The Effect of pH on the Viscoelastic Response of Alginate–Montmorillonite Nanocomposite Hydrogels
Abstract
1. Introduction
2. Results
2.1. Preparation of Uniform Nanocomposite Gels
2.2. ATR-FTIR Spectroscopy
2.3. X-ray Diffraction
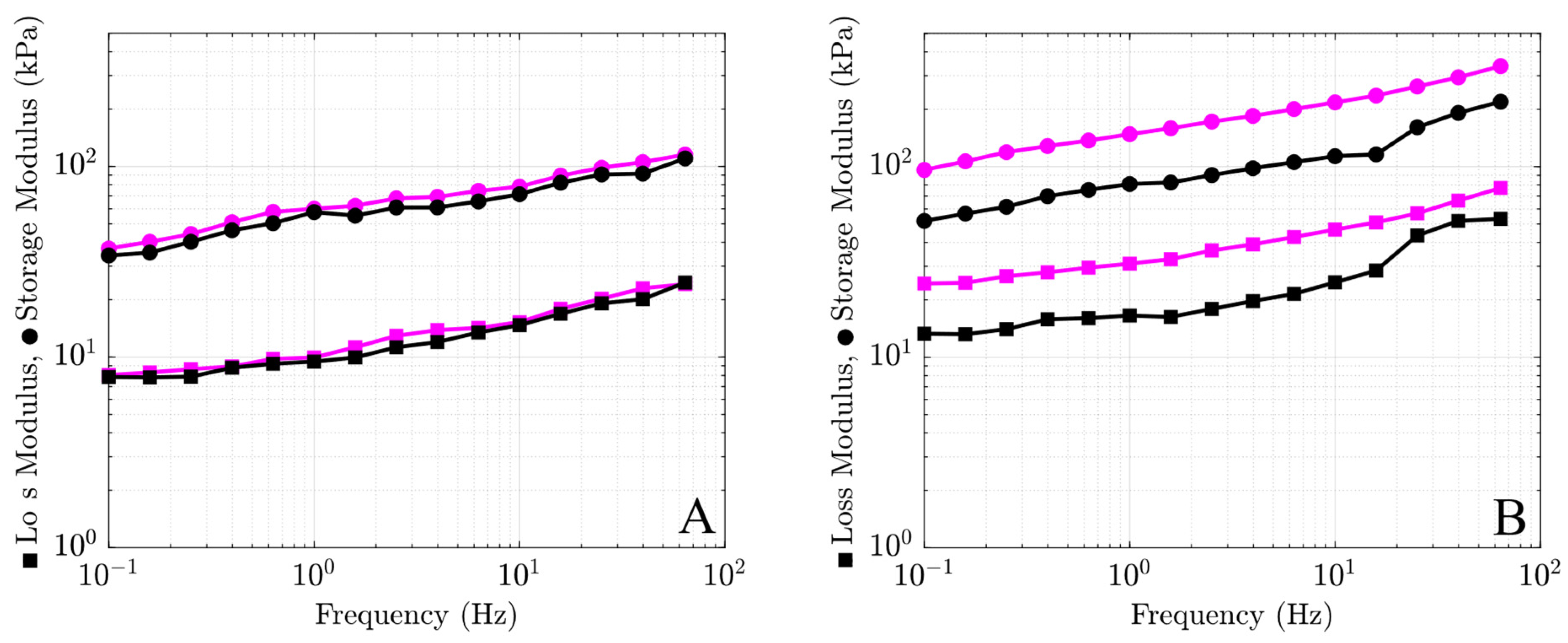
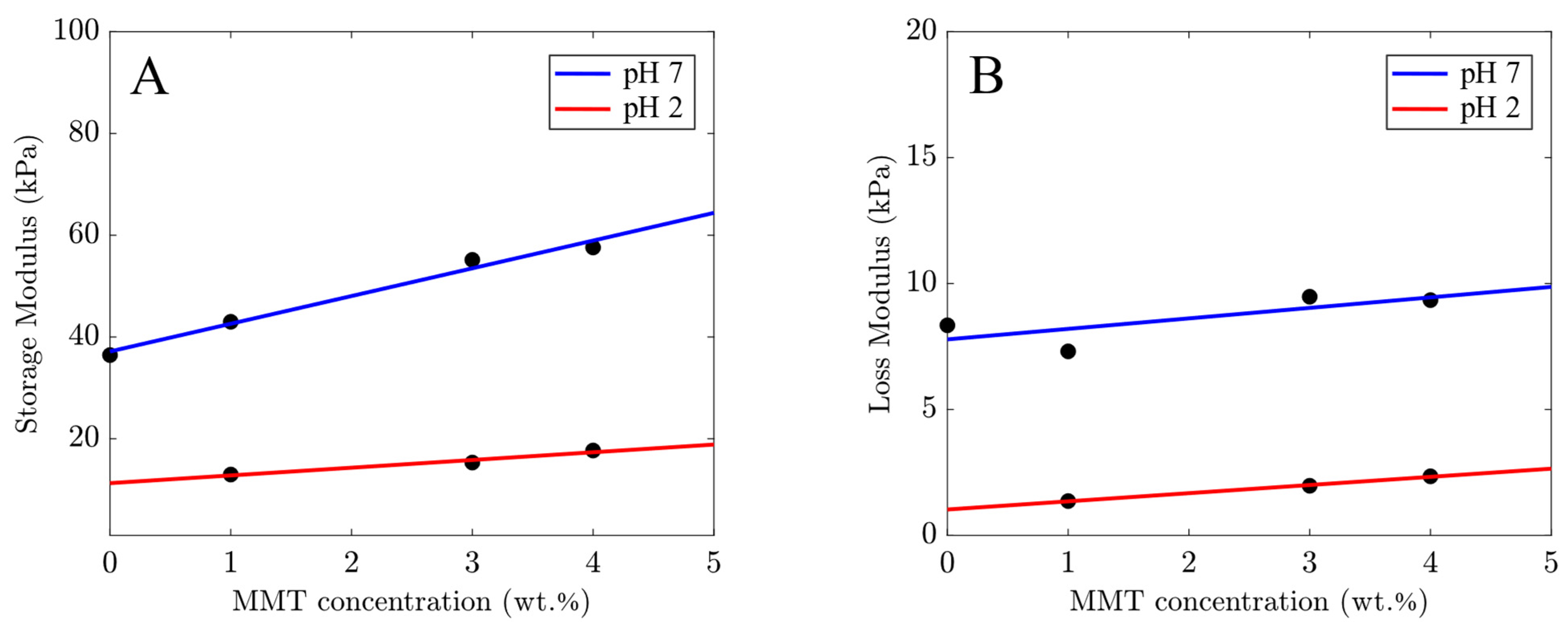
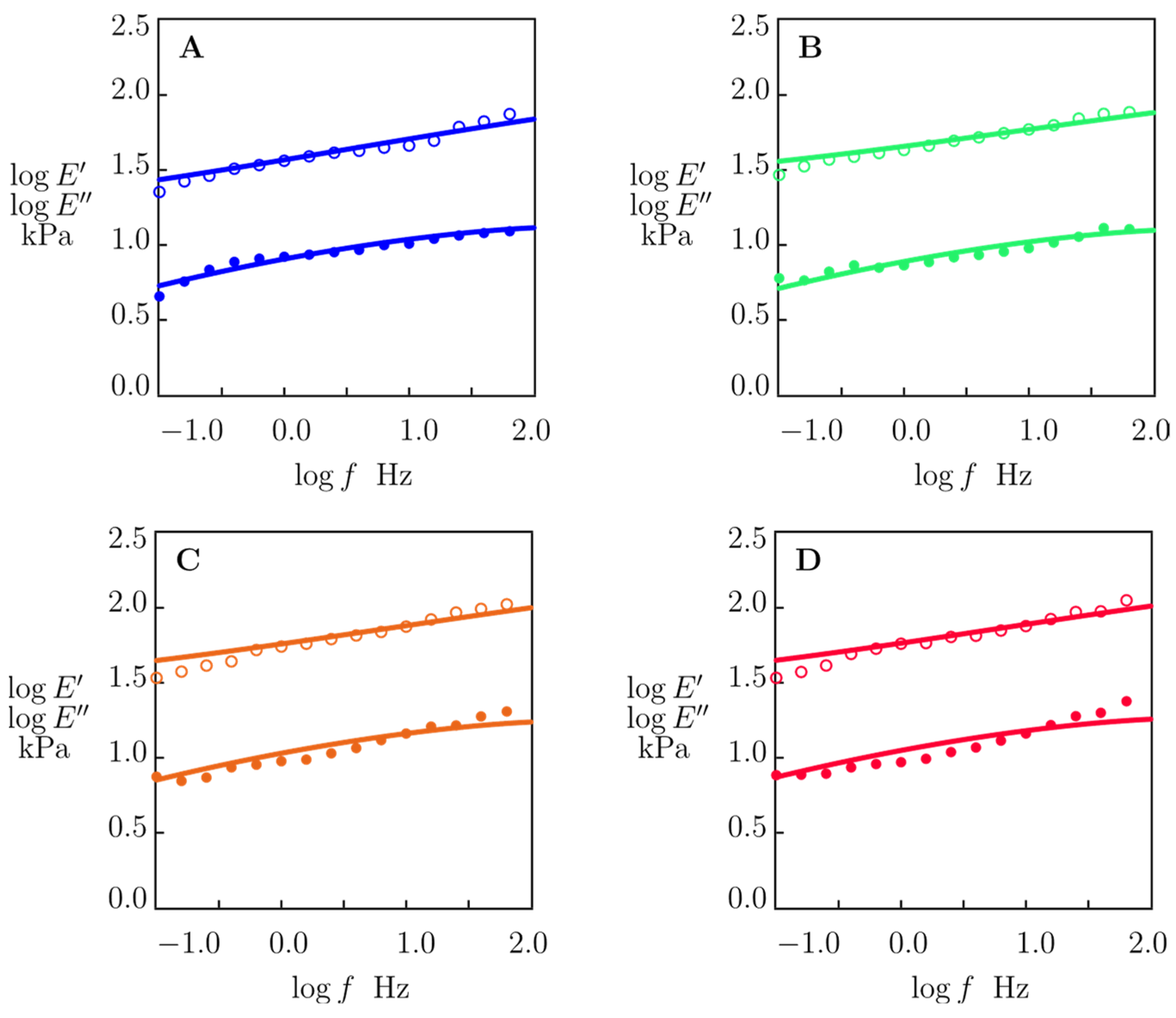
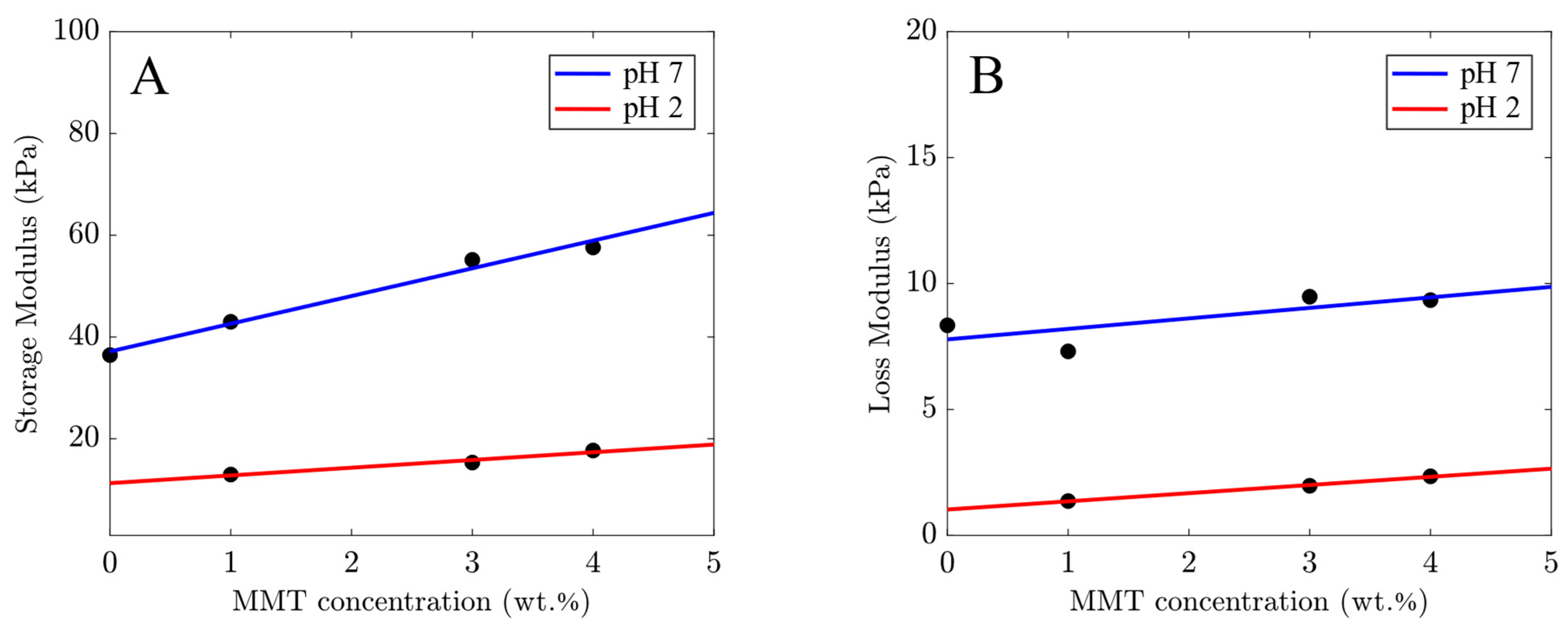
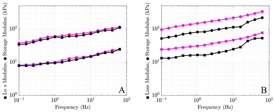
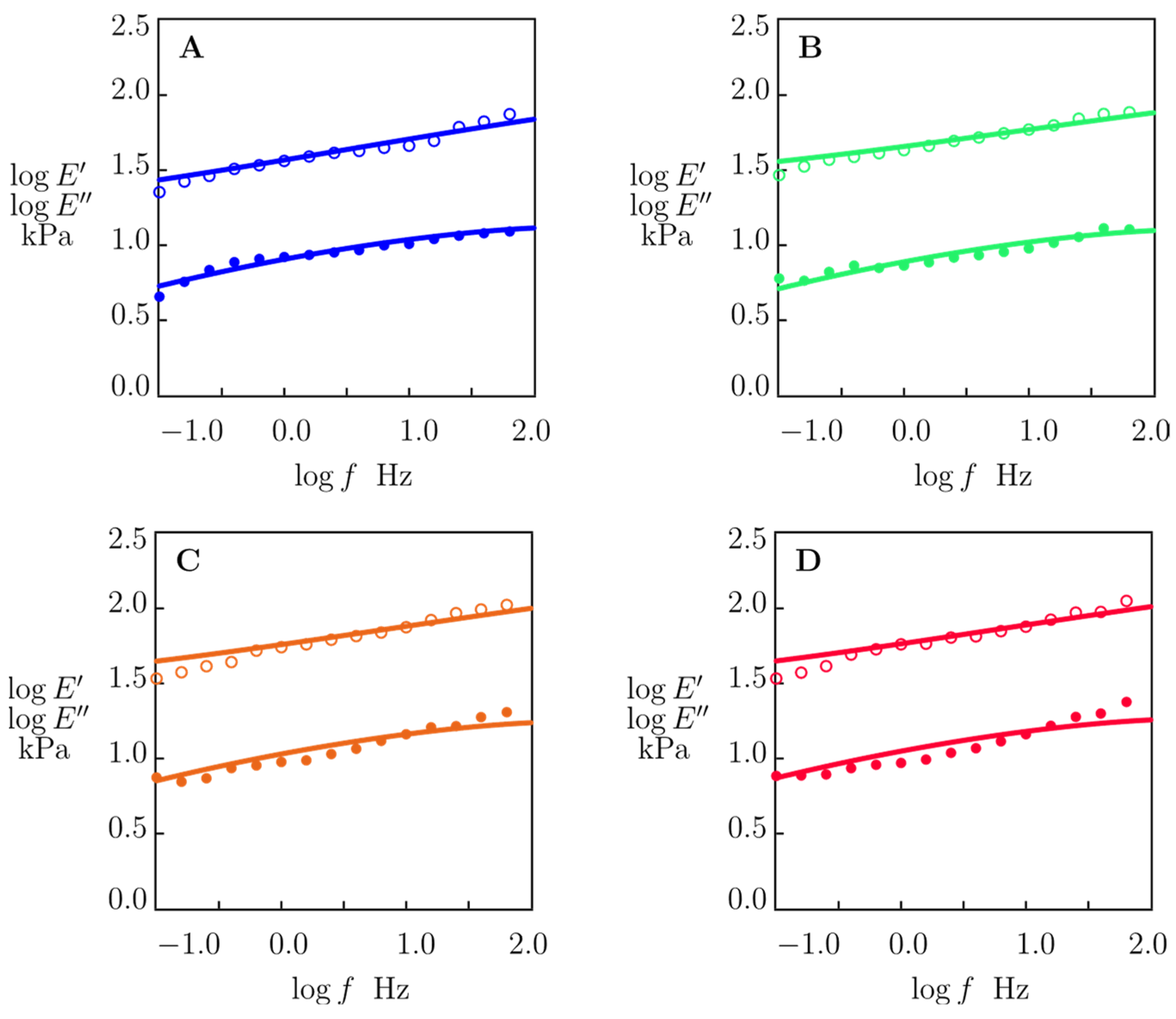
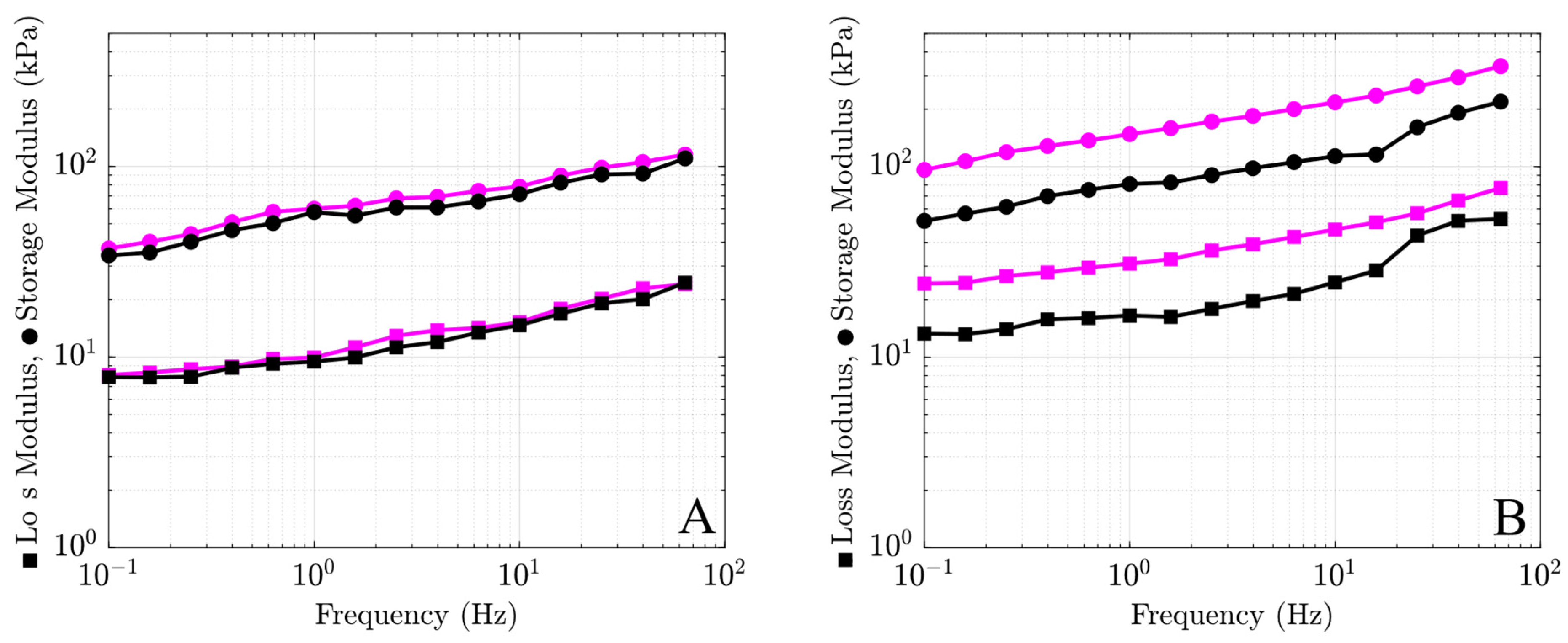
2.4. Mechanical Properties of Alginate–MMT Hydrogels
3. Discussion
4. Materials and Methods
4.1. Materials
4.2. Modification of MMT
4.3. Preparation of Hydrogels
4.4. ATR-FTIR
4.5. X-ray Diffraction
4.6. Mechanical Tests
4.7. Statistical Analysis
5. Conclusions
Supplementary Materials
Author Contributions
Funding
Institutional Review Board Statement
Informed Consent Statement
Data Availability Statement
Conflicts of Interest
References
- Singh, A.V. Biopolymers in drug delivery: A review. Pharmacologyonline 2011, 1, 666–674. [Google Scholar]
- Vashist, A.; Vashist, A.; Gupta, Y.; Ahmad, S. Recent advances in hydrogel based drug delivery systems for the human body. J. Mater. Chem. B 2014, 2, 147–166. [Google Scholar] [CrossRef] [PubMed]
- Hama, R.; Ulziibayar, A.; Reinhardt, J.W.; Watanabe, T.; Kelly, J.; Shinoka, T. Recent developments in biopolymer-based hydrogels for tissue engineering applications. Biomolecules 2023, 13, 280. [Google Scholar] [CrossRef] [PubMed]
- Pires, P.C.; Mascarenhas-Melo, F.; Pedrosa, K.; Lopes, D.; Lopes, J.; Macário-Soares, A.; Peixoto, D.; Giram, P.S.; Veiga, F.; Paiva-Santos, A.C. Polymer-based biomaterials for pharmaceutical and biomedical applications: A focus on topical drug administration. Eur. Polym. J. 2023, 187, 111868. [Google Scholar] [CrossRef]
