Abstract
A heterocycle is an important structural scaffold of many organic compounds found in pharmaceuticals, materials, agrochemicals, and biological processes. Azacycles are one of the most common motifs of a heterocycle and have a variety of applications, including in pharmaceuticals. Therefore, azacycles have received significant attention from scientists and a variety of methods of synthesizing azacycles have been developed because their efficient synthesis plays a vital role in the production of many useful compounds. In this review, we summarize recent approaches to preparing azacycles via different methods as well as describe plausible reaction mechanisms.
1. Introduction
Heterocyclic compounds are frequently identified and play an important role in human life due to their special structures. For example, heterocyclic structures are related to many biological processes and form the basic skeleton of many drug molecules and natural products [1,2,3,4,5,6,7,8,9,10,11,12,13,14,15,16,17]. N-heterocycles, which contain nitrogen atoms, have attracted much attention from scientists because of their unique properties and diverse utilization. N-heterocycles have been employed in many industries, including as dyes, agrochemicals, and materials [18,19,20,21,22,23,24,25,26,27,28,29]. In pharmaceuticals, small-molecule drugs contain nitrogen-containing heterocycles and exhibit diverse bioactivities including anti-Alzheimer’s, antivirus, and anticancer behavior [30,31,32,33,34,35,36,37,38,39,40,41]. Thus, a series of studies on the synthesis and functionalization of many N-heterocyclic compounds, such as indoles, imidazoles, pyrrolidines, indolizines, and quinolines, as well as their application, has been carried out.
Azacycle, a nitrogen-containing heterocycle, is an important scaffold in N-heterocycles. Statistically, more than half of the small-molecule drugs approved by the United States Food and Drug Administration (FDA) contain azacycle skeletons [1], and numerous drugs on the market share a similar azacycle moiety. For instance, captopril is an important medicine for the treatment of hypertension, pibrentasvir is an antiviral agent for the treatment of hepatitis C, gilteritinib was approved by the FDA for the treatment of relapsed or refractory acute myeloid leukemia with a FLT3 mutation, and futibatinib was recently approved by the FDA for the treatment of metastatic intrahepatic cholangiocarcinoma (Figure 1) [42,43,44,45]. Due to their enormous potential, the synthesis of N-substituted heterocycle building blocks is a valuable challenge in organic and medicinal chemistry. Historically, numerous attempts have been made to synthesize azacycles. Several studies have succeeded in synthesizing or functionalizing azacycle compounds. In addition, several methods of synthesis for aromatic azacycles have been reported [46,47,48,49,50,51,52,53,54,55,56,57,58,59,60]. However, these methods still have several drawbacks such as being time-consuming, requiring a high temperature, expensive additives, and/or organic solvents, and/or having low chemoselectivity properties [61,62,63].
Figure 1.
Several drugs bearing the azacycle moiety.
In recent years, many researchers have developed novel approaches to forming azacycle molecules by designing more effective, convenient, economical, and green processes. The present review summarizes recent advances in the synthesis of the following azacycles: azetidine, pyrrolidine, piperidine, azepane, etc.
2. Reactions
2.1. Dialkylation of Primary Amines with Dihalides
One of the old synthetic protocols for the preparation of azacycles is the reaction of amines with dihalides (Br and Cl), reported by Hill and co-workers in 1954 [64]. A microwave reaction was also developed as a useful method for the synthesis of azacyclic compounds. Before 2010, a series of reactions using microwaves between amines and dihalides was reported, and these microwave-assisted syntheses were usually achieved within 20 min at 110–150 °C [65,66,67,68,69].
In 2007, Patel and coworkers performed N-alkylation of anilines with halides in the presence of sodium dodecyl sulfate (SDS) and NaHCO3 in H2O for the preparation of azacycle compounds (Scheme 1) [70]. In aqueous-mediated N-alkylation of amines, a variety of six- and seven-membered N-aryl heterocyclic amines were synthesized from aniline’s derivatives and alkyl dihalides via alkylation and intramolecular cyclization. Several aniline derivatives with both electron-donating and electron-withdrawing groups were successfully employed in this reaction, providing desired products (3a–3f) with good yields.
Scheme 1.
Aqueous N-alkylation of amines with dihalides.
Another microreactor system was employed for the synthesis of azacycles by Gao and co-workers (Scheme 2) [71]. In order to overcome the uncontrollable local temperature inside a conventional reaction batch, they used a microreactor system with separate pumps to inject each precursor into a micromixer in precise order and amounts. Reactions of aniline’s derivatives with halides in the presence of K2CO3 in a water–ethanol solvent mixture were carried out at 120 °C and 75 psi. Controlling the residence time through adjusting the flow rate to increase retention time leads to the formation of products within 5 min. Various functional groups on aniline were tolerated with the reaction protocol using a microreactor. A reaction using aniline’s derivatives bearing electron-donating groups and electron-withdrawing groups with a longer retention time was smoothly conducted to produce azacycles (6a–6d) with a five-membered ring at high yields. Additionally, azacycles (6e–6g) with six- and seven-membered rings were successfully formed with good yield (over 60%) using this microreactor system. However, a four-membered ring product (6h) was obtained with 30% under the same reaction conditions due to significant ring strain. In addition, the synthesis of ester-substituted azacycles was investigated. It was found that these ester groups are often hydrolyzed during the cyclization reaction of amines in basic conditions. However, a retention time of 5 min resulted in high selectivity in the alkylation of amines. It was explained that the ability to generate heat and transfer precursor rapidly helped to form the product more quickly under basic conditions.
Scheme 2.
N-heterocyclization of primary amines with dihalides in a microreactor system.
2.2. N-Heterocylization of Primary Amines with Diols
In 2013, Shi and co-workers developed metal-catalyzed double N-alkylation of amines with diols for synthesizing azacycles [72]. The reactions between amines and alcohols were conducted in the presence of NiCuFeOx catalyst in xylene at reflux for 24 h (Scheme 3). A broad range of amine sources, including aromatic and aliphatic primary amines, secondary amines, and ammonia, were tolerated with this reaction, affording azacycles (9a–9e) with good yields. In this study, different types of diols were successfully used in the process to form five-, six-, or seven-membered N-heterocycles (9f–9h) with good yield (73–93%).
Scheme 3.
N-Alkylation of amines with diols using NiCuFeOx. (The letter “x” in NiCuFeOx could indicate different iron oxides generated from the precipitating reaction or the mixture of copper, nickel, and iron oxides in general).
Ni-catalyzed synthesis of N-heterocycles, including azacyles from amines and diols, were reported by Tang and co-workers in 2019 [73]. The processes employed Ni(OTf)2 and 1,2-bis(dicyclohexylphosphino)-ethane (dcype) as catalysts to transfer hydrogen and were conducted in 1,1,1,3,3,3-hexafluoroisopropanol (HFIP) as a solvent at 120 °C (Scheme 4). The reaction worked effectively on several anilines bearing electron-donating groups, providing N-aryl piperidines (12a–12c) with high yields. Additionally, five- and seven-membered azacycles (12d–12f) were also synthesized with moderate to good yields using the same process.
Scheme 4.
Cyclization of arylamines with diols using Ni(OTf)2 and dcype.
In 2020, Donohoe and co-workers developed an iridium-catalyzed annulation reaction between primary amines and diols [74]. The reaction of amines with diols was carried out in the presence of [Cp*IrCl2]2 in water at 80 °C (Scheme 5). In this study, they attempted to design an enantioselective reaction to reduce racemization. This reaction protocol was applied for the synthesis of monosubstituted N-benzyl piperidines at the C3 and C4 positions. Various diols were successfully employed in this annulation reaction. In particular, diols bearing aliphatic, aromatic, and bulky groups, as well as diols with electron-donating and electron-withdrawing groups at the C4 and C3 positions, were well tolerated with this reaction, affording products (15a–15d) in high yield with excellent diastereoselectivity. Diols with a heteroatom in the skeleton were also tested and readily yielded morpholine. Several multi-substituted heterocycles with substituent positions and stereo configurations were effectively employed for this process to produce the N-heterocycle (15e) with preserved absolute stereochemistry. In addition, this reaction also occurred in the synthesis of bicyclic azacycle 15f with good yield (75%). A variety of substituted amines with electron-rich and electron-poor groups as well as steric hindrance groups was also well tolerated in the process, affording products (15g, 15h) with good yields (62–86%). The annulation reaction of various substituents on amine with a certain diol isomer smoothly afforded the desired products (15i–15n) with moderate to good yields while preserving the absolute configuration of the chiral carbon.
Scheme 5.
Synthesis of azacycles by the iridium-catalyzed annulation reaction.
2.3. N-Heterocylization of Primary Amines with Dicarbonyl Compounds
2.3.1. N-Heterocylization of Primary Amines with Dialdehydrides
Dialdehydrides have been used for the reaction of amines to produce azacyclic compounds. A series of reactions of dialdehydrides with amines to produce azacycles was reported before 2000 [31,32,33,34]. Most of these processes were achieved via reductive amination of aldehydes.
In 2000, Baba and co-workers reported the reductive amination of aldehydes and amines using a tin hydride system for the synthesis of azacycles [75]. The reductive amination reactions were carried out in the presence of Bu2SnClH-HMPA in THF at −78 °C or 0 °C (Scheme 6). In the process, dialdehydes were successfully treated with primary amines to produce N-substituted cycle amines including azacycles (18a, 18b, 21) with good yields (63–74%). The reaction scope was also expanded to the reaction of amino esters and amino alcohols, which resulted in products with good yields. However, aliphatic amines such as isopropyl, benzyl, and other alkyl amines were not well tolerated with this method due to their strong basicity.
Scheme 6.
Reductive amination of dialdehydes with primary amines.
A plausible mechanism for this process, proposed by Baba and co-workers, is depicted in Scheme 7. Carbonyl compound 22 was reacted with amine to form imine 23 and then tin chloride reductant reacted with 23 to form an iminium salt complex, 25. It was proposed that the long Sn–Cl bond provided an easy way to form iminium salts. The charged iminium salt made it more easily reduced by hydride than other reducible groups like carbonyl or multiple bonds, thus leading to the high selectivity of the process. Finally, 25 was converted to 26. The reduced complex 26 was then reacted with hydrogen ions to generate amine 27, and the tin chloride complex was returned.
Scheme 7.
Plausible mechanism for the reductive amination of carbonyls with amines.
2.3.2. N-Heterocylization of Primary Amines with Dicarboxylic Acids
Carboxylic acids were also employed for the synthesis of azacycles. In 2020, Darcel and co-workers carried out the synthesis of N-substituted cyclic amine from diacids and amines via a hydrosilylation reaction [76]. The hydrosilylation reactions between diacid and amine were achieved via a reaction in the presence of Fe(CO)4(IMes) as a catalyst, Fe(OTf)2 as an additive, and phenylsilane in DMC at 110 °C (Scheme 8). Various functional groups, including electron-donating and electron-withdrawing groups and heteroaromatic groups on aliphatic amine, were well tolerated in the reaction, affording azacycles (34a–34d) with good yields (68–96%). However, when bulky group-substituted amines were employed, the reaction yield was reduced due to the effect of steric hindrance on the reaction (34e). Reactions using halogen- and electron-donating group-substituted anilines smoothly afforded the azacycle products (33b–33d, 34f, 34g, 35c) with moderate to good yields (50–95%). However, reactions using electron-withdrawing groups such as nitro or cyano did not yield the desired products. Interestingly, reactions of aniline-substituted alkyl amine substrates with diacids showed high selectivity for N-alkylation of aliphatic nitrogen, producing the desired products (34h, 33e, 35d) with 85–91% yields, while the aniline moiety remained unaffected. Additionally, useful drugs (Fenpiprane and Prozapine) were readily prepared with good yields via this reaction method.
Scheme 8.
Hydrosilylation reaction between diacids and primary amines.
A probable mechanism of the reaction is presented in Scheme 9. Dehydrogenative silylation of diacid 28 formed silylated diester 36 and generated H2. Removal of R3Si-O-SiR3 provided a cyclic anhydride, 37, which may undergo reduction to form diol 39 but primarily reacts with amine to form an intermediate imide, 38. This imide was then reduced to amide 40, which was converted to cyclic amine 33 via hydrosilylation catalyzed by the iron complex.
Scheme 9.
Probable mechanism for the hydrosilylation reaction of diacids and primary amines.
In 2022, Kim and co-workers reported SnCl2-catalyzed reductive amination between dicarboxylic acids and aryl amines for the synthesis of azacycles [77]. Reactions between aniline’s derivatives and diacids were carried out in the presence of SnCl2 and PhSiH3 in toluene at 110 °C (Scheme 10). The SnCl2-catalyzed reactions successfully produced various N-aryl cyclic amines bearing a five-membered ring moiety (43a–43d). A wide range of substituents on aniline, including electron-donating groups such as methoxy, ethyl, and tert-butyl groups, and electron-withdrawing groups such as halogens and nitrile groups, was tolerated with the reaction, leading to the generation of the corresponding products (43e–43h) with good yields (66–87%). Additionally, reactions using adipic acid readily afforded seven-membered azacycles (43i, 43j) with high yields (75–85%). Moreover, using this method, more complex azacycles such as N-aryl isoindolines and N-aryl tetrahydroisoquinolines (43k, 43l) were successfully synthesized with high yields.
Scheme 10.
Reductive amination of dicarboxylic acids and aryl amines using SnCl2 and PhSiH3.
