The Benefits and Challenges of Antibiotics–Non-Steroidal Anti-Inflammatory Drugs Non-Covalent Reaction
Abstract
1. Introduction
2. Antibiotics
3. Antibiotic Multi-Component Structure Development
3.1. Salt/Ionic Multi-Component Structure
3.2. Neutral/Non-Ionic Multi-Component Structure or Cocrystal
3.3. Hydrate and Solvate
3.4. Multi-Component System Preparation Methods
3.5. Multi-Component Systems Analysis and Characterization Methods
3.5.1. Conventional and Semimanual Thermal Analysis
3.5.2. Modern Calorimetry: DSC and DTA/TG
3.5.3. Vibrational Spectroscopy Analysis
3.5.4. NMR
3.5.5. X-ray Diffractometry
3.6. List of Antibiotic Multi-Component
4. Fluoroquinolones Multi-Component Development
4.1. Fluoroquinolone-NSAID Multi-Components
4.2. Toxicity Study of NSAIDs and Fluoroquinolones Multi-Component Systems
5. Computational Approach and Modeling for Multi-Component Solid Development
6. Conclusions
Author Contributions
Funding
Institutional Review Board Statement
Informed Consent Statement
Data Availability Statement
Conflicts of Interest
References
- Piper, B.J.; Alinea, A.A.; Wroblewski, J.R.; Graham, S.M.; Chung, D.Y.; McCutcheon, L.R.; Birkett, M.A.; Kheloussi, S.S.; Shah, V.M.; Szarek, J.L.; et al. A Quantitative and Narrative Evaluation of Goodman and Gilman’s Pharmacological Basis of Therapeutics. Pharmacy 2019, 8, 1. [Google Scholar] [CrossRef]
- de Bairros, A.V.; Pereira, D.B.; Everson, W.F.C.; Paim, C.S.; da Silva, F.E.B.S.; Malesuik, M.D.; Paula, F.R. Evaluation of the influence of fluoroquinolone chemical structure on stability: Forced degradation and in silico studies. Braz. J. Pharm. Sci. 2018, 54, e00188. [Google Scholar] [CrossRef]
- Freeman, M.Z.; Cannizzaro, D.N.; Naughton, L.F.; Bove, C. Fluoroquinolones-Associated Disability: It Is Not All in Your Head. Neuro. Sci. 2021, 2, 235–253. [Google Scholar] [CrossRef]
- Ainurofiq, A.; Syahrul, A.; Widayati, A.; Fitriastuti, R.; Herawati, Z. Fluoroquinolone Antibacterial Drugs: Review of Physicochemical Problems; Analysis Techniques; and Solutions. Asia-Pac. J. Sci. Technol. 2022, 27, 10. [Google Scholar]
- Czyrski, A.; Anusiak, K.; Teżyk, A. The degradation of levofloxacin in infusions exposed to daylight with an identification of a degradation product with HPLC-MS. Sci. Rep. 2019, 9, 3621. [Google Scholar] [CrossRef]
- Nugrahani, I.; Laksana, A.N.; Uekusa, H.; Oyama, H. New Organic Salt from Levofloxacin–Citric Acid: What Is the Impact on the Stability and Antibiotic Potency? Molecules 2022, 27, 2166. [Google Scholar] [CrossRef]
- Nugrahani, I.; Sulaiman, M.R.; Eda, C.; Uekusa, H.; Ibrahim, S. Stability and antibiotic potency improvement of levofloxacin by producing new salts with 2,6- and 3,5-dihydroxybenzoic acid and their comprehensive structural study. Pharmaceutics 2023, 15, 124. [Google Scholar] [CrossRef]
- Nugrahani, I.; Parwati, R.D. Challenges and Progress in Nonsteroidal Anti-Inflammatory Drugs Co-crystal Development. Molecules 2021, 26, 4185. [Google Scholar] [CrossRef]
- O’Malley, C.; McArdle, P.; Erxleben, A. Formation of Salts and Molecular Ionic Cocrystals of Fluoroquinolones and α,ω-Dicarboxylic Acids. Cryst. Growth Des. 2022, 22, 3060–3071. [Google Scholar] [CrossRef]
- Bhavani, A.V.S.; Usha, A.L.; Ashritha, K.; Rani, E.R. Review on Pharmaceutical Co-crystal and Design Strategies. Asian J. Pharm. Technol. 2021, 11, 175–180. [Google Scholar] [CrossRef]
- Karimi-Jafari, M.; Padrela, L.; Walker, G.M.; Croker, D.M. Creating cocrystals: A review of pharmaceutical cocrystal preparation routes and applications. Cryst. Growth Des. 2018, 18, 6370–6387. [Google Scholar] [CrossRef]
- Panzade, P.S.; Shendarkar, G.R.; Kulkarni, D.A. Hot Melt Extrusion: An Emerging Green Technique for the Synthesis of High-Quality Pharmaceutical Cocrystals. J. Pharm. Innov. 2022, 17, 283–293. [Google Scholar] [CrossRef]
- MacEachern, L.; Kermanshahi-pour, A.; Mirmehrabi, M. Supercritical Carbon Dioxide for Pharmaceutical Co-Crystal Production. Cryst. Growth Des. 2020, 20, 6226–6244. [Google Scholar] [CrossRef]
- Apshingekar, P.P.; Aher, S.; Kelly, A.L.; Brown, E.C.; Paradkar, A. Synthesis of Caffeine/Maleic Acid Co-crystal by Ultrasound-assisted Slurry Co-crystallization. J. Pharm. Sci. 2017, 106, 66–70. [Google Scholar] [CrossRef]
- Carstens, T.; Haynes, D.A.; Smith, V.J. Cocrystals: Solution, Mechanochemistry, and Sublimation. Cryst. Growth Des. 2020, 20, 1139–1149. [Google Scholar] [CrossRef]
- Nugrahani, I.; Utami, D.; Ayuningtyas, L.; Garmana, A.N.; Oktaviary, R. New Preparation Method Using Microwave, Kinetics, In Vitro Dissolution-Diffusion, and Anti-Inflammatory Study of Diclofenac- Proline Co–Crystal. Chem. Select 2019, 4, 13396–13403. [Google Scholar] [CrossRef]
- Pagire, S.; Korde, R.A.; Deshmukh, S.; Dash, R.C.; Dhumal, A.; Paradkar, A. Microwave assisted synthesis of caffeine/maleic acid co-crystals: The role of the dielectric and physicochemical properties of the solvent. Cryst. Eng. Comm. 2013, 15, 3705–3710. [Google Scholar] [CrossRef]
- Nugrahani, I.; Kumalasari, R.A.; Auli, W.N.; Horikawa, A.; Uekusa, H. Salt cocrystal of diclofenac sodium-L-proline: Structural, pseudopolymorphism, and pharmaceutics performance study. Pharmaceutics 2020, 12, 690. [Google Scholar] [CrossRef]
- Gorman, E.M.; Samas, B.; Munson, E.J. Understanding the Dehydration of Levofloxacin Hemihydrate. J. Pharm. Sci. 2012, 101, 3319–3330. [Google Scholar] [CrossRef]
- Raudino, A.; Sarpietro, M.G.; Pannuzzo, M. Differential scanning calorimetry (DSC): Theoretical fundamentals. In Drug-Biomembrane Interaction Studies; Pignatello, R., Ed.; Woodhead Publishing: Cambridge, UK, 2013; pp. 127–168. [Google Scholar]
- Manin, A.N.; Surov, A.O.; Churakov, A.V.; Perlovich, G.L. Crystal structures, thermal analysis, and dissolution behavior of new solid forms of the antiviral drug arbidol with dicarboxylic acids. Crystals 2015, 5, 650–669. [Google Scholar] [CrossRef]
- Feist, M. Thermal analysis: Basics, applications, and benefit. Chem. Texts 2015, 1, 8. [Google Scholar] [CrossRef]
- Monajjemzadeh, F.; Ghaderi, F. Thermal analysis methods in pharmaceutical quality control. J. Mol. Pharm. Org. Process Res. 2015, 3, e121. [Google Scholar]
- Kendall, T.; Stratford, S.; Patterson, A.R.; Lunt, R.A.; Cruickshank, D.; Bonnaud, T.; Scott, C.D. Chapter Five—An industrial perspective on cocrystal: Screening, identification and development of the less utilised solid form in drug discovery and development. Prog. Med. Chem. 2021, 60, 345–442. [Google Scholar]
- Banerjee, M.; Nimkar, K.; Naik, S.; Patravale, V. Unlocking the potential of drug–drug cocrystal—A comprehensive review. J. Control. Release 2022, 348, 456–469. [Google Scholar] [CrossRef]
- Shinozaki, T.; Ono, M.; Higashi, K.; Moribe, K. A Novel Drug-Drug Cocrystal of Levofloxacin and Metacetamol: Reduced Hygroscopicity and Improved Photostability of Levofloxacin. J. Pharm. Sci. 2019, 108, 2383–2390. [Google Scholar] [CrossRef]
