Co-Encapsulation of Epigallocatechin-3-Gallate and Vitamin B12 in Zein Microstructures by Electrospinning/Electrospraying Technique
Abstract
1. Introduction
2. Results and Discussion
2.1. Characterization of the Zein Microstructures: Scanning Electron Microscopy
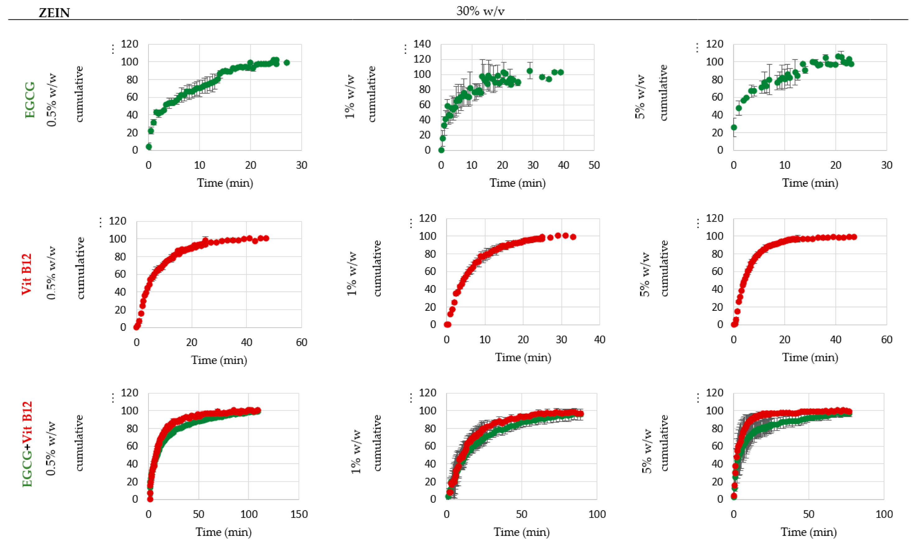
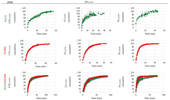
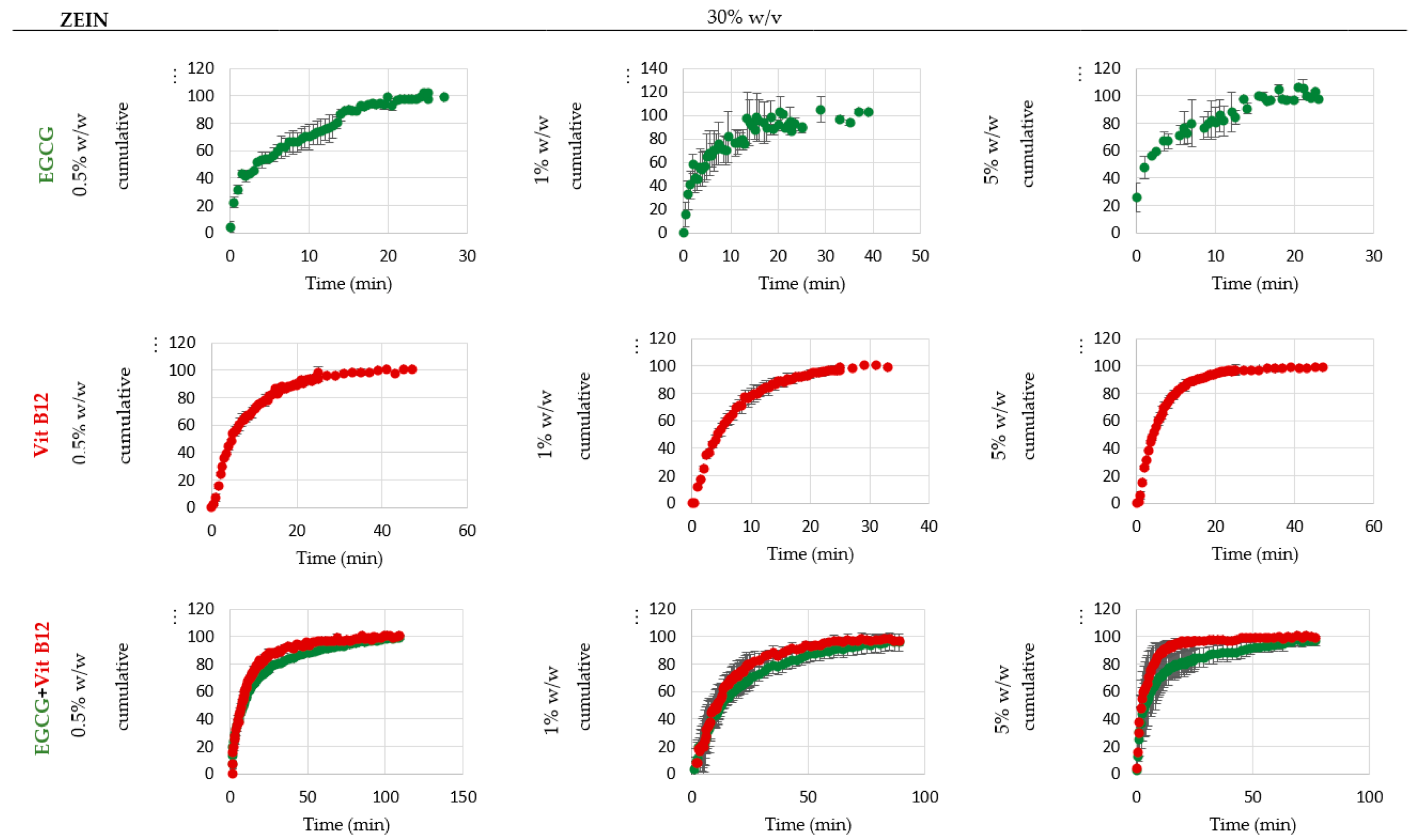
2.2. In Vitro Release Assays
2.3. Entrapment Efficiency
3. Materials and Methods
3.1. Materials
3.2. Microstrutures Production
3.3. Microstrutures Morphology
3.4. In Vitro Release Assays
3.5. Microencapsulation Efficiency
3.6. Statistical Analysis
4. Conclusions
Author Contributions
Funding
Institutional Review Board Statement
Informed Consent Statement
Data Availability Statement
Acknowledgments
Conflicts of Interest
References
- Peanparkdee, M.; Iwamoto, S.; Yamauchi, R. Microencapsulation: A Review of Applications in the Food and Pharmaceutical Industries. Rev. Agric. Sci. 2016, 4, 56–65. [Google Scholar] [CrossRef]
- Coelho, S.C.; Laget, S.; Benaut, P.; Rocha, F.; Estevinho, B.N. A New Approach to the Production of Zein Microstructures with Vitamin B12, by Electrospinning and Spray Drying Techniques. Powder Technol. 2021, 392, 47–57. [Google Scholar] [CrossRef]
- Estevinho, B.N.; Carlan, I.; Blaga, A.; Rocha, F. Soluble Vitamins (Vitamin B12 and Vitamin C) Microencapsulated with Different Biopolymers by a Spray Drying Process. Powder Technol. 2016, 289, 71–78. [Google Scholar] [CrossRef]
- Ribeiro, A.M.; Estevinho, B.N.; Rocha, F. Preparation and Incorporation of Functional Ingredients in Edible Films and Coatings. Food Bioprocess Technol. 1947, 14, 209–231. [Google Scholar] [CrossRef]
- Fathi, F.; Ebrahimi, S.N.; Pereira, D.M.; Estevinho, B.N.; Rocha, F. Preliminary Studies of Microencapsulation and Anticancer Activity of Polyphenols Extract from Punica Granatum Peels. Can. J. Chem. Eng. 2022, 100, 3240–3252. [Google Scholar] [CrossRef]
- Singla, R.K.; Dubey, A.K.; Garg, A.; Sharma, R.K.; Fiorino, M.; Ameen, S.M.; Haddad, M.A.; Al-Hiary, M. Natural Polyphenols: Chemical Classification, Definition of Classes, Subcategories, and Structures. J. AOAC Int. 2019, 102, 1397–1400. [Google Scholar] [CrossRef]
