In Vivo Neuropharmacological Effects of Neophytadiene
Abstract
1. Introduction
2. Results
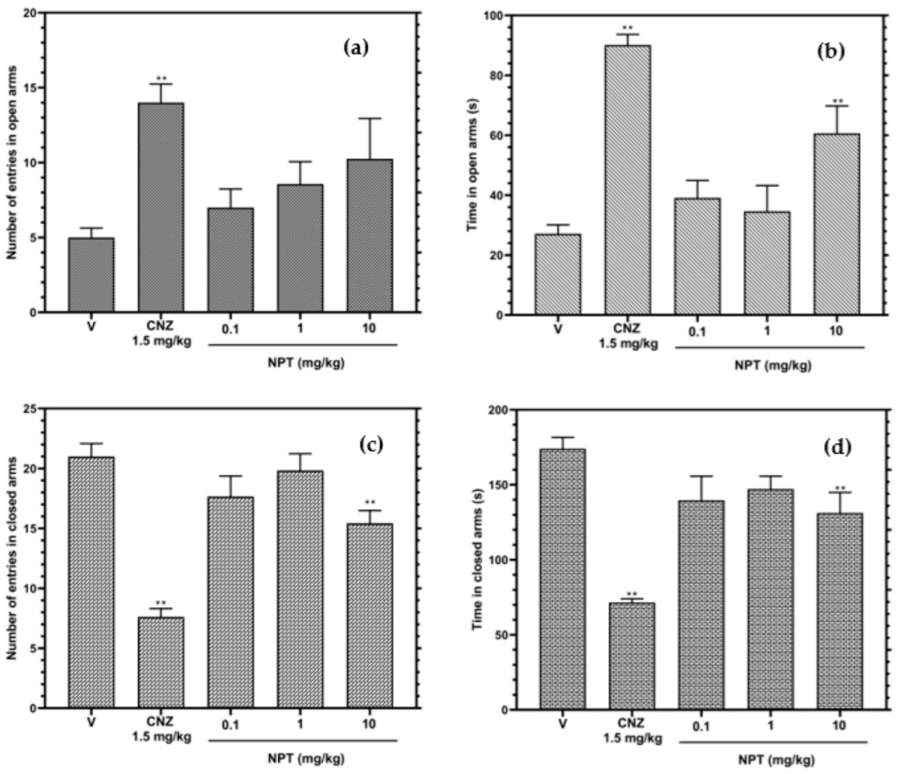
2.1. Anxiolytic-like Activity of NPT and Its Possible Mechanism of Action
2.2. Anticonvulsant Activity and Possible Mechanism of Action
2.3. Antidepressant Effects
2.4. Sedative Effects and Locomotor Actions
3. Discussion
4. Materials and Methods
4.1. Drugs
4.2. Animals
4.3. Pharmacological Treatment
4.4. Light–Dark Box Test (LDBT)
4.5. Elevated Plus-Maze Test (EPMT)
4.6. Open Field Test (OFT)
4.7. Hole–Board Test (HBT)
4.8. Molecular Docking Study of Neophytadiene
4.9. Convulsion Test
4.10. Tail Suspension Test (TST)
4.11. Pentobarbital-Induced Sleeping Test
4.12. Rotarod Test
4.13. Statistical Analysis of Data
5. Conclusions
Author Contributions
Funding
Institutional Review Board Statement
Informed Consent Statement
Data Availability Statement
Acknowledgments
Conflicts of Interest
Sample Availability
References
- Feigin, V.L. The Evolution of Neuroepidemiology: Marking the 40-Year Anniversary of Publishing Studies on Epidemiology of Neurological Disorders. Neuroepidemiology 2022, 56, 2–3. [Google Scholar] [CrossRef]
- Rauf, A.; Rahman, M.M. Potential therapeutics against neurological disorders: Natural products-based drugs. Front. Pharmacol. 2022, 13, 3178. [Google Scholar] [CrossRef] [PubMed]
- Hossen, M.A.; Ali Reza, A.S.M.; Amin, M.B.; Nasrin, M.S.; Khan, T.A.; Rajib, M.H.R.; Tareq, A.M.; Haque, M.A.; Rahman, M.A.; Haque, M.A. Bioactive metabolites of Blumea lacera attenuate anxiety and depression in rodents and computer-aided model. Food Sci. Nutr. 2021, 9, 3836–3851. [Google Scholar] [CrossRef]
- Kaur, J.; Famta, P.; Famta, M.; Mehta, M.; Satija, S.; Sharma, N.; Vyas, M.; Khatik, G.L.; Chellappan, D.K.; Dua, K. Potential anti-epileptic phytoconstituents: An updated review. J. Ethnopharmacol. 2021, 268, 113565. [Google Scholar] [CrossRef] [PubMed]
- Moniruzzaman, M.; Mannan, M.A.; Hossen Khan, M.F.; Abir, A.B.; Afroze, M. The leaves of Crataeva nurvala Buch-Ham. modulate locomotor and anxiety behaviors possibly through GABAergic system. BMC Complement. Altern. Med. 2018, 18, 283. [Google Scholar] [CrossRef]
- Tchekalarova, J.; Freitas, R.M. Effect of Diterpene Phytol on Pentlylentetrazol and Maximal Electroshock Seizure Models: Possible Role of GABAergic Mechanism. Pharmacologia 2014, 5, 351–356. Available online: https://scialert.net/abstract/?doi=pharmacologia.2014.351.356 (accessed on 20 February 2023).
- Ngobeni, B.; Mashele, S.S.; Malebo, N.J.; Watt, E.V.D.; Manduna, I.T. Disruption of microbial cell morphology by Buxus macowanii. BMC Complement. Med. Ther. 2020, 20, 266. [Google Scholar] [CrossRef]
