Abstract
While thiocarbonyl-stabilised phosphonium ylides generally react upon flash vacuum pyrolysis by the extrusion of Ph3PS to give alkynes in an analogous way to their carbonyl-stabilised analogues, two examples with a hydrogen atom on the ylidic carbon are found to undergo a quite different process. The net transfer of a phenyl group from P to S gives (Z)-configured 1-diphenylphosphino-2-(phenylsulfenyl)alkenes in a novel isomerisation process via intermediate λ5-1,2-thiaphosphetes. These prove to be versatile hemilabile ligands with a total of seven complexes prepared involving five different transition metals. Four of these are characterised by X-ray diffraction with two involving the bidentate ligand forming a five-membered ring metallacycle and two with the ligand coordinating to the metal only through phosphorus.
1. Introduction
The thermal extrusion of Ph3PO from carbonyl-stabilised triphenylphosphonium ylides 1 is a well-established synthetic route to functionalised alkynes 2 (Scheme 1) [1,2,3]. The process proceeds particularly well using flash vacuum pyrolysis (FVP), and we have found that the phosphorus to carbonyl coupling constant 2JP–CO provides a diagnostic parameter for the likely success of the reaction, with ylides for which 2JP–CO < 11 Hz usually providing the alkynes in high yield [4]. By way of contrast, the thermal behaviour of the corresponding thiocarbonyl-stabilised ylides 3 has only been examined in a few cases and Bestmann and Schaper found that heating the ylides 3 above their melting point resulted in a bimolecular process with the loss of Ph3P and Ph3PS to give tetrasubstituted thiophenes 4 [5]. Some time ago, we described a preliminary study in which FVP of the ylides 5 was found to proceed as expected by analogy with the carbonyl analogues 1 with the loss of Ph3PS to give alkynes 2 for R1 ≠ H, but when R1 was hydrogen, a quite different process was observed: rearrangement with the transfer of a phenyl group from P to S giving the potentially useful bidentate proligands 6 [6]. In this paper, we describe in more detail the synthesis and structure of these novel phosphinovinyl sulfides as well as their coordination chemistry.
Scheme 1.
Previously reported thermal reactivity of carbonyl- and thiocarbonyl-stabilised phosphonium ylides.
2. Results and Discussion
Synthetic access to thiocarbonyl-stabilised ylides 5 is available using various methods including the treatment of non-stabilised ylides with dithioesters or dithiocarbonates [7], or activation of the corresponding carbonyl-stabilised ylides with triflic anhydride [8] or POCl3 [9] followed by treatment with sodium sulfide. For the current study, we used the direct reaction of carbonyl-stabilised ylides 1 with Lawesson’s reagent introduced by Capuano and coworkers [10], and in this way, we prepared the five examples 7–11 (Figure 1) from their carbonyl analogues.
Figure 1.
Thiocarbonyl ylides used in this study.
Compounds 7–9 are already known [8] andgave analytical and spectroscopic data in agreement with the reported values. The new compounds 10 and 11 were fully characterised and showed distinctive NMR signals confirming the presence of P=CH–C=S [10 δP +5.0; δH 5.22 (d, 2J 34 Hz, P=CH); δC 81.3 (d, 1J 118 Hz, P=CH), 214.4 (d, 2J 4 Hz, C=S). 11 δP +8.1; δH 5.18 (d, 2J 32 Hz, P=CH); δC 84.1 (d, 1J 113 Hz, P=CH), 200.5 (d, 2J 4 Hz, C=S)]. In fact, the phosphorus coupling extended throughout the structures with all carbon signals except the CH3 of t-butyl observed as doublets in the 13C NMR spectra. This is discussed further below in the context of a comparison of the coupling pattern before and after the thermal rearrangement. The structure of 10 was also confirmed by X-ray diffraction (CSD RefCode: AJOMUI) and this was described in our earlier communication [6]. We might also note at this point that compound 10 has a particularly pungent and unpleasant smell. Although it is not very volatile, it is extremely persistent and inadvertent contact with equipment or work surfaces contaminated with 10, even after several months, results in the release of its characteristic smell. We speculate that this may be due to slow hydrolysis of the P=C bond to give Ph3PO and release thiopinacolone, t-BuC(=S)Me.
When the thiocarbonyl ylides 7, 8 and 9 were subjected to FVP, there was complete reaction at a furnace temperature of 650 °C to give Ph3PS (δP +43) at the furnace exit and the expected alkynes 2, 2,2-dimethylpent-3-yne, 1-phenylpropyne and 1-phenyloctyne, in the cold trap. Thus, these compounds behave in a similar way to their carbonyl analogues but react more readily than the latter, which require a temperature of 750 °C for complete reaction [11]. The higher reactivity of thiocarbonyl- as compared to carbonyl-stabilised ylides is a feature that we have already noted and quantified in a series of kinetic studies on the pyrolysis of carbamoyl and thiocarbamoyl ylides [12,13,14].
When the two ylides 10 and 11 were subjected to FVP, the reaction was also complete at 650 °C, but the process involved turned out to be completely different. In each case, only a single main product was obtained, which was isomeric with the starting material. In the case of 10, the product 12 was obtained in good yield and in a pure form as a crystalline solid after preparative TLC. This showed a 31P NMR signal at −19.8 ppm, in the region expected for an alkyldiphenylphosphine, and the single P–CH= hydrogen gave a 1H NMR singlet at 6.94 ppm (Scheme 2).
Scheme 2.
FVP of 10 to give 12.
The 13C NMR spectrum, and particularly the pattern of P–C coupling, was particularly informative and showed major changes from the values in 10 (Figure 2).
Figure 2.
Magnitude of P–H (red) and P–C (black) coupling constants (Hz).
The values of JP–C for the thiocarbonyl ylides 10 and 11 are consistent with those well established for the corresponding carbonyl ylides [11] and carbamoyl/thiocarbamoyl ylides [12,13,14]. However, in the rearranged product 12, the values around P-Ph are more similar to those in Ph3P, and the much higher coupling to P–C=C as compared to P–C=C as well as the absence of coupling to P–CH are surprising features. As already mentioned in our preliminary communication [6], the structure of 12 was confirmed by X-ray diffraction (CSD RefCode: AJOMOC).
