Thermosonication of Orange-Carrot Juice Blend: Overall Quality during Refrigerated Storage, and Sensory Acceptance
Abstract
1. Introduction
2. Results and Discussion
2.1. Juice Blend pH, Total Soluble Solids (°Brix), and Total Titratable Acidity (TTA)
2.2. Color
2.3. Total Carotenoids, Total Phenolic Compounds, and Antioxidant Capacity
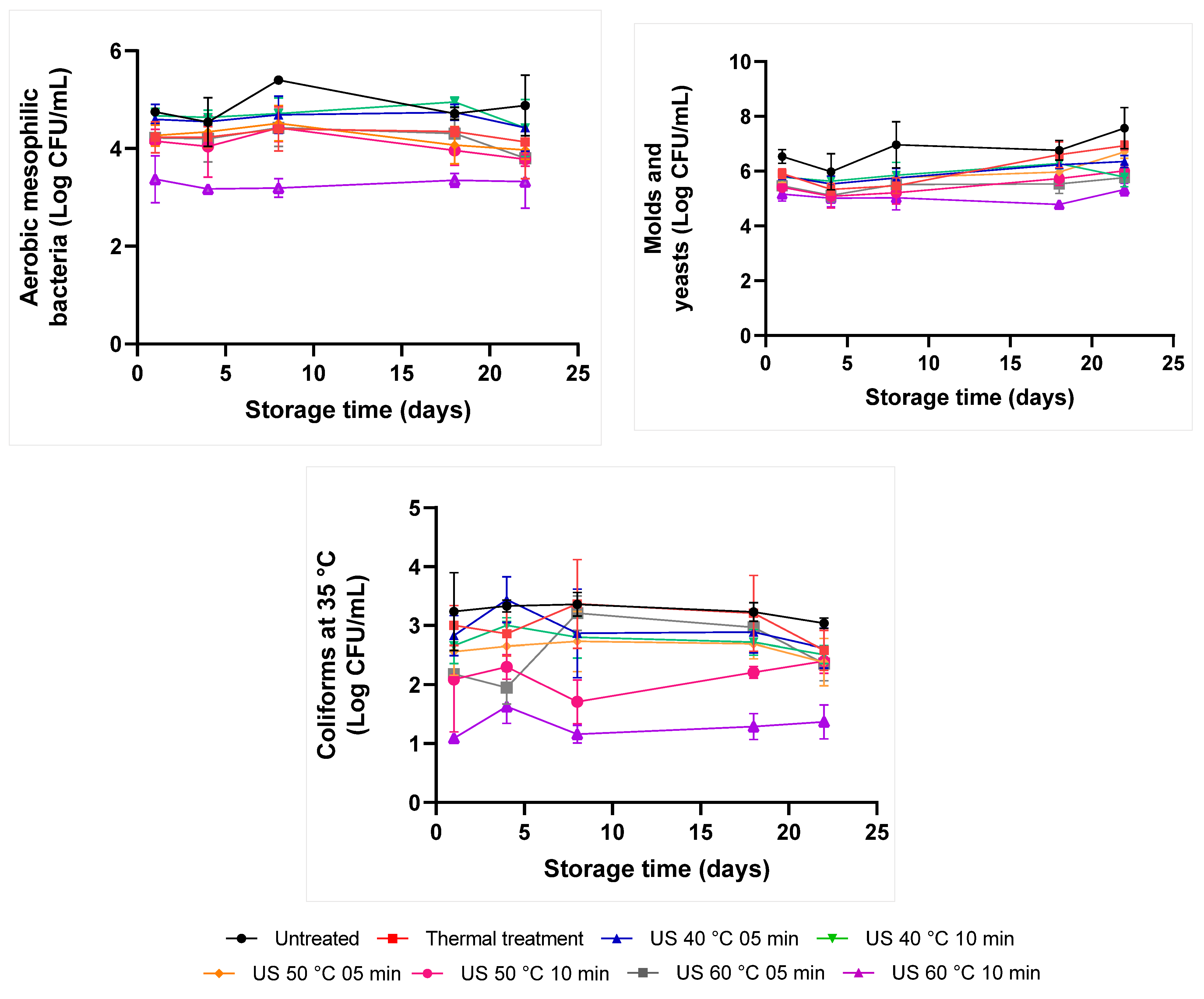
2.4. Microbiological Quality
2.5. Sensory Acceptance Analysis
3. Materials and Methods
3.1. Experimental Design and Juice Preparation
3.2. Treatments and Storage Study
3.3. Physicochemical Aspects and Color Assessment
3.4. Bioactive Compounds and Antioxidant Capacity
3.5. Microbiological Analysis
3.6. Sensory Analysis
3.7. Statistical Analysis
4. Conclusions
Author Contributions
Funding
Institutional Review Board Statement
Informed Consent Statement
Data Availability Statement
Acknowledgments
Conflicts of Interest
Sample Availability
References
- Benton, D.; Young, H.A. Role of fruit juice in achieving the 5-a-day recommendation for fruit and vegetable intake. Nutr. Rev. 2019, 77, 829–843. [Google Scholar] [CrossRef]
- Agarwal, S.; Fulgoni, V.L., III; Welland, D. Intake of 100% Fruit Juice Is Associated with Improved Diet Quality of Adults: NHANES 2013–2016 Analysis. Nutrients 2019, 11, 2513. [Google Scholar] [CrossRef]
- Muntean, M.V.; Fărcaş, A.C.; Medeleanu, M.; Salanţă, L.C.; Borşa, A. A Sustainable Approach for the Development of Innovative Products from Fruit and Vegetable By-Products. Sustainability 2022, 14, 10862. [Google Scholar] [CrossRef]
- Priyadarshini, A.; Priyadarshini, A. Market Dimensions of the Fruit Juice Industry. In Fruit Juices: Extraction, Composition, Quality and Analysis; Elsevier: Amsterdam, The Netherlands, 2018. [Google Scholar]
- Neves, M.F.; Trombin, V.G.; Marques, V.N.; Martinez, L.F. Global orange juice market: A 16-year summary and opportunities for creating value. Trop. Plant Pathol. 2020, 45, 166–174. [Google Scholar] [CrossRef]
- Kahraman, O.; Feng, H. Continuous-flow manothermosonication treatment of apple-carrot juice blend: Effects on juice quality during storage. LWT 2020, 137, 110360. [Google Scholar] [CrossRef]
- Ojha, K.S.; Tiwari, B.K.; O’Donnell, C.P. Effect of Ultrasound Technology on Food and Nutritional Quality. In Advances in Food and Nutrition Research; Elsevier: Amsterdam, The Netherlands, 2018; Volume 84. [Google Scholar]
- Feng, X.; Zhou, Z.; Wang, X.; Bi, X.; Ma, Y.; Xing, Y. Comparison of High Hydrostatic Pressure, Ultrasound, and Heat Treatments on the Quality of Strawberry–Apple–Lemon Juice Blend. Foods 2020, 9, 218. [Google Scholar] [CrossRef] [PubMed]