- Liu, J.; Huang, Y.; Kumar, A.; Tan, A.; Jin, S.; Mozhi, A.; Liang, X.-J. pH-sensitive nano-systems for drug delivery in cancer therapy. Biotechnol. Adv. 2014, 32, 693–710. [Google Scholar] [CrossRef] [PubMed]
- Abdella, S.; Abid, F.; Youssef, S.H.; Kim, S.; Afinjuomo, F.; Malinga, C.; Song, Y.; Garg, S. pH and its applications in targeted drug delivery. Drug Discov. Today 2022, 28, 103414. [Google Scholar] [CrossRef] [PubMed]
- Ding, H.; Tan, P.; Fu, S.; Tian, X.; Zhang, H.; Ma, X.; Gu, Z.; Luo, K. Preparation and application of pH-responsive drug delivery systems. J. Control. Release 2022, 348, 206–238. [Google Scholar] [CrossRef] [PubMed]
- Mu, Y.; Gong, L.; Peng, T.; Yao, J.; Lin, Z. Advances in pH-responsive drug delivery systems. OpenNano 2021, 5, 100031. [Google Scholar] [CrossRef]
- Kumar Giri, T.; Thakur, D.; Alexander, A.; Badwaik, H.; Krishna Tripathi, D. Alginate based hydrogel as a potential biopolymeric carrier for drug delivery and cell delivery systems: Present status and applications. Curr. Drug Deliv. 2012, 9, 539–555. [Google Scholar] [CrossRef]
- Abourehab, M.A.; Rajendran, R.R.; Singh, A.; Pramanik, S.; Shrivastav, P.; Ansari, M.J.; Manne, R.; Amaral, L.S.; Deepak, A. Alginate as a promising biopolymer in drug delivery and wound healing: A review of the state-of-the-art. Int. J. Mol. Sci. 2022, 23, 9035. [Google Scholar] [CrossRef]
- Hegde, V.; Uthappa, U.; Altalhi, T.; Jung, H.-Y.; Han, S.S.; Kurkuri, M.D. Alginate based polymeric systems for drug delivery, antibacterial/microbial, and wound dressing applications. Mater. Today Commun. 2022, 33, 104813. [Google Scholar] [CrossRef]