When we examined the corresponding pyrolysis of the thioacetyl ylide 11, the corresponding reaction occurred at the same temperature, but the product was now a liquid formed in lower yield and containing some impurities including Ph3P, Ph3PO and Ph3PS. More interestingly, while it was predominantly (6.5:1) the (Z)-isomer 13 (δP −22.7), signals attributed to the (E)-isomer 14 (δP −25.4) were also apparent (Scheme 3).
Scheme 3.
FVP of 11 to give 13 and 14.
Attempts to purify this by repeated Kugelrohr distillation under reduced pressure led instead to isomerisation to give a 1:1 mixture of 13 and 14. At first sight, it might seem surprising that the product is obtained mainly as the less thermodynamically stable isomer from pyrolysis at 650 °C but then isomerises to the more stable isomer upon simple distillation at 90 °C, but this only serves to emphasise the mild nature of the flash vacuum pyrolysis technique. In addition, it has been shown that under FVP conditions, (Z)-alkenes do not normally isomerise to the (E)-isomer to any great extent at temperatures as low as 650 °C with the degree of conversion of (Z)- to (E)-stilbene, for example, being determined as 12%, in good agreement with our results [15]. The presence of aromatic impurities even after distillation prevented full assignment of the 13C NMR spectra for 13 and 14, but the key signals and the values of the phosphorus coupling constants (Figure 2) were in good agreement with those for 12 while also showing significant differences between the two isomers. The detailed form of the signals for P–CH and P–C=C–Me in the two isomers was at first sight surprising. However, this could be explained by coincidental equivalence of some H–H and P–H coupling constants, and the observed patterns (see Supplementary Materials, Figure S14) could be satisfactorily simulated using the values shown in Figure 3.
Figure 3.
Coupling constants in 1H NMR spectra of 13 and 14.
Although the 1,2-arrangement of phosphine and sulfide functions on an alkene double bond, particularly in the (Z)-configuration, gives potentially valuable “hemilabile” proligands, few such compounds seem to be known (Figure 4). Chlorinated compounds such as 15 [16], 16 [17] and 17 [18] have been prepared as mixtures of (E)- and (Z)-isomers by the addition of phosphorus compounds to alkynes. The simpler disubstituted alkenes 18 [19], 19 [20] and 20 [21] have also been prepared but these are the (E)-isomers as shown. More recently, the (Z)-configured vinylphosphonates 21 containing sulfide, selenide and telluride functions [22] as well as the tellurovinylphosphine oxides 22 [23] have also been reported.
Figure 4.
Some previously reported P–C=C–S proligands.
In terms of the mechanism of this new thermal rearrangement, we envisage attack of the nucleophilic sulfur at phosphorus to give a transient λ5-1,2-thiaphosphete, which is of course the same intermediate involved in the extrusion of Ph3PS to give alkynes as observed for 7–9. This behaviour is also consistent with that of the isolable thiaphosphete 23, which fragments with the loss of an alkyne to give the benzoxaphosphole P-sulfide [24]. However, perhaps due to the relief of steric congestion, the thiaphosphetes derived from 10 and 11 instead undergo what is effectively a reductive elimination at phosphorus to give the (Z)-phosphinovinyl sulfides 12 and 13 (Scheme 4).
Scheme 4.
Mechanism proposed for the thermal rearrangement of 10 and 11.
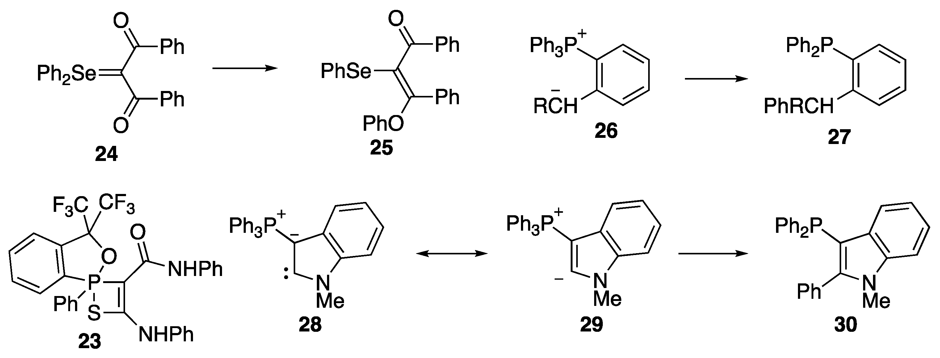
Somewhat similar processes are the transfer of Ph from Se to O in acylselenonium ylides such as 24 to give 25 observed by Rakitin [25] (Scheme 5), the transformation of 26 into 27 postulated by Zbiral in the interaction of ylides Ph3P=CHR with benzyne [26] and the rearrangement of the ylide-containing N-heterocyclic carbene 28 via 29 to give 3-phosphinoindole 30 [27].
Scheme 5.
Some mechanistic precedents.
With the two new hemilabile proligands in hand, we now set about exploring their coordination chemistry. In our preliminary communication [6], the formation of the square planar platinum complex 31 from 12 was described along with its X-ray structure determination (CSD RefCode: AJONAP). We were also successful in obtaining complexes of 12 with a wide range of other standard transition metal reagents (Scheme 6).
Scheme 6.
Formation of transition metal complexes from 12.
Reaction of the starting materials in CH2Cl2 followed by partial evaporation and precipitation with diethyl ether gave the new complexes 32–36 in moderate to good yield as crystalline solids, giving the expected microanalytical data and 1H and 31P NMR spectra. From the analytical data, it was clear that the complexes had formed with the expected stoichiometry according to the metal source employed, with 12 acting as a bidentate ligand in the square planar platinum(II) and palladium(II) complexes 31 and 32 and the cationic ruthenium(II) complex 36, but as a monodentate ligand through the more strongly donating phosphorus atom in palladium(II) complex 33, gold(I) complex 34 and iridium(III) complex 35. In addition to the compound 31 already confirmed by X-ray diffraction [6], we were able to obtain X-ray structures for gold complex 34 and iridium complex 35 (see below).
