Solubility Determination and Comprehensive Analysis of the New Heat-Resistant Energetic Material TNBP
Abstract
1. Introduction
2. Results and Discussion
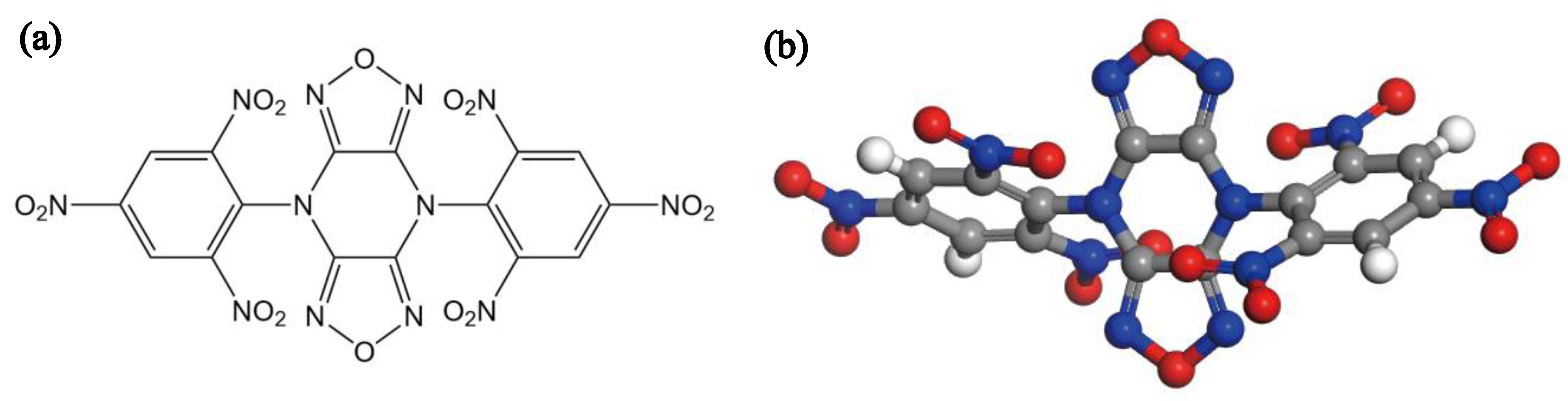
2.1. Solid-State Properties of TNBP
2.2. Pure Solvent Solubility Results
2.3. Mixed Solvent Solubility Results
2.4. Thermodynamic Properties of Dissolution
3. Experimental
3.1. Materials and Instruments
3.2. Solubility Determination
3.3. Molecular Dynamics Simulation
4. Theoretical Foundations
4.1. Van’t Hoff Equation
4.2. Modified Apelblat Equation
4.3. λh Equation
4.4. Thermodynamic Model Evaluation
4.5. KAT-LSER Model
4.6. Thermodynamic Parameters
5. Conclusions
Supplementary Materials
Author Contributions
Funding
Institutional Review Board Statement
Informed Consent Statement
Data Availability Statement
Conflicts of Interest
Sample Availability
References
- Tselinskii, I.V.; Mel’nikova, S.F.; Romanova, T.V.; Pirogov, S.V.; Khisamutdinov, G.K.; Mratkhuzina, T.A.; Smirnov, S.P. 4H, 8H-difurazano[3, 4-b: 3′, 4′-e] pyrazine and some its derivatives. Russ. J. Org. Chem. 1997, 33, 1656–1665. [Google Scholar]
- Liu, N.; Xiao, C.; Zhang, Q.; Lu, X.; Wang, B. Research progress in ultra-temperature heat-resistant energetic materials. J. Ordnance Equip. Eng. 2021, 42, 115–121. [Google Scholar]
- Liu, N.; Shu, Y.; Li, H.; Zhai, L.; Li, Y.; Wang, B. Synthesis, characterization and properties of heat-resistant explosive materials: Polynitroaromatic substituted difurazano[3,4-b:3′,4′-e]pyrazines. RSC Adv. 2015, 5, 43780–43785. [Google Scholar] [CrossRef]
- Liu, N.; Zhang, Q.; Duan, B.; Lu, X.; Bai, X.; Yan, Q. Comparative study on thermal behavior of three highly thermostable energetic materials: Z-TACOT, PYX, and TNBP. FirePhysChem 2021, 1, 61–69. [Google Scholar] [CrossRef]
- Wang, L.; Wang, M.; Zhao, J.; Chang, H.; Liu, N. Research progress on crystallization process based on typical heat resistant explosives. Appl. Chem. Ind. 2022, 51, 3682–3687. [Google Scholar]
- Wu, H.; Zhang, Y.; Chang, P.; Hao, H.; Zhai, L.; Wang, B. Solubility, dissolution properties and molecular dynamic simulation of 2, 6-bis(picrylamino)-3, 5-dinitro-pyridine in pure and binary solvents. J. Mol. Liq. 2022, 368, 120567. [Google Scholar] [CrossRef]
- Wang, L.; Zhai, L.; She, W.; Wang, M.; Zhang, J.; Wang, B. Synthetic strategies toward nitrogen-rich energetic compounds via the reaction characteristics of cyanofurazan/furoxan. Front. Chem. 2022, 10, 871684. [Google Scholar] [CrossRef]
- Jain, A.; Yang, G.; Yalkowsky, S. Estimation of total entropy of melting of organic compounds. Ind. Eng. Chem. Res. 2004, 43, 4376–4379. [Google Scholar] [CrossRef]
