Abstract
Vanadium dioxide (VO2) with semiconductor-metal phase transition characteristics has presented great application potential in various optoelectrical smart devices. However, the preparation of doped VO2 film with a lower phase transition threshold on Si substrate needs more investigation for the exploration of silicon-based VO2 devices. In this work, the VO2 films doped with different contents of W element were fabricated on high-purity Si substrate, assisted with a post-annealing process. The films exhibited good crystallinity and uniform thickness. The X-ray diffraction and X-ray photoelectron spectroscopy characterizations illustrated that W element can be doped into the lattice of VO2 and lead to small lattice distortion. In turn, the in situ FT-IR measurements indicated that the phase transition temperature of the VO2 films can be decreased continuously with W doping content. Simultaneously, the doping would lead to largely enhanced conductivity in the film, which results in reduced optical transmittance. This work provides significant insights into the design of doped VO2 films for silicon-based devices.
1. Introduction
Phase transition oxides have attracted great attention due to the rich physics of phase transition phenomena and their huge application potential in various optoelectrical devices [1,2]. Vanadium dioxide (VO2) is one of the most intriguing prototypes. It exhibits reversible semiconductor-metal phase transition, accompanied by giant and steep changes in resistivity, optical transmission, reflection, etc. Moreover, this phase transition can be triggered by lots of excitation sources, such as temperature, electric field, laser, and strain [3,4,5]. Thus, VO2 has been proposed to be available for thermochromic windows, sensors, memristors, uncooled infrared focal planes for thermal imagers, etc. [6,7,8]. Particularly, recent progress in terahertz (THz) technology indicates that VO2 is quite suitable for smart devices including modulators, switching, and filters for THz communications and imaging [9,10].
Silicon-based devices are fundamental for the present semiconductor industry. Thus, the preparation of VO2 films on a silicon substrate is significant for its further applications. There are already plenty of reported methods for the preparation of VO2 films, such as magnetron sputtering, pulse laser deposition, chemical vapor deposition (CVD), and sol-gel method [11,12,13,14]. Wherein, the sol-gel method presents many advantages, such as being simpler and having faster processing, suitable for large-scale deposition, and easy to carry out the composition design. It has been reported that both inorganic and organic sol-gel methods can be optimized to fabricate the VO2 film [14,15,16]. Particularly, Shi et al. developed a method to pre-treat the Si substrate with a hydrophilic solution and obtained enhanced hydrophilicity, and then the bonding of Si substrate with precursor V2O5 gel can be improved largely. It provided a route to fabricate high-quality VO2 films by overcoming the contradiction between the hydrophobicity of substrate and hydrophilicity of inorganic sol-gel [14]. Wu et al. proposed a design of organic sol-gel method to fabricate VO2 film, which was available for various hydrophobic substrates [16]. Furthermore, the sol-gel method shows unique convenience in the design and fabrication of VO2 films doped with tungsten (W), molybdenum (Mo), titanium (Ti), etc. Particularly, the VO2 films doped with W element can decrease the phase transition threshold (temperature, laser pump fluence, etc.) remarkably [17,18,19,20,21], which paves the way for the application of VO2 film in low-power optoelectrical devices. Nevertheless, the preparation of W-doped VO2 film on Si substrate using the sol-gel method has been reported rarely.
In this work, we used an inorganic sol-gel method to fabricate VO2 films doped with different contents of W element. The precursor sol containing W element was designed. Additionally, the Si substrate was pre-treated using a reported hydrophilic treatment process, which then exhibited good compatibility with the sol. The gel films were annealed for the crystallization and stoichiometry evolution of vanadium oxides to form the VO2 phase eventually. The films presented tunable phase transition temperature and optical switching properties. The results would be significant for the fabrication and application of silicon-based VO2 devices.