- Manatunga, D.C.; de Silva, R.M.; de Silva, K.N.; de Silva, N.; Bhandari, S.; Yap, Y.K.; Costha, N.P. pH responsive controlled release of anti-cancer hydrophobic drugs from sodium alginate and hydroxyapatite bi-coated iron oxide nanoparticles. Eur. J. Pharm. Biopharm. 2017, 117, 29–38. [Google Scholar] [CrossRef] [PubMed]
- Zhang, J.; Hurren, C.; Lu, Z.; Wang, D. pH-sensitive alginate hydrogel for synergistic anti-infection. Int. J. Biol. Macromol. 2022, 222, 1723–1733. [Google Scholar] [CrossRef] [PubMed]
- Malektaj, H.; Drozdov, A.D.; deClaville Christiansen, J. Swelling of Homogeneous Alginate Gels with Multi-Stimuli Sensitivity. Int. J. Mol. Sci. 2023, 24, 5064. [Google Scholar] [CrossRef] [PubMed]
- Doumeche, B.; Küppers, M.; Stapf, S.; Blümich, B.; Hartmeier, W.; Ansorge-Schumacher, M. New approaches to the visualization, quantification and explanation of acid-induced water loss from Ca-alginate hydrogel beads. J. Microencapsul. 2004, 21, 565–573. [Google Scholar] [CrossRef] [PubMed]
- Jayrajsinh, S.; Shankar, G.; Agrawal, Y.K.; Bakre, L. Montmorillonite nanoclay as a multifaceted drug-delivery carrier: A review. J. Drug Deliv. Sci. Technol. 2017, 39, 200–209. [Google Scholar] [CrossRef]
- Gaharwar, A.K.; Cross, L.M.; Peak, C.W.; Gold, K.; Carrow, J.K.; Brokesh, A.; Singh, K.A. 2D nanoclay for biomedical applications: Regenerative medicine, therapeutic delivery, and additive manufacturing. Adv. Mater. 2019, 31, 1900332. [Google Scholar] [CrossRef]
- Khatoon, N.; Chu, M.Q.; Zhou, C.H. Nanoclay-based drug delivery systems and their therapeutic potentials. J. Mater. Chem. B 2020, 8, 7335–7351. [Google Scholar] [CrossRef]
