Next Article in Journal
Involvement of GABAergic and Serotonergic Systems in the Antinociceptive Effect of Jegosaponin A Isolated from Styrax japonicus
Previous Article in Journal
The Metabolites and Mechanism Analysis of Genistin against Hyperlipidemia via the UHPLC-Q-Exactive Orbitrap Mass Spectrometer and Metabolomics
Previous Article in Special Issue
Electronic Structure Calculations on Endohedral Complexes of Fullerenes: Reminiscences and Prospects
 
 
Font Type:
Arial Georgia Verdana
Font Size:
Aa Aa Aa
Line Spacing:
Column Width:
Background:
Article

The Ultrashort Spike–Ring Interaction in Substituted Iron Maiden Molecules

by
Mirosław Jabłoński
Faculty of Chemistry, Nicolaus Copernicus University in Toruń, Gagarina 7, 87-100 Toruń, Poland
Molecules 2023, 28(5), 2244; https://doi.org/10.3390/molecules28052244
Submission received: 6 February 2023 / Revised: 23 February 2023 / Accepted: 24 February 2023 / Published: 28 February 2023
(This article belongs to the Special Issue Endohedral Chemistry)

Abstract

The in forms of molecular iron maidens are known for their unique ultrashort interaction between the apical hydrogen atom or its small substituent and the surface of the benzene ring. It is generally believed that this forced ultrashort X π contact is associated with high steric hindrance, which is responsible for specific properties of iron maiden molecules. The main aim of this article is to investigate the influence of significant charge enrichment or depletion of the benzene ring on the characteristics of the ultrashort C-X π contact in iron maiden molecules. For this purpose, three strongly electron-donating (-NH 2 ) or strongly electron-withdrawing (-CN) groups were inserted into the benzene ring of in-[3 4 , 10 ][7]metacyclophane and its halogenated (X = F, Cl, Br) derivatives. It is shown that, despite such extremely electron-donating or electron-accepting properties, the considered iron maiden molecules surprisingly reveal quite high resistance to changes in electronic properties.

Graphical Abstract

1. Introduction

The so-called ‘iron maiden’ molecules [1,2,3,4,5,6,7,8,9] form one of the most interesting subgroups of in-cyclophanes [10,11]. They are characterized by the presence of a benzene ring with three bridges (usually aliphatic, but not necessarily) connected to each other in the keystone carbon atom that additionally forms a bond to a hydrogen atom (i.e., a C-H bond with methine H) or its substituent, e.g., a methyl group [6]. Crucially, this hydrogen atom is pointed towards the center of the ring. Such an arrangement of bonds (in) is often more stable than a structure in which the C-H bond is directed in the opposite direction to the ring (out arrangement) [5,12]. What is quite peculiar is that the compounds are named for the similarity of the final stage of ring closure during synthesis to medieval human-shaped torture devices, the so-called “iron maidens” in which spikes were driven into the victims enclosed in them [13]. Due to such a specific structure, iron maidens show interesting spectral properties, e.g., a fairly large blue-shift of the C-H stretching vibration frequency on the IR spectrum and a large 1H NMR resonance.
In the current work, the most important iron maiden compound is in-[3 4 , 10 ][7]metacyclophane (1), which has three propenyl (i.e., -CH2-CH2-CH2-) bridges, as the other compounds studied can be considered as its derivatives. For the first time, this compound was synthesized in 1987 by Pascal Jr. et al. [2] by oxidation of the less spatially crowded sulfur derivative 2,8,17-trithia-in-[4 5 , 12 ][9]metacyclophane (2) (having bridges -CH2-S-CH2-CH2-) by a mixture of 30% aqueous hydrogen peroxide and acetic acid followed by thermal extrusion of sulfur dioxide. Unfortunately, the authors failed to obtain a crystal and perform X-ray crystallographic analysis. Nevertheless, spectroscopic analysis showed a very large field resonance for the methine hydrogen atom ( δ = −4.03 ppm) in the 1H NMR spectrum as well as a very large blue-shift of ca. 400 cm−1 for the ν CH frequency. This blue-shift was attributed to strong steric compression. Indeed, this is quite a telltale effect in steric constraint [14,15]. In addition to the spectroscopic measurements mentioned, Pascal et al. also performed molecular mechanics calculations (MM2(85)), which showed that the methine hydrogen is only 1.78 Å from the benzene ring [2]. It should be mentioned that, despite the failure to determine the X-ray crystallographic structure of in-[3 4 , 10 ][7]metacyclophane (1), Pascal et al., however, managed to perform crystallographic analysis for its derivatives, e.g., 2,6,15-trithia-in-[3 4 , 10 ][7]metacyclophane (3) [3] and 2,8,17-trithia-in-[4 5 , 12 ][9]metacyclophane (2) [4]. The structural formulas of 13 are shown in Figure 1.
Figure 1 clearly shows that iron maiden molecules in the in conformation can be thought of as cage structures in which the methine hydrogen atom is tightly trapped between the keystone carbon atom, the ring plane and the aliphatic side chains. Very recently, we have studied the effect of replacing the methine hydrogen atom with a halogen atom X (X = F, Cl, Br) on the geometries and electronic structures of several iron maiden molecules with CCC, CCCC, CSC or CSCC side chains [9]. Many interesting findings have emerged. In terms of geometric changes, it has been shown that the H→F→Cl→Br substitution leads to a significant expansion of the cage structure of the iron maiden molecule. This structural expansion has been shown to be associated with an increase in the energetic destabilization of X. On the contrary, the H→F→Cl→Br substitution leads to an increasingly pronounced shortening of the C-X bond. Importantly, shorter side chains lead to stronger effects, while insertion of sulfur atoms into the side chains reduces these effects relative to the carbon counterpart [9].
Interestingly, based on the obtained MBO (Mayer Bond Order [16,17,18,19], which is a generalization of Wiberg Bond Index [20]) values, it has been shown that the Br π interaction is bonding regardless of the molecule, the Cl π interaction is bonding in molecules with longer side chains (i.e., CCCC or CSCC) and anti-bonding when the side chains are short (i.e., CCC or CSC), while the interaction F π is to be anti-bonding regardless of the type of molecule. Nevertheless, regardless of whether the MBO values suggest a bonding or anti-bonding nature of the X π interaction, the QTAIM-based (Quantum Theory of Atoms in Molecules [21,22,23,24,25]) calculations have always given three bond paths between the apical X atom and the carbon atoms of the benzene ring. Therefore, if the X π interaction were to be anti-bonding indeed, the presence of such bond paths should be considered counterintuitive [26,27,28,29,30,31] and contrary to the orthodox QTAIM [24,25]. On the other hand, the QTAIM-based IQA (Interaction Quantum Atoms [32,33]) energy decomposition scheme has shown that the X π interaction in each of the analyzed iron maiden molecules is stabilizing and, interestingly, almost purely covalent in nature, as indicated by the overwhelming dominance (>95%) of the exchange-correlation energy term [9]. To this picture of the X-substituted iron maidens must be added a rather complex pattern of the repulsive and attractive interactions inside the cage structure as has been obtained using NCI (i.e., the Noncovalent Interactions index [34,35]). Namely, the X π interaction has turned out to be composed of areas corresponding to both of these contributions (i.e., the repulsive and attractive interactions) and not just one of them. Most importantly, however, it has turned out that the substitution H→F→Cl→Br leads to the expansion of a repulsive region between the apical X atom and the side chains, especially the C-C bonds. Following this finding, we have proposed [9] that the steric hindrance in the in conformers of iron maiden molecules is not so much due to the repulsion between the apical X atom and the benzene ring, but rather to unfavorable steric interactions between the X and the C-C side bonds.
At the time of our earlier article on iron maiden molecules [9], we were unaware of two slightly earlier theoretical papers on the subject [7,8]. In the first of them, Vujović et al. [7] have applied ETS-NOCV (i.e., the combination of the Extended Transition State (ETS) method [36] with the Natural Orbitals for Chemical Valence (NOCV) method [37,38,39]) and DF-SAPT (Density-Fitting Symmetry-Adapted Perturbation Theory [40,41]) interaction energy decomposition methods to describe in/out isomerism in 1 and 3 as well as their X-substituted derivatives. Most importantly, Vujović et al. [7] have shown that the greater stability of in forms of 1 and 3 results mainly from orbital stabilization with the participation of the aromatic ring electron density. However, the result may depend on the fragmentation scheme of the molecule within ETS-NOCV, in this case to the methine hydrogen or halogen and the rest of the molecule. In the case of SAPT-based calculations, the dimer model [42] was used, in which the interaction in cyclophanes was modeled using the dimer 1,3,5-trimethylbenzene⋯methane. Interactions between fragments of such a dimer have turned out to be repulsive, thus suggesting the repulsive nature of the H/X π contact in the considered in forms of the iron maiden molecules [7]. However, it should be noted at this point that both ETS-NOCV and SAPT give results dependent on the interaction between whole fragments, while IQA may give a more local insight [9]. In the second article, Østrøm et al. [8], in addition to molecules 1 and 3, also examined a series of their derivatives in which the central atoms of the side chains were replaced by NH 2 + , NH or O and the benzene (or 1,3,5-triazine) ring contained three substituents. It turned out that, among the considered systems, the shortest C-H π contact occurred in the derivative of 3 containing a 1,3,5-triazine ring and oxygen atoms built in place of sulfur atoms. Nevertheless, the out conformer was more energetically favorable in this case.
To shed more light on the structural relationships and electronic structure of molecular iron maidens, derivatives of in-[3 4 , 10 ][7]metacyclophane (i.e., 1) and its X-substituted (X = F, Cl, Br) counterparts in which, additionally, hydrogen atoms from the benzene ring have been replaced with amino, nitrile or methyl groups (Figure 2) are studied in this work.
As the parent molecule, 1 has been chosen because, as mentioned earlier, having short CCC carbon chains, it has been characterized by the most pronounced effects [9]. On the other hand, the amino group is one of the most electron-donating substituent, while on the contrary, the nitrile group is one of the most electron-withdrawing [43,44,45]. In addition, the number of as many as three amino or nitrile groups provides the greatest electronic effect and thus the greatest impact on the distribution of electron density in the benzene ring. In this way, the entire range of electronic properties of substituents is covered because other substituents or a different number of them should only lead to intermediate effects. Nevertheless, derivatives with three methyl groups have also been considered to check the influence of the presence of substituents creating only (almost) pure inductive effect. It should be noted that the number of three substituents preserves the symmetry of the molecule (C 3 symmetry point group). Otherwise, this symmetry would be broken, which would significantly complicate the presentation of the obtained results. The main purpose of this paper is to present the effect of charge enrichment or depletion of the benzene ring on the structure of X-derivatives of molecule 1 and on the characteristics of the X π ultrashort contacts. The presented results also perfectly complement the findings of earlier theoretical works [7,8] on molecular iron maidens.

2. Results and Discussion

2.1. Structure of Iron Maidens

As already described in the Introduction and shown in Figure 1 and Figure 2, iron maiden molecules are characterized by a cage structure formed by a benzene ring (or another obtained by its modification) from which three aliphatic (most often) bridges are combined in the keystone carbon atom forming an additional C-H bond directed in conformer in towards the center of the ring. This orientation leads to an ultrashort contact H π . For consistency, we will start a thorough analysis of the structure of iron maiden molecules by presenting the influence of the H→F→Cl→ Br substitution. Next, the influence of the presence of three -NH 2 , -CN or -CH 3 groups in the benzene ring will be discussed.

2.1.1. Influence of the H→F→Cl→Br Substitution

The values of the most important structural parameters characterizing the investigated in forms of the Xn iron maiden molecules are shown in Table 1. The meaning of these parameters is shown in Figure 3 and explained in the footnotes to Table 1.
The data clearly show an increase in the size of the X0 molecule during the H→F→Cl→Br substitution. This effect is manifested by a monotonic increase in the distances X π (or X⋯RCP), C π , X⋯C as well as the size of the benzene ring and the angles α 1 and α 2 . However, in the case of α 3 , only the H→Br substitution gives an increase in the value, while H→Cl and especially H→F give a decrease. The expansion of the molecular size leads to a greater flattening of the fragment containing the keystone carbon atom, which is visible in the ever greater deviation of the α CCX angle (104 → 99 → 95 → 93 ) from the 109.5 value characteristic for the sp 3 hybridization. The X-substituted H0 derivatives are characterized by greater folding of the benzene ring.
As for the C-X π contact, as already mentioned, the H→F→Cl →Br substitution leads to a rapid increase in the X⋯ring distance. Due to the ring corrugation, in addition to the distance between X and the centroid of the ring ( d X π ), the distance to the RCP of this ring ( d X RCP ) has also been determined. Of course, the relation d X π > d X RCP is visible because the RCP is slightly above the benzene ring. Of particular importance is the analysis of the C-X bond length. Although the value of its change depends on the reference molecule, the data presented in Table 1 clearly indicate a significant shortening of this bond, especially in relation to the out form (−0.033, −0.103, −0.234 and −0.282 Å for H, F, Cl and Br, respectively). By far, the largest conspicuous shortenings for Cl and Br are due to the extremely long C-Cl and C-Br bonds in the out forms. For example, in the case of Br0, the C-Br bond shortens from 2.056 Å in the out form to only 1.774 Å in the in form. The shortening of the C-X bond should lead to an increase in the stretching vibration frequency (blue-shift) [14,15]. It is worth recalling here that, for the H0 molecule, Pascal et al. have measured a blue-shift of as much as 400 cm 1 [2].

