A Series of Metal–Organic Frameworks with 2,2′-Bipyridyl Derivatives: Synthesis vs. Structure Relationships, Adsorption, and Magnetic Studies
Abstract
1. Introduction
2. Results and Discussion
2.1. Synthesis and Structural Characterization
2.2. IR spectroscopy, Thermal and Textural Properties
2.3. Gas Adsorption Studies
2.4. Vapor Phase Adsorption of Benzene and Cyclohexane
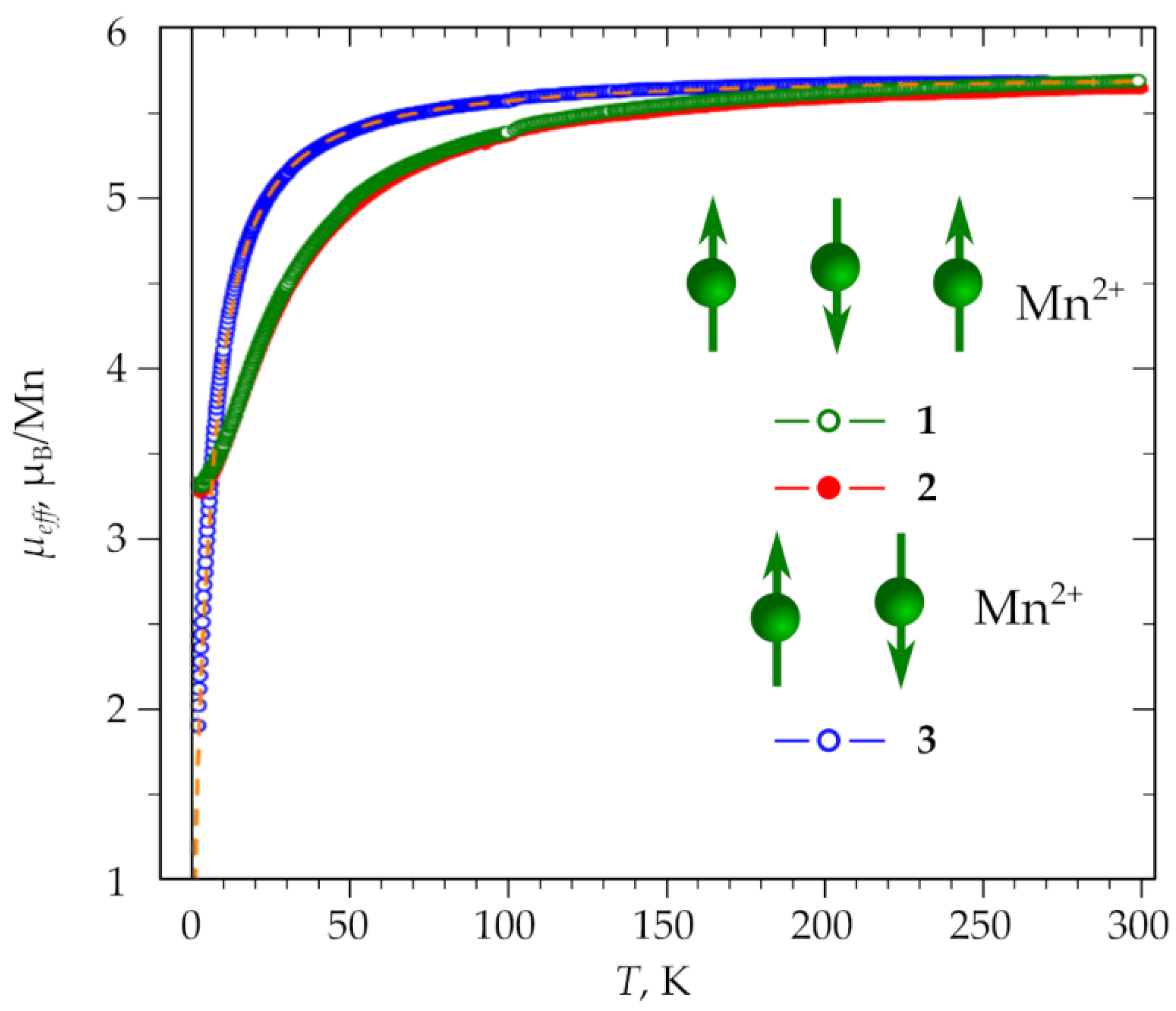
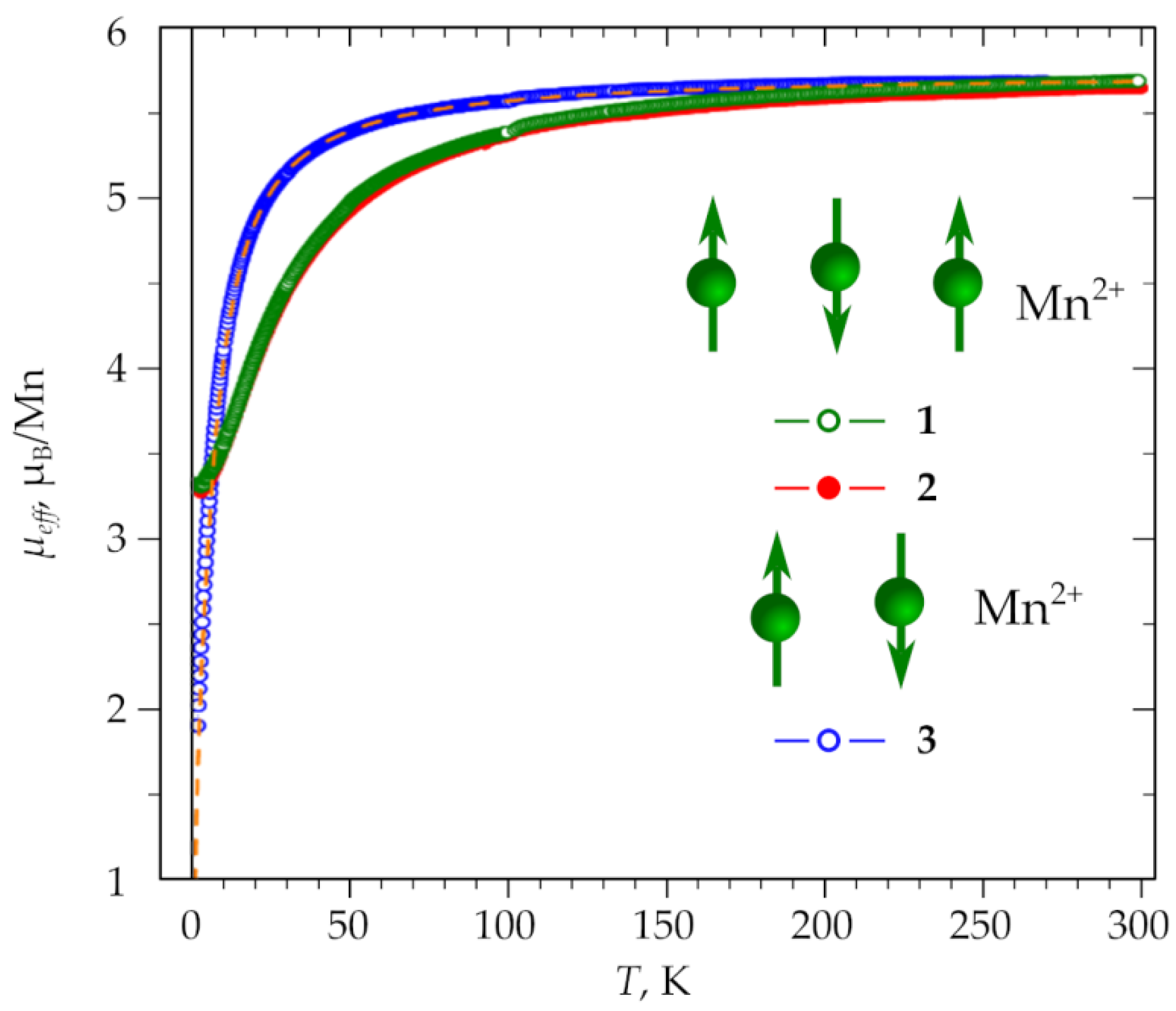
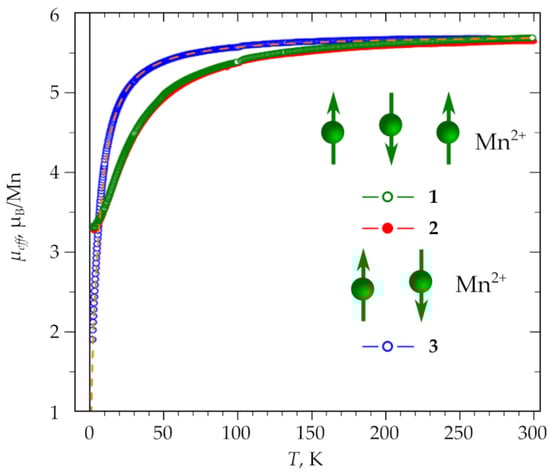
2.5. Magnetic Properties of Compounds 1–3
3. Conclusions
Supplementary Materials
Author Contributions
Funding
Informed Consent Statement
Data Availability Statement
Acknowledgments
Conflicts of Interest
References
- Leong, W.L.; Vittal, J.J. One-dimensional coordination polymers: Complexity and diversity in structures, properties, and applications. Chem. Rev. 2011, 111, 688–764. [Google Scholar] [CrossRef] [PubMed]
- Yaghi, O.M.; O’Keeffe, M.; Ockwig, N.W.; Chae, H.K.; Eddaoudi, M.; Kim, J. Reticular synthesis and the design of new materials. Nature 2003, 423, 705–714. [Google Scholar] [CrossRef] [PubMed]
- Stock, N.; Biswas, S. Synthesis of metal-organic frameworks (MOFs): Routes to various MOF topologies, morphologies, and composites. Chem. Rev. 2012, 112, 933–969. [Google Scholar] [CrossRef] [PubMed]
- Ferey, G. Hybrid porous solids: Past, present, future. Chem. Soc. Rev. 2008, 37, 191–214. [Google Scholar] [CrossRef]
- Agafonov, M.A.; Alexandrov, E.V.; Artyukhova, N.A.; Bekmukhamedov, G.E.; Blatov, V.A.; Butova, V.V.; Gayfulin, Y.M.; Garibyan, A.A.; Gafurov, Z.N.; Gorbunova, Y.G.; et al. Metal-organic frameworks in Russia: From the synthesis and structure to functional properties and materials. J. Struct. Chem. 2022, 63, 671–843. [Google Scholar] [CrossRef]
- Guillerm, V.; Kim, D.; Eubank, J.F.; Luebke, R.; Liu, X.; Adil, K.; Lah, M.S.; Eddaoudi, M. A supermolecular building approach for the design and construction of metal–organic frameworks. Chem. Soc. Rev. 2014, 43, 6141–6172. [Google Scholar] [CrossRef]