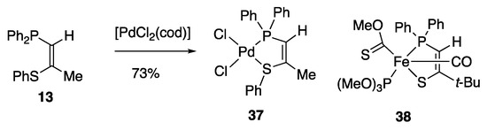
Although the methyl proligand 13 was available in lower quantity and purity, we were able to prepare its palladium dichloride complex 37 analogous to 32 and also determined its X-ray structure (Scheme 7).
Scheme 7.
Formation of palladium complex 37 and structure of a related iron complex.
The structures of the complexes 34, 35 and 37 together with the numbering systems used are shown below (Figure 5) with that of 31 [6] also included for comparison.
Figure 5.
X-ray structures of complexes 34, 35, 37 and 31 showing probability ellipsoids at 50% level and numbering systems used.
For comparison, we also show (Figure 6) the previously reported structures of 10 [6] and 12 [6], and the iron(II) complex 38 [28], which, although made in a quite different way, contains the phosphinovinylthiolate corresponding to 12 as an anionic bidentate ligand.
Figure 6.
Published structures of 10, 12 and 38.
The key structural parameters for complexes 34, 35 and 37 and, for comparison, those for 10, 12, 31 and 38 are presented in Table 1. In all seven structures, the P–C–C–S fragment is quite accurately planar with a torsion angle of <10° in every case.
Table 1.
Geometric parameters for 10 [6], 12 [6], 31 [6], 34, 35, 37 and, for comparison, 38 [28].
If we first compare 10 and 12, the major change in geometry associated with the transformation of P=C–C=S into P–C=C–S is clear. However, comparing the structural parameters of 12 with those of its complexes 31, 34 and 35 as well as the related thiolate complex 38 shows a remarkable degree of consistency. As expected, the complexes 34 and 35 where the metal binds only to phosphorus have bond lengths around the =C–SPh that are relatively unaffected, while the bidentate binding to platinum in 31 results in the significant lengthening of C–S and shortening of C–P. While the smaller size of AuCl means the ligand 12 can retain the orientation of the PPh2 group, coordination to the much larger Cp*IrCl2 requires the PPh2 group to rotate, placing the phenyl groups facing towards SPh. The similarity between the geometry of the neutral ligand 12 in complexes such as 31 and the anionic enethiolate in 38 is also notable, with only the =C–S length being significantly shorter in the latter. The angles within the five-membered ring in complexes 31, 37 and 38 are also remarkably consistent.
3. Experimental Section
3.1. General Experimental Details
NMR spectra were recorded on solutions in CDCl3 unless otherwise stated using Bruker instruments, and chemical shifts are given in ppm to high frequency from Me4Si for 1H and 13C and H3PO4 for 31P with coupling constants J in Hz. The 13C NMR spectra are referenced to the solvent signal at 77.0 (CDCl3). IR spectra were recorded on a Perkin Elmer 1420 instrument. Elemental analysis was conducted using a Carlo Erba CHNS analyser. Mass spectra were obtained using a Micromass instrument and the ionisation method used is noted in each case. Preparative TLC was carried out using 1.0 mm layers of Merck alumina 60 G containing 0.5% Woelm fluorescent green indicator on glass plates. Melting points were recorded on a Gallenkamp 50W melting point apparatus or a Reichert hot-stage microscope.
Flash vacuum pyrolysis (FVP) was carried out in a conventional flow system by subliming the starting material through a horizontal quartz tube (30 × 2.5 cm) externally heated by a tube furnace to 650 °C and maintained at a pressure of 2–5 × 10−2 Torr by a rotary vacuum pump. Products were collected in a liquid N2 cooled U-shaped trap and purified as noted.
General organic and inorganic reagents and solvents were obtained from standard suppliers and used as received. Dry THF was prepared by storage over sodium wire. Starting transition metal complexes [AuCl(tetrahydrothiophene)] [29], [PdCl2(cyclooctadiene)] [30], [PtCl2(cyclooctadiene)] [31], [{RuCl(μ-Cl)(η6-p-MeC6H4iPr)}2] [32], [{IrCl(μ-Cl)(η5-C5Me5)}2] [33] and [{Pd(m-Cl)(η3-C3H5)}2] [34] were prepared by the reported methods.
3.2. Preparation of Thiocarbonyl Ylides
3.2.1. Preparation of Thiopivaloylmethylenetriphenylphosphorane 10
A solution of pivaloylmethylenetriphenylphosphorane (5.0 g, 13.9 mmol) and Lawesson’s reagent (2.81 g, 6.9 mmol) in toluene (300 mL) was heated under reflux under nitrogen for 3 h. The mixture was allowed to cool to RT and the solution was poured off leaving an insoluble oily residue and evaporated. Recrystallisation of the resulting solid from ethyl acetate gave the product (2.86 g, 55%) as pale-yellow crystals, mp 200–202 °C; (Found: C, 76.5; H, 6.4. C24H25PS requires C, 76.6; H, 6.7%); νmax/cm−1 1572, 1260, 1205, 1160, 1105, 978, 880, 792, 751, 722, 713, 691 and 620; 1H NMR (300 MHz) δH 1.40 (9H, s), 5.22 (1H, d, J 34, CH=P), 7.40–7.48 (6H, m), 7.48–7.52 (3H, m) and 7.67–7.80 (6H, m); 13C NMR (75 MHz) δC 31.3 (3C), 43.2 (d, J 14, CMe3), 81.3 (d, J 118, P=C), 125.3 (d, J 92, C-1 of Ph), 128.5 (d, J 12, C-3 of Ph), 131.6 (d, J 2, C-4 of Ph), 132.8 (d, J 10, C-2 of Ph) and 214.4 (d, J 4, C=S); 31P NMR (121 MHz) δP +5.0; MS (EI) m/z 376 (M+, 16%), 343 (9), 319 (100), 294 (7), 262 (12) and 183 (23).