- Snyder, A.B.; Worobo, R.W. The incidence and impact of microbial spoilage in the production of fruit and vegetable juices as reported by juice manufacturers. Food Control 2018, 85, 144–150. [Google Scholar] [CrossRef]
- Aslam, R.; Alam, M.S.; Ali, A.; Tao, Y.; Manickam, S. A chemometric approach to evaluate the effects of probe-type ultrasonication on the enzyme inactivation and quality attributes of fresh amla juice. Ultrason. Sonochem. 2023, 92, 106268. [Google Scholar] [CrossRef]
- Rodrigo, D.; Tejedor, W.; Martínez, A. Heat Treatment: Effect on Microbiological Changes and Shelf Life. In Encyclopedia of Food and Health; Elsevier: Amsterdam, The Netherlands, 2015. [Google Scholar]
- Ağçam, E.; Akyildiz, A.; Dündar, B. Thermal Pasteurization and Microbial Inactivation of Fruit Juices. In Fruit Juices: Extraction, Composition, Quality and Analysis; Elsevier: Amsterdam, The Netherlands, 2018. [Google Scholar]
- Cebrián, G.; Condón, S.; Mañas, P. Physiology of the Inactivation of Vegetative Bacteria by Thermal Treatments: Mode of Action, Influence of Environmental Factors and Inactivation Kinetics. Foods 2017, 6, 107. [Google Scholar] [CrossRef]
- Mandha, J.; Shumoy, H.; Matemu, A.O.; Raes, K. Characterization of fruit juices and effect of pasteurization and storage conditions on their microbial, physicochemical, and nutritional quality. Food Biosci. 2023, 51, 102335. [Google Scholar] [CrossRef]
- Ordóñez-Santos, L.E.; Martínez-Girón, J.; Arias-Jaramillo, M.E. Effect of ultrasound treatment on visual color, vitamin C, total phenols, and carotenoids content in Cape gooseberry juice. Food Chem. 2017, 233, 96–100. [Google Scholar] [CrossRef] [PubMed]
- Alves, L.D.L.; dos Santos, R.L.; Bayer, B.L.; Devens, A.L.M.; Cichoski, A.J.; Mendonça, C.R.B. Thermosonication of tangerine juice: Effects on quality characteristics, bioactive compounds, and antioxidant activity. J. Food Process. Preserv. 2020, 44, e14914. [Google Scholar] [CrossRef]
- Jambrak, A.R.; Šimunek, M.; Petrović, M.; Bedić, H.; Herceg, Z.; Juretić, H. Aromatic profile and sensory characterisation of ultrasound treated cranberry juice and nectar. Ultrason. Sonochem. 2017, 38, 783–793. [Google Scholar] [CrossRef] [PubMed]
- Rojas, M.L.; Miano, A.C.; Aguilar, K.; Augusto, P.E.D. Emerging Technologies for Noncarbonated Beverages Processing. In Trends in Non-Alcoholic Beverages; Elsevier: Amsterdam, The Netherlands, 2019; pp. 233–261. ISBN 9780128169384. [Google Scholar]
- Abid, M.; Jabbar, S.; Wu, T.; Hashim, M.M.; Hu, B.; Lei, S.; Zeng, X. Sonication enhances polyphenolic compounds, sugars, carotenoids and mineral elements of apple juice. Ultrason. Sonochem. 2014, 21, 93–97. [Google Scholar] [CrossRef]