- Boraste, D.R.; Chakraborty, G.; Ray, A.K.; Shankarling, G.S.; Pal, H. Supramolecular Host-Guest Interaction of Antibiotic Drug Ciprofloxacin with Cucurbit[7]Uril Macrocycle: Modulations in Photophysical Properties and Enhanced Photostability. J. Photochem. Photobiol. A Chem. 2018, 358, 26–37. [Google Scholar] [CrossRef]
- Hibbard, T.; Nyambura, B.; Scholes, P.; Totolici, M.; Shankland, K.; Al-Obaidi, H. Preparation and physicochemical analysis of novel ciprofloxacin/ dicarboxylic acid salts. J. Pharm. Sci. 2022, 112, 195–203. [Google Scholar] [CrossRef]
- Sousa, C.F.; Coimbra, J.T.; Richter, R.; Morais-Cabral, J.H.; Ramos, M.J.; Lehr, C.M.; Gameiro, P. Exploring the permeation of fluoroquinolone metalloantibiotics across outer membrane porins by combining molecular dynamics simulations and a porin-mimetic in vitro model. Biochim. Biophys. Acta Biomembr. 2022, 1864, 183838. [Google Scholar] [CrossRef]
- Acebedo-martínez, F.J.; Domínguez-martín, A.; Alarcón-payer, C.; Sevillano-páez, A.; Verdugo-escamilla, C.; González-pérez, J.M.; Martínez-Checa, F.; Choquesillo-Lazarte, D. Enhanced NSAIDs Solubility in Drug—Drug Formulations with Ciprofloxacin. Int. J. Mol. Sci. 2023, 24, 3305. [Google Scholar] [CrossRef]
- Surov, A.O.; Vasilev, N.A.; Churakov, A.V.; Stroh, J.; Emmerling, F.; Perlovich, G.L. Solid Forms of Ciprofloxacin Salicylate: Polymorphism, Formation Pathways, and Thermodynamic Stability. Cryst. Growth Des. 2019, 19, 2979–2990. [Google Scholar] [CrossRef]
- Skretkowicz, J.; Gondko, A. Interakcje fluorochinolonów z niesteroidowymi lekami przeciwzapalnymi. Fluoroquinolones interactions with nonsteroidal anti-inflammatory drugs. Pol. Merkur. Lekarski. 2004, 16, 194–195. [Google Scholar]
- Wu, J.; Gygi, F. A simplified implementation of van der Waals density functionals for first-principles molecular dynamics applications. J. Chem. Phys. 2012, 136, 224107. [Google Scholar] [CrossRef]
- Nagarajan, N.; Yapp, E.K.; Le, N.Q.K.; Kamaraj, B.; Al-Subaie, A.M.; Yeh, H.Y. Application of Computational Biology and Artificial Intelligence Technologies in Cancer Precision Drug Discovery. BioMed Res. Int. 2019, 2019, 8427042. [Google Scholar] [CrossRef]
- Mswahili, M.E.; Lee, M.-J.; Martin, G.L.; Kim, J.; Kim, P.; Choi, G.J.; Jeong, Y.-S. Cocrystal Prediction Using Machine Learning Models and Descriptors. Appl. Sci. 2021, 11, 1323. [Google Scholar] [CrossRef]
- Alhadid, A.; Jandl, C.; Mokrushina, L.; Minceva, M. Experimental investigation and modeling of cocrystal formation in l-menthol/thymol eutectic system. Cryst. Growth Des. 2021, 21, 6083–6091. [Google Scholar] [CrossRef]
- Connell, P.O.; Serrano, D.R.; McSweeney, N.; Healy, A.M. Modelling chemical and physical stability of cocrystals, case study: Sulfadimidine: 4-amino salicylic acid cocrystal. In Proceedings of the 8th International Conference and Exhibition on Pharmaceutics & Novel Drug Delivery Systems, Madrid, Spain, 7–9 March 2016. [Google Scholar]
- Lotlikar, O.A.; Dandekar, S.N.; Ramana, M.M.V.; Rathod, S.V. One-Pot Multicomponent Synthesis, Molecular Docking, and In Vitro Antibacterial Activities of 1-{(Aryl)[(5-methyl-1,3-thiazol-2-yl)amino]methyl}naphthalen-2-ol. Russ. J. Org. Chem. 2021, 57, 2024–2030. [Google Scholar] [CrossRef]
- Devogelaer, J.J.; Meekes, H.; Tinnemans, P.; Vlieg, E.; De Gelder, R. Co-crystal Prediction by Artificial Neural Networks. Angew. Chem. 2020, 59, 21711–21718. [Google Scholar] [CrossRef]
- Baggio, D.; Ananda-Rajah, M.R. Fluoroquinolone antibiotics and adverse events. Aust. Prescr. 2021, 44, 161–164. [Google Scholar] [CrossRef]
- Gooi, R.B.; Thatte, S.M. Inhibition of cell wall synthesis: Is this the mechanism of action of penicillins? Med. Hypotheses 1995, 44, 127–131. [Google Scholar] [CrossRef]
- Delcour, A.H. Outer membrane permeability and antibiotic resistance. Biochim. Biophys. Acta 2009, 1794, 808–816. [Google Scholar] [CrossRef]
- Champney, W.S. Antibiotics targeting bacterial ribosomal subunit biogenesis. J. Antimicrob. Chemother. 2020, 75, 787–806. [Google Scholar] [CrossRef]
- Dunckle, J.A.; Vinal, K.; Desai, P.M.; Zelinskaya, N.; Savic, M.; West, D.M.; Comm, G.L.; Dunham, C.M. Molecular recognition and modification of the 30S ribosome by the aminoglycoside-resistance methyltransferase NpmA. Proc. Natl. Acad. Sci. USA 2014, 111, 6275–6280. [Google Scholar] [CrossRef]
- Guillard, C.E. Antimicrobials that affect the synthesis and conformation of nucleic acids. Rev. Sci. Tech. 2012, 31, 77–87. [Google Scholar]
- Bhattacharjee, M.K. Antimetabolites: Antibiotics that inhibit nucleotide synthesis. In Chemistry of Antibiotics and Related Drugs; Springer: Berlin/Heidelberg, Germany, 2016; pp. 95–108. [Google Scholar]
- Basarab, G.S.; Kern, G.H.; McNulty, J.; Mueller, J.P.; Lawrence, K.; Vishwanathan, K.; Alm, R.A.; Barvian, K.; Doig, P.; Galullo, V.; et al. Responding to the challenge of untreatable gonorrhea: ETX0914, a first-in-class agent with a distinct mechanism of action against bacterial Type II topoisomerases. Sci. Rep. 2015, 5, 11827. [Google Scholar] [CrossRef]
- Levison, M.E.; Levison, J.H. Pharmacokinetics and Pharmacodynamics of Antibacterial Agents. Infect. Dis. Clin. N. Am. 2009, 23, 791. [Google Scholar] [CrossRef]
- Michael, J.R. The Pharmacokinetic and Pharmacodynamic Properties of Vancomycin. Clin. Infect. Dis. 2006, 42, S35–S39. [Google Scholar]
- Cruz-Cabeza, A.J. Acid-base crystalline complexes and the pKa rule. Cryst. Eng. Comm. 2012, 14, 6362–6365. [Google Scholar] [CrossRef]
- Golovnev, N.N.; Molokeev, M.S.; Lesnikov, M.K.; Atuchin, V.V. Two salts and the salt cocrystal of ciprofloxacin with thiobarbituric and barbituric acids: The structure and properties. J. Phys. Org. Chem. 2018, 31, e3773. [Google Scholar] [CrossRef]
- Sultana, N.; Arayne, M.S.; Rizvi, S.B.S.; Haroon, U.; Mesaik, M.A. Synthesis, spectroscopic, and biological evaluation of some levofloxacin metal complexes. Med. Chem. Res. 2013, 22, 1371–1377. [Google Scholar] [CrossRef]
- Islam, N.U.; Umar, M.N.; Khan, E.; Al-Joufi, F.A.; Abed, S.N.; Said, M.; Khan, F.A. Levofloxacin Cocrystal/Salt with Phthalimide and Caffeic Acid as Promising Solid-State Approach to Improve Antimicrobial Efficiency. Antibiotics 2022, 11, 797. [Google Scholar] [CrossRef]
- Wu, D.; Li, J.; Xiao, Y.; Ji, X.; Li, C.; Zhang, B.; Hou, B.; Zhou, L.; Xie, C.; Gong, J.; et al. New salts and cocrystals of pymetrozine with improvements on solubility and humidity stability: Experimental and theoretical study. Cryst. Growth Des. 2021, 21, 2371–2388. [Google Scholar] [CrossRef]
- Mannava, M.K.C.; Gunnam, A.; Lodagekar, A.; Shastri, N.R.; Nangia, A.K.; Solomon, K.A. Enhanced solubility, permeability, and tabletability of nicorandil by salt and cocrystal formation. Cryst. Eng. Comm. 2020, 23, 227–237. [Google Scholar] [CrossRef]
