Sodium Starch Glycolate (SSG) from Sago Starch (Metroxylon sago) as a Superdisintegrant: Synthesis and Characterization
Abstract
:1. Introduction
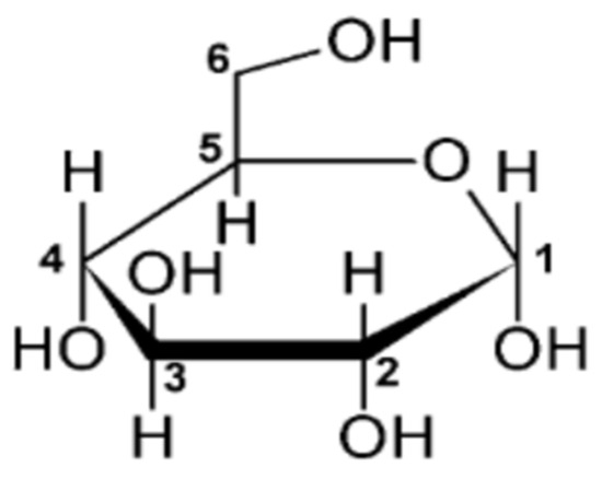
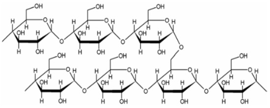
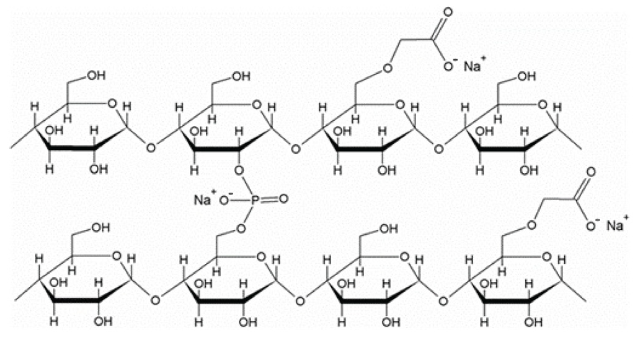
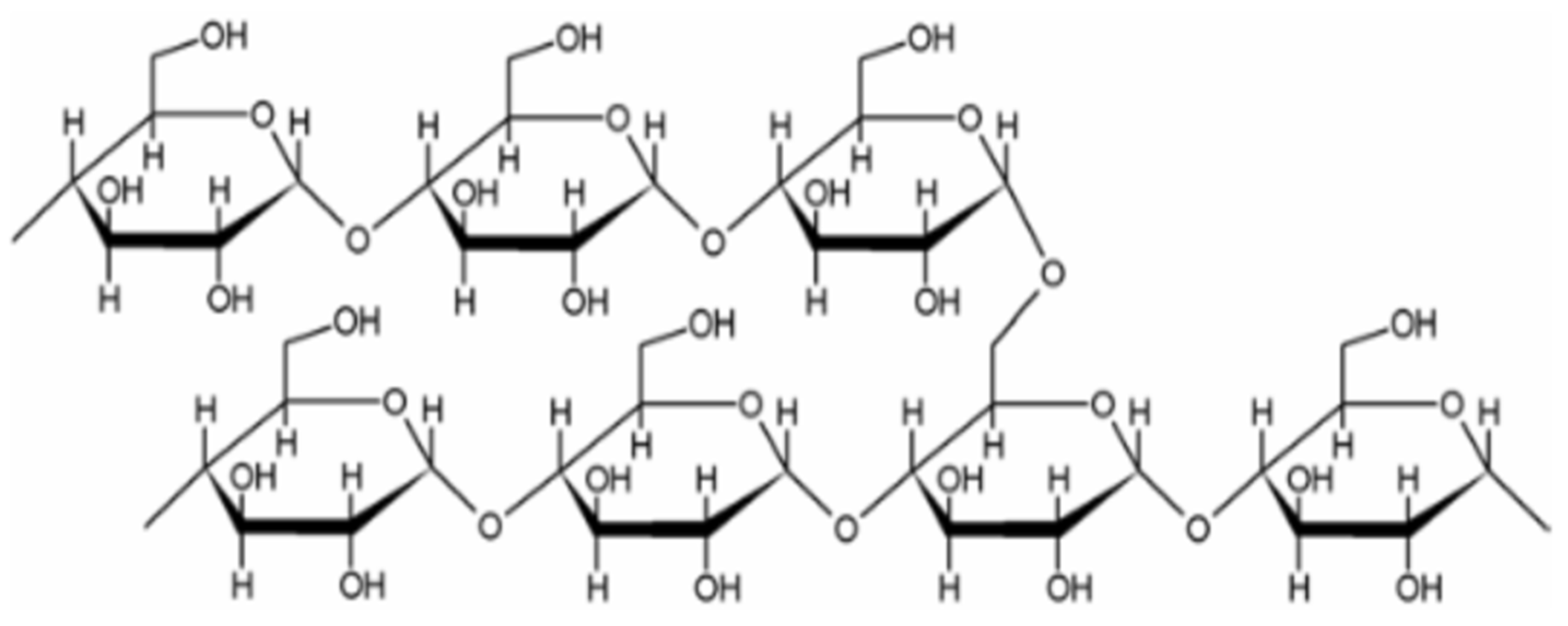
Structure
2. Materials and Methods
- Literature search
- Inclusion criteria
- Exclusion criteria
- Study selection
- The literature searches
2.1. The Process of Choosing a Starch Source
2.2. The Substance Known as Sodium Starch Glycolate (SSG) Is Derived from Sago Starch
3. Physical Chemistry of Sago Starch
3.1. Chemical Analysis of the Degree of Substitution (DS) of Carboxymethyl Starch (CMS)
3.2. Reaction Efficiency (RE)
3.3. Sodium Chloride (NaCl) Measurement
3.4. Fourier Transform Infrared (FTIR) Spectroscopy
3.5. Scanning Electron Microscopy (SEM) Analysis
3.6. Differential Scanning Calorimetry (DSC) Analysis
3.7. Pasting Properties
3.8. Bulk and Tapped Densities
3.9. Surface Area, Pore Volume, and Pore Size
3.10. Hydration Capacity
3.11. Water Solubility and Swelling Power
3.12. Action Procedure
3.13. Biopharmaceutical Quality
3.14. Molecular Characteristics
3.15. Dynamic Vapor Adsorption (DVS) Characteristics
4. Sodium Starch Glycolate (SSG) for Superdisintegration, Derived from Sago Starch
4.1. Formulation Evaluation
4.2. Powder Compression Qualities
4.3. The Property of Enhancing Solubility
4.4. The Impact of Self-Emulsifying Drug Delivery Systems (Sodium Starch Glycolate—SSG) on the Stability of Dosage Forms
5. Conclusions and Prospects
Author Contributions
Funding
Institutional Review Board Statement
Informed Consent Statement
Data Availability Statement
Acknowledgments
Conflicts of Interest
References
- Hoover, R.; Hughes, T.; Chung, H.J.; Liu, Q. Composition, molecular structure, properties, and modification of pulse starches: A review. Food Res. Int. 2010, 43, 399–413. [Google Scholar] [CrossRef]
- Alebiowu, G.; Itiola, O.A. Compressional characteristics of native and pregelatinized forms of sorghum, plantain, and corn starches and the mechanical properties of their tablets. Drug Dev. Ind. Pharm. 2002, 28, 663–672. [Google Scholar] [CrossRef] [PubMed]
- Bhosale, R.; Singhal, R. Effect of octenylsuccinylation on physicochemical and functional properties of waxy maize and amaranth starches. Carbohydr. Polym. 2007, 68, 447–456. [Google Scholar] [CrossRef]
- Abedi, E.; Sayadi, M.; Pourmohammadi, K. Effect of freezing-thawing pre-treatment on enzymatic modification of corn and potato starch treated with activated α-amylase: Investigation of functional properties. Food Hydrocoll. 2022, 129, 107676. [Google Scholar] [CrossRef]
- Abedi, E.; Savadkoohi, S.; Banasaz, S. The effect of thiolation process with l-cysteine on amylolysis efficiency of starch-cysteine conjugate by α-amylase. Food Chem. 2023, 410, 135261. [Google Scholar] [CrossRef] [PubMed]