2. Experimental Section
Preparation of W-doped VO2 films on Si substrate. The VO2 films doped with different contents of W element were fabricated using an inorganic sol-gel method. Firstly, the ammonium tungstate ((NH4)5H5[H2(WO4)6]•H2O) and V2O5 powder were mixed and molted at around 850 °C. Subsequently, the precursor sol was fabricated by pouring the molten mixed powder into deionized (DI) water, with the proportion of V2O5 1 g/DI water 40 mL. The single crystal Si (100) substrates (~2000 Ω cm resistivity) were pre-treated with ethyl alcohol and hydrophilic solutions subsequently [22]. Then, the precursor films were spin-coated on Si substrate and annealed at around 500 °C at nitrogen atmosphere for 1.5 h. In this process, the crystallization and phase evolution of vanadium oxides will occur and lead to the formation of W-doped VO2 film.
Characterization. The crystalline structures of the films were analyzed by X-ray diffraction (XRD, X’ Pert, Philips, Amsterdam, The Netherlands) with Cu Kα (λ = 0.154056 nm) radiation source. The morphologies of products were investigated by scanning electron microscopy (SEM, S-4800, Hitachi, Tokyo, Japan). Additionally, the thickness of the film was determined by the cross-sectional SEM morphology. The vanadium valence states and chemical composition of the VO2 thin films were detected by X-ray photoelectron spectroscopy (XPS, Kratos, Manchester, UK) using Al Kα (hv = 1486.6 eV) exciting source. The optical properties of the films were investigated by Tensor 27 (Bruker, Bremen, Germany) spectrometer attached with an adapted heating-controlled unit, and then the hysteresis loops of VO2 films were received by collecting the transmittance of films at a fixed wavelength (4 μm). The square resistances of the films were measured using a four-point probe system (280SI) with a controllable heating system.