- Wei, N.; Jia, L.; Shang, Z.; Gong, J. Polymorphism of levofloxacin: Structure, properties and phase transformation. Cryst. Eng. Comm. 2019, 21, 6196–6207. [Google Scholar] [CrossRef]
- Williams, M.; Sittenauer, J.; Clark, S.; Farthing, J.; Baltezor, M.; McClorey, M. Ciprofloxacin Polymorph and Its Use. U.S. Patent 2019067851A1, 28 September 2018. [Google Scholar]
- Kitaoka, H.; Wada, C.; Moroi, R.; Hakusui, H. Effect of dehydration on the formation of levofloxacin pseudopolymorphs. Chem. Pharm. Bull. 1995, 43, 649–653. [Google Scholar] [CrossRef]
- Thakur, T.S.; Thakuria, R. Crystalline Multicomponent Solids: An Alternative for Addressing the Hygroscopicity Issue in Pharmaceutical Materials. Cryst. Growth Des. 2020, 20, 6245–6265. [Google Scholar] [CrossRef]
- Roy, P.; Pandey, N.; Kumari, N.; Baidya, R.; Mary, Y.S.; Ghosh, A. Development of sulfamethoxazole-succinimide cocrystal by mechanochemical cocrystallization—An insight into spectroscopic, electronic, chemical conformation and physicochemical properties. Chem. Eng. Res. Des. 2022, 185, 446–457. [Google Scholar] [CrossRef]
- de Almeida, A.C.; Torquetti, C.; Ferreira, P.O.; Fernandes, R.P.; dos Santos, E.C.; Kogawa, A.C.; Caires, F.J. Cocrystals of Ciprofloxacin with Nicotinic and Isonicotinic Acids: Mechanochemical Synthesis, Characterization, Thermal and Solubility Study. Thermochim. Acta 2020, 685, 178346. [Google Scholar] [CrossRef]
- Nugrahani, I.; Asyarie, S.; Soewandhi, S.N.; Ibrahim, S. The cold contact methods as a simple drug interaction detection system. Res. Lett. Phys. Chem. 2008, 2008, 169247. [Google Scholar] [CrossRef]
- Cherukuvada, S.; Row, G.T.N. Comprehending the Formation of Eutectics and Cocrystals in Terms of Design and Their Structural Interrelationships. Cryst. Growth Des. 2014, 14, 4187–4198. [Google Scholar] [CrossRef]
- Elbagerma, M.A.; Edwards, H.G.M.; Munshi, T.; Hargreaves, M.D. Characterization of new cocrystals by Raman spectroscopy, powder X-ray diffraction, differential scanning calorimetry, and transmission Raman spectroscopy. Cryst. Growth Des. 2020, 10, 2360–2371. [Google Scholar] [CrossRef]
- Nugrahani, I.; Tjengal, B.; Gusdinar, T.; Horikawa, A.; Uekusa, H. A Comprehensive Study of a New 1.75 Hydrate of Ciprofloxacin Salicylate: SCXRD Structure Determination, Solid Characterization, Water Stability, Solubility, and Dissolution Study. Crystals 2020, 10, 349. [Google Scholar] [CrossRef]
- Budziak-Wieczorek, I.; Maciolek, U. Synthesis and characterization of a (−)-epicathechin and barbituric acid cocrystal: Single-crystal-X-ray diffraction and vibrational spectroscopic studies. ACS Omega 2021, 6, 8199–8209. [Google Scholar] [CrossRef]
- Samsoedin, H.; Bapoo, M.; Doms, T.I. FTIR, dissolution and antiviral activiry of nevirapine co-crystals. Pharm. Anal. Acta 2017, 8, 561. [Google Scholar]
- Wang, Q.; Xue, J.; Hong, Z.; Du, Y. Pharmaceutical Cocrystal Formation of Pyrazinamide with 3-Hydroxybenzoic Acid: A Terahertz and Raman Vibrational Spectroscopies Study. Molecules 2019, 24, 488. [Google Scholar] [CrossRef]
- Bunaciu, A.A.; Udriştioiu, E.; Aboul-enein, H.Y. X-ray Diffraction: Instrumentation and Applications X-Ray Diffraction: Instrumentation and Applications. Crit. Rev. Anal. Chem. 2015, 45, 289–299. [Google Scholar] [CrossRef]
- Nugrahani, I.; Utami, D.; Ibrahim, S.; Nugraha, Y.P.; Uekusa, H. Zwitterionic cocrystal of diclofenac and l-proline: Structure determination, solubility, kinetics of cocrystallization, and stability study. Eur. J. Pharm. Sci. 2018, 117, 168–176. [Google Scholar] [CrossRef]
- Thakral, N.K.; Zanon, R.L.; Kelly, R.C.; Thakral, S. Applications of Powder X-ray Diffraction in Small Molecule Pharmaceuticals: Achievements and Aspirations. J. Pharm. Sci. 2018, 107, 2969–2982. [Google Scholar] [CrossRef]
- Chatterjee, S.K. X-ray Diffraction: Its Theory and Applications; PHI Learning Pvt. Ltd.: Dehli, India, 2010; pp. 103–107. [Google Scholar]
- Hirao, N.; Kawaguchi, S.I.; Hirose, K.; Shimizu, K.; Ohtani, E.; Ohishi, Y. New developments in high-pressure X-ray diffraction beamline for diamond anvil cell at SPring-8. Matter Radiat. Extrem. Condit. 2020, 5, 018403. [Google Scholar] [CrossRef]
- Yang, D.; Cao, J.; Jiao, L.; Yang, S.; Zhang, L.; Lu, Y.; Du, G. Solubility and Stability Advantages of a New Cocrystal of Berberine Chloride with Fumaric Acid. ACS Omega 2020, 5, 8283–8292. [Google Scholar] [CrossRef]
- Zhang, Z.; Cai, Q.; Xue, J.; Qin, J.; Liu, J.; Du, Y. Cocrystal Formation of Antibiotic Nitrofurantoin Drug and Melamine Co-Former Based on a Vibrational Spectroscopic Study. Pharmaceutics 2019, 11, 56. [Google Scholar] [CrossRef]
- Abdullah, A.; Mutmainnah, M.; Wikantyasning, E.R. Cocrystals of Cefixime with Nicotinamide: Improved Solubility, Dissolution, and Permeability. Indones. J. Pharm. 2022, 33, 394–400. [Google Scholar] [CrossRef]
- Choquesillo-Lazarte, D.; Nemecb, V.; Cinčić, D. Halogen bonded cocrystals of active pharmaceutical ingredients: Pyrazinamide, lidocaine and pentoxifylline in combination with haloperfluorinated compounds. Cryst. Eng. Comm. 2017, 19, 5293–5299. [Google Scholar] [CrossRef]
- Dookie, N.; Rambaran, S.; Padayatchi, N.; Mahomed, S.; Naidoo, K. Evolution of drug resistance in Mycobacterium tuberculosis: A review on the molecular determinants of resistance and implications for personalized care. J. Antimicrob. Chemother. 2018, 73, 1138–1151. [Google Scholar] [CrossRef]
- Amrutha, S.; Giri, L.; Lekshmi, S.S.; Varughese, S. Enhanced Aqueous Solubility of the Solid Forms of a BCS Class-II Anti-Tuberculosis Drug, Prothionamide. Cryst. Growth Des. 2020, 20, 5086–5096. [Google Scholar] [CrossRef]
- Refat, L.A.E.; O’Malley, C.; Simmie, J.M.; McArdle, P.; Erxleben, A. Differences in Co-Former Interactions of the 2,4-Diaminopyrimidines Pyrimethamine and Trimethoprim. Cryst. Growth Des. 2022, 22, 3163–3173. [Google Scholar] [CrossRef]
- Fiore, C.; Baraghini, A.; Shemchuk, O.; Sambri, V.; Morotti, M.; Grepioni, F.; Braga, D. Inhibition of the Antibiotic Activity of Cephalosporines by Cocrystallization with Thymol. Cryst. Growth Des. 2022, 22, 1467–1475. [Google Scholar] [CrossRef]
- Mashhadi, S.M.A.; Yufit, D.; Liu, H.; Hodgkinson, P.; Yunus, U. Synthesis and structural characterization of cocrystals of isoniazid and cinnamic acid derivatives. J. Mol. Struc. 2020, 1219, 128621. [Google Scholar] [CrossRef]
- González-González, J.S.; Martínez-Santiago, A.M.M.; Martínez-Martínez, F.J.; Emparán-Legaspi, M.J.; Pineda-Contreras, A.; Flores-Alamo, M.; García-Ortega, H. Cocrystals of Isoniazid with Polyphenols: Mechanochemical Synthesis and Molecular Structure. Crystals 2020, 10, 569. [Google Scholar] [CrossRef]
- Lemmerer, A.; Bernstein, J.; Kahlenberg, V. One-pot covalent and supramolecular synthesis of pharmaceutical cocrystals using the API isoniazid: A potential supramolecular reagent. Cryst. Eng. Comm. 2010, 12, 2856–2864. [Google Scholar] [CrossRef]