- Bhat, R.; Goh, K.M. Sonication treatment convalesce the overall quality of hand-pressed strawberry juice. Food Chem. 2017, 215, 470–476. [Google Scholar] [CrossRef]
- Bermudez-Aguirre, D. Advances in Thermo- and Manothermosonication for Microbial Inactivation. In Ultrasound: Advances in Food Processing and Preservation; Elsevier: Amsterdam, The Netherlands, 2017. [Google Scholar]
- Swamy, G.J.; Muthukumarappan, K.; Asokapandian, S. Ultrasound for fruit juice preservation. In Fruit Juices Extraction, Composition, Quality and Analysis, 1st ed.; Rajauria, G., Tiwari, B., Eds.; Academic Press: Cambridge, MA, USA, 2018; pp. 451–461. [Google Scholar] [CrossRef]
- Menelli, G.S.; Fracalossi, K.L.; Lepaus, B.M.; José, J.F.B.D.S. Effects of high-intensity ultrasonic bath on the quality of strawberry juice. CyTA J. Food 2021, 19, 501–510. [Google Scholar] [CrossRef]
- Oladunjoye, A.O.; Adeboyejo, F.O.; Okekunbi, T.A.; Aderibigbe, O.R. Effect of thermosonication on quality attributes of hog plum (Spondias mombin L.) juice. Ultrason. Sonochem. 2021, 70, 105316. [Google Scholar] [CrossRef]
- Nadeem, M.; Ubaid, N.; Qureshi, T.M.; Munir, M.; Mehmood, A. Effect of ultrasound and chemical treatment on total phenol, flavonoids and antioxidant properties on carrot-grape juice blend during storage. Ultrason. Sonochem. 2018, 45, 1–6. [Google Scholar] [CrossRef]
- Gao, J.; Rupasinghe, H.P.V. Nutritional, Physicochemical and Microbial Quality of Ultrasound-Treated Apple-Carrot Juice Blends. Food Nutr. Sci. 2012, 3, 212–218. [Google Scholar] [CrossRef]
- Deli, M.G.E.P.; Kirit, B.D.; Ağçam, E.; Cinkir, N.I.; Akyildiz, A. Changes in cashew apple juice treated with optimum thermosonication during storage. Food Chem. Adv. 2022, 1, 100120. [Google Scholar] [CrossRef]
- Lopez, M.E.S.; Gontijo, M.T.P.; Boggione, D.M.G.; Albino, L.A.A.; Batalha, L.S.; Mendonça, R.C.S. Microbiological Contami-nation in Foods and Beverages: Consequences and Alternatives in the Era of Microbial Resistance. In Microbial Contamination and Food Degradation; Academic Press: Cambridge, MA, USA, 2018. [Google Scholar]
- Chen, L.; Bi, X.; Guo, D.; Xing, Y.; Che, Z. The effect of high-power ultrasound on the quality of carrot juice. Food Sci. Technol. Int. 2019, 25, 394–403. [Google Scholar] [CrossRef] [PubMed]
- Wang, J.; Wang, J.; Ye, J.; Vanga, S.K.; Raghavan, V. Influence of high-intensity ultrasound on bioactive compounds of strawberry juice: Profiles of ascorbic acid, phenolics, antioxidant activity and microstructure. Food Control 2018, 96, 128–136. [Google Scholar] [CrossRef]