3. Results and Discussion
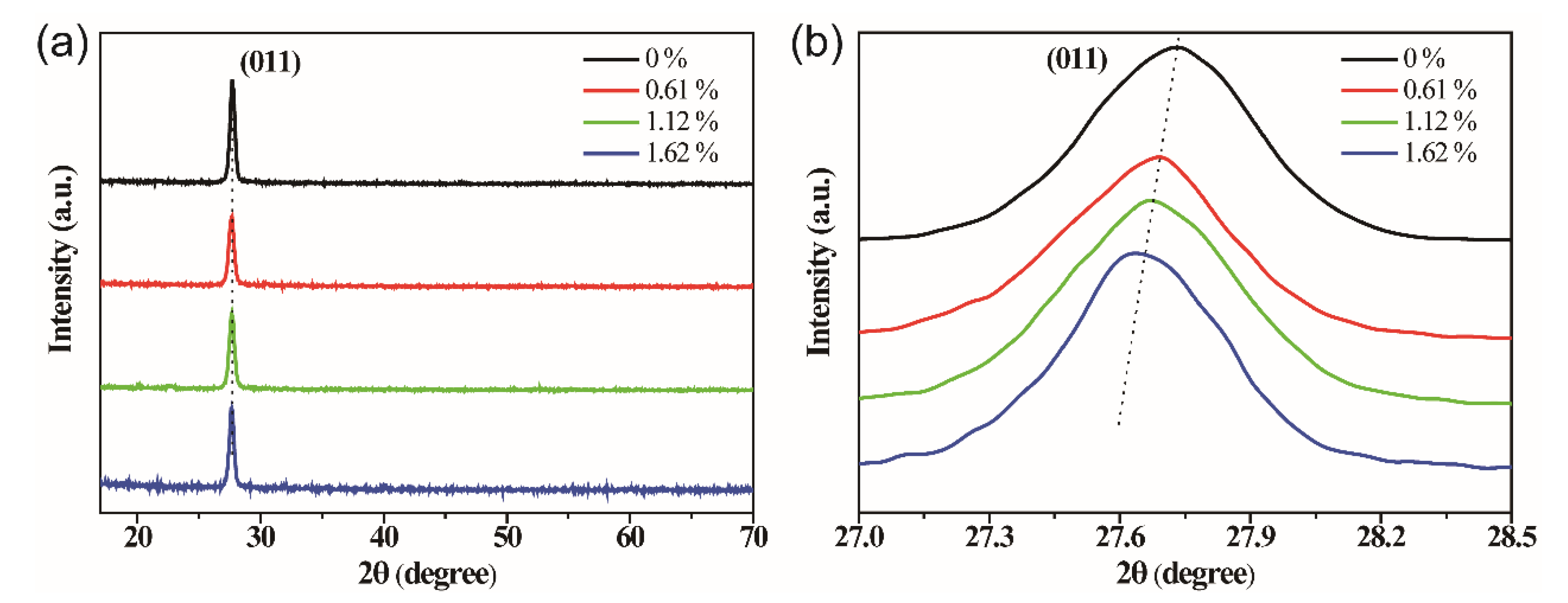
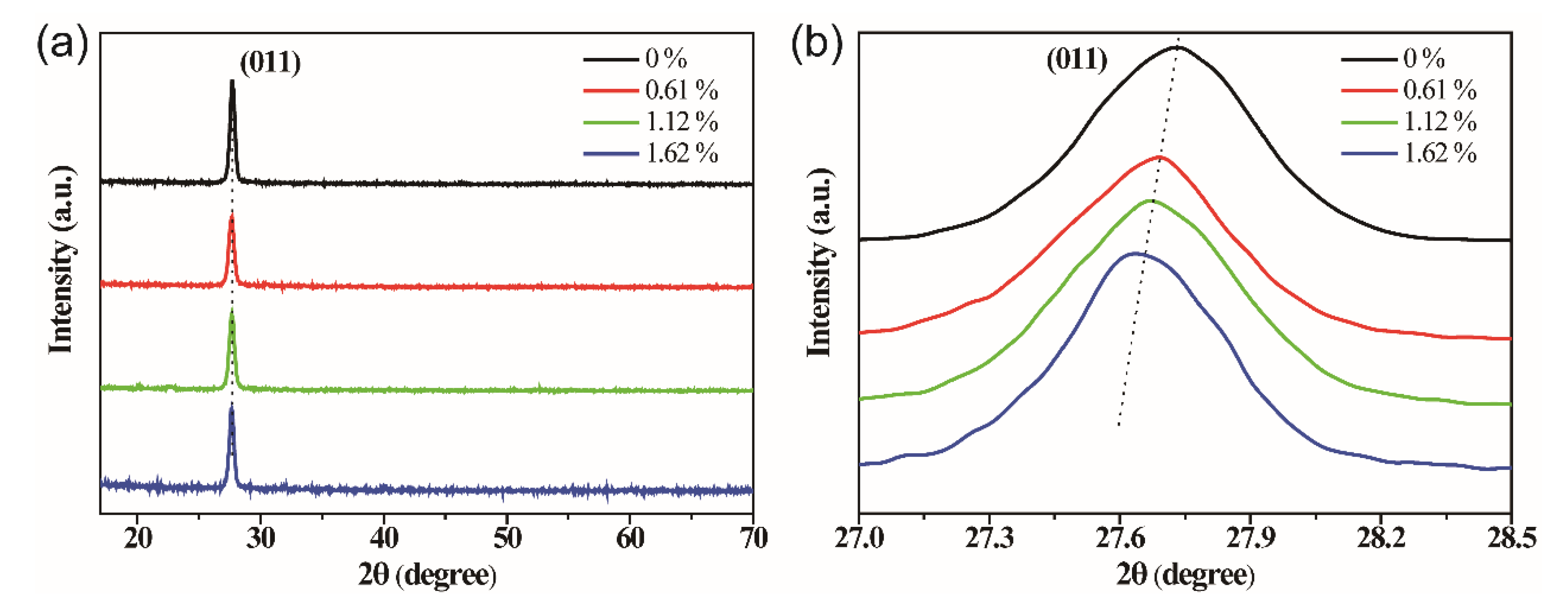
Figure 1a shows the XRD patterns of the VO2 films doped with different concentrations of W element. A strong diffraction peak is observed at the angle 2θ = 27.52° for the undoped VO2 film and W-doped VO2 films, which can be indexed to the (011) plane of VO2. It indicates that the incorporation of W does not affect the preferential orientation of VO2 in the (011) direction on the single crystal Si substrate. No peaks of any other vanadium oxides (such as V2O5 and V2O3) are observed, revealing that the products have high purity. Additionally, there are no peaks related to ammonium tungstate or their derivatives, suggesting that the W atoms are incorporated into the crystal lattice of VO2 and forming the substitutional solid solution. Furthermore, the magnified image at around 27.52° indicates that the doping with W element will lead to a redshift of the (011) peak with an increased doping amount of W (as shown in Figure 1b). It can be ascribed to the larger atom size of W compared to V, which results in lattice expansion in VO2. It should be noted that the precursor films were annealed at around 500 °C in a nitrogen atmosphere for 1.5 h [14,15,16]. This annealing process has been widely reported for obtaining a high-purity VO2 phase. In this work, the W-doped films present still demonstrate high quality traits.