- Swamy, M.K.; Arumugan, G.; Kaur, R.; Ghasemzadeh, A.; Yusoff, M.M.; Sinniah, U.R. GS-MS Based Metabolite Profiling, Antioxidant and Antimicrobial Propierties of Different Solvent Extracts of Malaysian Plectranthus amboinicus Leaves. Evid.-Based Complement. Altern. Med. 2017, 2017, 1517683. [Google Scholar] [CrossRef]
- Kazemi, M. Phenolic profile, antioxidant capacity and anti-inflammatory activity of Anethum graveolens L. essential oil. Natural. Prod. Res. 2015, 29, 551–553. [Google Scholar] [CrossRef]
- Chandan, G.; Kumar, C.; Verma, M.K.; Satti, N.K.; Saini, A.K.; Saini, R.V. Datura stramonium essential oil composition and it’s immunostimulatory potential against colon cancer cells. 3 Biotech 2020, 10, 451. [Google Scholar] [CrossRef] [PubMed]
- Sajid, M.; Khan, M.R.; Ljaz, M.U.; Ismail, H.; Bhatti, M.Z.; Shah, S.A.; Ali, S.; Tareen, M.U.; Alotaibi, S.S.; Albogami, S.M.; et al. Evaluation of Phytochemistry and Pharmacological Properties of Alnus nitida. Molecules 2022, 27, 4582. [Google Scholar] [CrossRef]
- Shah, M.D.; Maran, B.A.V.; Shaleh, S.R.M.; Zuldin, W.H.; Gnanaraj, C.; Yong, Y.S. Therapeutic Potential and Nutraceutical Profiling of North Bornean Seaweeds: A Review. Mar. Drugs 2022, 20, 101. [Google Scholar] [CrossRef] [PubMed]
- Bhardwaj, M.; Sali, V.K.; Mani, S.; Vasanthi, H.R. Neophytadiene from Turbinaria ornate Suppresses LPS-Induced Inflammatory Response in RAW 264.7 Macrophages and Sprague Dawley Rats. Inflammation 2020, 43, 937–950. [Google Scholar] [CrossRef] [PubMed]
- Al-Rajhi, A.M.H.; Qanash, H.; Almuhayawi, M.S.; Al Jaouni, S.K.; Bakri, M.M.; Ganash, M.; Salama, H.M.; Selim, S.; Abdelghany, T.M. Molecular Interaction Studies and Phytochemical Characterization of Mentha pulegium L. Constituents with Multiple Biological Utilities as Antioxidant, Antimicrobial, Anticancer and Anti-Hemolytic Agents. Molecules 2022, 27, 4824. [Google Scholar] [CrossRef] [PubMed]
- Venkata, R.B.; Samuel, L.A.; Pardha, S.M.; Narashimha, R.B.; Naga, V.K.A.; Sudhakar, M.; Radhakrishnan, T.M. Antibacterial, antioxidant activity and GS-MS Analysis of Eupatorium odoratum. Asian J. Pharm. Clin. Res. 2012, 5 (Suppl. S2), 99–106. [Google Scholar]
- Calvo, M.I.; Cavero, R.Y. Medicinal plants used for neurological and mental disorders in Navarra and their validation from official sources. J. Ethnopharmacol. 2015, 169, 263–268. [Google Scholar] [CrossRef] [PubMed]