- Abid, M.; Jabbar, S.; Hu, B.; Hashim, M.M.; Wu, T.; Lei, S.; Khan, M.A.; Zeng, X. Thermosonication as a potential quality enhancement technique of apple juice. Ultrason. Sonochem. 2014, 21, 984–990. [Google Scholar] [CrossRef] [PubMed]
- Dolas, R.; Saravanan, C.; Kaur, B.P. Emergence and era of ultrasonic’s in fruit juice preservation: A review. Ultrason. Sonochem. 2019, 58, 104609. [Google Scholar] [CrossRef]
- Sharma, K.D.; Karki, S.; Thakur, N.S.; Attri, S. Chemical Composition, Functional Properties and Processing of Carrot-A Review. J. Food Sci. Technol. 2012, 49, 22–32. [Google Scholar] [CrossRef]
- Rodriguez-Amaya, D.B. A Guide to Carotenoid Analysis in Foods; ILSI press: Washington, DC, USA, 2001. [Google Scholar]
- Aadil, R.M.; Zeng, X.-A.; Han, Z.; Sun, D.-W. Effects of ultrasound treatments on quality of grapefruit juice. Food Chem. 2013, 141, 3201–3206. [Google Scholar] [CrossRef]
- Guerrouj, K.; Sánchez-Rubio, M.; Taboada-Rodríguez, A.; Cava-Roda, R.M.; Marín-Iniesta, F. Sonication at mild temperatures enhances bioactive compounds and microbiological quality of orange juice. Food Bioprod. Process. 2016, 99, 20–28. [Google Scholar] [CrossRef]
- Rodríguez-Rico, D.; Sáenz-Esqueda, M.D.L.; Meza-Velázquez, J.A.; Martínez-García, J.J.; Quezada-Rivera, J.J.; Umaña, M.M.; Minjares-Fuentes, R. High-Intensity Ultrasound Processing Enhances the Bioactive Compounds, Antioxidant Capacity and Microbiological Quality of Melon (Cucumis melo) Juice. Foods 2022, 11, 2648. [Google Scholar] [CrossRef]
- Wahia, H.; Zhou, C.; Mustapha, A.T.; Amanor-Atiemoh, R.; Mo, L.; Fakayode, O.A.; Ma, H. Storage effects on the quality quartet of orange juice submitted to moderate thermosonication: Predictive modeling and odor fingerprinting approach. Ultrason. Sonochem. 2020, 64, 104982. [Google Scholar] [CrossRef]
- Saeeduddin, M.; Abid, M.; Jabbar, S.; Wu, T.; Hashim, M.M.; Awad, F.N.; Hu, B.; Lei, S.; Zeng, X. Quality Assessment of Pear Juice under Ultrasound and Commercial Pasteurization Processing Conditions. LWT Food Sci. Technol. 2015, 64, 452–458. [Google Scholar] [CrossRef]
- Martínez-Flores, H.E.; Garnica-Romo, M.G.; Bermúdez-Aguirre, D.; Pokhrel, P.R.; Barbosa-Cánovas, G.V. Physico-chemical parameters, bioactive compounds and microbial quality of thermo-sonicated carrot juice during storage. Food Chem. 2015, 172, 650–656. [Google Scholar] [CrossRef]
- De São José, J.F.B.; de Andrade, N.J.; Ramos, A.M.; Vanetti, M.C.D.; Stringheta, P.C.; Chaves, J.B.P. Decontamination by Ul-trasound Application in Fresh Fruits and Vegetables. Food Control 2014, 45, 36–50. [Google Scholar] [CrossRef]