- Jain, A.; Yalkowsky, S. Estimation of melting points of organic compounds-II. J. Pharm. Sci. 2006, 95, 2562–2618. [Google Scholar] [CrossRef]
- Smallwood, I. Handbook of Organic Solvent Properties; Butterworth-Heinemann: Oxford, UK, 1996. [Google Scholar]
- Fedors, R. A method for estimating both the solubility parameters and molar volumes of liquids. Polym. Eng. Sci. 1974, 14, 147–154. [Google Scholar] [CrossRef]
- Li, R.; Tang, T.; Yin, X.; Yao, L.; Lin, Z.; Zhang, L.; Gao, X.; Xu, X.; Han, D. Solubility of naftopidil in pure and mixed solvents at 273.15–313.15 K and its correlation with the Jouyban-Acree and CNIBS/RK models. J. Chem. Thermodyn. 2020, 145, 105969. [Google Scholar] [CrossRef]
- Chen, X.; Fadda, H.; Aburub, A.; Mishra, D.; Pinal, R. Cosolvency approach for assessing the solubility of drugs in poly (vinylpyrrolidone). Int. J. Pharm. 2015, 494, 346–356. [Google Scholar] [CrossRef]
- Wolfenden, R.; Andersson, L.; Cullis, P.; Southgate, C. Affinities of amino acid side chains for solvent water. Biochemistry 1981, 20, 849–855. [Google Scholar] [CrossRef]
- Steinbrecher, T.; Joung, I.; Case, D. Soft-core potentials in thermodynamic integration: Comparing one-and two-step transformations. J. Comput. Chem. 2011, 32, 3253–3263. [Google Scholar] [CrossRef]
- Gholizadeh, R.; Wang, Y. Molecular dynamics simulation of the aggregation phenomenon in the late stages of silica materials preparation. Chem. Eng. Sci. 2018, 184, 62–71. [Google Scholar] [CrossRef]
- Sha, J.; Hu, K.; Li, T.; Cao, Z.; Wan, Y.; Sun, R.; He, H.; Jiang, G.; Li, Y.; Li, T.; et al. Solubility determination, model correlation, solvent effect, molecular simulation and thermodynamic properties of flutamide in eleven pure solvents at different temperatures. J. Mol. Liq. 2021, 336, 115559. [Google Scholar] [CrossRef]
- Sui, J.; Luo, Y.; Zhai, J.; Fan, F.; Zhang, L.; Lu, J.; Zhu, X. Solubility measurement, model evaluation and molecular simulations of aprepitant (form I) in eight pure solvents. J. Mol. Liq. 2020, 304, 112723. [Google Scholar] [CrossRef]
- Wang, M.; Liu, Y.; Du, S.; Zhao, Y.; Liu, S.; Zhou, L.; Wu, S. Determining the solubility and understanding the solid-liquid equilibrium behavior of cyhalothric acid in eleven pure solvents. J. Mol. Liq. 2020, 300, 112365. [Google Scholar] [CrossRef]
- Schröder, B.; Santos, L.; Marrucho, I.; Coutinho, J. Prediction of aqueous solubilities of solid carboxylic acids with COSMO-RS. Fluid. Phase. Equilibr. 2010, 289, 140–147. [Google Scholar] [CrossRef]