- Abedi, E.; Pourmohammadi, K. Aggregation behaviors of sonicated tapioca starch with various strengths of Hofmeister salts under pre- and post-ultrasonic treatment. Food Hydrocoll. 2020, 105, 105826. [Google Scholar] [CrossRef]
- Abdorreza, M.N.; Robal, M.; Cheng, L.H.; Tajul, A.Y.; Karim, A.A. Physicochemical, thermal, and rheological properties of acid-hydrolyzed sago (Metroxylon sagu) starch. Lwt Food Sci. Technol. 2012, 46, 135–141. [Google Scholar] [CrossRef]
- Karim, A.A.; Tie, A.P.-L.; Manan, D.M.A.; Zaidul, I.S.M. Starch from th e Sago (Metroxylon sagu) Palm Tree—Properties, Prospects, and Challenges as a New Industrial Source for Food and Other Uses. Compr. Rev. Food Sci. Food Saf. 2008, 7, 215–228. [Google Scholar] [CrossRef]
- Rashid, R.S.A.; Mohamed, A.M.D.; Achudan, S.N.; Mittis, P. Physicochemical properties of resistant starch type III from sago starch at different palm stages. Mater. Today Proc. 2020, 31, 150–154. [Google Scholar] [CrossRef]
- Du, C.; Jiang, F.; Jiang, W.; Ge, W.; Du, S.K. Physicochemical and structural properties of sago starch. Int. J. Biol. Macromol. 2020, 164, 1785–1793. [Google Scholar] [CrossRef]
- Jakubowska, E.; Ciepluch, N. Blend Segregation in Tablets Manufacturing and Its Effect on Drug Content Uniformity—A Review. Pharmaceutics 2021, 13, 1909. [Google Scholar] [CrossRef] [PubMed]
- Edge, S.; Steele, D.F.; Staniforth, J.N.; Chen, A.; Woodcock, P.M. Powder compaction properties of sodium starch glycolate disintegrants. Drug Dev. Ind. Pharm. 2002, 28, 989–999. [Google Scholar] [CrossRef] [PubMed]
- Markl, D.; Zeitler, J.A. A Review of Disintegration Mechanisms and Measurement Techniques. Pharm. Res. 2017, 34, 890–917. [Google Scholar] [CrossRef] [PubMed]
- Srivastava, N.; Thakur, S.; Bajaj, A.N.; Sahi, N. Fast Dissolving Tablets: A novel approach in the Delivery System. Asian J. Pharm. Technol. 2016, 6, 148–154. [Google Scholar] [CrossRef]
- Shobana, K.; Subramanian, L.; Rajesh, D.; Sivaranjani, K. A Review on Superdisintegrants. Int. J. Pharm. Sci. Rev. Res. 2020, 65, 149–154. [Google Scholar] [CrossRef]
- Shah, U.; Augsburger, L. Multiple sources of sodium starch glycolate, NF: Evaluation of functional equivalence and development of standard performance tests. Pharm. Dev. Technol. 2002, 7, 345–359. [Google Scholar] [CrossRef] [PubMed]
- Sharma, D. Natural & Synthetic Superdisintegrants in FDT: A Review. Int. J. Adv. Res. 2021, 1, 576–583. [Google Scholar]
- Young, P.M.; Edge, S.; Staniforth, J.N.; Steele, D.F.; Price, R. Dynamic vapor sorption properties of sodium starch glycolate disintegrants. Pharm. Dev. Technol. 2005, 10, 249–259. [Google Scholar] [CrossRef]
- U.S. USP 39-NF 34: Sodium Starch Glycolate; The United States Pharmacopeial Convention: Rockville, MD, USA, 2017.
