Recent Advances in the Transition-Metal-Free Synthesis of Quinazolines
Abstract
1. Introduction
2. Synthesis of Quinazolines
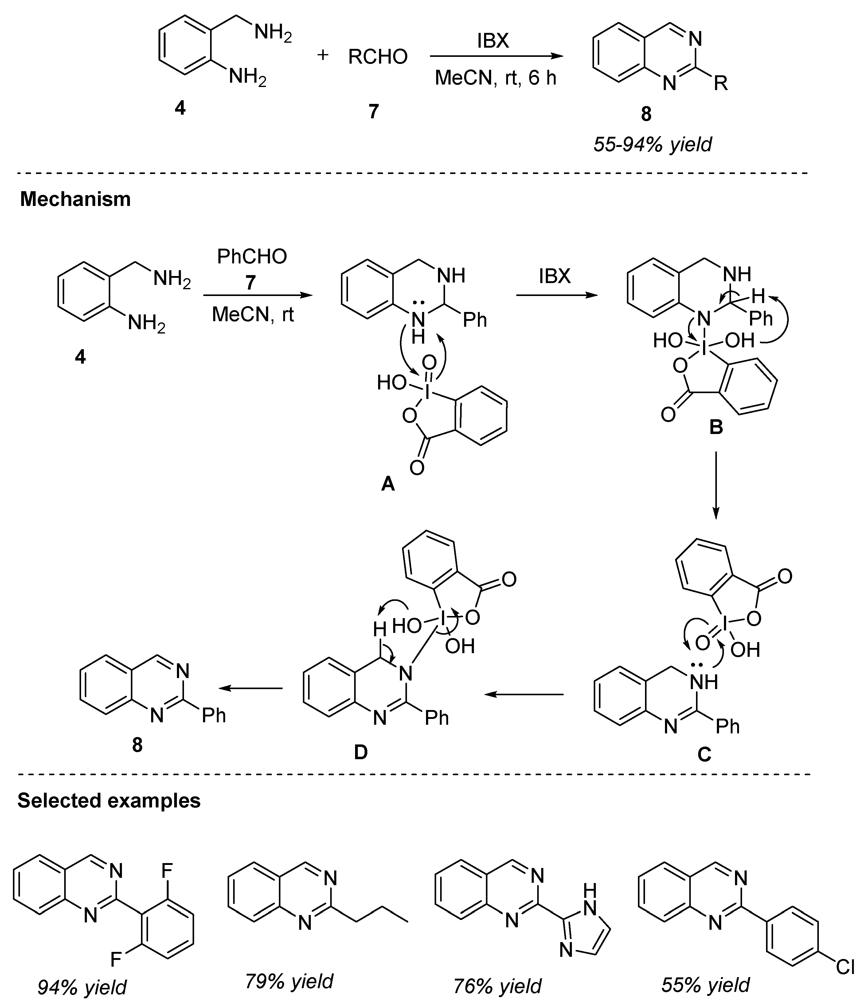
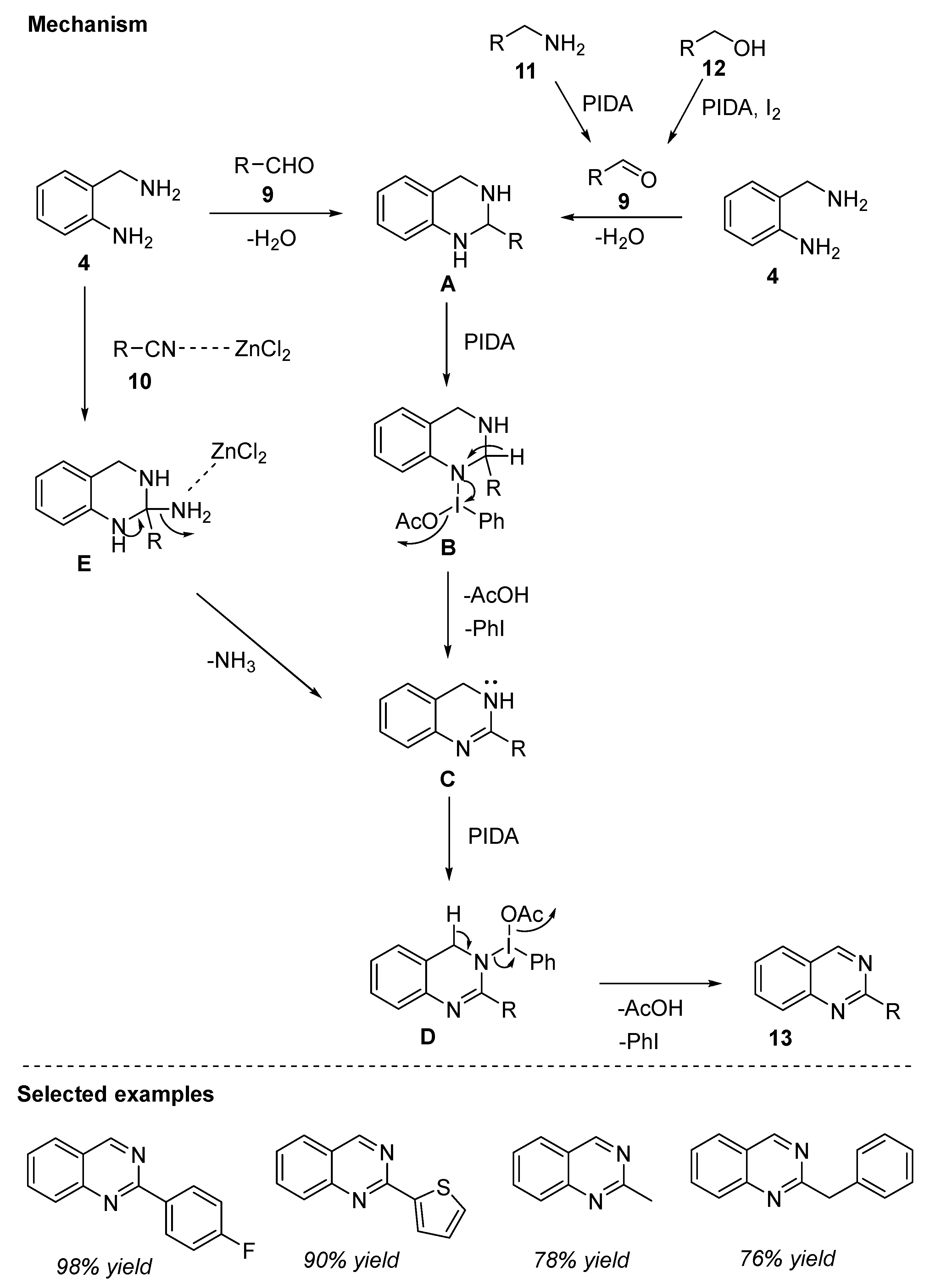
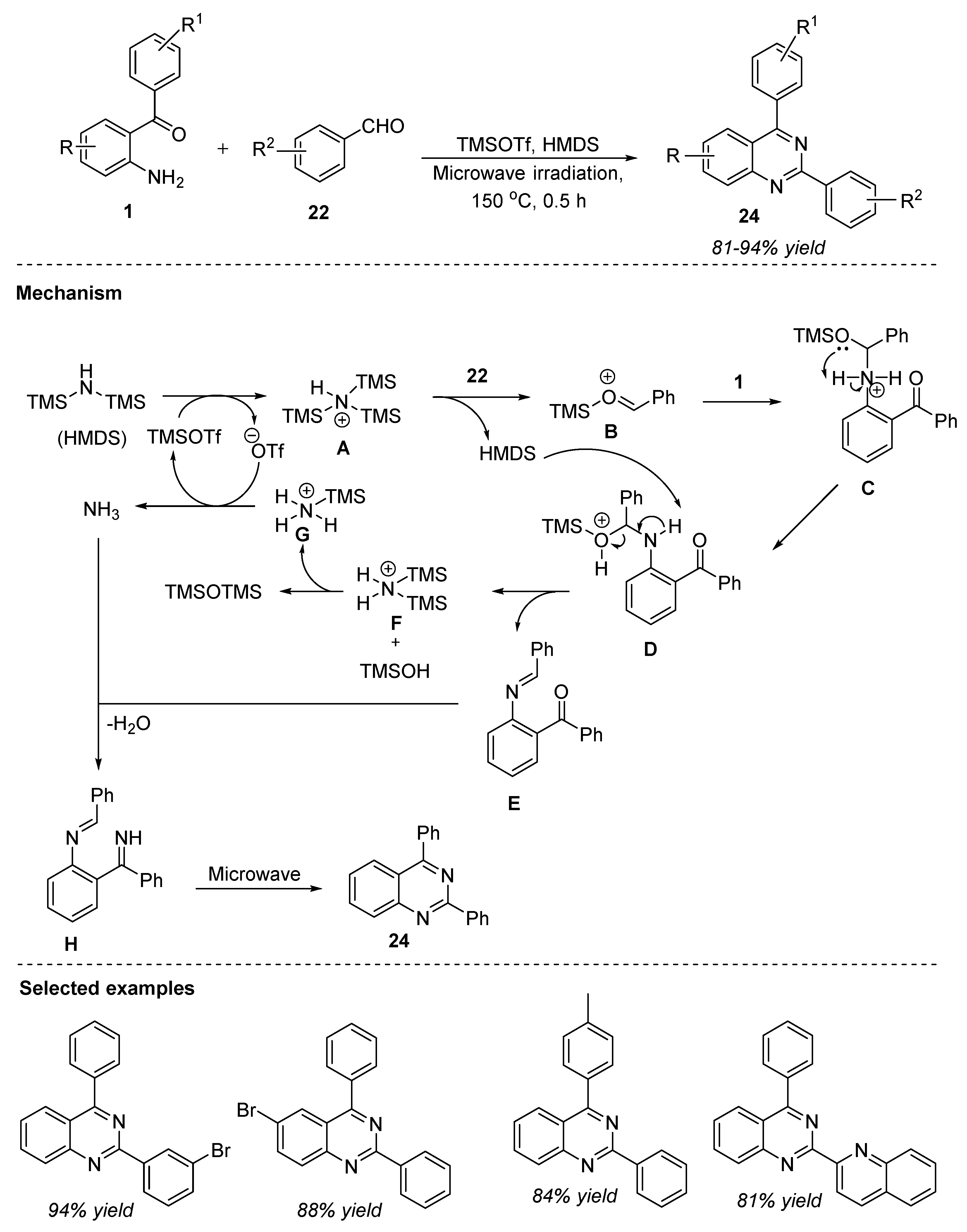
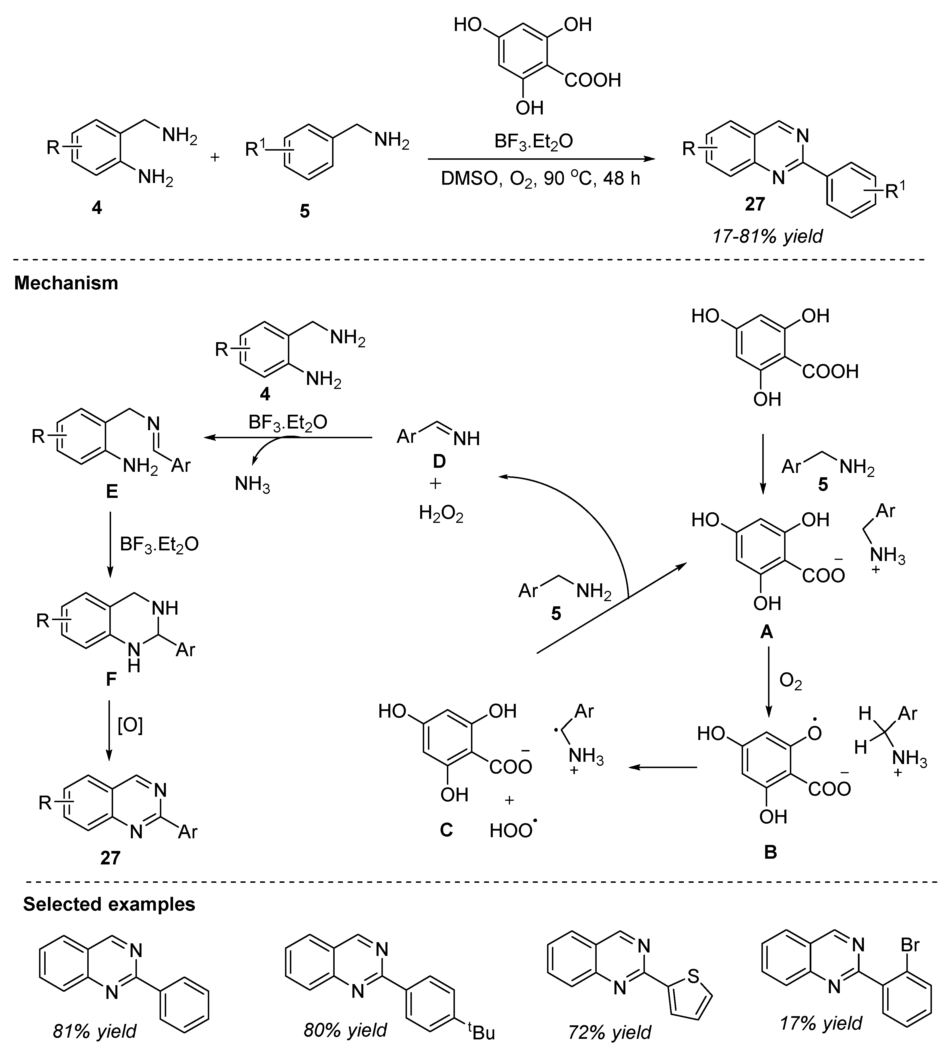
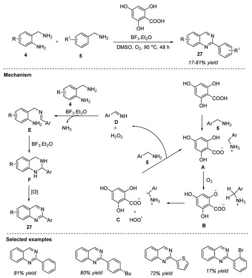
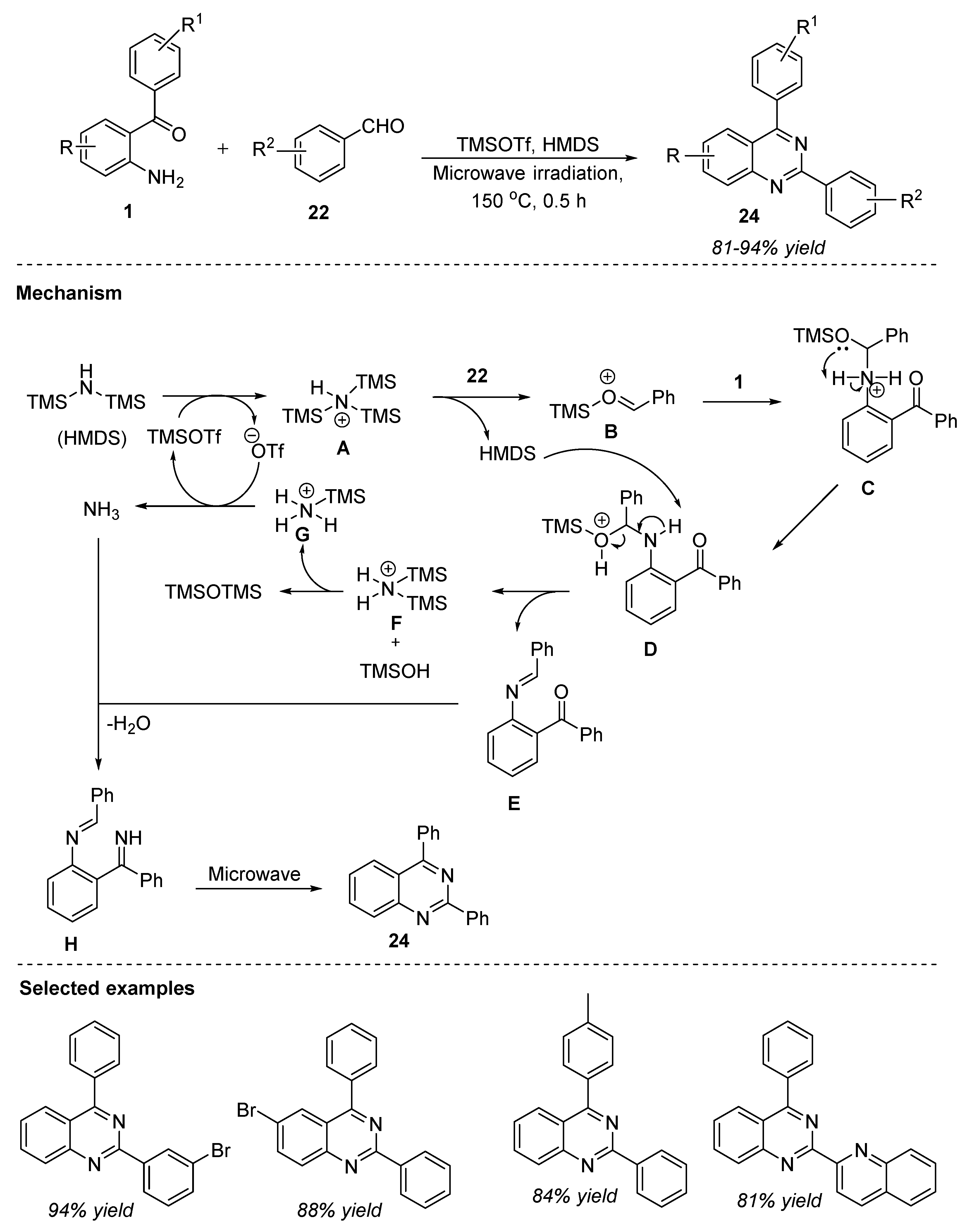
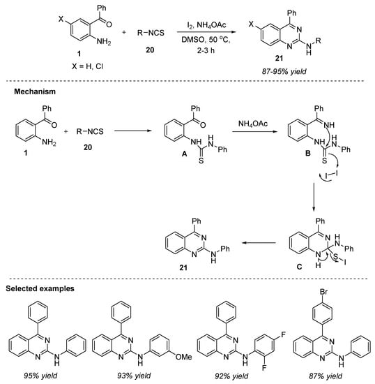
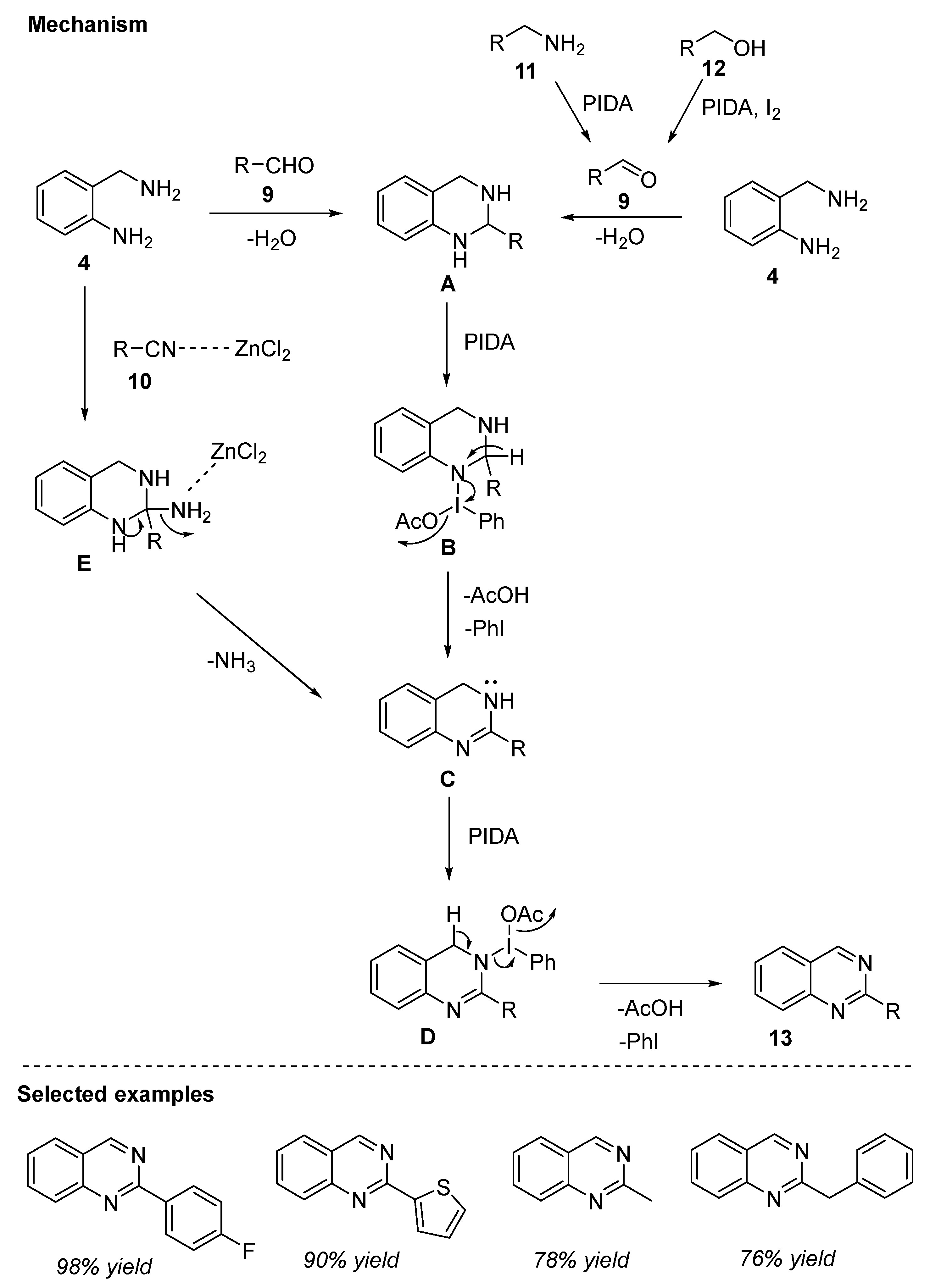
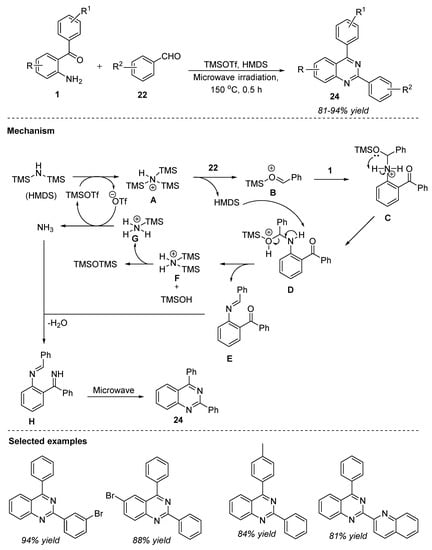
2.1. From O-Functionalized Anilines/Amines
2.2. From Amidines and Azirines
2.3. From Nitriles
3. Conclusions
Author Contributions
Funding
Institutional Review Board Statement
Informed Consent Statement
Data Availability Statement
Conflicts of Interest
References
- Belenkii, L.I.; Gramenitskaya, V.N.; Evdokimenkova, Y.B. Advances in Heterocyclic Chemistry; Katritzky, A.R., Ed.; Elsevier: Amsterdam, The Netherlands, 2011; Volume 102, p. 1. [Google Scholar]
- Polshettiwar, V.; Varma, R.S. Greener and Sustainable Approaches to the Synthesis of Pharmaceutically Active Heterocycles. Curr. Opin. Drug Discov. Dev. 2007, 10, 723–737. [Google Scholar]
- Barker, A.J.; Gibson, K.H.; Grundy, W.; Godfrey, A.A.; Barlow, J.J.; Healy, M.P.; Woodburn, J.R.; Ashton, S.E.; Curry, B.J.; Scarlett, L.; et al. Studies Leading to the Identification of ZD1839 (iressa™): An Orally Active, Selective Epidermal Growth Factor Receptor Tyrosine Kinase Inhibitor Targeted to the Treatment of Cancer. Bioorg. Med. Chem. Lett. 2001, 11, 1911–1914. [Google Scholar] [CrossRef] [PubMed]
- Rewcastle, G.W.; Palmer, B.D.; Bridges, A.J.; Hollis Showalter, H.D.; Sun, L.; Nelson, J.; McMichael, A.; Kraker, A.J.; Fry, D.W.; Denny, W.A. Tyrosine Kinase Inhibitors. 9. Synthesis and Evaluation of Fused Tricyclic Quinazoline Analogues as ATP Site Inhibitors of the Tyrosine Kinase Activity of the Epidermal Growth Factor Receptor. J. Med. Chem. 1996, 39, 918–928. [Google Scholar] [CrossRef] [PubMed]
- Abbas, S.E.; Awadallah, F.M.; Ibrahin, N.A.; Said, E.G.; Kamel, G.M. New Quinazolinone-pyrimidine Hybrids: Synthesis, Anti-inflammatory, and Ulcerogenicity studies. Eur. J. Med. Chem. 2012, 53, 141–149. [Google Scholar] [CrossRef] [PubMed]
- Arun, Y.; Bhaskar, G.; Balachandran, C.; Ignacimuthu, S.; Perumal, P.T. Facile One-pot Synthesis of Novel Dispirooxindole-Pyrrolidine Derivatives and their Antimicrobial and Anticancer Activity Against A549 Human Lung Adenocarcinoma Cancer Cell Line. Bioorg. Med. Chem. Lett. 2013, 23, 1839–1845. [Google Scholar] [CrossRef] [PubMed]
- Ugale, V.G.; Bari, S.B. Quinazolines: New Horizons in Anticonvulsant Therapy. Eur. J. Med. Chem. 2014, 80, 447–501. [Google Scholar] [CrossRef]
- Yen, M.-H.; Sheu, J.-R.; Peng, I.-H.; Lee, Y.-M.; Chern, J.-W. Pharmacological Activity of DC−015, a Novel Potent and Selective α1-Adrenoceptor Antagonist. J. Pharm. Pharmacol. 1996, 48, 90–95. [Google Scholar] [CrossRef]
