometalated iridium(III) complexes require activation by short wavelengths, which compromises their potential clinical application. To shift the absorption and emission wavelengths of iridium(III) complexes to longer wavelengths, electron-donating or electron-withdrawing substituents can be introduced at appropriate positions on the aromatic ring of the ligands [81].
In 2017, Sun’s group synthesized five heteroleptic cationic iridium(III) complexes as in vitro theranostic PDT agents, with an π-expansive cyclometalating 2,3-diphenylbenzo[g]quinoxaline (dpbq) ligand as the C^N ligand [48]. The maximum emission wavelengths of these five iridium(III) complexes were 910–916 nm upon excitation at 473 nm due to the extensive degree of π-conjugation of the C^N ligands. All the complexes were biologically active toward melanoma cells in vitro. Complex 17 (Figure 10) became a very potent cytotoxin with light activation, with photocytotoxicity indexes (PIs) of almost 275 and EC50 values as low as 12–18 nM. These iridium(III) complexes induced aggregation of DNA and production of 1O2 in cell-free experiments, and were taken up readily by melanoma cells. However, their precise intracellular biological target(s) and mechanism(s) of action remain unknown.
Figure 10.
Chemical structures of 17–19.
In 2022, Tao et al. reported two new series of iridium(III) complexes based on the pq ligand by simply introducing a methoxyl group into different positions of the metalated phenyl moiety [82]. The maximum absorption peaks of 18 were located at 660 nm (ΦPL = 0.40 and ΦΔ = 0.73) in oxygen-free dimethyl sulfoxide (DMSO). The complex showed high sensitivity to oxygen, with cell images under 2.5% O2 being brighter than those taken under 21% O2. The hypoxia imaging performance of 18 was then evaluated in vitro. A strong phosphorescence (ROIB = 1.707 × 1010) was observed from tumor tissues under hypoxia, while a relatively weak phosphorescence (ROIA = 6.366 × 109) was detected from the subcutaneous tissue of nude mouse. Moreover, the complex was also applied for PDT in HepG2 cells. In 2023, He’s group developed a new NIR AIE-active iridium(III) photosensitizer via attaching triphenylamine on the 6-phenylphenantridine for mitochondria-targeted cancer PDT [83]. Complex 19 emits weakly in pure acetonitrile, but, as the volume fraction of water increases, the NIR phosphorescence (ca. 650–750 nm) is gradually enhanced with typical AIE features (Figure 10). In an in vivo cancer study, the tumor volumes of mice treated with 19 were decreased by about 59.8%, showing a strong PDT antitumor effect. Moreover, mechanistic studies revealed that 19 caused cellular ROS overproduction, mitochondria dysfunction, and ER stress in MDA-MB-231 cells upon photoirradiation, leading to apoptotic cell death. Overall, 19 is a promising PS for mitochondria-targeted imaging and cancer phototherapy.
In 2021, complexes 20a and 20b, two new benzothiophenylisoquinoline (btiq)-derived cyclometalated iridium(III) complexes, were reported by the He group (Figure 11) [84]. Indeed, 20a and 20b exhibited maximum absorption wavelengths at 488 nm, while the maximum emission wavelengths were at 685 nm. Both complexes were active in type I PDT processes, generating hydroxyl radicals (•OH) and superoxide radicals (•O2−) in hypoxic conditions. Complex 20b accumulated preferentially in mitochondria due to introducing the presence of the mitochondria-targeting triphenylphosphonium group. Importantly, the PI of 20b under hypoxia was 3.6 times higher than 20a because of its mitochondria-targeting ability. Mechanistically, 20b combined the effects of ferroptosis and apoptosis to exert a dual mode of cell death, via both inhibiting ATP production and inducing more distinct mitochondria morphological change. Overall, the synergism of ferroptosis and apoptosis offered a new way to combat hypoxic and apoptosis-resistant tumor cells.
Figure 11.
Chemical structures of complexes 20a and 20b, and the illustration of cell death pathways induced by 20b. Reproduced with permission from Ref. [84]. Copyright 2021 John Wiley and Sons (Hoboken, NJ, USA).
Recently, Wang et al. developed an NIR luminescent theranostic 21 (Figure 12) for hepatocellular carcinoma (HCC) diagnosis and treatment through conjugating an iridium(III) complex to glycyrrhetinic acid (GA). The maximal emission peak of 21 occurred at around 686 nm by employing pqx-type C^N ligands. With the conjugation of GA, complex 21 could be selectively taken up by HepG2 liver cancer cells, and 21 (IC50 = 1.26 ± 0.07 μM) exhibits superior antitumor activity of its ligand GA (IC50 = 39.81 ± 0.2 μM) by enhancing mitochondrial targeting. Mechanistic studies revealed that 21 could target mitochondria and induce ROS accumulation, increase mitochondrial membrane permeability, and increase the Bax/Bcl-2 ratio to promote apoptosis of HCC cells. Moreover, complex 21 could distinguish HCC cells from other cells via NIR imaging. This work paves the way for the development of multifunctional probes that integrate diagnosis and therapeutics [85]. The photophysical properties of complexes 17–21 are summarized in Table 5.
Figure 12.
Chemical structure of 21.
Table 5.
Photophysical properties of 17–20b.
2.2. NIR Dye Conjugation-Enabled NIR Iridium(III) Complexes
Recently, an increasing number of transition metal complexes, such as Pt(II), Ru(II), Os(II), and iridium(III) complexes, have been explored for treatment by introducing fluorescent groups, such as BODIPY [86], porphyrin [87], xanthene [88], coumarin [89], and cyanine derivatives [90]. By taking advantage of fluorescent π–π* transitions at long wavelengths and cyclometalated iridium(III) complexes with efficient ISC and a long-lived triplet excited state, their conjugation can be exploited for developing theranostic agents. It is worth noting that no obvious wavelength shift in the conjugation is observed compared to the fluorescent groups, meaning that the optical properties of the conjugates mainly depend on the complexation of organic fluorophores. This also implies that the molecular orbitals of the ligand remain largely unchanged during the complexation process [86].
NIR Dye Conjugation-Enabled NIR Iridium(III) Complexes for Phototherapy
Among organic fluorophores, BODIPY, porphyrin, coumarin, rhodamine, and phthalocyanine derivatives have become important tools in diagnoses and therapy because of their high molar absorption coefficients and long-wavelength excitation [91,92]. However, their poor ISC capacity leads to lower ROS production, resulting in unsatisfactory PDT treatment [93]. In this context, it is a promising strategy to combine the rich and tunable photophysical anticancer properties of transition metal complexes with the photochemical properties of organic small-molecule chromophores. As a result, long-wavelength excitation and long-lived triplet metal-to-ligand charge transfer (3MLCT) states can be obtained for high ROS generation.
During the past decade, BODIPY has proven to be an attractive PS to be introduced into transition metal complexes [86,94,95]. In 2014, Zhao’s group developed a method to obtain transition metal complexes with strong visible light absorption and long-lived triplet excited states by attaching BODIPY to the coordination center via a π-conjugation linker (C-C triple bond) [86]. As a result, the complexes 22a–d (Figure 13) showed strong NIR absorption (644–729 nm), strong NIR fluorescence (700–800 nm), and long-lived triplet excited states (92.5–156.5 μs) under N2. The maximum emission peak of 22c (683 nm) was red-shifted compared to 22a (624 nm), which was attributed to superior intramolecular charge transfer (ICT) effects between BODIPY and the styryl group with an amino substituent. Similar trends were observed for the distyryl compounds 22b and 22d. Another series of BODPIY-linked iridium(III) complexes were reported in 2019 [96]. The UV–vis absorption of complex 23 was obtained in the red region of the spectrum with high molar extinction coefficients (19.49 × 104 M−1 cm−1). Unfortunately, the production of triplet excited states was not supported, which could have been due to the inappropriate distance between the coordination center and BODIPY unit. Nonetheless, the value of φΔ for 23 was six times higher than that of the free BODIPY.