- Lemmerer, A.; Bernstein, J.; Kahlenberg, V. Covalent assistance to supramolecular synthesis: Modifying the drug functionality of the antituberculosis API isoniazid in situ during cocrystallization with GRAS and API compounds. Cryst. Eng. Comm. 2012, 14, 2465–2478. [Google Scholar] [CrossRef]
- Mashhadi, S.M.A.; Yunus, U.; Bhatti, M.H.; Tahir, M.N. Isoniazid cocrystals with antioxidant hydroxy benzoic acids. J. Mol. Struc. 2014, 1076, 446–452. [Google Scholar] [CrossRef]
- Drozd, K.V.; Manin, A.N.; Churakov, A.V.; Perlovich, G.L. Drug-drug cocrystals of antituberculous 4-aminosalicylic acid: Screening, crystal structures, thermochemical and solubility studies. Eur. J. Pharm. Sci. 2017, 99, 228–239. [Google Scholar] [CrossRef]
- Aitipamula, S.; Wong, A.B.H.; Chow, P.S.; Tan, R.B.H. Novel solid forms of the anti-tuberculosis drug, Isoniazid: Ternary and polymorphic cocrystals. Cryst. Eng. Comm. 2013, 15, 5877–5887. [Google Scholar] [CrossRef]
- Sarcevica, I.; Orola, L.; Veidis, M.V.; Podjava, A.; Belyakov, S. Crystal and Molecular Structure and Stability of Isoniazid Cocrystals with Selected Carboxylic Acids. Cryst. Growth Des. 2013, 13, 1082–1090. [Google Scholar] [CrossRef]
- Sarcevica, I.; Orola, L.N.; Nartowski, K.P.; Khimyak, Y.Z.; Round, A.N.; Fábián, L. Mechanistic and Kinetic Insight into Spontaneous Cocrystallization of Isoniazid and Benzoic Acid. Mol. Pharm. 2015, 12, 2981–2992. [Google Scholar] [CrossRef]
- Álvarez-Vidaurre, R.; Castiñeiras, A.; Frontera, A.; García-Santos, I.; Gil, D.M.; González-Pérez, J.M.; Niclós-Gutiérrez, J.; Torres-Iglesias, R. Weak Interactions in Cocrystals of Isoniazid with Glycolic and Mandelic Acids. Crystals 2021, 11, 328. [Google Scholar] [CrossRef]
- Mashhadi, S.M.A.; Yunus, U.; Bhatti, M.H.; Ahmed, I. Synthesis, characterization, solubility and stability studies of hydrate cocrystal of antitubercular Isoniazid with antioxidant and anti-bacterial Protocatechuic acid. J. Mol. Sci. 2016, 1117, 17–21. [Google Scholar] [CrossRef]
- Fadipe, V.O.; Haruna, M.S.; Opoku, A.R. Isoniazid-oleanolic acid: A new dual drug cocrystal. In Proceedings of the 17th International Conference and Exhibition on Nanomedicine and Nanotechnology in Healthcare, Brisbane, Australia, 23–24 November 2017; p. 8. [Google Scholar]
- Liu, F.; Wang, L.Y.; Yu, M.C.; Li, Y.T.; Wu, Z.Y.; Yan, C.W. A new cocrystal of isoniazid-quercetin with hepatoprotective effect: The design, structure, and in vitro/in vivo performance evaluation. Eur. J. Pharm. Sci. 2020, 144, 105216. [Google Scholar] [CrossRef]
- Rosa, J.; Machado, T.C.; da Silva, A.K.; Kuminek, G.; Bortolluzzi, A.J.; Caon, T.; Cardoso, S.G. Isoniazid-Resveratrol Cocrystal: A Novel Alternative for Topical Treatment of Cutaneous Tuberculosis. Cryst. Growth Des. 2019, 19, 5029–5036. [Google Scholar] [CrossRef]
- Diniz, L.F.; Souza, M.S.; Carvalho, P.S.; da Silva, C.C.P.; D’Vries, R.F.; Ellena, J. Novel isoniazid cocrystals with aromatic carboxylic acids: Crystal engineering, spectroscopy and thermochemical investigations. J. Mol. Struct. 2018, 1153, 58–68. [Google Scholar] [CrossRef]
- Diniz, L.F.; Souza, M.S.; Carvalho, P.S.; Correa, C.C.; Ellena, J. Modulating the water solubility and thermal stability of the anti-tuberculosis drug Isoniazid via multi-component crystal formation. J. Mol. Struct. 2018, 1171, 223–232. [Google Scholar] [CrossRef]
- Swapna, B.; Maddileti, D.; Nangia, A. Cocrystals of the Tuberculosis Drug Isoniazid: Polymorphism, Isostructurality, and Stability. Cryst. Growth Des. 2014, 14, 5991–6005. [Google Scholar] [CrossRef]
- Karimi-Jafari, M.; Ziaee, A.; O’Reilly, E.; Croker, D.; Walker, G. Formation of Ciprofloxacin-Isonicotinic Acid Cocrystal Using Mechanochemical Synthesis Routes-An Investigation into Critical Process Parameters. Pharmaceutics 2022, 14, 634. [Google Scholar] [CrossRef]
- Bandari, S.; Dronam, V.R.; Eedara, B.B. Development and Preliminary Characterization of Levofloxacin Pharmaceutical Cocrystals for Dissolution Rate Enhancement. J. Pharm. Investig. 2017, 47, 583–591. [Google Scholar] [CrossRef]
- Sousa, I.; Claro, V.; Pereira, J.L.; Amaral, A.L.; Cunha-Silva, L.; De Castro, B.; Gameiro, P. Synthesis, Characterization and Antibacterial Studies of a Copper (II) Levofloxacin Ternary Complex. J. Inorg. Biochem. 2012, 110, 64–71. [Google Scholar] [CrossRef]
- Li, Y.; Yin, W.; Li, M.; Zhang, J.; Chen, L. Multi-component Ag/AgCl/Bi2O3/BiFeO3 for the sunlight-induced photocatalytic degradation. J. Environ. Chem. Eng. 2022, 10, 107280. [Google Scholar] [CrossRef]
- Frackowiak, A.; Kaminski, B.; Urbaniak, B.; Derezinski, P.; Klupczynska, A.; Darul-Duszkiewicz, M.; Kokot, Z.J. A study of ofloxacin and levofloxacin photostability in aqueous solutions. J. Med. Sci. 2016, 85, 238–244. [Google Scholar] [CrossRef]
- Shahnavi, I.A.; Bano, R.; Sheraz, M.A.; Ahmed, S. Photodegradation of levofloxacin in aqueous and organic solvents: A kinetic study. Acta Pharm. 2013, 63, 221–227. [Google Scholar]
- Devi, M.L.; Chandrasekhar, K.B. A validated stability-indicating RP-HPLC method for levofloxacin in the presence of degradation products, its process related impurities and identification of oxidative degradant. J. Pharm. Biomed. Anal. 2009, 50, 710–717. [Google Scholar] [CrossRef]
- Czyrski, A.; Sznura, J. The application of box-Behnken-design in the optimization of HPLC separation of fluoroquinolones. Sci. Rep. 2019, 9, 19458. [Google Scholar] [CrossRef]
- Hai, N.T.T.; Marzouqi, F.A.; Selvaraj, R.; Kim, Y. Rapid photocatalytic degradation of acetaminophen and levofloxacin under solar light irradiation. Mater. Res. Express 2020, 6, 125538. [Google Scholar]
- Khalid, F.; Hassan, S.M.F.; Noor, R.; Zaheer, K.; Hassan, F. Possibility of extending biopharmaceutics classification system based biowaiver to BCS class IIa drug. Pak. J. Pharm. Sci. 2019, 32, 2065–2073. [Google Scholar]
- Wang, X.; Du, S.; Zhang, R.; Jia, X.; Yang, T.; Zhang, X. Drug-drug cocrystals: Opportunities and challenges. Asian J. Pharm. Sci. 2021, 16, 307–317. [Google Scholar] [CrossRef]
- Santenna, C.; Kumar, S.; Balakrishnan, S.; Jhaj, R.; Ahmed, S.N. A comparative experimental study of analgesic activity of a novel non-steroidal anti-inflammatory molecule—Zaltoprofen, and a standard drug—Piroxicam, using murine models. J. Exp. Pharmacol. 2019, 11, 85–91. [Google Scholar] [CrossRef]
- Kiran, H.C.; Venkatesh, D.N.; Kumar, R.R. Formulation and Characterisation of Sustained Release Microbeads Loaded with Zaltoprofen. Int. J. Appl. Pharm. 2019, 11, 173–180. [Google Scholar] [CrossRef]
- Cuong, V.P.; Jong-Suep, B.; Jong-Hun, P.; Sang-Hun, J.; Jong-Seong, K.; Cheong, W.C. A Thorough Analysis of the Effect of Surfactant/s on the Solubility and Pharmacokinetics of (S)-Zaltoprofen. Asian J. Pharm. Sci. 2019, 14, 435–444. [Google Scholar]
- Panzade, P.; Shendarkar, G. Superior Solubility and Dissolution of Zaltoprofen via Pharmaceutical Cocrystals. Turk. J. Pharm. Sci. 2019, 16, 310–316. [Google Scholar] [CrossRef]