- Zhao, X.; Wang, J.; Chen, L.; Liu, L.; Han, Z.; Zhou, C. Crystallization thermodynamics of FOX-7 in three binary mixed solvents. J. Mol. Liq. 2019, 295, 111445. [Google Scholar] [CrossRef]
- Cao, Z.; Zhang, R.; Hu, X.; Sha, J.; Jiang, G.; Li, Y.; Li, T.; Ren, B. Thermodynamic modelling, Hansen solubility parameter and solvent effect of oxaprozin in thirteen pure solvents at different temperatures. J. Chem. Thermodyn. 2020, 151, 106239. [Google Scholar] [CrossRef]
- Apelblat, A.; Manzurola, E. Solubilities of L-aspartic, DL-aspartic, DL-glutamic, p-hydroxybenzoic, o-anisic, p-anisic, and itaconic acids in water from T = 278 K to T = 345 K. J. Chem. Thermodyn. 1997, 29, 1527–1533. [Google Scholar] [CrossRef]
- Apelblat, A.; Manzurola, E. Solubilities of o-acetylsalicylic, 4-aminosalicylic, 3, 5-dinitrosalicylic, andp-toluic acid, and magnesium-DL-aspartate in water from T = (278 to 348) K. J. Chem. Thermodyn. 1999, 31, 85–91. [Google Scholar] [CrossRef]
- Du, S.; Wang, Y.; Li, J.; Wu, S.; Dun, W.; Song, X.; Wang, J.; Gong, J. Correlation and thermodynamic analysis of solubility of diphenhydramine hydrochloride in pure and binary solvents. J. Chem. Thermodyn. 2016, 93, 132–142. [Google Scholar] [CrossRef]
- Shakeel, F.; Bhat, M.; Haq, N. Solubility of N-(4-chlorophenyl)-2-(pyridin-4-ylcarbonyl) hydrazinecarbothioamide (isoniazid analogue) in Transcutol + water cosolvent mixtures at (298.15 to 338.15) K. J. Chem. Eng. Data 2014, 59, 1727–1732. [Google Scholar] [CrossRef]
- Buchowski, H.; Ksiazczak, A.; Pietrzyk, S. Solvent activity along a saturation line and solubility of hydrogen-bonding solids. J. Phys. Chem. A 1980, 84, 975–979. [Google Scholar] [CrossRef]
- Yang, Y.; Tang, W.; Li, X.; Han, D.; Liu, Y.; Du, S.; Zhang, T.; Liu, S.; Gong, J. Solubility of benzoin in six monosolvents and in some binary solvent mixtures at various temperatures. J. Chem. Eng. Data 2017, 62, 3071–3083. [Google Scholar] [CrossRef]
- Alshehri, S.; Haq, N.; Shakeel, F. Solubility, molecular interactions and mixing thermodynamic properties of piperine in various pure solvents at different temperatures. J. Mol. Liq. 2018, 250, 63–70. [Google Scholar] [CrossRef]
- Qin, Y.; Chen, X.; Wang, L.; Wei, X.; Nong, W.; Wei, X.; Liang, J. Experimental determination and computational prediction of dehydroabietic acid solubility in (−)-α-pinene + (−)-β-caryophyllene+ p-cymene system. Molecules 2022, 27, 1220. [Google Scholar] [CrossRef]
- Noubigh, A.; Abderrabba, M. Solid–liquid phase equilibrium and thermodynamic properties of vanillic acid in different pure solvents. J. Mol. Liq. 2016, 223, 261–266. [Google Scholar] [CrossRef]