- Li, Q.; Qian, J. Multifarious zinc coordination polymers based on biphenyl-3,3’,5,5’-tetracarboxylate and different flexibility of N-donor ligands. RSC Adv. 2014, 4, 32391–32397. [Google Scholar] [CrossRef]
- Tapas, S.B.; Maji, K. Multi-dimensional metal-organic frameworks based on mixed linkers: Interplay between structural flexibility and functionality. Coord. Chem. Rev. 2022, 469, e214645. [Google Scholar]
- Dutta, A.; Pan, Y.; Liu, J.-Q.; Kumar, A. Multicomponent isoreticular metal-organic frameworks: Principles, current status and challenges. Coord. Chem. Rev. 2021, 445, e214074. [Google Scholar] [CrossRef]
- Furukawa, H.; Müller, U.; Yaghi, O.M. “Heterogeneity within order” in metal–organic frameworks. Angew. Chem. Int. Ed. 2015, 54, 2–16. [Google Scholar] [CrossRef]
- Tolstikov, S.; Smirnova, K.; Kolesnikov, A.; Letyagin, G.; Bogomyakov, A.; Romanenko, G.; Ovcharenko, V. Relationship between phase transition temperature and accessible volume for substituent in Cu(hfac)2 chain-polymer complexes with pyridine-based nitroxides. Polyhedron 2023, 230, e116212. [Google Scholar] [CrossRef]
- Portoles-Gil, N.; Gomez-Coca, S.; Vallcorba, O.; Marban, G.; Aliaga-Alcalde, N.; Lopez-Periago, A.; Ayllon, J.A.; Domingo, C. Single molecule magnets of cobalt and zinc homo- and heterometallic coordination polymers prepared by a one-step synthetic procedure. RSC Adv. 2020, 10, 45090–45094. [Google Scholar] [CrossRef]
- Liu, X.; Ma, X.; Cen, P.; An, F.; Wang, Z.; Song, W.; Zhang, Y.-Q. One-dimensional cobalt(II) coordination polymer featuring single-ion-magnet-type field-induced slow magnetic relaxation. New J. Chem. 2018, 42, 9612–9619. [Google Scholar] [CrossRef]
- Sun, L.; Campbell, M.G.; Dincă, M. Electrically conductive porous metal–organic frameworks. Angew. Chem. Intern. Ed. 2016, 55, 3566–3579. [Google Scholar] [CrossRef]
- Liu, H.; Wang, Y.; Qin, Z.; Liu, D.; Xu, H.; Dong, H.; Hu, W. Electrically conductive coordination polymers for electronic and optoelectronic device applications. J. Phys. Chem. Lett. 2021, 12, 1612–1630. [Google Scholar] [CrossRef]