2.1.2. Influence of Substituents in the Benzene Ring

Leaving behind the brief discussion of the effect of the H→F→Cl→ Br substitution on the structure of iron maiden molecules, we now move on to the discussion of the influence of the presence of a substituent on the benzene ring. As already underlined in the Introduction, in order to consider the largest possible range of electronic effects, the hydrogen atoms in the benzene ring of the parent X0 molecules have been replaced with as many as three -NH 2 or -CN groups (see Figure 2). The former is characterized by one of the largest electron-donating properties, while the latter one by one of the largest electron-withdrawing effects. Thus, other possible substituents should only give an intermediate effect [43,44,45]. As a consequence, the presence of -NH 2 groups should significantly increase the electron density within the ring (actually, in positions para and ortho to this group [43,44,45]), while the presence of -CN groups should significantly decrease it. Unlike both of these groups, the -CH 3 group influences the distribution of the electron density in the benzene ring (almost) only through the inductive effect. One of the possibilities to verify the magnitude of the electron charge in the ring is to determine the value of the electron density in the RCP of this ring. These values are given in Table 2.
Unfortunately, they suggest that -NH 2 , -CN or -CH 3 substitution leads to a decrease of ρ RCP . However, the changes are so tiny that they can hardly be considered a compelling indicator. Therefore, the electron density distribution in the ring has also been probed by means of atomic charges. In order to determine them, we decided to use the Hirshfeld method [46] as Hirshfeld atomic charges have been shown to be chemically reliable [47,48]. It should be recalled here that there are two types of carbon atoms present in the ring: those that are attached to the side chains and those that are not (Figure 2). The charges of both are also shown in Table 2. In addition, the total charge on all carbon atoms of the benzene ring has also been determined ( Q C ring in Table 2). Let us first note that the presence of a halogen atom in an unsubstituted X0 iron maiden molecule is associated with a greater value of negative charge (ca. −0.22 vs. −0.14 a.u. in H0). The insertion of three -CN groups does indeed conspicuously draw the electron charge from the ring, so that Q C ring becomes distinctly positive regardless of the type of the X atom. The change in Q C ring is almost constant and amounts to ca. 0.3 a.u. In the case of the -NH 2 group, the situation revealed by the atomic charges is more complex. As this group crowds electrons into the para and ortho positions, a significant increase in the negative atomic charge on the chain carbon atoms of the ring is to be expected. Table 2 shows that this is indeed the case. Interestingly, however, the results show that this gain of electron charge on the chained ring carbon atoms is overcompensated by the loss on the non-chained carbon atoms, i.e., those directly bonded to -NH 2 groups. This is the result of the weak I (inductive) effect of the amino group. As a result of the suggested predominance of the latter effect, Q C ring becomes slightly less negative. However, another distribution of atomic charges in the ring is present in the case of compounds with three -CH 3 groups. Namely, as in their unsubstituted counterparts, the ring carbon atoms are endowed with partial negative charges, but it is worth noting that these charges are smaller (i.e., less negative) than in X0. Such a result means that the presence of methyl groups draws the electron charge from the benzene ring, which is contrary to their generally accepted +I nature. On the other hand, this result is consistent with a negative sEDA (sigma-Electron-Donor-Acceptor) value [49], suggesting −I rather than a +I effect. Of course, the charge is drawn from the ipso-carbon atoms and its amount (ca. 0.05 a.u.) does not depend on the type of X atom. On the other hand, a smaller amount of charge (ca. 0.02 a.u.) is pumped onto the ortho carbons, so that the presence of three methyl groups depletes the benzene ring by a constant value of approx. 0.1 a.u.
More important, however, is the analysis of the influence of -NH 2 , -CN or -CH 3 substituents on the structure of the iron maiden compounds under consideration. As can be seen from the results presented in Table 1, the insertion of three -CN groups into the benzene ring significantly increases its folding and size. However, although the former effect increases steadily in the H (0.012 Å) → F (0.028 Å) → Cl (0.045 Å) → Br (0.058 Å) order, the latter effect is practically constant (0.015 Å). Similarly, regardless of X, a small and almost constant reduction (by 0.5 ) of the α 1 angle has been obtained. On the other hand, the angle α 3 increases slightly as the radius of the atom X increases: H (0.2 ) < F (0.4 ) < Cl (0.5 ) < Br (0.6 ). On the contrary, the influence on α CCX is the opposite and negligible: H (−0.4 ) > F (−0.2 ) > Cl (−0.1 ) > Br (0.0 ). The greatest but also small changes concern the α 2 angle: H2 (+0.9 ) and Br2 (−0.7 ). Regarding the X π distance, the greatest change (shortening) has been obtained when X = F (−0.025 Å) and much smaller when X = Cl (−0.005 Å). Interestingly, the presence of three -CN groups in the benzene ring has no effect on the X π distance when X = H (0.000 Å) or Br (+0.002 Å). Apart from perhaps F2 (−0.010 Å), the influence of the presence of -CN groups on the C-X bond length is also rather small: H2 (−0.002 Å), Cl2 (+0.001 Å), Br2 (−0.004 Å). This is quite a surprising result, as it shows a fairly high resistance of the iron maiden molecules to the presence of symmetrically arranged substituents strongly draining the electron charge from the benzene ring.
In the case of the presence of three -NH 2 groups, practically only one agreement with the identical effect induced by the presence of three -CN groups has been obtained. Namely, the presence of these groups also leads to an increase in the size of the benzene ring. However, unlike the -CN groups, where this increase (0.015 Å) was independent of the type of X atom, in the case of -NH 2 , the size of the effect increases with the size of the X atom: H (+0.021 Å) < F (0.025 Å) < Cl (0.034 Å) < Br (0.041 Å). In contrast to the previously discussed changes caused by the presence of -CN groups, the presence of -NH 2 groups reduces rather than increases the folding of the benzene ring: H (−0.011 Å) < F (−0.035 Å) < Cl (−0.043 Å) > Br (−0.038 Å). As for the values of the angles, the changes are also opposite. The presence of three -NH 2 groups leads to an increase (and not a decrease) in the value of the α 1 angle (by about 1.4 ), a slight decrease (and not an increase) in the value of the α 3 angle (−0.2 ), and a systematic slight increase (and not a decrease) in the value of the α CCX angle: H (+0.2 ) < F (+0.3 ) < Cl (+0.6 ) < Br (+0.7 ). In addition, the value of the angle α 2 is lowered (up to −0.9 for X = halogen). Most interestingly, the presence of three -NH 2 groups in the benzene ring independently of X leads to elongation of the C-X bond: H/F (+0.003 Å) < Cl (+0.007 Å) < Br (+0.008 Å). As with the three -CN groups, the influence of the three -NH 2 groups on the X π distance is more complex. Namely, in the case of H1 and F1, longer distances have been obtained (by +0.012 and +0.005 Å, respectively), while in the case of Cl1 and Br1, shorter ones (by −0.012 and −0.022 Å, respectively). It is worth noting that, despite the smaller folding of the benzene ring, the presence of -NH 2 groups increases the distance between the centroid of the ring and its RCP. This increase is the largest in the case of X = Br and amounts to 0.026 Å.
The presence of three methyl groups in the benzene ring only slightly affects the length of the C-X bond; in the case of X = F, it is shorter by −0.001 Å, while, in the case of X ≠ F, it is slightly longer, by +0.003 Å in the case of Cl and Br. On the contrary, the distance X π (and C π ) decreases regardless of the type of atom X. For the former distance, this shortening (−0.005 Å) does not depend on X and only for Br is it greater (−0.010 Å). As in the case of -CN, the presence of three -CH 3 groups causes an increase in the folding of the benzene ring; however, unlike in the case of -CN, this increase does not intensify with the size of the X atom, and on the contrary, it is the largest (+0.016) when X = H (however, for the remaining X, the range of corrugation is clearly larger). Again, as with the -CN groups, the presence of three -CH 3 groups in the benzene ring increases the ring size, by a constant value of 0.017 Å. Unlike -CN and -NH 2 , the presence of -CH 3 groups increases the values of all considered angles, with the increase being the greatest in the case of α 2 and ranging from +0.7 for H3 to +1.3 for Cl3. Changes in these angles do not depend on the radius of the X atom, but in the case of α 3 the increment is constant at +0.3 . The influence of the three -NH 2 , -CN or -CH 3 groups on the structural parameters of the iron maiden molecules under consideration is summarized in Table 3. It is worth noting that, in terms of the influence on the values of the considered geometric parameters, the -CH 3 group behaves much more similarly to the -CN group than to -NH 2 .

2.2. Energetic Stability of in Forms

2.2.1. OutIn Isomerization Energy

We have recently shown [9] that, in the case of X0 and their derivatives with CCCC, CSC or CSCC side chains, the outin isomerization is exothermic only when X = H, while in the case of X = halogen, the process is endothermic and larger with increasing the radius of X. The outin isomerization energies obtained for X1, X2 and X3 are listed in Table 4. The values obtained earlier for X0 are also shown for comparison.
In the case of X = H, the presence of either -NH 2 or -CH 3 groups in the benzene ring stabilizes the in conformer to a slightly greater extent (by 0.5 and 0.8 kcal/mol, respectively) than the reference out conformer of H0. The -CN groups have the opposite effect, i.e., they reduce this relative stabilization (by 1.7 kcal/mol). This direction of changes supports the suggestion that the H π interaction in Hn molecules is stabilizing because enrichment of the benzene ring in electron charge should strengthen this interaction, while, conversely, depletion of the ring should weaken this interaction. Interestingly, the presence of three groups -NH 2 , -CN, or -CH 3 reduces the endothermic effect of the outin isomerization process when the apical H atom is substituted by a halogen (the only exception is F3 with a slight increase in isomerization energy of +0.9 kcal/mol). However, with -NH 2 , this effect increases in the F (−2.8 kcal/mol) < Cl (−10.3 kcal/mol) < Br (−13.8 kcal/mol) order, while with -CN, the order is reversed: Br (−1.8 kcal/mol) < Cl (−3.8 kcal/mol) < F (−6.2 kcal/mol). Assuming that the interactions H π , Cl π and Br π are attractive while the interaction F π is repulsive, the results shown in Table 4 suggest that the -CH 3 group creates a +I effect rather than −I. On the other hand, however, changes in outin isomerization energies may result mainly from changes in bond stresses and not only from the interaction strength of X π .