The proposed pathway for this reaction is shown in Scheme 11. Initially, succinic acid 42 was dehydrogenatively silylated by phenylsilane, producing diester 44 and H2. Release of 45 resulted in the formation of a cyclic anhydride, 46, which reacted with aniline to form 1-phenylpyrrolidine-2,5-dione 47. Two reductions of 47 in the presence of PhSiH3 and SnCl2 generated target product 43.
Scheme 11.
Proposed reaction pathway for the reductive amination of succinic acid and aniline.
2.3.3. N-Heterocyclization of Primary Amines with Diesters
In 2017, Harvie and co-workers developed the synthesis of azacycles from diesters via hydrogenation [78]. The reactions of 1,6-hexanedioate with aniline were carried out in the presence of [Ru(acac)3], triphos, and methanesulfonic acid (MSA) as catalysts and hydrogen gas in dioxane at 220 °C for 42 h (Table 1). Using this method, alkyl, aryl, and bulky alkyl esters were readily converted to N-heterocycle products (Table 1, entries 1–3), while reactions using diacids did not efficiently yield the target products (Table 1, entry 4). Moreover, various five-, six-, seven-, and eight-membered azacycle products (Table 1, entries 5–7) were prepared from this reaction process with good yields (66–92%). The reaction using branched diester also afforded the corresponding products (Table 1, entry 8) with good yield. However, both pure enantiomers were racemized after reaction (Table 1, entries 9, 10).
Table 1.
Synthesis of azacycles from dicarbonyl substrates and aniline via hydrogenation.
The proposed pathway of this reaction is shown in Scheme 12. Hydrogenation of one ester group of substrate 49 formed ester aldehyde 52. This ester aldehyde reacted with aniline to provide an imine, which was reduced by H2 to afford compound 53. The remaining ester group of 53 was also hydrogenated to give aldehyde 54, which underwent cyclization to form N-heterocycle 51.
Scheme 12.
Proposed reaction pathway for the hydrogenation of diester and reaction with aniline.
2.4. N-Heterocyclization of Primary Amines with Cyclic Ethers
2.4.1. Metal-Based N-Heterocyclization of Primary Amines with Cyclic Ethers
Reactions of amine with cyclic ethers were carried out for the synthesis of azacyclic compounds. A series of reactions using metal-based reagents including alumina, Al2O3, and TiO2 was reported before 2000 [79,80,81]. In 2014, Lee and co-workers reported AlMe3 mediated synthesis of N-aryl N-heterocycles from cyclic ethers and aniline derivatives in toluene at 110 °C (Scheme 13) [82]. Reactions of tetrahydrofuran (THF) with a wide range of aromatic amines bearing electron-donating groups successfully afforded azacycles (57a–57c) with 70–72% yields. Reactions using aromatic amines with electron-withdrawing groups like chloride, fluoride, and bromide yielded the corresponding products (57d, 57e) with increased reaction yields. 2-Methyltetrahydrofuran and 4-fluoroaniline were smoothly employed in this reaction to prepare azacycle 57f, with 90% yield. Compound 57g containing napthyl was also synthesized, with moderate yield. In addition, tetrahydropyran was tolerated with the reaction to provide N-aryl piperidine (57h), with good yield. Several fused heterocyclic systems including tetrahydroisoquinilines and isoindolines were also prepared by conducting this reaction in xylene at 150 °C. Aniline and its derivatives bearing electron-donating and electron-withdrawing groups were readily used for the process to give fused heterocyclic compounds (57i–57n).
Scheme 13.
AlMe3-mediated N-heterocyclization of anilines and cyclic ethers.
A probable mechanism was suggested by Lee and co-workers (Scheme 14). Control experiments showed that the formation of compound 57 via the transformation of compound 61 in the presence of AlMe3 was achieved to support the mechanism. Reaction of aniline and AlMe3 generated dimethyl aluminum-amide 58 and methane. Then, THF was added to 58 to form complex 59. Later, attack of nucleophilic amide at the α-carbon of tetrahydrofuran 59 provided cycle 60. The amide of 60 attacked the other carbon at the α position to oxygen, resulting in the formation of azacycle 57.
Scheme 14.
Probable mechanism for N-heterocyclization in the presence of AlMe3.
In 2015, Poliakoff and co-workers developed a self-optimizing continuous-flow reaction involving aniline, dimethyl carbonate (DMC), and THF in the presence of supercritical CO2 and γ-Al2O3 at high pressure (10–20 MPa) (Scheme 15) [83]. The reaction between aniline and THF in the presence of DMC generated N,N-dimethylaniline 63 as the major product, as well as several N-substituted byproducts such as N-methylaniline 64, methyl phenylcarbamate 65, and N,N-4-trimethylaniline 66. Remarkably, when the reaction was performed in the absence of DMC, N-phenylpyrrolidine 68 was found to be the predominant product with an over 99% yield. 2-Methyltetrahydrofuran was also tolerated with this cyclization reaction, and compound 70 was smoothly produced.
Scheme 15.
Reactions of anilines and THF through the self-optimizing continuous-flow reaction.
A possible pathway for the synthesis of N-aryl cyclic amine is presented in Scheme 16. The nucleophilic nitrogen of aniline attacked THF, generating an amino alcohol intermediate 72. In the absence of DMC, intermediate 72 underwent an intramolecular nucleophile substitution, leading to the formation of the desired compound 68. However, in the presence of DMC, the labile amino alcohol 72 would be alkylated by DMC to form compound 73. The alkylation of 73 by another DMC and THF produced byproducts 74 and 75, respectively.
Scheme 16.
Possible reaction pathways for reactions of aniline with DMC and THF in scCO2.
In 2017, Wang and co-workers reported the transformation of aniline and cyclic ethers to N-aryl azacycles in the presence of TiCl4 in toluene at 110 °C for 24 h (Scheme 17) [84]. Reactions of aniline and its halogen derivatives produced the corresponding products (78a, 78b) with 68–76% yields. Electron-withdrawing groups such as nitro and electron-donating groups such as the methyl group on aromatic amines were tolerated with this reaction, which gave target products (78c, 78d) with 59% and 60% yields, respectively. In addition, 2-Methyltetrahydrofuran was also employed in the process to generate the product (78e) with 67% yield. Using this method, tetrahydropyran was effectively converted to N-aryl six-membered azacycle (78f) in xylene at 140 °C. The reaction scope was further expanded to successfully synthesize fused N-heterocycles (78g, 78h).
Scheme 17.
TiCl4-mediated synthesis of azacycles from anilines and cyclic ethers.
A plausible mechanism was suggested via calculation of the Gibbs free energies (Scheme 18). The kinetic study of the reaction between 4-fluoroaniline and THF suggested a pseudo-first-order reaction with a rate constant of 5 × 10−5 s−1 and an activation energy of 30 kcal mol−1. This activation energy was consistent with the required energy of the proposed mechanism (26.9 kcal mol−1). The reaction of aniline, TiCl4, and THF formed complex 79. Calculation of the Gibbs free energies showed that the rate-determining step was the ring opening of the activated cyclic ether. Nucleophilic attack of the nitrogen of 79 on the α-carbon of the activated THF ring formed transition state 80. The cyclic ether ring of 80 was opened to yield 81, followed by HCl elimination and the formation of a seven-membered ring to give 82. The α-carbon of oxygen in 82 was subsequently attacked by nucleophilic nitrogen to form 83 with a new C–N bond. Ring closing generated the azacycle product 78 and a titanium complex.
Scheme 18.
Plausible mechanism of TiCl4-mediated reaction of aniline with THF.
Reaction of N-alkyl-protected arylamines with THF in the presence of TiCl4 and 1,8-diazabicyclo[5.4.0]undec-7-ene (DBU) for the synthesis of azacycles was reported by Kim and co-workers in 2020 (Scheme 19) [85]. Reaction between N-alkyl-protected arylamine with THF in the presence of only TiCl4 gave the desired product with a lower yield (24%). Thus, several bases were screened to increase the reaction yield and DBU was proven to be an effective base to provide azacycles with high yields. A wide range of N-ethyl anilines bearing electron-donating groups and electron-withdrawing groups was effectively transformed into the corresponding N-aryl azacycles (86a–86g) in high yields (70–94%). In addition, steric hindrance did not have any significant negative effects on the reaction yield and compound 86h was synthesized at a yield of 71% under the same reaction conditions. Reactions of 2-methyltetrahydrofurans with electron-rich and electron-poor arylethyl amines readily produced desired N-aryl azacycles (86i and 86j). Tetrahydropyran was also well tolerated in the reaction, affording a six-membered azacycle 86k with high yield. Using the process, fused ring cyclic ethers such as 1,3-dihydroisobenzofuran and isochromane were successfully transformed to azacycle products (86l–86n) with no significant effect of the substituents on the benzene ring.
Scheme 19.
Synthesis of azacycles from N-alkyl-protected arylamines with cyclic ethers.
Arylamines protected by various alkyl groups such as methyl, isopropyl, and tert-butyl were tolerable in this process and the formation of target N-aryl azacycle products (89a–89e) was achieved with 82–93% yields (Table 2). However, reactions using N-alkyl-protected aliphatic amine were not successfully carried out.
Table 2.
Synthesis of N-aryl azacycles from various N-alkyl amines and THF.
The proposed mechanism of this reaction is shown in Scheme 20. Control experiments showed that reaction with TiCl4 alone afforded the desired azacycle with low yield, while the reaction with DBU alone generated no desired product, indicating the essential role of DBU in activating the arylamine to increase reaction yield. N-Alkyl arylamine was bound to TiCl4 to give the titanium complex 90, followed by the binding of THF to 90 to form a complex, 91. During the process, HCl was consumed by DBU. Intramolecular attack of the nucleophilic nitrogen of 91 at an α-carbon of cyclic ether led to the formation of a four-membered ring intermediate 92. The fused ring system was spontaneously opened, forming a seven-membered ring complex, 94. Eventually, nucleophilic attack of nitrogen of 94 at the carbon-bearing oxygen generated the desired azacycle, 86, and CH3CH2Cl and TiOCl2 were discharged.
Scheme 20.
Proposed mechanism for the TiCl4-mediated reaction of N-alkyl protected arylamine with THF.
In 2022, Kim and co-workers used arylhydrazines to synthesize azacycles. The reactions were performed in xylene with TiCl4 and 1,5,7-triazabicyclo[4.4.0]dec-5-ene (TBD) at 120 °C, where a variety of arylhydrazines derivatives were converted into N-aryl pyrrolidines (Scheme 21) [86]. It is noteworthy that N-arylhydrazine was nearly inactive when using solely TiCl4. Thus, the employment of TBD plays an important role in enhancing the efficiency for the synthesis of azacycles from N-arylhydrazines. Many different functional groups such as electron-donating alkyl groups, electron-withdrawing halogen, and steric-hindered groups on aryl hydrazines were well tolerated in the process, affording the corresponding products (98b–98e) with high yields (77–92%). In this reaction, 2-methyltetrahydrofuran, a sterically hindered cyclic ether, and tetrahydropyran were effectively transformed into the desired products (98f–98h) with 85–94% yields. Additionally, various N-aryl isoindolines were successfully prepared in high yields using this method. In particular, electron-rich and electron-poor N-aryl hydrazines were tolerable in the reaction, affording the desired products (98i–98k) with 84–90% yields. N-aryl tetrahydroquinolines bearing electron-donating and electron-withdrawing substituents (98l–98n) were also synthesized in high yields.
Scheme 21.
TiCl4-mediated reaction of arylhydrazines and cyclic ethers.
A probable mechanism for this reaction was suggested by Kim and co-workers (Scheme 22). Control reactions of phenylhydrazine in the presence of TiCl4 and TBD at 120 °C and at room temperature showed that the formation of aniline was only detected at 120 °C. N-Aryl hydrazine 96 reacted with TiCl4 to discard NH3 and provide aniline 99. At the same time, THF was bound to TiCl4 to form complex 100. Next, the attack of the nucleophilic nitrogen of aniline 99 at the carbon-bearing oxygen of THF generated complex 101, while HCl was consumed by TBD. An intramolecular nucleophilic attack in 101 led to the formation of product 98, while another HCl was removed by TBD and TiOCl2 was discarded.
Scheme 22.
Probable mechanism for TiCl4-mediated reaction of arylhydrazine and THF.
2.4.2. Non-Metal-Based N-Heterocyclization of Primary Amines with Cyclic Ethers
In 2016, Sun and co-workers carried out the synthesis of N-aryl azacycles via reaction between aromatic amines and cyclic ethers in the presence of B(C6F5)3 and pTSA·H2O under an argon atmosphere (Scheme 23) [87]. A variety of substituted anilines were successfully employed for the synthesis of azacycle compounds. Several electron-withdrawing groups such as nitro and chloro groups were tolerated in the reaction with THF, affording the corresponding azacycles (104a–104c) with 76–88% yields. Aromatic amines bearing electro-donating groups, however, were less reactive in the process than aromatic amines bearing electron-withdrawing groups (50% for methoxy (104d) and 77% for methyl (104e) at the para position, respectively). Aromatic amines with steric hindrance were also tested and provided products (104f) with drastically reduced reaction yields. In addition, the reaction using 1-naphthylamine was successfully conducted, giving product 104h, and secondary amine N-methylaniline was also converted to the desired product 104g in moderate yield. Various cyclic ethers were examined for this process. Reaction of 2-methyltetrahydrofuran with aniline and chloroaniline produced the corresponding azacycles (104i, 104j) at lower yields than those of THF. Remarkably, using this reaction, 1,3-dihydroisobenzofuran was smoothly converted to fused cyclic amine 104k with a 77% yield. However, the use of tetrahydropyran did not give the target product under the same reaction conditions.