- Javed, D.; Zafar, S.; Ahmed, S.; Anwar, K.; Arain, M.I.; Shahnaz, S. Evaluation of drug–drug interactions among dental prescriptions at different clinical settings of Sialkot, Punjab, Pakistan. Prof. Med. J. 2019, 26, 859–864. [Google Scholar] [CrossRef]
- Moore, N.; Pollack, C.; Butkerait, P. Adverse drug reactions and drug–drug interactions with over-the-counter NSAIDs. Ther. Clin. Risk. Manag. 2015, 11, 1061–1075. [Google Scholar]
- Weinblatt, M.E. Drug interactions with non-steroidal anti-inflammatory drugs (NSAIDs). Scand. J. Rheumatol. Suppl. 1989, 83, 7–10. [Google Scholar] [CrossRef]
- Werida, R.H.; El-Okaby, A.M.; El-Khodary, N.M. Evaluation of levofloxacin utilization in intensive care units of tertiary care hospital: A retrospective observational study. Drugs Ther. Perspect. 2020, 36, 33–39. [Google Scholar] [CrossRef]
- Shirasaki, T.; Harata, N.; Nakaye, T.; Akaike, N. Interaction of various non-steroidal anti-inflammatories and quinolone antimicrobials on GABA response in rat dissociated hippocampal pyramidal neurons. Brain Res. 1991, 562, 329–331. [Google Scholar] [CrossRef]
- Ma, X.; Zhuang, C.; Wang, B.; Huang, Y.; Chen, Q.; Lin, N. Cocrystal of apigenin with higher solubility, enhanced oral bioavailability, and anti-inflammatory effect. Cryst. Growth Des. 2019, 19, 5531–5537. [Google Scholar] [CrossRef]
- Kumar, V.; Goswami, P.K.; Tewari, S.; Ramanan, A. Multicomponent solids of niflumic and mefenamic acid based on acid-pyridine synthon. Solid State Chem. 2022, 10, 729608. [Google Scholar] [CrossRef]
- Chui, C.S.L.; Chan, E.W.; Wong, A.Y.S.; Root, A.; Douglas, I.J.; Wong, I.C.K. Association between Oral Fluoroquinolones and Seizures. Neurology 2016, 86, 1708–1715. [Google Scholar] [CrossRef]
- Li, H.; Jiang, Z.; Zhao, Q.; Ding, Y. Adverse Reactions of Fluoroquinolones to Central Nervous System and Rational Drug Use in Nursing Care. Pak. J. Pharm. Sci. 2019, 32, 427–432. [Google Scholar]
- Etminan, M.; Brophy, J.M.; Samii, A. Oral Fluoroquinolone Use and Risk of Peripheral Neuropathy: A Pharmacoepidemiologic Study. Neurology 2014, 83, 1261–1263. [Google Scholar] [CrossRef]
- Hakamifard, A.; Mousavi, S.; Gholipour-Shahraki, T.; Mohaghegh, F. Levofloxacin Induced Stomatitis: A Case Report. J. Pharm. Care 2019, 7, 34–36. [Google Scholar] [CrossRef]
- Kherabi, Y.; Frechet-Jachym, M.; Rioux, C.; Yazdanpanah, Y.; Mechai, F.; Pourcher, V.; Robert, J.; Guglielmetti, L.; MDR TB Management Group. Revised Definitions of Tuberculosis Resistance and Treatment Outcomes, France, 2006–2019. Emerg. Infect. Dis. 2022, 28, 1796–1804. [Google Scholar] [CrossRef]
- Biswas, M.; Biswas, S.; Gupta, B.; Mascellino, M.T.; Rakshit, A.; Chakraborty, B. Changing Paradigms in Antibiotic Resistance in Salmonella Species with Focus on Fluoroquinolone Resistance: A 5-Year Retrospective Study of Enteric Fever in a Tertiary Care Hospital in Kolkata, India. Antibiotics 2022, 11, 1308. [Google Scholar] [CrossRef]
- Moazen, J.; Fatemeh, R.Z.; Behzad, H.A. Characterization of Virulence Genes and Antibiotic Resistance of Methicillin-resistant Staphylococcus aureus (MRSA) and Methicillin-susceptible Staphylococcus aureus (MSSA) Isolates in Intensive Care Unit (ICU) and Non-ICU Wards. Trends Med. Sci. 2022, 2, 129037. [Google Scholar] [CrossRef]
- Vo, T.P.M.; Dinh, T.C.; Phan, H.V.; Cao, T.T.M.; Duong, P.T.; Nguyen, T. Ventilator-Associated Pneumonia Caused by Multidrug-Resistant Gram-Negative Bacteria in Vietnam: Antibiotic Resistance; Treatment Outcomes; and Colistin-Associated Adverse Effects. Healthcare 2022, 10, 1765. [Google Scholar] [CrossRef]
- Meiers, J.; Rox, K.; Titz, A. Lectin-Targeted Prodrugs Activated by Pseudomonas aeruginosa for Self-Destructive Antibiotic Release. J. Med. Chem. 2022, 65, 13988–14014. [Google Scholar] [CrossRef]
- Sostres, C.; Gargallo, C.J.; Arroyo, M.T.; Lanas, A. Adverse effects of non-steroidal anti-inflammatory drugs (NSAIDs, aspirin and coxibs) on upper gastrointestinal tract. Best Pract. Res. Clin. Gastroenterol. 2010, 24, 121–132. [Google Scholar] [CrossRef]
- Wongrakpanich, S.; Wongrakpanich, A.; Melhado, K.; Rangaswami, J. A Comprehensive Review of Non-Steroidal Anti-Inflammatory Drug Use in The Elderly. Aging Dis. 2018, 9, 143–150. [Google Scholar] [CrossRef]
- Varga, Z.; Sabzwari, S.R.A.; Vargova, V. Cardiovascular Risk of Nonsteroidal Anti-Inflammatory Drugs: An Under-Recognized Public Health Issue. Cureus 2017, 9, e1144. [Google Scholar] [CrossRef]
- Hao, H.; Jia, X.; Ren, T.; Du, Y.; Wang, J. Novel insight into the mechanism underlying synergistic cytotoxicity from two components in 5-Fluorouracil-phenylalanine cocrystal based on cell metabolomics. Eur. J. Pharm. Biopharm. 2022, 180, 181–189. [Google Scholar] [CrossRef]
- Gooma, M.; Elabdeen, A.Z.; Hifney, A.F.; Adam, M.S. Phytotoxicity of antibiotics and non-steroidal anti-inflammatory drugs to green algae Chlorella sp. and Desmodesmus spinosus: Assessment of combined toxicity by box-Behnken experimental design. Environ. Technol. Innov. 2021, 23, 101586. [Google Scholar] [CrossRef]
- Witika, B.A.; Stander, J.C.; Smith, V.J.; Walker, R.B. Nano Cocrystal Embedded Stimuli-Responsive Hydrogels: A Potential Approach to Treat HIV/AIDS. Pharmaceutics 2021, 13, 127. [Google Scholar] [CrossRef]
- Islam, U.I.; Khan, E.; Naveed, U.M.; Shah, A.; Zahoor, M.; Ullah, R.; Bari, A. Enhancing Dissolution Rate and Antibacterial Efficiency of Azithromycin through Drug-Drug Cocrystals with Paracetamol. Antibiotics 2021, 10, 939. [Google Scholar] [CrossRef]
- Leão, C.; Borges, A.; Simões, M. NSAIDs as a Drug Repurposing Strategy for Biofilm Control. Antibiotics 2020, 9, 591. [Google Scholar] [CrossRef]
- Acebedo-Martínez, F.J.; Alarcón-Payer, C.; Rodríguez-Domingo, L.; Domínguez-Martín, A.; Gómez-Morales, J.; Choquesillo-Lazarte, D. Furosemide/Non-Steroidal Anti-Inflammatory Drug-Drug Pharmaceutical Solids: Novel Opportunities in Drug Formulation. Crystals 2021, 11, 1339. [Google Scholar] [CrossRef]
- McArdle, P. Oscail, a Program Package for Small-Molecule Single-Crystal Crystallography with Crystal Morphology Prediction and Molecular Modelling. J. Appl. Crystallogr. 2017, 50, 320–326. [Google Scholar] [CrossRef]
- Lange, L.; Sadowski, G. Thermodynamic Modeling for Efficient Cocrystal Formation. Cryst. Growth Des. 2015, 15, 4406–4416. [Google Scholar] [CrossRef]
- Khalaji, M.; Potrzebowski, M.K.; Dudek, M.K. Virtual Cocrystal Screening Methods as Tools to Understand the Formation of Pharmaceutical Cocrystals—A Case Study of Linezolid, a Wide-Range Antibacterial Drug. Cryst. Growth Des. 2021, 21, 2301–2314. [Google Scholar] [CrossRef]
- Patel, D.J.; Puranik, P.K. Pharmaceutical Cocrystal: An Emerging Technique to Enhance Physicochemical Properties of Drugs. Int. J. ChemTech Res. 2020, 13, 283–309. [Google Scholar] [CrossRef]