2.2.2. Energy of the X Substituent

A very valuable parameter that can be used to describe the energetic stabilization/destabilization of the substituent X is its energy [50] obtained (Equation (3)) according to the homodesmotic reaction 4. The substituent energy, Δ E Xn i n / o u t (X), well describes proximity effects [50] and therefore is also great for describing the effect of the cage environment on the apical X atom in iron maiden molecules [9]. The obtained substituent energy values are shown in Table 5.
It is clear that the obtained Δ E Xn i n values for the in forms are positive, showing that the X substituents (i.e., the halogen atoms) are less energetically stable than in the reference CH3X molecules. Regardless of n, the X-substituent energy value increases rapidly with the size of the X atom, i.e., F < Cl < Br. For X0, the corresponding values are as follows: 48.6, 179.2 and 240.6 kcal/mol. Interestingly, the presence of three -NH2, -CN, or -CH3 groups leads to a slightly greater stabilization of X in these forms, so that the destabilization value decreases somewhat (the only exception here is of course F3 showing an increase in the destabilization of the F atom by +1.2 kcal/mol). In the case of -NH2 (X1), the influence of substitution increases in the F (−3.5 kcal/mol) < Cl (−11.6 kcal/mol) < Br (−15.3 kcal/mol) direction, while in the case of substitution of -CN groups (X2), the order is reversed: Br (−0.9 kcal/mol) < Cl (−3.1 kcal/mol) < F (−6.3 kcal/mol). Importantly, these sequences are the same as the previously discussed sequences of the effect of substitution of -NH2 or -CN groups on the outin isomerization energy (see Table 4). This obtained correlation suggests that the X substituent has a strong influence on the outin isomerization energy. This is confirmed by the excellent linear correlation (R2 = 0.991) between the two effects (see Figure 4). The reduction in X destabilization after the introduction of -NH2, -CN or -CH3 groups may be due to the increase in ring size in both cases (Table 3). By comparing the obtained energies of the X substituents in the in forms of Xn to the energy of the -NO2 group in the sterically most crowded ’bay’ position 4 in phenanthrene, which was only +10.0 kcal/mol (B3LYP/6-311++G(2df,2p)) [50], we realize that the apical X substituent suffers from a really considerable steric hindrance inside the iron maiden molecule.
In contrast to the in forms, the X substituent is more stable in the out forms than in the reference molecule CH3X, as indicated by negative (except Br2) energies of the X substituents (Table 5). Apart from Fn, however, these energies are rather small; the stabilization energy of X does not exceed −6.0 kcal/mol. Clearly, greater stabilization of the F atom in the out forms of Fn compared to CH3F (from −12.5 to −15.4 kcal/mol) is probably due to the fact that, in the out forms, the F atom appears vaguely in a ’basket’ formed by three C-H bonds almost parallel to the C-F bond, which allows for three F⋯H contacts. This is shown for a representative F0 molecule along with a comparison to the situation in Br0 in Figure 5. In the case of F0, the F⋯H distances are only 2.136 Å while, in the case of Br0, the Br⋯H distances are as long as 2.565 Å, which is not conducive to the stabilization of the Br atom.
In the case of the out conformers, a difference in the effect on the X substituent energy has been obtained depending on whether -NH2 or -CN groups were inserted into the benzene ring. Namely, the presence of three amino groups increases the stabilization of the X atom, while the presence of three nitrile groups decreases it. In both cases, the effect is rather small (from −1.9 to 2.6 kcal/mol). In this respect, the -CH3 group behaves similarly to -NH2; however, the increase in stabilization of the X atom is lower by about 1 kcal/mol.

2.3. Strength of X π According to WBI and MBO

The strength of bonds, especially in organic chemistry, is eagerly described using the popular Wiberg Bond Index (WBI) [20]. Considering the two types of carbon atoms in the benzene ring of Xn, WBIs were determined for both the X⋯C ring chain and X⋯C ring no - chain interactions. The corresponding values, together with the total value obtained by summing over all X⋯C ring chain / no - chain interactions, are listed in Table 6.
The WBI values obtained for X⋯C ring chain are slightly greater than for X⋯C ring no - chain , which results from the shorter distances of X⋯C ring chain compared to X⋯C ring no - chain (Table 1). However, the differences are negligible. Most importantly, the obtained data indicate an increase in the WBI value for the total contact X π with the increase of the radius of the X atom, and thus suggest an increase in the strength of this interaction in this direction. Interestingly, the results indicate an increase in the strength of X π interaction regardless of the type of substituent in the benzene ring, but the greatest effect is visible in the case of -NH 2 , while the smallest in the case of -CH 3 .
Unlike MBO, WBI always gives positive values, which follows directly from the definition of this bond order index (see Equation (5)). Therefore, this index is unable to show the anti-bonding nature of a bond. For this reason, it is particularly interesting to compare the obtained WBI values with their MBO counterparts, which are also included in Table 6. The values in the last column of Table 6 indicate a very high sensitivity to the type of substituents in the benzene ring (and of course to the type of X atom). This is partly due to the high dependence of the MBO value on the type of carbon atom in the ring, so it should be taken into account during the analysis. In the case of the presence of -NH 2 groups, one should take into account the fact that the distribution of electron density within the benzene ring is definitely differentiated with enriched para and ortho (i.e., chain) carbons and depletion of the charge on the C atoms to which the -NH 2 groups are attached (Table 2). If the bonding effect (0.083) obtained for Br0 is to be explained by the presence of a well-marked σ -hole [51,52] on the Br atom, and the clear anti-bonding effect (−0.342) for F0 is to be explained by the repulsion of the strongly electronegative F atom with ring π -electrons [9], then the enrichment of carbon atoms in the ring with an electron charge should increase the bonding (anti-bonding) effect of X⋯C ring chain in Br1 and F1, respectively, which is indeed the case (0.372 and −0.118, respectively). The direction of changes (for X⋯C ring chain ) in the MBO values obtained for Cl1 and H1 is also easily explained. Namely, in the case of Cl1, the increase in the bonding effect (from 0.032 to 0.124) can be explained by the stronger σ -hole⋯C ring chain interaction, while the decrease in the anti-bonding effect at the H0H1 transition can be explained by the greater binding contribution in the H⋯C ring chain interaction. However, the bonding/anti-bonding effects of the X⋯C ring chain interactions compete with those from X⋯C ring no - chain . Charge depletion of the no-chain C atoms (Table 2) leads to a shift towards an anti-bonding effect, with the exception of F1, for which the weaker F⋯C repulsion leads to bonding X⋯C ring no - chain contacts (from −0.011 in F0 to 0.073 in F1). As a consequence, the anti-bonding character of the X⋯C ring no - chain interactions in Cl1 and Br1 strengthens (to ca. −0.42). The nature of the X π interaction depends on the nature of the X⋯C ring chain and X⋯C ring no - chain interactions. The MBO values for X π presented in Table 6 suggest that each of the X π interactions within the X1 molecules is anti-bonding, regardless of the type of X atom.
On the other hand, the insertion of three -CN groups into the benzene ring leads to a very significant removal of the electron charge (see Table 2 ). This should weaken the σ -hole π interaction in the case of X = Cl and Br, which is indeed observed, since the X π interactions are suggested to be anti-bonding according to the MBO (−2.415 and −0.494, respectively). However, such a large difference in the obtained values seems to be somewhat suspicious. In the case of X = F, the smaller anti-bonding effect (−0.112 in F2 vs. −0.342 in F0) can be explained by the weaker F π repulsion resulting from the charge flow from the ring. According to the MBO values, the anti-bonding nature of the H π interaction in H2 is to be similarly strong as in H0 (−0.190 and −0.136, respectively).
It is worth commenting on the positive MBO value (0.095) obtained for Br3, i.e., the species with a bromine atom as X and three -CH 3 groups in the benzene ring. As this value is similar to the value obtained for the unsubstituted counterpart Br0 (0.083), it simply suggests a small influence of three -CH 3 groups. However, this value is due to opposing changes on the chain and no-chain carbon atoms of the benzene ring. Namely, the attachment of three -CH 3 groups leads to a slight inflow of electron charge on the chain-carbon atoms (Table 2) and thus to an increase in the Br⋯C ring chain bonding effect (from 0.100 in Br0 to 0.198 in Br3; Table 6). Conversely, the outflow of charge from the no-chain carbons increases the anti-bonding effect (from −0.072 in Br0 to −0.166 in Br3). Since the former of these effects is slightly larger, an increase in the bonding effect is finally obtained. It is worth noting that, although the increase in bonding effect could simply be explained by the alleged +I inductive effect of the methyl group, such a simplistic approach would overlook the noted opposite effects on both types of ring carbon atoms.

2.4. QTAIM-Based Analysis

The influence of the presence of three -NH 2 , -CN or -CH 3 substituents on the characteristics of the iron maiden molecules in question can be further investigated using QTAIM [21,22,23,24,25]. Within this theory, the interaction between the apical X atom and the benzene ring can be successfully described by a series of parameters determined at the BCPs of the bond paths tracing the X⋯C ring contacts. The QTAIM calculations have always yielded only three bond paths of this type. The most important QTAIM-based parameters determined in the BCP of this interaction are listed in Table 7.
It is quite surprising that the values of the analyzed parameters (perhaps with the exception of λ and ε ) do not change significantly after inserting as many as three -NH 2 , -CN or -CH 3 groups into the benzene ring. This shows quite a high resistance of iron maiden molecules to changes in electronic properties. Although the -NH 2 and -CN groups have sufficiently strong either electron-donor (+M) or electron-acceptor (−M) properties, respectively, for a given X, the changes in ρ X C are practically negligible. For the more sensitive Laplacian, although the changes are more noticeable, they are also small. In the case of ρ X C , the values increase in the order H < F < Cl ≤ Br suggesting an increase in the X π interaction strength in this order. H X C values are close to zero; however, in the case of Cl and Br, they are negative, indicating a small covalent contribution. The values depend negligibly on the type of substituent on the benzene ring.
In our previous studies of iron maiden molecules, we have reported an unusually high value of the X⋯C bond ellipticity (32) found for the compound with an apical fluorine atom and three four-carbon side chains [9]. This result has been attributed to the extremely flat electron density distribution in the λ 2 eigenvalue plane (see Figure 6 in [9]). Although in the case of the Xn iron maiden molecules studied here, the values of the X⋯C bond ellipticity are much lower (ca. 2–16), they are clearly higher than, for example, in the case of agostic bonds [53,54,55,56,57,58], for which it is commonly said that the bond ellipticity values are significant [59,60,61], although they are generally lower than 1–2 [62,63,64]. Moreover, in H0 and especially in H2, these values are also notably large (11 and 16, respectively). Since the bond ellipticity ε is defined as λ 1 / λ 2 1 , its large value must be due to the much smaller value of λ 2 relative to λ 1 . The results shown in Table 7 indicate that this is indeed the case, especially for H2, of course (−0.0013 and −0.0229, respectively). It is also worth noting that, in this case, the absolute value of λ 2 is almost equal to the positive value of λ 2 RCP (0.0011), determined at the RCP lying in the same plane as the BCP of the H⋯C interaction. This fact confirms the considerable flatness of the electron density distribution in the λ 2 direction.
Although, as already mentioned in the Introduction section, the QTAIM calculations have always yielded three X⋯C ring bond paths, this does not mean that the apical X atom interacts only with three carbon atoms. It must be remembered that the presence of a bond path (BP) in general has nothing to do with the energy of the interaction traced by this bond path [26,27,28,29,30,31] since BP may not exist for a stabilizing interaction [27,28,65] and, conversely, it may exist even for a non-stabilizing, i.e., repulsive, interaction [26,27,28,29,30,31,66,67,68,69,70,71]. Therefore, in the case of the delocalization index, it is more reasonable to consider its total value, obtained by summing up over all individual contributions (see Equation (7)). Together with its equivalent taking into account distances [72] X⋯C (see Equation (8)), its values determined for the Xn iron maiden molecules are shown in the last two columns of Table 7. Similar to the previously discussed ρ X C , 2 ρ X C and H X C computed at BCP on the X⋯C bond path, the effect of substituting three groups -NH 2 , -CN or -CH 3 on the benzene ring is small, although in some cases clear. The greatest δ tot (X, π ) changes have been obtained for F1 (−0.013), F2 (0.009), Br1 (0.014) and Br2 (−0.012). Due to the small influence of the functional groups substituted on the ring, the value of δ tot (X, π ) depends mainly on the type of atom X and increases with the increase of its radius: H (ca. 0.21) < F (0.36–0.39), < Cl (0.62) < Br (ca. 0.70–0.73). These values can be compared with ca. 0.16–0.40 obtained by Foroutan-Nejad et al. [73] for X π interactions and ca. 0.14–0.18 obtained by Badri et al. [74] for O π contacts in various water π -ring systems. Evidently, the values for the considered iron maiden molecules are much larger, thus showing that the X π interactions are relatively strong and multi-center. Change trends in δ RP tot (X, π ) follow trends in changes in δ tot (X, π ), but both the values themselves and these changes are obviously smaller.
At the end of this subsection, it is worth mentioning that, in addition to the three bond paths X⋯C ring , there are also three bond paths for the Br⋯C chain contacts in the molecular graphs of Br0, Br1 and Br3. Interestingly, there are no such bond paths for Br2. Apparently, the strong electron charge withdrawal by the three -CN groups is not conducive to the formation of these bond paths (Figure 6). In contrast to Br1, however, in Br3, the bond critical points for the Br⋯C chain interactions are very close to RCPs, which indicates topological instability. As a consequence, the bond ellipticity in Br3 is as high as 13.9, while in Br1 ‘only’ 2.9.