Scheme 23.
B(C6F5)3-mediated preparation of N-aryl azacycles from arylamines and cyclic ethers.
A possible mechanism for the reaction was proposed by Sun and co-workers (Scheme 24). Aniline was bound with B(C6F5)3 to form species 105, which was confirmed by isolating and elucidating its structure with crystal X-ray and NMR. This species, 105, then reacted with THF to give an isolable adduct, 106. Elimination of B(C6F5)3 from 106 provided intermediate 107. Intramolecular annulation occurred to form N-aryl cyclic amine 104, with the aid of pTSA·H2O, releasing water in the process.
Scheme 24.
Proposed mechanism for the B(C6F5)3-mediated reaction of arylamine and THF.
In 2017, Wang and co-workers synthesized azacycles in the presence of BF3·Et2O as a Lewis acid mediator in xylene (Scheme 25) [88]. Several arylamines bearing electron-withdrawing groups were tolerated with this reaction, providing the corresponding azacycle products (110a–110d) with moderate yields (47–59%). However, steric hindrance influenced the reaction efficiency and azacycle 110e was prepared at a reduced yield. Reaction using arylamines bearing an electron-donating group such as 4-methyl aniline did not yield desired products (110f).
Scheme 25.
Boron trifluoride-mediated reaction of arylamines and cyclic ethers to prepare N-aryl azacycles.
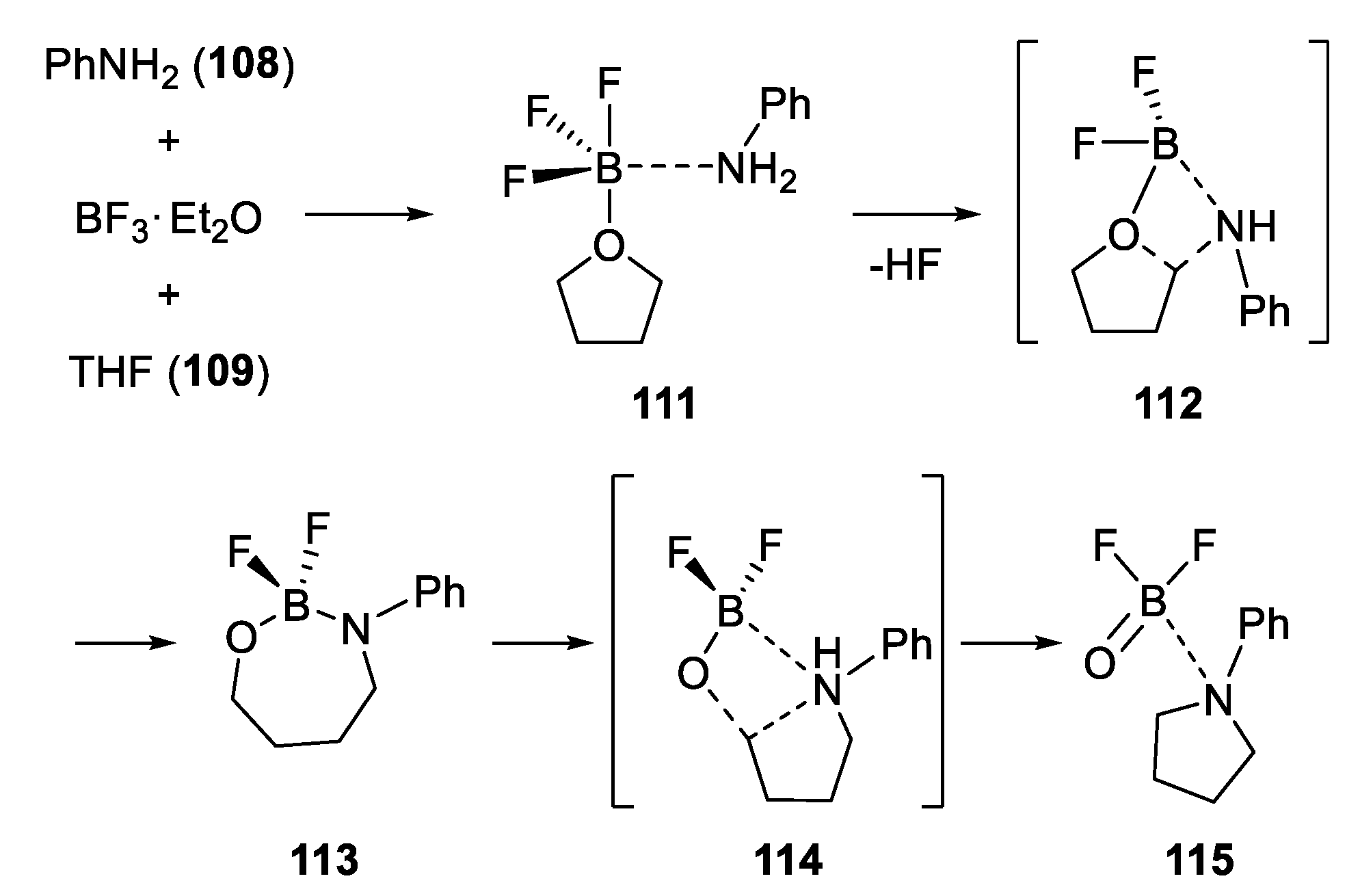
A possible mechanism of this reaction was proposed based on the calculation of the Gibbs free energies (Scheme 26). The energy profile of this reaction was similar to TiCl4-mediated reaction and its activation energy (25.7 kcal mol−1) was comparable to that of TiCl4-mediated reaction (26.9 kcal mol−1) [84]; therefore, a similar mechanism was proposed. However, unlike TiCl4-mediated reaction, formation of 114 was the rate-determining step. The reaction between aniline, THF, and BF3·Et2O formed a Lewis acid–base intermediate complex 111. Nucleophilic attack of the nitrogen of 111 on the α-carbon of THF of the complex gave complex 112, which was converted to the seven-membered ring intermediate 113. Nitrogen then attacked the α-carbon of activated oxygen to give a four-membered ring intermediate, 114. C–N bond forming and C–O cleavage produced the product complex 115, which, after elimination of B(O)F2, gave the desired product.
Scheme 26.
Proposed mechanism for the boron trifluoride-mediated reaction of arylamine and THF.
A hydrogen iodide-catalyzed process for the synthesis of N-aryl azacycles from aniline’s derivatives and cyclic ethers was reported by Wang and co-workers in 2017 [89]. The reactions were conducted in the presence of hydrogen iodide under a nitrogen atmosphere at 150 °C (Scheme 27). A variety of aromatic amines was employed as substrates to react with THF. Electron-donating substituted anilines such as methyl, methoxy, and hydroxy groups were tolerated with this method to afford the corresponding products (118b–118f). Steric hindrance of substituents at the ortho position reduced the reaction efficiency and target products were prepared with decreased reaction yields (66% for 1-(o-tolyl)pyrrolidine 118c and 46% for 1-(2,6-dimethylphenyl)pyrrolidine 118d). Similarly, using the process, anilines bearing electron-withdrawing groups, including a fluoro group and amide moiety, were smoothly converted to products (118g and 118h) with 98% and 64% yields, respectively.
Scheme 27.
Hydrogen iodine-catalyzed synthesis of N-aryl azacycles from arylamine and cyclic ethers.
A plausible mechanism for the reaction is illustrated in Scheme 28. This mechanism was supported by three facts, including the total inhibition of the reaction by radical inhibitor TEMPO (2,2,6,6-tetramethylpiperidine-1-oxyl), the detection of intermediates 121 and 125, and a decrease in 125 over the reaction time. Initially, HI was cleaved to generate reactive hydrogen radicals and iodine radicals. Continuously, the iodine radicals reacted with aniline to give resonance-stabilized aminyl radical 119. Cyclic ether was opened and iodinated by reaction with HI to generate iodine intermediates 120 and 121. Diiodine 121 then reacted with hydrogen radicals to form radical 122, which then reacted with radical 119 to form intermediate 123. On the other hand, intermediate 123 was produced from another reaction chain. Radical 124 was generated by the reaction of 120 with hydrogen radicals and then radical 124 reacted with radical 119 to give intermediate 125, which reacted with HI to transform to 123. Finally, cyclization of 123 produced the desired N-aryl pyrrolidine 118 and released HI.
Scheme 28.
Plausible mechanism for hydrogen iodide-catalyzed reaction of arylamine and THF.
In 2019, Kim and co-workers discovered a non-metal synthetic method for azacycles through a phosphoramidate intermediate [90]. Reactions between arylamines and cyclic ethers were carried out in the presence of POCl3 and DBU in xylene at 110 °C (Scheme 29). A wide range of electron-donating substituents on arylamines were successfully tolerated with this reaction, producing the corresponding N-aryl pyrrolidines (128a, 128b) in high yields. Although 2,6-diisopropylaniline had steric hindrance, reaction of 2,6-diisopropylaniline generated desired azacycle product 128c with 63% yield. Additionally, reactions of arylamine substrates bearing electron-withdrawing groups such as a nitro group and halogens with THF were smoothly conducted, affording desired products (128d). This method tolerates various cyclic ethers such as tetrahydropyran, oxepane, and 1,4-dioxane, and they were efficiently converted to the corresponding N-aryl azacycles (128f–128h) with good yields, suggesting expansion of the reaction scope and applications. Remarkably, steric hindrance of 2-methyltetrahydrofuran had no effect on the reaction efficiency, and target azacycle 128e was prepared in high yield. In addition, fused ring cyclic ethers also readily reacted with arylamines bearing electron-donating and electron-withdrawing groups, producing N-aryl isoindolines (128i–128k) and N-aryl tetrahydroquinolines (128l, 128m).
Scheme 29.
Synthesis of azacycles from arylamines and cyclic ethers using POCl3 and DBU.
A plausible mechanism proposed by Kim and co-workers is depicted in Scheme 30. This mechanism was confirmed by several facts obtained from control experiments. Phosphoramidic dichloride 129 was only produced when employing both POCl3 and DBU, rather than either alone. In addition, prepared phosphoramidic dichloride was successfully transformed into the desired product in the reaction with THF, which confirmed the formation of 129 during the reaction. The reaction started with the formation of phosphoramidic dichloride 129 in the presence of POCl3 and DBU. Nucleophilic attack of nitrogen of 129 allowed the ring opening of THF to generate intermediate 130. This intermediate underwent an intramolecular nucleophilic substitution to form target azacycle 128, releasing PO2Cl2.
Scheme 30.
Plausible mechanism of POCl3 and DBU reaction of arylamine and THF.
In 2019, Kim and co-workers further examined the POCl3-mediated synthesis of N-aryl azacycle from N-aryl aniline and THF. They proposed a solvent-free synthetic methodology to achieve the reactions (Scheme 31) [91]. In solvent-free synthesis using POCl3 and DBU, a variety of aniline derivatives and cyclic ether substrates bearing electron-donating and electron-withdrawing groups were smoothly transformed to their corresponding N-aryl heterocycles (134a–134h) with high yields.
Scheme 31.
Solvent-free reaction of arylamines and cyclic ethers using POCl3 and DBU.
2.5. C–N Coupling Reaction
Coupling reactions have been used for the synthesis of azacyclic compounds. Common method is a cross-coupling reaction of aryl halides with amines [92,93,94] and various C–N coupling reaction methods have been developed for the production of azacycles.
2.5.1. Coupling Reaction from Cyclic Amines and Hypervalent Iodine Compounds
In 2016, Stuart and Sandtorv used hypervalent iodonium salt for metal-free synthesis of azacycles [95]. They carried out reactions of aryl(TMP)iodonium salts (TMP = 2,4,6-trimethoxyphenyl) with cyclic amines in the presence of KF and water as additives in 1,2-dichloroethane (DCE) at 70 °C to give the corresponding azacycles (Scheme 32). Various aryl(TMP)iodonium trifluoroacetates containing electron-withdrawing groups such as trifluoromethyl, nitro, and ester groups were successfully coupled with amines to give morpholines (137a–137c) with high yields. Reactions using electron-poor aryl bearing two different groups also afforded 137d with high yield. Moreover, a variety of N-heterocycles including six-membered heterocycles (thiomorpholine, piperidine, and piperazine), a five-membered ring (pyrrolidine), and a seven-membered ring (azepane) were used to react with aryl(TMP)iodonium salts, producing the corresponding products (137e–137i) in high yields (60–93%).
Scheme 32.
C–N coupling reaction of cyclic amines with aryl(TMP)iodonium salts.
A proposed mechanism of this reaction is shown in Scheme 33. Formations of intermediates diaryliodonium fluoride and aryl fluoride intermediates were not detected by 19F NMR. Reaction of diaryliodonium trifluoroacetate salt 135 with cyclic amine 136 generated intermediate 138 via a ligand exchange between TFA and cyclic amine. Subsequently, nitrogen of 138 was coupled to the aryl group to give N-aryl azacycle 137, while I-TMP was eliminated and hydrogen was consumed by base A.
Scheme 33.
Proposed mechanism for the C–N coupling reaction of cyclic amines and aryl(TMP)iodonium salts.
Another coupling reaction using diaryliodonium salt to synthesize azacycles was developed by Olofsson and coworkers in 2018 [96]. Coupling reactions between diaryliodonium salts containing trifluoromethylsulfonyl (OTf) and aliphatic amines were achieved in toluene at 110 °C (Scheme 34). p-Nitrophenylation of piperidines, pyrrolidine, and tetrahydroquinoline was successfully performed to afford the corresponding azacycle products (141a–141c) with high yields. In addition, the phenyl group was smoothly coupled to cyclic amines to produce several N-phenyl azacycles including N-phenyl piperidine 141d, N-phenyl morpholine 141e, N-phenyl thiomorpholine 141f and 2-methyl-1-phenylindoline 141g. Additionally, electron-donating groups including tert-butyl and methoxy groups were also tolerated in the reaction, producing N-aryl cyclic amines (141h and 141i) with moderate yields.