- Young, P.M.; Edge, S.; Staniforth, J.N.; Steele, D.F.; Price, R. Interaction of Moisture with Sodium Starch Glycolate. Pharm. Dev. Technol. 2007, 12, 211–216. [Google Scholar] [CrossRef]
- Iram, R.; Akram, I.; Anwaar, B.; Farooq, A. Fabrication and characterization of fast dissolving films of H2-receptor antagonist. J. Contemp. Pharm. 2019, 3, 7–11. [Google Scholar] [CrossRef]
- Hutton, B.; Salanti, G.; Caldwell, D.M.; Chaimani, A.; Schmid, C.H.; Cameron, C.; Ioannidis, J.P.; Straus, S.; Thorlund, K.; Jansen, J.P.; et al. The PRISMA extension statement for reporting of systematic reviews incorporating network meta-analyses of health care interventions: Checklist and explanations. Ann. Intern. Med. 2015, 162, 777–784. [Google Scholar] [CrossRef]
- Zailani, M.A.; Kamilah, H.; Husaini, A.; Sarbini, S.R. Physicochemical properties of microwave heated sago (Metroxylon sagu) starch. CyTA J. Food 2021, 19, 596–605. [Google Scholar] [CrossRef]
- Hiremath, P.; Nuguru, K.; Agrahari, V. Chapter 8—Material Attributes and Their Impact on Wet Granulation Process Performance. In Handbook of Pharmaceutical Wet Granulation; Narang, A.S., Badawy, S.I.F., Eds.; Academic Press: Cambridge, MA, USA, 2019; pp. 263–315. [Google Scholar]
- Sheskey, P.J.; Cook, W.G.; Cable, C.G. Handbook of Pharmaceutical Excipients; Pharmaceutical Press: London, UK, 2017. [Google Scholar]
- Bhandari, P.N.; Jones, D.D.; Hanna, M.A. Characterization of sodium starch glycolate prepared using reactive extrusion and its comparisons with a commercial brand VIVASTAR®P. Ind. Crops Prod. 2013, 41, 324–330. [Google Scholar] [CrossRef]
- Dai, L.B. The Manufacturing Novel Method of Sodium Starch Glycolate. 1992. Available online: https://patents.google.com/patent/CN1064081A/en (accessed on 16 November 2023).
- Xue, X.; Liang, Q.; Gao, Q.; Luo, Z. One-Step Synthesis of Cross-Linked Esterified Starch and Its Properties. Appl. Sci. 2022, 12, 4075. [Google Scholar] [CrossRef]
- Lemos, P.V.F.; Marcelino, H.R.; Cardoso, L.G.; de Souza, C.O.; Druzian, J.I. Starch chemical modifications applied to drug delivery systems: From fundamentals to FDA-approved raw materials. Int. J. Biol. Macromol. 2021, 184, 218–234. [Google Scholar] [CrossRef]
- Shah, N.; Mewada, R.; Mehta, T. Crosslinking of starch and its effect on viscosity behaviour. Rev. Chem. Eng. 2016, 32, 265–270. [Google Scholar] [CrossRef]
- Woo, K.S.; Seib, P.A. Cross-Linked Resistant Starch: Preparation and Properties. Cereal Chem. 2002, 79, 819–825. [Google Scholar] [CrossRef]
- Edge, S.; Belu, A.M.; Potter, U.J.; Steele, D.F.; Young, P.M.; Price, R.; Staniforth, J.N. Chemical characterisation of sodium starch glycolate particles. Int. J. Pharm. 2002, 240, 67–78. [Google Scholar] [CrossRef]
- Bishal, A.; Ali, K.; Bandyopadhyay, B.; Bandyopadhyay, R.; Debnath, B. Study of different super-disintegrants and their use as a magic ingredient for different immediate- release tablets. J. Pharm. Negat. Results 2022, 2022, 1222–1232. [Google Scholar]
- Lawal, O.S.; Storz, J.; Storz, H.; Lohmann, D.; Lechner, D.; Kulicke, W.-M. Hydrogels based on carboxymethyl cassava starch cross-linked with di- or polyfunctional carboxylic acids: Synthesis, water absorbent behavior and rheological characterizations. Eur. Polym. J. 2009, 45, 3399–3408. [Google Scholar] [CrossRef]
- Achor, M.; Oyeniyi, J.Y.; Gwarzo, M.S.; Zayyanu, A. Evaluation of Sodium Carboxymethyl Starch obtained from Ipomoea Batatas. J. Appl. Pharm. Sci. 2015, 5, 132–135. [Google Scholar] [CrossRef]
- Li, X.; Gao, W.-Y.; Huang, L.-J.; Wang, Y.-L.; Huang, L.-Q.; Liu, C.-X. Preparation and physicochemical properties of carboxymethyl Fritillaria ussuriensis Maxim. starches. Carbohydr. Polym. 2010, 80, 768–773. [Google Scholar] [CrossRef]
- Lee, S.; Kim, S.T.; Pant, B.R.; Kwen, H.D.; Song, H.H.; Lee, S.K.; Nehete, S.V. Carboxymethylation of corn starch and characterization using asymmetrical flow field-flow fractionation coupled with multiangle light scattering. J. Chromatogr. A 2010, 1217, 4623–4628. [Google Scholar] [CrossRef]
- Lawal, O.S.; Lechner, M.D.; Kulicke, W.M. The synthesis conditions, characterizations and thermal degradation studies of an etherified starch from an unconventional source. Polym. Degrad. Stab. 2008, 93, 1520–1528. [Google Scholar] [CrossRef]