- Machara, A.; Lux, V.; Kozisek, M.; Grantz-Saskova, K.; Stepanek, O.; Kotora, M.; Parkan, K.; Pavova, M.; Glass, B.; Sehr, P. Specific Inhibitors of HIV Capsid Assembly Binding to the C-Terminal Domain of the Capsid Protein: Evaluation of 2-Arylquinazolines as Potential Antiviral Compounds. J. Med. Chem. 2016, 59, 545–558. [Google Scholar] [CrossRef]
- Waisser, K.; Gregor, J.; Dostal, H.; Kunes, J.; Kubicova, L.; Klimesova, V.; Kaustova, J. Influence of the replacement of the oxo function with the thioxo group on the antimycobacterial activity of 3-aryl-6,8-dichloro-2H-1,3-benzoxazine-2,4(3H)-diones and 3-arylquinazoline-2,4(1H,3H)-diones. Farmaco 2001, 56, 803–807. [Google Scholar] [CrossRef] [PubMed]
- Waites, K.B.; Crabb, D.M.; Duffy, L.B.; Huband, M.D. In Vitro Antibacterial Activity of AZD0914 against Human Mycoplasmas and Ureaplasmas. Antimicrob. Agents Chemother. 2015, 59, 3627–3629. [Google Scholar] [CrossRef]
- Mohameda, M.S.; Kamel, M.M.; Kassem, E.M.M.; Abotaleb, N.; Abdelmoez, S.I.; Ahmeda, M.F. Novel 6,8-dibromo-4(3H)quinazolinone derivatives of anti-bacterial and anti-fungal activities. Eur. J. Med. Chem. 2010, 45, 3311–3319. [Google Scholar] [CrossRef]
- Velázquez, F.; Chelliah, M.; Clasby, M.; Guo, Z.; Howe, J.; Miller, R.; Neelamkavil, S.; Shah, U.; Soriano, A.; Xia, Y.; et al. Design and Synthesis of P2–P4 Macrocycles Containing a Unique Spirocyclic Proline: A New Class of HCV NS3/4A Inhibitors. ACS Med. Chem. Lett. 2016, 7, 1173–1178. [Google Scholar] [CrossRef] [PubMed]
- Kancharla, P.; Lu, W.; Salem, S.M.; Kelly, J.X.; Reynolds, K.A. Stereospecific Synthesis of 23-Hydroxyundecylprodiginines and Analogues and Conversion to Antimalarial Premarineosins via a Rieske Oxygenase Catalyzed Bicyclization. J. Org. Chem. 2014, 79, 11674–11689. [Google Scholar] [CrossRef] [PubMed]
- Kabri, Y.; Azas, N.; Dumetre, A.; Hutter, S.; Laget, M.; Verhaeghe, P.; Gellis, A.; Vanelle, P. Original Quinazoline Derivatives Displaying Antiplasmodial Properties. Eur. J. Med. Chem. 2010, 45, 616–622. [Google Scholar] [CrossRef]
- de Silva, J.F.M.; Walters, M.; Al-Damluji, S.; Ganellin, C.R. Molecular Features of the Prazosin Molecule Required for Activation of Transport-P. Bioorg. Med. Chem. 2008, 16, 7254–7263. [Google Scholar] [CrossRef]
- Kumar, A.; Sharma, P.; Kumari, P.; Kalal, B.L. Exploration of Antimicrobial and Antioxidant Potential of Newly Synthesized 2,3-disubstituted Quinazoline-4(3H)-ones. Bioorg. Med. Chem. Lett. 2011, 21, 4353–4357. [Google Scholar] [CrossRef]
- Noolvi, M.N.; Patel, H.M.; Bhardwaj, V.; Chauhan, A. Synthesis and in vitro antitumor activity of substituted quinazoline and quinoxaline derivatives: Search for anticancer agent. Eur. J. Med. Chem. 2011, 46, 2327–2346. [Google Scholar] [CrossRef]
- Barraja, P.; Caracausi, L.; Diana, P.; Montalbano, A.; Carbone, A.; Salvador, A.; Brun, P.; Castagliuolo, I.; Tisi, S.; Dall’Acqua, F.; et al. Pyrrolo [3,2-h]quinazolines as Photochemotherapeutic Agents. ChemMedChem 2011, 6, 1238–1248. [Google Scholar] [CrossRef]