Scheme 34.
C–N coupling reaction of aliphatic amines with diaryliodonium salts.
A mechanism of this process was proposed, as shown in Scheme 35. Control experiments showed that this reaction was not affected by adding radical scavenger 1,1-diphenylethylene (DPE), and aryne trap furan, indicating a ligand coupling mechanism. A reversible ligand exchange between OTf of 140 and cyclic amine 139 led to the formation of intermediate 142. In the presence of a base or excess amine, deprotonation of intermediate 142 gave intermediate 143. Continuously, the amine of 143 was coupled with an aryl group to generate N-aryl azacycle product 141 and released ArI.
Scheme 35.
Proposed mechanism for C–N coupling reaction of cyclic amines and diaryliodonium salts.
2.5.2. Coupling from Cyclic Amines and Triphenylsulfonium Triflates
In 2018, Zhang and co-workers developed a C–N coupling reaction using triarylsulfonium triflates as a N-phenylation agent [97]. The reaction was conducted in the presence of t-BuOK or KOH bases under a nitrogen atmosphere at 80 °C (Scheme 36). N-Phenylation using a variety of primary and secondary amines successfully produced the corresponding azacycle products with good yields. In addition, various N-heterocycles were smoothly converted to N-aryl heterocycles. Pyrrolidine, piperidine, morpholine, and thiomorpholine were well tolerated with this method, affording azacycle products (146a–146d) with good to excellent yields. Several fused ring heterocyclic scaffolds such as tetrahydroisoquinoline, phenolthiazine, carbazole, and indoles found in many drugs were also employed using this method to yield azacycles (146e–146i) with moderate to excellent yields.
Scheme 36.
N-phenylation of amines by triarylsulfonium triflates.
2.5.3. Cross-Coupling Reaction of Secondary Amines and Aryl Compounds
In 2019, Leonori and co-workers reported direct N-aryl amination of secondary amines via a visible light-catalyzed N–H/C–H cross-coupling reaction [98]. In this photo reaction process, amines were treated with aromatic compounds in the presence of NCS and Ru(bpy)3Cl2 in CH3CN or hexafluoroisopropanol (HFIP). The addition of HClO4 and a basic workup then yielded the desired products (Scheme 37). The coupling reactions between piperidine and arene compounds were investigated. Electron-rich benzenes bearing alkyl and alkoxy groups were well tolerated with this method to create products (149a–b) with good yields. Various functional groups such as protected amine, halide, and trimethyl silane at the para position of aromatic rings were successfully employed in this process. Noticeably, the reaction had selectivity for C–H of the ring with higher electron density in compounds bearing two separated aromatic rings or fused rings (149f and 149g). Using this method, a variety of N-aryl piperidines such as esters, amines, alcohols, halogens, azide, carbonyl, and sulfonamide at position C3 or C4 (149h–149n) were successfully synthesized with high yields. Fused N-heterocycles and small to medium-sized cyclic amines such as four-, five-, and seven-membered N-heterocycles were also converted to the corresponding products (149o–149r) with good yields under the same reaction conditions.
Scheme 37.
Light-catalyzed cross-coupling reaction of secondary amines for N-aryl amination.
A proposed mechanism of this method is illustrated in Scheme 38. Chlorination of 147 by NCS gave 150, which then received a proton to generate compound 151. At the same time, the photocatalyst (PC) Ru(bpy)3Cl2 was transformed to the excited state (PC*) under irradiation of blue LED. Next, a single electron transfer (SET) process occurred between PC* and compound 151 to afford aminium radical 152 and PC cation radical. Cyclic voltammetry was used to study the redox properties of N-chloropiperidine 150. Upon the addition of HClO4, the reduction potential shifted toward positive values, which confirmed the SET reduction of N-chloropiperidine 150 upon protonation. The aminium radical 152 reacted with arene to generate intermediate 153, which further interacted with PC cation radical in another SET process to provide cation 154 and returned the ground state PC. UV-vis absorption studies showed that, when keeping the mixture of 150, PC, and HClO4 in the dark, the mixture absorbed radiation in the blue region, while irradiating the mixture with blue light resulted in a rapid color change from orange to green. Thus, the effect of blue radiation was demonstrated. Finally, cation 154 released one proton to form the intermediate 155, which would undergo the basic workup to form the final arylated product.
Scheme 38.
Proposed mechanism for the light-catalyzed N–H/C–H cross-coupling reaction of secondary amines for N-aryl amination.
2.5.4. Cross-Coupling Reaction from Aryl Halides and Amides
In 2021, Tu and co-workers performed a Ni catalyzed cross-coupling reaction between aryl chlorides and amides to give azacycles (Scheme 39) [99]. The reaction was conducted in the presence of Ni(COD)2 as a catalyst and APr·HCl as the NHC precursor, tBuOK as the base, and water in toluene at 35 °C. Phenyl chloride and 4-trifluoromethyl chloride were employed as substrates for the reaction to afford N-aryl azacycle products. Cross-coupling reactions of cyclic formamide having different size rings successfully produced N-cyclic amines such as pyrrolidine (158a), piperidines (158b, 158c), and azepane (158d). In addition, heterocyclic formamides readily underwent cross-coupling with aryl chloride to afford the corresponding products including morpholines (158e, 158f) and piperazines (158g, 158j).
Scheme 39.
Nickel-catalyzed cross-coupling reaction of aryl chlorides with amides.
The proposed mechanism of this reaction is shown in Scheme 40. It was proposed based on several control experiments. In particular, the use of the radical inhibitor TEMPO did not affect the reaction yield, indicating a non-radical reaction mechanism. Furthermore, the detection of R2–H by-products confirmed a decarbonylation pathway. Ni(0) reacted with NHC to generate complex 159. Reaction of 159 with aryl chloride generated an intermediate 160. In addition, decarbonylation of amide substrate 157 by t-BuOK formed intermediate amine and released CO gas. This intermediate amine then reacted with 160 to provide intermediate 161. Finally, reductive elimination of 161 gave N-aryl amine product 158 via formation of a new C–N bond and intermediate 159 was recovered.
Scheme 40.
Proposed mechanism for the nickel-catalyzed cross-coupling reaction of aryl chlorides with amides.
2.6. [3+2] Cycloaddition
1,3-Dipolar cycloaddition, which is defined as the combination of a 1,3-dipole with a multiple bond or bond system called dipolarophile, is a widely applied method for synthesizing heterocycles [100,101,102].
Among 1,3-dipolar cycloaddition reactions, [3+2] cycloadditions have been used extensively for the synthesis of pyrrolidine derivatives and other five-membered heterocycles in an efficient way [102,103]. These reactions provide many advantages such as high regioselectivity, high stereoselectivity, and generating multiple stereocenters in one step [101,104].
In 2017, Jasiński and co-workers reported the catalyst-free [3+2] cycloaddition of N-methylazomethine ylide with nitroalkenes [105]. Reaction of sarcosine 162 and paraformaldehyde in benzene at 80 °C generated intermediate N-methylazomethine ylide 163. Using [3+2] cycloaddition of in situ formed the intermediate 163 with (2E)-3-aryl-2-nitroprop-2-enenitriles 164, and the desired pyrrolidine was immediately synthesized. Pyrrolidine derivative 165a was smoothly produced from (2E)-3-phenyl-2-nitroprop-2-enenitrile and 162 with 82% yield. Moreover, nitroalkenes bearing methyl and bromo groups on benzene ring were well tolerated with the reaction conditions to afford pyrrolidine products 165b and 165c with 76% and 84% yields, respectively (Scheme 41).
Scheme 41.
Catalyst-free [3+2] cycloaddition of N-methylazomethine ylide and (2E)-3-aryl-2-nitroprop-2-enenitriles.
In 2020, Chen and co-workers conducted a catalyst-free [3+2] cycloaddition for the synthesis of 3-pyrroline derivatives [106]. Reactions between o-hydroxyaryl azomethine ylides and electron-deficient alkynes were carried out in water at reflux without any catalyst. Several pyrrolines 168a–168d were successfully produced with 69–73% yields through the reaction of alkynyl ketones and o-hydroxyaryl azomethine ylides. In addition to alkynyl ketones, alkynyl esters were used in [3+2] cycloaddition reactions with o-hydroxyaryl azomethine ylides to afford the desired pyrroline derivatives 168e–168h in moderate to high yields (Scheme 42).
Scheme 42.
Catalyst-free [3+2] cycloaddition of o-hydroxyaryl azomethine ylides and electron-deficient alkynes.
[3+2] Cycloaddition was also applied for the synthesis of spirobipyrrolidines from imino esters and 4-benzylidene-2,3-dioxopyrrolidines by Fukuzawa and co-workers in 2022 [107]. [3+2] Cycloaddition reactions were catalyzed by Ag/(R, Sp)-ThioClickFerrophos (TCF) in the presence of Et3N as a base in THF at 0 °C. A variety of imino esters bearing different benzene and thiophene moieties and many 4-benzylidene-2,3-dioxopyrrolidines were compatible with the reaction conditions, resulting in the formation of desired spirobipyrrolidines in high to quantitative yields with high stereoselectivity for unusual exo’-products (Scheme 43).
Scheme 43.
Silver-catalyzed [3+2] cycloaddition of imino esters with 4-benzylidene-2,3-dioxopyrrolidines.
Additionally, [3+2] cycloadditions have been utilized for the synthesis of various five-membered heterocycles. For instance, organocatalyzed [3+2] cycloadditions of salicyaldehyde-derived azomethine ylides and nitroalkenes afforded a number of pyrrolidines [108]. In another study, reactions of azomethine ylides with different dipolarophiles catalyzed by (R)-DM-SEGPHOS–Ag(I) complex in p-xylene was employed for the preparation of pyrrolidines and pyrrolizidines in high yields and high enantioselectivities [109]. Pyrrolidine azasugar derivatives were prepared via asymmetric [3+2] cycloadditions of azomethine ylides and β-silyl acrylates in the presence of Cu(I) complex Cu(CH3CN)4BF4 [110]. Furthermore, Cu(II)-catalyzed asymmetric 1,3-dpolar cycloaddition of azomethine ylides and α-fuoro-α,β-unsaturated arylketone dipolarophiles yielded chiral 4-fluoropyrrolidines containing four contiguous stereogenic centers [111].
2.7. Intramolecular Cyclization
2.7.1. Intramolecular C–N Coupling Reaction
In 2013, Sarpong and co-workers reported a one-pot intramolecular C(sp3)-N coupling reaction to afford azacycles [112]. The intramolecular reactions were carried out in the presence of n-BuLi, ZnCl2, and I2 in THF (Scheme 44). Various N-alkyl-2-methylbenzylamine derivatives were employed as substrates for the reaction and they were successfully transformed into the corresponding azacycles. Reactions using substrates bearing a tertiary amine group and phenyl group provided products (174a and 174b) in 53% and 51% yields, respectively. The substrate bearing a bulky adamantyl group, a useful moiety in drug synthesis, was also tested and the target product 174c was prepared with 47% yield. Using the reaction method, azacycle 174d bearing a methoxy group at the ortho position was successfully obtained with 52% yield under the same reaction conditions, even though methoxy favored lithiation at the ortho position of benzenoid. Additionally, syntheses of N-acylated isoindoline 174e and N-alkyl isoindoline-1-one 174f were achieved with high yields. Moreover, six- and seven-membered azacycles (174g and 174h) were successfully prepared with high yields (64% and 74%).
Scheme 44.
Intramolecular C(sp3)-N coupling reaction of N-alkyl-2-methylbenzylamine derivatives.
2.7.2. Intramolecular C–N Amination and Cyclization
In 2020, Du Bois and co-workers developed a two-step process for the synthesis of azacycles involving C–H amination and intermolecular cyclization [113]. In the first step, reactions of alkyl bromide (or alkyl mesylate) with phenyl sulfamate were carried out in the presence of PhI(OPiv)2, Al2O3 as an additive, and [Rh2(esp)2] as a catalyst in t-BuCN for 6 h. Subsequently, the intramolecular cyclization using K2CO3 in DMF was conducted to form azacycles (Table 3). A wide range of saturated cyclic amines having four-, five-, six-, and seven-membered rings (177a–177d) was smoothly formed via C–H amination and cyclization reactions. Alkyl bromide substrates containing heterocycle and tertiary carbon were well tolerated in the process and were converted to the corresponding products (177e and 177f) with high yields. Noticeably, this study showed that the N-Boc protecting group, which is sensitive to basic conditions, was not decomposed during the process. Substrates bearing dioxolanes were converted to the azacycle product 177h at a yield of 91%, which could be deprotected for further structural modifications. Importantly, the stereochemistry of the starting materials was preserved during the operation, suggesting that this method would be convenient for the highly efficient synthesis of asymmetrical compounds (177f, 177h). This study also demonstrated that phenoxysulfonyl was a good protecting group for amines and could be deprotected in high yields.
Table 3.
Synthesis of azacycles via C–H amination and intramolecular cyclization.