- Chapman, C.J.; Groven, L.J. Evaluation of solvate and cocrystal screening methods for CL-20 containing energetic materials. J. Energetic Mater. 2021, 40, 258–272. [Google Scholar] [CrossRef]
- Hao, Y.; Hung, Y.C.; Shimoyama, Y. Investigating Spatial Charge Descriptors for Prediction of Cocrystal Formation Using Machine Learning Algorithms. Cryst. Growth Des. 2022, 22, 6608–6615. [Google Scholar] [CrossRef]
- Zhou, J.H.; Zhao, L.; Shi, L.W.; Luo, P.C. Two models to estimate the density of organic cocrystals. RSC Adv. 2021, 11, 12066–12073. [Google Scholar] [CrossRef]
- Gervasoni, S.; Malloci, G.; Bosin, A.; Vargiu, A.V.; Zgurskaya, H.I.; Ruggerone, P. Recognition of quinolone antibiotics by the multidrug efflux transporter MexB of Pseudomonas aeruginosa. Phys. Chem. Chem. Phys. 2022, 24, 16566–16575. [Google Scholar] [CrossRef]
- Sharma, V.; Mishra, P.; Sharma, A.; Dutt, R.; Shankhwar, V.; Prajapati, P.; Agarwal, D.D. Synthesis, Electrochemical Studies, Molecular Docking, and Biological Evaluation as an Antimicrobial Agent of 5-Amino-6-cyano-3-hydroxybenzo[c]coumarin Using Ni-Cu-Al-CO3 Hydrotalcite as a Catalyst. ACS Omega 2022, 7, 15718–15727. [Google Scholar] [CrossRef]
- Sheldrick, G.M. SHELXT—Integrated space-group and crystal-structure determination. Acta Crystallogr. 2015, 71, 3–8. [Google Scholar] [CrossRef]
- Macrae, C.F.; Sovago, I.; Cottrell, S.J.; Galek, P.T.A.; McCabe, P.; Pidcock, E.; Platings, M.; Shields, G.P.; Stevens, J.S.; Towler, M.; et al. Mercury 4.0: From Visualization to Analysis, Design and Prediction. J. Appl. Crystallogr. 2020, 53, 226–235. [Google Scholar] [CrossRef]
- Fukte, S.R.; Wagh, M.P.; Rawat, S. Coformer Selection: An Important Tool in Co-crystal Formation. Int. J. Pharm. Sci. 2014, 6, 9–14. [Google Scholar]
- Aitipamula, S.; Tan, B.H. Pharmaceutical co-crystals: Crystal engineering and applications. In Multi-Component Crystals: Synthesis, Concepts, Function; Tiekink, E.R., Schpector, J.Z., Eds.; De Gruyter: Berlin, Germany, 2018; pp. 1–27. [Google Scholar]
- Loschen, C.; Klamt, A. Solubility Prediction, Solvate and Cocrystal Screening as Tools for Rational Crystal Engineering. J. Pharm. Pharmacol. 2015, 67, 803–811. [Google Scholar] [CrossRef]
- Duggirala, N.K.; Perry, M.L.; Almarsson, O.; Zaworotko, M.J. Pharmaceutical cocrystals: Along the path to improved medicines. Chem. Commun. 2016, 52, 640–655. [Google Scholar] [CrossRef]
- Nagalapalli, R.; Shankar, Y.G. Synthesis, Crystal Structure, and Hirshfeld Surface Analysis of Ciprofloxacin-Salicylic Acid Molecular Salt. J. Crystallogr. 2014, 2014, 936174. [Google Scholar] [CrossRef]
- Awwadi, F.F.; Dahabiyeh, L.A.; Hamdan, I.I. Trimolecular Co-crystals of Ciprofloxacin, p-Coumaric Acid, and Benzoic Acid or Salicylic Acid. J. Chem. Crystallogr. 2022, 52, 304–314. [Google Scholar] [CrossRef]
| No. | Antibiotics Group | Indication | Pharmacokinetic | Stability | Reference |
|---|---|---|---|---|---|
| 1. | Sulfonamides (sulfisoxazole, sulfadiazine, sulfasalazine, sulfacetamide, mafenide, silver sulfadiazine, sulfadoxine) | Urinary tract infections, respiratory tract infections, gastrointestinal infections, pneumonia | 70% to 100% of an oral dose is absorbed | [48] | |
| 2. | Trimethoprim | Urinary tract infections, respiratory tract infections, gastrointestinal infections, pneumonia | Distributed and concentrated rapidly in tissues, about 40% is bound to plasma protein. | [48] | |
| 3. | Sulfamethoxazole | Urinary tract infections, respiratory tract infections, gastrointestinal infections, pneumonia | About 65% is bound to plasma protein. | [48] | |
| 4. | Quinolone (nalidixic acid, ciprofloxacin, norfloxacin, levofloxacin, moxifloxacin, gatifloxacin, ofloxacin, pefloxacin) | Urinary tract infections, respiratory tract infections, gastrointestinal and abdominal infections, pneumonia, against anaerobic bacteria | They are well absorbed after oral administration and are distributed widely in body tissues. | Photosensitivity, hygroscopicity. | [48] |
| 5. | Penicillins (penicillin G, penicillin V, ampicillin, amoxicillin) | Pneumococcal infections, Streptococcal infections, upper respiratory infections, urinary tract infections, and meningitis against anaerobic bacteria | Absorbed rapidly | [41] | |
| 6. | Cephalosporine (cefazolin, cefadroxil, cefoxitin, cefotetan, cefmetazole, ceftazidime, cefoperazone, cefepime) | Penicillin-resistant skin and soft tissue infections, respiratory tract infections, meningitis | Absorbed readily | [41] | |
| 7. | Aminoglycosides (gentamicin, tobramycin, amikacin, netilmicin, kanamycin, streptomycin, neomycin) | Bacterial endocarditis, tularemia, plague, tuberculosis, urinary tract infections, meningitis, peritoneal dialysis-associated peritonitis, sepsis | Very poorly absorbed from the gastrointestinal tract. | [44] | |
| 8. | Macrolides (erythromycin, clarithromycin, azithromycin) | Pneumonia, gonorrhea, pharyngitis, skin and skin-structure infections, sexually transmitted disease, diphtheria, pertussis | Erythromycin is absorbed adequately from the upper small intestine, and clarithromycin and azithromycin are absorbed rapidly from the gastrointestinal tract | [43] | |
| 9. | Clindamycin | Anaerobic bacterial infections, encephalitis | Nearly wholly absorbed following oral administration. | [43] | |
| 10. | Quinupristin/Dalfopristin | Vancomycin-resistant infections, complicated skin and skin structure infections, nosocomial pneumonia, methicillin-resistant infections | Administered by intravenous infusion | [43] | |
| 11. | Linezolid | Vancomycin-resistant infections, nosocomial pneumonia, community-acquired pneumonia, skin and skin structure infections | Well absorbed after oral administration, oral bioavailability approaching 100% | [43] | |
| 12. | Vancomycin | Pneumonia, empyema, endocarditis, osteomyelitis, soft-tissue abscesses, severe staphylococcal infections in patients who are allergic to penicillins and cephalosporins | It is poorly absorbed after oral administration, administered intravenously. | [49] | |
| 13. | Teicoplanin | Osteomyelitis, endocarditis | Administered intramuscularly, highly bound by plasma proteins (90–95%) | [1] | |
| 14. | Daptomycin | Complicated skin and skin structure infections, endocarditis, complicated bacteremia | It is poorly absorbed orally and administered intravenously. | [1] | |
| 15. | Bacitracin | Furunculosis, pyoderma, carbuncle, impetigo, superficial and deep abscesses, eczema, infected dermal ulcers | Administered topically | [1] | |
| 16. | Polymyxin | Multiple drug-resistant organisms infections, skin infections, external otitis, corneal ulcers infections | Administered topically, not absorbed when given orally, poorly absorbed from mucous membranes | [1] | |
| 17. | Mupirocin | Traumatic skin lesions, impetigo secondary infections, nosocomial infections, skin or soft tissue infections | minimal systemic absorption through intact skin or skin lesion; any absorbed drug is rapidly metabolized to inactive monic acid | [1] |