- Ralaivao, M.; Lucas, J.; Rocha, F.; Estevinho, B.N. Food-Grade Microencapsulation Systems to Improve Protection of the Epigallocatechin Gallate. Foods 2022, 11, 1990. [Google Scholar] [CrossRef]
- Yan, Z.; Zhong, Y.; Duan, Y.; Chen, Q.; Li, F. Antioxidant Mechanism of Tea Polyphenols and Its Impact on Health Benefits. Anim. Nutr. 2020, 6, 115–123. [Google Scholar] [CrossRef] [PubMed]
- Cerbin-Koczorowska, M.; Waszyk-Nowaczyk, M.; Bakun, P.; Goslinski, T.; Koczorowski, T. Current View on Green Tea Catechins Formulations, Their Interactions with Selected Drugs, and Prospective Applications for Various Health Conditions. Appl. Sci. 2021, 11, 4905. [Google Scholar] [CrossRef]
- Chu, C.; Deng, J.; Man, Y.; Qu, Y. Green Tea Extracts Epigallocatechin-3-Gallate for Different Treatments. BioMed Res. Int. 2017, 2017, 5615647. [Google Scholar] [CrossRef] [PubMed]
- Dai, W.; Ruan, C.; Zhang, Y.; Wang, J.; Han, J.; Shao, Z.; Sun, Y.; Liang, J. Bioavailability Enhancement of EGCG by Structural Modification and Nano-Delivery: A Review. J. Funct. Foods 2020, 65, 103732. [Google Scholar] [CrossRef]
- Singh, B.N.; Shankar, S.; Srivastava, R.K. Green Tea Catechin, Epigallocatechin-3-Gallate (EGCG): Mechanisms, Perspectives and Clinical Applications. Biochem. Pharm. 2011, 82, 1807. [Google Scholar] [CrossRef]
- Chodari, L.; Dilsiz Aytemir, M.; Vahedi, P.; Alipour, M.; Vahed, S.Z.; Khatibi, S.M.H.; Ahmadian, E.; Ardalan, M.; Eftekhari, A. Targeting Mitochondrial Biogenesis with Polyphenol Compounds. Oxid. Med. Cell Longev. 2021, 2021, 4946711. [Google Scholar] [CrossRef] [PubMed]
- Gadkari, P.V.; Balaraman, M. Catechins: Sources, Extraction and Encapsulation: A Review. Food Bioprod. Process. 2015, 93, 122–138. [Google Scholar] [CrossRef]
- Teleki, A.; Hitzfeld, A.; Eggersdorfer, M. 100 Years of Vitamins: The Science of Formulation Is the Key to Functionality. KONA Powder Part. J. 2013, 30, 144–163. [Google Scholar] [CrossRef]
- Estevinho, B.N.; Mota, R.; Leite, J.P.; Tamagnini, P.; Gales, L.; Rocha, F. Application of a Cyanobacterial Extracellular Polymeric Substance in the Microencapsulation of Vitamin B12. Powder Technol. 2019, 343, 644–651. [Google Scholar] [CrossRef]
- Kennedy, D.O. B Vitamins and the Brain: Mechanisms, Dose and Efficacy—A Review. Nutrients 2016, 8, 68. [Google Scholar] [CrossRef]