2.7.3. Intramolecular Cyclization of Dihaloalkanes
In 2014, Gong and co-workers developed a method for the intramolecular cyclization of dihaloalkanes using NiI2, Zn, and ligands (2,2′-bipyridine or 4,4′-dimethyl-2,2′-bipyridine) in dimethylacetamide (DMA) to synthesize azacycles (Table 4) [114]. This process successfully cyclized a variety of dibromide and diiodine amines to give azacycles with five-, six-, and seven-membered rings. Cyclization of dihaloalkanes bearing acyl and aryl groups readily afforded pyrrolidine derivatives (180a–180h) with moderate to high yields. However, N-tosyl dibromide was not converted to the corresponding product 180e due to the electron withdrawal effect. Unsymmetrical dibromide amines and symmetrical secondary dibromide amines were also employed in the reaction, providing branched alkyl pyrrolidines (180i–180k) with 46–71% yields. Synthesis of larger size azacycles such as six-membered and seven-membered azacycles (180l and 180m) was also achieved, although with lower yields, suggesting a kinetically favorable pathway.
Table 4.
Synthesis of azacycles via intramolecular cyclization of dihaloalkanes.
Previous studies by Gong and co-workers suggested that the formation of organozinc reagents was not involved in the cross-coupling reaction of alkyl halides [115]. A plausible mechanism was proposed, as shown in Scheme 45. Ni(0) was combined with substrate 178 to generate X-Ralkyl-Ni(II) complex 181. In the presence of Zn, 181 was then reduced to X-Ralkyl-Ni(I) complex 182, which further underwent cyclization to form cyclic Ralkyl-Ni(III)-X complex 183. Reductive elimination of 183 generated cyclic product 180 and gave Ni(I), which was then reduced to Ni(0) by Zn. Alternatively, the intermediate 181 could also undergo a radical pathway in the presence of the Zn/Ni complex to form radical complex 184 and then this underwent a self-closing ring process to generate 183.
Scheme 45.
Plausible mechanism of Ni-catalyzed intramolecular cyclization of dihaloalkanes.
2.7.4. Intramolecular Cyclization of Diallyl Compounds
In 2013, Chirik and co-workers reported the synthesis of N-substituted pyrrolidines via an iron-catalyzed cyclization reaction [116]. In this study, diallyl-tert-butylamine (or diallylaniline) reacted with a bis(imino)pyridine iron dinitrogen complex (iPr(TB)PDI)Fe(N2)2) in benzene-d6 under a hydrogen atmosphere (Scheme 46). Diallyl amines bearing phenyl and tert-butyl groups were tolerated with the intramolecular [2π + 2π] cycloaddition to afford azabicyclo[3.2.0]heptane derivative 186 in quantitative yields. For the intramolecular hydrogenative cyclization of enynes, the products were dependent on the reaction time. Unsaturated product 188a was prepared in 30 min with 81% yield, while prolonging the reaction time (3 h) produced saturated pyrrolidine derivative 188b with 99% yield. Additionally, diyne was employed in the process. However, several byproducts of unsaturated pyrrolidine 190a were generated during the operation.
Scheme 46.
Iron-catalyzed intramolecular [2π + 2π] cycloaddition and intramolecular cyclization reactions for the synthesis of N-substituted pyrrolidines.
The mechanism of intramolecular cyclization was proposed based on studies on the electronic structures of iron catalyst and metallacycle complexes as shown in Scheme 47. Dinitrogen in catalytic complex 191 was replaced by substrate 187 to give intermediate bis(imino)pyridine iron complex 192. Then, 192 was hydrogenated to provide intermediate 193 by cleaving the C–Fe bonding. Finally, 193 was reduced by nitrogen to generate azacycle product 188 and complex 191 was recovered.
Scheme 47.
Proposed mechanism for the iron-catalyzed intramolecular cyclization of enynes and diynes (implied).
In 2015, Chirik and co-workers continued to investigate the intramolecular [2π + 2π] cycloaddition of α,ω-dienes for the synthesis of azabicyclo[3.2.0]heptane [117]. Reactions were carried out in the presence of bis(imino)pyridine cobalt dinitrogen derivatives (iPrPDI)CoN2 or (TricPDI)CoN2 in toluene (Scheme 48). Reaction of diallyl amines successfully produced several azabicyclo[3.2.0]heptane products bearing trityl, tert-butyl, and 4-fluorophenyl moieties (195a–195c). Notably, N-trityl azabicyclo[3.2.0]heptane 195a was synthesized from N-trityl diallyl amine in excellent yield by treating it with 2.5 mol % (iPrPDI)CoN2 and 1 mol% of (TricPDI)CoN2 in 6.5 h. Similarly, N-tert-butyl and N-4-flurophenyl azabicyclo[3.2.0]heptane products (195b, 195c) were readily prepared using 1 mol% (TricPDI)CoN2 in a short time. However, in the reaction of N,N-diallylbenzylamine, (iPrPDI)FeN2 was decomposed. Therefore, using 1 mol % [Fe] catalyst did not give any product. Increasing the amount of [Fe] catalyst to 3% gave the product 195d with 93% yield. On the other hand, (iPrPDI)CoN2 and (TricPDI)CoN2 remained stable and smoothly gave azabicyclo[3.2.0]heptane product 195d with 80% and 67% yields, respectively.
Scheme 48.
Iron- and cobalt-catalyzed intramolecular study intramolecular [2π + 2π] cycloaddition of α,ω-dienes.
By using in situ EPR spectroscopic monitoring, deuterium labeling and studies on steric and catalyst effects, a proposed mechanism of this reaction is shown in Scheme 49. Diallyl amine replaced the dinitrogen of the complex 198 reversibly, forming intermediate 199. Coordination of the second alkene generated cobalt diene complex 200. Complex 200 then underwent oxidative cyclization to give complex 201. Reductive elimination of 201 provided azabicyclo[3.2.0]heptane 195 and recovered the initial catalyst complex 198.
Scheme 49.
Proposed mechanism of bis(imino)pyridine cobalt dinitrogen-catalyzed intramolecular [2π + 2π] cycloaddition of α,ω-dienes.
2.7.5. Mitsunobu Cyclodehydration Reaction
In 2018, Jones and co-workers developed cyclization of aminoalcohols for the synthesis of N-aryl azacycles via the Mitsunobu reaction [118]. This reaction was carried out in the presence of triphenylphosphine and di-tert-butylazodicarboxylate (DTBAD) with or without acetic acid in THF at 0 to 25 °C (Scheme 50). The effect of pKa on this reaction was evaluated for the cyclization in the presence of acetic acid as a 5′-OH activator. Various aryl-substituted amino alcohols were tolerated with the reaction, affording N-aryl five- and six-membered cyclic amines (203b, 203c, and 203f) in moderate yields. However, in the absence of acetic acid, cyclic amines 203a, 203d, and 203e were not synthesized due to the high pKa of the amine group (pKa > 15).
Scheme 50.
Cyclization of amino alcohols for the synthesis of N-aryl azacycles. a Without AcOH; b addition of AcOH (1.0 equiv.); c addition of AcSH (1.0 equiv.).
2.7.6. Prins Cyclization
In 2009, Padrón and co-workers reported an iron-catalyzed Prins cyclization process to synthesize azacycles [119]. Homoallyl (or homopropargyl) N-tosyl amines were reacted with aldehyde in the presence of FeCl3 or Fe(acac)3 as a catalyst and trimethylsilyl halides (TMSX) as a halogen source in the corresponding halogenated solvent at room temperature to achieve cyclization (Table 5). In alkyne-Prins cyclization of homopropargylic derivatives, FeCl3-catalyzed Prins cyclization of 4-(tosylamino)-1-butyne 204 with several aldehydes 205 bearing isobutyl, cyclohexyl, and benzyl groups in the presence of TMSCl successfully afforded the corresponding chloro-substituted unsaturated azacycles (Table 5, entries 1–3) with 65–80% yields. Additionally, when TMSBr was employed, the bromo-substituted products (Table 5, entries 4–6) were readily formed with 81–88% yields. Replacement of FeCl3 by Fe(acac)3 did not cause a significant change of the reaction yield for the synthesis of azacycles, where 6-benzyl-4-chloro-1,2,3,6-tetrahydropyridine and 4-bromo-6-butyl-1,2,3,6-tetrahydropyridine (Table 5, entries 7 and 8) were prepared with 70% and 85% yields, respectively, via reaction using Fe(acac)3.
Table 5.
Iron-catalyzed Prins cyclization of 4-(tosylamino)-1-butyne.
For the Prins cyclization of homoallyl tosyl amines, saturated substituted N-tosyl piperidines 208 and 209 were readily produced in the presence of the corresponding iron halide salts (FeCl3 or FeBr3) with high yields (Table 6, entries 1–4). It is noteworthy that trans-pyrrolidine 208 was the major product in all of the experiments. Utilization of Fe(acac)3 catalyst increased the reaction efficiency, limiting byproducts while maintaining high yield (Table 6, entry 5). Moreover, in the reaction using Fe(acac)3 catalyst, products bearing alkene, BnO(CH2)2, and isobutyl (Table 6, entries 6–8) could be prepared at good yields.
Table 6.
Iron-catalyzed Prins cyclization of homoallyl tosyl amines.
A mechanistic pathway of the reaction was proposed as shown in Scheme 51. Aldehyde 205 was activated by iron salt FeX3 to form intermediate 210. Substrate 204 attacked the carbonyl group of 210 to give intermediate 211. Due to the high stability of iron oxide and nitrogen counterpart in 211, additionally, FeX3 as the only halide source, an indirect way via ligand exchange of FeX3 group of 211 with trimethylsilyl halide was needed. Then, 211 interacted with trimethylsilyl halide to provide intermediate 212 and return FeX3. Finally, 212 underwent Prins cyclization to form the six-membered azacycle product 206 and HOSiMe3 was released.
Scheme 51.
Proposed mechanism for the iron-catalyzed Prins cyclization of homoallyl tosyl amines.
The preparation of nitrogen-containing heterocycles through Prins reactions between N-sulfonyl homoallylamine and aldehyde or ketone in the presence of AlCl3 and trimethylsilyl halide in dichloromethane was reported by Li and co-workers in 2016 (Table 7) [120]. Phenylsulfonamide and its derivatives with electron-donating substituents on a benzene ring were successfully reacted with 4-methylbenzaldehyde to afford N-arenesulfonyl azacycles with high yields (78–88%) and with higher diastereoselectivity for trans-products. Various substrates with sulfonyl groups were evaluated for the process. Phenylsulfonamide derivatives bearing electron-donating groups on the benzene ring were readily reacted with 4-methylbenzaldehyde to give azacycles with high yields and higher diastereoselectivity for trans-products (Table 7, entries 1–3), while reaction using a phenylsulfonamide derivative bearing electron-withdrawing group (Table 7, entry 4) and methanesulfonylamide (Table 7, entry 5) yielded the corresponding products with moderate yields.
Table 7.
AlCl3-catalyzed Prins reactions of 4-methylbenzaldehyde with different sulfonamides substrates.
A wide range of aldehydes was well tolerated with Prins reactions using halide sources such as TMSCl, TMSBr, TMSI, and BF3·Et2O (Table 8). Reaction of aryl aldehydes bearing electron-donating groups such as alkyl and methoxy groups, and electron-withdrawing groups such as halogens, trifluoromethyl, nitrile, nitro, and carbonyl groups with TMSX (TMCl, TMSBr, TMSI) gave the desired products with high yields. This study showed that trans-products were favored over cis-products. However, when BF3·Et2O was employed for the reaction, lower diastereoselectivity was observed (Table 8, entry 8).
Table 8.
AlCl3-catalyzed Prins reactions of different aldehydes with N-tosyl homoallylamine.
N-tosyl homoallylamine reacted with ketones in the presence of AlCl3 and TMSBr to afford the corresponding products with moderate yields (Table 9), while the employment of TMSCl or TMSI did not produce successful results.
Table 9.
AlCl3-catalyzed Prins reactions of different ketones with N-tosyl homoallylamine.
A proposed mechanism for this reaction is presented in Scheme 52. In the presence of a Lewis acid, two E-, Z-conformations of iminium ions could co-exist. However, the Z-iminium ion was unstable due to the steric hindrance between the tosyl group and R group. Therefore, the reaction through the formation of the E-iminium ion was more favored [121]. The iminium ion was intramolecularly cyclized to form a six-membered ring cation 221 (or 222) with an equatorial Ts group and an axial R group. Then, nucleophilic attack of the halide ion to cation led to the generation of products. Notably, the steric hindrance of the R group made the trans-product the major product.
Scheme 52.
Proposed mechanism for Prins cyclization of N-tosyl homoallylamine.
3. Conclusions
In summary, azacycles, nitrogen-containing heterocycles, play a major role in organic and medicinal chemistry due to their frequent occurrence in various areas including the structures of natural products and FDA-approved drugs. Therefore, the development of efficient synthesis processes to introduce azacycle moieties into small and large molecules has been attractive to chemists.
As we have shown in this review, numerous synthetic methods for N-substituted azacycles have been developed by research groups in recent decades, such as alkylation, N-heterocyclization, reductive amination, cross-coupling, and intramolecular cyclization. These methods tolerate a wide range of starting materials with good selectivity, which could be applied for the preparation of useful azacycle compounds. In addition, the starting materials and reagents used in these reactions are commercially available or can be easily prepared.
Although significant advances have been achieved, some problems remain for scientists to solve. For example, the cost of catalysts, long reaction time, unclear mechanism, low reaction yields, and incompatible substrates are important factors to be considered in future studies. Better understanding of the reactivity, selectivity, and mechanism of these transformations is desperately needed to expand the reaction scope of substrates. In addition, gaining control over the stereoselectivity of these reactions will assist scientists in the synthesis of important bioactive compounds with many chiral quaternary centers.