Figure 1.
(a) XRD patterns of VO2 films doped with different concentrations of W element. (b) The magnified (011) peak.
The typical SEM morphology of VO2 films deposited on the Si substrates with different W doping contents are presented in Figure 2. It is worth noting that W doping has a great influence on the morphology of VO2 films. Figure 2a shows the SEM photograph of the film without W doping. Most of the particles are bonded together, and boundaries can hardly be seen. Moreover, the film shows obvious microcracks which are harmful to the phase transition properties of VO2 films [23]. For the sample that had a W-doping of 0.61%, the film is uniform and compact with large grains of about 120 nm, and fuzzy boundaries can be seen. With 1.12% doping, the film is more compact, and the grain sizes are reduced slightly compared with 0.61% W-doped VO2 film. In addition, the film exhibits more clearly grain boundaries. Subsequently, as the W doping content increases to 1.62%, the grain size of the films is further reduced. This result suggests that W doping could make the VO2 film more compact and reduce the grain size. Furthermore, the cross-sectional shapes of the W-doped film were observed, as shown in Figure 3, displaying the thickness of the film of about 404.3 nm.

Figure 2.
SEM images of the VO2 films with different W doping concentrations: (a) 0%; (b) 0.61%; (c) 1.12%; (d) 1.62%.
Figure 3.
Cross-section shapes of W-doped VO2 films.
XPS was performed to investigate the composition and chemical state of W-doped VO2 film deposited on the Si substrates. Figure 4a shows the wide-range survey spectrum of the 1.62% W-doped VO2 film. It reveals that the sample consists of vanadium, oxygen, nitrogen, carbon, silicon, and tungsten, where the peak of silicon signals comes from the substrates, and nitrogen and carbon are attributed to the adventurous hydrocarbon contamination on the sample surface. In Figure 4b, the V2p peaks were fitted with a Shirley function. The V2p3/2 peak is separated into two peaks, meaning two valence states of vanadium (+4 valence and +5 valence) exist in the sample, where the binding energy of 515.81 eV and 516.98 eV correspond to V4+ and V5+, respectively. Both of the binding energy for the two valence states of vanadium are consistent with the value in VO2 in previous reports [24]. The nonstoichiometry of vanadium in the film can be attributed to oxidation at the surface of the sample when exposed to air. The fractional percentage of the +4 valence state in the VO2 film on the Si substrates can be evaluated according to the peak area of V4+ and V5+, as about 66.3%, illustrating that the main component of W-doped VO2 film is VO2. Figure 4c shows the binding energies of 35.18 eV and 36.98 eV for W4f7/2 and W4f5/2, respectively, revealing that the existing form of W ion in this sample is W6+ [25,26].
Figure 4.
XPS spectra of 1.62% W-doped VO2 film: (a) survey spectrum, (b) core-level spectrum for V2p. The line in black color refers to the initial spectrum, the line in red color refers to the fitting of the spectrum, the line in blue color refers to the fitted peak of V4+, and the line in green color refers to the fitted peak of V5+, and (c) core-level spectrum for W4f. The line in black color refers to the initial spectrum, the line in red color refers to the fitting of the spectrum, the line in purple color refers to the fitted peak of W4f7/2, and the line in green color refers to the fitted peak W4f5/2.
The optical properties of VO2 films were investigated by infrared spectra. Figure 5 shows the infrared transmittance at room temperatures for VO2 films with W doping concentrations of 0% and 1.62%. Their infrared transmittances at the wavelength of 4 μm are 58% and 40%, respectively. The reason for the transmittance decreases significantly with increasing W doping contents could be as follows: the concentration of carriers generated by the thermal excitation in the band gap of semiconductor VO2 increases with the increase of the W doping content, and the infrared shielding effect caused by carrier reduces the infrared transmittance of the VO2 films [27].