- Li, C.; Li, Y.; Gao, X.; Lv, H. Rutaecarpine dissolved in binary aqueous solutions of methanol, ethanol, isopropanol and acetone: Solubility determination, solute-solvent and solvent-solvent interactions and preferential solvation study. J. Chem. Thermodyn. 2020, 151, 106253. [Google Scholar] [CrossRef]
- Huang, H.; Qiu, J.; He, H.; Yi, D.; An, M.; Liu, H.; Hu, S.; Han, J.; Guo, Y.; Wei, N.; et al. Determination and correlation of the solubility of d (−)-salicin in pure and binary solvent systems. J. Chem. Eng. Data 2020, 65, 4485–4497. [Google Scholar] [CrossRef]
- Zhang, C.; Jouyban, A.; Zhao, H.; Farajtabar, A.; Acree, W., Jr. Equilibrium solubility, Hansen solubility parameter, dissolution thermodynamics, transfer property and preferential solvation of zonisamide in aqueous binary mixtures of ethanol, acetonitrile, isopropanol and N, N-dimethylformamide. J. Mol. Liq. 2021, 326, 115219. [Google Scholar] [CrossRef]
- Kamlet, M.; Doherty, R.; Abboud, J.; Abraham, M.; Taft, R. Linear solvation energy relationships: 36. Molecular properties governing solubilities of organic nonelectrolytes in water. J. Pharm. Sci. 1986, 75, 338–349. [Google Scholar] [CrossRef] [PubMed]
- Chaires, J. Possible origin of differences between van’t Hoff and calorimetric enthalpy estimates. Biophys. Chem. 1997, 64, 15–23. [Google Scholar] [CrossRef]
- Wei, G.; Zou, Z.; Yang, X.; Long, S.; Xu, L. Solubility and thermodynamic properties of musk xylene in binary mixed solvents from t = (278.15 to 313.15) K. J. Chem. Thermodyn. 2020, 149, 106165. [Google Scholar] [CrossRef]







| T | 100×exp | 100×cal | ||
|---|---|---|---|---|
| van’t Hoff | Modified Apelblat | λh | ||
| DMSO | ||||
| 293.15 | 5.26 | 5.13 | 5.26 | 5.18 |
| 303.15 | 5.48 | 5.49 | 5.50 | 5.49 |
| 313.15 | 5.80 | 5.85 | 5.78 | 5.83 |
| 323.15 | 6.12 | 6.22 | 6.11 | 6.18 |
| 333.15 | 6.49 | 6.58 | 6.50 | 6.55 |
| 343.15 | 6.91 | 6.94 | 6.93 | 6.93 |
| 353.15 | 7.43 | 7.30 | 7.42 | 7.34 |
| DMF | ||||
| 293.15 | 6.08 | 6.03 | 6.09 | 6.06 |
| 303.15 | 6.12 | 6.12 | 6.12 | 6.12 |
| 313.15 | 6.18 | 6.21 | 6.18 | 6.19 |
| 323.15 | 6.25 | 6.30 | 6.25 | 6.27 |
| 333.15 | 6.34 | 6.38 | 6.35 | 6.36 |
| 343.15 | 6.46 | 6.46 | 6.46 | 6.46 |
| 353.15 | 6.60 | 6.53 | 6.59 | 6.57 |
| NMP | ||||
| 293.15 | 9.76 | 9.74 | 9.76 | 9.77 |
| 303.15 | 9.80 | 9.81 | 9.81 | 9.81 |
| 313.15 | 9.86 | 9.87 | 9.86 | 9.85 |
| 323.15 | 9.92 | 9.93 | 9.91 | 9.90 |
| 333.15 | 9.97 | 9.98 | 9.97 | 9.96 |
| 343.15 | 10.03 | 10.03 | 10.03 | 10.03 |
| 353.15 | 10.10 | 10.08 | 10.10 | 10.11 |
| acetone | ||||
| 293.15 | 0.683 | 0.661 | 0.667 | 0.662 |
