Multiple Bioactivities of Peptides from Hydrolyzed Misgurnus anguillicaudatus
Abstract
1. Introduction
2. Results and Discussion
2.1. Barrier Separation
2.2. G–25 Gel Chromatographic Separation
2.3. Peptide Identification
2.4. Biological Activity of Synthetic Peptides
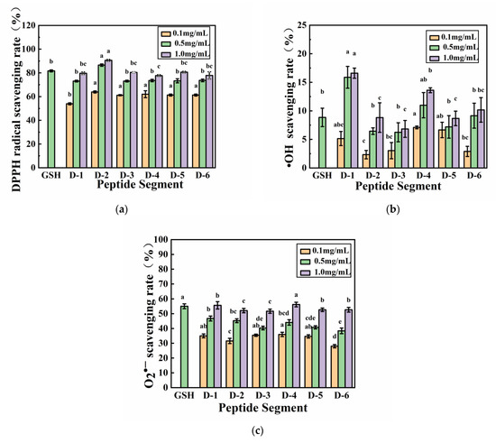
2.4.1. Antioxidant Activity
2.4.2. ACE Inhibitory Activity
2.4.3. Pancreatic CE Inhibitory Activity
2.5. Molecular Docking
2.6. The Safety of Bioactive Peptides
3. Materials and Methods
3.1. Materials and Chemicals
3.2. Preparation of Loach Protein Hydrolysate
3.3. Membrane Separation
3.4. Antioxidant Activity
3.4.1. DPPH Scavenging Activity
3.4.2. Hydroxyl Radical Reduction
3.4.3. Superoxide Anion Scavenging Activity
3.4.4. Determination of Reducing Power
3.5. G25 Chromatographic Purification
3.6. Peptide Identification
3.7. Peptide Synthesis
3.8. ACE Inhibitory Activity
3.9. Pancreatic CE Inhibitory Activity
3.10. Molecular Docking
3.11. Study on the Safety of Peptides
3.12. Statistical Analysis
4. Conclusions
Supplementary Materials
Author Contributions
Funding
Institutional Review Board Statement
Informed Consent Statement
Data Availability Statement
Conflicts of Interest
Sample Availability
References
- Sanjukta, S.; Padhi, S.; Sarkar, P.; Singh, S.P.; Sahoo, D.; Rai, A.K. Production, characterization and molecular docking of antioxidant peptides from peptidome of kinema fermented with proteolytic Bacillus spp. Food Res. Int. 2021, 141, 110161. [Google Scholar] [CrossRef] [PubMed]
- Fisayo Ajayi, F.; Mudgil, P.; Gan, C.Y.; Maqsood, S. Identification and characterization of cholesterol esterase and lipase inhibitory peptides from amaranth protein hydrolysates. Food Chem. X 2021, 12, 100165. [Google Scholar] [CrossRef]
- Li, M.; Fan, W.; Xu, Y. Identification of angiotensin converting enzyme (ACE) inhibitory and antioxidant peptides derived from Pixian broad bean paste. LWT-Food Sci. Technol. 2021, 151, 112221. [Google Scholar] [CrossRef]
- Garzon, A.G.; Cian, R.E.; Aquino, M.E.; Drago, S.R. Isolation and identification of cholesterol esterase and pancreatic lipase inhibitory peptides from brewer’s spent grain by consecutive chromatography and mass spectrometry. Food Funct. 2020, 11, 4994–5003. [Google Scholar] [CrossRef] [PubMed]
- Korac, B.; Kalezic, A.; Pekovic-Vaughan, V.; Korac, A.; Jankovic, A. Redox changes in obesity, metabolic syndrome, and diabetes. Redox Biol. 2021, 42, 101887. [Google Scholar] [CrossRef]
- Alavi, F.; Ciftci, O.N. Purification and fractionation of bioactive peptides through membrane filtration: A critical and application review. Trends Food Sci. Technol. 2023, 131, 118–128. [Google Scholar] [CrossRef]
- Wang, K.; Han, L.; Tan, Y.; Hong, H.; Luo, Y. Generation of novel antioxidant peptides from silver carp muscle hydrolysate: Gastrointestinal digestion stability and transepithelial absorption property. Food Chem. 2023, 403, 134136. [Google Scholar] [CrossRef]