Figure 13.
Chemical structures of 22a–23.
Due to their absorption in the red-light region, porphyrin derivatives have been utilized as phototherapy agents. In 2021, Bryce’s group combined the respective advantages of small organic molecules and transition metal complex PSs to obtain iridium(III)-porphyrin conjugates 24a–24b (Figure 14) with long-wavelength excitation for high-efficiency synergistic PDT and PTT treatment [87]. The complexes possessed deep-red absorbance, long-wavelength excitation (635 nm), and NIR emission (720 nm). With the increasing number of iridium(III) centers from tetraphenylporphyrin (TPP), the HOMO–LUMO energy gap decreases. The relatively narrow gap suggests a long-wavelength absorption, especially for 24b, which is promising for phototherapy. Meanwhile, 24b possessed higher photothermal conversion efficiencies (PCE) compared with 24a (49.5% vs. 37.8%), indicating that the additional iridium(III) centers can improve the thermal effect. Subsequently, this group reported mono- and tetra-nuclear iridium(III) complex-porphyrin conjugates that exhibited long wavelength absorption (500–700 nm) and NIR emission (635–750 nm) [97]. Similar to the previous results, the introduction of additional iridium(III) centers to extend the π-conjugation could enhance the PDT effect. In measurements of time-dependent kinetics of 1O2 generation, the kinetic decay of 25b was 55.5 times that of 25a. Finally, complex 25b exhibited obvious AIE characteristics and low half-maximal inhibitory concentration against HeLa cells (IC50 = 0.47 × 10−6 M).
Figure 14.
Chemical structures of 24a–25b.
Xanthene dye, one of the most common organic dyes, has been widely applied in chemosensors and biomolecules because of its excellent photophysical properties and high mitochondria-targeting ability [98]. In 2021, Wong’s group reported a mitochondria-targeting PS iridium(III) complex 26a (Figure 15) by introducing xanthene dye [88]. The complex exhibits synergistic PDT effects, including low dark cytotoxicity, selective mitochondria-targeting uptake, high molar absorptivity, and high photostability. The emission spectrum of 26a showed an intense emission peak at around 650 nm, with a shoulder at around 705 nm. The generated quantum yield for 1O2 of 26a was 0.72, which is much higher than that of 26b (0.29) and its N^N ligand, thus improving the problem of low 1O2 generation efficiency. This result indicates that the combination of the xanthene dye and phosphorescent iridium(III) center exhibits synergistic merits for PDT applications. Moreover, 26a shows stronger mitochondria-targeting properties due to the introduction of xanthene dye. Mechanistically, 26a induced mitochondrial depolarization and apoptosis. The in vivo photo-antitumor activity of the complex was further demonstrated in tumor-bearing mice.
Figure 15.
Chemical structures of 26a–27a.
Another challenging problem that a potential PS faces is the treatment of solid tumors under highly hypoxic conditions [99,100,101]. Therefore, there is an urgent need to overcome the shortcomings of hypoxia and achieve more ideal tumor treatment. From the perspective of the therapeutic mechanism of PDT, type II PDT produces singlet oxygen (1O2) by direct energy transfer from PS to the ground state of molecular oxygen. On the other hand, type I reactions generate several other cytotoxic reactive species, such as OH• and •O2−, following photoinduced electron transfer [102,103]. Therefore, type I PDT overcomes the intrinsic limitations of conventional PDT treatment owing to the diminished O2 dependence and achieves superior solid tumor PDT efficacy [104]. An alternative strategy to generate singlet oxygen is the use of sonosensitizers. The benefit of sonosensitizers is that ultrasound exhibits much greater depth in tissue penetration compared with light. Moreover, sonosensitizers can be combined with photoacoustic imaging to guide ultrasound irradiation time during treatment. Recently, iridium(III)-phthalocyanine and iridium(III)-cyanine complexes have been reported for sonosensitizer and photoacoustic imaging applications [90,105].
In 2019, Marchán’s group reported a cyclometalated iridium(III) complex 27b (Figure 16) conjugated to a far-red-emitting coumarin for cancer phototherapy [89]. The 1O2 quantum yield of coumarin (<0.01) increased by one order of magnitude in the complex 27b (>0.19) in all organic solvents due to an enhanced ISC induced by the heavy iridium(III) ion. Treatment with 27b generates a specific type I ROS in living cells upon visible-light irradiation, •O2−, overcoming the drawback of traditional PSs such as O2-tension dependency. The low dark cytotoxicity of 27b led to excellent PIs of 85 and 161 after irradiation with green and blue light, respectively. Moreover, the cytotoxicity of compounds 27a and 27b was similar in both normoxic and hypoxic conditions.
Figure 16.
Schematic representation of the iridium(III)-coumarin conjugate 27b. Reproduced with permission from Ref. [89]. Copyright 2019 John Wiley and Sons.
According to the energy gap law [106], the low-energy excited state associated with low energy absorption will sharply increase the non-radiative decay rate of thermal relaxation. However, enhanced non-radiative relaxation may produce hyperthermia for PTT, which could be exploited to kill hypoxic tumors. In 2021, Chen’s group developed an NIR iridium(III) complex (28a) for potent PDT/PTT (Figure 17) [32]. By the combination of the neutral iridium(III) complex with the BODIPY scaffold, the population of the triplet excited state in 28a is increased, with enhanced non-radiative decay. The iridium(III) complexes absorb strongly at 550–750 nm with a band maximum at 685 nm. Upon micellization, 28a forms J-type aggregates (28b). Due to the high molar extinction coefficient and the amplification of light-to-ROS/heat conversion, the generation of 1O2 and photothermal effects are promoted, causing severe apoptosis. Aggregate 28b not only destroyed orthotopic 4T1-Luc tumors but also prevented metastasis to the lung damage under light irradiation, manifesting potent photocytotoxicity via synergetic PDT/PTT damage.
Figure 17.
Schematic illustration of the working mechanism of iridium(III) complex-derived polymeric micelles for combined PDT and PTT. Reproduced with permission from Ref. [32]. Copyright 2021 John Wiley and Sons.
In 2020, Gou’s group combined an iridium(III) complex with a donor–acceptor–donor (D–A–D)-type ligand to fabricate complex 29 (Figure 18) for NIR I-type PDT and PTT [107]. By using triphenylamine (TPA) and [1,2,5]thiadiazolo-[3,4-i] dipyrido[a,c]phenazine (TDP) as the electron donor and acceptor, 29 showed evident NIR absorption in the 600–1000 nm region, with an absorption maximum at 716 nm (ε = 9.0 × 103 M−1 cm−1), which was assigned to an ICT transition. The maximum absorption peak of 29 was gradually red-shifted to 814 nm with an increase in the water fraction up to 95%. Moreover, the significant ICT of the D–A–D chromophores also endowed a nonradiative deactivation pathway from the singlet excited state for heat generation. The robust heat generation capabilities are reflected in the high PCE of 27.5% and 34.9% for 29 and 29-NPs, respectively, making them superior to photothermal gold nanorods (e.g., ≈21.0%). Complex 29 was also conjugated with PEG and formulated into nanoparticles (29-NPs), which preferentially accumulated in the tumor area and showed a significant in vivo tumor regression (96%) through synergistic PDT and PTT. The photophysical properties of complexes 22a–29 are summarized in Table 6.