- Rosso, M.; Wirz, R.; Loretan, A.V.; Sutter, N.A.; Pereira da Cunha, C.T.; Jaric, I.; Würbel, H.; Voelkl, B. Reliability of common mouse behavioral test of anxiety: A systematic review and meta-analysis on the effects of anxiolytics. Neurosci. Biobehav. Rev. 2022, 143, 104928. [Google Scholar] [CrossRef]
- Bustos-Gómez, C.I.; Gasca-Martínez, D.; Yáñez-Barrientos, E.; Hidalgo-Figueroa, S.; Gonzalez-Rivera, M.L.; Barragan-Galvez, J.C.; Zapata-Morales, J.R.; Isiordia-Espinoza, M.; Corrales-Escobosa, A.R.; Alonso-Castro, A.J. Neuropharmacological Activities of Ceiba aesculifolia (Kunth) Britten & Baker f (Malvaceae). Pharmaceuticals 2022, 15, 1580. [Google Scholar] [CrossRef]
- Basit, H.; Kahwaji, C.I. Clonazepam. [Updated 2022 Sep 1]; StatPearls Publishing: Treasure Island, FL, USA, 2022. Available online: https://www.ncbi.nlm.nih.gov/books/NBK556010/ (accessed on 20 February 2023).
- Maione, F.; Bonito, M.C.; Colucci, M.; Cozzolino, V.; Bisio, A.; Romussi, G.; Cicala, C.; Pieretti, S.; Mascolo, N. First evidence for an anxiolytic effect of a diterpenoid from Salvia cinnabarina. Nat. Prod. Commun. 2009, 4, 469–472. [Google Scholar] [CrossRef]
- Abdelhalim, A.; Karim, N.; Chebib, M.; Aburjai, T.; Khan, I.; Johnston, G.A.; Hanrahan, J. Antidepressant, Anxiolytic and Antinociceptive Activities of Constituents from Rosmarinus officinalis. J. Pharm. Pharm. Sci. 2015, 18, 448–459. [Google Scholar] [CrossRef]
- Alba-Betancourt, C.; Sánchez-Recillas, A.; Alonso-Castro, A.J.; Esquivel-Juárez, D.; Zapata-Morales, J.R.; Yáñez-Pérez, V.; Álvarez-Camacho, D.; Medina-Rivera, Y.E.; González-Chávez, M.M.; Gasca-Martínez, D.; et al. Antidiarrheal, vasorelaxant, and neuropharmacological actions of the diterpene tilifodiolide. Drug Dev. Res. 2019, 80, 981–991. [Google Scholar] [CrossRef] [PubMed]
- Ortiz-Mendoza, N.; Zavala-Ocampo, L.M.; Martínez-Gordillo, M.J.; González-Trujano, M.E.; Peña, F.A.B.; Rodríguez, I.J.B.; Chávez, J.A.R.; Dorazco-González, A.; Aguirre-Hernández, E. Antinociceptive and anxiolytic-like effects of a neo-clerodane diterpene from Salvia semiatrata aerial parts. Pharm. Biol. 2020, 58, 620–629. [Google Scholar] [CrossRef] [PubMed]
- Gallo, A.T.; Hulse, G.K. A theory of the anxiolytic action of flumazenil in anxiety disorders. J. Psychopharmacol. 2022, 36, 439–448. [Google Scholar] [CrossRef] [PubMed]
- Tang, X.H.; Diao, Y.G.; Ren, Z.Y.; Zang, Y.Y.; Zhang, G.F.; Wang, X.M.; Duan, G.F.; Shen, J.C.; Hashimoto, K.; Zhou, Z.Q.; et al. A role of GABAA receptor α1 subunit in the hippocampus for rapid-acting antidepressant-like effects of ketamine. Neuropharmacology 2023, 225, 109383. [Google Scholar] [CrossRef] [PubMed]