The previously reported reactions and catalysts should be further studied for their applications for the synthesis of various azacycle compounds, which are vital to many fields including medicinal chemistry. Moreover, these reagents might be potential reagents for other chemical reactions. Further attempts in the development of novel synthesis of azacycles would provide a powerful toolbox for organic synthesis in the future. We believe that this review will provide an overall picture of recent progress in the synthesis of azacycle compounds.
Author Contributions
Conceptualization, H.-K.K.; writing—original draft preparation, A.T.N. and H.-K.K.; writing—review and editing, A.T.N. and H.-K.K.; funding acquisition, H.-K.K. All authors have read and agreed to the published version of the manuscript.
Funding
This research was supported by a National Research Foundation of Korea (NRF) grant funded by the Korean government (MSIT) (NRF-2021R1A2C1011204).
Conflicts of Interest
The authors declare no conflict of interest.
References
- Vitaku, E.; Smith, D.T.; Njardarson, J.T. Analysis of the Structural Diversity, Substitution Patterns, and Frequency of Nitrogen Heterocycles among U.S. FDA Approved Pharmaceuticals. J. Med. Chem. 2014, 57, 10257–10274. [Google Scholar] [CrossRef]
- Murray, C.W.; Rees, D.C. The Rise of Fragment-Based Drug Discovery. Nat. Chem. 2009, 1, 187–192. [Google Scholar] [CrossRef]
- Yu, M.; Yang, Y.; Sykes, M.; Wang, S. Small-Molecule Inhibitors of Tankyrases as Prospective Therapeutics for Cancer. J. Med. Chem. 2022, 65, 5244–5273. [Google Scholar] [CrossRef]
- Kim, J.; Bae, I.; Song, J.; Kim, Y.; Ahn, Y.; Park, H.J.; Kim, H.H.; Kim, D.K. Design, Synthesis, and Biological Evaluation of Imidazopyrazinone Derivatives as Antagonists of Inhibitor of Apoptosis Proteins (IAPs). Bull. Korean Chem. Soc. 2021, 42, 847–851. [Google Scholar] [CrossRef]
- Li, X.; Yang, S.; Zhang, H.; Liu, X.; Gao, Y.; Chen, Y.; Liu, L.; Wang, D.; Liang, Z.; Liu, S.; et al. Discovery of Orally Bioavailable N-Benzylpiperidinol Derivatives as Potent and Selective USP7 Inhibitors with in Vivo Antitumor Immunity Activity against Colon Cancer. J. Med. Chem. 2022, 65, 16622–16639. [Google Scholar] [CrossRef] [PubMed]
- La, M.T.; Jeong, B.H.; Kim, H.K. Design and Synthesis of Novel N-(2-Aminophenyl)Benzamide Derivatives as Histone Deacetylase Inhibitors and Their Antitumor Activity Study. Bull. Korean Chem. Soc. 2021, 42, 740–743. [Google Scholar] [CrossRef]
- Zhu, Y.; Shuai, W.; Zhao, M.; Pan, X.; Pei, J.; Wu, Y.; Bu, F.; Wang, A.; Ouyang, L.; Wang, G. Unraveling the Design and Discovery of C-Jun N-Terminal Kinase Inhibitors and Their Therapeutic Potential in Human Diseases. J. Med. Chem. 2022, 65, 3758–3775. [Google Scholar] [CrossRef] [PubMed]
- Li, J.; Cai, Z.; Li, X.W.; Zhuang, C. Natural Product-Inspired Targeted Protein Degraders: Advances and Perspectives. J. Med. Chem. 2022, 65, 13533–13560. [Google Scholar] [CrossRef] [PubMed]
- Shrestha, A.; Shrestha, R.; Lee, S.; Park, P.H.; Lee, E.S. 6-Hydroxy-Benzofuran-3-(2H)-Ones as Potential Anti-Inflammatory Agents: Synthesis and Inhibitory Activity of LPS-Stimulated ROS Production in RAW 264.7 Macrophage. Bull. Korean Chem. Soc. 2021, 42, 372–375. [Google Scholar] [CrossRef]
- Mitchell, E.A.; Peschiulli, A.; Lefevre, N.; Meerpoel, L.; Maes, B.U.W. Direct α-Functionalization of Saturated Cyclic Amines. Chem. Eur. J. 2012, 18, 10092–10142. [Google Scholar] [CrossRef]
- Ali, I.; Nadeem Lone, M.; Al-Othman, Z.A.; Al-Warthan, A.; Marsin Sanagi, M. Heterocyclic Scaffolds: Centrality in Anticancer Drug Development. Curr. Drug Targets 2015, 16, 711–734. [Google Scholar] [CrossRef] [PubMed]
- Rueda-Becerril, M.; Mo, J.Y.; Sammis, G.M. Free-Radical Synthesis and Functionalization of Heterocycles. In Topics in Heterocyclic Chemistry; Springer: Berlin/Heidelberg, Germany, 1941; Volume 54, pp. 321–343. [Google Scholar]
- Ghosh, S.; Cho, S.J. Comparative Binding Affinity Analysis of Dual CDK2/FLT3 Inhibitors. Bull. Korean Chem. Soc. 2022, 43, 1320–1327. [Google Scholar] [CrossRef]
- Kang, S.; Kang, B.H. Structure, Function, and Inhibitors of the Mitochondrial Chaperone TRAP1. J. Med. Chem. 2022, 65, 16155–16172. [Google Scholar] [CrossRef]
- Xie, Z.; Hou, S.; Yang, X.; Duan, Y.; Han, J.; Wang, Q.; Liao, C. Lessons Learned from Past Cyclin-Dependent Kinase Drug Discovery Efforts. J. Med. Chem. 2021, 65, 6356–6389. [Google Scholar] [CrossRef]
- Kim, S.L.; Yang, Y.S.; Lee, S.; Kim, N.J. Synthesis and Biological Evaluation of Anilide Derivatives as Epidermal Growth Factor Receptor L858R/T790M and L858R/T790M/C797S Inhibitors. Bull. Korean Chem. Soc. 2022, 43, 1032–1036. [Google Scholar] [CrossRef]
- Xie, W.; Yang, S.; Liang, L.; Wang, M.; Zuo, W.; Lei, Y.; Zhang, Y.; Tang, W.; Lu, T.; Chen, Y.; et al. Discovery of 2-Amino-7-Sulfonyl-7H-Pyrrolo[2,3-d]Pyrimidine Derivatives as Potent Reversible FGFR Inhibitors with Gatekeeper Mutation Tolerance: Design, Synthesis, and Biological Evaluation. J. Med. Chem. 2022, 65, 16570–16588. [Google Scholar] [CrossRef] [PubMed]
- Mazurek, A.P.; Bojarski, J.; Marcinkowski, K.; Furmanowa, M.; Gutkowska, B.; Kaliszan, R.; Pachecka, J.; Pawlaczyk, J.; Pluta, J.; Wieniawski, W.; et al. Modern Industrial and Pharmacological Applications of Indigo Dye and Its Derivatives—A Review. Acta Pol. Pharm. 2014, 71, 215–221. [Google Scholar]
- Lamberth, C. Heterocyclic Chemistry in Crop Protection. Pest Manag. Sci. 2013, 69, 1106–1114. [Google Scholar] [CrossRef]
- Zhang, D.; Liu, G.; Jiang, X.D. Non-Aryl Substituted Aza-BODIPYs at 1,7- or 3,5-Sites: Synthesis, Structures, Optical Properties, and Applications. J. Mater. Chem. C 2023, 11, 1668–1677. [Google Scholar] [CrossRef]
- Xu, Y.; Zhang, Y.; Li, J.; An, J.; Li, C.; Bai, S.; Sharma, A.; Deng, G.; Kim, J.S.; Sun, Y. NIR-II Emissive Multifunctional AIEgen with Single Laser-Activated Synergistic Photodynamic/Photothermal Therapy of Cancers and Pathogens. Biomaterials 2020, 259, 120315. [Google Scholar] [CrossRef] [PubMed]
- Smith, C.A.; Narouz, M.R.; Lummis, P.A.; Singh, I.; Nazemi, A.; Li, C.H.; Crudden, C.M. N-Heterocyclic Carbenes in Materials Chemistry. Chem. Rev. 2019, 119, 4986–5056. [Google Scholar] [CrossRef]
- Gao, H.; Zhang, Q.; Shreeve, J.M. Fused Heterocycle-Based Energetic Materials (2012–2019). J. Mater. Chem. A 2020, 8, 4193–4216. [Google Scholar] [CrossRef]
- Yoo, S.Y.; Gopala, L.; Kang, C.; Lee, M.H. Hydrogen Sulfide-Activatable Fluorescence Turn-on Azide-Containing Naphthalimide Derivative. Bull. Korean Chem. Soc. 2022, 43, 1231–1235. [Google Scholar] [CrossRef]
- Zhao, Y.; Kim, H.S.; Zou, X.; Huang, L.; Liang, X.; Li, Z.; Kim, J.S.; Lin, W. Harnessing Dual-Fluorescence Lifetime Probes to Validate Regulatory Mechanisms of Organelle Interactions. J. Am. Chem. Soc. 2022, 144, 20854–20865. [Google Scholar] [CrossRef]
- Zhou, Z.; Xie, X.; Sun, Z.; Wang, X.; An, Z.; Huang, W. Recent Advances in Metal-Free Phosphorescent Materials for Organic Light-Emitting Diodes. J. Mater. Chem. C 2023, 11, 3143–3161. [Google Scholar] [CrossRef]
- Lee, S.; Shin, E.Y.; Jang, D.; Choi, S.; Park, H.; Kim, J.; Park, S. Production of Mesoporous Carbon Nitrides and Their Photocatalytic Properties for Degradation of Organic Pollutants. Bull. Korean Chem. Soc. 2022, 43, 1124–1129. [Google Scholar] [CrossRef]
- Wang, S.; Ren, W.X.; Hou, J.T.; Won, M.; An, J.; Chen, X.; Shu, J.; Kim, J.S. Fluorescence Imaging of Pathophysiological Microenvironments. Chem. Soc. Rev. 2021, 50, 8887–8902. [Google Scholar] [CrossRef] [PubMed]
- Kim, J.; Kang, J.; Jung, I.H. Synthesis and Characterization of a Copper(II) Phthalocyanine-Based Dye for Organic Photodetectors. Bull. Korean Chem. Soc. 2022, 43, 1130–1135. [Google Scholar] [CrossRef]
- Kumari, S.; Maddeboina, K.; Bachu, R.D.; Boddu, S.H.S.; Trippier, P.C.; Tiwari, A.K. Pivotal Role of Nitrogen Heterocycles in Alzheimer’s Disease Drug Discovery. Drug Discov. Today 2022, 27, 103322. [Google Scholar] [CrossRef]
- Setaki, D.; Tataridis, D.; Stamatiou, G.; Kolocouris, A.; Foscolos, G.B.; Fytas, G.; Kolocouris, N.; Padalko, E.; Neyts, J.; De Clercq, E. Synthesis, Conformational Characteristics and Anti-Influenza Virus A Activity of Some 2-Adamantylsubstituted Azacycles. Bioorg. Chem. 2006, 34, 248–273. [Google Scholar] [CrossRef]
- Zhang, J.; Zhang, L.; Wang, J.; Ouyang, L.; Wang, Y. Polo-like Kinase 1 Inhibitors in Human Cancer Therapy: Development and Therapeutic Potential. J. Med. Chem. 2022, 65, 10133–10160. [Google Scholar] [CrossRef]
- Choi, C.; Park, J.; Jang, S.; Kim, J.; Lee, S.; Min, K.H. Discovery of Novel Thienopyrimidine Derivatives as LRRK2 Inhibitors. Bull. Korean Chem. Soc. 2022, 43, 232–235. [Google Scholar] [CrossRef]
- Martins, P.; Jesus, J.; Santos, S.; Raposo, L.R.; Roma-Rodrigues, C.; Baptista, P.V.; Fernandes, A.R. Heterocyclic Anticancer Compounds: Recent Advances and the Paradigm Shift towards the Use of Nanomedicine’s Tool Box. Molecules 2015, 20, 16852–16891. [Google Scholar] [CrossRef]
- Lee, D.H.; Seo, S.H.; Gotina, L.; Pae, A.N.; Lim, S.M. Structural Hybridization for Inhibitors of the Interaction between NRF2 and Keap1. Bull. Korean Chem. Soc. 2022, 43, 1088–1092. [Google Scholar] [CrossRef]
- Padhi, D.; Govindaraju, T. Mechanistic Insights for Drug Repurposing and the Design of Hybrid Drugs for Alzheimer’s Disease. J. Med. Chem. 2022, 65, 7088–7105. [Google Scholar] [CrossRef]
- Serpi, M.; Ferrari, V.; McGuigan, C.; Ghazaly, E.; Pepper, C. Synthesis and Characterization of NUC-7738, an Aryloxy Phosphoramidate of 3′-Deoxyadenosine, as a Potential Anticancer Agent. J. Med. Chem. 2022, 65, 15789–15804. [Google Scholar] [CrossRef]