- Boyapati, S.; Kulandaivelu, U.; Sangu, S.; Vanga, M.R. Synthesis, Antimicrobial Evaluation, and Docking Studies of Novel 4-Substituted Quinazoline Derivatives as DNA-gyrase Inhibitors. Arch. Pharm. 2010, 343, 570–576. [Google Scholar] [CrossRef] [PubMed]
- Yang, S.H.; Khadka, D.B.; Cho, S.H.; Ju, H.K.; Lee, K.Y.; Han, H.J.; Lee, K.T.; Cho, W.J. Virtual screening and synthesis of quinazolines as novel JAK2 inhibitors. Bioorg. Med. Chem. 2011, 19, 968–977. [Google Scholar] [CrossRef]
- Kim, Y.H.; Choi, H.; Lee, J.; Hwang, I.C.; Moon, S.K.; Kim, S.J.; Lee, H.W.; Im, D.S.; Lee, S.S.; Ahn, S.K.; et al. Quinazolines as potent and highly selective PDE5 inhibitors as potential therapeutics for male erectile dysfunction. Bioorg. Med. Chem. Lett. 2008, 18, 6279–6282. [Google Scholar] [CrossRef] [PubMed]
- Cruz-Lopez, O.; Conejo-Garcia, A.; Nunez, M.C.; Kimatrai, M.; Garcia-Rubino, M.E.; Morales, F.; Gomez-Perez, V.; Campos, J.M. Novel Substituted Quinazolines for Potent EGFR Tyrosine Kinase Inhibitors. Curr. Med. Chem. 2011, 18, 943–963. [Google Scholar] [CrossRef]
- Saari, R.; Törmä, J.-C.; Nevalainen, T. Microwave-assisted Synthesis of Quinoline, Isoquinoline, Quinoxaline and Quinazoline Derivatives as CB2 Receptor Agonists. Bioorg. Med. Chem. 2011, 19, 939–950. [Google Scholar] [CrossRef] [PubMed]
- Burris, H.A., III. Dual Kinase Inhibition in the Treatment of Breast Cancer: Initial Experience with the EGFR/ErbB-2 Inhibitor Lapatinib. Oncologist 2004, 9, 10–15. [Google Scholar] [CrossRef]
- Miller, V.A.; Hirsh, V.; Cadranel, J.; Chen, Y.-M.; Park, K.; Kim, S.-W.; Zhou, C.; Su, W.-C.; Wang, M.; Sun, Y.; et al. Afatinib versus Placebo for Patients with Advanced, Metastatic Non-small-cell Lung Cancer After Failure of Erlotinib, Gefitinib, or both, and one or two lines of Chemotherapy (LUX-Lung 1): A phase 2b/3 randomised trial. Lancet Oncol. 2012, 13, 528–538. [Google Scholar] [CrossRef]
- Goss, G.; Shepherd, F.A.; Laurie, S.; Gauthier, I.; Leighl, N.; Chen, E.; Feld, R.; Powers, J.; Seymour, L. A phase I and Pharmacokinetic Study of Daily Oral Cediranib, An Inhibitor of Vascular Endothelial Growth Factor Tyrosine Kinases, in Combination with Cisplatin and Gemcitabine in Patients with Advanced Non-small Cell Lung Cancer: A Study of the National Cancer Institute of Canada Clinical Trials Group. Eur. J. Cancer 2009, 45, 782–788. [Google Scholar]
- Ajani, O.O.; Audu, O.Y.; Aderohunmu, D.V.; Owolabi, F.E.; Olomieja, A.O. Undeniable Pharmacological Potentials of Quinazoline Motifs in Therapeutic Medicine. Am. J. Drug Discov. Dev. 2017, 7, 1–24. [Google Scholar] [CrossRef]
- Assiddiq, B.F.; Tan, K.Y.; Toy, W.; Chan, S.P.; Chong, P.K.; Pin, L.Y.P. EGFR S1166 Phosphorylation Induced by a Combination of EGF and Gefitinib Has a Potentially Negative Impact on Lung Cancer Cell Growth. J. Proteome Res. 2012, 11, 4110–4119. [Google Scholar] [CrossRef]