- Silverman, R.; Brauer, J. Vitamins. In The Complete Guide to Nutrition in Primary Care; Blackwell Publishing Ltd.: Oxford, UK, 2008; Volume 97, pp. 221–247. [Google Scholar]
- Carlan, I.C.; Estevinho, B.N.; Rocha, F. Study of Microencapsulation and Controlled Release of Modified Chitosan Microparticles Containing Vitamin B12. Powder Technol. 2017, 318, 162–169. [Google Scholar] [CrossRef]
- Ofoedu, C.E.; Iwouno, J.O.; Ofoedu, E.O.; Ogueke, C.C.; Igwe, V.S.; Agunwah, I.M.; Ofoedum, A.F.; Chacha, J.S.; Muobike, O.P.; Agunbiade, A.O.; et al. Revisiting Food-Sourced Vitamins for Consumer Diet and Health Needs: A Perspective Review, from Vitamin Classification, Metabolic Functions, Absorption, Utilization, to Balancing Nutritional Requirements. PeerJ 2021, 9, e11940. [Google Scholar] [CrossRef]
- Vandamme, E.J.; Revuelta, J.L. Vitamins, Biopigments, Antioxidants and Related Compounds: A Historical, Physiological and (Bio)Technological Perspective. Ind. Biotechnol. Vitam. Biopigments Antioxid. 2016, 1–14. [Google Scholar] [CrossRef]
- Rizzo, G.; Laganà, A.S. A Review of Vitamin B12; Elsevier Inc.: Amsterdam, The Netherlands, 2019; ISBN 9780128119075. [Google Scholar]
- O’leary, F.; Samman, S. Vitamin B12 in Health and Disease. Nutrients 2010, 2, 299–316. [Google Scholar] [CrossRef] [PubMed]
- Cârlan, I.C. Development of the Microencapsulation of Soluble Vitamins with Different Biopolymers by a Spray Drying Process for Medical, Pharmaceutical and Food Applications. Master’s Thesis, University of Porto, Porto, Portugal, 2021. [Google Scholar]
- Mukherjee, S.L.; Sen, S.P. Stability of Vitamin B12. J. Pharm. Pharmacol. 2011, 11, 26–31. [Google Scholar] [CrossRef] [PubMed]
- Fang, Z.; Bhandari, B. Encapsulation of Polyphenols—A Review. Trends Food Sci. Technol. 2010, 21, 510–523. [Google Scholar] [CrossRef]
- Marisa Ribeiro, A.; Estevinho, B.N.; Rocha, F. Microencapsulation of Polyphenols–The Specific Case of the Microencapsulation of Sambucus Nigra L. Extracts—A Review. Trends Food Sci. Technol. 2020, 105, 454–467. [Google Scholar] [CrossRef]
- Gonçalves, A.; Estevinho, B.N.; Rocha, F. Microencapsulation of Vitamin A: A Review. Trends Food Sci. Technol. 2016, 51, 76–87. [Google Scholar] [CrossRef]