- Liu, J.L.; Chen, J.; Dong, N.; Ming, J.; Zhao, G. Determination of degree of substitution of carboxymethyl starch by Fourier transform mid-infrared spectroscopy coupled with partial least squares. Food Chem. 2012, 132, 2224–2230. [Google Scholar] [CrossRef]
- Milotskyi, R.; Bliard, C.; Tusseau, D.; Benoit, C. Starch carboxymethylation by reactive extrusion: Reaction kinetics and structure analysis. Carbohydr. Polym. 2018, 194, 193–199. [Google Scholar] [CrossRef]
- Lawal, O.S.; Lechner, M.D.; Kulicke, W.M. Single and multi-step carboxymethylation of water yam (Dioscorea alata) starch: Synthesis and characterization. Int. J. Biol. Macromol. 2008, 42, 429–435. [Google Scholar] [CrossRef]
- Bolhuis, G.K.; Van Kamp, H.V.; Lerk, C.F. On the Similarity of Sodium Starch Glycolate from Different Sources. Drug Dev. Ind. Pharm. 1986, 12, 621–630. [Google Scholar] [CrossRef]
- Brown, R. Sodium Toxicity in the Nutritional Epidemiology and Nutritional Immunology of COVID-19. Medicina 2021, 57, 739. [Google Scholar] [CrossRef] [PubMed]
- Bhandari, P.N.; Hanna, M.A. Continuous Solventless Extrusion Process for Producing Sodium Carboxymethyl Starch Suitable for Disintegrant Applications in Solid Dosage Forms. Ind. Eng. Chem. Res. 2011, 50, 12784–12789. [Google Scholar] [CrossRef]
- Kumar, R.S.; Kandukuri, S.; Ramya, M.G.; Latha, B.K. Design, Optimization and Evaluation of Aceclofenac Fast Dissolving Tablets Employing Starch Valerate–A Novel Superdisintegrant. Int. J. Appl. Pharm. 2021, 2021, 168–176. [Google Scholar] [CrossRef]
- Umar, A.H.; Syahruni, R.; Ranteta’dung, I.; Rafi, M. FTIR-based fingerprinting combined with chemometrics method for rapid discrimination of Jatropha spp. (Euphorbiaceae) from different regions in South Sulawesi. J. Appl. Pharm. Sci. 2022, 13, 139–149. [Google Scholar] [CrossRef]
- Nyavanandi, D.; Mandati, P.; Narala, S.; Alzahrani, A.; Kolimi, P.; Vemula, S.K.; Repka, M.A. Twin Screw Melt Granulation: A Single Step Approach for Developing Self-Emulsifying Drug Delivery System for Lipophilic Drugs. Pharmaceutics 2023, 15, 2267. [Google Scholar] [CrossRef]
- Alejandro, B.; Guillermo, T.; Ángeles, P.M. Formulation and Evaluation of Loperamide HCl Oro Dispersible Tablets. Pharmaceuticals 2020, 13, 100. [Google Scholar] [CrossRef] [PubMed]
- Thanakkasaranee, S.; Jantanasakulwong, K.; Phimolsiripol, Y.; Leksawasdi, N.; Seesuriyachan, P.; Chaiyaso, T.; Jantrawut, P.; Ruksiriwanich, W.; Rose Sommano, S.; Punyodom, W.; et al. High Substitution Synthesis of Carboxymethyl Chitosan for Properties Improvement of Carboxymethyl Chitosan Films Depending on Particle Sizes. Molecules 2021, 26, 6013. [Google Scholar] [CrossRef] [PubMed]
- Friuli, V.; Pisani, S.; Conti, B.; Bruni, G.; Maggi, L. Tablet Formulations of Polymeric Electrospun Fibers for the Controlled Release of Drugs with pH-Dependent Solubility. Polymers 2022, 14, 2127. [Google Scholar] [CrossRef] [PubMed]
- Yaacob, B.; Mohd Amin, M.C.I.; Hashim, K.; Bakar, B. Optimization of Reaction Conditions for Carboxymethylated Sago Starch. Iran. Polym. J. 2011, 2, 195–204. [Google Scholar]
- Ng, J.Q.; Mamat, H.; Siew, C.K.; Matanjun, P.; Lee, J.-S. In Vitro Digestibility and Thermal Properties of Native and Modified Sago (Metroxylon Sagu) Starch. J. Phys. Conf. Ser. 2019, 1358, 012026. [Google Scholar] [CrossRef]
- Biliaderis, C.G. Chapter 8—Structural Transitions and Related Physical Properties of Starch. In Starch, 3rd ed.; BeMiller, J., Whistler, R., Eds.; Academic Press: San Diego, CA, USA, 2009; pp. 293–372. [Google Scholar]
- Bao, J.; Bergman, C.J. Chapter 10—Rice Flour and Starch Functionality. In Starch in Food, 4th ed.; Sjöö, M., Nilsson, L., Eds.; Woodhead Publishing: Cambridge, UK, 2018; pp. 373–419. [Google Scholar]
- Vamadevan, V.; Bertoft, E. Structure-function relationships of starch components. Starch Starke 2014, 67, 55–68. [Google Scholar] [CrossRef]
- Widodo, R.T.; Hassan, A.; Liew, K.B.; Ming, L.C. A Directly Compressible Pregelatinised Sago Starch: A New Excipient in the Pharmaceutical Tablet Formulations. Polymers 2022, 14, 3050. [Google Scholar] [CrossRef]
- U.S. USP: <616> Bulk Density and Tapped Density of Powder; The United States Pharmacopeial Convention: Rockville, MD, USA, 2014; Volume 31, pp. 2014–2016.