2.5. Energetics of the X π Interaction According to IQA

Deep insight into the energetics of the X π interaction can be obtained using the IQA method [32,33]. As noted in the Methodology section, taking into account the X interaction with the entire benzene ring requires summing up the respective values obtained for the individual X⋯C chain and X⋯C no chain interactions (see Equation (12)). The resulting interaction energy values and their various components are listed in Table 8.
First of all, let us note that the obtained interaction energies, both for X π and its components X⋯C chain and X⋯C no - chain , are negative, showing that these interactions are stabilizing. If we take into account the unsubstituted systems, i.e., X0, the interaction energy increases with the size of the X atom: H (−0.048 a.u.) < F (−0.089 a.u.) < Cl (−0.130 a.u.) < Br (−0.151 a.u.). The greater part comes from the X⋯C chain interactions, which can probably be explained by the slightly shorter distance X⋯C chain than X⋯C no - chain (Table 1).
Interestingly, according to the results obtained by the IQA method, the attachment of three substituents, either -NH 2 or -CN, to the benzene ring leads to much stronger X π interactions. However, the exceptions are derivatives with X = H and X = Br, for which the influence of -NH 2 or -CN is negligible. The X π interaction is stronger after the insertion of -NH 2 groups. In the case of X = F, the values of the interaction energies for F1 and F2 are −0.223 and −0.147 a.u., respectively, while for Cl1 and Cl2, the corresponding values are −0.177 and −0.151 a.u., respectively. However, when X = H or X = Br, the presence of three -CN groups gives a slightly higher interaction energy: −0.042 a.u. for H1 vs. −0.047 a.u. for H2 and −0.147 a.u. for Br1 vs. −0.150 a.u. for Br2. It is worth noting that, in the case of X2 (especially F2 and Cl2), i.e., systems with three groups -CN, the obtained results indicate much smaller differences between the contributions from the X⋯C ring and X⋯C no - ring interactions than in the case of X1, i.e., the molecules having three -NH 2 groups instead. For X = F, the corresponding contributions for F2 are −0.027 and −0.022 a.u., while for F1 the values are −0.016 and −0.058 a.u., respectively. For X = Cl, the corresponding values are −0.027 and −0.023 a.u. for Cl2 and −0.023 and −0.036 a.u. for Cl1. Clearly less differentiation of contributions in the presence of -CN substituents can be explained by a lesser differentiation of the electron charge distribution on ring carbon atoms. Conversely, the presence of three -NH 2 groups leads to a clear alternation of electron charge between ring carbon atoms (see Table 2) and thus the observed differentiation of contributions from the X⋯C chain and X⋯C no - chain contacts. The influence of the presence of three -CH 3 groups on the X π interaction energy is negligible (up to −0.006 a.u. in the case of Br3). More importantly, however, the direction of changes in the E int values points to the electron-donating inductive (i.e., +I) action of the methyl groups.
The results presented in Table 8 clearly show that, for the unsubstituted X0 molecules, the stabilizing effect is almost exclusively (93–101%) due to the exchange-correlation contribution ( E ee , xc ). Moreover, in some cases (Cl0), the electrostatic contribution ( E elst ) is even slightly positive. Substitution of three groups -NH 2 to the benzene ring changes this picture, especially in the case of F1. In this case, the percentage share of the exchange-correlation energy in the interaction energy changes drastically from 93.1% to only 36%, which is the result of a significantly larger contribution of E elst in comparison with E ee , xc (−0.046 and −0.012 a.u., respectively) in the contribution from the F⋯C no - chain contact (as a consequence, % E ee , xc amounts to 21% only). The dominant electrostatic contribution obtained for the X⋯C no - chain interaction can be explained by the presence of a positive charge on the C no - chain atoms in the F1 molecule (Table 2). A somewhat similar situation occurs in the case of Cl1. Compared to Cl0, where both Cl⋯C chain and Cl⋯C no - chain interactions are practically purely covalent (according to IQA) as % E ee , xc is roughly 100%, in Cl1, E elst for the Cl⋯C no - chain contact is −0.015 a.u., and as a result of which % E ee , xc is reduced to 57%. As a consequence, the share of the exchange-correlation contribution in the Cl π interaction is 75%. For systems with -CN groups, the % E ee , xc values for X⋯C chain and X⋯C no - chain are more similar and within 86–102%. Only for F2 are these contributions much lower (56.7% and 60.9%, respectively) showing a significant influence of the electrostatic component in the F⋯C ring interactions.
It can be briefly concluded that the IQA method clearly indicates that the X π (X = H, F, Cl, Br) interaction in all the considered iron maiden systems is stabilizing, and the exchange-correlation energy is responsible for this stabilization. Thus, according to IQA, the X π interaction is almost purely covalent. The attachment of three groups either -NH 2 or -CN to the benzene ring generally increases the stabilization energy. In the case of systems with an apical fluorine atom, the presence of these groups increases the electrostatic contribution and, in the F1 molecule, it is predominant (64%). As could be expected, the influence of the presence of three -CH 3 groups on the interaction energy is negligible.
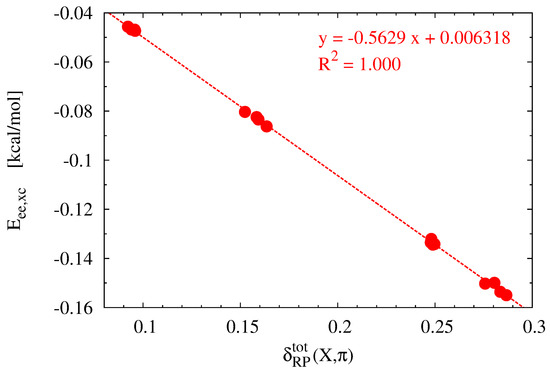
Rafat and Popelier showed that the delocalization index δ (A,B) divided by the interatomic distance A⋯B is closely related to the exchange-correlation energy of the A-B bond [72]. Therefore, it was particularly tempting to check the quality of the linear correlation between δ RP tot (X, π ) (Equation (8)) and the total (i.e., summed over all the X⋯C ring interactions) value of E ee , xc . The relationship between these two quantities is shown in Figure 7. As clearly seen, the linear relationship is perfect ( R 2 = 1.000), which fully confirms the high linear correlation between these quantities.

2.6. Non-Local Analysis Based on the NCI Method

As already mentioned in the Introduction section, we have recently suggested [9] that the instability of the in forms of molecular iron maidens is not due to the forced close contact between an apical X atom and the benzene ring, but rather to an unfavorable repulsive steric interaction between the X atom and the C-C bonds of side chains. It was interesting to see how the presence of three -NH 2 , -CN or -CH 3 substituents affected this picture. For this purpose, the NCI method [34,35] was used, which allows for visually distinguishing weak attractive interactions from weak repulsive interactions (see Methodology). The NCI-based s-isosurfaces for all the investigated iron maiden molecules are shown in Figure 8.
First, however, let us recall that the proposal [9] of the dominant influence of the repulsive steric interaction between the apical X atom and the C-C bonds of the side chains has been based on the clearly visible expansion of the repulsive region between X and these C-C side chain bonds when the the size of the X atom increases: H→F→Cl→Br (Figure 8). Only in the chlorine and bromine systems are these repulsive surfaces pierced by small blue areas of attractive Cl/Br⋯C interactions. In the case of Br0, Br1 and Br3, these interactions are further emphasized by the presence of three bond paths.
The characterization of the region between the X atom and the surface of the benzene ring is more complicated. Apart from the characteristic spindle-shaped repulsive region along the axis of the ring, a confluent funnel-shaped area of repulsion and attraction is visible above it. Therefore, the NCI method is not able to unambiguously determine the nature of the X π interaction in the considered iron maiden systems; rather, both components occur simultaneously here.
The presence of three -NH 2 , -CN or -CH 3 groups in the benzene ring only slightly influences the discussed areas of weak repulsion and weak attraction inside the iron maiden cage. Rather, the differences clearly visible through the appearance of new areas of weak repulsion and weak attraction appear on the outer sides of the substituted molecules. These regions are related to the interactions between some of the atoms of the substituted groups with some of the side chain atoms. In the case of systems with -NH 2 groups, a weak attractive interaction between the nitrogen atom and one of the hydrogen atoms attached to the central bridge carbon atom is clearly visible. This interaction is followed by the N⋯H bond path. Nevertheless, this region merges with a region of repulsion that divides another region of weak attraction between two hydrogen atoms. In turn, this H⋯H interaction is not followed by a bond path. Quite similar areas are found in counterparts with three -CN groups. In this case, however, the first attractive region is associated with the C⋯H interaction, which may (H2, F2, Cl2) or may not (Br2) be associated with a bond path, and the second with the N⋯H interaction, which in no case is tracked by a bond path. In the case of the X3 species, these side regions of weak attraction and weak repulsion are qualitatively identical, but this time the former are related to C-H⋯H-C interactions, where one of the C-H bonds comes from the attached methyl group and the other from the propylene side chain. Most of these interactions are related to the presence of an appropriate bond path. The lack of a significant influence of the presence of three -NH 2 , -CN or -CH 3 groups in the benzene ring on the distribution of areas of weak repulsion and attraction inside the cage structure of iron maiden molecules confirms the already discussed rather surprising stability of their electronic structure and resistance to changes.
By the way, it is worth noting the small areas of repulsion between the C-H bonds of the carbon side chains. In systems with apical chlorine, and especially fluorine and hydrogen, this region merges seamlessly with the region of weak attraction between two hydrogen atoms. Moreover, in the Hn systems, the H⋯H interaction is additionally marked by the presence of a bond path. This kind of area between two hydrogen atoms can be a strong argument for the H⋯H attractive interactions in aliphatic chains. Most likely, the presence of such an area was documented for the first time in branched octane by Johnson et al. in their 2010 paper on the NCI method [34]. More recently, an attractive H⋯H region has been found between ethylene groups in ZnEt 2 in complexes with carbenes [75].