- Sos, M.L.; Koker, M.; Weir, B.A.; Heynck, S.; Rabinovsky, R.; Zander, T.; Seeger, J.M.; Weiss, J.; Fischer, F.; Frommolt, P.; et al. PTEN loss contributes to erlotinib resistance in EGFR-mutant lung cancer by activation of Akt and EGFR. Cancer Res. 2009, 69, 3256–3261. [Google Scholar] [CrossRef] [PubMed]
- Bolognesi, M.L.; Budriesi, R.; Chiarini, A.; Poggesi, E.; Leonardi, A.; Melchiorre, C. Design, Synthesis, and Biological Activity of Prazosin-related Antagonists. Role of the Piperazine and Furan Units of Prazosin on the Selectivity for Alpha1-adrenoreceptor Subtypes. J. Med. Chem. 1998, 41, 4844–4853. [Google Scholar] [CrossRef]
- Short, C.E.S.; Gilleece, Y.C.; Fisher, M.J.; Churchill, D.R. Trimetrexate and Folinic acid: A Valuable Salvage Option for Pneumocystis Jirovecii Pneumonia. AIDS 2009, 23, 1287–1290. [Google Scholar] [CrossRef]
- Wilson, J.N.; Liu, W.; Brown, A.S.; Landgraf, R. Binding-induced, Turn-on Fluorescence of the EGFR/ERBB Kinase Inhibitor, Lapatinib. Org. Biomol. Chem. 2015, 13, 5006–5011. [Google Scholar] [CrossRef]
- Zhang, Y.; Tortorella, M.D.; Liao, J.; Qin, X.; Chen, T.; Luo, J.; Guan, J.; Talley, J.J.; Tu, Z. Synthesis and Evaluation of Novel Erlotinib–NSAID Conjugates as More Comprehensive Anticancer Agents. ACS Med. Chem. Lett. 2015, 6, 1086–1090. [Google Scholar] [CrossRef] [PubMed]
- Griess, P. Ueber die Einwirkung des Cyans auf Anthranilsäure. Chem. Ber. 1869, 2, 415–418. [Google Scholar] [CrossRef]
- Wang, C.; Li, S.F.; Liu, H.X.; Jiang, Y.Y.; Fu, H. Copper-Catalyzed Synthesis of Quinazoline Derivatives via Ullmann-Type Coupling and Aerobic Oxidation. J. Org. Chem. 2010, 75, 7936–7938. [Google Scholar] [CrossRef]
- Han, B.; Yang, X.L.; Wang, C.; Bai, Y.W.; Pan, T.C.; Chen, X.; Yu, W. CuCl/DABCO/4-HO-TEMPO-Catalyzed Aerobic Oxidative Synthesis of 2-Substituted Quinazolines and 4H-3,1-Benzoxazines. J. Org. Chem. 2012, 77, 1136–1142. [Google Scholar] [CrossRef]
- Zhang, W.; Guo, F.; Wang, F.; Zhao, N.; Liu, L.; Li, J.; Wang, Z.H. Synthesis of Quinazolines via CuO Nanoparticles Catalyzed Aerobic Oxidative Coupling of Aromatic Alcohols and Amidines. Org. Biomol. Chem. 2014, 12, 5752–5756. [Google Scholar] [CrossRef]
- Zhao, D.; Shen, Q.; Li, J.X. Potassium Iodide-Catalyzed Three-Component Synthesis of 2-Arylquinazolines via Amination of Benzylic C—H Bonds of Methylarenes. Adv. Synth. Catal. 2015, 357, 339–344. [Google Scholar] [CrossRef]
- Roscales, S.; Csákӱ, A.G. Transition-Metal-free C–C bond Forming Reactions of Aryl, Alkenyl and Alkynylboronic acids and their Derivatives. Chem. Soc. Rev. 2014, 43, 8215–8225. [Google Scholar] [CrossRef] [PubMed]
- Eynde, J.J.V.; Godin, J.; Mayence, A.; Maquestiau, A.; Anders, E. A New and Convenient Method for the Preparation of 2-Substituted Quinazolines. Synthesis 1993, 1993, 867–869. [Google Scholar] [CrossRef]
- Peng, Y.-Y.; Zeng, Y.; Qiu, G.; Cai, L.; Pike, V.W. A Convenient One-pot Procedure for the Synthesis of 2-aryl Quinazolines using Active MnO2 as Oxidant. J. Heterocycl. Chem. 2010, 47, 1240–1245. [Google Scholar] [CrossRef]