- Kaes, C.; Katz, A.; Hosseini, M.W. Bipyridine: the most widely used ligand. A review of molecules comprising at least two 2,2‘-bipyridine units. Chem. Rev. 2000, 100, 3553–3590. [Google Scholar] [CrossRef]
- Ye, B.-H.; Tong, M.-L.; Chen, X.-M. Metal-organic molecular architectures with 2,2′-bipyridyl-like and carboxylate ligands. Coord. Chem. Rev. 2005, 249, 545–565. [Google Scholar] [CrossRef]
- Kent, C.A.; Liu, D.; Meyer, T.J.; Lin, W. Amplified luminescence quenching of phosphorescent metal–organic frameworks. J. Am. Chem. Soc. 2012, 134, 3991–3994. [Google Scholar] [CrossRef]
- McGee, K.A.; Veltkamp, D.J.; Marquardt, B.J.; Mann, K.R. Porous crystalline ruthenium complexes are oxygen sensors. J. Am. Chem. Soc. 2007, 129, 15092–15093. [Google Scholar] [CrossRef]
- Qian, J.; Jiang, F.; Su, K.; Pan, J.; Zhang, L.; Li, X.; Yuan, D.; Hong, M. Sorption behaviour in a unique 3,12-connected zinc–organic framework with 2.4 nm cages. J. Mater. Chem. A 2013, 1, 10631–10634. [Google Scholar] [CrossRef]
- Sotnik, S.A.; Polunin, R.A.; Kiskin, M.A.; Kirillov, A.M.; Dorofeeva, V.N.; Gavrilenko, K.S.; Eremenko, I.L.; Novotortsev, V.M.; Kolotilov, S.V. Heterometallic coordination polymers assembled from trigonalt Fe2Ni-pivalate blocks and polypyridine spacers: Topological diversity, sorption, and catalytic properties. Inorg. Chem. 2015, 54, 5169–5181. [Google Scholar] [CrossRef] [PubMed]
- Wu, X.; Ding, N.; Zhang, W.; Xue, F.; Hor, T.S.A. Spacer-directed selective assembly of copper square or hexagon and ring-stacks or coordination nanotubes. Inorg. Chem. 2015, 54, 6680–6686. [Google Scholar] [CrossRef]
- Pachfule, P.; Dey, C.; Panda, T.; Banerjee, R. Synthesis and structural comparisons of five new fluorinated metal organic frameworks (F-MOFs). CrystEngComm 2010, 12, 1600–1609. [Google Scholar] [CrossRef]
- Zou, G.-D.; Gong, L.-K.; Liu, L.; Zhang, Q.; Zhao, X.-H. Two low-dimensional transition metal coordination polymers constructed from thiophene-2,5-dicarboxylic acid and N/O-donor ligands: Syntheses, structures and magnetic property. Inorg. Chem. Commun. 2019, 99, 140–144. [Google Scholar] [CrossRef]