3. Methodology

All calculations were performed on the ω B97X-D/6-311++G(d,p) level of theory that is utilizing the range-separated dispersion-corrected hybrid ω B97X-D exchange-correlation functional by Chai and Head-Gordon [76] and the 6-311++G(d,p) basis set [77]. It was shown that ω B97X-D is one of the best exchange-correlation functionals for general use [78]. The 6-311++G(d,p) basis set is of the triple-zeta type and contains both polarization and diffuse functions on all atoms [77,79]. The presence of diffuse functions is necessary to reliably describe the lone electron pairs on halogen and nitrogen atoms. All the presented iron maiden molecules correspond to the true minima on the potential energy surface as indicated by the lack of imaginary frequencies. Both the geometry optimization and frequency calculations were performed with the Gaussian 16 package [80].
In this article, the in and out forms of the reference molecule in-[3 4 , 10 ][7]metacyclophane (1) (Figure 1) and its X- and ring-substituted derivatives (X = F, Cl, Br; ring substituent = -NH 2 , -CN, -CH 3 ) are considered (see Figure 2). For simplicity, the compact notation Xn will be used from now on, where X = H, F, Cl, Br and n = 0 for the unsubstituted benzene ring, n = 1 for the ring with three groups -NH 2 , n = 2 for the ring with three groups -CN, and n = 3 for the ring with three groups -CH 3 . Thus, the parent molecule 1 is now on H0 and, e.g., its derivative with an apical chlorine atom and three -NH 2 groups in the benzene ring is Cl1. As already mentioned, the considered molecules have C 3 symmetry.
To consider the energetics of the outin isomerization, the energy of this transition was determined, Δ E i n o u t = E tot (Xn i n ) − E tot (Xn o u t ), where E tot (Xn i n ) and E tot (Xn o u t ) are the total energies of the in and out forms, respectively. In addition, in order to study the effect of the H → X (X = F, Cl, Br) substitution, the energy of the X substituent (converted to kcal/mol) in the Xn i n / o u t molecule, Δ E Xn i n / o u t (X), was determined using the following equations [50]:
E MeX ( X ) = E ( MeX ) E ( CH 4 ) < 0 ,
E Xn in / out ( X ) = E ( Xn in / out ) E ( Hn in / out ) < 0 ,
Δ E Xn in / out ( X ) = 627.5095 · E Xn in / out ( X ) E MeX ( X ) ,
where the symbol without a subscript is the total energy of the molecule shown in parantheses. For example, E(MeX) is the total energy of halogenomethane and E(Xn in / out ) is the total energy of either the in or out form of the Xn molecule. Importantly, Δ E Xn in / out ( X ) is actually the energy of the following homodesmotic reaction, as can be seen by substituting the right-hand sides of Equations (1) and (2) into Equation (3):
Hn + MeX Xn + CH 4 .
As a consequence, the substituent energy Δ E Xn in / out (X) has a clear physical meaning. Namely, the value of Δ E Xn in / out (X) tells how much X prefers to be (if Δ E Xn in / out (X) < 0 ) or not (if Δ E Xn in / out (X) > 0 ) in the Xn molecule compared to MeX. Halogenomethane was chosen as a reference because it preserves the formal sp 3 hybridization on the keystone carbon atom, and it is also the simplest molecule. However, this does not matter much, since the intention was to obtain relative energies, not absolute ones.
One way to estimate the bond strength is to determine its order [81]. This was completed by computing the very popular but quite outdated Wiberg Bond Index (WBI) [20]:
WBI AB = α A β B P α β 2
and its more recent generalization in the form of the Mayer Bond Order (MBO) [16,17,18,19]:
MBO AB = α A β B ( PS ) α β ( PS ) β α
where P and S are the density and atomic orbital overlap matrices, respectively. Unlike WBI, MBO can also take negative values.
Bader’s QTAIM is an important and frequently used theoretical tool to describe various types of inter- and intramolecular interactions [21,22,23,24,25]. In particular, it is helpful to know the electron density ( ρ ), its Laplacian ( 2 ρ = λ 1 + λ 2 + λ 3 , where λ i are the eigenvalues of the Hessian matrix of the electron density), the total electronic energy density (H) [82] and the bond ellipticity ( ε = λ 1 / λ 2 1 where | λ 1 |     | λ 2 | ) at the bond critical point (BCP) [21] of interest. The value of H is negative for interactions with significant sharing of electrons and therefore is a measure of the covalence of an interaction, while the positive value of H is characteristic for non-covalent interactions such as, e.g., weak hydrogen bonds. The bond ellipticity is a measure of the anisotropy in the electron density distribution at a critical point [21]. Originally, it was used to describe the π -electron nature of multiple bonds; nevertheless, it is also often used to describe charge delocalization [83] and molecular strain and instability [84]. As mentioned in the Introduction, the analyzed iron maiden molecules are characterized by the presence of three equivalent (due to C 3 symmetry) bond paths (BP) [21] X⋯C ring . Each of them traces the maximum electron density value relative to neighboring points and has a minimum in the BCP between the linked nuclei (attractors). These QTAIM parameters, i.e., ρ , 2 ρ , H and ε , were calculated in BCP X C ring . However, another valuable QTAIM-based parameter is the A-B bond delocalization index, δ (A,B). It describes the average number of electrons delocalized (shared) between atoms A and B and becomes a bond index when atoms A and B are connected to each other by a bond path [21,85,86,87,88,89]. Moreover, δ (A,B) divided by the distance A⋯B is closely related to the exchange-correlation energy of the A-B bond [72]. Although, as we have shown [9], the X π interaction may well be characterized by a single value of δ (X,Cring), the total delocalization index [73,74] was also determined to take into account the fact that X actually interacts with the entire ring, i.e., with all six of its carbon atoms, not just one:
δ tot ( X , π ) = i = 1 6 δ ( X , C ring i ) = 3 δ ( X , C ring chain ) + 3 δ ( X , C ring no - chain ) .
δ RP tot ( X , π ) = i = 1 6 δ ( X , C ring i ) d X C ring i = 3 δ ( X , C ring chain ) d X C ring chain + 3 δ ( X , C ring no - chain ) d X C ring no - chain .
The IQA method [32,33] was used to gain an in-depth insight into the energetics of the X π interaction. It allows for a decomposition of the total energy of a system into mono- and polyatomic contributions. Of the many IQA parameters available, the interatomic interaction energy is most likely the most useful:
E int E 1 E 2 = E nn E 1 E 2 + E ne E 1 E 2 + E en E 1 E 2 + E ee E 1 E 2 ( E 1 E 2 ) ,
In this equation, E nn E 1 E 2 is the repulsion energy between nuclei of atoms E 1 and E 2 , V ne E 1 E 2 is the attraction energy between the nucleus of the atom E 1 and the electrons of the atom E 2 , E en E 1 E 2 is the attraction energy between electrons of the atom E 1 and the nucleus of the atom E 2 and E ee E 1 E 2 is the interatomic two-electron repulsion energy. The sum of the middle two terms gives the energy of the interatomic nucleus–electron attraction ( E neen E 1 E 2 ). Then, the interelectron repulsion energy can be further divided into a sum of the purely classical (Coulombic) contribution and the exchange-correlation (i.e., the non-classical term) energy:
E ee E 1 E 2 = E ee , C E 1 E 2 + E ee , xc E 1 E 2
Moreover, the sum of the first three terms in Equation (9) and E ee , C E 1 E 2 gives the electrostatic energy, leading to a compact expression for the interatomic interaction energy:
E int E 1 E 2 = E elst E 1 E 2 + E ee , xc E 1 E 2
In this way, the interatomic interaction energy E int E 1 E 2 is divided into its classical electrostatic contribution and a non-classical exchange-correlation contribution. An important ability of the IQA approach, not to be underestimated, is that E int E 1 E 2 can be computed for any pair of E 1 and E 2 atoms and not necessarily linked to each other by a bond path. Moreover, IQA does not require any reference system or any further model-dependent assumptions (as is the case, for example, in ETS-NOCV [36,37,38,39], where results depend on the system defragmentation scheme). To take into account the fact that the apical X atom interacts with the entire benzene ring and that there are two types of ring carbon atoms (chain, no-chain), as in the case of the total delocalization index (Equations (7) and (8)), the interaction energy and its components for the X π interaction were determined by summing up all the energy components computed for the individual X⋯C ring contacts:
E int X π = i = 1 6 E int X C ring i = 3 E int X C ring chain + 3 E int X C ring no chain
In order to obtain a non-local insight into the characteristics of the interaction between the apical X atom and the remaining atoms, especially of the benzene ring, the NCI method was used [34,35]. This method is based on the reduced electron density gradient ( s = 1 / ( 2 ( 3 π 2 ) 1 / 3 ) | ρ | / ρ 4 / 3 ) and s g n ( λ 2 ) ρ , i.e., the electron density multiplied by the sign of the second eigenvalue of the electron density Hessian matrix ( λ 2 ). As a consequence, NCI allows for displaying individual weak interactions as certain regions of real space rather than as local features of a BCP corresponding to a pairwise interatomic contact. Most importantly, these interactions can be easily and visually (by using different colors) separated into attractive (if λ 2 < 0 ) and repulsive (if λ 2 > 0 ) [34,35]. The QTAIM-, IQA- and NCI-based calculations were performed using the AIMAll program [90].

4. Conclusions

The so-called molecular iron maidens are interesting examples of cyclophanes distinguished by the unique ultrashort contact between an apical hydrogen atom or its small substitute and the benzene ring. It is widely believed that this forced ultrashort contact X π is associated with a large spatial hindrance giving iron maidens specific properties. It seems, therefore, that these properties should strongly depend on the electronic features of the benzene ring. The main aim of the article was to investigate the influence of a strong charge enrichment or depletion of this ring on the properties of iron maiden molecules, especially on the characteristics of the ultrashort C-X π contact. For this purpose, either three -NH 2 groups characterized by extremely strong electron-donating properties or three -CN groups characterized by extremely strong electron-accepting properties were substituted into the benzene ring of in-[3 4 , 10 ][7]metacyclophane and its halogen derivatives (X = F, Cl, Br). In addition, their counterparts with three -CH 3 groups, characterized almost only by the inductive effect, were also tested. Surprisingly, it has been shown that, despite such extremely strong electronic properties of both the -NH 2 or -CN substituents, the tested iron maiden molecules show quite high resistance to their presence in the benzene ring.
In the case of halogenated derivatives, i.e., when X = halogen, the presence of three -NH 2 , -CN or -CH 3 groups slightly reduces the unfavorable endothermic effect of the outin isomerization process. The energy of this process strongly depends on the X substituent. In the case of systems with either -NH 2 or -CN, the negative values of Mayer Bond Order suggest the anti-bonding nature of the X π interactions in the substituted iron maidens regardless of the type of X. However, in the case of unsubstituted and methyl-trisubstituted derivatives with Br, positive values suggest bonding nature of the Br π interaction in these systems, which can be explained by the presence of an extremely pronounced σ -hole on the bromine atom. On the contrary, the IQA-based analysis has shown that the X π interactions are stabilizing, and this stabilization increases after the insertion of either -NH 2 or -CN groups. Although these interactions are almost purely covalent in nature according to IQA, the presence of three -NH 2 groups on the benzene ring of the F-derivative significantly reduces the percentage contribution of the exchange-correlation energy due to the significant electrostatic interaction between the charge-depleted ring carbon atom and the F atom. The NCI-based analysis has shown that the substitution of three -NH 2 , -CN or -CH 3 groups into the benzene ring does not significantly affect the areas of weak interactions or weak attractions within the cage structure of iron maiden molecules. The new regions, on the other hand, are observed on the periphery of molecules and are associated with interactions between substituents and side chain atoms.

Funding

This research received no external funding.

Data Availability Statement

Data available from the author on reasonable request.

Conflicts of Interest

The author declares no conflict of interest.

Abbreviations

The following abbreviations are used in this manuscript:
WBIWiberg Bond Index
MBOMayer Bond Order
QTAIMQuantum Theory of Atoms in Molecules
BCPBond Critical Point
RCPRing Critical Point
BPBond Path
IQAInteracting Quantum Atoms
NCINoncovalent Interaction Index
ETS-NOCVExtended Transition State with the Natural Orbitals for Chemical Valence Method
SAPTSymmetry-Adapted Perturbation Theory
sEDAsigma-Electron-Donor-Acceptor