- Jambrak, A.R.; Šimunek, M.; Evačić, S.; Markov, K.; Smoljanić, G.; Frece, J. Influence of high power ultrasound on selected moulds, yeasts and Alicyclobacillus acidoterrestris in apple, cranberry and blueberry juice and nectar. Ultrasonics 2018, 83, 3–17. [Google Scholar] [CrossRef]
- Wu, T.; Yu, X.; Hu, A.; Zhang, L.; Jin, Y.; Abid, M. Ultrasonic disruption of yeast cells: Underlying mechanism and effects of processing parameters. Innov. Food Sci. Emerg. Technol. 2015, 28, 59–65. [Google Scholar] [CrossRef]
- Pokhrel, P.R.; Bermúdez-Aguirre, D.; Martínez-Flores, H.E.; Garnica-Romo, M.G.; Sablani, S.; Tang, J.; Barbosa-Cánovas, G.V. Combined Effect of Ultrasound and Mild Temperatures on the Inactivation of E. coli in Fresh Carrot Juice and Changes on its Physicochemical Characteristics. J. Food Sci. 2017, 82, 2343–2350. [Google Scholar] [CrossRef] [PubMed]
- Pelissari, E.M.R.; Covre, K.V.; Rosario, D.K.A.D.; de São José, J.F.B. Application of chemometrics to assess the influence of ultrasound and chemical sanitizers on vegetables: Impact on natural microbiota, Salmonella Enteritidis and physicochemical nutritional quality. LWT 2021, 148, 111711. [Google Scholar] [CrossRef]
- Anaya-Esparza, L.M.; Velázquez-Estrada, R.M.; Roig, A.X.; García-Galindo, H.S.; Sayago-Ayerdi, S.G.; Montalvo-González, E. Thermosonication: An alternative processing for fruit and vegetable juices. Trends Food Sci. Technol. 2017, 61, 26–37. [Google Scholar] [CrossRef]
- Šimunek, M.; Jambrak, A.R.; Petrović, M.; Juretić, H.; Major, N.; Herceg, Z.; Hruškar, M.; Vukušić, T. Aroma Profile and Sensory Properties of Ultrasound-Treated Apple Juice and Nectar. Food Technol. Biotechnol. 2013, 51, 101–111. [Google Scholar]
- Wong, E.; Vaillant, F.; Pérez, A. Osmosonication of Blackberry Juice: Impact on Selected Pathogens, Spoilage Microorganisms, and Main Quality Parameters. J. Food Sci. 2010, 75, M468–M474. [Google Scholar] [CrossRef] [PubMed]
- Horwitz, W.; Latimer, G. AOAC Official Methods of Analysis of AOAC International; AOAC International: Gaithersburg, MD, USA, 2005. [Google Scholar]
- Pathare, P.; Opara, U.L.; Al-Said, F.A.-J. Colour Measurement and Analysis in Fresh and Processed Foods: A Review. Food Bioprocess Technol. 2012, 6, 36–60. [Google Scholar] [CrossRef]
- Bloor, S.J. Overview of methods for analysis and identification of flavonoids. Methods Enzym. 2001, 335, 3–14. [Google Scholar] [CrossRef]
- Singleton, V.L.; Orthofer, R.; Lamuela-Raventós, R.M. Analysis of total phenols and other oxidation substrates and antioxidants by means of folin-ciocalteu reagent. Methods Enzymol. 1999, 299, 152–178. [Google Scholar]