- Jaramillo-García, J.; Sánchez-Mendieta, V.; García-Orozco, I.; Morales-Luckie, R.A.; Martínez-Otero, D.; Téllez-López, A.; Rosales-Vázquez, L.D.; Escudero, R.; Morales, F. Muconato-bridged Manganese Coordination Polymer exhibiting rare Distorted-trigonal Prismatic Coordination Arrangement. Z. Anorg. Allg. Chem. 2018, 644, 19–22. [Google Scholar] [CrossRef]
- Shi, J.; Zhang, J.; Liang, T.; Tan, D.; Tan, X.; Wan, Q.; Cheng, X.; Zhang, B.; Han, B.; Liu, L.; et al. Bipyridyl-Containing Cadmium–Organic Frameworks for Efficient Photocatalytic Oxidation of Benzylamine. ACS Appl. Mater. Interfaces 2019, 11, 30953–30958. [Google Scholar] [CrossRef]
- Spek, A.L. PLATON SQUEEZE: A tool for the calculation of the disordered solvent contribution to the calculated structure factors. Acta Crystallogr. 2015, C71, 9–18. [Google Scholar]
- Zhao, J.; Shi, X.; Li, G.; Wang, X.; Li, C.; Yang, Q. Zinc and cadmium coordination polymers assembled with 2,2’-bipyridine and bithiophenedicarboxylic acid: Effect of metal ions on the conformation of ligand. Inorg. Chim. Acta 2012, 383, 185–189. [Google Scholar] [CrossRef]
- Tranchemontagne, D.J.; Mendoza-Cortés, J.L.; O’Keeffe, M.; Yaghi, O.M. Secondary building units, nets and bonding in the chemistry of metal–organic frameworks. Chem. Soc. Rev. 2009, 38, 1257–1283. [Google Scholar] [CrossRef]
- Dubskikh, V.A.; Lysova, A.A.; Samsonenko, D.G.; Dybtsev, D.N.; Fedin, V.P. Topological polymorphism and temperature-driven topotactical transitions of metal-organic coordination polymers. CrystEngComm 2020, 22, 6295–6301. [Google Scholar] [CrossRef]
- Lysova, A.A.; Samsonenko, D.G.; Dybtsev, D.N.; Fedin, V.P. Cadmium(II) terephthalates based on trinuclear units {Cd3(bdc)3}: Control of coordination structure dimensionality and luminescence properties. Russ. Chem. Bull. 2017, 66, 1580–1588. [Google Scholar] [CrossRef]
- Marakulin, A.V.; Lysova, A.A.; Samsonenko, D.G.; Dorovatovskii, P.V.; Lazarenko, V.A.; Dybtsev, D.N.; Fedin, V.P. New one-, two-, and three-dimensional metal-organic frameworks based on magnesium(II): Synthesis and structure. Russ. Chem. Bull. 2020, 69, 360–368. [Google Scholar] [CrossRef]