- Maheswari, C.U.; Gadde, S.K.; Venkateshwar, M.; Kumar, R.A.; Kantam, M.L.; Reddy, K.R. Highly Efficient One-pot Synthesis of 2-substituted Quinazolines and 4H-benzo [d][1, 3] oxazines via Cross Dehydrogenative Coupling using Sodium Hypochlorite. Adv. Synth. Catal. 2010, 352, 341–346. [Google Scholar] [CrossRef]
- Laha, J.K.; Tummalapalli, K.S.S.; Jethava, K.P. Implications of Dynamic Imine Chemistry for the Sustainable Synthesis of Nitrogen Heterocycles via Transimination Followed by Intramolecular Cyclisation. Org. Biomol. Chem. 2016, 14, 2473–2479. [Google Scholar] [CrossRef]
- Zhang, J.; Zhu, D.; Yu, C.; Wan, C.; Wang, Z. A Simple and Efficient Approach to the Synthesis of 2-Phenylquinazolines via sp3 C−H Functionalization. Org. Lett. 2010, 12, 2841–2843. [Google Scholar] [CrossRef]
- Yan, Y.; Wang, Z. Metal-free Intramolecular Oxidative Decarboxylative Amination of Primary α-amino acids with Product Selectivity. Chem. Commun. 2011, 47, 9513–9515. [Google Scholar] [CrossRef] [PubMed]
- Zhang, Z.-H.; Zhang, X.-N.; Mo, L.-P.; Li, Y.-X.; Ma, F.-P. Catalyst-free Synthesis of Quinazoline Derivatives using Low Melting Sugar–Urea–Salt Mixture as a Solvent. Green Chem. 2012, 14, 1502–1506. [Google Scholar] [CrossRef]
- Alonso, R.; Caballero, A.; Campos, P.J.; Sampedro, D.; Rodriguez, M.A. An Efficient Synthesis of Quinazolines: A Theoretical and Experimental Study on the Photochemistry of Oxime Derivatives. Tetrahedron 2010, 66, 4469–4473. [Google Scholar] [CrossRef]
- Yan, Y.; Zhang, Y.; Feng, C.; Zha, Z.; Wang, Z. Selective Iodine-Catalyzed Intermolecular Oxidative Amination of C(sp3)—H Bonds with ortho-Carbonyl-Substituted Anilines to Give Quinazolines. Angew. Chem. Int. Ed. 2012, 51, 8077–8081. [Google Scholar] [CrossRef] [PubMed]
- Lin, J.P.; Zhang, F.-H.; Long, Y.-Q. Solvent/Oxidant-Switchable Synthesis of Multisubstituted Quinazolines and Benzimidazoles via Metal-Free Selective Oxidative Annulation of Arylamidines. Org. Lett. 2014, 16, 2822–2825. [Google Scholar] [CrossRef]
- Kumar, V.; Mohan, C.; Gupta, M.; Mahajan, M.P. A Catalyst- and Solvent-Free Selective Approach to Biologically Important Quinazolines and Benzo[g]quinazoline. Tetrahedron 2005, 61, 3533–3538. [Google Scholar] [CrossRef]
- Wang, D.; Gao, F. Quinazoline derivatives: Synthesis and bioactivities. Chem. Cent. J. 2013, 7, 95–110. [Google Scholar] [CrossRef]
- Faisal, M.; Saeed, A. Chemical Insights Into the Synthetic Chemistry of Quinazolines: Recent Advances. Front. Chem. 2021, 8, 594717–594740. [Google Scholar] [CrossRef]
- Zalatan, D.N.; Du Bois, J. Metal-Catalyzed Oxidations of C-H to C-N bonds. Top. Curr. Chem. 2010, 292, 347–378. [Google Scholar]
- Yan, Y.; Xu, Y.; Niu, B.; Xie, H.; Liu, Y. I2-Catalyzed Aerobic Oxidative C(sp3)-H Amination/C-N Cleavage of Tertiary Amine: Synthesis of Quinazolines and Quinazolinones. J. Org. Chem. 2015, 80, 5581–5587. [Google Scholar] [CrossRef]