- Estevinho, B.N.; Rocha, F.; Santos, L.; Alves, A. Microencapsulation with Chitosan by Spray Drying for Industry Applications—A Review. Trends Food Sci. Technol. 2013, 31, 138–155. [Google Scholar] [CrossRef]
- Huang, K.; Yuan, Y.; Baojun, X. A Critical Review on the Microencapsulation of Bioactive Compounds and Their Application. Food Rev. Int. 2021, 1–41. [Google Scholar] [CrossRef]
- Choudhury, N.; Meghwal, M.; Das, K. Microencapsulation: An Overview on Concepts, Methods, Properties and Applications in Foods. Food Front. 2021, 2, 426–442. [Google Scholar] [CrossRef]
- Aguiar, J.; Estevinho, B.N.; Santos, L. Microencapsulation of Natural Antioxidants for Food Application–The Specific Case of Coffee Antioxidants—A Review. Trends Food Sci. Technol. 2016, 58, 21–39. [Google Scholar] [CrossRef]
- Li, Y.; Lim, L.-T.; Kakuda, Y. Electrospun Zein Fibers as Carriers to Stabilize (−)-Epigallocatechin Gallate. J. Food Sci. 2009, 74, C233–C240. [Google Scholar] [CrossRef]
- Castro Coelho, S.; Nogueiro Estevinho, B.; Rocha, F. Encapsulation in Food Industry with Emerging Electrohydrodynamic Techniques: Electrospinning and Electrospraying—A Review. Food Chem. 2021, 339, 127850. [Google Scholar] [CrossRef] [PubMed]
- Silva, P.M.; Torres-Giner, S.; Vicente, A.A.; Cerqueira, M.A. Electrohydrodynamic Processing for the Production of Zein-Based Microstructures and Nanostructures. Curr. Opin. Colloid Interface Sci. 2021, 56, 101504. [Google Scholar] [CrossRef]
- Mendes, A.C.; Chronakis, I.S. Electrohydrodynamic Encapsulation of Probiotics: A Review. Food Hydrocoll. 2021, 117, 106688. [Google Scholar] [CrossRef]
- Sun, Y.; Cheng, S.; Lu, W.; Wang, Y.; Zhang, P.; Yao, Q. Electrospun Fibers and Their Application in Drug Controlled Release, Biological Dressings, Tissue Repair, and Enzyme Immobilization. RSC Adv. 2019, 9, 25712–25729. [Google Scholar] [CrossRef]
- Seo, S.-J.; Kim, H.-W.; Lee, J.-H. Electrospun Nanofibers Applications in Dentistry. J. Nanomater. 2016, 2016, 5931946. [Google Scholar] [CrossRef]
- Khezri, K.; Dizaj, S.M.; Saadat, Y.R.; Sharifi, S.; Shahi, S.; Ahmadian, E.; Eftekhari, A.; Dalir Abdolahinia, E.; Lotfipour, F. Osteogenic Differentiation of Mesenchymal Stem Cells via Curcumin-Containing Nanoscaffolds. Stem Cells Int. 2021, 2021, 1520052. [Google Scholar] [CrossRef] [PubMed]