Figure 18.
The structure and anticancer mechanism of 29 for NIR I-type PDT and PTT are depicted schematically. Reproduced with permission from Ref. [108]. Copyright 2020 John Wiley and Sons.
Table 6.
Photophysical properties of 22a–29.
3. Conclusions and Perspective
Iridium(III) complexes have found widespread applications in targeted detection and therapy. However, their limited ability to be excited by longer-wavelength light and emit in the longer wavelength region has hindered their development. To overcome this limitation, there are two general strategies for the development of NIR probes. One important strategy to enable NIR properties in iridium(III) complexes is to extend the π-conjugation of the cyclometalated ligands or introduce electron-rich heteroaromatic rings. Nevertheless, the availability of cyclometalated ligands for NIR iridium(III) complexes is limited as most complexes are constructed using a few cyclometalated ligands, such as btp, pbz, and 2,3-disubstituted quinoxaline. Therefore, exploring new cyclometalated ligands is urgently required. Additionally, some iridium(III) complexes may encounter solubility issues due to the introduction of large π-conjugated cyclometalated ligands, such as pqx. Furthermore, although iridium(III) complexes can emit in the NIR region, the challenge of requiring excitation by short-wavelength light remains unsolved, limiting their application in therapy due to potential damage and poor tissue penetration of short-wavelength light. The second strategy to enable NIR properties in iridium(III) complexes involves attaching NIR-absorbing fluorophore units such as BODIPY, cyanine, porphyrin, and coumarin to iridium(III) complexes. This approach enables a change in the excitation and emission wavelengths, potentially increasing the quantum yield. Moreover, the introduction of NIR-absorbing fluorophore units may offer a novel mechanism of action. However, it should be noted that this strategy often requires complicated synthesis. As discussed in this review, organometallic NIR iridium(III) complexes have made significant progress as versatile probes in environmental and biological detection, including the detection of environmental analytes and disease-related targets. Some NIR iridium(III) complexes have even demonstrated success in vivo on tumor-bearing mice, particularly those conjugated with NIR dyes.
Studies on the therapeutic applications of NIR iridium(III) complexes still remain relatively rare. Some NIR iridium(III) complexes have been applied for therapy, which mainly rely on type II photochemical processes to generate singlet oxygen (1O2). Unfortunately, this pathway heavily depends on the oxygen concentration in tumors, leading to undesirable efficacy. Alternatively, type I photochemical processes involving electron transfer mechanisms present a viable option for NIR iridium(III) complexes. Azo-BODIPY, for instance, has shown promise in photogenerating •OH and •O2−. Additionally, NIR dyes possess low-lying excited states associated with low-energy absorption, which can increase non-radiative decay rates, leading to hyperthermia for PTT. Combining PDT and PTT using NIR iridium(III) complexes could introduce new strategies for cancer treatment.
In summary, the development of NIR iridium(III) complexes for detection and therapy deserves further exploration. It is critical to develop iridium(III) complexes with longer wavelength excitation and emission for in vivo applications. In this context, fluorophores emitting in the second near-infrared region (NIR-II, 1000–1700 nm) have gained recent attention for biosensing, bioimaging, and phototherapy. Thus, the fabrication of NIR-II iridium(III) complexes could substantially expand their in vivo applications. Another challenge faced by NIR iridium(III) complexes is poor tumor targetability. Incorporating tumor-targeting units into metal complexes is a viable strategy to improve the targetability of metallodrugs [108,109], which could provide the basis for developing targetable NIR iridium(III) complexes. However, NIR iridium(III) complexes generally have more complicated structures, and the introduction of targeting moieties could increase molecular weight, which may decrease aqueous solubility and impair their bioavailability. Thus, more efforts need to be undertaken for designing targetable NIR iridium(III) complexes with simpler structures and lower molecular weight. Furthermore, the self-assembly approach is an emerging strategy to construct multifunctional molecules in situ [110]. This could be adapted for developing novel tumor-targeting NIR iridium(III) complexes with desirable photophysical and physicochemical properties for precise detection and therapy. Considering the rapid technological advancements in organometallic NIR iridium(III) complexes, we anticipate that they have the potential to become mainstream tools for targeted detection and therapy in the future. This will facilitate their rapid development in environmental analytes, disease-related targets, therapy, and other biomedical fields.
Author Contributions
Conceptualization, J.W., C.-H.L. and W.W.; methodology, S.J.; data curation, S.J. and W.W.; writing—original draft preparation, S.J. and W.W.; writing—review and editing, X.W., D.N., J.W., C.-H.L. and W.W.; supervision, J.W., C.-H.L. and W.W.; project administration, J.W., C.-H.L. and W.W.; funding acquisition, J.W., C.-H.L. and W.W. All authors have read and agreed to the published version of the manuscript.
Funding
This work is supported by the National Natural Science Foundation of China (22101230), the Fundamental Research Funds for the Central Universities (D5000230060), Shanghai Sailing Program (21YF1451200), the Natural Science Foundation of Chongqing, China (cstc2021jcyj-msxm2073), the Shaanxi Fundamental Science Re-search Project for Chemistry & Biology (22JHQ082), the Guangdong Basic and Applied Basic Research Foundation (2021A1515110840, 2023A1515011871), the Science and Technology Development Fund, Macau SAR, China (File no. 005/2023/SKL, 0020/2022/A1, 0045/2023/AMJ, 0032/2023/RIB2), the University of Macau, Macau SAR, China (File no. MYRG2020-00017-ICMS, MYRG2022-00137-ICMS, MYRG-GRG2023-00194-ICMS-UMDF), the State Key Laboratory of Quality Research in Chinese Medicine, the University of Macau, Macau SAR, China (File no. SKL-QRCM-IRG2023-025).
Institutional Review Board Statement
Not applicable.
Informed Consent Statement
Not applicable.
Data Availability Statement
Not applicable.
Acknowledgments
The authors would like to thank the anonymous editors and reviewers for their valuable comments and suggestions that helped to improve the quality of this manuscript.
Conflicts of Interest
The authors declare no conflicts of interest.