Figure 5.
FTIR spectra of the prepared VO2 film with different W doping concentrations.
Figure 6 displays the hysteresis loop of transmittance–temperature at a fixed wavelength of 4 μm for VO2 films synthesized with different W-doped contents. The corresponding first-order derivative curves are shown in Figure 6 inset. The figures clearly illustrate the influence of W doping on the phase transition of VO2 films. The calculated results from the figures are shown in Table 1. It can be seen from Figure 6 and Table 1, the Tc are 67.35, 47.9, 40.4, and 33.35 °C and hysteresis widths are 9.9, 5.2, 6.0, and 9.3 °C for 0%, 0.61%, 1.12% and 1.62% W-doped VO2 films, respectively. Several characteristics can be concluded. First, compare with the undoped film, the Tc of VO2 films decrease effectively. With the introduction of ammonium tungstate, the V4+-V4+ pairs are destroyed by the partial substitution of V atoms with W atoms, which reduces the stability of the structure of VO2. Therefore, the phase transition temperature of VO2 films reduces [28]. Second, the hysteresis widths increase with the increase of the W doping content. However, all of them are less than the undoped film. In the case of Lopez et al., the driving force of phase transition comes from various defects in the film [29]. According to the research of Jing Du et al., the introduction of W could probably enhance the nucleation density (ρ) of defects, the bulk free energy (Δgex) per unit volume decreases, while Δgex = c|T−T0| (where c is a constant, T0 is the Tc for undoped film, T represents the actual Tc of films), |T−T0| decreases with decreasing of gex, and smaller value of |T−T0| can trigger phase transition, therefore resulting in decreased hysteresis widths [30].
Figure 6.
Transmittance hysteresis curves at wavelength of 4 μm and corresponding first order derivative curves for VO2 films with different W doping concentration: (a) 0%; (b) 0.61%; (c) 1.12%; (d) 1.62%.
Table 1.
Phase transformation properties of W-doped VO2 films.
The electrical performance of VO2 films was tested using the conventional four-point-probe method. Figure 7 shows the square resistance versus temperature curves of VO2 films. It can be seen that the square resistances of the VO2 thin films decrease exponentially as the temperature increases. The undoped VO2 film has a quite high square resistance of 144 KΩ/□ at 30 °C and 0.28 KΩ/□ at 85 °C. The orders of magnitude of the square resistance transition is approximately 3. For 1.62% W-doped VO2 thin film, its square resistance is 64 KΩ/□ at 30 °C and 1.25 KΩ/□ at 70 °C. These results imply that W doping can reduces not only the square resistance of VO2 thin films but also the orders of magnitude of square resistance transition, which is consistent with the previous reports [31,32,33]. The 3d1 configuration of vanadium ions and the 3d1 tied around V4+-V4+ pairs offer a high activation energy between the conduction and valence band for undoped VO2 thin films, resulting in poor conductivity [34]. By doping with W, the partial substitution of V atoms with W atoms favor the enhancement of the electron concentration, and the Fermi level shifts toward the conduction band. Consequently, the activation energy of W-doped VO2 thin films decreases, and the conductivity increase [35]. It also can be concluded that the transition temperature of VO2 thin films can be tuned by doping W effectively. This is in good agreement with what we have previously obtained from FTIR.
Figure 7.
Hysteresis curves of square resistance for undoped VO2 films (a) and 1.62% W-doped VO2 films (b).
4. Conclusions
We used an inorganic sol-gel method to assist with the post-annealing process to fabricate VO2 films on a Si substrate. Additionally, the films were doped with different contents of W elements. The results indicated that the films exhibited good crystallinity, uniform thickness, and continuously decreased phase transition temperature with W doping content. However, the doping would lead to enhanced conductivity in the film, which results in reduced optical transmittance. Thus, the balance between lower phase transition temperature and optical switching properties should be considered with regard to the possible devices. This work provides significant insights into the design of doped VO2 films for silicon-based devices.
Author Contributions
All authors contributed to the experiments design. Material preparation and data collection were performed by X.D. and Y.Z. The data curation were performed by Y.L. All authors commented on the preparation of the manuscript. All authors have read and agreed to the published version of the manuscript.