- Blois, M.S. Antioxidant Determinations by the Use of a Stable Free Radical. Nature 1958, 181, 1199–1200. [Google Scholar] [CrossRef]
- Downes, F.P.; Ito, K. Compendium of Methods for The Microbiological Examination of Foods; American Public Health Association: Washington, DC, USA, 2001. [Google Scholar]




| Treatment | pH | °Brix | TTA | Brightness | hue° | Chroma | |
|---|---|---|---|---|---|---|---|
| Untreated | 4.17 ± 0.32 a | 8.73 ± 0.55 a | 0.43 ± 0.06 a | 47.84 ± 0.97 b | 59.86 ± 1.27 a | 31.65 ± 2.57 b | |
| Thermal treatment (90 °C, 30 s) | 4.17 ± 0.35 a | 8.63 ± 0.57 a | 0.38 ± 0.05 a | 48.28 ± 0.78 b | 58.24 ± 0.96 b | 32.55 ± 2.21 ab | |
| US 40 °C | 5 min | 4.19 ± 0.36 a | 8.60 ± 0.39 a | 0.43 ± 0.07 a | 49.23 ± 1.06 a | 58.18 ± 1.19 b | 33.33 ± 2.51 ab |
| 10 min | 4.17 ± 0.39 a | 8.45 ± 0.41 a | 0.38 ± 0.05 a | 49.54 ± 0.84 a | 57.79 ± 2.25 b | 33.81 ± 3.11 a | |
| US 50 °C | 5 min | 4.18 ± 0.37 a | 8.50 ± 0.44 a | 0.42 ± 0.08 a | 49.30 ± 0.54 a | 58.20 ± 0.69 b | 32.93 ± 2.23 ab |
| 10 min | 4.25 ± 0.30 a | 8.55 ± 0.31 a | 0.38 ± 0.05 a | 49.40 ± 1.06 a | 57.81 ± 1.30 b | 33.62 ± 3.25 a | |
| US 60 °C | 5 min | 4.19 ± 0.29 a | 8.37 ± 0.38 a | 0.40 ± 0.06 a | 49.45 ± 0.43 a | 57.83 ± 0.57 b | 33.67 ± 2.04 a |
| 10 min | 4.18 ± 0.24 a | 8.42 ± 0.43 a | 0.43 ± 0.06 a | 49.38 ± 0.82 a | 57.72 ± 0.89 b | 33.91 ± 1.39 a | |
| Treatment | Total Carotenoids (µg/100 mL) | TPC (GAE/100 mL) | % DPPH | |
|---|---|---|---|---|
| Untreated | 110.79 ± 5.21 a | 59.62 ± 4.57 a | 20.36 ± 4.96 a | |
| Thermal treatment (90 °C, 30 s) | 121.33 ± 8.20 a | 59.09 ± 4.70 a | 19.41 ± 4.42 a | |
| US 40 °C | 5 min | 117.09 ± 14.85 a | 60.19 ± 3.87 a | 21.35 ± 3.84 a |
| 10 min | 122.17 ± 14.64 a | 59.89 ± 5.01 a | 20.87 ± 5.46 a | |
| US 50 °C | 5 min | 132.20 ± 16.32 a | 59.40 ± 4.23 a | 20.00 ± 0.35 a |
| 10 min | 121.27 ± 11.08 a | 57.99 ± 7.40 a | 17.69 ± 6.35 a | |
| US 60 °C | 5 min | 123.14 ± 7.35 a | 60.07 ± 5.96 a | 21.37 ± 3.36 a |
| 10 min | 121.91 ± 10.05 a | 61.10 ± 5.81 a | 23.24 ± 3.37 a | |
| Treatment | Log CFU/mL | |||
|---|---|---|---|---|
| Aerobic Mesophilic Bacteria | Molds and Yeasts | Coliforms at 35 °C | ||
| Untreated | 4.75 ± 0.05 a | 6.54 ± 0.25 a | 3.24 ± 0.66 a | |
| Thermal treatment (90 °C, 30 s) | 4.23 ± 0.32 ab | 5.91 ± 0.18 b | 3.00 ± 0.34 ab | |
| Ultrasound 40 °C | 5 min | 4.60 ± 0.31 ab | 5.83 ± 0.11 b | 2.83 ± 0.34 ab |
| 10 min | 4.67 ± 0.15 ab | 5.79 ± 0.05 b | 2.66 ± 0.30 abc | |
| Ultrasound 50 °C | 5 min | 4.27 ± 0.22 ab | 5.81 ± 0.23 b | 2.56 ± 0.40 bc |