- El Bourakadi, K.; Bouhfid, R. Bio-films based on alginate/modified clay through spray drying: Mechanical, rheological, morphological, and transport properties for potential use as active food packaging. Int. J. Biol. Macromol. 2022, 210, 663–668. [Google Scholar] [CrossRef]
- Bhat, S.D.; Aminabhavi, T.M. Novel sodium alginate–Na+ MMT hybrid composite membranes for pervaporation dehydration of isopropanol, 1,4-dioxane and tetrahydrofuran. Sep. Purif. Technol. 2006, 51, 85–94. [Google Scholar] [CrossRef]
- Gallardo, M.R.; Duena, A.N.; Ang, M.B.M.Y.; Gonzales, R.R.; Millare, J.C.; Aquino, R.R.; Li, C.-L.; Tsai, H.-A.; Huang, S.-H.; Lee, K.-R. Improved pervaporation dehydration performance of alginate composite membranes by embedding organo-montmorillonite. Sep. Purif. Technol. 2023, 314, 123619. [Google Scholar] [CrossRef]
- Hua, S.; Yang, H.; Wang, W.; Wang, A. Controlled release of ofloxacin from chitosan–montmorillonite hydrogel. Appl. Clay Sci. 2010, 50, 112–117. [Google Scholar] [CrossRef]
- Hasany, M.; Thakur, A.; Taebnia, N.; Kadumudi, F.B.; Shahbazi, M.-A.; Pierchala, M.K.; Mohanty, S.; Orive, G.; Andresen, T.L.; Foldager, C.B. Combinatorial screening of nanoclay-reinforced hydrogels: A glimpse of the “holy grail” in orthopedic stem cell therapy? ACS Appl. Mater. Interfaces 2018, 10, 34924–34941. [Google Scholar] [CrossRef] [PubMed]
- Hafezi, M.; Khorasani, S.N.; Khalili, S.; Neisiany, R.E. Self-healing interpenetrating network hydrogel based on GelMA/alginate/nano-clay. Int. J. Biol. Macromol. 2023, 242, 124962. [Google Scholar] [CrossRef]