- Coelho, S.C.; Rocha, F.; Estevinho, B.N. Electrospinning of Microstructures Incorporated with Vitamin B9 for Food Application: Characteristics and Bioactivities. Polymers 2022, 14, 4337. [Google Scholar] [CrossRef] [PubMed]
- Giteru, S.G.; Ali, M.A.; Oey, I. Recent Progress in Understanding Fundamental Interactions and Applications of Zein. Food Hydrocoll. 2021, 120, 106948. [Google Scholar] [CrossRef]
- Zhang, X.; Dong, C.; Hu, Y.; Gao, M.; Luan, G. Zein as a Structural Protein in Gluten-Free Systems: An Overview. Food Sci. Hum. Wellness 2021, 10, 270–277. [Google Scholar] [CrossRef]
- Moomand, K.; Lim, L.T. Effects of Solvent and N-3 Rich Fish Oil on Physicochemical Properties of Electrospun Zein Fibres. Food Hydrocoll. 2015, 46, 191–200. [Google Scholar] [CrossRef]
- Gómez-Mascaraque, L.G.; Perez-Masiá, R.; González-Barrio, R.; Periago, M.J.; López-Rubio, A. Potential of Microencapsulation through Emulsion-Electrospraying to Improve the Bioaccesibility of β-Carotene. Food Hydrocoll. 2017, 73, 1–12. [Google Scholar] [CrossRef]
- Hosseini, F.; Miri, M.A.; Najafi, M.; Soleimanifard, S.; Aran, M. Encapsulation of Rosemary Essential Oil in Zein by Electrospinning Technique. J. Food Sci. 2021, 86, 4070–4086. [Google Scholar] [CrossRef]
- Estevinho, B.N.; Rocha, F. Kinetic Models Applied to Soluble Vitamins Delivery Systems Prepared by Spray Drying. Dry. Technol. 2017, 35, 1249–1257. [Google Scholar] [CrossRef]
- Padmaa Paarakh, M.; Ani Jose, P.; Setty, C.M.; Christoper, G.V.P. Release Kinetics-Concepts and Applications. Int. J. Pharm. Res. Technol. 2018, 8, 12–20. [Google Scholar]
- Budinčić, J.M.; Petrović, L.; Đekić, L.; Fraj, J.; Bučko, S.; Katona, J.; Spasojević, L. Study of Vitamin E Microencapsulation and Controlled Release from Chitosan/Sodium Lauryl Ether Sulfate Microcapsules. Carbohydr. Polym. 2021, 251, 116988. [Google Scholar] [CrossRef]
- Bucurescu, A.; Blaga, A.C.; Estevinho, B.N.; Rocha, F. Microencapsulation of Curcumin by a Spray-Drying Technique Using Gum Arabic as Encapsulating Agent and Release Studies. Food Bioproc. Tech. 2018, 11, 1795–1806. [Google Scholar] [CrossRef]