References
- Luan, X.W.; Pan, Y.C.; Gao, Y.F.; Song, Y.J. Recent near-infrared light-activated nanomedicine toward precision cancer therapy. J. Mater. Chem. B 2021, 9, 7076–7099. [Google Scholar] [CrossRef] [PubMed]
- Deng, Z.Q.; Li, H.C.; Chen, S.; Wang, N.; Liu, G.Y.; Liu, D.J.; Ou, W.H.; Xu, F.J.; Wang, X.; Lei, D.Y.; et al. Near-infrared-activated anticancer platinum(IV) complexes directly photooxidize biomolecules in an oxygen-independent manner. Nat. Chem. 2023, 15, 930–939. [Google Scholar] [CrossRef] [PubMed]
- Grimm, J.B.; Lavis, L.D. Caveat fluorophore: An insiders’ guide to small-molecule fluorescent labels. Nat. Methods 2022, 19, 149–158. [Google Scholar] [CrossRef] [PubMed]
- Kim, H.U.; Kim, T.; Kim, C.; Kim, M.; Park, T. Recent Advances in Structural Design of Efficient Near-Infrared Light-Emitting Organic Small Molecules. Adv. Funct. Mater. 2023, 33, 2208082. [Google Scholar] [CrossRef]
- Martinic, I.; Eliseeva, S.V.; Petoud, S. Near-infrared emitting probes for biological imaging: Organic fluorophores, quantum dots, fluorescent proteins, lanthanide(III) complexes and nanomaterials. J. Lumin. 2017, 189, 19–43. [Google Scholar] [CrossRef]
- Luo, S.L.; Zhang, E.L.; Su, Y.P.; Cheng, T.M.; Shi, C.M. A review of NIR dyes in cancer targeting and imaging. Biomaterials 2011, 32, 7127–7138. [Google Scholar] [CrossRef] [PubMed]
- Funovics, M.; Weissleder, R.; Tung, C.H. Protease sensors for bioimaging. Anal. Bioanal. Chem. 2003, 377, 956–963. [Google Scholar] [CrossRef]
- Sun, C.X.; Yang, J.H.; Li, L.; Wu, X.; Liu, Y.; Liu, S.F. Advances in the study of luminescence probes for proteins. J. Chromatogr. B 2004, 803, 173–190. [Google Scholar] [CrossRef]
- Bardon, K.M.; Selfridge, S.; Adams, D.S.; Minns, R.A.; Pawle, R.; Adams, T.C.; Takiff, L. Synthesis of water-soluble far-red-emitting amphiphilic BODIPY dyes. ACS Omega 2018, 3, 13195–13199. [Google Scholar] [CrossRef]
- Li, L.; Liu, J.B.; Yang, X.H.; Peng, Z.H.; Liu, W.; Xu, J.G.; Tang, J.L.; He, X.X.; Wang, K.M. Quantum dot/methylene blue FRET mediated NIR fluorescent nanomicelles with large Stokes shift for bioimaging. Chem. Commun. 2015, 51, 14357–14360. [Google Scholar] [CrossRef]
- Harmatys, K.M.; Cole, E.L.; Smith, B.D. In vivo imaging of bone using a deep-red fluorescent molecular probe bearing multiple Iminodiacetate groups. Mol. Pharm. 2013, 10, 4263–4271. [Google Scholar] [CrossRef] [PubMed]
- Alander, J.T.; Kaartinen, I.; Laakso, A.; Patila, T.; Spillmann, T.; Tuchin, V.V.; Venermo, M.; Valisuo, P. A review of indocyanine green fluorescent imaging in surgery. Int. J. Biomed. Imaging 2012, 2012, 940585. [Google Scholar] [CrossRef] [PubMed]
- Liu, Y.S.; Li, Y.; Koo, S.; Sun, Y.; Liu, Y.X.; Liu, X.; Pan, Y.N.; Zhang, Z.Y.; Du, M.X.; Lu, S.Y.; et al. Versatile types of inorganic/organic NIR-IIa/IIb fluorophores: From strategic design toward molecular imaging and theranostics. Chem. Rev. 2022, 122, 209–268. [Google Scholar] [CrossRef] [PubMed]
- Yoon, S.; Teets, T.S. Red to near-infrared phosphorescent Ir(III) complexes with electron-rich chelating ligands. Chem. Commun. 2021, 57, 1975–1988. [Google Scholar] [CrossRef] [PubMed]
- Amouri, H. Luminescent complexes of platinum, iridium, and coinage metals containing N-heterocyclic carbene ligands: Design, structural diversity, and photophysical properties. Chem. Rev. 2023, 123, 230–270. [Google Scholar] [CrossRef] [PubMed]
- Shaikh, S.; Wang, Y.H.; Rehman, F.U.; Jiang, H.; Wang, X.M. Phosphorescent Ir(III) complexes as cellular staining agents for biomedical molecular imaging. Coord. Chem. Rev. 2020, 416, 213344. [Google Scholar] [CrossRef]
- Ning, Y.Y.; Jin, G.Q.; Wang, M.X.; Gao, S.; Zhang, J.L. Recent progress in metal-based molecular probes for optical bioimaging and biosensing. Curr. Opin. Chem. Biol. 2022, 66, 102097. [Google Scholar] [CrossRef]
- Jin, G.Q.; Guo, L.J.; Zhang, J.; Gao, S.; Zhang, J.L. Luminescent metal complexes for bioassays in the near-infrared(NIR) region. Top. Curr. Chem. 2022, 380, 31. [Google Scholar] [CrossRef]
- Zhang, L.P.; Ding, D. Recent advances of transition Ir(III) complexes as photosensitizers for improved photodynamic therapy. VIEW 2021, 24, 20200179. [Google Scholar] [CrossRef]
- Wu, Q.; Dai, P.; Wang, Y.; Zhang, J.; Li, M.; Zhang, K.Y.; Liu, S.; Huang, W.; Zhao, Q. Time-resolved analysis of photoluminescence at a single wavelength for ratiometric and multiplex biosensing and bioimaging. Chem. Sci. 2021, 12, 11020–11027. [Google Scholar] [CrossRef]
- Wang, W.; Wu, K.-J.; Vellaisamy, K.; Leung, C.-H.; Ma, D.-L. Peptide-conjugated long-lived theranostic imaging for targeting GRPr in cancer and immune cells. Angew. Chem. Int. Ed. 2020, 59, 17897–17902. [Google Scholar] [CrossRef] [PubMed]
- Song, Y.-Q.; Wu, K.-J.; Zhang, Z.; Liu, T.-M.; Ko, C.-N.; Zhu, W.-G.; Ma, D.-L.; Wang, W.; Leung, C.-H. Development of a sensitive luminescent probe to uncover new BRD4 inhibitors in living cells. Chem. Eng. J. 2023, 463, 142356. [Google Scholar] [CrossRef]
- Zhang, Y.X.; Qiao, J. Near-infrared emitting iridium complexes: Molecular design, photophysical properties, and related applications. iScience 2021, 24, 102858. [Google Scholar] [CrossRef]
- Zhao, Q.; Huang, C.H.; Li, F.Y. Phosphorescent heavy-metal complexes for bioimaging. Chem. Soc. Rev. 2011, 40, 2508–2524. [Google Scholar] [CrossRef] [PubMed]
- Frangioni, J.V. In vivo near-infrared fluorescence imaging. Curr. Opin. Chem. Biol. 2003, 7, 626–634. [Google Scholar] [CrossRef] [PubMed]
- Jung, H.S.; Verwilst, P.; Sharma, A.; Shin, J.; Sessler, J.L.; Kim, J.S. Organic molecule-based photothermal agents: An expanding photothermal therapy universe. Chem. Soc. Rev. 2018, 47, 2280–2297. [Google Scholar] [CrossRef] [PubMed]