- Viseras, C.; Aguzzi, C.; Cerezo, P.; Bedmar, M. Biopolymer–clay nanocomposites for controlled drug delivery. Mater. Sci. Technol. 2008, 24, 1020–1026. [Google Scholar] [CrossRef]
- Drozdov, A.D.; deClaville Christiansen, J. Micromechanical modeling of barrier properties of polymer nanocomposites. Compos. Sci. Technol. 2020, 189, 108002. [Google Scholar] [CrossRef]
- Sezen, S.; Thakur, V.K.; Ozmen, M.M. Highly effective covalently crosslinked composite alginate cryogels for cationic dye removal. Gels 2021, 7, 178. [Google Scholar] [CrossRef] [PubMed]
- Su, X.; Chen, B. Tough, resilient and pH-sensitive interpenetrating polyacrylamide/alginate/montmorillonite nanocomposite hydrogels. Carbohydr. Polym. 2018, 197, 497–507. [Google Scholar] [CrossRef]
- Hammoudi, N.; Ziani Cherif, H.; Borsali, F.; Benmansour, K.; Meghezzi, A. Preparation of active antimicrobial and antifungal alginate-montmorillonite/lemon essential oil nanocomposite films. Mater. Technol. 2020, 35, 383–394. [Google Scholar] [CrossRef]
- Zlopasa, J.; Norder, B.; Koenders, E.A.; Picken, S.J. Rheological investigation of specific interactions in Na Alginate and Na MMT suspension. Carbohydr. Polym. 2016, 151, 144–149. [Google Scholar] [CrossRef]
- Alboofetileh, M.; Rezaei, M.; Hosseini, H.; Abdollahi, M. Effect of montmorillonite clay and biopolymer concentration on the physical and mechanical properties of alginate nanocomposite films. J. Food Eng. 2013, 117, 26–33. [Google Scholar] [CrossRef]
- Sultan, M.T.; Rahman, M.A.; Islam, J.M.; Khan, M.A.; Rahman, N.; Alam, N.A.; Hakim, A.; Alam, M.M. Preparation and characterization of an alginate/clay nanocomposite for optoelectronic application. Adv. Mater. Res. 2010, 123, 751–754. [Google Scholar] [CrossRef]