- Fathalizade, F.; Baghani, M.; Khakpai, F.; Fazli-Tabei, S.; Zarrindast, M.R. GABA-ergic agents modulated the effects of histamine on the behavior of male mice in the elevated plus maze test. Exp. Physiol. 2022, 107, 233–242. [Google Scholar] [CrossRef]
- Sivilotti, M.L. Flumazenil, naloxone and the ‘coma coktail’. Br. J. Clin. Pharmacol. 2016, 81, 428–436. [Google Scholar] [CrossRef]
- Zhao, M.; McGarry, L.M.; Ma, H.; Harris, S.; Berwick, J.; Yuste, R.; Schwartz, T.H. Optical triggered seizures using a caged 4-Aminopyridine. Front. Neurosci. 2015, 9, 25. [Google Scholar] [CrossRef]
- Muhizi, T.; Green, I.R.; Amabeoku, G.J.; Bienvenu, E. An Anticonvulsant Diterperne Lactone Isolated From the Leaves of Leonotis leonorus (L) R.BR. East Cent. Afr. J. Pharm. Sci. 2005, 8, 54–61. [Google Scholar] [CrossRef]
- Alonso-Castro, A.J.; Gasca-Martínez, D.; Cortez- Mendoza, L.V.; Alba-Betancourt, C.; Ruiz-Padilla, A.J.; Zapata-Morales, J.R. Evaluation of the neuropharmacological effects of Gardenin A in mice. Drug Dev. Res. 2020, 81, 600–608. [Google Scholar] [CrossRef]
- Wasowski, C.; Marder, M. Central nervous system activities of two diterpenes isolated from Aloysia virgata. Phytomedicine 2011, 18, 393–401. [Google Scholar] [CrossRef]
- Alonso-Castro, A.J.; Alba-Betancourt, C.; Rocha-González, E.; Ruiz-Arredondo, A.; Zapata-Morales, J.R.; Gasca-Martínez, D.; Pérez-Gutiérrez, S. Neuropharmacological effects of D-pinitol and its possible mechanisms of action. J. Food Biochem. 2019, 43, e13070. [Google Scholar] [CrossRef] [PubMed]
- Bourin, M.; Hascoët, M. The mouse light/dark box test. Eur. J. Pharmacol. 2003, 463, 55–65. [Google Scholar] [CrossRef] [PubMed]
- Lister, R.G. The use of a plus-maze to measure anxiety in the mouse. Phychopharmacology 1987, 92, 180–185. [Google Scholar] [CrossRef] [PubMed]
- Kraeuter, A.K.; Guest, P.C.; Sarnyai, Z. The Open Field Test for Measuring Locomotor Activity and Anxiety—Like Behavior. In Preclinical Models; Guest, P., Ed.; Methods in Molecular Biology; Humana Press: New York, NY, USA, 2019; Volume 1916. [Google Scholar] [CrossRef]
- File, S.E.; Wardill, A.G. Validity of head-dipping as a measure of exploration in a modified hole-board. Psychopharmacologia 1975, 44, 53–59. [Google Scholar] [CrossRef]
- Berman, H.M.; Henrick, K.; Nakamura, H. Announcing the worldwide Protein Data Bank. Nat. Struct. Biol. 2003, 10, 980. [Google Scholar] [CrossRef] [PubMed]
- Molecular Operating Environment (MOE). 2022.02 Chemical Computing Group ULC,1010 Sherbooke St. West, Suite #910, Montreal, QC, Canada, H3A 2R7, 2022. Available online: https://www.chemcomp.com/Products.htm (accessed on 10 February 2023).