| 298.15 | 0.695 | 0.694 | 0.694 | 0.694 |
| 303.15 | 0.720 | 0.728 | 0.724 | 0.727 |
| 308.15 | 0.744 | 0.762 | 0.757 | 0.761 |
| 313.15 | 0.779 | 0.797 | 0.793 | 0.796 |
| 318.15 | 0.830 | 0.832 | 0.832 | 0.832 |
| 323.15 | 0.892 | 0.868 | 0.875 | 0.869 |
| acetonitrile | ||||
| 293.15 | 0.106 | 0.091 | 0.095 | 0.092 |
| 303.15 | 0.112 | 0.112 | 0.113 | 0.112 |
| 313.15 | 0.129 | 0.136 | 0.134 | 0.136 |
| 323.15 | 0.153 | 0.163 | 0.160 | 0.162 |
| 333.15 | 0.185 | 0.193 | 0.191 | 0.193 |
| 343.15 | 0.238 | 0.226 | 0.229 | 0.227 |
| ethyl acetate | ||||
| 293.15 | 0.332 | 0.322 | 0.333 | 0.324 |
| 303.15 | 0.338 | 0.338 | 0.336 | 0.338 |
| 313.15 | 0.347 | 0.354 | 0.345 | 0.353 |
| 323.15 | 0.360 | 0.370 | 0.361 | 0.369 |
| 333.15 | 0.381 | 0.386 | 0.384 | 0.386 |
| 343.15 | 0.414 | 0.401 | 0.413 | 0.404 |
| T | 100×exp | 100×cal | ||
|---|---|---|---|---|
| van’t Hoff | Modified Apelblat | λh | ||
| ωDMSO = 0.80 | ||||
| 293.15 | 0.000267 | 0.000549 | 0.000698 | 0.000549 |
| 303.15 | 0.00107 | 0.00119 | 0.00136 | 0.00119 |
| 313.15 | 0.00213 | 0.00244 | 0.00261 | 0.00244 |
| 323.15 | 0.00452 | 0.00480 | 0.00489 | 0.00480 |
| 333.15 | 0.00907 | 0.00907 | 0.00901 | 0.00907 |
| 343.15 | 0.0171 | 0.0165 | 0.0163 | 0.0165 |
| 353.15 | 0.0288 | 0.0290 | 0.0291 | 0.0290 |
| ωDMSO = 0.85 | ||||
| 293.15 | 0.00528 | 0.0144 | 0.0142 | 0.0144 |
| 303.15 | 0.0158 | 0.0231 | 0.0229 | 0.0230 |
| 313.15 | 0.0370 | 0.0358 | 0.0357 | 0.0358 |
| 323.15 | 0.0581 | 0.0540 | 0.0541 | 0.0540 |
| 333.15 | 0.0844 | 0.0795 | 0.0798 | 0.0795 |
| 343.15 | 0.116 | 0.115 | 0.115 | 0.114 |
| 353.15 | 0.158 | 0.162 | 0.161 | 0.162 |
| ωDMSO = 0.90 | ||||
| 293.15 | 0.109 | 0.183 | 0.196 | 0.182 |
| 303.15 | 0.250 | 0.285 | 0.293 | 0.284 |
| 313.15 | 0.431 | 0.430 | 0.432 | 0.430 |
| 323.15 | 0.675 | 0.634 | 0.629 | 0.634 |
| 333.15 | 0.949 | 0.912 | 0.901 | 0.913 |
| 343.15 | 1.29 | 1.29 | 1.28 | 1.29 |
| 353.15 | 1.76 | 1.78 | 1.79 | 1.78 |
| ωDMSO = 0.95 | ||||
| 293.15 | 0.699 | 0.516 | 0.575 | 0.516 |
| 303.15 | 0.862 | 0.727 | 0.761 | 0.727 |
| 313.15 | 1.01 | 1.00 | 1.01 | 1.00 |
| 323.15 | 1.25 | 1.35 | 1.33 | 1.36 |
| 333.15 | 1.64 | 1.80 | 1.76 | 1.80 |
| 343.15 | 2.25 | 2.35 | 2.32 | 2.35 |
| 353.15 | 3.17 | 3.02 | 3.06 | 3.01 |
| T | 100×exp | 100×cal | ||
|---|---|---|---|---|
| van’t Hoff | Modified Apelblat | λh | ||
| ωDMSO = 0.30 | ||||
| 293.15 | 2.18 | 2.12 | 2.14 | 2.12 |
| 298.15 | 2.19 | 2.20 | 2.20 | 2.20 |
| 303.15 | 2.24 | 2.27 | 2.26 | 2.27 |
| 308.15 | 2.31 | 2.35 | 2.34 | 2.35 |
| 313.15 | 2.41 | 2.43 | 2.42 | 2.43 |
| 318.15 | 2.50 | 2.51 | 2.51 | 2.51 |