- Hsieh, A.J.; Moy, P.; Beyer, F.L.; Madison, P.; Napadensky, E.; Ren, J.; Krishnamoorti, R. Mechanical response and rheological properties of polycarbonate layered-silicate nanocomposites. Polym. Eng. Sci. 2004, 44, 825–837. [Google Scholar] [CrossRef]
- Iliescu, R.I.; Andronescu, E.; Ghitulica, C.D.; Voicu, G.; Ficai, A.; Hoteteu, M. Montmorillonite–alginate nanocomposite as a drug delivery system–incorporation and in vitro release of irinotecan. Int. J. Pharm. 2014, 463, 184–192. [Google Scholar] [CrossRef] [PubMed]
- Reddy, O.S.; Subha, M.; Jithendra, T.; Madhavi, C.; Rao, K.C. Curcumin encapsulated dual cross linked sodium alginate/montmorillonite polymeric composite beads for controlled drug delivery. J. Pharm. Anal. 2021, 11, 191–199. [Google Scholar] [CrossRef] [PubMed]
- Adzmi, F.; Meon, S.; Musa, M.H.; Yusuf, N.A. Preparation, characterisation and viability of encapsulated Trichoderma harzianum UPM40 in alginate-montmorillonite clay. J. Microencapsul. 2012, 29, 205–210. [Google Scholar] [CrossRef]
- Qiu, H.; Yu, J. Polyacrylate/(carboxymethylcellulose modified montmorillonite) superabsorbent nanocomposite: Preparation and water absorbency. J. Appl. Polym. Sci. 2008, 107, 118–123. [Google Scholar] [CrossRef]
- Høgsaa, B.; Fini, E.H.; Christiansen, J.d.C.; Hung, A.; Mousavi, M.; Jensen, E.A.; Pahlavan, F.; Pedersen, T.H.; Sanporean, C.-G. A novel bioresidue to compatibilize sodium montmorillonite and linear low density polyethylene. Ind. Eng. Chem. Res. 2018, 57, 1213–1224. [Google Scholar] [CrossRef]
- Drozdov, A.D.; deClaville Christiansen, J. Tuning the viscoelastic response of hydrogel scaffolds with covalent and dynamic bonds. J. Mech. Behav. Biomed. Mater. 2022, 130, 105179. [Google Scholar] [CrossRef]