- Włodarczyk-Stasiak, M.; Jamroz, J. Specific surface area and porosity of starch extrudates determined from nitrogen adsorption data. J. Food Eng. 2009, 93, 379–385. [Google Scholar] [CrossRef]
- Kornblum, S.S.; Stoopak, S.B. A New Tablet Disintegrating Agent: Cross-Linked Polyvinylpyrrolidone. J. Pharm. Sci. 1973, 62, 43–49. [Google Scholar] [CrossRef] [PubMed]
- Kittipongpatana, O.S.; Kittipongpatana, N. Physicochemical and Functional Properties of Modified KJ CMU-107 Rice Starches as Pharmaceutical Excipients. Polymers 2022, 14, 1298. [Google Scholar] [CrossRef] [PubMed]
- Nwokocha, L.M.; Williams, P.A. New starches: Physicochemical properties of sweetsop (Annona squamosa) and soursop (Anonna muricata) starches. Carbohydr. Polym. 2009, 78, 462–468. [Google Scholar] [CrossRef]
- Abdel-Rahman, S.I.; Mahrous, G.M.; El-Badry, M. Preparation and comparative evaluation of sustained release metoclopramide hydrochloride matrix tablets. Saudi Pharm. J. 2009, 17, 283–288. [Google Scholar] [CrossRef]
- Sheeba, F.R.; Giles, D.A.; Rameshwari, S.; Jeya, A.J. Formulation and evaluation of nifedipine sublingual tablets. Asian J. Pharm. Clin. Res. 2009, 2, 44–48. [Google Scholar]
- Nita, L.E.; Chiriac, A.P.; Rusu, A.G.; Ghilan, A.; Dumitriu, R.P.; Bercea, M.; Tudorachi, N. Stimuli Responsive Scaffolds Based on Carboxymethyl Starch and Poly(2-Dimethylaminoethyl Methacrylate) for Anti-Inflammatory Drug Delivery. Macromol. Biosci. 2020, 20, 1900412. [Google Scholar] [CrossRef]
- Nordin, N.A.; Rahman, N.A.; Talip, N.; Yacob, N.A. Citric Acid Cross-Linking of Carboxymethyl Sago Starch Based Hydrogel for Controlled Release Application. Macromol. Symp. 2018, 382, 1800086. [Google Scholar] [CrossRef]
- Adeyanju, O.; Olademehin, O.P.; Hussaini, Y.; Nwanta, U.C.; Adejoh, A.I.; Plavec, J. Synthesis and Characterization of Carboxymethyl Plectranthus esculentus Starch. A Potential Disintegrant. J. Pharm. Appl. Chem. 2016, 2, 44–50. [Google Scholar] [CrossRef]
- Kittipongpatana, N.; Kittipongpatana, O.S. Cross-linked carboxymethyl mung bean starch as pharmaceutical gelling agent and emulsion stabilizer. Int. J. Pharm. Pharm. Sci. 2015, 7, 403–407. [Google Scholar]
- Calinescu, C.; Mondovi, B.; Federico, R.; Ispas-Szabo, P.; Mateescu, M.A. Carboxymethyl starch: Chitosan monolithic matrices containing diamine oxidase and catalase for intestinal delivery. Int. J. Pharm. 2012, 428, 48–56. [Google Scholar] [CrossRef] [PubMed]
- Zarmpi, P.; Flanagan, T.; Meehan, E.; Mann, J.; Fotaki, N. Biopharmaceutical aspects and implications of excipient variability in drug product performance. Eur. J. Pharm. Biopharm. 2017, 111, 1–15. [Google Scholar] [CrossRef] [PubMed]
- Desai, P.M.; Er, P.X.; Liew, C.V.; Heng, P.W. Functionality of disintegrants and their mixtures in enabling fast disintegration of tablets by a quality by design approach. AAPS PharmSciTech 2014, 15, 1093–1104. [Google Scholar] [CrossRef] [PubMed]
- Desai, D.S.; Rubitski, B.A.; Varia, S.A.; Newman, A.W. Physical interactions of magnesium stearate with starch-derived disintegrants and their effects on capsule and tablet dissolution. Int. J. Pharm. 1993, 91, 217–226. [Google Scholar] [CrossRef]
- Quodbach, J.; Kleinebudde, P. Systematic classification of tablet disintegrants by water uptake and force development kinetics. J. Pharm. Pharmacol. 2014, 66, 1429–1438. [Google Scholar] [CrossRef] [PubMed]
- Berardi, A.; Janssen, P.H.M.; Dickhoff, B.H.J. Technical insight into potential functional-related characteristics (FRCs) of sodium starch glycolate, croscarmellose sodium and crospovidone. J. Drug Deliv. Sci. Technol. 2022, 70, 103261. [Google Scholar] [CrossRef]
- Hickey, A.J.; Giovagnoli, S. Solid-State Chemistry: An Introduction; CRC Press: Boca Raton, FL, USA, 2018. [Google Scholar]
- Bhasin, R.K.; Bhasin, N.; Ghosh, P.K. Advances in Formulation of Orally Disintegrating Dosage Forms: A Review Article. Indo Glob. J. Pharm. Sci. 2011, 1, 328–353. [Google Scholar] [CrossRef]
- Rudnic, E.M.; Kanig, J.L.; Rhodes, C.T. Effect of Molecular Structure Variation on the Disintegrant Action of Sodium Starch Glycolate. J. Pharm. Sci. 1985, 74, 647–650. [Google Scholar] [CrossRef]
- Narang, A.S.; Mantri, R.V.; Raghavan, K.S. Chapter 6—Excipient Compatibility and Functionality. In Developing Solid Oral Dosage Forms, 2nd ed.; Qiu, Y., Chen, Y., Zhang, G.G.Z., Yu, L., Mantri, R.V., Eds.; Academic Press: Boston, MA, USA, 2017; pp. 151–179. [Google Scholar]
- Rowe, R.C.; Sheskey, P.J.; Quinn, M.E. Handbook of Pharmaceutical Excipients, 5th ed.; Pharmaceutical Press: London, UK, 2006. [Google Scholar]
- Prodduturi, S.; Urman, K.L.; Otaigbe, J.U.; Repka, M.A. Stabilization of hot-melt extrusion formulations containing solid solutions using polymer blends. AAPS PharmSciTech 2007, 8, 50. [Google Scholar] [CrossRef]
- Narang, A.S.; Desai, D.; Badawy, S. Impact of excipient interactions on solid dosage form stability. Pharm. Res. 2012, 29, 2660–2683. [Google Scholar] [CrossRef]
- Wu, Y.; Levons, J.; Narang, A.S.; Raghavan, K.; Rao, V.M. Reactive impurities in excipients: Profiling, identification and mitigation of drug-excipient incompatibility. AAPS PharmSciTech 2011, 12, 1248–1263. [Google Scholar] [CrossRef] [PubMed]