3.2.2. Preparation of Thioacetylmethylenetriphenylphosphorane 11
A solution of acetylmethylenetriphenylphosphorane (8.0 g, 25 mmol) and Lawesson’s reagent (5.1 g,12.6 mmol) in toluene (300 mL) was heated under reflux under nitrogen for 3 h. The mixture was allowed to cool to RT and the solution was poured off leaving an insoluble oily residue and evaporated. Recrystallisation of the resulting solid from ethyl acetate gave the product (4.62 g, 55%) as pale-yellow crystals, mp 172–174 °C; (Found: C, 75.2; H, 5.3. C21H19PS requires C, 75.4; H, 5.7%); νmax/cm−1 1585, 1270, 1175, 1106, 993, 872, 763, 747, 723, 686 and 660; 1H NMR (300 MHz) δH 2.63 (3H, s), 5.18 (1H, d, J 32, CH=P), 7.45–7.55 (6H, m), 7.55–7.65 (3H, m) and 7.70–7.80 (6H, m); 13C NMR (75 MHz) δC 36.8 (d, J 18, Me), 84.1 (d, J 113, P=C), 124.6 (d, J 92, C-1 of Ph), 128.9 (d, J 12, C-3 of Ph), 132.3 (d, J 3, C-4 of Ph), 133.3 (d, J 10, C-2 of Ph) and 200.5 (d, J 4, C=S); 31P NMR (121 MHz) δP +8.1; MS (EI) m/z 334 (M+, 85%), 319 (16), 301 (40), 262 (14), 225 (30), 183 (38) and 43 (100).
3.3. Thermal Rearrangement of Thiocarbonyl Ylides
3.3.1. Preparation of (Z)-1-Diphenylphosphino-3,3-dimethyl-2-phenylthiobut-1-ene 12
FVP of the ylide 10 (0.50 g, 1.33 mmol) was performed at 650 °C and 3.8 × 10−2 Torr and was complete within 1 h. Preparative TLC (silica, diethyl ether) of the crude material gave the product 12 (0.41 g, 82%) as pale-yellow plates, mp 121–123 °C; (Found: C, 76.3; H, 6.7; S, 8.2. C24H25PS requires C, 76.6; H, 6.7; S, 8.5%); νmax/cm−1 1582, 1551, 1303, 1181, 1118, 1027, 960, 740, 720 and 694; 1H NMR (300 MHz) δH 1.21 (9H, s), 6.94 (1H, s), 7.05–7.25 (5H, m) and 7.25–7.40 (10H, m); 13C NMR (75 MHz) δC 29.8 (3CH3), 41.5 (d, J 3, CMe3), 125.2 (C-4 of SPh), 127.5 (C-3 of SPh), 128.24 (C-4 of PPh), 128.25 (d, J 11, C-3 of PPh), 128.6 (C-2 of SPh), 132.6 (d, J 19, C-2 of PPh), 137.2 (C-1 of SPh), 137.8 (d, J 6, P–CH=), 139.4 (d, J 12, C-1 of PPh) and 158.8 (d, J 23, S–C=); 31P NMR (121 MHz) δP −19.8; MS (CI) m/z 377 (M+H+, 100%), 319 (9) and 279 (10).
3.3.2. Preparation of (Z)-1-Diphenylphosphino-2-phenylthiopropene 13
FVP of the ylide 11 (0.50 g, 78.8 µmol) was performed at 650 °C and 3.8 × 10−2 Torr and was complete within 1 h. NMR analysis of the crude product (0.245 g, 49%) showed a 6.5:1 ratio of (Z)- and (E)-13. Repeated Kugelrohr distillation of this (bp 90 °C/0.1 Torr) in an attempt to remove trace impurities of Ph3P, Ph3PO and Ph3PS resulted in isomerisation to afford a 1:1 ratio of (Z) and (E)-13. By comparing the NMR data before and after distillation, the following assignments could be made (owing to peak overlap, definite assignment of the remaining aromatic 13C NMR signals was not possible):
(Z)-13: 1H NMR (300 MHz) δH 2.02 (3H, t, J 1.5), 6.33 (1H, qd, J 1.5, 0.8) and 7.25–7.75 (15H, m); 13C NMR (75 MHz) δC 148.8 (d, J 27, =C–S), 139.0 (d, J 9.5, PPh C-1), 132.2 (d, J 11, P–CH) and 25.7 (d, J 4.5, CH3); 31P NMR (121 MHz) δP −22.7.
(E)-13: 1H NMR (300 MHz) δH 2.23 (3H, d, J 0.9), 5.94 (1H, dq, J 2.0, 0.9) and 7.25–7.75 (15H, m); 13C NMR (75 MHz) δC 149.8 (d, J 30, =C–S), 138.9 (d, J 9.8, PPh C-1), 122.0 (d, J 12, P–CH) and 20.9 (d, J 23, CH3); 31P NMR (121 MHz) δP −25.4.
For the isomer mixture (Found: C, 75.2; H, 5.7. C21H19PS requires C, 75.4; H, 5.7%); νmax/cm−1 1584, 1478, 1435, 1184, 1109, 1026, 999, 743, 719 and 694; HRMS (EI) m/z calcd for C21H19PS (M+) 334.0945. Found 334.0960.
3.4. Formation of Transition Metal Complexes
3.4.1. (Z)-1-Diphenylphosphino-3,3-dimethyl-2-phenylthiobut-1-ene Platinum Dichloride Complex 31
A solution of [PtCl2(cod)] (66 mg, 0.18 mmol) in CH2Cl2 (5 mL) was stirred while a solution of (Z)-1-diphenylphosphino-3,3-dimethyl-2-phenylthiobut-1-ene 12 (66 mg, 0.18 mmol) in CH2Cl2 (5 mL) was added dropwise over 30 min. After 1 h, the mixture was reduced to 1 mL by evaporation, and the addition of diethyl ether (15 mL) led to precipitation of the product as an off-white solid (89 mg, 79%), which was isolated by filtration. (Found: C, 44.8; H, 3.6; S, 4.8. C24H25Cl2PPtS requires C, 44.9; H, 3.9; S, 5.0%); νmax/cm−1 1665, 1437, 295; 1H NMR (300 MHz, CD2Cl2) δH 8.0–7.5 (15H, m), 6.70 (1H, dd, 3JPt-H 67, 2JP-H 10) and 1.20 (9H, s); 31P NMR (121 MHz, CD2Cl2) δP +29.4 (d, 1JP-Pt 3524); MS (ESI−) m/z 641 (M–H).