- Malektaj, H.; Drozdov, A.D.; deClaville Christiansen, J. Mechanical Properties of Alginate Hydrogels Cross-Linked with Multivalent Cations. Polymers 2023, 15, 3012. [Google Scholar] [CrossRef]
- Sun, T.L.; Luo, F.; Hong, W.; Cui, K.; Huang, Y.; Zhang, H.J.; King, D.R.; Kurokawa, T.; Nakajima, T.; Gong, J.P. Bulk energy dissipation mechanism for the fracture of tough and self-healing hydrogels. Macromolecules 2017, 50, 2923–2931. [Google Scholar] [CrossRef]
- Dijkstra, M.; Hansen, J.-P.; Madden, P.A. Statistical model for the structure and gelation of smectite clay suspensions. Phys. Rev. E 1997, 55, 3044. [Google Scholar] [CrossRef]
- Haraguchi, K. Synthesis and properties of soft nanocomposite materials with novel organic/inorganic network structures. Polym. J. 2011, 43, 223–241. [Google Scholar] [CrossRef]
- Iliescu, R.I.; Andronescu, E.; Voicu, G.; Ficai, A.; Covaliu, C.I. Hybrid materials based on montmorillonite and citostatic drugs: Preparation and characterization. Appl. Clay Sci. 2011, 52, 62–68. [Google Scholar] [CrossRef]









| Asymmetric Stretching Vibrations of Carboxylate Groups | Symmetric Stretching Vibrations of Carboxylate Groups | Oxygen Stretching | Stretching Vibration of Hydroxyl Groups | Bending Vibration of H–O–H | Stretching Vibration of Si–O–Si Bonds | |
|---|---|---|---|---|---|---|
| MMT | - | - | - | 3624 cm−1 | 1637 cm−1 | 1025 cm−1 |
| Alginate | 1595 cm−1 | 1405 cm−1 | 1019 cm−1 | 3268 cm−1 | - | - |
| 1 wt.% MMT | 1605 cm−1 | 1422 cm−1 | 1030 cm−1 | 3318 cm−1 | - | - |
| 3 wt.% MMT | 1610 cm−1 | 1429 cm−1 | 1017 cm−1 | 3363 cm−1 | - | |