- Jang, J.; Lee, K.; Koh, B. Investigation of Benzimidazole Anthelmintics as Oral Anticancer Agents. Bull. Korean Chem. Soc. 2022, 43, 750–756. [Google Scholar] [CrossRef]
- Chen, W.; Ji, M.; Cheng, H.; Zheng, M.; Xia, F.; Min, W.; Yang, H.; Wang, X.; Wang, L.; Cao, L.; et al. Discovery, Optimization, and Evaluation of Selective CDK4/6 Inhibitors for the Treatment of Breast Cancer. J. Med. Chem. 2022, 65, 15102–15122. [Google Scholar] [CrossRef] [PubMed]
- Zhong, Z.; Shi, L.; Fu, T.; Huang, J.; Pan, Z. Discovery of Novel 7-Azaindole Derivatives as Selective Covalent Fibroblast Growth Factor Receptor 4 Inhibitors for the Treatment of Hepatocellular Carcinoma. J. Med. Chem. 2022, 65, 7278–7295. [Google Scholar] [CrossRef] [PubMed]
- Lee, J.Y.; Shin, Y.S.; Jeon, S.; Lee, S.I.; Cho, J.E.; Myung, S.; Jang, M.S.; Kim, S.; Song, J.H.; Kim, H.R.; et al. Synthesis and Biological Evaluation of 2-Benzylaminoquinazolin-4(3H)-One Derivatives as a Potential Treatment for SARS-CoV-2. Bull. Korean Chem. Soc. 2022, 43, 412–416. [Google Scholar] [CrossRef]
- Ward, A.; Brogden, R.N.; Heel, R.C.; Speight, T.M.; Avery, G.S. Captopril: A Preliminary Review of Its Pharmacological Properties and Therapeutic Efficacy. Drugs 1983, 26, 468–502. [Google Scholar] [CrossRef]
- Hubbard, H.; Lawitz, E. Glecaprevir + Pibrentasvir (ABT493 + ABT-530) for the Treatment of Hepatitis C. Expert Rev. Gastroenterol. Hepatol. 2018, 12, 9–17. [Google Scholar] [CrossRef]
- Perl, A.E.; Altman, J.K.; Cortes, J.; Smith, C.; Litzow, M.; Baer, M.R.; Claxton, D.; Erba, H.P.; Gill, S.; Goldberg, S.; et al. Selective Inhibition of FLT3 by Gilteritinib in Relapsed or Refractory Acute Myeloid Leukaemia: A Multicentre, First-in-Human, Open-Label, Phase 1–2 Study. Lancet Oncol. 2017, 18, 1061–1075. [Google Scholar] [CrossRef]
- Rizzo, A.; Ricci, A.D.; Brandi, G. Futibatinib, an Investigational Agent for the Treatment of Intrahepatic Cholangiocarcinoma: Evidence to Date and Future Perspectives. Expert Opin. Investig. Drugs 2021, 30, 317–324. [Google Scholar] [CrossRef] [PubMed]
- Estévez, V.; Villacampa, M.; Carlos Menéndez, J. Recent Advances in the Synthesis of Pyrroles by Multicomponent Reactions. Chem. Soc. Rev. 2014, 43, 4633–4657. [Google Scholar] [CrossRef] [PubMed]
- Balakrishna, A.; Aguiar, A.; Sobral, P.J.M.; Wani, M.Y.; Almeida e Silva, J.; Sobral, A.J.F.N. Paal–Knorr Synthesis of Pyrroles: From Conventional to Green Synthesis. Catal. Rev. 2018, 61, 84–110. [Google Scholar] [CrossRef]
- Xiong, D.; Yang, H.; Zhang, L.; Shao, X.; Xu, X.; Li, Z. One-Pot Hantzsch Synthesis of Unsymmetrical Substituted Pyridines via Condensation of 1, 3-dicarbonyl Compounds with DMF and 1, 1-Dichloro-2-Nitroethene. Tetrahedron Lett. 2023, 116, 154071. [Google Scholar] [CrossRef]
- Wang, L.; Jiang, F.; Gao, X.; Wang, W.; Wu, Y.; Guo, H.; Zheng, B. Base-Mediated Decarboxylative [3+2] Annulation of Ethynyl Benzoxazinanones and Benzimidamides: Synthesis of Imidazole Derivatives. Adv. Synth. Catal. 2021, 363, 2066–2070. [Google Scholar] [CrossRef]
- Xin, X.; Wang, D.; Li, X.; Wan, B. One-Pot Synthesis of Pyridines from 3-Aza-1,5-Enynes. Tetrahedron 2013, 69, 10245–10248. [Google Scholar] [CrossRef]
- Li, T.; Chiou, M.F.; Li, Y.; Ye, C.; Su, M.; Xue, M.; Yuan, X.; Wang, C.; Wan, W.M.; Li, D.; et al. Synthesis of Unsymmetrically Tetrasubstituted Pyrroles and Studies of AIEE in Pyrrolo[1,2-a]Pyrimidine Derivatives. Chem. Sci. 2022, 13, 5667–5673. [Google Scholar] [CrossRef]
- Ding, Y.; Ma, R.; Xiao, X.Q.; Wang, L.; Wang, Z.; Ma, Y. Sustainable Four-Component Annulation for the Synthesis of 2,3,4,6-Tetraarylpyridines. J. Org. Chem. 2021, 86, 3897–3906. [Google Scholar] [CrossRef]
- Borah, B.; Dwivedi, K.D.; Chowhan, L.R. Recent Approaches in the Organocatalytic Synthesis of Pyrroles. RSC Adv. 2021, 11, 13585–13601. [Google Scholar] [CrossRef] [PubMed]
- Vchislo, N.V. α,β-Unsaturated Aldehydes as C-Building Blocks in the Synthesis of Pyridines, 1,4-Dihydropyridines and 1,2-Dihydropyridines. Asian J. Org. Chem. 2019, 8, 1207–1226. [Google Scholar] [CrossRef]
- Mishra, S.; Nair, S.R.; Baire, B. Recent Approaches for the Synthesis of Pyridines and (Iso)Quinolines Using Propargylic Alcohols. Org. Biomol. Chem. 2022, 20, 6037–6056. [Google Scholar] [CrossRef]
- Gao, X.; Wang, P.; Wang, Q.; Chen, J.; Lei, A. Electrochemical Oxidative Annulation of Amines and Aldehydes or Ketones to Synthesize Polysubstituted Pyrroles. Green Chem. 2019, 21, 4941–4945. [Google Scholar] [CrossRef]
- Borghs, J.C.; Azofra, L.M.; Biberger, T.; Linnenberg, O.; Cavallo, L.; Rueping, M.; El-Sepelgy, O. Manganese-Catalyzed Multicomponent Synthesis of Pyrroles through Acceptorless Dehydrogenation Hydrogen Autotransfer Catalysis: Experiment and Computation. ChemSusChem 2019, 12, 3083–3088. [Google Scholar] [CrossRef]
- Zhou, Y.; Zhou, L.; Jesikiewicz, L.T.; Liu, P.; Buchwald, S.L. Synthesis of Pyrroles through the CuH-Catalyzed Coupling of Enynes and Nitriles. J. Am. Chem. Soc. 2020, 142, 9908–9914. [Google Scholar] [CrossRef] [PubMed]
- Sheng, J.; Wang, Y.; Su, X.; He, R.; Chen, C. Copper-Catalyzed [2+2+2] Modular Synthesis of Multisubstituted Pyridines: Alkenylation of Nitriles with Vinyliodonium Salts. Angew. Chem. Int. Ed. 2017, 56, 4824–4828. [Google Scholar] [CrossRef]
- Li, Y.; Yang, K.; Cao, L. Copper-Catalyzed [3+3] Annulation of Ketones with Oxime Acetates for the Synthesis of Pyridines. RSC Adv. 2022, 12, 27546–27549. [Google Scholar] [CrossRef]
- Hamid, M.H.S.A.; Allen, C.L.; Lamb, G.W.; Maxwell, A.C.; Maytum, H.C.; Watson, A.J.A.; Williams, J.M.J. Ruthenium-Catalyzed /V-Alkylation of Amines and Sulfonamides Using Borrowing Hydrogen Methodology. J. Am. Chem. Soc. 2009, 131, 1766–1774. [Google Scholar] [CrossRef]
- Guo, D.; Huang, H.; Xu, J.; Jiang, H.; Liu, H. Efficient Iron-Catalyzed N-Arylation of Aryl Halides with Amines. Org. Lett. 2008, 10, 4513–4516. [Google Scholar] [CrossRef]
- Kubo, T.; Katoh, C.; Yamada, K.; Okano, K.; Tokuyama, H.; Fukuyama, T. A Mild Inter- and Intramolecular Amination of Aryl Halides with a Combination of CuI and CsOAc. Tetrahedron 2008, 64, 11230–11236. [Google Scholar] [CrossRef]
- Hill, A.J.; McKeon, M.-G. Nitrogen-Substituted-3,4-Dihydroxypyrrolidines. J. Am. Chem. Soc. 1954, 76, 3548–3550. [Google Scholar] [CrossRef]
- Romera, J.L.; Cid, J.M.; Trabanco, A.A. Potassium Iodide Catalysed Monoalkylation of Anilines under Microwave Irradiation. Tetrahedron Lett. 2004, 45, 8797–8800. [Google Scholar] [CrossRef]
- Ju, Y.; Varma, R.S. An Efficient and Simple Aqueous N-Heterocyclization of Aniline Derivatives: Microwave-Assisted Synthesis of N-Aryl Azacycloalkanes. Org. Lett. 2005, 7, 2409–2411. [Google Scholar] [CrossRef] [PubMed]
- Ju, Y.; Varma, R.S. Aqueous N-Heterocyclization of Primary Amines and Hydrazines with Dihalides: Microwave-Assisted Syntheses of N-Azacycloalkanes, Isoindole, Pyrazole, Pyrazolidine, and Phthalazine Derivatives. J. Org. Chem. 2006, 71, 135–141. [Google Scholar] [CrossRef] [PubMed]
- Barnard, T.M.; Vanier, G.S.; Collins, M.J. Scale-up of the Green Synthesis of Azacycloalkanes and Isoindolines under Microwave Irradiation. Org. Process Res. Dev. 2006, 10, 1233–1237. [Google Scholar] [CrossRef]
- Marzaro, G.; Guiotto, A.; Chilin, A. Microwave-Promoted Mono-N-Alkylation of Aromatic Amines in Water: A New Efficient and Green Method for an Old and Problematic Reaction. Green Chem. 2009, 11, 774–777. [Google Scholar] [CrossRef]
- Singh, C.B.; Kavala, V.; Samal, A.K.; Patel, B.K. Aqueous-Mediated N-Alkylation of Amines. Eur. J. Org. Chem. 2007, 2007, 1369–1377. [Google Scholar] [CrossRef]
- He, H.; Lin, Q.; Liu, X.; Yang, Y.; Zhou, Y.; Jia, Y.; Gao, X. N-Heterocyclization of Primary Amines with Dihalides Using Microreactors. Synth. Commun. 2012, 42, 2512–2525. [Google Scholar] [CrossRef]
- Cui, X.; Dai, X.; Deng, Y.; Shi, F. Development of a General Non-Noble Metal Catalyst for the Benign Amination of Alcohols with Amines and Ammonia. Chem. Eur. J. 2013, 19, 3665–3675. [Google Scholar] [CrossRef] [PubMed]
- Yang, P.; Zhang, C.; Gao, W.C.; Ma, Y.; Wang, X.; Zhang, L.; Yue, J.; Tang, B. Nickel-Catalyzed Borrowing Hydrogen Annulations: Access to Diversified N-Heterocycles. Chem. Commun. 2019, 55, 7844–7847. [Google Scholar] [CrossRef]
- Chamberlain, A.E.R.; Paterson, K.J.; Armstrong, R.J.; Twin, H.C.; Donohoe, T.J. A Hydrogen Borrowing Annulation Strategy for the Stereocontrolled Synthesis of Saturated Aza-Heterocycles. Chem. Commun. 2020, 56, 3563–3566. [Google Scholar] [CrossRef]
- Suwa, T.; Sugiyama, E.; Shibata, I.; Baba, A. Chemoselective Reductive Amination of Aldehydes and Ketones by Dibutylchlorotin Hydride-HMPA Complex. Synthesis 2000, 2000, 789–800. [Google Scholar] [CrossRef]
- Wei, D.; Netkaew, C.; Wu, J.; Darcel, C. Iron-Catalyzed Hydrosilylation of Diacids in the Presence of Amines: A New Route to Cyclic Amines. ChemCatChem 2020, 12, 5449–5455. [Google Scholar] [CrossRef]
- Tran, V.H.; Kim, H.K. Facile Tin(Ii)-Catalyzed Synthesis of N-Heterocycles from Dicarboxylic Acids and Arylamines. Org. Biomol. Chem. 2022, 20, 2881–2888. [Google Scholar] [CrossRef] [PubMed]
- Shi, Y.; Kamer, P.C.J.; Cole-Hamilton, D.J.; Harvie, M.; Baxter, E.F.; Lim, K.J.C.; Pogorzelec, P. A New Route to N-Aromatic Heterocycles from the Hydrogenation of Diesters in the Presence of Anilines. Chem. Sci. 2017, 8, 6911–6917. [Google Scholar] [CrossRef]
- Olsen, C.J.; Furst, A. N-Phenylpyrrolidine. J. Am. Chem. Soc. 1953, 75, 3026. [Google Scholar] [CrossRef]
- Walkup, R.E.; Searles, S. Synthesis of Sterically Hindered 1-Arylpyrrolidines and 1-Arylpiperidines by Condensation of Primary Aromatic Amines with Cyclic Ethers or Diols. Tetrahedron 1985, 41, 101–106. [Google Scholar] [CrossRef]