- Farrer, N.J.; Salassa, L.; Sadler, P.J. Photoactivated chemotherapy(PACT): The potential of excited-state d-block metals in medicine. Dalton Trans. 2009, 10690–10701. [Google Scholar] [CrossRef]
- Bonnet, S. Shifting the light activation of metallodrugs to the red and near-infrared region in anticancer phototherapy. Comments Inorg. Chem. 2015, 35, 179–213. [Google Scholar] [CrossRef]
- Ouyang, J.; Tang, Z.M.; Farokhzad, N.; Kong, N.; Kim, N.Y.; Feng, C.; Blake, S.; Xiao, Y.F.; Liu, C.; Xie, T.; et al. Ultrasound mediated therapy: Recent progress and challenges in nanoscience. Nano Today 2020, 35, 100949. [Google Scholar] [CrossRef]
- Wang, L.L.; Karges, J.; Wei, F.M.; Xie, L.A.; Chen, Z.L.; Gasser, G.; Ji, L.N.; Chao, H. A mitochondria-localized iridium(III) photosensitizer for two-photon photodynamic immunotherapy against melanoma. Chem. Sci. 2023, 14, 1461–1471. [Google Scholar] [CrossRef]
- Barbieri, A.; Bandini, E.; Monti, F.; Praveen, V.K.; Armaroli, N. The Rise of Near-Infrared Emitters: Organic Dyes, Porphyrinoids, and Transition Metal Complexes. Top. Curr. Chem. 2016, 374, 47. [Google Scholar] [CrossRef] [PubMed]
- Liu, B.Q.; Jiao, J.; Xu, W.; Zhang, M.Y.; Cui, P.; Guo, Z.Q.; Deng, Y.B.; Chen, H.B.; Sun, W.F. Highly efficient far-red/NIR-absorbing neutral Ir(III) complex micelles for potent photodynamic/photothermal therapy. Adv. Mater. 2021, 33, 2100795. [Google Scholar] [CrossRef] [PubMed]
- Wei, F.M.; Karges, J.; Shen, J.C.; Xie, L.A.; Xiong, K.; Zhang, X.T.; Ji, L.N.; Chao, H. A mitochondria-localized oxygen self-sufficient two-photon nano-photosensitizer for ferroptosis-boosted photodynamic therapy under hypoxia. Nano Today 2022, 44, 101509. [Google Scholar] [CrossRef]
- Ke, L.B.; Wei, F.M.; Xie, L.N.; Karges, J.; Chen, Y.; Ji, L.N.; Chao, H. A biodegradable iridium(III) coordination polymer for enhanced two-photon photodynamic therapy using an apoptosis-ferroptosis hybrid pathway. Angew. Chem. Int. Ed. 2022, 61, e202205429. [Google Scholar] [CrossRef] [PubMed]
- Lu, X.; Xiong, C.Y.; Li, B.; Du, W.L.; Li, D.D.; Ma, W.; Tian, X.H.; Tian, Y.P.; Zhang, Q. Three-photon absorption iridium(III) photosensitizers featuring aggregation induced emission. Inorg. Chem. Front. 2022, 9, 1890–1896. [Google Scholar] [CrossRef]
- Jin, C.Z.; Liang, F.Y.; Wang, J.Q.; Wang, L.L.; Liu, J.P.; Liao, X.X.; Rees, T.W.; Yuan, B.; Wang, H.; Shen, Y.; et al. Rational design of cyclometalated iridium(III) complexes for three-photon phosphorescence bioimaging. Angew. Chem. Int. Ed. 2020, 59, 15987–15991. [Google Scholar] [CrossRef] [PubMed]
- Rodrigues, J.A.; Correia, J.H. Enhanced photodynamic therapy: A review of combined energy sources. Cells 2022, 11, 3995. [Google Scholar] [CrossRef]
- Shen, J.C.; He, W. The fabrication strategies of near-infrared absorbing transition metal complexes. Coord. Chem. Rev. 2023, 483, 215096. [Google Scholar] [CrossRef]
- Lamansky, S.; Djurovich, P.; Murphy, D.; Abdel-Razzaq, F.; Lee, H.E.; Adachi, C.; Burrows, P.E.; Forrest, S.R.; Thompson, M.E. Highly phosphorescent bis-cyclometalated iridium complexes: Synthesis, photophysical characterization, and use in organic light emitting diodes. J. Am. Chem. Soc. 2001, 123, 4304–4312. [Google Scholar] [CrossRef]
- Yoon, S.; Teets, T.S. Enhanced deep red to near-infrared(DR-NIR) phosphorescence in cyclometalated iridium(III) complexes. Inorg. Chem. Front. 2022, 9, 6544–6553. [Google Scholar] [CrossRef]
- Di Censo, D.; Fantacci, S.; De Angelis, F.; Klein, C.; Evans, N.; Kalyanasundaram, K.; Bolink, H.J.; Gratzel, M.; Nazeeruddin, M.K. Synthesis, characterization, and DFT/TD-DFT calculations of highly phosphorescent blue light-emitting anionic iridium complexes. Inorg. Chem. 2008, 47, 980–989. [Google Scholar] [CrossRef] [PubMed]
- Dumur, F.; Yuskevitch, Y.; Wantz, G.; Mayer, C.R.; Bertin, D.; Gigmes, D. Light-emitting electrochemical cells based on a solution-processed multilayered device and an anionic iridium(III) complex. Synth. Met. 2013, 177, 100–104. [Google Scholar] [CrossRef]
- Ceron-Carrasco, J.P.; Zuniga, J.; Requena, A. Tuning the optical properties of novel antitumoral drugs based on cyclometalated iridium(III) complexes. J. Phys. Chem. A 2019, 123, 8644–8649. [Google Scholar] [CrossRef] [PubMed]
- Tatarin, S.V.; Kalle, P.; Taydakov, I.V.; Varaksina, E.A.; Korshunov, V.M.; Bezzubov, S.I. Sterically hindered phenanthroimidazole ligands drive the structural flexibility and facile ligand exchange in cyclometalated iridium(III) complexes. Dalton Trans. 2021, 50, 6889–6900. [Google Scholar] [CrossRef] [PubMed]
- Liu, S.; Wang, M.Y.; Wang, Y.S.; Hou, T.J.; Shen, X. Novel deep red to near-infrared phosphorescent iridium(III) complexes bearing pyrenyl: Syntheses, structures and modulation of the photophysical properties. Inorg. Chem. Commun. 2023, 150, 110460. [Google Scholar] [CrossRef]
- Ho, P.Y.; Lee, S.Y.; Kam, C.; Zhu, J.F.; Shan, G.G.; Hong, Y.N.; Wong, W.Y.; Chen, S.J. Fluorescence imaging and photodynamic inactivation of bacteria based on cationic cyclometalated iridium(III) complexes with aggregation-induced emission properties. Adv. Healthc. Mater. 2021, 10, 2100706. [Google Scholar] [CrossRef] [PubMed]
- Stonelake, T.M.; Phillips, K.A.; Otaif, H.Y.; Edwardson, Z.C.; Horton, P.N.; Coles, S.J.; Beames, J.M.; Pope, S.J.A. Spectroscopic and theoretical investigation of color tuning in deep-red luminescent iridium(III) complexes. Inorg. Chem. 2020, 59, 2266–2277. [Google Scholar] [CrossRef]