| 4 wt.% MMT | 1611 cm−1 | 1436 cm−1 | 1031 cm−1 | 3381 cm−1 | - | - |
Disclaimer/Publisher’s Note: The statements, opinions and data contained in all publications are solely those of the individual author(s) and contributor(s) and not of MDPI and/or the editor(s). MDPI and/or the editor(s) disclaim responsibility for any injury to people or property resulting from any ideas, methods, instructions or products referred to in the content. |
© 2024 by the authors. Licensee MDPI, Basel, Switzerland. This article is an open access article distributed under the terms and conditions of the Creative Commons Attribution (CC BY) license (https://creativecommons.org/licenses/by/4.0/).
Share and Cite
Malektaj, H.; Drozdov, A.D.; Fini, E.; Christiansen, J.d.C. The Effect of pH on the Viscoelastic Response of Alginate–Montmorillonite Nanocomposite Hydrogels. Molecules 2024, 29, 244. https://doi.org/10.3390/molecules29010244
Malektaj H, Drozdov AD, Fini E, Christiansen JdC. The Effect of pH on the Viscoelastic Response of Alginate–Montmorillonite Nanocomposite Hydrogels. Molecules. 2024; 29(1):244. https://doi.org/10.3390/molecules29010244
Chicago/Turabian StyleMalektaj, Haniyeh, Aleksey D. Drozdov, Elham Fini, and Jesper de Claville Christiansen. 2024. "The Effect of pH on the Viscoelastic Response of Alginate–Montmorillonite Nanocomposite Hydrogels" Molecules 29, no. 1: 244. https://doi.org/10.3390/molecules29010244
APA StyleMalektaj, H., Drozdov, A. D., Fini, E., & Christiansen, J. d. C. (2024). The Effect of pH on the Viscoelastic Response of Alginate–Montmorillonite Nanocomposite Hydrogels. Molecules, 29(1), 244. https://doi.org/10.3390/molecules29010244