- Eberhardt, J.; Santos-Martins, D.; Tillack, A.F.; Forli, S. AutoDock Vina 1.2.0: New Docking Methods, Expanded Force Field, and Python Bindings. J. Chem. Inf. Model. 2021, 61, 3891–3898. [Google Scholar] [CrossRef]
- Velluci, S.V.; Webster, R.A. Antagonism of caffeine—Induced seizures in mice by Ro15-1788. Eur. J. Pharmacol. 1984, 97, 289–293. [Google Scholar] [CrossRef] [PubMed]
- Kandeda, A.K.; Taiwe, G.S.; Ayissi, R.E.M.; Moutchida, C. An aqueous extract of Canarium schweinfurthii attenuates seizures and potentiates sleep in mice: Evidence for involvement of GABA Pathway. Biomed. Pharmacother. 2021, 142, 111973. [Google Scholar] [CrossRef]
- Castagné, V.; Moser, P.; Roux, S.; Porsolt, R.D. Rodent Models of Depression: Forced Swim and Tail Suspension Behavioral Despair Tests in Rats and Mice. Curr. Protoc. Neurosci. 2011, 55, 8.10A.1–8.10A.14. [Google Scholar] [CrossRef]
- Wolfman, C.; Viola, H.; Marder, M.; Wasowski, C.; Ardenghi, P.; Izquierdo, I.; Paladini, A.C.; Medina, J.H. Anxioselective properties of 6,3’-dinitroflavone, a high-affinity benzodiazepine receptor ligand. Eur. J. Pharmacol. 1996, 318, 23–30. [Google Scholar] [CrossRef]
- Deacon, R.M.J. Measuring Motor Coordination in Mice. J. Vis. Exp. 2013, 75, e2609. [Google Scholar] [CrossRef]
- National Research Council (US) Committee for the Update of the Guide for the Care and Use of Laboratory Animals. Guide for the Care and Use of Laboratory Animals, 8th ed.; National Academies Press: Washington, DC, USA, 2011. [Google Scholar]








| Treatment | Total Distance (cm) | Resting Time (s) | Time in Center Squares (s) | Distance in Center Squares (cm) |
|---|---|---|---|---|
| Vehicle | 2070 ± 58.69 | 69.59 ± 2.45 | 16.08 ± 0.53 | 345.6 ± 13.85 |
| CNZ 1.5 mg/kg | 640.5 ± 16.57 *** | 170.0 ± 4.15 *** | 56.28 ± 1.54 *** | 748.3 ± 12.59 *** |
| NPT 0.1 mg/kg | 2081 ± 130.7 | 70.95 ± 11.56 | 19.94 ± 3.30 | 352.9 ± 55.97 |
| NPT 1 mg/kg | 2160 ± 295.6 | 73.99 ± 14.95 | 19.63 ± 3.40 | 348.5 ± 57.42 |
| NPT 10 mg/kg | 2252 ± 312.8 | 93.86 ± 15.71 | 14.53 ± 4.14 | 367.6 ± 81.51 |
| Treatment | Onset of Convulsion (s) | Duration of Convulsion (s) | Mortality (%) |
|---|---|---|---|
| 90 mg/kg PTZ | |||
| Vehicle | 69.34 ± 2.11 | 165.6 ± 3.77 | 100.00 |
| CNZ 1.5 mg/kg | 0.00 ± 0.00 *** | 0.00 ± 0.00 *** | 0.00 |