- Tiwari, A.R.; Bhanage, B.M. Synthesis of Quinazolines from 2-aminobenzylamines with Benzylamines and N-substituted Benzylamines under Transition Metal-Free Conditions. Org. Biomol. Chem. 2016, 14, 10567–10571. [Google Scholar] [CrossRef]
- Hati, S.; Sen, S. Synthesis of Quinazolines and Dihydroquinazolines: O-Iodoxybenzoic Acid Mediated Tandem Reaction of o-Aminobenzylamine with Aldehydes. Synthesis 2016, 48, 1389–1398. [Google Scholar] [CrossRef]
- Xu, J.-H.; Jiang, Q.; Guo, C.-C. Phenyliodonium Diacetate Mediated Direct Synthesis of Benzonitriles from Styrenes through Oxidative Cleavage of C═C Bonds. J. Org. Chem. 2013, 78, 11881–11886. [Google Scholar] [CrossRef] [PubMed]
- Saha, M.; Mukherjee, P.; Das, A.R. A Facile and Versatile Protocol for the One-Pot PhI(OAc)2 Mediated Divergent Synthesis of Quinazolines from 2-Aminobenzylamine. Tet. Lett. 2017, 58, 2044–2049. [Google Scholar] [CrossRef]
- Vorona, S.; Artamonova, T.; Zevatskii, Y.; Myznikov, L. An Improved Protocol for the Preparation of 5-Substituted Tetrazoles from Organic Thiocyanates and Nitriles. Synthesis 2014, 46, 781–786. [Google Scholar]
- Tekale, S.U.; Kauthale, S.S.; Dake, S.A.; Sarda, S.R.; Pawar, R. Molecular Iodine: An Efficient and Versatile Reagent for Organic Synthesis. Curr. Org. Chem. 2012, 16, 1485–1501. [Google Scholar] [CrossRef]
- Deshmukh, D.S.; Bhanage, B.M. Molecular Iodine-Catalysed Benzylic sp3 C–H Bond Amination for the Synthesis of 2-Arylquinazolines from 2-Aminobenzaldehydes, 2-Aminobenzophenones and 2-Aminobenzyl Alcohols. Synlett 2018, 29, 979–985. [Google Scholar]
- Sharma, S.; Bhattacherjee, D.; Das, P. Oxalic/Malonic Acids as Carbon Building Block for Benzazoles, Quinazoline and Quinazolinones Synthesis. Org. Biomol. Chem. 2018, 16, 1337–1342. [Google Scholar] [CrossRef] [PubMed]
- Chatterjee, T.; Kim, D.I.; Cho, E.J. Base-Promoted Synthesis of 2-Aryl Quinazolines from 2-Aminobenzylamines in Water. J. Org. Chem. 2018, 83, 7423–7430. [Google Scholar] [CrossRef]
- Jatangi, N.; Palakodety, R.K. I2-Catalyzed Oxidative Synthesis of N,4-Disubstituted Quinazolines and Quinazoline Oxides. Org. Biomol. Chem. 2019, 17, 3714–3717. [Google Scholar] [CrossRef] [PubMed]
- Cousin, T.; Chatel, G.; Kardos, N.; Andrioletti, B.; Draye, M. Recent Trends in the Development of Sustainable Catalytic Systems for the Oxidative Cleavage of Cycloalkenes by Hydrogen Peroxide. Catal. Sci. Technol. 2019, 9, 5256–5278. [Google Scholar] [CrossRef]
- Trinh, K.H.; Nguyen, K.X.; Pham, P.H.; Nguyen, T.T.; Phan, A.N.Q.; Phan, N.T.S. Hydrogen Peroxide-Mediated Synthesis of 2,4-Substituted Quinazolines via One-Pot Three-Component Reactions Under Metal-Free Conditions. RSC Adv. 2020, 10, 29900–29909. [Google Scholar] [CrossRef]
- Bruynes, C.A.; Jurriens, T.K. Catalysts for silylations with 1,1,1,3,3,3-hexamethyldisilazane. J. Org. Chem. 1982, 47, 3966–3969. [Google Scholar] [CrossRef]