- Kundawala, A.J.; Patel, P.R.; Chauhan, K.R.; Desai, A.; Kapadia, D. Formulation and Optimization of Orodispersible Tablet of Loratadine Using Box Behnken Design. J. Drug Deliv. Ther. 2019, 9, 86–94. [Google Scholar] [CrossRef]
- Madan, P.L.; Vikram, S.S.; Divya, J.; Geeta, R.; Deepak, A. Research article on formulation and evaluation of ramipril fast mouth dissolving tablet. Int. J. Appl. Res. 2016, 2, 231–235. [Google Scholar]
- Uppala, L. Development and Evaluation of Fast Disintegrating Tablets of Ondansetron with Natural and Synthetic SuperDisintegrating Agents. SOJ Pharm. Pharm. Sci. 2015, 2, 01–07. [Google Scholar] [CrossRef]
- Nokhodchi, A.; Homayouni, A.; Araya, R.; Kaialy, W.; Obeidat, W.; Asare-Addo, K. Crystal engineering of ibuprofen using starch derivatives in crystallization medium to produce promising ibuprofen with improved pharmaceutical performance. RSC Adv. 2015, 5, 46119–46131. [Google Scholar] [CrossRef]
- Sharma, D.; Singh, G.; Kumar, D.; Singh, M. Formulation development and evaluation of fast disintegrating tablets of salbutamol sulphate, cetirizine hydrochloride in combined pharmaceutical dosage form: A new era in novel drug delivery for pediatrics and geriatrics. J. Drug Deliv. 2015, 2015, 640529. [Google Scholar] [CrossRef]
- Chavan, G.; Kshirsagar, T.; Jaiswal, N. Formulation & Evaluation of Fast Dissolving Oral Film. World J. Pharm. Res. 2021, 10, 503–561. [Google Scholar]
- Gore, P.V.; Jagdale, S. Formulation and development of fast disintegrating tablet of Nortriptyline hydrochloride. J. Chem. Pharm. Res. 2015, 7, 138–146. [Google Scholar]
- Elkhodairy, K.A.; Hassan, M.A.; Afifi, S.A. Formulation and optimization of orodispersible tablets of flutamide. Saudi Pharm. J. 2014, 22, 53–61. [Google Scholar] [CrossRef]
- Upadhyay, P.; Nayak, K.; Patel, K.; Patel, J.; Shah, S.; Deshpande, J. Formulation development, optimization, and evaluation of sustained release tablet of valacyclovir hydrochloride by combined approach of floating and swelling for better gastric retention. Drug Deliv. Transl. Res. 2014, 4, 452–464. [Google Scholar] [CrossRef]
- Deshmukh, B.; Narkhede, K.B.; Chaudhari, P. Formulation and In Vitro Evaluation of Fast Dissolving Tablet Containing Sildenafil Citrate Nanocrystals. Int. J. Pharma Res. Rev. 2014, 3, 10–18. [Google Scholar]
- Samineni, R.; Kumar, Y.; Rao, D.; Ramakrishna, G. Formulation and Evaluation of Valsartan Oral Dispersible Tablets by Direct Compression Method. Am. J. Adv. Drug Deliv. 2014, 2, 719–733. [Google Scholar]
- Srinu, R. Formulation and evaluation of fast dissolving tablets of simvastatin using novel co-processed superdisintegrants. Sch. Acad. J. Pharm. 2013, 2, 340–353. [Google Scholar]
- Thulluru, A.; Shankar, K.R.; Kumar, C.S.P.; Kumar, C.P.; D Prasanth, Y.; Prasad, H. Formulation and Evaluation of Fast Disintegrating Tablets (FDT) of Salbutamol Sulphate by Using Combination of Superdisintegrents. Inven. Rapid Nov. Excip. 2013, 2013, 1–7. [Google Scholar]
- Arora, K.; Grover, I.; Chandna, A.; Devgan, M. Formulation and Evaluation of Fast Dissolving Tablets of Cefixime Trihydrate. Res. J. Pharm. Dos. Forms Technol. 2015, 7, 118–124. [Google Scholar] [CrossRef]
- Reddy, N.; Banda, S.; Srinivas, G.D. Design and development of fast dissolving tablet of amlodipine besylate and atorvastatin calcium. Int. J. Pharm. Sci. Rev. Res. 2013, 23, 290–294. [Google Scholar]
- Al-Mogherah, A.I.; Ibrahim, M.A.; Hassan, M.A. Optimization and evaluation of venlafaxine hydrochloride fast dissolving oral films. Saudi Pharm. J. 2020, 28, 1374–1382. [Google Scholar] [CrossRef]
- Jain, S.; Jain, S.; Mishra, A.; Garg, G.; Modi, R.K. Formulation and characterization of fast disintegrating tablets containing Cefdinir solid dispersion. Int. J. Pharm. Life Sci. 2012, 3, 2190–2199. [Google Scholar]
- Mupparaju, S.; Suryadevara, V.; Doppalapudi, S.; Reddyvallam, S.; Anne, R.; Sunkara, S. Formulation and evaluation of Telmisartan Fast Dissolving tablets Using Jack Fruit Seed Starch as Superdisintegrant. Int. J. Appl. Pharm. 2019, 11, 25–32. [Google Scholar] [CrossRef]
- Chaulang, G.; Patel, P.; Hardikar, S.; Kelkar, M.; Bhosale, A.; Bhise, S. Formulation and evaluation of solid dispersions of furosemide in sodium starch glycolate. Trop. J. Pharm. Res. 2009, 8, 43–51. [Google Scholar] [CrossRef]
- Iqbal, H.; Naz, S.; Ali, H.; Bashir, L.; Zafar, F.; Akram, S.; Yasmin, R.; Ghayas, S.; Uddin, S.A. Formulation development and optimization studies of mouth dissolving tablets of tizanidine HCl. Pak. J. Pharm. Sci. 2020, 33, 245–251. [Google Scholar] [CrossRef] [PubMed]
- Puttewar, T.; Kshirsagar, M.; Chandewar, A.; Chikhale, R. Formulation and evaluation of orodispersible tablet of taste masked doxylamine succinate using ion exchange resin. J. King Saud. Univ. Sci. 2010, 22, 229–240. [Google Scholar] [CrossRef]
- Mohanchandran, P.S.; Krishna, P.R.; Saju, B.K. Formulation and evaluation of mouth dispersible tablets of Amlodipine Besylate. Int. J. Appl. Pharm. 2010, 2, 1–6. [Google Scholar]
- Madan, J.; Sharma, A.; Singh, R. Fast dissolving tablets of aloe vera gel. Trop. J. Pharm. Res. 2009, 8, 63–70. [Google Scholar] [CrossRef]






: Native sago starch.