| 10 min | 4.15 ± 0.24 b | 5.41 ± 0.06 bc | 2.09 ± 0.89 c | |
| Ultrasound 60 °C | 5 min | 4.22 ± 0.07 ab | 5.46 ± 0.04 bc | 2.18 ± 0.75 c |
| 10 min | 3.37 ± 0.48 c | 5.16 ± 0.25 c | 1.09 ± 0.00 d | |
| Sample | Aroma | Appearance | Consistency | Flavor | Overall Acceptance | Purchase Intent |
|---|---|---|---|---|---|---|
| Untreated | 7.29 ± 1.68 a | 7.71 ± 1.44 a | 7.68 ± 1.38 a | 7.56 ± 1.62 a | 7.64 ± 1.39 a | 7.35 ± 2.10 a |
| Thermal treatment | 6.34 ± 1.80 b | 7.57 ± 1.49 ab | 7.45 ± 1.52 ab | 6.58 ± 2.03 b | 6.79 ± 1.82 b | 5.94 ± 2.60 b |
| US 60 °C, 5 min | 6.07 ± 2.24 b | 7.62 ± 1.74 ab | 7.41 ± 1.85 ab | 5.85 ± 2.50 b | 6.24 ± 2.28 b | 5.25 ± 2.74 b |
| US 60 °C, 10 min | 4.21 ± 1.87 c | 7.16 ± 1.43 b | 6.97 ± 1.61 b | 4.14 ± 2.34 c | 4.72 ± 1.87 c | 3.54 ± 2.82 c |
Disclaimer/Publisher’s Note: The statements, opinions and data contained in all publications are solely those of the individual author(s) and contributor(s) and not of MDPI and/or the editor(s). MDPI and/or the editor(s) disclaim responsibility for any injury to people or property resulting from any ideas, methods, instructions or products referred to in the content. |
© 2023 by the authors. Licensee MDPI, Basel, Switzerland. This article is an open access article distributed under the terms and conditions of the Creative Commons Attribution (CC BY) license (https://creativecommons.org/licenses/by/4.0/).
Share and Cite
Lepaus, B.M.; Santos, A.K.P.d.O.; Spaviero, A.F.; Daud, P.S.; de São José, J.F.B. Thermosonication of Orange-Carrot Juice Blend: Overall Quality during Refrigerated Storage, and Sensory Acceptance. Molecules 2023, 28, 2196. https://doi.org/10.3390/molecules28052196
Lepaus BM, Santos AKPdO, Spaviero AF, Daud PS, de São José JFB. Thermosonication of Orange-Carrot Juice Blend: Overall Quality during Refrigerated Storage, and Sensory Acceptance. Molecules. 2023; 28(5):2196. https://doi.org/10.3390/molecules28052196
Chicago/Turabian StyleLepaus, Bárbara Morandi, Anna Karoline Pereira de Oliveira Santos, Arthur Favoretti Spaviero, Polliany Strassmann Daud, and Jackline Freitas Brilhante de São José. 2023. "Thermosonication of Orange-Carrot Juice Blend: Overall Quality during Refrigerated Storage, and Sensory Acceptance" Molecules 28, no. 5: 2196. https://doi.org/10.3390/molecules28052196
APA StyleLepaus, B. M., Santos, A. K. P. d. O., Spaviero, A. F., Daud, P. S., & de São José, J. F. B. (2023). Thermosonication of Orange-Carrot Juice Blend: Overall Quality during Refrigerated Storage, and Sensory Acceptance. Molecules, 28(5), 2196. https://doi.org/10.3390/molecules28052196