References

  1. Pascal, R.A., Jr.; Grossman, R.B. A Comment on the Structure and Proton NMR Spectrum of 2,8,17-Trithia[45,12][9]metacyclophane. J. Org. Chem. 1987, 52, 4616–4617. [Google Scholar] [CrossRef]
  2. Pascal, R.A., Jr.; Grossman, R.B.; Van Engen, D. Synthesis of In-[34,10][7]Metacyclophane: Proj. Aliphatic Hydrog. Towar. Cent. Aromat. Ring. J. Am. Chem. Soc. 1987, 109, 6878–6880. [Google Scholar] [CrossRef]
  3. Pascal, R.A., Jr.; Winans, C.G.; Van Engen, D. Small, Strained Cyclophanes with Methine Hydrogens Projected toward the Centers of Aromatic Rings. J. Am. Chem. Soc. 1989, 111, 3007–3010. [Google Scholar] [CrossRef]
  4. Pascal, R.A., Jr.; Carter, M.L.; Johnson, M.R.; Ho, D.M. A Cyclophane Bridged by an Inwardly Pyramidalized Olefin. Tetrahedron Lett. 1996, 37, 8125–8128. [Google Scholar] [CrossRef]
  5. Pascal, R.A., Jr. Molecular “Iron Maidens”: Ultrashort Nonbonded Contacts in Cyclophanes and Other Crowded Molecules. Eur. J. Org. Chem. 2004, 3763–3771. [Google Scholar] [CrossRef]
  6. Song, Q.; Ho, D.M.; Pascal, R.A., Jr. Sterically Congested In-Methylcyclophanes. J. Am. Chem. Soc. 2005, 127, 11246–11247. [Google Scholar] [CrossRef]
  7. Vujović, M.; Zlatar, M.; Milčić, M.; Gruden, M. In/out Isomerism Cyclophanes: A Theor. Acc. 2,6,15-Trithia [34,10][7]metacyclophane Well Their Halog. Substituted Analogues. Phys. Chem. Chem. Phys. 2017, 19, 9500–9508. [Google Scholar] [CrossRef]
  8. Østrøm, I.; Ortolan, A.O.; Schneider, F.S.S.; Caramori, G.F.; Parreira, R.L.T. Quest for Insight into Ultrashort C–H⋯π Proximities in Molecular “Iron Maidens”. J. Org. Chem. 2018, 83, 5114–5122. [Google Scholar] [CrossRef]
  9. Jabłoński, M. The physical nature of the ultrashort spike–ring interaction in iron maiden molecules. J. Comput. Chem. 2022, 43, 1206–1220. [Google Scholar] [CrossRef]
  10. Keehn, P.M.; Rosenfeld, S.M. (Eds.) Cyclophanes; Academic Press: New York, NY, USA, 1983. [Google Scholar]
  11. Gleiter, R.; Hopf, H. (Eds.) Modern Cyclophane Chemistry; Wiley-VCH: Weinheim, Germany, 2004. [Google Scholar]
  12. Alder, R.W.; East, S.P. In/Out Isomerism. Chem. Rev. 1996, 96, 2097–2111. [Google Scholar] [CrossRef]
  13. Available online: https://en.wikipedia.org/wiki/Iron_maiden (accessed on 27 February 2023).
  14. Jabłoński, M. Blue-shifting intramolecular C–H⋯O(S) contacts in sterically strained systems. J. Mol. Struct. Theochem. 2007, 820, 118–127. [Google Scholar] [CrossRef]
  15. Jabłoński, M.; Sadlej, A.J. Influence of the external pressure on improper character of intramolecular C-H⋯O interactions. Chem. Phys. Lett. 2008, 463, 322–326. [Google Scholar] [CrossRef]
  16. Mayer, I. Charge, bond order and valence in the AB initio SCF theory. Chem. Phys. Lett. 1983, 97, 270–274. [Google Scholar] [CrossRef]
  17. Mayer, I. Bond order and valence: Relations to Mulliken’s population analysis. Int. J. Quantum Chem. 1984, 26, 151–154. [Google Scholar] [CrossRef]
  18. Mayer, I. Bond Order and Valence Indices: A Personal Account. J. Comput. Chem. 2007, 28, 204–221. [Google Scholar] [CrossRef]
  19. Bridgeman, A.J.; Cavigliasso, G.; Ireland, L.R.; Rothery, J. The Mayer bond order as a tool in inorganic chemistry. J. Chem. Soc. Dalton Trans. 2001, 20, 95–2108. [Google Scholar] [CrossRef]
  20. Wiberg, K.B. Application of the Pople-Santry-Segal CNDO Method to the Cyclopropylcarbinyl and Cyclobytyl Cation and to Bicyclobutane. Tetrahedron 1968, 24, 1083–1096. [Google Scholar] [CrossRef]
  21. Bader, R.F.W. Atoms in Molecules: A Quantum Theory; Oxford University Press: New York, NY, USA, 1990. [Google Scholar]
  22. Popelier, P.L.A. Atoms in Molecules. An Introduction; Longman: Singapore, 2000. [Google Scholar]
  23. Matta, C.F.; Boyd, R.J. The Quantum Theory of Atoms in Molecules; Wiley-VCH: Weinheim, Germany, 2007. [Google Scholar]
  24. Bader, R.F.W. A Bond Path: A Universal Indicator of Bonded Interactions. J. Phys. Chem. A 1998, 102, 7314–7323. [Google Scholar] [CrossRef]
  25. Bader, R.F.W. A Quantum Theory of Molecular Structure and Its Appllcatlons. Chem. Rev. 1991, 91, 893–928. [Google Scholar] [CrossRef]
  26. Jabłoński, M. Hydride-Triel Bonds. J. Comput. Chem. 2018, 39, 1177–1191. [Google Scholar] [CrossRef]
  27. Jabłoński, M. Bond Paths Between Distant Atoms Do Not Necessarily Indicate Dominant Interactions. J. Comput. Chem. 2018, 39, 2183–2195. [Google Scholar] [CrossRef] [PubMed]
  28. Jabłoński, M. On the Uselessness of Bond Paths Linking Distant Atoms and on the Violation of the Concept of Privileged Exchange Channels. ChemistryOpen 2019, 8, 497–507. [Google Scholar] [CrossRef] [PubMed]
  29. Jabłoński, M. Counterintuitive bond paths: An intriguing case of the C(NO2)3- ion. Chem. Phys. Lett. 2020, 759, 137946. [Google Scholar] [CrossRef]
  30. Jabłoński, M. Does the Presence of a Bond Path Really Mean Interatomic Stabilization? The Case of the Ng@Superphane (Ng = He, Ne, Ar, and Kr) Endohedral Complexes. Symmetry 2021, 13, 2241. [Google Scholar] [CrossRef]
  31. Jabłoński, M. Endo- and exohedral complexes of superphane with cations. J. Comput. Chem. 2022, 43, 1120–1133. [Google Scholar] [CrossRef]
  32. Blanco, M.A.; Pendás, A.M.; Francisco, E. Interacting Quantum Atoms: A Correlated Energy Decomposition Scheme Based on the Quantum Theory of Atoms in Molecules. J. Chem. Theory Comput. 2005, 1, 1096–1109. [Google Scholar] [CrossRef]
  33. Guevara-Vela, J.M.; Francisco, E.; Rocha-Rinza, T.; Pendás, Á.M. Interacting Quantum Atoms—A Review. Molecules 2020, 25, 4028. [Google Scholar] [CrossRef]
  34. Johnson, E.R.; Keinan, S.; Mori-Sánchez, P.; Contreras-García, J.; Cohen, A.J.; Yang, W. Revealing Noncovalent Interactions. J. Am. Chem. Soc. 2010, 132, 6498–6506. [Google Scholar] [CrossRef]
  35. Contreras-García, J.; Johnson, E.R.; Keinan, S.; Chaudret, R.; Piquemal, J.-P.; Beratan, D.N.; Yang, W. NCIPLOT: A Program for Plotting Noncovalent Interaction Regions. J. Chem. Theory Comput. 2011, 7, 625–632. [Google Scholar] [CrossRef] [PubMed]
  36. T. Ziegler, A. Rauk On the Calculation of Bonding Energies by the Hartree Fock Slater Method. Theoret. Chim. Acta 1977, 46, 1–10. [Google Scholar] [CrossRef]
  37. Mitoraj, M.; Michalak, A. Natural orbitals for chemical valence as descriptors of chemical bonding in transition metal complexes. J. Mol. Model. 2007, 13, 347–355. [Google Scholar] [CrossRef] [PubMed]
  38. Michalak, A.; Mitoraj, M.; Ziegler, T. Bond Orbitals from Chemical Valence Theory. J. Phys. Chem. A 2008, 112, 1933–1939. [Google Scholar] [CrossRef] [PubMed]
  39. Mitoraj, M.P.; Michalak, A.; Ziegler, T. A Combined Charge and Energy Decomposition Scheme for Bond Analysis. J. Chem. Theory Comput. 2009, 5, 962–975. [Google Scholar] [CrossRef] [PubMed]
  40. Jeziorski, B.; Moszynski, R.; Szalewicz, K. Perturbation Theory Approach to Intermolecular Potential Energy Surfaces of van der Waals Complexes. Chem. Rev. 1994, 94, 1887–1930. [Google Scholar] [CrossRef]
  41. Hohenstein, E.G.; Sherrill, C.D. Density fitting of intramonomer correlation effects in symmetry-adapted perturbation theory. J. Chem. Phys. 2010, 133, 014101. [Google Scholar] [CrossRef]
  42. Jabłoński, M.; Palusiak, M. The halogen⋯oxygen interaction in 3-halogenopropenal revisited–The Dimer Model vs. QTAIM Indications. Chem. Phys. 2013, 415, 207–213. [Google Scholar] [CrossRef]
  43. Hammett, L.P. The Effect of Structure upon the Reactions of Organic Compounds. Benzene Derivatives. J. Am. Chem. Soc. 1937, 59, 96–103. [Google Scholar] [CrossRef]
  44. Hammett, L.P. Physical Organic Chemistry; McGraw-Hill: New York, NY, USA, 1940. [Google Scholar]
  45. Hansch, C.; Leo, A.; Taft, R.W. A Survey of Hammett Substituent Constants and Resonance and Field Parameters. Chem. Rev. 1991, 91, 165–195. [Google Scholar] [CrossRef]
  46. Hirshfeld, F.L. Bonded-Atom Fragments for Describing Molecular Charge Densities. Theor. Chim. Acta 1977, 44, 129–138. [Google Scholar] [CrossRef]
  47. Wiberg, K.B.; Rablen, P.R. Atomic Charges. J. Org. Chem. 2018, 83, 15463–15469. [Google Scholar] [CrossRef]
  48. Jabłoński, M.; Krygowski, T.M. Study of the influence of intermolecular interaction on classical and reverse substituent effects in Para-Substituted Phenylboranes. New J. Chem. 2020, 44, 9656–9670. [Google Scholar] [CrossRef]
  49. Ozimiński, W.P.; Dobrowolski, J.C. σ- and π-electron contributions to the substituent effect: Natural population analysis. J. Phys. Org. Chem. 2009, 22, 769–778. [Google Scholar] [CrossRef]
  50. Jabłoński, M.; Krygowski, T.M. Dependence of the substituent energy on the level of theory. J. Comput. Chem. 2021, 42, 2079–2088. [Google Scholar] [CrossRef] [PubMed]
  51. Clark, T.; Hennemann, M.; Murray, J.S.; Politzer, P. Halogen bonding: The σ-hole. J. Mol. Model. 2007, 13, 291–296. [Google Scholar] [CrossRef] [PubMed]
  52. Frontera, A.; Bauzá, A. On the Importance of σ–Hole Interactions in Crystal Structures. Crystals 2021, 11, 1205. [Google Scholar] [CrossRef]
  53. Brookhart, M.; Green, M.L.H. Carbon–Hydrogen–Transition Metal Bonds. J. Organomet. Chem. 1983, 250, 395–408. [Google Scholar] [CrossRef]
  54. Brookhart, M.; Green, M.L.H.; Wong, L.-L. Carbon-Hydrogen-Transition Metal Bonds. Prog. Inorg. Chem. 1988, 36, 1–124. [Google Scholar]
  55. Brookhart, M.; Green, M.L.H.; Parkin, G. Agostic interactions in transition metal compounds. Proc. Natl. Acad. Sci. USA 2007, 104, 6908–6914. [Google Scholar] [CrossRef]
  56. Scherer, W.; McGrady, G.S. Agostic Interactions in d0 Metal Alkyl Complexes. Angew. Chem. Int. Ed. 2004, 43, 1782–1806. [Google Scholar] [CrossRef]
  57. Clot, E.; Eisenstein, O. Agostic Interactions from a Computational Perspective: One Name, Many Interpretations. Struct. Bond. 2004, 113, 1–36. [Google Scholar]
  58. Lein, M. Characterization of agostic interactions in theory and computation. Coord. Chem. Rev. 2009, 253, 625–634. [Google Scholar] [CrossRef]
  59. Scherer, W.; Hieringer, W.; Spiegler, M.; Sirsch, P.; McGrady, G.S.; Downs, A.J.; Haaland, A.; Pedersen, B. Characterisation of agostic interactions by a topological analysis of experimental and theoretical charge densities in [EtTiCl3(dmpe)] [dmpe = 1,2-bis(dimethylphosphino)ethane]. Chem. Commun. 1998, 2471–2472. [Google Scholar] [CrossRef]
  60. Popelier, P.L.A.; Logothetis, G. Characterization of an agostic bond on the basis of the electron density. J. Organomet. Chem. 1998, 555, 101–111. [Google Scholar] [CrossRef]
  61. Tognetti, V.; Joubert, L.; Raucoules, R.; De Bruin, T.; Adamo, C. Characterizing Agosticity Using the Quantum Theory of Atoms in Molecules: Bond Critical Points and Their Local Properties. J. Phys. Chem. A 2012, 116, 5472–5479. [Google Scholar] [CrossRef] [PubMed]