| No. | Antibiotic Multi-Component | Structure | Preparation Method | Advantages | Other Information | Reference |
|---|---|---|---|---|---|---|
| 1. | Berberine chloride–fumaric acid 1:1 | ![]() | SL and SE at 20 °C | Better taste for an oral dose, increased stability towards temperature and humidity. | [74] | |
| 2. | Nitrofurantoin-melamine 1:1 | ![]() | SE at room temperature | Increased nitrofurantoin’s stability | [75] | |
| 3. | Cefixime–nicotinamide 1:1 | ![]() | LAG | Improved solubility, dissolution, and permeability. | [76] | |
| 4. | Pyrazinamide–hydroxybenzoic acid 1:3 | ![]() | SE at room temperature using 20 mL methanol | Increased stability | [68] | |
| 5. | Pyrazinamide–1,4-dibromotetrafluorobenzene 2:1 | ![]() | NG | New structure catalog | [77] | |
| 6. | Prothionamide–phloroglucinol 1:1 | ![]() | SE | Improved solubility | [78] | |
| 7. | Prothionamide–hydroquinone 1:1 | ![]() | SE | Improved solubility | [79] | |
| 8. | Prothionamide–acid substituents (adipic acid, oxalic acetate, fumaric acid) | ![]() | SE | Improved solubility | [79] | |
| 9. | Sulfamethoxazole–succinimide 1:1 | ![]() | LAG using acetonitrile and SE at room temperature using ethyl acetate | Increased stability | [60] | |
| 10. | Trimethoprim-2,4 diaminopyrimidines | ![]() | SE at room temperature | Increased stability | [80] | |
| 11. | Cephalosporin–thymol | ![]() | SE under a fume hood at room temperature | [81] | ||
| 12. | Isoniazid–acid substituents (2,3-dihydroxybenzoic acid, 2,4-dihydroxycinnamic acid, 2,4-dihydroxybenzoic acid, 2-chloro-4-nitro benzoic acid, hydroxycinnamic acid) = 1:1 | ![]() | SE, LAG | New structure catalog | Antimicrobial effect decreases | [82] |
| 13. | Isoniazid-2-methyl resorcinol-water 1:1:1 (And isoniazid with catechol, orcinol, pyrogallol, and phloroglucinol). | ![]() | LAG with dichloromethane | New structure catalog | A cocrystal hydrate | [83] |
| 14. | Isoniazid–catechol 1:1 | ![]() | LAG with dichloromethane | Enhanced stability | [83] | |
| 15. | Isoniazid–orcinol 1:1 | ![]() | LAG with dichloromethane | New structure catalog | [83] | |
| 16. | Isoniazid–3-hydroxycinnamic acid 1:1 | ![]() | SE in methanol | New structure catalog | [82] | |
| 17. | Isoniazid–3,4-dihydroxycinnamic acid 1:1 | LAG with methanol | The solubility of neutral multi-component systems tends to increase with increasing solubility of carboxylic acid structure. | Three forms: LAG with acetonitrile and further grinding gave form II. Form III was obtained by xylene/methanol SE at room temp. | [82] | |
| 18. | Isoniazid–3,5-dihydroxybenzoic acid-water 1:1:1 | SE at room temp. In 2:1 ethanol: acetonitrile | New structure catalog | [84] | ||
| 19. | Isoniazid–3-hydroxybenzoic acid–water 1:1:1 | ![]() | SE at room temp. In 2:1 ethanol: acetonitrile | New structure catalog | [84] | |
| 20. | Isoniazid–adipic acid 2:1 | SE at room temp. Using methanol | Enhanced stability | [84] | ||
| 21. | Isoniazid–glutaric acid 1:1 | SE at room temp. Using methanol | New structure catalog | [84] | ||
| 22. | Isoniazid–malonic acid 2:1 | SE at room temp. Using methanol | Lower solubility and dissolution rate | [84] | ||
| 23. | Isoniazid–pimelic acid 1:1 | SE at room temp. Using methanol | Lower solubility compared to isoniazid; higher stability than isoniazid; structure. | [84] | ||
| 24. | Isoniazid–4-hydroxycinnamic acid 1:1 | ![]() | SE in methanol | The solubility of neutral multi-component systems tends to increase with the increasing solubility of carboxylic acid. | [85] | |
| 25. | Isoniazid–3-hydroxybenzoic acid- 2-butanone 1:1:1 | SE at room temp. Using 2-butanone | New structure catalog | [86] | ||
| 26. | Isoniazid–3-hydroxybenzoic acid- acetone 1:1:1 | ![]() | SE at room temp. Using acetone | Enhanced solubility and aqueous stability | [86] | |
| 27. | Isoniazid–4-aminosalicylic acid 1:1 | ![]() | NG; LAG; SE using methanol | New structure catalog. | The hydrates have lower solubility and dissolution rates. | [87] |
| 28. | Isoniazid–fumaric acid-pyrazinamide 1:1:1 | ![]() | SE | Antioxidant, possibly shows an enhancement of stability for FDC | Drug–bridge–drug/ternary cocrystal | [88] |
| 29. | Isoniazid–nicotinamide- fumaric acid 1:1:1 | ![]() | SE at room temp. Using methanol | Possible hepatoprotective effect | A ternary cocrystal | [88] |
| 30. | Isoniazid–nicotinamide-succinic acid 1:1:1 | ![]() | SE at room temp. Using methanol | New structure catalog | A ternary cocrystal | [88] |
| 31. | Isoniazid–sebacic acid 2:1 | ![]() isoniazid—dicarboxylic acid (i.e., fumaric acid, sebacic acid, suberic acid) | SE in ethanol/acetonitrile (2:1 mixture) | Slower drug release; hepatoprotective effect | [89] | |
| 32. | Isoniazid–suberic acid 2:1 | SE in ethanol/acetonitrile (2:1 mixture) | Enhanced stability | [89] | ||
| 33. | Isoniazid–suberic acid 1:1 | SE in acetonitrile/methyl tert-butyl ether | Enhanced stability | [89] | ||
| 34. | Isoniazid–4-hydroxybenzoic acid-water (1:1:1 & 1:1:2) | ![]() isoniazid with monocarboxylic acid (gallic acid, benzoic acid, cinnamic acid, ferulic acid, gentisic acid, glycolic acid, protocatechuic acid, mandelic acid, oleanolic acid). | SE at room temp. | New structure catalog | [84] | |
| 35. | Isoniazid–gallic acid 1:1 | SE in 2:1 ethanol: acetonitrile; at room temp. | New structure catalog | [86] | ||
| 36. | Isoniazid–benzoic acid 1:1 | SE in ethanol/acetonitrile (2:1 mixture); ball milling | New structure catalog | [89,90] | ||
| 37. | Isoniazid–cinnamic acid 2:1 | SE in ethanol/acetonitrile (2:1 mixture) or LAG | Lower solubility and dissolution rate | Two polymorphs | [89] | |
| 38. | Isoniazid–ferulic acid 1:1 | LAG in acetonitrile, further grinding resulted in Form 2, or by heating Form I to 130 °C for 30 min | Enhanced formulation and in-vitro/in-vivo synergistic effects | Two polymorphs | [86] | |
| 39. | Isoniazid–gentisic acid 1:1 | SE in methanol | New structure catalog | [86] | ||
| 40. | Isoniazid–glycolic acid 1:1 | LAG | New structure catalog | A salt cocrystal | [91] | |
| 41. | Isoniazid–protocatechuic acid (3,4-dihydroxybenzoic acid)–water 1:1:1 | SE at room temp. In methanol and water (1:1) | Slower drug release; hepatoprotective effect; enhanced bioavailability of quercetin | A hydrate | [92] | |
| 42. | Isoniazid–mandelic acid 1:1 | LAG | Similar solubility | [86,91] | ||
| 43. | Isoniazid–oleanolic acid 1:1 | SE, LAG, and NG | New structure catalog | [93] | ||
| 44. | Isoniazid–fumaric acid 1:1 | SE at room temp. Using methanol | New structure catalog | Two forms /polymorphs | [88] | |
| 45. | Isoniazid–phloroglucinol 1:1 | ![]() | LAG | New structure catalog | [83] | |
| 46. | Isoniazid–pyrogallol 1:1 | ![]() | LAG with dichloromethane | Enhanced isoniazid stability | [83] | |
| 47. | Isoniazid–quercetin 1:1 | ![]() | Anti-solvent using 2-propanol/n-hexane; LAG, followed by SE. | Lower solubility, local effect on the skin, the neutral multi-component system reduced the amount of permeated drug. | [94] | |