Funding
This research received no external funding.
Institutional Review Board Statement
Not applicable.
Informed Consent Statement
Not applicable.
Data Availability Statement
The data can be found by contacting the corresponding author.
Acknowledgments
Li and Zhang thank the funding from Sichuan Engineering Technical College. Additionally, Zhang would like to thank Q for his help with the discussions.
Conflicts of Interest
The authors declare no conflict of interest.
Sample Availability
Samples of the compounds W-doped VO2 films are available from the authors.
References
- Yi, D.; Wang, Y.; vant Erve, O.M.; Xu, L.; Yuan, H.; Veit, M.J.; Balakrishnan, P.P.; Choi, Y.; N’Diaye, A.T.; Shafer, P.; et al. Emergent electric field control of phase transformation in oxide superlattices. Nat. Commun. 2020, 11, 902. [Google Scholar] [CrossRef] [PubMed]
- Zhang, Q.; Hu, G.; Starchenko, V.; Wan, G.; Dufresne, E.M.; Dong, Y.; Liu, H.; Zhou, H.; Jeen, H.; Saritas, K.; et al. Phase transition dynamics in a complex oxide heterostructure. Phys. Rev. Lett. 2022, 129, 235701. [Google Scholar] [CrossRef] [PubMed]
- Lee, S.; Hippalgaonkar, K.; Yang, F.; Hong, J.; Ko, C.; Suh, J.; Liu, K.; Wang, K.; Urban, J.J.; Zhang, X.; et al. Anomalously low electronic thermal conductivity in metallic vanadium dioxide. Science 2017, 355, 371–374. [Google Scholar] [CrossRef] [PubMed]
- Liu, K.; Lee, S.; Yang, S.; Delaire, O.; Wu, J.Q. Recent progress on physics and applications of vanadium dioxide. Mater. Today 2018, 21, 875–896. [Google Scholar] [CrossRef]
- Shao, Z.W.; Luo, H.J.; Jin, P. Recent progress in the phase-transition mechanism and modulation of vanadium dioxide materials. NPG Asia Mater. 2018, 10, 581–605. [Google Scholar] [CrossRef]
- Kim, H.; Kim, Y.; Kim, K.S.; Jeong, H.Y.; Jang, A.R.; Han, S.H.; Yoon, D.H.; Suh, K.S.; Shin, H.S.; Kim, T.; et al. Flexible thermochromic window based on hybridized VO2/graphene. ACS Nano 2013, 7, 5769–5776. [Google Scholar] [CrossRef]
- Yi, W.; Tsang, K.K.; Lam, S.K.; Bai, X.; Crowell, J.A.; Flores, E.A. Biological plausibility and stochasticity in scalable VO2 active memristor neurons. Nat. Commun. 2018, 9, 4661. [Google Scholar] [CrossRef]
- Jiang, W.; Zheng, T.; Wu, B.; Jiao, H.; Wang, X.; Chen, Y.; Zhang, X.; Peng, M.; Wang, H.; Lin, T.; et al. A versatile photodetector assisted by photovoltaic and bolometric effects. Light Sci. Appl. 2020, 9, 160. [Google Scholar] [CrossRef]
- Zhu, H.F.; Du, L.H.; Li, J.; Shi, Q.W.; Peng, B.; Li, Z.R.; Huang, W.X.; Zhu, L.G. Near-perfect terahertz wave amplitude modulation enabled by impedance matching in VO2 thin films. Appl. Phys. Lett. 2018, 112, 081103. [Google Scholar] [CrossRef]
- Zhao, Y.; Zhang, Y.; Shi, Q.; Liang, S.; Huang, W.; Kou, W.; Yang, Z. Dynamic photoinduced controlling of the large phase shift of terahertz waves via vanadium dioxide coupling nanostructures. ACS Photonics 2018, 5, 3040–3050. [Google Scholar] [CrossRef]
- Li, Z.; Cao, C.; Li, M.; Wang, L.; Zhu, D.; Xu, F.; Huang, A.; Jin, P.; Yu, L.; Cao, X. Gradient variation oxygen-content vanadium-oxygen composite films with enhanced crystallinity and excellent durability for smart windows. ACS Appl. Mater. Interfaces 2023, 15, 9401–9411. [Google Scholar] [CrossRef] [PubMed]