- Wang, L.; Yin, H.M.; Cui, P.; Hetu, M.; Wang, C.Z.; Monro, S.; Schaller, R.D.; Cameron, C.G.; Liu, B.Q.; Kilina, S.; et al. Near-infrared-emitting heteroleptic cationic iridium complexes derived from 2,3-diphenylbenzo[g] quinoxaline as in vitro theranostic photodynamic therapy agents. Dalton Trans. 2017, 46, 8091–8103. [Google Scholar] [CrossRef]
- De Silva, A.P.; Gunaratne, H.Q.N.; Gunnlaugsson, T.; Huxley, A.J.M.; McCoy, C.P.; Rademacher, J.T.; Rice, T.E. Signaling recognition events with fluorescent sensors and switches. Chem. Rev. 1997, 97, 1515–1566. [Google Scholar] [CrossRef]
- Ma, D.L.; Wong, S.Y.; Kang, T.S.; Ng, H.P.; Han, Q.B.; Leung, C.H. Iridium(III)-based chemosensors for the detection of metal ions. Methods 2019, 168, 3–17. [Google Scholar] [CrossRef]
- Lin, C.K.; Wang, J.; Yang, K.; Liu, J.B.; Ma, D.L.; Leung, C.H.; Wang, W.H. Development of a NIR iridium(III) complex for self-calibrated and luminogenic detection of boron trifluoride. Spectrochim. Acta Part A Mol. Biomol. Spectrosc. 2022, 282, 121658. [Google Scholar] [CrossRef] [PubMed]
- Wang, W.H.; Liu, J.H.; Kong, L.T.; Wang, L.; Niu, D.; Wang, J.; Leung, C.H. Synthesis and luminescence monitoring of iridium(III) complex-functionalized gold nanoparticles and their application for determination of gold(III) ions. Mikrochim. Acta 2023, 190, 171. [Google Scholar] [CrossRef] [PubMed]
- Liu, J.Q.; Wang, X.L.; Wang, J.; Leung, C.H.; Wang, W.H. Imaging mitochondrial palladium species in living cells with a NIR iridium(III) complex. Spectrochim. Acta Part A Mol. Biomol. Spectrosc. 2023, 288, 122188. [Google Scholar] [CrossRef] [PubMed]
- Kielhorn, J.; Melber, C.; Keller, D.; Mangelsdorf, I. Palladium—A review of exposure and effects to human health. Int. J. Hyg. Environ. Health 2002, 205, 417–432. [Google Scholar] [CrossRef]
- Xia, Q.F.; Feng, S.M.; Liu, D.D.; Feng, G.Q. A highly selective and sensitive colorimetric and near-infrared fluorescent turn-on probe for rapid detection of palladium in drugs and living cells. Sens. Actuators B Chem. 2018, 258, 98–104. [Google Scholar] [CrossRef]
- Dolai, B.; Nayim, S.; Hossain, M.; Pahari, P.; Atta, A.K. A triazole linked C-glycosyl pyrene fluorescent sensor for selective detection of Au3+ in aqueous solution and its application in bioimaging. Sens. Actuators B Chem. 2019, 279, 476–482. [Google Scholar] [CrossRef]
- Nam, S.H.; Lee, W.M.; Shin, Y.J.; Yoon, S.J.; Kim, S.W.; Kwak, J.I.; An, Y.J. Derivation of guideline values for gold(III) ion toxicity limits to protect aquatic ecosystems. Water Res. 2014, 48, 126–136. [Google Scholar] [CrossRef]
- Lu, N.; Luo, Y.H.; Zhang, Q.L.; Zhang, P.Y. Microenvironment-sensitive iridium(III) complexes for disease theranostics. Dalton Trans. 2020, 49, 9182–9190. [Google Scholar] [CrossRef]
- Lee, L.C.C.; Lo, K.K.W. Strategic design of luminescent rhenium(I), ruthenium(II), and iridium(III) complexes as activity-based probes for bioimaging and biosensing. Chem. Asian. J. 2022, 29, e202200840. [Google Scholar] [CrossRef]
- Huang, Y.Y.; Zhang, G.X.; Zhao, R.; Zhang, D.Q. Tetraphenylethene-based cis/trans isomers for targeted fluorescence sensing and biomedical applications. Chem. Eur. J. 2023, 29, e202300539. [Google Scholar] [CrossRef]
- Shi, H.D.; Wang, Y.; Lin, S.M.; Lou, J.X.; Zhang, Q.L. Recent development and application of cyclometalated iridium(III) complexes as chemical and biological probes. Dalton Trans. 2021, 50, 6410–6417. [Google Scholar] [CrossRef] [PubMed]
- Lo, K.K.W.; Li, S.P.Y.; Zhang, K.Y. Development of luminescent iridium(III) polypyridine complexes as chemical and biological probes. New J. Chem. 2011, 35, 265–287. [Google Scholar] [CrossRef]
- Caporale, C.; Massi, M. Cyclometalated iridium(III) complexes for life science. Coord. Chem. Rev. 2018, 363, 71–91. [Google Scholar] [CrossRef]
- Zhan, Z.X.; Su, Z.S.; Chai, L.; Li, C.H.; Liu, R.; Lv, Y. Multimodal imaging iridium(III) complex for hypochlorous acid in living systems. Anal. Chem. 2020, 92, 8285–8291. [Google Scholar] [CrossRef] [PubMed]
- Dai, Y.C.; Zhan, Z.X.; Chai, L.; Zhang, L.C.; Guo, Q.; Zhang, K.X.; Lv, Y. A two-photon excited near-infrared iridium(III) complex for multi-signal detection and multimodal imaging of hypochlorite. Anal. Chem. 2021, 93, 4628–4634. [Google Scholar] [CrossRef] [PubMed]
- Dai, Y.; Zhang, K.; Yuan, X.; Xie, X.; Zhan, Z.; Lv, Y. Novel near-infrared iridium(III) complex for chemiluminescence imaging of hypochlorous acid. Anal. Chem. 2023, 95, 8310–8317. [Google Scholar] [CrossRef] [PubMed]
- Liu, W.J.; Chen, J.; Xu, Z.C. Fluorescent probes for biothiols based on metal complex. Coord. Chem. Rev. 2021, 429, 213638. [Google Scholar] [CrossRef]
- Wu, Y.Q.; Wu, R.M.; Li, H.F.; Zeng, H.; Li, Y.Y.; Wang, Q.H.; Shi, M.; Fan, X.L. Near-infrared phosphorescent iridium(III) complex for imaging of cysteine and homocysteine in living cells and in vivo. RSC Adv. 2017, 7, 52621–52625. [Google Scholar] [CrossRef]
- Li, Y.Y.; Wu, Y.Q.; Wu, J.; Lun, W.C.; Zeng, H.; Fan, X.L. A near-infrared phosphorescent iridium(III) complex for fast and time-resolved detection of cysteine and homocysteine. Analyst 2020, 145, 2238–2244. [Google Scholar] [CrossRef]
- Huang, L.L.; Leung, P.K.K.; Lee, L.C.C.; Xu, G.X.; Lam, Y.W.; Lo, K.K.W. Photofunctional cyclometallated iridium(III) polypyridine methylsulfone complexes as sulfhydryl-specific reagents for bioconjugation, bioimaging and photocytotoxic applications. Chem. Commun. 2022, 58, 10162–10165. [Google Scholar] [CrossRef]
- Wang, J.; Liu, W.; Luo, G.; Li, Z.J.; Zhao, C.; Zhang, H.R.; Zhu, M.Z.; Xu, Q.; Wang, X.Q.; Zhao, C.M.; et al. Synergistic effect of well-defined dual sites boosting the oxygen reduction reaction. Energy Environ. Sci. 2018, 11, 3375–3379. [Google Scholar] [CrossRef]