| NPT 0.1 mg/kg | 109.10 ± 13.12 | 47.71 ± 6.58 *** | 14.00 |
| NPT 1 mg/kg | 97.86 ± 7.01 | 36.43 ± 6.61 *** | 57.14 |
| NPT 10 mg/kg ¥ | 73.43 ± 23.73 | 21.29 ± 6.50 *** | 42.85 |
| NPT 10 mg/kg + Flumazenil 2 mg/kg | 100.9 ± 5.50 | 13.43 ± 2.88 *** | 85.71 |
| 12 mg/kg 4-AP | |||
| Vehicle | 129.1 ± 6.95 | 38.63 ± 2.54 | 100.00 |
| CNZ 1.5 mg/kg | 258.1 ± 11.93 *** | 15.50 ± 1.91 *** | 50.00 |
| NPT 0.1 mg/kg | 176.9 ± 32.51 | 14.00 ± 2.78 *** | 85.71 |
| NPT 1 mg/kg | 162.5 ± 9.74 | 18.88 ± 2.41 *** | 87.50 |
| NPT 10 mg/kg | 191.3 ± 14.96 * | 32.38 ± 4.79 | 75.00 |
Disclaimer/Publisher’s Note: The statements, opinions and data contained in all publications are solely those of the individual author(s) and contributor(s) and not of MDPI and/or the editor(s). MDPI and/or the editor(s) disclaim responsibility for any injury to people or property resulting from any ideas, methods, instructions or products referred to in the content. |
© 2023 by the authors. Licensee MDPI, Basel, Switzerland. This article is an open access article distributed under the terms and conditions of the Creative Commons Attribution (CC BY) license (https://creativecommons.org/licenses/by/4.0/).
Share and Cite
Gonzalez-Rivera, M.L.; Barragan-Galvez, J.C.; Gasca-Martínez, D.; Hidalgo-Figueroa, S.; Isiordia-Espinoza, M.; Alonso-Castro, A.J. In Vivo Neuropharmacological Effects of Neophytadiene. Molecules 2023, 28, 3457. https://doi.org/10.3390/molecules28083457
Gonzalez-Rivera ML, Barragan-Galvez JC, Gasca-Martínez D, Hidalgo-Figueroa S, Isiordia-Espinoza M, Alonso-Castro AJ. In Vivo Neuropharmacological Effects of Neophytadiene. Molecules. 2023; 28(8):3457. https://doi.org/10.3390/molecules28083457
Chicago/Turabian StyleGonzalez-Rivera, Maria L., Juan Carlos Barragan-Galvez, Deisy Gasca-Martínez, Sergio Hidalgo-Figueroa, Mario Isiordia-Espinoza, and Angel Josabad Alonso-Castro. 2023. "In Vivo Neuropharmacological Effects of Neophytadiene" Molecules 28, no. 8: 3457. https://doi.org/10.3390/molecules28083457
APA StyleGonzalez-Rivera, M. L., Barragan-Galvez, J. C., Gasca-Martínez, D., Hidalgo-Figueroa, S., Isiordia-Espinoza, M., & Alonso-Castro, A. J. (2023). In Vivo Neuropharmacological Effects of Neophytadiene. Molecules, 28(8), 3457. https://doi.org/10.3390/molecules28083457