3.4.2. (Z)-1-Diphenylphosphino-3,3-dimethyl-2-phenylthiobut-1-ene Palladium Dichloride Complex 32
A solution of [PdCl2(cod)] (38 mg, 0.13 mmol) in CH2Cl2 (5 mL) was stirred while a solution of (Z)-1-diphenylphosphino-3,3-dimethyl-2-phenylthiobut-1-ene 12 (50 mg, 0.13 mmol) in CH2Cl2 (5 mL) was added dropwise over 30 min. After 2 h, the mixture was reduced to 1 mL by evaporation, and the addition of diethyl ether (15 mL) led to precipitation of the product as a yellow solid (63 mg, 79%), which was isolated by filtration. (Found: C, 49.7; H, 4.4. C24H25Cl2PPdS•0.5 CH2Cl2 requires C, 49.4; H, 4.4%); νmax/cm−1 1575, 1436, 289; 1H NMR (300 MHz, CD2Cl2) δH 8.0–7.5 (15H, m), 6.70 (1H, d, 2JP-H 8) and 1.20 (9H, s); 31P NMR (121 MHz, CD2Cl2) δP +50.4; MS (ESI+) m/z 553 (M).
3.4.3. (Z)-1-Diphenylphosphino-3,3-dimethyl-2-phenylthiobut-1-ene η3-allyl Palladium Chloride Complex 33
A solution of [Pd(η3-allyl)Cl] (32 mg, 0.22 mmol) in CH2Cl2 (5 mL) was stirred while a solution of (Z)-1-diphenylphosphino-3,3-dimethyl-2-phenylthiobut-1-ene 12 (66 mg, 0.18 mmol) in CH2Cl2 (5 mL) was added dropwise over 30 min. After 2 h, the mixture was reduced to 0.5 mL by evaporation, and the addition of diethyl ether (10 mL) led to precipitation of the product as a yellow solid (54 mg, 55%), which was isolated by filtration. (Found: C, 56.7; H, 4.6. C27H30ClPPdS•0.4 CH2Cl2 requires C, 56.4; H, 5.3%); νmax/cm−1 1599, 1435, 296; 1H NMR (300 MHz, CD2Cl2) δH 8.0–7.5 (15H, m), 6.70 (1H, d, 2JP-H 8) and 1.20 (9H, s); 31P NMR (121 MHz, CD2Cl2) δP +40.9; MS (ESI+) m/z 523 (M–Cl).
3.4.4. (Z)-1-diphenylphosphino-3,3-dimethyl-2-phenylthiobut-1-ene Gold Chloride Complex 34
A solution of [Au(tht)Cl] (18 mg, 0.06 mmol) and (Z)-1-diphenylphosphino-3,3-dimethyl-2-phenylthiobut-1-ene 12 (21 mg, 0.06 mmol) in CH2Cl2 (2 mL) was stirred for 18 h. The mixture was reduced to 0.5 mL by evaporation, and the addition of diethyl ether (10 mL) led to precipitation of the product as a white solid (21 mg, 62%), which was isolated by filtration. (Found: C, 47.2; H, 4.1. C24H25AuClPS requires C, 47.3; H, 4.1%); νmax/cm−1 1577, 1436, 253; 1H NMR (300 MHz, CD2Cl2) δH 7.5–7.0 (15H, m), 6.70 (1H, d, 2JP-H 12) and 1.20 (9H, s); 31P NMR (121 MHz, CDCl3) δP +18.2; MS (ESI+) m/z 631 (M+Na).
3.4.5. (Z)-1-Diphenylphosphino-3,3-dimethyl-2-phenylthiobut-1-ene Pentamethylcyclopentadienyl Iridium Dichloride Complex 35
A solution of [{IrCl(μ-Cl)(η5-C5Me5)}2] (75 mg, 0.1 mmol) in CH2Cl2 (5 mL) was stirred while a solution of (Z)-1-diphenylphosphino-3,3-dimethyl-2-phenylthiobut-1-ene 12 (71 mg, 0.19 mmol) in CH2Cl2 (5 mL) was added dropwise over 30 min. After 2 h, the mixture was reduced to 0.5 mL by evaporation, and the addition of diethyl ether (20 mL) led to precipitation of the product as a yellow solid (84 mg, 57%), which was isolated by filtration. (Found: C, 48.1; H, 4.65. C34H40Cl2IrPS•1.25 CH2Cl2 requires C, 48.1; H, 4.9%); νmax/cm−1 1648, 1437, 290; 1H NMR (300 MHz, CD2Cl2) δH 8.0–7.5 (15H, m), 6.70 (1H, d, 2JP-H 8), 1.20 (9H, s) and 1.00 (15H, s); 31P NMR (121 MHz, CD2Cl2) δP −8.7; MS (ESI+) m/z 739 (M).
3.4.6. (Z)-1-Diphenylphosphino-3,3-dimethyl-2-phenylthiobut-1-ene p-Cymene Ruthenium Dichloride Complex 36
A solution of [{RuCl(μ-Cl)(η6-p-MeC6H4iPr)}2] (26 mg, 0.04 mmol) in CH2Cl2 (5 mL) was stirred while a solution of (Z)-1-diphenylphosphino-3,3-dimethyl-2-phenylthiobut-1-ene 12 (32 mg, 0.08 mmol) in CH2Cl2 (5 mL) was added dropwise over 30 min. After 18 h, the mixture was reduced to 0.5 mL by evaporation, and the addition of diethyl ether (10 mL) led to precipitation of the product as an orange solid (39 mg, 67%), which was isolated by filtration. (Found: C, 56.9; H, 4.0. C34H39Cl2PRuS•0.5 CH2Cl2 requires C, 57.1; H, 5.6%); νmax/cm−1 1637, 1436, 291; 1H NMR (300 MHz) δH 8.0–7.5 (19H, m), 6.70 (1H, d, 2JP-H 8), 2.50 (1H, m), 1.80 (3H, s), 1.20 (9H, s) and 0.70 (6H, m); 31P NMR (121 MHz) δP +14.6; MS (ESI+) m/z 647 (M–Cl).