- Abedin, M.M.; Chourasia, R.; Chiring Phukon, L.; Singh, S.P.; Kumar Rai, A. Characterization of ACE inhibitory and antioxidant peptides in yak and cow milk hard chhurpi cheese of the Sikkim Himalayan region. Food Chem. X 2022, 13, 100231. [Google Scholar] [CrossRef]
- Wang, X.; Deng, Y.; Xie, P.; Liu, L.; Zhang, C.; Cheng, J.; Zhang, Y.; Liu, Y.; Huang, L.; Jiang, J. Novel bioactive peptides from ginkgo biloba seed protein and evaluation of their alpha-glucosidase inhibition activity. Food Chem. 2023, 404, 134481. [Google Scholar] [CrossRef]
- Baba, W.N.; Mudgil, P.; Baby, B.; Vijayan, R.; Gan, C.Y.; Maqsood, S. New insights into the cholesterol esterase- and lipase-inhibiting potential of bioactive peptides from camel whey hydrolysates: Identification, characterization, and molecular interaction. J. Dairy Sci. 2021, 104, 7393–7405. [Google Scholar] [CrossRef]
- Chen, M.; Zhang, F.; Su, Y.; Chang, C.; Li, J.; Gu, L.; Yang, Y. Immunomodulatory effects of egg white peptides on immunosuppressed mice and sequence identification of immunomodulatory peptides. Food Biosci. 2022, 49, 101873. [Google Scholar] [CrossRef]
- Wang, Q.; Shi, J.; Zhong, H.; Zhuang, J.; Zhang, J.; Wang, J.; Zhang, X.; Feng, F. High-degree hydrolysis sea cucumber peptides improve exercise performance and exert antifatigue effect via activating the NRF2 and AMPK signaling pathways in mice. J. Funct. Foods 2021, 86, 104677. [Google Scholar] [CrossRef]
- Huang, J.-J.; Li, H.-L.; Xiong, G.-Q.; Cai, J.; Liao, T.; Zu, X.-Y. Extraction, identification and anti-photoaging activity evaluation of collagen peptides from silver carp (Hypophthalmichthys molitrix) skin. LWT-Food Sci. Technol. 2023, 173, 114384. [Google Scholar] [CrossRef]
- Zhi, T.; Li, X.; Sadiq, F.A.; Mao, K.; Gao, J.; Mi, S.; Liu, X.; Deng, W.; Chitrakar, B.; Sang, Y. Novel antioxidant peptides from protein hydrolysates of scallop (Argopecten irradians) mantle using enzymatic and microbial methods: Preparation, purification, identification and characterization. LWT-Food Sci. Technol. 2022, 164, 113636. [Google Scholar] [CrossRef]
- Wei, G.; Zhao, Q.; Wang, D.; Fan, Y.; Shi, Y.; Huang, A. Novel ACE inhibitory, antioxidant and α-glucosidase inhibitory peptides identified from fermented rubing cheese through peptidomic and molecular docking. LWT-Food Sci. Technol. 2022, 159, 113196. [Google Scholar] [CrossRef]
- Manzoor, M.; Singh, J.; Gani, A. Exploration of bioactive peptides from various origin as promising nutraceutical treasures: In vitro, in silico and in vivo studies. Food Chem. 2022, 373, 131395. [Google Scholar] [CrossRef]
- Ding, J.; Liang, R.; Yang, Y.; Sun, N.; Lin, S. Optimization of pea protein hydrolysate preparation and purification of antioxidant peptides based on an in silico analytical approach. LWT-Food Sci. Technol. 2020, 123, 109126. [Google Scholar] [CrossRef]
- Bravo, R.K.D.; Angelia, M.R.N.; Uy, L.Y.C.; Garcia, R.N.; Torio, M.A.O. Isolation, purification and characterization of the antibacterial, antihypertensive and antioxidative properties of the bioactive peptides in the purified and proteolyzed major storage protein of pigeon pea (Cajanus cajan) seeds. Food Chem. Mol. Sci. 2022, 4, 100062. [Google Scholar] [CrossRef]