- Li, Y.Y.; Wu, Y.Q.; Chen, L.Y.; Zeng, H.; Chen, X.Y.; Lun, W.C.; Fan, X.L.; Wong, W.Y. A time-resolved near-infrared phosphorescent iridium(III) complex for fast and highly specific peroxynitrite detection and bioimaging applications. J. Mater. Chem. B 2019, 7, 7612–7618. [Google Scholar] [CrossRef] [PubMed]
- Chen, Z.J.; Meng, X.C.; Zou, L.; Zhao, M.L.; Liu, S.J.; Tao, P.; Jiang, J.Y.; Zhao, Q. A dual-emissive phosphorescent polymeric probe for exploring drug-induced liver injury via imaging of peroxynitrite elevation in vivo. ACS Appl. Mater. Interfaces 2020, 12, 12383–12394. [Google Scholar] [CrossRef] [PubMed]
- Wu, W.; Liao, X.; Chen, Y.; Ji, L.; Chao, H. Mitochondria-targeting and reversible near-infrared emissive iridium(III) probe for in vivo ONOO−/GSH redox cycles monitoring. Anal. Chem. 2021, 93, 8062–8070. [Google Scholar] [CrossRef] [PubMed]
- Liu, F.Y.; Wen, J.; Chen, S.S.; Sun, S.G. A luminescent bimetallic iridium(III) complex for ratiometric tracking intracellular viscosity. Chem. Commun. 2018, 54, 4061. [Google Scholar] [CrossRef] [PubMed]
- Kritchenkov, I.S.; Elistratova, A.A.; Sokolov, V.V.; Chelushkin, P.S.; Shirmanova, M.V.; Lukina, M.M.; Dudenkova, V.V.; Shcheslayskiy, V.I.; Kalinina, S.; Reess, K.; et al. A biocompatible phosphorescent Ir(III) oxygen sensor functionalized with oligo(ethylene glycol) groups: Synthesis, photophysics and application in PLIM experiments. New J. Chem. 2020, 44, 10459–10471. [Google Scholar] [CrossRef]
- Kritchenkov, I.S.; Solomatina, A.I.; Kozina, D.O.; Porsev, V.V.; Sokolov, V.V.; Shirmanova, M.V.; Lukina, M.M.; Komarova, A.D.; Shcheslayskiy, V.I.; Belyaeva, T.N.; et al. Biocompatible Ir(III) complexes as oxygen sensors for phosphorescence lifetime imaging. Molecules 2021, 26, 2898. [Google Scholar] [CrossRef] [PubMed]
- Mizukami, K.; Muraoka, T.; Shiozaki, S.; Tobita, S.; Yoshihara, T. Near-infrared emitting Ir(III) complexes bearing a dipyrromethene ligand for oxygen imaging of deeper tissues in vivo. Anal. Chem. 2022, 94, 2794–2802. [Google Scholar] [CrossRef]
- Yu, H.C.; Yu, B.; Song, Y.J.; Hai, P. Recent advances of cyclometalated Ir(III) complexes for optical oxygen sensing. Inorg. Chim. Acta 2023, 550, 121435. [Google Scholar] [CrossRef]
- Kritchenkov, I.S.; Mikhnevich, V.G.; Stashchak, V.S.; Solomatina, A.I.; Kozina, D.O.; Sokolov, V.V.; Tunik, S.P. Novel NIR-Phosphorescent Ir(III) complexes: Synthesis, characterization and their exploration as lifetime-based O2 sensors in living cells. Molecules 2022, 27, 3156. [Google Scholar] [CrossRef]
- Zamora, A.; Vigueras, G.; Rodriguez, V.; Santana, M.D.; Ruiz, J. Cyclometalated iridium(III) luminescent complexes in therapy and phototherapy. Coord. Chem. Rev. 2018, 360, 34–76. [Google Scholar] [CrossRef]
- Tao, P.; Lv, Z.; Zheng, X.K.; Jiang, H.; Liu, S.J.; Wang, H.; Wong, W.Y.; Zhao, Q. Isomer engineering of lepidine-based iridophosphors for far-red hypoxia imaging and photodynamic therapy. Inorg. Chem. 2022, 61, 17703–17712. [Google Scholar] [CrossRef] [PubMed]
- Pan, Z.Y.; Liang, B.F.; Zhi, Y.S.; Yao, D.H.; Li, C.Y.; Wu, H.Q.; He, L. Near-infrared AIE-active phosphorescent iridium(III) complex for mitochondria-targeted photodynamic therapy. Dalton Trans. 2023, 52, 1291–1300. [Google Scholar] [CrossRef]
- Yuan, H.; Han, Z.; Chen, Y.C.; Qi, F.; Fang, H.B.; Guo, Z.J.; Zhang, S.R.; He, W.J. Ferroptosis photoinduced by new cyclometalated iridium(III) complexes and its synergism with apoptosis in tumor cell inhibition. Angew. Chem. Int. Ed. 2021, 60, 8174–8181. [Google Scholar] [CrossRef] [PubMed]
- Wang, L.; Wang, X.; Chen, F.; Song, Y.-Q.; Nao, S.-C.; Chan, D.S.-H.; Wong, C.-Y.; Wang, W.; Leung, C.-H. A glycyrrhetinic acid-iridium(III) conjugate as a theranostic NIR probe for hepatocellular carcinoma with mitochondrial-targeting ability. Eur. J. Med. Chem. 2024, 264, 115995. [Google Scholar] [CrossRef] [PubMed]
- Majumdar, P.; Yuan, X.L.; Li, S.F.; Le Guennic, B.; Ma, J.; Zhang, C.S.; Jacquemin, D.; Zhao, J.Z. Cyclometalated Ir(III) complexes with styryl-BODIPY ligands showing near IR absorption/emission: Preparation, study of photophysical properties and application as photodynamic/luminescence imaging materials. J. Mater. Chem. B 2014, 2, 2838–2854. [Google Scholar] [CrossRef]
- Zhang, L.P.; Geng, Y.; Li, L.J.; Tong, X.F.; Liu, S.; Liu, X.M.; Su, Z.M.; Xie, Z.G.; Zhu, D.X.; Bryce, M.R. Rational design of iridium-porphyrin conjugates for novel synergistic photodynamic and photothermal therapy anticancer agents. Chem. Sci. 2021, 12, 5918–5925. [Google Scholar] [CrossRef]
- Wu, Y.Q.; Wu, J.; Wong, W.Y. A new near-infrared phosphorescent iridium(III) complex conjugated to a xanthene dye for mitochondria-targeted photodynamic therapy. Biomater. Sci. 2021, 9, 4843–4853. [Google Scholar] [CrossRef]
- Novohradsky, V.; Rovira, A.; Hally, C.; Galindo, A.; Vigueras, G.; Gandioso, A.; Svitelova, M.; Bresoli-Obach, R.; Kostrhunova, H.; Markova, L.; et al. Towards novel photodynamic anticancer agents generating superoxide anion radicals: A cyclometalated Ir(III) complex conjugated to a far-red emitting coumarin. Angew. Chem. Int. Ed. 2019, 58, 6311–6315. [Google Scholar] [CrossRef]
- Yang, Q.; Jin, H.Y.; Gao, Y.C.; Lin, J.M.; Yang, H.; Yang, S.P. Photostable iridium(III)-cyanine complex nanoparticles for photoacoustic imaging guided near-infrared photodynamic therapy in vivo. ACS Appl. Mater. Interfaces 2019, 11, 15417–15425. [Google Scholar] [CrossRef]
- Wu, W.B.; Mao, D.; Hu, F.; Xu, S.D.; Chen, C.; Zhang, C.J.; Cheng, X.M.; Yuan, Y.Y.; Ding, D.; Kong, D.L.; et al. A highly efficient and photostable photosensitizer with near-infrared aggregation-induced emission for image-guided photodynamic anticancer therapy. Adv. Mater. 2017, 29, 1701076. [Google Scholar] [CrossRef] [PubMed]