3.4.7. (Z)-1-Diphenylphosphino-2-phenylthiopropene Palladium Dichloride Complex 37
A solution of [PdCl2(cod)] (33 mg, 0.1 mmol) in CH2Cl2 (5 mL) was stirred while a solution of (Z)-1-diphenylphosphino-2-phenylthiopropene 13 (64 mg, 0.2 mmol) in CH2Cl2 (5 mL) was added dropwise over 30 min. After 2 h, the mixture was reduced to 0.5 mL by evaporation, and the addition of diethyl ether (10 mL) led to precipitation of the product as a yellow solid (43 mg, 73%), which was isolated by filtration. (Found: C, 49.5; H, 3.2. C21H19ClPPdS requires C, 49.3; H, 3.7%); νmax/cm−1 1576, 1435, 296; 1H NMR (300 MHz, CD2Cl2) δH 8.0–7.5 (15H, m), 6.30 (1H, d, 2JP-H 8) and 2.00 (3H, s); 31P NMR (121 MHz, CD2Cl2) δP +52.4; MS (ESI+) m/z 532 (M+Na).
3.5. X-ray Structure Determination of Complexes
Data were collected on a Bruker SMART diffractometer using graphite monochromated Mo Kα radiation λ = 0.71075 Å. The data were deposited at the Cambridge Crystallographic Data Centre and can be obtained free of charge via http://www.ccdc.cam.ac.uk/getstructures (accessed on 13 December 2023). The structure was solved by direct methods and refined by full-matrix least-squares against F2 (SHELXL, Version 2018/3 [35]).
3.5.1. (Z)-1-Diphenylphosphino-3,3-dimethyl-2-phenylthiobut-1-ene Gold Chloride Complex 34
Crystal data for C24H25AuClPS, M = 608.91, colourless prism, crystal dimensions 0.13 × 0.03 × 0.03 mm, monoclinic, space group P21/c (No. 14), a = 18.290(6), b = 7.007(2), c = 17.660(6) Å, β = 96.966(6)°, V = 2246.7(13) Å3, Z = 4, Dc = 1.800 g cm−3, T = 125 K, R1 = 0.0622, Rw2 = 0.1417 for 2869 reflections with I > 2σ(I) and 253 variables. CCDC 2298238.
3.5.2. (Z)-1-Diphenylphosphino-3,3-dimethyl-2-phenylthiobut-1-ene Pentamethylcyclopentadienyl Iridium Dichloride Complex 35
Crystal data for C34H40Cl2IrPS, M = 774.85, yellow prism, crystal dimensions 0.30 × 0.20 × 0.20 mm, triclinic, space group P-1 (No. 2), a = 10.2041(15), b = 10.2862(15), c = 16.724(3) Å, α = 80.903(2), β = 82.655(2), γ = 65.666(2)°, V = 1575.5(4) Å3, Z = 2, Dc = 1.633 g cm–3, T = 125 K, R1 = 0.0263, Rw2 = 0.0717 for 4283 reflections with I > 2σ(I) and 354 variables. CCDC 2298239.
3.5.3. (Z)-1-Diphenylphosphino-2-phenylthiopropene Palladium Dichloride Complex 37
Crystal data for C21H19Cl2PPdS, M = 511.69, orange prism, crystal dimensions 0.30 × 0.15 × 0.10 mm, triclinic, space group P-1 (No. 2), a = 8.677(3), b = 11.063(4), c = 11.665(4) Å, α = 76.460(6), β = 87.468(6), γ = 71.174(5)°,V = 1029.8(6) Å3, Z = 2, Dc = 1.650 g cm–3, T = 125 K, R1 = 0.0519, Rw2 = 0.1335 for 2660 reflections with I > 2σ(I) and 235 variables. CCDC 2298237.
4. Conclusions
While thiocarbonyl ylides with other groups on the ylidic carbon undergo thermal extrusion of Ph3PS upon FVP at 650 °C, two examples, 10 and 11, with hydrogen on the ylidic carbon instead undergo a novel isomerisation under the same conditions to afford useful (Z)-configured 1-diphenylphosphino-2-phenylsulfenylalkenes. The t-butyl compound 12 is obtained in good yield as the pure (Z)-isomer and behaves well as a ligand, forming a range of transition metal complexes with both bidentate binding via P and S and monodentate binding via only P. The methyl compound is obtained in lower yield mainly as the (Z)-isomer 13 but with a significant proportion of (E)-14, which increases upon distillation. A more limited study of its coordination chemistry resulted in the isolation of a bidentate bonded palladium complex. It is clear that while seven new complexes involving the two ligands have been isolated and characterised, including in four cases by X-ray diffraction, much more work needs to be carried out to fully exploit the potential of these simple yet versatile proligands, which are now readily available thanks to this unusual thermal rearrangement.
Supplementary Materials
The following are available online at https://www.mdpi.com/article/10.3390/molecules29010221/s1, Figures S1–S16: 1H, 13C and 31P NMR spectra of compounds 10, 11, 12 and 13.
Author Contributions
G.D., N.S.K. and H.K. carried out the organic synthesis work; J.W. prepared the metal complexes; H.L.M. and J.W. collected the X-ray data and solved the structures; A.M.Z.S. supervised the X-ray structure determination and optimised the structures; J.D.W. supervised the preparation of metal complexes; R.A.A. designed the study, supervised the organic synthesis work, analysed the data and wrote the paper. All authors have read and agreed to the published version of the manuscript.
Funding
This work received no external funding.
Institutional Review Board Statement
Not applicable.
Informed Consent Statement
Not applicable.
Data Availability Statement
The data presented in this study are available in Supplementary Materials here.
Conflicts of Interest
The authors declare no conflicts of interest.