- Sood, A.; Panchagnula, R. Design of Controlled Release Delivery Systems Using a Modified Pharmacokinetic Approach: A Case Study for Drugs Having a Short Elimination Half-Life and a Narrow Therapeutic Index. Int. J. Pharm. 2003, 261, 27–41. [Google Scholar] [CrossRef] [PubMed]
- Coelho, S.C.; Benaut, P.; Laget, S.; Estevinho, B.N.; Rocha, F. Optimization of Electrospinning Parameters for the Production of Zein Microstructures for Food and Biomedical Applications. Micron 2021, 152, 103164. [Google Scholar] [CrossRef] [PubMed]





| SAMPLE | Zero Order | First Order | Baker-Lonsdale | Korsmeyer-Peppas | Weibull | |||||||
|---|---|---|---|---|---|---|---|---|---|---|---|---|
| Ko | R2 | K1 | R2 | K | R2 | Kk | n | R2 | τd (min) | β | R2 | |
| Z:1:E:1 | * | |||||||||||
| Z:5:E:1 | * | |||||||||||
| Z:15:E:1 | 5.69 × 10−2 | 0.765 | −6.99 × 10−2 | 0.738 | 9.74 × 10−2 | 0.845 | 0.738 | 3.16 × 10−2 | 0.634 | 0.6 | 0.403 | 0.761 |
| Z:30:E:1 | 9.91 × 10−2 | 0.779 | −0.804 | 0.442 | 1.86 × 10−2 | 0.970 | 0.147 | 0.956 | 0.789 | 5.1 | 0.519 | 0.897 |
| Z:30:E:5 | 7.13 × 10−2 | 0.861 | −0.143 | 0.776 | 2.35 × 10−2 | 0.966 | 0.570 | 0.124 | 0.917 | 3.0 | 0.439 | 0.959 |
| Z:30:E:0.5 | 9.41 × 10−2 | 0.824 | −0.381 | 0.660 | 1.34 × 10−2 | 0.996 | 0.342 | 0.310 | 0.990 | 6.7 | 0.518 | 0.972 |
| Z:1:B:1 | 1.60 × 10−3 | 0.889 | −0.198 | 0.750 | 3.27 × 10−2 | 0.926 | 0.446 | 0.203 | 0.729 | 3.4 | 0.991 | 0.918 |
| Z:5:B:1 | * | |||||||||||
| Z:15:B:1 | 0.144 | 0.780 | −0.249 | 0.664 | 6.26 × 10−2 | 0.992 | 0.756 | 0.135 | 0.877 | 1.4 | 0.681 | 0.765 |
| Z:30:B:1 | 1.80 × 10−3 | 0.970 | −1.167 | 0.462 | 1.61 × 10−2 | 0.981 | 6.76 × 10−2 | 1.115 | 0.919 | 6.5 | 1.051 | 0.994 |
| Z:30:B:5 | 0.109 | 0.985 | −0.999 | 0.587 | 1.34 × 10−2 | 0.993 | 8.83 × 10−2 | 0.970 | 0.905 | 8.0 | 0.970 | 0.979 |
| Z:30:B:0.5 | 9.37 × 10−2 | 0.956 | −0.600 | 0.536 | 1.72 × 10−2 | 0.978 | 8.66 × 10−2 | 1.046 | 0.933 | 6.9 | 0.959 | 0.959 |
| SAMPLE | Zero Order | First Order | Baker–Lonsdale | |||||||||
|---|---|---|---|---|---|---|---|---|---|---|---|---|
| Ko | R2 | K1 | R2 | K | R2 | |||||||
| EGCG | B12 | EGCG | B12 | EGCG | B12 | EGCG | B12 | EGCG | B12 | EGCG | B12 | |
| Z:1:EB:1 | 0.056 | 0.0726 | 0.887 | 0.850 | −0.168 | 0.159 | 0.765 | 0.725 | 0.008 | 0.026 | 0.976 | 0.969 |