- Mudgil, P.; Baby, B.; Ngoh, Y.Y.; Vijayan, R.; Gan, C.Y.; Maqsood, S. Identification and molecular docking study of novel cholesterol esterase inhibitory peptides from camel milk proteins. J. Dairy Sci. 2019, 102, 10748–10759. [Google Scholar] [CrossRef]
- Gao, R.; Yu, Q.; Shen, Y.; Chu, Q.; Chen, G.; Fen, Y.; Yang, M.; Yuan, L.; McClements, D.J.; Sun, Q. Production, bioactive properties, and potential applications of fish protein hydrolysates: Developments and challenges. Trends Food Sci. Technol. 2021, 110, 687–699. [Google Scholar] [CrossRef]
- Sarteshnizi, R.A.; Sahari, M.A.; Gavlighi, H.A.; Regenstein, J.M.; Nikoo, M. Antioxidant activity of Sind sardine hydrolysates with pistachio green hull (PGH) extracts. Food Biosci. 2019, 27, 37–45. [Google Scholar] [CrossRef]
- Nikoo, M.; Benjakul, S.; Ehsani, A.; Li, J.; Wu, F.; Yang, N.; Xu, B.; Jin, Z.; Xu, X. Antioxidant and cryoprotective effects of a tetrapeptide isolated from Amur sturgeon skin gelatin. J. Funct. Foods 2014, 7, 609–620. [Google Scholar] [CrossRef]
- Bashir, K.M.I.; Sohn, J.H.; Kim, J.S.; Choi, J.S. Identification and characterization of novel antioxidant peptides from mackerel (Scomber japonicus) muscle protein hydrolysates. Food Chem. 2020, 323, 126809. [Google Scholar] [CrossRef] [PubMed]
- Pantiora, P.; Furlan, V.; Matiadis, D.; Mavroidi, B.; Perperopoulou, F.; Papageorgiou, A.C.; Sagnou, M.; Bren, U.; Pelecanou, M.; Labrou, N.E. Monocarbonyl Curcumin Analogues as Potent Inhibitors against Human Glutathione Transferase P1-1. Antioxidants 2022, 12, 63. [Google Scholar] [CrossRef]
- Furlan, V.; Bren, U. Insight into Inhibitory Mechanism of PDE4D by Dietary Polyphenols Using Molecular Dynamics Simulations and Free Energy Calculations. Biomolecules 2021, 11, 479. [Google Scholar] [CrossRef]
- You, L.; Zhao, M.; Cui, C.; Zhao, H.; Yang, B. Effect of degree of hydrolysis on the antioxidant activity of loach (Misgurnus anguillicaudatus) protein hydrolysates. Innov. Food Sci. Emerg. Technol. 2009, 10, 235–240. [Google Scholar] [CrossRef]
- You, L.; Zhao, M.; Liu, R.H.; Regenstein, J.M. Antioxidant and antiproliferative activities of loach (Misgurnus anguillicaudatus) peptides prepared by papain digestion. J. Agric. Food Chem. 2011, 59, 7948–7953. [Google Scholar] [CrossRef]
- Chen, J.H.; Wang, C.H.; Li, Y.L.; Wang, H.M.; Zhang, X.J.; Yan, B.L. cDNA cloning and expression characterization of serum transferrin gene from oriental weatherfish Misgurnus anguillicaudatus. J. Fish Biol. 2014, 84, 885–896. [Google Scholar] [CrossRef]
- Dong, Z.; Zhang, M.; Wei, S.; Ge, H.; Li, L.; Ni, Q.; Ling, Q.; Li, Y. Effect of farming patterns on the nutrient composition and farming environment of loach, Paramisgurnus dabryanus. Aquaculture 2018, 497, 214–219. [Google Scholar] [CrossRef]
- Sun, P.P.; Ren, Y.Y.; Wang, S.Y.; Zhu, H.; Zhou, J.-J. Characterization and film-forming properties of acid soluble collagens from different by-products of loach (Misgurnus anguillicaudatus). LWT-Food Sci. Technol. 2021, 149, 111844. [Google Scholar] [CrossRef]