  62. Jabłoński, M. QTAIM-Based Comparison of Agostic Bonds and Intramolecular Charge-Inverted Hydrogen Bonds. J. Phys. Chem. A 2015, 119, 4993–5008. [Google Scholar] [CrossRef] [PubMed]
  63. Jabłoński, M. Geometry and QTAIM-Based Comparison of intramolecular Charge-Inverted Hydrogen Bonds, M⋯(H–Si) ”Agostic Bond”, and M⋯(η2-SiH) σ Interactions. J. Phys. Chem. A 2015, 119, 11384–11396. [Google Scholar] [CrossRef] [PubMed]
  64. Jabłoński, M. Comparative study of geometric and QTAIM-based differences between X–H⋯Y intramolecular charge-inverted hydrogen bonds, M1⋯(H–X) agostic bonds and M2⋯(η2-XH) σ interactions (X = Si, Ge; Y = Al, Ga; M1 = Ti, Co; M2 = Mn, Fe, Cr). Comput. Theor. Chem. 2016, 1096, 54–65. [Google Scholar] [CrossRef]
  65. Tognetti, V.; Joubert, L. On the physical role of exchange in the formation of an intramolecular bond path between two electronegative atoms. J. Chem. Phys. 2013, 138, 024102. [Google Scholar] [CrossRef]
  66. Cioslowski, J.; Mixon, S.T.; Edwards, W.D. Weak Bonds in the Topological Theory of Atoms in Molecules. J. Am. Chem. Soc. 1991, 113, 1083–1085. [Google Scholar] [CrossRef]
  67. Cioslowski, J.; Mixon, S.T. Topological Properties of Electron Density in Search of Steric Interactions in Molecules: Electronic Structure Calculations on Ortho-Substituted Biphenyls. J. Am. Chem. Soc. 1992, 114, 4382–4387. [Google Scholar] [CrossRef]
  68. Cioslowski, J.; Mixon, S.T. Universality among topological properties of electron density associated with the hydrogen–hydrogen nonbonding interactions. Can. J. Chem. 1992, 70, 443–449. [Google Scholar] [CrossRef]
  69. Cioslowski, J.; Edgington, L.; Stefanov, B.B. Steric Overcrowding in Perhalogenated Cyclohexanes, Dodecahedranes, and [60]Fulleranes. J. Am. Chem. Soc. 1995, 117, 10381–10384. [Google Scholar] [CrossRef]
  70. Dem’yanov, P.; Polestshuk, P. A Bond Path and an Attractive Ehrenfest Force Do Not Necessarily Indicate Bonding Interactions: Case Study on M2X2 (M = Li, Na, K; X = H, OH, F, Cl). Chem. Eur. J. 2012, 18, 4982–4993. [Google Scholar] [CrossRef] [PubMed]
  71. Jabłoński, M. Energetic and Geometrical Evidence of Nonbonding Character of Some Intramolecular Halogen⋯Oxygen and Other Y⋯Y Interactions. J. Phys. Chem. A 2012, 116, 3753–3764. [Google Scholar] [CrossRef] [PubMed]
  72. Rafat, M.; Popelier, P.L.A. The Quantum Theory of Atoms in Molecules: From Solid State to DNA and Drug Design; Matta, C.F., Boyed, R.J., Eds.; Wiley-VCH: Weinheim, Germany, 2007. [Google Scholar]
  73. Foroutan-Nejad, C.; Badria, Z.; Marek, R. Multi-center covalency: Revisiting the nature of anion–π interactions. Phys. Chem. Chem. Phys. 2015, 17, 30670–30679. [Google Scholar] [CrossRef] [PubMed]
  74. Badri, Z.; Foroutan-Nejad, C.; Kozelka, J.; Marek, R. On the non-classical contribution in lone-pair–π interaction: IQA perspective. Phys. Chem. Chem. Phys. 2015, 17, 26183–26190. [Google Scholar] [CrossRef]
  75. Jabłoński, M. Theoretical Study of N-Heterocyclic-Carbene–ZnX2 (X = H, Me, Et) Complexes. Materials 2021, 14, 6147. [Google Scholar] [CrossRef]
  76. Chai, J.-D.; Head-Gordon, M. Long-range corrected hybrid density functionals with damped atom–atom dispersion corrections. Phys. Chem. Chem. Phys. 2008, 10, 6615–6620. [Google Scholar] [CrossRef]
  77. Pritchard, B.P.; Altarawy, D.; Didier, B.; Gibson, T.D.; Windus, T.L. New Basis Set Exchange: An Open, Up-to-Date Resource for the Molecular Sciences Community. J. Chem. Inf. Model. 2019, 59, 4814–4820. [Google Scholar] [CrossRef]
  78. Mardirossian, N.; Head-Gordon, M. Thirty years of density functional theory in computational chemistry: An overview and extensive assessment of 200 density functionals. Mol. Phys. 2017, 115, 2315–2372. [Google Scholar] [CrossRef]
  79. Jensen, F. Introduction to Computational Chemistry; John Wiley & Sons Ltd.: Chichester, England, 2007. [Google Scholar]
  80. Frisch, M.J.; Trucks, G.W.; Schlegel, H.B.; Scuseria, G.E.; Robb, M.A.; Cheeseman, J.R.; Scalmani, G.; Barone, V.; Petersson, G.A.; Nakatsuji, H.; et al. Gaussian 16, Revision C.01; Gaussian, Inc.: Wallingford, CT, USA, 2019. [Google Scholar]
  81. Pauling, L. Atomic Radii and Interatomic Distances in Metals. J. Am. Chem. Soc. 1947, 69, 542–553. [Google Scholar] [CrossRef]
  82. Cremer, D.; Kraka, E. Chemical Bonds without Bonding Electron Density–Does the Difference Electron-Density Analysis Suffice for a Description of the Chemical Bond? Angew. Chem. Int. Ed. Engl. 1984, 23, 627–628. [Google Scholar] [CrossRef]
  83. López, C.S.; de Lera, Á.R. Bond Ellipticity as a Measure of Electron Delocalization in Structure and Reactivity. Curr. Org. Chem. 2011, 15, 3576–3593. [Google Scholar] [CrossRef]
  84. Cremer, D.; Kraka, E.; Slee, T.S.; Bader, R.F.W.; Lau, C.D.H.; Nguyen-Dang, T.T.; MacDougall, P.J. Description of Homoaromaticity in Terms of Electron Distributions. J. Am. Chem. Soc. 1983, 105, 5069–5075. [Google Scholar] [CrossRef]
  85. Bader, R.F.W.; Stephens, M.E. Spatial Localization of the Electronic Pair and Number Distributions in Molecules. J. Am. Chem. Soc. 1975, 97, 7391–7399. [Google Scholar] [CrossRef]
  86. Fradera, X.; Austen, M.A.; Bader, R.F.W. The Lewis Model and Beyond. J. Phys. Chem. A 1999, 103, 304–314. [Google Scholar] [CrossRef]
  87. Fradera, X.; Poater, J.; Simon, S.; Duran, M.; Solà, M. Electron-pairing analysis from localization and delocalization indices in the framework of the atoms-in-molecules theory. Theor. Chem. Acc. 2002, 108, 214–224. [Google Scholar] [CrossRef]
  88. Firme, C.L.; Antunes, O.A.C.; Esteves, P.M. Relation between bond order and delocalization index of QTAIM. Chem. Phys. Lett. 2009, 468, 129–133. [Google Scholar] [CrossRef]
  89. García-Revilla, M.; Francisco, E.; Popelier, P.L.A.; Pendás, A.M. Domain-Averaged Exchange-Correlation Energies as a Physical Underpinning for Chemical Graphs. ChemPhysChem 2013, 14, 1211–1218. [Google Scholar] [CrossRef]
  90. Keith, T.A. AIMAll; Version 15.05.18; TK Gristmill Software: Overland Park, KS, USA, 2015; Available online: Aim.tkgristmill.com (accessed on 3 February 2023).
Figure 1. Structures of in-[3 4 , 10 ][7]metacyclophane (1), 2,8,17-trithia-in-[4 5 , 12 ][9]metacyclophane (2) and 2,6,15-trithia-in-[3 4 , 10 ][7]metacyclophane (3) in sequence. All but the apical hydrogen atoms have been removed for clarity.
Figure 1. Structures of in-[3 4 , 10 ][7]metacyclophane (1), 2,8,17-trithia-in-[4 5 , 12 ][9]metacyclophane (2) and 2,6,15-trithia-in-[3 4 , 10 ][7]metacyclophane (3) in sequence. All but the apical hydrogen atoms have been removed for clarity.
Molecules 28 02244 g001
Figure 2. Top and side views of the structures of -NH 2 (left), -CN (center) or -CH 3 (right)-substituted X-derivatives of in-[3 4 , 10 ][7]metacyclophane (1). Individual types of atoms are marked with the following colors: carbon—black, hydrogen—white, nitrogen—blue, X—cyan.
Figure 2. Top and side views of the structures of -NH 2 (left), -CN (center) or -CH 3 (right)-substituted X-derivatives of in-[3 4 , 10 ][7]metacyclophane (1). Individual types of atoms are marked with the following colors: carbon—black, hydrogen—white, nitrogen—blue, X—cyan.
Molecules 28 02244 g002
Figure 3. Meaning of some structural parameters present in Table 1.
Figure 3. Meaning of some structural parameters present in Table 1.
Molecules 28 02244 g003
Figure 4. The relationship between the change in the outin isomerization energy caused by the substitution of three groups -NH 2 , -CN or -CH 3 to the benzene ring of the iron maiden X0 molecules and the change in the energy of the X (X = F, Cl, Br) substituent (see Table 4 and Table 5).
Figure 4. The relationship between the change in the outin isomerization energy caused by the substitution of three groups -NH 2 , -CN or -CH 3 to the benzene ring of the iron maiden X0 molecules and the change in the energy of the X (X = F, Cl, Br) substituent (see Table 4 and Table 5).
Molecules 28 02244 g004
Figure 5. The out forms of the F0 and Br0 iron maiden molecules.
Figure 5. The out forms of the F0 and Br0 iron maiden molecules.
Molecules 28 02244 g005
Figure 6. Molecular graphs of Br1, Br2 and Br3. Individual types of atoms are marked with the following colors: carbon—gray, hydrogen—white, nitrogen—blue, bromine—red. Small green balls represent bond critical points, red small balls represent ring critical points, and the blue small ball represents a cage critical point.
Figure 6. Molecular graphs of Br1, Br2 and Br3. Individual types of atoms are marked with the following colors: carbon—gray, hydrogen—white, nitrogen—blue, bromine—red. Small green balls represent bond critical points, red small balls represent ring critical points, and the blue small ball represents a cage critical point.
Molecules 28 02244 g006
Figure 7. Relationship between E ee , xc and δ RP tot (X, π ) (Equation (8)) obtained for the X π interaction in the studied iron maiden molecules.
Figure 7. Relationship between E ee , xc and δ RP tot (X, π ) (Equation (8)) obtained for the X π interaction in the studied iron maiden molecules.
Molecules 28 02244 g007
Figure 8. NCI-based s-isosurfaces (s = 0.5 a.u.) for the investigated Xn iron maiden molecules. Colors are coded according to a common s g n ( λ 2 ) ρ scale (in a.u.): −0.020—blue, −0.015—cyan, −0.10—green, −0.005—yellow, and 0.000—red. Cutoff of 0.050 a.u. was used for the electron density.
Figure 8. NCI-based s-isosurfaces (s = 0.5 a.u.) for the investigated Xn iron maiden molecules. Colors are coded according to a common s g n ( λ 2 ) ρ scale (in a.u.): −0.020—blue, −0.015—cyan, −0.10—green, −0.005—yellow, and 0.000—red. Cutoff of 0.050 a.u. was used for the electron density.
Molecules 28 02244 g008
Table 1. The most important geometric parameters characterizing in forms of the Xn iron maiden molecules (see Figure 3). Bond lengths in Å, plane angles in degrees.
Table 1. The most important geometric parameters characterizing in forms of the Xn iron maiden molecules (see Figure 3). Bond lengths in Å, plane angles in degrees.
Xn d CX Δ d CX MeX a Δ d CX out b d X π c d X RCP  d d C π e d X C fFold g d Ar h α 1 i α 2 i α 3 i α CCX i
H01.057−0.033−0.0331.6671.5982.7242.152/2.1930.0412.787109.9118.7115.7103.8
H11.060−0.031−0.0311.6791.5962.7392.174/2.2040.0302.808111.2118.2115.5104.0
H21.055−0.035−0.0331.6671.6062.7232.152/2.2040.0532.802109.4119.6115.9103.4
H31.058−0.033−0.0331.6621.5942.7192.146/2.2020.0572.804110.2119.4116.0103.9
F01.345−0.040−0.1031.9191.8493.2642.335/2.4100.0752.792115.3125.0112.899.4
F11.348−0.037−0.1021.9241.8473.2732.365/2.4050.0402.817116.7124.1112.699.7
F21.355−0.030−0.0871.8941.8293.2492.306/2.4090.1032.807114.7125.4113.299.2