: 6 h hydrolysis.
: 12 h hydrolysis.
: 18 h hydrolysis.
: 24 h hydrolysis). (b) DSC thermograms of native (
), 12 h (
), and 24 h (
) The acid-treated sago starches were evaluated for their retrogradation tendency both immediately and after being stored at 4 °C for 7 days (shown by dashed lines with empty symbols).adapted with permission [7].
: Native sago starch.
: 6 h hydrolysis.
: 12 h hydrolysis.
: 18 h hydrolysis.
: 24 h hydrolysis). (b) DSC thermograms of native (
), 12 h (
), and 24 h (
) The acid-treated sago starches were evaluated for their retrogradation tendency both immediately and after being stored at 4 °C for 7 days (shown by dashed lines with empty symbols).adapted with permission [7].




| Starch | Moisture (%) | Total Starch (%) | Proteins (%) | Lipid (%) | Ash (%) | Amylose (%) | RS (%) |
|---|---|---|---|---|---|---|---|
| Sago | 13.33 ± 0.04 c | 87.12 ± 0.22 b | 0.17 ± 0.00 c | 87.12 ± 0.22 b | 0.08 ± 0.00 d | 26.11 ± 0.21 a | 34.62 ± 0.40 c |
| Corn | 11.72 ± 0.03 d | 93.76 ± 0.77 a | 0.33 ± 0.03 b | 0.62 ± 0.09 a | 0.21 ± 0.02 b | 13.35 ± 0.24 c | 4.00 ± 0.18 d |
| Potato | 19.28 ± 0.05 a | 84.82 ± 0.41 c | 0.87 ± 0.00 a | 0.66 ± 0.01 a | 0.28 ± 0.01 a | 11.67 ± 0.19 d | 60.43 ± 0.47 a |
| Excipient Sodium Starch Glycolate (SSG) | pH Value | Source | Manufacturing Process | Main Application |
|---|---|---|---|---|
| EXPLOTAB®—JRS Pharma, Rosenberg, Germany | 5.5–7.5 | Potato starch | Explotab is produced by cross-linking and carboxymethylation with a hot plate or reactor. | Rapid and substantial swelling superdisintegrant for tablet and capsule formulations. |
| Particularly in the case of water-insoluble active compounds and tablet matrices, they exhibit elevated pH levels. | ||||
| EXPLOTAB® CLV—JRS Pharma, Rosenberg, Germany | 5.5–7.5 | Potato starch | Explotab is produced by cross-linking and carboxymethylation with a hot plate or reactor. | The particular grade exhibits an elevated quantity of cross-linkages. |
| Particularly well suited for wet granulation applications. | ||||
| EXPLOTAB® Low pH—JRS Pharma, Rosenberg, Germany | 3.0–5.0 | Potato starch | Explotab is produced by cross-linking and carboxymethylation with a hot plate or reactor. | A grade characterized by a low pH value. |
| The product conforms to the specifications of the European Pharmacopoeia (Ph. Eur) and the National Formulary (NF) for type B typography. | ||||
| GLYCOLYS®—Roquette Freres 1 Rue de la Haute Loge LESTREM—France | 5.5–7.5 | Potato starch | Glycolys® is produced by cross-linking and carboxymethylation with a hot plate or reactor. | A superdisintegrant exhibiting a rapid and substantial swelling capacity is advantageous in developing tablet and capsule formulations. |
| GLYCOLYS® LV—Roquette Freres 1 Rue de la Haute Loge LESTREM—France | 5.5–7.5 | Potato starch | Glycolys® LV is produced by cross-linking and carboxymethylation with a hot plate or reactor. | For high-shear granulation addition in the intragranular phase. |
| GLYCOLYS® Low pH—Roquette Freres 1 Rue de la Haute Loge LESTREM—France | 3.0–5.0 | Potato starch | Glycolys® low pH is produced by cross-linking and carboxymethylation with a hot plate or reactor. | For acidic drugs. |
| Primojel®—DFE PHARMA, Germany | 5.5–7.5 | Potato starch | Potato starch is cross-linked and carboxy-methylated to produce this substance. It is a white substance that flows freely. | Primojel® can function as a dissolution enhancer in greater concentrations. This ingredient is exceptionally efficacious when used intragranularly and/or extragranularly in granular formulations. |
| VIVASTAR® P—JRS Pharma, Rosen-berg, Germany | 5.5–7.5 | Potato starch | A superdisintegrant for tablets and other solid oral dosage forms can be manufactured by utilizing potato starch through the carboxymethylation and cross-linking processes. | A superdisintegrant exhibiting a rapid and substantial swelling capacity is advantageous for developing tablet and capsule formulations, particularly in active ingredients with low solubility in water and tablet matrices exhibiting elevated pH levels. |
| VIVASTAR® PSF—JRS Pharma, Rosenberg, Germany | 5.5–7.5 | Potato starch | The superdisintegrant is produced by carboxymethylation and cross-linking of potato starch. | The particular grade has a significantly reduced concentration of methanol. It is particularly well suited for active pharmaceutical ingredients (APIs) sensitive to alcohol and moisture. |