- You, L.; Zhao, M.; Regenstein, J.M.; Ren, J. Purification and identification of antioxidative peptides from loach (Misgurnus anguillicaudatus) protein hydrolysate by consecutive chromatography and electrospray ionization-mass spectrometry. Food Res. Int. 2010, 43, 1167–1173. [Google Scholar] [CrossRef]
- You, L.; Zhao, M.; Regenstein, J.M.; Ren, J. In vitro antioxidant activity and in vivo anti-fatigue effect of loach (Misgurnus anguillicaudatus) peptides prepared by papain digestion. Food Chem. 2011, 124, 188–194. [Google Scholar] [CrossRef]
- Wang, L.; Ma, M.; Yu, Z.; Du, S.K. Preparation and identification of antioxidant peptides from cottonseed proteins. Food Chem. 2021, 352, 129399. [Google Scholar] [CrossRef]
- Li, T.; Shi, C.; Zhou, C.; Sun, X.; Ang, Y.; Dong, X.; Huang, M.; Zhou, G. Purification and characterization of novel antioxidant peptides from duck breast protein hydrolysates. LWT-Food Sci. Technol. 2020, 125, 109215. [Google Scholar] [CrossRef]
- Finkel, T. Signal transduction by reactive oxygen species in non-phagocytic cells. J. Leukoc. Biol. 1999, 65, 337–340. [Google Scholar] [CrossRef]
- Korhonen, H.; Pihlanto, A. Food-derived Bioactive Peptides—Opportunities for Designing Future Foods. Curr. Pharm. Des. 2003, 9, 1297–1308. [Google Scholar] [CrossRef]
- Shaik, M.I.; Mohd Noor, S.N.A.A.; Mhd Sarbon, N. In-vitro angiotensin converting enzyme (ACE), antioxidant activity and some functional properties of silver catfish (Pangasius sp.) protein hydrolysate by ultrafiltration. Biocatal. Agric. Biotechnol. 2021, 35, 102100. [Google Scholar] [CrossRef]
- Mirzapour-Kouhdasht, A.; Moosavi-Nasab, M.; Kim, Y.M.; Eun, J.B. Antioxidant mechanism, antibacterial activity, and functional characterization of peptide fractions obtained from barred mackerel gelatin with a focus on application in carbonated beverages. Food Chem. 2021, 342, 128339. [Google Scholar] [CrossRef]
- Zhong, H.; Zhang, Y.; Deng, L.; Zhao, M.; Tang, J.; Zhang, H.; Feng, F.; Wang, J. Exploring the potential of novel xanthine oxidase inhibitory peptide (ACECD) derived from Skipjack tuna hydrolysates using affinity-ultrafiltration coupled with HPLC-MALDI-TOF/TOF-MS. Food Chem. 2021, 347, 129068. [Google Scholar] [CrossRef]
- Udenigwe, C.C.; Fogliano, V. Food matrix interaction and bioavailability of bioactive peptides: Two faces of the same coin? J. Funct. Foods 2017, 35, 9–12. [Google Scholar] [CrossRef]
- Ma, C.; Sun, N.; Zhang, S.; Zheng, J.; Lin, S. A new dual-peptide strategy for enhancing antioxidant activity and exploring the enhancement mechanism. Food Funct. 2019, 10, 7533–7543. [Google Scholar] [CrossRef] [PubMed]
- Ma, Y.; Huang, K.; Wu, Y. In Vivo/In Vitro Properties of Novel Antioxidant Peptide from Pinctada fucata. J. Microbiol. Biotechnol. 2021, 31, 33–42. [Google Scholar] [CrossRef] [PubMed]