| 323.15 | 2.64 | 2.59 | 2.61 | 2.59 |
| ωDMSO = 0.50 | ||||
| 293.15 | 3.46 | 3.37 | 3.40 | 3.38 |
| 298.15 | 3.49 | 3.49 | 3.49 | 3.49 |
| 303.15 | 3.56 | 3.62 | 3.60 | 3.61 |
| 308.15 | 3.66 | 3.74 | 3.72 | 3.73 |
| 313.15 | 3.81 | 3.86 | 3.85 | 3.86 |
| 318.15 | 4.00 | 3.99 | 3.99 | 3.99 |
| 323.15 | 4.19 | 4.11 | 4.14 | 4.12 |
| ωDMSO = 0.70 | ||||
| 293.15 | 4.52 | 4.40 | 4.44 | 4.41 |
| 298.15 | 4.56 | 4.58 | 4.58 | 4.58 |
| 303.15 | 4.70 | 4.75 | 4.73 | 4.75 |
| 308.15 | 4.84 | 4.93 | 4.90 | 4.92 |
| 313.15 | 5.04 | 5.11 | 5.08 | 5.10 |
| 318.15 | 5.28 | 5.28 | 5.28 | 5.28 |
| 323.15 | 5.56 | 5.46 | 5.50 | 5.47 |
| ωDMSO = 0.90 | ||||
| 293.15 | 5.01 | 4.87 | 4.92 | 4.88 |
| 298.15 | 5.06 | 5.05 | 5.05 | 5.05 |
| 303.15 | 5.15 | 5.23 | 5.21 | 5.23 |
| 308.15 | 5.29 | 5.41 | 5.38 | 5.40 |
| 313.15 | 5.53 | 5.59 | 5.57 | 5.59 |
| 318.15 | 5.76 | 5.78 | 5.78 | 5.78 |
| 323.15 | 6.09 | 5.96 | 6.00 | 5.97 |
| T | 100×exp | 100×cal | ||
|---|---|---|---|---|
| van’t Hoff | Modified Apelblat | λh | ||
| ωDMSO = 0.30 | ||||
| 293.15 | 0.57 | 0.52 | 0.56 | 0.53 |
| 303.15 | 0.61 | 0.62 | 0.62 | 0.62 |
| 313.15 | 0.69 | 0.72 | 0.70 | 0.72 |
| 323.15 | 0.81 | 0.84 | 0.81 | 0.84 |
| 333.15 | 0.96 | 0.96 | 0.95 | 0.96 |
| 343.15 | 1.12 | 1.10 | 1.13 | 1.10 |
| ωDMSO = 0.50 | ||||
| 293.15 | 1.57 | 1.49 | 1.57 | 1.50 |
| 303.15 | 1.69 | 1.70 | 1.70 | 1.70 |
| 313.15 | 1.87 | 1.92 | 1.87 | 1.91 |
| 323.15 | 2.10 | 2.15 | 2.09 | 2.14 |
| 333.15 | 2.36 | 2.40 | 2.37 | 2.39 |
| 343.15 | 2.72 | 2.65 | 2.72 | 2.66 |
| ωDMSO = 0.70 | ||||
| 293.15 | 2.80 | 2.71 | 2.79 | 2.73 |
| 303.15 | 2.93 | 2.96 | 2.95 | 2.96 |
| 313.15 | 3.15 | 3.21 | 3.15 | 3.19 |
| 323.15 | 3.40 | 3.46 | 3.39 | 3.44 |
| 333.15 | 3.70 | 3.72 | 3.69 | 3.71 |
| 343.15 | 4.04 | 3.97 | 4.05 | 3.99 |
| ωDMSO = 0.90 | ||||
| 293.15 | 4.91 | 4.82 | 4.91 | 4.84 |
| 303.15 | 5.00 | 5.01 | 4.99 | 5.01 |
| 313.15 | 5.13 | 5.20 | 5.13 | 5.18 |
| 323.15 | 5.31 | 5.39 | 5.31 | 5.37 |
| 333.15 | 5.54 | 5.57 | 5.55 | 5.57 |
| 343.15 | 5.85 | 5.75 | 5.84 | 5.78 |
| T | 100×exp | 100×cal | ||
|---|---|---|---|---|
| van’t Hoff | Modified Apelblat | λh | ||
| ωDMSO = 0.30 | ||||
| 293.15 | 3.48 | 3.43 | 3.48 | 3.45 |
| 303.15 | 3.55 | 3.56 | 3.55 | 3.55 |
| 313.15 | 3.64 | 3.68 | 3.64 | 3.67 |
| 323.15 | 3.77 | 3.81 | 3.77 | 3.79 |
| 333.15 | 3.91 | 3.93 | 3.92 | 3.92 |
| 343.15 | 4.10 | 4.04 | 4.09 | 4.06 |
| ωDMSO = 0.50 | ||||
| 293.15 | 4.35 | 4.28 | 4.35 | 4.31 |
| 303.15 | 4.47 | 4.49 | 4.47 | 4.48 |
| 313.15 | 4.65 | 4.69 | 4.63 | 4.67 |
| 323.15 | 4.82 | 4.89 | 4.83 | 4.87 |