| Z:5:EB:1 | * | |||||||||||
| Z:15:EB:1 | 0.109 | 0.096 | 0.849 | 0.847 | −0.872 | 0.350 | 0.557 | 0.705 | 0.006 | 0.014 | 0.978 | 0.991 |
| Z:30:EB:1 | 0.037 | 0.0413 | 0.974 | 0.975 | −0.139 | 0.144 | 0.867 | 0.893 | 0.005 | 0.007 | 0.992 | 0.978 |
| Z:30:EB:5 | 0.147 | 0.1863 | 0.969 | 0.976 | −0.807 | 0.763 | 0.775 | 0.516 | 0.011 | 0.03 | 0.989 | 0.998 |
| Z:30:EB:0.5 | 0.105 | 0.0465 | 0.930 | 0.933 | −0.313 | 0.285 | 0.559 | 0.516 | 0.007 | 0.007 | 0.997 | 0.987 |
| SAMPLE | Korsmeyer–Peppas | Weibull | ||||||||||
| Kk | n | R2 | τd(min) | β | R2 | |||||||
| EGCG | B12 | EGCG | B12 | EGCG | B12 | EGCG | B12 | EGCG | B12 | EGCG | B12 | |
| Z:1:EB:1 | 0.316 | 0.428 | 0.282 | 0.238 | 0.943 | 0.83 | 10.7 | 3.5 | 0.545 | 0.526 | 0.957 | 0.883 |
| Z:5:EB:1 | * | |||||||||||
| Z:15:EB:1 | 0.169 | 0.186 | 0.495 | 0.605 | 0.912 | 0.88 | 13.6 | 6.5 | 0.528 | 0.488 | 0.977 | 0.958 |
| Z:30:EB:1 | 0.063 | 0.058 | 0.766 | 0.863 | 0.929 | 0.950 | 21.8 | 16.6 | 0.894 | 0.929 | 0.977 | 0.979 |
| Z:30:EB:5 | 0.291 | 0.375 | 0.364 | 0.339 | 0.973 | 0.964 | 7.7 | 3.2 | 0.509 | 0.610 | 0.987 | 0.971 |
| Z:30:EB:0.5 | 0.048 | 0.038 | 0.961 | 1.128 | 0.860 | 0.898 | 15.5 | 11.2 | 0.707 | 0.784 | 0.978 | 0.977 |
| SAMPLE | EE (%) | SAMPLE | EE (%) | SAMPLE | EE (%) | |
|---|---|---|---|---|---|---|
| Z:1:E:1 | 19.26 ± 0.08 | Z:1:B:1 | 108.7 ± 0.4 * | Z:1:EB:1 | EGCG | 92.4 ± 0.4 |
| B12 | 70.5 ± 0.3 | |||||
| Z:5:E:1 | 0.309 ± 0.001 | Z:5:B:1 | 89.7 ± 0.4 | Z:5:EB:1 | EGCG | 47.6 ± 0.3 |
| B12 | 86.6 ± 0.4 | |||||
| Z:15:E:1 | 39.75 ± 0.16 | Z:15:B:1 | 81.1 ± 0.3 | Z:15:EB:1 | EGCG | 99.7 ± 0.4 |
| B12 | 78.6 ± 0.3 | |||||
| Z:30:E:1 | 100.0 ± 0.4 | Z:30:B:1 | 93.9 ± 0.4 | Z:30:EB:1 | EGCG | 100.0 ± 0.4 |
| B12 | 100.0 ± 0.4 | |||||
| Z:30:E:5 | 74.3 ± 0.3 | Z:30:B:5 | 79.6 ± 0.3 | Z:30:EB:5 | EGCG | 97.2 ± 0.4 |
| B12 | 105.1 ± 0.4 * | |||||
| Z:30:E:0.5 | 95.6 ± 0.4 | Z:30:B:0.5 | 77.1 ± 0.3 | Z:30:EB:0.5 | EGCG | 103.2 ± 0.4 * |
| B12 | 96.6 ± 0.4 |
| Biopolymer | Active Ingredient | Biopolymer Concentration (% w/v) | Active Ingredient Concentration (% w/w) | SAMPLE | Flow Rate (mL/h) |
|---|---|---|---|---|---|
| Zein | EGCG | 1 | 1 | Z:1:E:1 | 0.6 |
| 5 | 1 | Z:5:E:1 | 0.3 | ||
| 15 | 1 | Z:15:E:1 | 0.6 | ||