| 48. | Isoniazid–resorcinol | ![]() | LAG using acetonitrile | The solubility of neutral multi-component systems tends to increase with increasing solubility of carboxylic acid; structure. | [94] | |
| 49. | Isoniazid–resveratrol 1:1 | ![]() | Reaction and crystallization using methanol | New structure catalog | Reactant products from isoniazid–resveratrol | [95] |
| 50. | Isoniazid–p-aminobenzoic acid 1:2 | ![]() | Two forms: Form I at 25 °C & II at −5 °CSE in 2:1 ethanol: acetonitrile | New structure catalog | [96] | |
| 51. | Isoniazid–p-cyanobenzoic acid 1:1 | ![]() | SE in 2:1 ethanol: acetonitrile | New structure catalog | [96] | |
| 52. | Isoniazid–p-nitrobenzoic acid 1:1 | ![]() | SE in ethanol | New structure catalog | [96] | |
| 53. | Isoniazid-oxalate 1:1 | Isoniazid salts exhibit layered structures stabilized by N-H⋯O, C-H⋯O and π⋯π interactions.![]() ![]() | SE | Increases solubility and thermal stability | [97] | |
| 54. | Isoniazid-maleate 1:1 | SE | Increases solubility | [97] | ||
| 55. | Isoniazid–mesylate 1:1 | SE | Increases solubility and thermal stability | [97] | ||
| 56. | Isoniazid with–vanillic acid, ferulic acid, caffeic acid, and resorcinol | All cocrystal structures are sustained by the expected acid–pyridine synthon except the isostructural cocrystals, with the hydroxyl–pyridine synthon. | Grinding, slurry, heating | Increase solubility | [98] | |
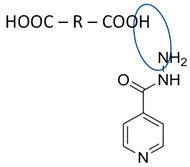
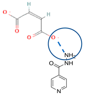
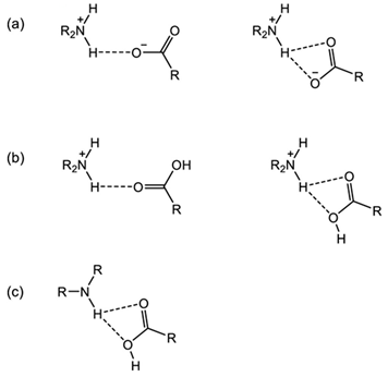
| 57. | Ciprofloxacin, norfloxacin, and enrofloxacin with the α, ω-dicarboxylic acids glutaric acid, adipic acid, pimelic acid, suberic acid, azelaic acid, and sebacic acid. | ![]() All salts and cocrystals contain the robust R2NH2+…–OOC or R3NH+…–OOC synthon. ![]() The reaction resulted in 27 new molecular salts and ternary molecular ionic cocrystals of compositions A+B−, A2+B2−, A2+B2−B, and A+B−A. | Solvent evaporation, LAG, and ball milling. | Increase solubility | Different stoichiomorphs, solvates, or polymorphs were obtained depending on the solvent. For example, the milled sample nor/az (1:1) was shown to gel the GRAS (generally recognized as safe) solvent propylene glycol, and enro/sub (1:1) was established into a gel xontaining both propylene glycol and water. | [9] |
| 58. | Ciprofloxacin–tolfenamic acid 1:1 | ![]() | LAG | It enhanced the solubility of NSAIDs and ciprofloxacin’s stability. | [30] | |
| 59. | Ciprofloxacin–dexketoprofen 1:1 | ![]() | LAG | Enhanced the solubility of NSAIDs and ciprofloxacin’s stability. | [30] | |
| 60. | Ciprofloxacin–ketoprofen 1:1 | ![]() | LAG | Enhanced the solubility of NSAIDs and ciprofloxacin’s stability. | [30] | |
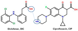
| 61. | Ciprofloxacin–diclofenac 1:1 | ![]() | LAG | Enhanced the solubility of NSAIDs and ciprofloxacin’s stability; better efficiency (same antibiotic potency with reduced dosage) | [30] | |
| 62. | Ciprofloxacin–mefenamic acid 1:1 | ![]() | LAG | Enhanced solubility and thermal stability | [30] | |
| 63. | Ciprofloxacin–sulindac 1:1 | ![]() | LAG | Enhanced solubility and thermal stability | [30] | |
| 64. | Ciprofloxacin–salicylic acid 1:1 | ![]() | SE in a fume hood using methanol-water (1:1) | Increased solubility and dissolution | [31] | |
| 65. | Ciprofloxacin–salicylic acid–water (1:1:1) | ![]() | SE and FE | Increased stability and solubility | [31] | |
| 66. | Ciprofloxacin–salicylic acid–water (1:1:1.75) | ![]() | SE and FE | Increased stability towards humidity and solubility | [65] | |
| 67. | Ciprofloxacin–sodium-isonicotinic acid 1:1 | ![]() | NG | Improved solubility | [61,99] | |
| 68. | Ciprofloxacin–acid substituents (dihydrobenzoic acid, 2-barbituric acid, barbituric acid, salicylic acid) 1:1 | ![]() | SE at room temperature | Increased solubility and stability | Adverse effect: The synergetic effect decreases as the dose increases | [11,51] |
| 69. | Levofloxacin–metacetamol 1:1 | ![]() | FE at 120 °C and SE at room temperature | Increased photostability against lighting and humidity | [26] | |
| 70. | Levofloxacin–citric acid 1:1 and 2,6-and 3,5-dihydroxybenzoic acid | ![]() | FE at 70–80 °C and SE at room temperature | Increased photostability and antibacterial effect | [6,7] | |
| 71. | Levofloxacin–sodium saccharin 1:1 | ![]() | FE at 40 ± 2 °C in ethanol | Increased photostability and antibacterial effect | homosynthon interaction | [100] |
| 72. | Levofloxacin–sodium saccharine 2:1 | ![]() | SE | Increased solubility | [100] | |
| 73. | Levofloxacin–stearic acid 1:1 | ![]() | SE | Increased solubility | [100] | |
| 74. | Levofloxacin–metal copper 1:1 | ![]() ![]() | FE at 75 mBar and SE at room temperature using water-ethanol 1:1 | Increased stability | [101] | |
| 75. | Levofloxacin with metal transition (manganese, cobalt, nickel, copper, and zinc) 2:1. | Increased stability and immunomodulator | [29] | |||
| 76. | Levofloxacin–phthalimide–caffeic acid 1:1 | ![]() | SE | Increased stability | [53] | |
| 77. | Levofloxacin hydrochloride -Ag+ ion 1:1 | ![]() | Complexation reaction | Increased photocatalysis | The antimicrobial effect was also increased | [102] |
Disclaimer/Publisher’s Note: The statements, opinions and data contained in all publications are solely those of the individual author(s) and contributor(s) and not of MDPI and/or the editor(s). MDPI and/or the editor(s) disclaim responsibility for any injury to people or property resulting from any ideas, methods, instructions or products referred to in the content. |
© 2023 by the authors. Licensee MDPI, Basel, Switzerland. This article is an open access article distributed under the terms and conditions of the Creative Commons Attribution (CC BY) license (https://creativecommons.org/licenses/by/4.0/).
Share and Cite
Nugrahani, I.; Herawati, D.; Wibowo, M.S. The Benefits and Challenges of Antibiotics–Non-Steroidal Anti-Inflammatory Drugs Non-Covalent Reaction. Molecules 2023, 28, 3672. https://doi.org/10.3390/molecules28093672
Nugrahani I, Herawati D, Wibowo MS. The Benefits and Challenges of Antibiotics–Non-Steroidal Anti-Inflammatory Drugs Non-Covalent Reaction. Molecules. 2023; 28(9):3672. https://doi.org/10.3390/molecules28093672
Chicago/Turabian StyleNugrahani, Ilma, Diar Herawati, and Marlia Singgih Wibowo. 2023. "The Benefits and Challenges of Antibiotics–Non-Steroidal Anti-Inflammatory Drugs Non-Covalent Reaction" Molecules 28, no. 9: 3672. https://doi.org/10.3390/molecules28093672
APA StyleNugrahani, I., Herawati, D., & Wibowo, M. S. (2023). The Benefits and Challenges of Antibiotics–Non-Steroidal Anti-Inflammatory Drugs Non-Covalent Reaction. Molecules, 28(9), 3672. https://doi.org/10.3390/molecules28093672


























