References
- Aitken, R.A.; Atherton, J.I. A new general synthesis of aliphatic and terminal alkynes: Flash vacuum pyrolysis of β-oxoalkylidenetriphenylphosphoranes. J. Chem. Soc. Chem. Commun. 1985, 1140–1141. [Google Scholar] [CrossRef]
- Aitken, R.A.; Thomas, A.W. Pyrolysis involving compounds with C=C, C=O and C=N double bonds. In Chemistry of the Functional Groups; Patai, S., Ed.; Wiley: Chichester, UK, 1997; Suppl. A3; pp. 473–536. [Google Scholar] [CrossRef]
- Eymery, F.; Iorga, B.; Savignac, P. The usefulness of phosphorus compounds in alkyne synthesis. Synthesis 2000, 185–213. [Google Scholar] [CrossRef]
- Aitken, R.A.; Boubalouta, Y.; Chang, D.; Cleghorn, L.P.; Gray, I.P.; Karodia, N.; Reid, E.J.; Slawin, A.M.Z. The Value of 2JP–CO as a Diagnostic Parameter for the Structure and Thermal Reactivity of Carbonyl-Stabilised Phosphonium Ylides. Tetrahedron 2017, 73, 6275–6285. [Google Scholar] [CrossRef]
- Bestmann, H.J.; Schaper, W. Reaktionen von Thioacylalkylidentriphenylphosphoranen-eine neue Thiophensynthese. Tetrahedron Lett. 1979, 20, 243–244. [Google Scholar] [CrossRef]
- Aitken, R.A.; Dawson, G.; Keddie, N.S.; Kraus, H.; Slawin, A.M.Z.; Wheatley, J.; Woollins, J.D. Thermal rearrangement of thiocarbonyl-stabilised triphenylphosphonium ylides leading to (Z)-1-diphenylphosphino-2-phenylsulfenylalkenes. Chem. Commun. 2009, 7381–7383. [Google Scholar] [CrossRef] [PubMed]
- Yoshida, H.; Matsuura, H.; Ogata, T.; Inokawa, S. α-Thiocarbonyl-stabilized phosphonium ylides: Preparation, structure, and alkylation reactions. Bull. Chem. Soc. Jpn. 1975, 48, 2907–2910. [Google Scholar] [CrossRef]
- Bestmann, H.J.; Pohlschmidt, A.; Kumar, K. Eine Methode zur Überführung von Acylalkylidentriphenylphosphoranen in Thioacylalkylidentriphenylphosphorane. Tetrahedron Lett. 1992, 33, 5955–5958. [Google Scholar] [CrossRef]
- Pasenok, S.; Appel, W. Process for the Preparation of Novel Stabilised Phosphorus Ylides. European Patent 741138 A2, 6 November 1996. [Google Scholar]
- Capuano, L.; Drescher, S.; Huch, V. Neue Synthesen mit 1,3-ambident-nucleophilen Phosphor-Yliden, VII. Heterocyclische Triphenylphosphonium-chloride, Triphenylphosphonio-olate, acyclische Triphenylphosphonio-thiolate und ihre Wittig-Derivate. Liebigs Ann. Chem. 1993, 1993, 125–129. [Google Scholar] [CrossRef]
- Aitken, R.A.; Atherton, J.I. Flash vacuum pyrolysis of stabilised phosphorus ylides. Part 1. Preparation of aliphatic and terminal alkynes. J. Chem. Soc. Perkin Trans. 1 1994, 1281–1284. [Google Scholar] [CrossRef]
- Aitken, R.A.; Al-Awadi, N.A.; Dawson, G.; El-Dusouqi, O.M.E.; Farrell, D.M.M.; Kaul, K.; Kumar, A. Synthesis, thermal reactivity and kinetics of substituted [(benzoyl)(phenylcarbamoyl)methylene]triphenylphosphoranes and their thiocarbamoyl analogue. Tetrahedron 2005, 61, 129–135. [Google Scholar] [CrossRef]
- Aitken, R.A.; Al-Awadi, N.A.; El-Dusouqi, O.M.E.; Farrell, D.M.M.; Kumar, A. Synthesis, thermal reactivity and kinetics of stabilized phosphorus ylides, part 2: [(arylcarbamoyl)(cyano)methylene]triphenylphosphoranes and their thiocarbamoyl analogues. Int. J. Chem. Kinet. 2006, 38, 496–502. [Google Scholar] [CrossRef]
- Aitken, R.A.; Al-Awadi, N.A.; Dawson, G.; El-Dusouqi, O.M.E.; Kaul, K.; Kumar, A. Kinetic and mechanistic study on the thermal reactivity of stabilized phosphorus ylides, part 3: [(acetyl)(arylcarbamoyl)methylene]triphenylphosphoranes and [(alkoxycarbonyl)(arylcarbamoyl)methylene]triphenylphosphoranes and their thiocarbamoyl analogues. Int. J. Chem. Kinet. 2007, 39, 6–16. [Google Scholar] [CrossRef]
- Hickson, C.L.; McNab, H. E–Z Isomerization of alkenes by flash vacuum pyrolysis. J. Chem. Res. (S) 1989, 176–177. [Google Scholar]
- Seredkina, S.G.; Kolbina, V.E.; Rozinov, V.G.; Mirskova, A.N.; Donskikh, V.I.; Voronkov, M.G. Phosphorylation of bis(organothio)acetylenes with phosphorus pentachloride. J. Gen. Chem. USSR 1982, 52, 2375–2379, Zh. Obshch. Khim.1982, 52, 2694–2698. [Google Scholar]
- Sinyashin, O.G.; Zubanov, V.A.; Musin, R.Z.; Batyeva, E.S.; Pudovik, A.N. Reaction of thioesters of trivalent phosphorus acids with dichloroacetylene. J. Gen. Chem. USSR 1989, 59, 454–458, Zh. Obshch. Khim.1989, 59, 512–516. [Google Scholar]
- Seredkina, S.G.; Mirskova, A.N.; Bannikova, O.B.; Dolgushin, G.V. Phosphorylation of organylthiochloroacetylenes by phosphorus pentachloride. J. Gen. Chem. USSR 1991, 61, 983–988, Zh. Obshch. Khim.1991, 61, 1084–1090. [Google Scholar]