| 333.15 | 5.06 | 5.08 | 5.07 | 5.07 |
| 343.15 | 5.35 | 5.27 | 5.34 | 5.30 |
| ωDMSO = 0.70 | ||||
| 293.15 | 4.97 | 4.83 | 4.97 | 4.86 |
| 303.15 | 5.09 | 5.10 | 5.08 | 5.10 |
| 313.15 | 5.25 | 5.37 | 5.26 | 5.35 |
| 323.15 | 5.52 | 5.63 | 5.53 | 5.61 |
| 333.15 | 5.88 | 5.89 | 5.86 | 5.89 |
| 343.15 | 6.27 | 6.15 | 6.28 | 6.18 |
| ωDMSO = 0.90 | ||||
| 293.15 | 5.50 | 5.36 | 5.50 | 5.39 |
| 303.15 | 5.65 | 5.69 | 5.67 | 5.69 |
| 313.15 | 5.94 | 6.02 | 5.91 | 5.99 |
| 323.15 | 6.23 | 6.34 | 6.23 | 6.32 |
| 333.15 | 6.61 | 6.67 | 6.63 | 6.66 |
| 343.15 | 7.13 | 6.98 | 7.12 | 7.02 |
| ωDMSO | ΔGsolv (Kcal·mol−1) | ωDMSO | ΔGsolv (Kcal·mol−1) | ||
|---|---|---|---|---|---|
| DMSO + Water | DMSO + Acetone | DMSO + Acetonitrile | DMSO + Ethyl Acetate | ||
| 0.80 | −7.30 | 0.30 | −10.69 | −8.91 | −11.41 |
| 0.85 | −7.77 | 0.50 | −12.33 | −10.29 | −13.85 |
| 0.90 | −8.51 | 0.70 | −16.94 | −14.05 | −19.15 |
| 0.95 | −9.89 | 0.90 | −21.52 | −20.67 | −23.47 |
| 1.00 | −22.77 | 1.00 | −22.77 | −22.77 | −22.77 |
Disclaimer/Publisher’s Note: The statements, opinions and data contained in all publications are solely those of the individual author(s) and contributor(s) and not of MDPI and/or the editor(s). MDPI and/or the editor(s) disclaim responsibility for any injury to people or property resulting from any ideas, methods, instructions or products referred to in the content. |
© 2023 by the authors. Licensee MDPI, Basel, Switzerland. This article is an open access article distributed under the terms and conditions of the Creative Commons Attribution (CC BY) license (https://creativecommons.org/licenses/by/4.0/).
Share and Cite
Wang, L.; Wang, M.; Kang, Y.; Zhu, Y.; Chang, H.; Liu, N. Solubility Determination and Comprehensive Analysis of the New Heat-Resistant Energetic Material TNBP. Molecules 2023, 28, 2424. https://doi.org/10.3390/molecules28062424
Wang L, Wang M, Kang Y, Zhu Y, Chang H, Liu N. Solubility Determination and Comprehensive Analysis of the New Heat-Resistant Energetic Material TNBP. Molecules. 2023; 28(6):2424. https://doi.org/10.3390/molecules28062424
Chicago/Turabian StyleWang, Luoluo, Minchang Wang, Ying Kang, Yong Zhu, Hai Chang, and Ning Liu. 2023. "Solubility Determination and Comprehensive Analysis of the New Heat-Resistant Energetic Material TNBP" Molecules 28, no. 6: 2424. https://doi.org/10.3390/molecules28062424
APA StyleWang, L., Wang, M., Kang, Y., Zhu, Y., Chang, H., & Liu, N. (2023). Solubility Determination and Comprehensive Analysis of the New Heat-Resistant Energetic Material TNBP. Molecules, 28(6), 2424. https://doi.org/10.3390/molecules28062424