| 30 | 1 | Z:30:E:1 | 3 | ||
| 30 | 5 | Z:30:E:5 | 1.5 | ||
| 30 | 0.5 | Z:30:E:0.5 | 1.5 | ||
| Vitamin B12 | 1 | 1 | Z:1:B:1 | 0.6 | |
| 5 | 1 | Z:5:B:1 | 0.3 | ||
| 15 | 1 | Z:15:B:1 | 0.6 | ||
| 30 | 1 | Z:30:B:1 | 3 | ||
| 30 | 5 | Z:30:B:5 | 1.5 | ||
| 30 | 0.5 | Z:30:B:0.5 | 1.5 | ||
| EGCG + Vitamin B12 | 1 | 0.5 + 0.5 | Z:1:EB:1 | 0.6 | |
| 5 | 0.5 + 0.5 | Z:5:EB:1 | 0.3 | ||
| 15 | 0.5 + 0.5 | Z:15:EB:1 | 0.6 | ||
| 30 | 0.5 + 0.5 | Z:30:EB:1 | 3 | ||
| 30 | 2.5 + 2.5 | Z:30:EB:5 | 1.5 | ||
| 30 | 0.25 + 0.25 | Z:30:EB:0.5 | 1.5 |
Disclaimer/Publisher’s Note: The statements, opinions and data contained in all publications are solely those of the individual author(s) and contributor(s) and not of MDPI and/or the editor(s). MDPI and/or the editor(s) disclaim responsibility for any injury to people or property resulting from any ideas, methods, instructions or products referred to in the content. |
© 2023 by the authors. Licensee MDPI, Basel, Switzerland. This article is an open access article distributed under the terms and conditions of the Creative Commons Attribution (CC BY) license (https://creativecommons.org/licenses/by/4.0/).
Share and Cite
Couto, A.F.; Favretto, M.; Paquis, R.; Estevinho, B.N. Co-Encapsulation of Epigallocatechin-3-Gallate and Vitamin B12 in Zein Microstructures by Electrospinning/Electrospraying Technique. Molecules 2023, 28, 2544. https://doi.org/10.3390/molecules28062544
Couto AF, Favretto M, Paquis R, Estevinho BN. Co-Encapsulation of Epigallocatechin-3-Gallate and Vitamin B12 in Zein Microstructures by Electrospinning/Electrospraying Technique. Molecules. 2023; 28(6):2544. https://doi.org/10.3390/molecules28062544
Chicago/Turabian StyleCouto, Ana F., Maéna Favretto, Raphael Paquis, and Berta N. Estevinho. 2023. "Co-Encapsulation of Epigallocatechin-3-Gallate and Vitamin B12 in Zein Microstructures by Electrospinning/Electrospraying Technique" Molecules 28, no. 6: 2544. https://doi.org/10.3390/molecules28062544
APA StyleCouto, A. F., Favretto, M., Paquis, R., & Estevinho, B. N. (2023). Co-Encapsulation of Epigallocatechin-3-Gallate and Vitamin B12 in Zein Microstructures by Electrospinning/Electrospraying Technique. Molecules, 28(6), 2544. https://doi.org/10.3390/molecules28062544