- Xia, Z.; Miao, J.; Chen, B.; Guo, J.; Ou, Y.; Liang, X.; Yin, Y.; Tong, X.; Cao, Y. Purification, identification, and antioxidative mechanism of three novel selenium-enriched oyster antioxidant peptides. Food Res. Int. 2022, 157, 111359. [Google Scholar] [CrossRef]
- Yin, J.Y.; Han, Y.N.; Liu, M.Q.; Piao, Z.H.; Zhang, X.; Xue, Y.T.; Zhang, Y.H. Structure-guided discovery of antioxidant peptides bounded to the Keap1 receptor as hunter for potential dietary antioxidants. Food Chem. 2022, 373, 130999. [Google Scholar] [CrossRef]
- Mirzaei, M.; Mirdamadi, S.; Ehsani, M.R.; Aminlari, M. Production of antioxidant and ACE-inhibitory peptides from Kluyveromyces marxianus protein hydrolysates: Purification and molecular docking. J. Food Drug Anal. 2018, 26, 696–705. [Google Scholar] [CrossRef]
- Wang, X.; Chen, H.; Fu, X.; Li, S.; Wei, J. A novel antioxidant and ACE inhibitory peptide from rice bran protein: Biochemical characterization and molecular docking study. LWT-Food Sci. Technol. 2017, 75, 93–99. [Google Scholar] [CrossRef]
- Kaprasob, R.; Khongdetch, J.; Laohakunjit, N.; Selamassakul, O.; Kaisangsri, N. Isolation and characterization, antioxidant, and antihypertensive activity of novel bioactive peptides derived from hydrolysis of King Boletus mushroom. LWT-Food Sci. Technol. 2022, 160, 113287. [Google Scholar] [CrossRef]
- Terashima, M.; Oe, M.; Ogura, K.; Matsumura, S. Inhibition strength of short peptides derived from an ACE inhibitory peptide. J. Agric. Food Chem. 2011, 59, 11234–11237. [Google Scholar] [CrossRef]
- Garcia-Mora, P.; Martin-Martinez, M.; Angeles Bonache, M.; Gonzalez-Muniz, R.; Penas, E.; Frias, J.; Martinez-Villaluenga, C. Identification, functional gastrointestinal stability and molecular docking studies of lentil peptides with dual antioxidant and angiotensin I converting enzyme inhibitory activities. Food Chem. 2017, 221, 464–472. [Google Scholar] [CrossRef]
- Adisakwattana, S.; Moonrat, J.; Srichairat, S.; Chanasit, C.; Tirapongporn, H.; Chanathong, B.; Ngamukote, S.; Mäkynen, K.; Sapwarobol, S. Lipid-Lowering mechanisms of grape seed extract (Vitis vinifera L.) and its antihyperlidemic activity. J. Med. Plants Res. 2010, 40, 2113–2120. [Google Scholar]
- Mudgil, P.; Baba, W.N.; Kamal, H.; FitzGerald, R.J.; Hassan, H.M.; Ayoub, M.A.; Gan, C.Y.; Maqsood, S. A comparative investigation into novel cholesterol esterase and pancreatic lipase inhibitory peptides from cow and camel casein hydrolysates generated upon enzymatic hydrolysis and in-vitro digestion. Food Chem. 2022, 367, 130661. [Google Scholar] [CrossRef] [PubMed]
- Wang, N.; Wang, W.; Sadiq, F.A.; Wang, S.; Caiqin, L.; Jianchang, J. Involvement of Nrf2 and Keap1 in the activation of antioxidant responsive element (ARE) by chemopreventive agent peptides from soft-shelled turtle. Process Biochem. 2020, 92, 174–181. [Google Scholar] [CrossRef]
- Mou, Y.; Wen, S.; Li, Y.X.; Gao, X.X.; Zhang, X.; Jiang, Z.Y. Recent progress in Keap1-Nrf2 protein-protein interaction inhibitors. Eur. J. Med. Chem. 2020, 202, 112532. [Google Scholar] [CrossRef] [PubMed]