- Voskuil, W.; Arens, J.F. Chemistry of acetylenic ethers LXII. Tertiary phosphines with an acetylene-phosphorus bond. Recl. Trav. Chim. Pays-Bas 1962, 81, 993–1008. [Google Scholar] [CrossRef]
- Kolomiets, A.F.; Fokin, A.V.; Rudnitskaya, L.S.; Krolevets, A.A. Alkenyldichlorophosphines. Bull. Acad. Sci. USSR Div. Chem. Sci. 1976, 25, 171–173, Izv. Akad. Nauk. SSSR Ser. Khim.1976, 181–183. [Google Scholar] [CrossRef]
- Kolomiets, A.F.; Fokin, A.V.; Krolevets, A.A.; Bronnyi, O.V. Reactions of alkenes with phosphorus pentachloride and trichlorosilane. Bull. Acad. Sci. USSR Div. Chem. Sci. 1976, 25, 200–201, Izv. Akad. Nauk. SSSR, Ser. Khim.1976, 207–209. [Google Scholar] [CrossRef]
- Braga, A.L.; Alves, E.F.; Silveira, C.C.; de Andrade, L.H. Stereoselective addition of sodium organyl chalcogenolates to alkynylphosphonates: Synthesis of diethyl 2-(organyl)-2-(organochalcogenyl)vinylphosphonates. Tetrahedron Lett. 2000, 41, 161–163. [Google Scholar] [CrossRef]
- Braga, A.L.; Vargas, F.; Zeni, G.; Silveira, C.C.; de Andrade, L.H. Synthesis of β-organotelluro vinylphosphine oxides by hydrotelluration of 1-alkynylphosphine oxides and their palladium-catalyzed cross-coupling with alkynes. Tetrahedron Lett. 2002, 43, 4399–4402. [Google Scholar] [CrossRef]
- Kawashima, T.; Iijima, T.; Kikuchi, H.; Okazaki, R. Synthesis of the first stable pentacoordinate 1,2-thiaphosphetene. Phosphorus Sulfur Silicon Relat. Elem. 1999, 144–146, 149–152. [Google Scholar] [CrossRef]
- Magdesieva, N.N.; Kyandzhetsian, R.A.; Rakitin, O.A. Rearrangements of selenonium ylides with two electron withdrawing groups. J. Org. Chem. USSR 1975, 11, 2636–2641, Zh. Org. Khim.1975, 11, 2562–2567. [Google Scholar]
- Zbiral, E. Phosphororganische Verbindungen III. Zum Mechanismus der durch Arine an Alkylenphosphoranen ausgelösten Umlagerung. Tetrahedron Lett. 1964, 5, 3963–3967. [Google Scholar] [CrossRef]
- Nakafuji, S.; Kobayashi, J.; Kawashima, T. Generation and coordinating properties of a carbene bearing a phosphorus ylide: An intensely electron-donating ligand. Angew. Chem. Int. Ed. 2008, 47, 1141–1144. [Google Scholar] [CrossRef] [PubMed]
- Robert, P.; Le Bozec, H.; Dixneuf, P.H.; Hartstock, F.; Taylor, N.J.; Carty, A.J. Chemistry of η2-CS2 complexes. Mononuclear iron compounds containing alkoxythiocarbonyl and chelating Ph2PCH=C(R)S ligands vis coupling of coordinated CS2 and phosphinoacetylenes: X-ray structure of Fe(CO)[P(OMe)3][Ph2PCH=C(t-Bu)S][CS(OMe)]. Organometallics 1982, 1, 1148–1154. [Google Scholar] [CrossRef]
- Uson, R.; Laguna, A.; Laguna, M.; Briggs, D.A.; Murray, H.H.; Fackler, J.P., Jr. (Tetrahydrothiophene)gold(I) or gold(II) complexes. Inorg. Synth. 1989, 26, 85–91. [Google Scholar] [CrossRef]
- Drew, D.; Doyle, J.R.; Shaver, A.G. Cyclic diolefin complexes of platinum and palladium. Inorg. Synth. 1991, 28, 346–349. [Google Scholar] [CrossRef]
- McDermott, J.X.; White, J.F.; Whitesides, G.M. Thermal decomposition of bis(phosphone)platinum(II) metallocycles. J. Am. Chem. Soc. 1976, 60, 6521–6528. [Google Scholar] [CrossRef]
- Bennett, M.A.; Huang, T.-N.; Matheson, T.W.; Smith, A.K.; Ittel, S.; Nickerson, W. (η6-Hexamethylbenzene)ruthenium complexes. Inorg. Synth. 1982, 21, 74–78. [Google Scholar] [CrossRef]
- White, C.; Yates, A.; Maitlis, P.M.; Heinekey, D.M. (η5-Pentamethylcyclopentadienyl)rhodium and -iridium compounds. Inorg. Synth. 1992, 29, 228–234. [Google Scholar] [CrossRef]
- Tatsuno, Y.; Yoshida, T.; Seiotsuka; Al-Salem, N.; Shaw, B.L. (η3-Allyl)Palladium(II) complexes. Inorg. Synth. 1979, 19, 220–223. [Google Scholar] [CrossRef]
- Sheldrick, G.M. A short history of SHELXL. Acta Crystallogr. Sect. A 2008, 64, 112–122. [Google Scholar] [CrossRef] [PubMed]
Disclaimer/Publisher’s Note: The statements, opinions and data contained in all publications are solely those of the individual author(s) and contributor(s) and not of MDPI and/or the editor(s). MDPI and/or the editor(s) disclaim responsibility for any injury to people or property resulting from any ideas, methods, instructions or products referred to in the content. |
© 2023 by the authors. Licensee MDPI, Basel, Switzerland. This article is an open access article distributed under the terms and conditions of the Creative Commons Attribution (CC BY) license (https://creativecommons.org/licenses/by/4.0/).