- Muller, A.; Khadar, R.A.; Abel, T.; Negm, N.; Rosca, T.; Krammer, A.; Cavalieri, M.; Schueler, A.; Qaderi, F.; Bolten, J.; et al. Radio-frequency characteristics of Ge-doped vanadium dioxide thin films with increased transition temperature. ACS Appl. Electron. Mater. 2020, 2, 1263–1272. [Google Scholar] [CrossRef]
- Mutilin, S.V.; Yakovkina, L.V.; Seleznev, V.A.; Prinz, V.Y. Kinetics of catalyst-free and position-controlled low-pressure chemical vapor deposition growth of VO2 nanowire arrays on nanoimprinted Si substrates. Materials 2022, 15, 7863. [Google Scholar] [CrossRef] [PubMed]
- Shi, Q.; Huang, W.; Zhang, Y.; Qiao, S.; Wu, J.; Zhao, D.; Yan, J. Enhanced hydrophilicity of the Si substrate for deposition of VO2 film by sol-gel method. J. Mater. Sci. Mater. Electron. 2012, 23, 1610–1615. [Google Scholar] [CrossRef]
- Shi, Q.; Huang, W.; Lu, T.; Zhang, Y.; Yue, F.; Qiao, S.; Xiao, Y. Nanostructured VO2 film with high transparency and enhanced switching ratio in THz range. Appl. Phys. Lett. 2014, 104, 071903. [Google Scholar] [CrossRef]
- Wu, J.; Huang, W.; Shi, Q.; Cai, J.; Zhao, D.; Zhang, Y.; Yan, J. Effect of annealing temperature on thermochromic properties of vanadium dioxide thin films deposited by organic sol-gel method. Appl. Surf. Sci. 2013, 268, 556–560. [Google Scholar] [CrossRef]
- Pattanayak, M.; Hoque, M.N.F.; Ho, Y.C.; Li, W.; Fan, Z.; Bernussi, A.A. Ultrahigh tunability of resistive switching in strongly correlated functional oxide. Appl. Mater. Today 2023, 30, 101642. [Google Scholar] [CrossRef]
- Outón, J.; Casas-Acuña, A.; Domínguez, M.; Blanco, E.; Delgado, J.J.; Ramírez-del-Solar, M. Novel laser texturing of W-doped VO2 thin film for the improvement of luminous transmittance in smart windows application. Appl. Surf. Sci. 2022, 608, 155180. [Google Scholar] [CrossRef]
- Sun, K.; Wheeler, C.; Hillier, J.A.; Ye, S.; Zeimpekis, I.; Urbani, A.; Kalfagiannis, N.; Muskens, O.L.; de Groot, C.H. Room temperature phase transition of W-doped VO2 by atomic layer deposition on 200 mm Si wafers and flexible substrates. Adv. Opt. Mater. 2023, 10, 2201326. [Google Scholar] [CrossRef]
- Shi, J.; Zhou, S.; You, B.; Wu, L. Preparation and thermochromic property of tungsten-doped vanadium dioxide particles. Sol. Energy Mater. Sol. Cells 2007, 91, 1856–1862. [Google Scholar] [CrossRef]
- Jin, P.; Nakao, S.; Tanemura, S. Tungsten doping into vanadium dioxide thermochromic films by high-energy ion implantation and thermal annealing. Thin Solid Film. 1998, 324, 151–158. [Google Scholar] [CrossRef]
- Shi, Q.; Huang, W.; Yan, J.; Zhang, Y.; Mao, M.; Zhang, Y.; Xu, Y.; Zhang, Y. Preparation and phase transition characterization of VO2 thin film on single crystal Si (100) substrate by sol-gel process. J. Sol-Gel Sci. Technol. 2011, 59, 591–597. [Google Scholar] [CrossRef]
- Jepsen, P.U.; Fischer, B.M.; Thoman, A.; Helm, H.; Suh, J.Y.; Lopez, R.; Haglund, R.F., Jr. Metal-insulator phase transition in a VO2 thin film observed with terahertz spectroscopy. Phys. Rev. B 2006, 74, 205103. [Google Scholar] [CrossRef]