- Yan, W.; Lin, G.; Zhang, R.; Liang, Z.; Wu, W. Studies on the bioactivities and molecular mechanism of antioxidant peptides by 3D-QSAR, in vitro evaluation and molecular dynamic simulations. Food Funct. 2020, 11, 3043–3052. [Google Scholar] [CrossRef]
- Zhang, J.; Li, M.; Zhang, G.; Tian, Y.; Kong, F.; Xiong, S.; Zhao, S.; Jia, D.; Manyande, A.; Du, H. Identification of novel antioxidant peptides from snakehead (Channa argus) soup generated during gastrointestinal digestion and insights into the anti-oxidation mechanisms. Food Chem. 2021, 337, 127921. [Google Scholar] [CrossRef]
- Tonolo, F.; Folda, A.; Cesaro, L.; Scalcon, V.; Marin, O.; Ferro, S.; Bindoli, A.; Rigobello, M.P. Milk-derived bioactive peptides exhibit antioxidant activity through the Keap1-Nrf2 signaling pathway. J. Funct. Foods 2020, 64, 103696. [Google Scholar] [CrossRef]
- Han, J.; Huang, Z.; Tang, S.; Lu, C.; Wan, H.; Zhou, J.; Li, Y.; Ming, T.; Jim Wang, Z.; Su, X. The novel peptides ICRD and LCGEC screened from tuna roe show antioxidative activity via Keap1/Nrf2-ARE pathway regulation and gut microbiota modulation. Food Chem. 2020, 327, 127094. [Google Scholar] [CrossRef]
- Li, W.; Chen, W.; Ma, H.; Wu, D.; Zhang, Z.; Yang, Y. Structural characterization and angiotensin-converting enzyme (ACE) inhibitory mechanism of Stropharia rugosoannulata mushroom peptides prepared by ultrasound. Ultrason Sonochem 2022, 88, 106074. [Google Scholar] [CrossRef]
- Ong, J.H.; Wong, W.L.; Wong, F.C.; Chai, T.T. Targeting PirAvp and PirBvp Toxins of Vibrio parahaemolyticus with Oilseed Peptides: An In Silico Approach. Antibiotics 2021, 10, 1211. [Google Scholar] [CrossRef]
- Chalamaiah, M.; Keskin Ulug, S.; Hong, H.; Wu, J. Regulatory requirements of bioactive peptides (protein hydrolysates) from food proteins. J. Funct. Foods 2019, 58, 123–129. [Google Scholar] [CrossRef]
- Maeno, M.; Nakamura, Y.; Mennear, J.H.; Bernard, B.K. Studies of the toxicological potential of tripeptides (L-valyl-L-prolyl-L-proline and L-isoleucyl-L-prolyl-L-proline): III. Single- and/or repeated-dose toxicity of tripeptides-containing Lactobacillus helveticus-fermented milk powder and casein hydrolysate in rats. Int. J. Toxicol. 2005, 24, 13–23. [Google Scholar] [CrossRef] [PubMed]
- Agyei, D.; Potumart, R.; Danquah, M.K. Food-derived multifunctional bioactive proteins and peptides:Sources and production. Biotechnol. Bioact. Compd. 2015, 19, 483–506. [Google Scholar] [CrossRef]
- Abeynayake, R.; Zhang, S.; Yang, W.; Chen, L. Development of antioxidant peptides from brewers’ spent grain proteins. LWT-Food Sci. Technol. 2022, 158, 113162. [Google Scholar] [CrossRef]
- Riaz Rajoka, M.S.; Jin, M.; Haobin, Z.; Li, Q.; Shao, D.; Jiang, C.; Huang, Q.; Yang, H.; Shi, J.; Hussain, N. Functional characterization and biotechnological potential of exopolysaccharide produced by Lactobacillus rhamnosus strains isolated from human breast milk. LWT-Food Sci. Technol. 2018, 89, 638–647. [Google Scholar] [CrossRef]