- Chan, C.-K.; Lai, C.-Y.; Wang, C.-C. TMSOTf-Catalyzed Synthesis of Substituted Quinazolines Using Hexamethyldisilazane as Nitrogen Source under Neat and Microwave Irradiation. Org. Biomol. Chem. 2020, 18, 7201–7212. [Google Scholar] [CrossRef]
- Rudroff, F.; Mihovilovic, M.D.; Gröger, H.; Snajdrova, R.; Iding, H.; Bornscheuer, U.T. Opportunities and Challenges for Combining Chemo and Biocatalysis. Nat. Catal. 2018, 1, 12–22. [Google Scholar] [CrossRef]
- Tan, Z.; Zhang, X.; Xu, M.; Fu, Y.; Zhuang, W.; Li, M.; Wu, X.; Ying, H.; Ouyang, P.; Zhu, C. Cooperative Chemoenzymatic Synthesis of N-heterocycles via Synergizing Bio with Organocatalysis. Sci Adv. 2022, 8, eadd1912. [Google Scholar] [CrossRef]
- Yamamoto, Y.; Yamakawa, C.; Nishimura, R.; Dong, C.-P.; Kodama, S.; Nomoto, A.; Ueshima, M.; Ogawa, A. Metal-Free Synthesis of 2-Substituted Quinazolines via Green Oxidation of o-Aminobenzylamines: Practical Construction of N-Containing Heterocycles Based on a Salicylic Acid-Catalyzed Oxidation System. Front. Chem. 2011, 9, 822–841. [Google Scholar] [CrossRef]
- Salamone, M.; DiLabio, G.A.; Bietti, M. Hydrogen Atom Abstraction Selectivity in the Reactions of Alkylamines with the Benzyloxyl and Cumyloxyl Radicals. The Importance of Structure and of Substrate Radical Hydrogen Bonding. J. Am. Chem. Soc. 2011, 133, 16625–16634. [Google Scholar] [CrossRef]
- Yang, J.; Xie, Z.; Jin, L.; Chen, X.; Le, Z. Synthesis of Quinazoline by Decarboxylation of 2-Aminobenzylamine and α-Keto acid Under Visible Light Catalysis. Org. Biomol. Chem. 2022, 20, 3558–3563. [Google Scholar] [CrossRef] [PubMed]
- Lv, Z.; Wang, B.; Hu, Z.; Zhou, Y.; Yu, W.; Chang, J. Synthesis of Quinazolines from N,N’-Disubstituted Amidines via I2/KI-Mediated Oxidative C-C Bond Formation. J. Org. Chem. 2016, 81, 9924–9930. [Google Scholar] [CrossRef] [PubMed]
- Shen, Z.-C.; Yang, P.; Tang, Y. Transition Metal-Free Visible Light-Driven Photoredox Oxidative Annulation of Arylamidines. J. Org. Chem. 2016, 81, 309–317. [Google Scholar] [CrossRef]
- Kee, C.W.; Chan, K.M.; Wong, M.W.; Tan, C.H. Selective Bromination of sp3 C–H Bonds by Organophotoredox Catalysis. Asian J. Org. Chem. 2014, 3, 536–544. [Google Scholar] [CrossRef]
- Franz, J.F.; Kraus, W.B.; Zeitler, K. No Photocatalyst Required–Versatile, Visible Light Mediated Transformations with Polyhalomethanes. Chem. Commun. 2015, 51, 8280–8283. [Google Scholar] [CrossRef]
- Hyland, E.E.; Kelly, P.Q.; McKillop, A.M.; Dherange, B.D.; Levin, M.D. Unified Access to Pyrimidines and Quinazolines Enabled by N−N Cleaving Carbon Atom Insertion. J. Am. Chem. Soc. 2022, 144, 19258–19264. [Google Scholar] [CrossRef] [PubMed]
- Ramanathan, M.; Liu, S.-T. Preparation of Quinazolines via a 2+2+2 Annulation from Aryldiazonium Salts and Nitriles. J. Org. Chem. 2017, 82, 8290–8295. [Google Scholar] [CrossRef]
- Pandya, A.N.; Villa, E.M.; North, E.J. A simple and efficient approach for the synthesis of 2 aminated quinazoline derivatives via metal free oxidative annulation. Tet. Lett. 2017, 58, 1276–1279. [Google Scholar] [CrossRef]