- Lan, M.H.; Zhao, S.J.; Liu, W.M.; Lee, C.S.; Zhang, W.J.; Wang, P.F. Photosensitizers for photodynamic therapy. Adv. Healthc. Mater. 2019, 8, 1900132. [Google Scholar] [CrossRef] [PubMed]
- Meng, Z.; Yu, B.; Han, G.Y.; Liu, M.H.; Shan, B.; Dong, G.Q.; Miao, Z.Y.; Jia, N.Y.; Tan, Z.; Li, B.H.; et al. Chlorin p6-based water-soluble amino acid derivatives as potent photosensitizers for photodynamic therapy. J. Med. Chem. 2016, 59, 4999–5010. [Google Scholar] [CrossRef] [PubMed]
- Lu, H.; Mack, J.; Yang, Y.C.; Shen, Z. Structural modification strategies for the rational design of red/NIR region BODIPYs. Chem. Soc. Rev. 2014, 43, 4778–4823. [Google Scholar] [CrossRef] [PubMed]
- Sgambellone, M.A.; David, A.; Garner, R.N.; Dunbar, K.R.; Turro, C. Cellular toxicity induced by the photorelease of a caged bioactive molecule: Design of a potential dual-action Ru(II) complex. J. Am. Chem. Soc. 2013, 135, 11274–11282. [Google Scholar] [CrossRef] [PubMed]
- Aksakal, N.E.; Tanrıverdi Eçik, E.; Kazan, H.H.; Yenilmez Çiftçi, G.; Yuksel, F. Novel ruthenium(II) and iridium(III) BODIPY dyes: Insights into their application in photodynamic therapy in vitro. Photochem. Photobiol. Sci. 2019, 18, 2012–2022. [Google Scholar] [CrossRef] [PubMed]
- Wang, Z.W.; Li, L.J.; Wang, W.J.; Wang, R.L.; Li, G.Z.; Bian, H.; Zhu, D.X.; Bryce, M.R. Self-assembled nanoparticles based on cationic mono-/AIE tetra-nuclear Ir(III) complexes: Long wavelength absorption/near-infrared emission photosensitizers for photodynamic therapy. Dalton Trans. 2023, 52, 1595–1601. [Google Scholar] [CrossRef]
- Zhou, L.H.; Wei, F.F.; Xiang, J.J.; Li, H.F.; Li, C.B.; Zhang, P.F.; Liu, C.J.; Gong, P.; Cai, L.T.; Wong, K.M.C. Enhancing the ROS generation ability of a rhodamine-decorated iridium(III) complex by ligand regulation for endoplasmic reticulum-targeted photodynamic therapy. Chem. Sci. 2020, 11, 12212–12220. [Google Scholar] [CrossRef]
- Liu, Z.W.; Song, F.L.; Shi, W.B.; Gurzadyan, G.; Yin, H.Y.; Song, B.; Liang, R.; Peng, X.J. Nitroreductase-activatable theranostic molecules with high PDT efficiency under mild hypoxia based on a TADF fluorescein derivative. ACS Appl. Mater. Interfaces 2019, 11, 15426–15435. [Google Scholar] [CrossRef]
- Thambi, T.; Park, J.H.; Lee, D.S. Hypoxia-responsive nanocarriers for cancer imaging and therapy: Recent approaches and future perspectives. Chem. Commun. 2016, 52, 8492–8500. [Google Scholar] [CrossRef]
- Liu, J.N.; Bu, W.B.; Shi, J.L. Chemical design and synthesis of functionalized probes for imaging and treating tumor hypoxia. Chem. Rev. 2017, 117, 6160–6224. [Google Scholar] [CrossRef] [PubMed]
- Bevernaegie, R.; Doix, B.; Bastien, E.; Diman, A.; Decottignies, A.; Feron, O.; Elias, B. Exploring the phototoxicity of hypoxic active iridium(III)-based sensitizers in 3D tumor spheroids. J. Am. Chem. Soc. 2019, 141, 18486–18491. [Google Scholar] [CrossRef] [PubMed]
- Rovira, A.; Ortega-Forte, E.; Hally, C.; Jorda-Redondo, M.; Abad-Montero, D.; Vigueras, G.; Martinez, J.I.; Bosch, M.; Nonell, S.; Ruiz, J.; et al. Exploring structure-activity relationships in photodynamic therapy anticancer agents based on Ir(III)-COUPY conjugates. J. Med. Chem. 2023, 66, 7849–7867. [Google Scholar] [CrossRef] [PubMed]
- Chen, D.P.; Xu, Q.; Wang, W.J.; Shao, J.J.; Huang, W.; Dong, X.C. Type I photosensitizers revitalizing photodynamic oncotherapy. Small 2021, 17, 2006742. [Google Scholar] [CrossRef] [PubMed]
- Li, C.; Gao, Y.; Wang, Y.; Wang, J.; Lin, J.; Du, J.; Zhou, Z.; Liu, X.; Yang, S.; Yang, H. Bifunctional Nano-Assembly of Iridium(III) Phthalocyanine Complex Encapsulated with BSA: Hypoxia-relieving/Sonosensitizing Effects and their Immunogenic Sonodynamic Therapy. Adv. Funct. Mater. 2023, 33, 2210348. [Google Scholar] [CrossRef]
- Englman, R.; Jortner, J. Energy gap law for radlatIonless transitions in large molecules. Mol. Phys. 1970, 18, 145–164. [Google Scholar] [CrossRef]
- Zhao, J.; Yan, K.W.; Xu, G.; Liu, X.; Zhao, Q.; Xu, C.J.; Gou, S.H. An iridium(III) complex bearing a donor-acceptor-donor type ligand for NIR-triggered dual phototherapy. Adv. Funct. Mater. 2021, 31, 2008325. [Google Scholar] [CrossRef]
- Wang, W.; Vellaisamy, K.; Li, G.; Wu, C.; Ko, C.-N.; Leung, C.-H.; Ma, D.-L. Development of a long-lived luminescence probe for visualizing β-galactosidase in ovarian carcinoma cells. Anal. Chem. 2017, 89, 11679–11684. [Google Scholar] [CrossRef]
- Wang, W.; Yang, C.; Lin, S.; Vellaisamy, K.; Li, G.; Tan, W.; Leung, C.-H.; Ma, D.-L. First synthesis of an oridonin-conjugated iridium(III) complex for the intracellular tracking of NF-κB in living cells. Chem. Eur. J. 2017, 23, 4929–4935. [Google Scholar] [CrossRef]
- Wang, J.; Wang, X.; Yang, K.; Hu, S.; Wang, W. Self-Assembly of Small Organic Molecules into Luminophores for Cancer Theranostic Applications. Biosensors 2022, 12, 683. [Google Scholar] [CrossRef]
Disclaimer/Publisher’s Note: The statements, opinions and data contained in all publications are solely those of the individual author(s) and contributor(s) and not of MDPI and/or the editor(s). MDPI and/or the editor(s) disclaim responsibility for any injury to people or property resulting from any ideas, methods, instructions or products referred to in the content. |
© 2024 by the authors. Licensee MDPI, Basel, Switzerland. This article is an open access article distributed under the terms and conditions of the Creative Commons Attribution (CC BY) license (https://creativecommons.org/licenses/by/4.0/).

