- Zhang, Z.; Gao, Y.; Chen, Z.; Du, J.; Cao, C.; Kang, L.; Luo, H. Thermochromic VO2 Thin Films: Solution-Based Processing, Improved Optical Properties, and Lowered Phase Transformation Temperature. Langmuir 2010, 26, 10738–10744. [Google Scholar] [CrossRef] [PubMed]
- Peng, Z.; Jiang, W.; Liu, H. Synthesis and electrical properties of tungsten-doped vanadium dioxide nanopowders by thermolysis. J. Phys. Chem. C 2007, 111, 1119–1122. [Google Scholar] [CrossRef]
- Liang, S.; Shi, Q.; Zhu, H.; Peng, B.; Huang, W. One-Step Hydrothermal Synthesis of W-Doped VO2 (M) Nanorods with a Tunable Phase-Transition Temperature for Infrared Smart Windows. ACS Omega 2016, 1, 1139–1148. [Google Scholar] [CrossRef]
- Continenza, A.; Massidda, S.; Posternak, M. Self-energy corrections in VO2 within a model GW scheme. Phys. Rev. B 1999, 60, 15699–15704. [Google Scholar] [CrossRef]
- Goodenough, J.B. The two components of the crystallographic transition in VO2. J. Solid State Chem. 1971, 3, 490–500. [Google Scholar] [CrossRef]
- Lopez, R.; Haynes, T.E.; Boatner, L.A.; Feldman, L.C.; Haglund, R.F. Size effects in the structural phase transition of VO2 nanoparticles. Phys. Rev. B 2002, 65. [Google Scholar] [CrossRef]
- Du, J.; Gao, Y.; Luo, H.; Kang, L.; Zhang, Z.; Chen, Z.; Cao, C. Significant changes in phase-transition hysteresis for Ti-doped VO2 films prepared by polymer-assisted deposition. Sol. Energy Mater. Sol. Cells 2011, 95, 469–475. [Google Scholar] [CrossRef]
- Liu, D.; Cheng, H.; Xing, X.; Zhang, C.; Zheng, W. Thermochromic properties of W-doped VO2 thin films deposited by aqueous sol-gel method for adaptive infrared stealth application. Infrared Phys. Technol. 2016, 77, 339–343. [Google Scholar] [CrossRef]
- Wan, D.; Xiong, P.; Chen, L.; Shi, S.; Ishaq, A.; Luo, H.; Gao, Y. High-performance thermal sensitive W-doped VO2(B) thin film and its identification by first-principles calculations. Appl. Surf. Sci. 2017, 397, 30–39. [Google Scholar] [CrossRef]
- Takami, H.; Kanki, T.; Ueda, S.; Kobayashi, K.; Tanaka, H. Electronic Structure of W-Doped VO2 Thin Films with Giant Metal-Insulator Transition Investigated by Hard X-ray Core-Level Photoemission Spectroscopy. Appl. Phys. Express 2010, 3, 063201. [Google Scholar] [CrossRef]
- Reyes, J.M.; Sayer, M.; Mansingh, A.; Chen, R. Transport Properties of Impurity-Doped VO2. Can. J. Phys. 1976, 54, 413–423. [Google Scholar] [CrossRef]
- Mai, L.Q.; Hu, B.; Hu, T.; Chen, W.; Gu, E.D. Electrical property of Mo-doped VO2 nanowire array film by melting- quenching sol-gel method. J. Phys. Chem. B 2006, 110, 19083–19086. [Google Scholar] [CrossRef] [PubMed]
Disclaimer/Publisher’s Note: The statements, opinions and data contained in all publications are solely those of the individual author(s) and contributor(s) and not of MDPI and/or the editor(s). MDPI and/or the editor(s) disclaim responsibility for any injury to people or property resulting from any ideas, methods, instructions or products referred to in the content. |
© 2023 by the authors. Licensee MDPI, Basel, Switzerland. This article is an open access article distributed under the terms and conditions of the Creative Commons Attribution (CC BY) license (https://creativecommons.org/licenses/by/4.0/).