- Jalani, H.B.; Pandya, A.N.; Baraiya, A.B.; Kaila, J.C.; Pandya, D.H.; Sharma, J.A.; Sudarsanam, V.; Vasu, K.K. An efficient synthesis of 2-aminopyrroles from enaminone–amidine adduct and phenacyl/benzyl/heteroalkyl-halides. Tet. Lett. 2011, 52, 6331–6335. [Google Scholar] [CrossRef]
- Saikia, U.P.; Hussain, F.L.; Suri, M.; Pahari, P. Selective N-acetylation of aromatic amines using acetonitrile as acylating agent. Tet. Lett. 2016, 57, 1158–1160. [Google Scholar] [CrossRef]
- Saikia, U.P.; Borah, G.; Pahari, P. Lewis-Acid-Catalyzed Activation of Nitriles: A Microwave Assisted Solvent-Free Synthesis of 2,4-Disubstituted Quinazolines and 1,3-Diazaspiro [5.5]undec-1-enes. Eur. J. Org. Chem. 2018, 2018, 1211–1217. [Google Scholar] [CrossRef]
- Sun, C.-L.; Shi, Z.-J. Transition-Metal-Free Coupling Reactions. Chem. Rev. 2014, 114, 9219–9280. [Google Scholar] [CrossRef] [PubMed]
- Wang, X.; Li, J.; Huang, Y.; Zhu, J.; Hu, R.; Wu, W.; Jiang, H. Facile Synthesis of π-Conjugated Quinazoline-Substituted Ethenes from 2-Ethynylanilines and Benzonitriles under Transition-Metal-Free Conditions. J. Org. Chem. 2018, 83, 10453–10464. [Google Scholar] [CrossRef]
- Jatangi, N.; Palakodety, R.K. Base-catalyzed synthesis of quinazolines in aqueous medium. Tet. Lett. 2019, 60, 151186. [Google Scholar] [CrossRef]
- Whyte, A.; Burton, K.I.; Zhang, J.; Lautens, M. Enantioselective Intramolecular Copper-Catalyzed Borylacylation. Angew. Chem. Int. Ed. 2018, 57, 13927–13930. [Google Scholar] [CrossRef]

























Disclaimer/Publisher’s Note: The statements, opinions and data contained in all publications are solely those of the individual author(s) and contributor(s) and not of MDPI and/or the editor(s). MDPI and/or the editor(s) disclaim responsibility for any injury to people or property resulting from any ideas, methods, instructions or products referred to in the content. |
© 2023 by the authors. Licensee MDPI, Basel, Switzerland. This article is an open access article distributed under the terms and conditions of the Creative Commons Attribution (CC BY) license (https://creativecommons.org/licenses/by/4.0/).
Share and Cite
Tamatam, R.; Shin, D. Recent Advances in the Transition-Metal-Free Synthesis of Quinazolines. Molecules 2023, 28, 3227. https://doi.org/10.3390/molecules28073227
Tamatam R, Shin D. Recent Advances in the Transition-Metal-Free Synthesis of Quinazolines. Molecules. 2023; 28(7):3227. https://doi.org/10.3390/molecules28073227
Chicago/Turabian StyleTamatam, Rekha, and Dongyun Shin. 2023. "Recent Advances in the Transition-Metal-Free Synthesis of Quinazolines" Molecules 28, no. 7: 3227. https://doi.org/10.3390/molecules28073227
APA StyleTamatam, R., & Shin, D. (2023). Recent Advances in the Transition-Metal-Free Synthesis of Quinazolines. Molecules, 28(7), 3227. https://doi.org/10.3390/molecules28073227