- Zhang, N.; Zhao, Y.; Shi, Y.; Chen, R.; Fu, X.; Zhao, Y. Polypeptides extracted from Eupolyphaga sinensis walker via enzymic digestion alleviate UV radiation-induced skin photoaging. Biomed Pharm. 2019, 112, 108636. [Google Scholar] [CrossRef] [PubMed]
- Hu, J.; Wang, H.; Weng, N.; Wei, T.; Tian, X.; Lu, J.; Lyu, M.; Wang, S. Novel angiotensin-converting enzyme and pancreatic lipase oligopeptide inhibitors from fermented rice bran. Front. Nutr. 2022, 9, 1010005. [Google Scholar] [CrossRef]
- Yin, Z.; Yan, R.; Jiang, Y.; Feng, S.; Sun, H.; Sun, J.; Zhao, D.; Li, H.; Wang, B.; Zhang, N. Identification of peptides in Qingke baijiu and evaluation of its angiotensin converting enzyme (ACE) inhibitory activity and stability. Food Chem. 2022, 395, 133551. [Google Scholar] [CrossRef]
- Pandian, S.; Sivaswamy, S.N.; Hopper, W. In silico studies on pancreatic lipase and cholesterol esterase inhibitor 2, 6-di-tert-butyl phenol: A novel molecule for Antiobesity. Res. J. Pharm. Technol. 2021, 2, 763–768. [Google Scholar] [CrossRef]
- Sarmadi, B.H.; Ismail, A. Antioxidative peptides from food proteins: A review. Peptides 2010, 31, 1949–1956. [Google Scholar] [CrossRef]











| Number | Peptide Sequences | Peptide Length | Score | Scan Time | Intensity | pI | Grand Average of Hydropathy | Toxicity | Anaphylaxis |
|---|---|---|---|---|---|---|---|---|---|
| D-1 | SERDPSNIKWGDAGAQ | 16 | 557.90 | 22.14 | 64,628,000 | 4.56 | −1.42 | No | No |
| D-2 | TVDGPSGKLWR | 11 | 524.20 | 23.70 | 78,281,000 | 8.41 | −0.79 | No | Possible |
| D-3 | NDHFVKL | 7 | 456.80 | 22.93 | 193,440,000 | 6.74 | −0.47 | No | Possible |
| D-4 | AFRVPTP | 7 | 444.60 | 31.85 | 4,081,200 | 9.79 | 0.06 | No | No |
| D-5 | DAGAGIAL | 8 | 437.10 | 35.57 | 49,091,000 | 3.80 | 1.18 | No | Possible |
| D-6 | VSVVDLTVR | 9 | 412.70 | 35.28 | 6,303,100 | 5.81 | 1.23 | No | No |
| Number | Docking Energy | Number of Hydrogen Bonds | Hydrogen Bonds | Hydrophobic Interactions |
|---|---|---|---|---|
| D-2 | −6.4 kcal/mol | 5 | Asn387 (A), Ser555, Arg380 (A), His436 (B), Arg483 (B) | Asn382 (B), Tyr334 (B), Pro384 (A), Ser383 (A), Gly386 (A), Phe577 (B), Gly433 (A), Asn387 (A), Arg380 (B), Asn414 (B), Phe478 (B), Ser508 (B), Ile461 (B), Tyr525 (B), Gly509 (B), Gly603 (B), Gly364 (B), Ala556 (B), Tyr572 (B), Asp385 (A), Ser363 (B) |
| D-3 | −7.3 kcal/mol | 3 | Tyr334 (B), Asn387 (A), Aeg483 (B) | Phe577 (B), Tyr572 (B), Ser383 (A), Asn382 (B), Ser383 (A), Ser363 (B), Ser555 (B), Arg414 (B), Arg380 (B), Ala556 (B), Arg415 (B), Gly462 (B), Ser508 (B), Tyr525 (B), Gln530 (B), Phe478 (B), His436 (B), Ile461 (B), Gly386 (A), Pro384 (A) |
| D-4 | −9.0 kcal/mol | 8 | Pro384 (A), Ser383 (A), Asn387 (A), Arg415 (B), Tyr572 (B) | Gly509 (B), Ala556 (B), Gly603 (B), Asn382 (B), Tyr334 (B), Gly386 (A), Arg380 (A), Gln530 (B), Tyr525 (B), Arg483 (B), Ser508 (B), Phe478 (B), Gly462 (B) |
| D-5 | −8.0 kcal/mol | 7 | Asn382 (B), Arg380 (B), Asn387 (B), Arg483 (B), Ser508 (B) | Gly364 (B), Asn414 (B), Phe577 (B), Tyr334 (B), Tyr572 (B), Gln530 (B), Gly509 (B), Tyr525 (B), Ser555 (B), Arg415 (B), Ser363 (B), Ala556 (B), Gly603 (B) |