- Hargis, D.C.; Shubkin, R.L. Gem-Cyclodialkylation A Facile Synthetic Route to N-Substituted Heterocycles. Tetrahedron Lett. 1990, 31, 2991–2994. [Google Scholar] [CrossRef]
- Korbad, B.L.; Lee, S.H. Synthesis of N-Aryl Substituted, Five- and Six-Membered Azacycles Using Aluminum-Amide Complexes. Chem. Commun. 2014, 50, 8985–8988. [Google Scholar] [CrossRef]
- Amara, Z.; Streng, E.S.; Skilton, R.A.; Jin, J.; George, M.W.; Poliakoff, M. Automated Serendipity with Self-Optimizing Continuous-Flow Reactors. Eur. J. Org. Chem. 2015, 2015, 6141–6145. [Google Scholar] [CrossRef]
- Sun, Z.; Hu, S.; Huo, Y.; Wang, Z. Titanium Tetrachloride-Mediated Synthesis of N-Aryl-Substituted Azacycles from Cyclic Ethers. RSC Adv. 2017, 7, 4363–4367. [Google Scholar] [CrossRef]
- Tran, V.H.; La, M.T.; Kang, S.; Kim, H.K. Practical Direct Synthesis of: N-Aryl-Substituted Azacycles from N-Alkyl Protected Arylamines Using TiCl4 and DBU. Org. Biomol. Chem. 2020, 18, 5008–5016. [Google Scholar] [CrossRef]
- Tran, V.H.; Hong, W.P.; Kim, H.K. Facile Titanium(IV) Chloride and TBD-Mediated Synthesis of N-Aryl-Substituted Azacycles from Arylhydrazines. Bull. Korean Chem. Soc. 2022, 43, 777–783. [Google Scholar] [CrossRef]
- Zhang, Z.; Miao, C.; Xia, C.; Sun, W. Synergistic Acid-Catalyzed Synthesis of N-Aryl-Substituted Azacycles from Anilines and Cyclic Ethers. Org. Lett. 2016, 18, 1522–1525. [Google Scholar] [CrossRef] [PubMed]
- Hu, S.; Huo, Y.; Wang, Z. Boron Trifluoride-Mediated Synthesis of N-Aryl-Substituted Pyrrolidines from Tetrahydrofuran and Amines. Chem. Heterocycl. Compd. 2017, 53, 1365–1368. [Google Scholar] [CrossRef]
- Hou, T.; Zhang, C.; Wang, Y.; Liu, Z.; Zhang, Z.; Wang, F. Metal-Free Protocol for the Synthesis of N-Arylpyrrolidines Catalyzed by Hydrogen Iodine. Catal. Commun. 2017, 94, 56–59. [Google Scholar] [CrossRef]
- La, M.T.; Kang, S.; Kim, H.K. Metal-Free Synthesis of N-Aryl-Substituted Azacycles from Cyclic Ethers Using POCl3. J. Org. Chem. 2019, 84, 6689–6696. [Google Scholar] [CrossRef] [PubMed]
- Tran, V.H.; La, M.T.; Kim, H.K. Phosphoryl Chloride-Mediated Solvent-Free Synthesis of N-Aryl-Substituted Azacycles from Arylamines and Cyclic Ethers. Tetrahedron Lett. 2019, 60, 1860–1863. [Google Scholar] [CrossRef]
- Rout, L.; Jammi, S.; Punniyamurthy, T. Novel CuO Nanoparticle Catalyzed C–N Cross Coupling of Amines with Lodobenzene. Org. Lett. 2007, 9, 3397–3399. [Google Scholar] [CrossRef] [PubMed]
- Gao, C.; Yang, L.; Org, J.F.J. Nickel-Catalyzed Amination of Aryl Tosylates. J. Org. Chem. 2008, 73, 1624–1627. [Google Scholar] [CrossRef]
- Khatri, P.K.; Jain, S.L. Glycerol Ingrained Copper: An Efficient Recyclable Catalyst for the N-Arylation of Amines with Aryl Halides. Tetrahedron Lett. 2013, 54, 2740–2743. [Google Scholar] [CrossRef]
- Sandtorv, A.H.; Stuart, D.R. Metal-Free Synthesis of Aryl Amines: Beyond Nucleophilic Aromatic Substitution. Angew. Chem. Int. Ed. 2016, 55, 15812–15815. [Google Scholar] [CrossRef] [PubMed]
- Purkait, N.; Kervefors, G.; Linde, E.; Olofsson, B. Regiospecific N-Arylation of Aliphatic Amines under Mild and Metal-Free Reaction Conditions. Angew. Chem. Int. Ed. 2018, 57, 11427–11431. [Google Scholar] [CrossRef] [PubMed]
- Tian, Z.Y.; Ming, X.X.; Teng, H.B.; Hu, Y.T.; Zhang, C.P. Transition-Metal-Free N-Arylation of Amines by Triarylsulfonium Triflates. Chem. Eur. J. 2018, 24, 13744–13748. [Google Scholar] [CrossRef]
- Ruffoni, A.; Juliá, F.; Svejstrup, T.D.; McMillan, A.J.; Douglas, J.J.; Leonori, D. Practical and Regioselective Amination of Arenes Using Alkyl Amines. Nat. Chem. 2019, 11, 426–433. [Google Scholar] [CrossRef]
- Li, J.; Huang, C.; Wen, D.; Zheng, Q.; Tu, B.; Tu, T. Nickel-Catalyzed Amination of Aryl Chlorides with Amides. Org. Lett. 2021, 23, 687–691. [Google Scholar] [CrossRef]
- Huisgen, R. 1,3-Dipolar Cycloadditions. Past and Future. Angew. Chem. Int. Ed. 1963, 2, 565–598. [Google Scholar] [CrossRef]
- Narayan, R.; Potowski, M.; Jia, Z.J.; Antonchick, A.P.; Waldmann, H. Catalytic Enantioselective 1,3-Dipolar Cycloadditions of Azomethine Ylides for Biology-Oriented Synthesis. Acc. Chem. Res. 2014, 47, 1296–1310. [Google Scholar] [CrossRef]
- Hashimoto, T.; Maruoka, K. Recent Advances of Catalytic Asymmetric 1,3-Dipolar Cycloadditions. Chem. Rev. 2015, 115, 5366–5412. [Google Scholar] [CrossRef] [PubMed]
- Żmigrodzka, M.; Sadowski, M.; Kras, J.; Dresler, E.; Demchuk, O.M.; Kula, K. Polar [3+2] Cycloaddition between N-Methyl Azomethine Ylide and Trans-3,3,3-Trichloro-1-Nitroprop-1-Ene. Sci. Radices 2022, 1, 26–35. [Google Scholar] [CrossRef]
- Lauridsen, V.H.; Ibsen, L.; Blom, J.; Jørgensen, K.A. Asymmetric Brønsted Base Catalyzed and Directed [3+2] Cycloaddition of 2-Acyl Cycloheptatrienes with Azomethine Ylides. Chem. Eur. J. 2016, 22, 3259–3263. [Google Scholar] [CrossRef]
- Żmigrodzka, M.; Dresler, E.; Hordyjewicz-Baran, Z.; Kulesza, R.; Jasiński, R. A Unique Example of Noncatalyzed [3+2] Cycloaddition Involving (2E)-3-Aryl-2-Nitroprop-2-Enenitriles. Chem. Heterocycl. Compd. 2017, 53, 1161–1162. [Google Scholar] [CrossRef]
- Zhu, J.; Su, W.; Xiong, C.; Bai, R.; Zhou, Q.; Chen, M. Catalyst-Free [3+2] Cycloaddition of Electron-Deficient Alkynes and o-Hydroxyaryl Azomethine Ylides in Water. ACS Omega 2020, 5, 18244–18253. [Google Scholar] [CrossRef]
- Furuya, S.; Kanemoto, K.; Fukuzawa, S. ichi Exo′-Selective Construction of Spirobipyrrolidines by the Silver-Catalyzed Asymmetric [3+2] Cycloaddition of Imino Esters with 4-Benzylidene-2,3-Dioxopyrrolidines. Chem. Asian J. 2022, 17, e202200239. [Google Scholar] [CrossRef]
- Esteban, F.; Cieślik, W.; Arpa, E.M.; Guerrero-Corella, A.; Díaz-Tendero, S.; Perles, J.; Fernández-Salas, J.A.; Fraile, A.; Alemán, J. Intramolecular Hydrogen Bond Activation: Thiourea-Organocatalyzed Enantioselective 1,3-Dipolar Cycloaddition of Salicylaldehyde-Derived Azomethine Ylides with Nitroalkenes. ACS Catal. 2018, 8, 1884–1890. [Google Scholar] [CrossRef] [PubMed]
- Ray, S.K.; Biswas, R.G.; Suneja, A.; Sadhu, M.M.; Singh, V.K. (R)-DM-SEGPHOS-Ag(I)-Catalyzed Enantioselective Synthesis of Pyrrolidines and Pyrrolizidines via (1,3)- and Double (1,3)-Dipolar Cycloaddition Reactions. J. Org. Chem. 2018, 83, 2293–2308. [Google Scholar] [CrossRef] [PubMed]
- Tian, F.; He, F.S.; Deng, H.; Yang, W.L.; Deng, W.P. β-Silyl Acrylates in Asymmetric [3 + 2] Cycloadditions Affording Pyrrolidine Azasugar Derivatives. Org. Lett. 2018, 20, 3838–3842. [Google Scholar] [CrossRef]
- Kalita, S.J.; Cheng, F.; Fan, Q.H.; Shibata, N.; Huang, Y.Y. Diastereodivergent Synthesis of Chiral 4-Fluoropyrrolidines (Exo and Exo′) Based on the Cu(II)-Catalyzed Asymmetric 1,3-Dipolar Cycloaddition. J. Org. Chem. 2021, 86, 8695–8705. [Google Scholar] [CrossRef] [PubMed]
- Jeffrey, J.L.; Bartlett, E.S.; Sarpong, R. Intramolecular C(Sp3)-N Coupling by Oxidation of Benzylic C,N-Dianions. Angew. Chem. Int. Ed. 2013, 52, 2194–2197. [Google Scholar] [CrossRef]
- Betz, K.N.; Chiappini, N.D.; Du Bois, J. Intermolecular Sp3-C-H Amination for the Synthesis of Saturated Azacycles. Org. Lett. 2020, 22, 1687–1691. [Google Scholar] [CrossRef]
- Xue, W.; Xu, H.; Liang, Z.; Qian, Q.; Gong, H. Nickel-Catalyzed Reductive Cyclization of Alkyl Dihalides. Org. Lett. 2014, 16, 4984–4987. [Google Scholar] [CrossRef] [PubMed]
- Yu, X.; Yang, T.; Wang, S.; Xu, H.; Gong, H. Nickel-Catalyzed Reductive Cross-Coupling of Unactivated Alkyl Halides. Org. Lett. 2011, 13, 2138–2141. [Google Scholar] [CrossRef]
- Hoyt, J.M.; Sylvester, K.T.; Semproni, S.P.; Chirik, P.J. Synthesis and Electronic Structure of Bis(Imino)Pyridine Iron Metallacyclic Intermediates in Iron-Catalyzed Cyclization Reactions. J. Am. Chem. Soc. 2013, 135, 4862–4877. [Google Scholar] [CrossRef]
- Schmidt, V.A.; Hoyt, J.M.; Margulieux, G.W.; Chirik, P.J. Cobalt-Catalyzed [2π + 2π] Cycloadditions of Alkenes: Scope, Mechanism, and Elucidation of Electronic Structure of Catalytic Intermediates. J. Am. Chem. Soc. 2015, 137, 7903–7914. [Google Scholar] [CrossRef] [PubMed]
- Gill, D.M.; Iveson, M.; Collins, I.; Jones, A.M. A Mitsunobu Reaction to Functionalized Cyclic and Bicyclic N-Arylamines. Tetrahedron Lett. 2018, 59, 238–242. [Google Scholar] [CrossRef]
- Miranda, P.O.; Carballo, R.M.; Martin, V.S.; Padrón, J.I. A New Catalytic Prins Cyclization Leading to Oxa- and Azacycles. Org. Lett. 2009, 11, 357–360. [Google Scholar] [CrossRef]
- Liu, G.Q.; Cui, B.; Xu, R.; Li, Y.M. Preparation of Trans-2-Substituted-4-Halopiperidines and Cis-2-Substituted-4-Halotetrahydropyrans via AlCl3-Catalyzed Prins Reaction. J. Org. Chem. 2016, 81, 5144–5161. [Google Scholar] [CrossRef]
- Hasegawa, E.; Hiroi, N.; Osawa, C.; Tayama, E.; Iwamoto, H. Application of Biphasic Reaction Procedure Using Ferric Chloride Dissolved in an Imidazolium Salt and Benzotrifluoride (FeIm-BTF Procedure) to Aza-Prins Cyclization Reaction. Tetrahedron Lett. 2010, 51, 6535–6538. [Google Scholar] [CrossRef]
Disclaimer/Publisher’s Note: The statements, opinions and data contained in all publications are solely those of the individual author(s) and contributor(s) and not of MDPI and/or the editor(s). MDPI and/or the editor(s) disclaim responsibility for any injury to people or property resulting from any ideas, methods, instructions or products referred to in the content. |
© 2023 by the authors. Licensee MDPI, Basel, Switzerland. This article is an open access article distributed under the terms and conditions of the Creative Commons Attribution (CC BY) license (https://creativecommons.org/licenses/by/4.0/).
























































































