| VIVASTAR® P 1000 SF | 5.5–7.5 | Potato starch | Potato starch is carboxymethylated and cross-linked to create the superdisintegrant. | Superdisintegrants with varying viscosities, classified as low, medium, or high, can produce transparent gels when exposed to water, following type C specifications outlined in the European Pharmacopoeia (Ph.Eur.). This is under type A specifications outlined in Japanese Pharmacopeia (JP) and National Formulary (NF) standards. |
| VIVASTAR® P 3500—JRS Pharma, Rosenberg, Germany | ||||
| VIVASTAR® P 5000—JRS Pharma, Rosenberg, Germany |
| Starch | Pasting Parameters | |||||
|---|---|---|---|---|---|---|
| PT (°C) | PV (cP) | TV (cP) | BD (cP) | FV (cP) | SB (cP) | |
| Native Sago | 80.2 ± 0.4 a | 515.7 ± 9.5 d | 221.7 ± 3.1 d | 294.0 ± 6.6 c | 464.2 ± 6.0 d | 242.5 ± 3.2 b |
| Sodium Starch Glycolate (SSG) Sago | - | - | - | - | - | - |
| Tests | Type A | Type B | Type C |
|---|---|---|---|
| Definition | The substance is cross-linked, partly O-carboxymethylated potato starch in sodium salt form | The substance is cross-linked, partly O-carboxymethylated potato starch in sodium salt form | One kind of cross-linked starch’s sodium salt, which has undergone physical dehydration and partial O-carboxymethylation |
| Size | 30–100 µm | 30–100 µm | 30–100 µm |
| Identification | The infrared absorption spectrum, following the reference spectrum | Iodine-blue color | (1) The formation of a white precipitate of K-antimonate (2) The addition of magnesium to uranyl acetate results in the formation of a yellow precipitate |
| Active Pharmaceutical Ingredient (API) | Tablets Preparation | Reference |
|---|---|---|
| Loratadine | OT | [82] |
| Ramipril | FMDT | [83] |
| Ondansetron | FDT | [84] |
| Ibuprofen | Crystal engineering to improve pharmaceutical performance | [85] |
| Salbutamol sulfate, cetirizine hydrochloride in combination | FDT | [86] |
| Almotriptan malate | MDF | [87] |
| Nortriptyline hydrochloride | FDT | [88] |
| Flutamide | OT | [89] |
| Losartan potassium | FDT | [87] |
| Valacyclovir hydrochloride | SRT | [90] |
| Sildenafil citrate nanocrystals | FDT | [91] |
| Valsartan | BT | [92] |
| Simvastatin | FDT | [93] |
| Salbutamol sulfate | FDT | [94] |
| Cefixime trihydrate | FDT | [95] |
| Amlodipine besylate and Atorvastatin calcium | FDT | [96] |
| Venlafaxine hydrochloride | FDT | [97] |
| Celfdinir solid dispersion | FDT | [98] |
| Telmisartan | FDT | [99] |
| Furosemide | FDT | [100] |
| Tizanidine hydrochloride | FDT | [101] |
| Doxylamine succinate | OT | [102] |
| Amlodipine besylate | MDT | [103] |
| Metoclopramide hydrochloride | SRT | [62] |
| Nifedipine | ST | [63] |
| Aloe vera gel | FDT | [104] |
Disclaimer/Publisher’s Note: The statements, opinions and data contained in all publications are solely those of the individual author(s) and contributor(s) and not of MDPI and/or the editor(s). MDPI and/or the editor(s) disclaim responsibility for any injury to people or property resulting from any ideas, methods, instructions or products referred to in the content. |
© 2023 by the authors. Licensee MDPI, Basel, Switzerland. This article is an open access article distributed under the terms and conditions of the Creative Commons Attribution (CC BY) license (https://creativecommons.org/licenses/by/4.0/).
Share and Cite
Putra, O.N.; Musfiroh, I.; Elisa, S.; Musa, M.; Ikram, E.H.K.; Chaidir, C.; Muchtaridi, M. Sodium Starch Glycolate (SSG) from Sago Starch (Metroxylon sago) as a Superdisintegrant: Synthesis and Characterization. Molecules 2024, 29, 151. https://doi.org/10.3390/molecules29010151
Putra ON, Musfiroh I, Elisa S, Musa M, Ikram EHK, Chaidir C, Muchtaridi M. Sodium Starch Glycolate (SSG) from Sago Starch (Metroxylon sago) as a Superdisintegrant: Synthesis and Characterization. Molecules. 2024; 29(1):151. https://doi.org/10.3390/molecules29010151
Chicago/Turabian StylePutra, Okta Nama, Ida Musfiroh, Sarah Elisa, Musa Musa, Emmy Hainida Khairul Ikram, Chaidir Chaidir, and Muchtaridi Muchtaridi. 2024. "Sodium Starch Glycolate (SSG) from Sago Starch (Metroxylon sago) as a Superdisintegrant: Synthesis and Characterization" Molecules 29, no. 1: 151. https://doi.org/10.3390/molecules29010151
APA StylePutra, O. N., Musfiroh, I., Elisa, S., Musa, M., Ikram, E. H. K., Chaidir, C., & Muchtaridi, M. (2024). Sodium Starch Glycolate (SSG) from Sago Starch (Metroxylon sago) as a Superdisintegrant: Synthesis and Characterization. Molecules, 29(1), 151. https://doi.org/10.3390/molecules29010151