F31.344−0.042−0.1061.9141.8473.2582.333/2.4150.0812.809115.8126.1113.199.3
Cl01.654−0.136−0.2342.0731.9843.7282.465/2.5460.0812.815121.0131.2114.894.9
Cl11.661−0.130−0.2332.0611.9543.7222.486/2.5240.0382.849122.6130.3114.795.5
Cl21.655−0.135−0.2262.0681.9733.7232.442/2.5670.1262.829120.4131.0115.394.8
Cl31.657−0.134−0.2312.0681.9723.7252.463/2.5480.0852.832121.7132.5115.195.1
Br01.774−0.168−0.2822.1222.0263.8952.513/2.5840.0702.824122.7133.9116.792.8
Br11.782−0.159−0.2802.1001.9783.8822.526/2.5590.0322.865124.1133.0116.593.5
Br21.770−0.172−0.2782.1242.0203.8942.490/2.6170.1282.838122.2133.2117.392.8
Br31.777−0.164−0.2772.1122.0073.8892.506/2.5840.0782.842123.2135.0117.093.1
a Change of the CX bond length relative to methane or halogenomethane. b Change of the CX bond length relative to the out form. c The distance between X and the centroid of the benzene ring obtained as 1/2(Hchain + Hno-chain) where Hchain/no-chain = ( d X C ) 2 1 / 3 ( d C C ) 2 with C being either the chain or no-chain carbon atoms of the ring. d The distance between X and RCP of the benzene ring. e he distance between the keystone C and the centroid of the benzene ring obtained as dX⋯π + dCX. f The distance between X and the chain/non-chain C atom of the benzene ring. g The folding of the benzene ring understood as d X C no - chain d X C chain . h The size of the benzene ring understood as the distance between opposite carbon atoms. i See Figure 3 for the meanings of the respective angles.
Table 2. Electron charge distribution within the benzene ring in Xn molecules: electron density in RCP ( ρ RCP ), Hirshfeld atomic charges on chain and no-chain C atom ( q C chain and q C no - chain , respectively), total charge on carbon atoms of the benzene ring ( Q C ring ). Atomic units are used.
Table 2. Electron charge distribution within the benzene ring in Xn molecules: electron density in RCP ( ρ RCP ), Hirshfeld atomic charges on chain and no-chain C atom ( q C chain and q C no - chain , respectively), total charge on carbon atoms of the benzene ring ( Q C ring ). Atomic units are used.
Xn ρ RCP q C chain q C no - chain Q C ring Xn ρ RCP q C chain q C no - chain Q C ring
H00.0240.005−0.051−0.139F00.024−0.010−0.066−0.229
H10.022−0.0670.045−0.066F10.022−0.0940.041−0.160
H20.0220.0490.0070.169F20.0220.044−0.0100.103
H30.023−0.011−0.002−0.038F30.022−0.027−0.012−0.118
Cl00.024−0.015−0.059−0.220Br00.023−0.019−0.050−0.206
Cl10.022−0.1130.048−0.193Br10.021−0.1190.054−0.196
Cl20.0220.041−0.0100.095Br20.0220.040−0.0070.098
Cl30.023−0.035−0.004−0.117Br30.022−0.0380.002−0.106
Table 3. The influence of the presence of three substituents in the benzene ring of the considered iron maiden molecules on the values of geometric parameters: ⇑—systematic increase, ↑c—constant increase, ↓—unsystematic decrease, ↓c—constant decrease, ∼ X—increase or decrease depending on X.
Table 3. The influence of the presence of three substituents in the benzene ring of the considered iron maiden molecules on the values of geometric parameters: ⇑—systematic increase, ↑c—constant increase, ↓—unsystematic decrease, ↓c—constant decrease, ∼ X—increase or decrease depending on X.
Substituent d CX d X π d C π Fold d Ar α 1 α 2 α 3 α CCX
-NH 2 ∼ X∼ X↑c↓c
-CN∼ X∼ X↑c↓c∼ X
-CH 3 ∼ X↑c↑c∼ X
Table 4. The outin isomerization energies (in kcal/mol) for the considered iron maiden molecules.
Table 4. The outin isomerization energies (in kcal/mol) for the considered iron maiden molecules.
XnX
HFClBr
X0−12.3 (ref.)50.5 (ref.)171.1 (ref.)229.9 (ref.)
X1−12.8 (−0.5)47.7 (−2.8)160.8 (−10.3)216.1 (−13.8)
X2−10.6 (1.7)44.3 (−6.2)167.3 (−3.8)228.1 (−1.8)
X3−13.1 (−0.8)51.4 (+0.9)167.9 (−3.2)224.1 (−5.8)
Table 5. The X-substituent energies (in kcal/mol) for in and out forms of the Xn iron maiden molecules.
Table 5. The X-substituent energies (in kcal/mol) for in and out forms of the Xn iron maiden molecules.
XnX
FClBr
inoutinoutinout
X048.6 (ref.)−14.2 (ref.)179.2 (ref.)−4.2 (ref.)240.6 (ref.)−1.6 (ref.)
X145.1 (−3.5)−15.4 (−1.2)167.6 (−11.6)−6.0 (−1.8)225.3 (−15.3)−3.5 (−1.9)
X242.3 (−6.3)−12.5 (1.7)176.1 (−3.1)−1.7 (2.5)239.7 (−0.9)1.0 (2.6)
X349.8 (+1.2)−14.7 (−0.5)176.0 (−3.2)−5.0 (−0.8)234.8 (−5.8)−2.5 (−0.9)
Table 6. Values of Wiberg Bond Index (WBI) and Mayer Bond Order (MBO) for the X⋯C ring chain and X⋯C ring no - chain interactions as well as the total WBI/MBO values obtained by summing over all X⋯C ring chain / no - chain interactions (X π ).
Table 6. Values of Wiberg Bond Index (WBI) and Mayer Bond Order (MBO) for the X⋯C ring chain and X⋯C ring no - chain interactions as well as the total WBI/MBO values obtained by summing over all X⋯C ring chain / no - chain interactions (X π ).
XnWBIMBO
X⋯C ring chain X⋯C ring no chain X π X⋯C ring chain X⋯C ring no - chain X π
H00.0040.0030.023−0.1820.137−0.136
H10.0040.0040.023−0.009−0.183−0.575
H20.0040.0030.020−0.003−0.060−0.190
H30.0040.0030.021−0.1690.012−0.472
F00.0100.0090.057−0.103−0.011−0.342
F10.0120.0100.067−0.1180.073−0.135
F20.0120.0100.065−0.0890.052−0.112
F30.0110.0090.060−0.078−0.004−0.246
Cl00.0140.0120.0760.032−0.075−0.127
Cl10.0190.0160.1030.124−0.413−0.866
Cl20.0200.0120.094−0.021−0.784−2.415
Cl30.0150.0120.081−0.141−0.103−0.733
Br00.0170.0160.0980.100−0.0720.083
Br10.0240.0250.1450.372−0.427−0.163
Br20.0240.0140.1110.685−0.849−0.494
Br30.0190.0170.1070.198−0.1660.095
Table 7. QTAIM-based parameters for the Xn iron maiden molecules.
Table 7. QTAIM-based parameters for the Xn iron maiden molecules.
Xn ρ X C 2 ρ X C H X C λ 1 λ 2 ε X C λ 2 RCP δ tot (X, π ) δ RP tot (X, π )
H00.0240.0930.003−0.0232−0.001911.10.00150.2080.096
H10.0240.0900.002−0.0229−0.00493.70.00370.2020.092
H20.0240.0920.003−0.0229−0.001316.20.00110.2050.094
H30.0240.0920.002−0.0236−0.00355.70.00260.2080.096
F00.0300.1560.004−0.0296−0.00455.70.00290.3760.158
F10.0300.1530.004−0.0292−0.00653.50.00410.3630.152
F20.0310.1580.003−0.0305−0.00514.90.00340.3850.163
F30.0310.1560.004−0.0303−0.00584.20.00400.3780.159
Cl00.0390.149−0.001−0.0330−0.00753.40.00300.6210.248
Cl10.0400.148−0.001−0.0341−0.00982.50.00410.6200.248
Cl20.0400.146−0.002−0.0332−0.01052.20.00570.6220.249
Cl30.0400.147−0.001−0.0346−0.00873.00.00430.6250.250
Br00.0410.141−0.003−0.0333−0.00664.00.00060.7140.281
Br10.0430.139−0.003−0.0353−0.01012.50.00250.7280.287
Br20.0420.136−0.004−0.0335−0.01171.90.00540.7020.276
Br30.0420.139−0.003−0.0355−0.00863.10.00270.7210.284
Table 8. IQA-based energy (in a.u.) terms (see Methodology) computed for the X⋯C chain , X⋯C no chain and X π interactions in the Xn iron maiden molecules.
Table 8. IQA-based energy (in a.u.) terms (see Methodology) computed for the X⋯C chain , X⋯C no chain and X π interactions in the Xn iron maiden molecules.
XnContact E neen E nn E ee E ee , C E ee , xc % E ee , xc E elst E int
H0C chain −2.9291.4761.4451.453−0.00898.80.000−0.008
C no - chain −2.8821.4481.4261.433−0.00898.00.000−0.008
π (sum)−17.4308.7718.6128.659−0.04798.4−0.001−0.048
H1C chain −2.8981.4601.4301.438−0.00899.20.000−0.008
C no - chain −2.7871.4411.3401.347−0.007120.30.001−0.006
π (sum)−17.0548.7048.3088.354−0.046107.90.003−0.042
H2C chain −2.9641.4641.4921.500−0.00898.00.000−0.008
C no - chain −2.9211.4411.4731.481−0.008100.00.000−0.008
π (sum)−17.6568.7148.8958.942−0.04799.00.000−0.047
H3C chain −2.9311.4801.4421.451−0.00897.50.000−0.009
C no - chain −2.8581.4421.4081.416−0.00797.30.000−0.008
π (sum)−17.3648.7648.5528.599−0.04797.4−0.001−0.049
F0C chain −25.27612.23913.01813.032−0.01578.2−0.004−0.019
C no - chain −24.57011.85612.70312.715−0.013119.30.002−0.011
π (sum)−149.53672.28777.16177.243−0.08293.1−0.006−0.089
F1C chain −24.98512.08512.88412.899−0.01591.0−0.001−0.016
C no - chain −23.95311.88312.01212.025−0.01220.9−0.046−0.058
π (sum)−146.81671.90274.69074.771−0.08036.0−0.143−0.223
F2C chain −25.49812.39413.07713.093−0.01556.7−0.012−0.027
C no - chain −24.46111.86412.57612.589−0.01360.9−0.008−0.022
π (sum)−149.87972.77476.95877.044−0.08658.6−0.061−0.147
F3C chain −25.31812.24813.05313.068−0.01587.9−0.002−0.017
C no - chain −24.51211.83512.66612.679−0.013109.90.001−0.011
π (sum)−149.49172.24877.15777.240−0.08396.7−0.003−0.086
Cl0C chain −43.97921.89822.05722.080−0.02497.90.000−0.024
C no - chain −42.68521.20221.46421.485−0.021105.50.001−0.019
π (sum)−259.993129.299130.563130.695−0.132101.30.002−0.130
Cl1C chain −43.67821.70921.94621.970−0.024103.00.001−0.023
C no - chain −41.69921.38220.28220.302−0.02057.3−0.015−0.036
π (sum)−256.132129.273126.682126.816−0.13475.5−0.043−0.177
Cl2C chain −44.28022.10722.14622.171−0.02591.3−0.002−0.027
C no - chain −42.11721.02321.07121.090−0.02085.9−0.003−0.023
π (sum)−259.191129.391129.649129.783−0.13488.9−0.017−0.151
Cl3C chain −44.06921.91422.13022.155−0.024100.50.000−0.024
C no - chain −42.60421.18021.40421.424−0.020102.00.000−0.020
π (sum)−260.018129.284130.601130.735−0.134101.20.002−0.133
Br0C chain −88.33344.21444.09344.119−0.02698.50.000−0.026
C no - chain −86.10843.01243.07243.012−0.02499.70.000−0.024
π (sum)−523.322261.494261.494261.677−0.15099.1−0.001−0.151
Br1C chain −88.09343.99244.07244.100−0.02897.7−0.001−0.028
C no - chain −84.09743.43440.64144.665−0.024115.20.003−0.021
π (sum)−516.569262.280254.141254.296−0.155105.10.008−0.147
Br2C chain −88.91244.63644.24944.277−0.028101.80.001−0.028
C no - chain −84.50142.45642.02242.044−0.02297.90.000−0.022
π (sum)−520.240261.276258.814258.964−0.150100.10.000−0.150
Br3C chain −88.74244.34844.36644.393−0.02897.3−0.001−0.028
C no - chain −86.01543.00542.98743.010−0.02499.00.000−0.024
π (sum)−524.272262.058262.057262.211−0.15498.1−0.003−0.157
Disclaimer/Publisher’s Note: The statements, opinions and data contained in all publications are solely those of the individual author(s) and contributor(s) and not of MDPI and/or the editor(s). MDPI and/or the editor(s) disclaim responsibility for any injury to people or property resulting from any ideas, methods, instructions or products referred to in the content.

Share and Cite

MDPI and ACS Style

Jabłoński, M. The Ultrashort Spike–Ring Interaction in Substituted Iron Maiden Molecules. Molecules 2023, 28, 2244. https://doi.org/10.3390/molecules28052244

AMA Style

Jabłoński M. The Ultrashort Spike–Ring Interaction in Substituted Iron Maiden Molecules. Molecules. 2023; 28(5):2244. https://doi.org/10.3390/molecules28052244

Chicago/Turabian Style

Jabłoński, Mirosław. 2023. "The Ultrashort Spike–Ring Interaction in Substituted Iron Maiden Molecules" Molecules 28, no. 5: 2244. https://doi.org/10.3390/molecules28052244

APA Style

Jabłoński, M. (2023). The Ultrashort Spike–Ring Interaction in Substituted Iron Maiden Molecules. Molecules, 28(5), 2244. https://doi.org/10.3390/molecules28052244

Article Metrics

Back to TopTop