| D-6 | −7.4 kcal/mol | 5 | Ser383 (A), Ser602 (B), Arg415 (B), Asn414 (B), Pro384 (A) | Asp385 (A), Ser363 (B), Gly364 (B)Ala556 (B), Ser555 (B), Gly509 (B), Arg483 (B), Tyr525 (B), Ile461 (B), Phe478 (B)His436 (B), Gly433 (A), Arg380 (B), Gly386 (A), Tyr334 (B) |
| Number | Docking Energy | Number of Hydrogen Bonds | Hydrogen Bonds | Hydrophobic Interactions |
|---|---|---|---|---|
| D-2 | −8.8 kcal/mol | 16 | Glu403, Ser516, Aeg522, Tyr360, Glu123, Arg124, Tyr62, Asn66, Asn70, Tyr523, Glu411, Zn701 | Ser355, Phe391, His410, Pro407, Asp358, Trp59, Lys118, Ile88, Leu139, Val518, Glu143, Pro519, Trp357 |
| D-4 | −9.1 kcal/mol | 7 | Glu411, Arg522, Glu403, Zn701 | His387, Glu384, Phe391, Val518, Asn356, Asn66, Trp357, Asp358, His410, Tyr360, Trp59, Tyr394 |
| Number | Docking Energy | Number of Hydrogen Bonds | Hydrogen Bonds | Hydrophobic Interactions |
|---|---|---|---|---|
| D-2 | −7.4 kal/mol | 10 | Phe60, His115, Arg63, Thr75, Gly106, Ser194, Gly107, Val108, Tyr123 | Ile69, Met111, Glu193, His435, Ile439, Gln440, Ile323, Ala436, Asp437, Tyr125, Leu124, Phe119, Ala117, Asn118, Gly116, Lys62, Lys61 |
| D-3 | −6.9 kal/mol | 6 | Arg63, Asn121, Tyr125, Ile69, Ala108, Asn118 | Phe119, Gly116, Gly112, Leu124, Met111, Gly107, Phe324, Ile323, Met281, Gly106, Glu193, Ile439, Ala117, Asp437, Ala436, Gln440 |
| D-6 | −7.0 kal/mol | 8 | Lys445, Tyr125, Ser194, His435, Gln440, Arg423 | Asn121, Phe119, Asn118, Ala117, Gly116, Leu124, Arg63, Met111, Gly107, Ala108, Ile439, Glu193, Gly106, Ile323, Ala436 |
Disclaimer/Publisher’s Note: The statements, opinions and data contained in all publications are solely those of the individual author(s) and contributor(s) and not of MDPI and/or the editor(s). MDPI and/or the editor(s) disclaim responsibility for any injury to people or property resulting from any ideas, methods, instructions or products referred to in the content. |
© 2023 by the authors. Licensee MDPI, Basel, Switzerland. This article is an open access article distributed under the terms and conditions of the Creative Commons Attribution (CC BY) license (https://creativecommons.org/licenses/by/4.0/).
Share and Cite
Dou, B.; Wu, X.; Xia, Z.; Wu, G.; Guo, Q.; Lyu, M.; Wang, S. Multiple Bioactivities of Peptides from Hydrolyzed Misgurnus anguillicaudatus. Molecules 2023, 28, 2589. https://doi.org/10.3390/molecules28062589
Dou B, Wu X, Xia Z, Wu G, Guo Q, Lyu M, Wang S. Multiple Bioactivities of Peptides from Hydrolyzed Misgurnus anguillicaudatus. Molecules. 2023; 28(6):2589. https://doi.org/10.3390/molecules28062589
Chicago/Turabian StyleDou, Baojie, Xudong Wu, Zihan Xia, Guanghao Wu, Quanyou Guo, Mingsheng Lyu, and Shujun Wang. 2023. "Multiple Bioactivities of Peptides from Hydrolyzed Misgurnus anguillicaudatus" Molecules 28, no. 6: 2589. https://doi.org/10.3390/molecules28062589
APA StyleDou, B., Wu, X., Xia, Z., Wu, G., Guo, Q., Lyu, M., & Wang, S. (2023). Multiple Bioactivities of Peptides from Hydrolyzed Misgurnus anguillicaudatus. Molecules, 28(6), 2589. https://doi.org/10.3390/molecules28062589