- Yang, S.-Y.; Yuan, H.-B.; Xu, X.-B.; Huang, R.-B. Influential factors on assembly of first-row transition metal coordination polymers. Inorg. Chim. Acta 2013, 403, 53–62. [Google Scholar] [CrossRef]
- Zhao, J.; Wang, X.-L.; Shi, X.; Yang, Q.-H.; Li, C. Synthesis, structure, and photoluminescent properties of metal−organic coordination polymers assembled with bithiophenedicarboxylic acid. Inorg. Chem. 2011, 50, 3198–3205. [Google Scholar] [CrossRef]
- Thommes, M.; Kaneko, K.; Neimark, A.V.; Olivier, J.P.; Rodriguez-Reinoso, F.; Rouquerol, J.; Sing, K.S. Physisorption of gases, with special reference to the evaluation of surface area and pore size distribution (IUPAC technical report). Pure Appl. Chem. 2015, 87, 1051–1069. [Google Scholar] [CrossRef]
- Yoon, M.; Moon, D. New Zr (IV) based metal-organic framework comprising a sulfur-containing ligand: Enhancement of CO2 and H2 storage capacity. Microporous Mesoporous Mater. 2015, 215, 116–122. [Google Scholar] [CrossRef]
- Dubskikh, V.A.; Kovalenko, K.A.; Nizovtsev, A.S.; Lysova, A.A.; Samsonenko, D.G.; Dybtsev, D.N.; Fedin, V.P. Enhanced adsorption selectivity of carbon dioxide and ethane on porous metal–organic framework functionalized by a sulfur-rich heterocycle. Nanomaterials 2022, 12, e4281. [Google Scholar] [CrossRef]
- Mahajan, S.; Lahtinen, M. Recent progress in metal-organic frameworks (MOFs) for CO2 capture at different pressures. J. Environ. Chem. Eng. 2022, 10, e108930. [Google Scholar] [CrossRef]
- Ursueguía, D.; Díaz, E.; Ordóñez, S. Metal-organic frameworks (MOFs) as methane adsorbents: From storage to diluted coal mining streams concentration. Sci. Total Environ. 2021, 790, e148211. [Google Scholar] [CrossRef]
- Jia, T.; Gu, Y.; Li, F. Progress and potential of metal-organic frameworks (MOFs) for gas storage and separation: A review. J. Environ. Chem. Eng. 2022, 10, e108300. [Google Scholar] [CrossRef]
- Myers, A.L.; Prausnitz, J.M. Thermodynamics of mixed-gas adsorption. AIChE J. 1965, 11, 121–127. [Google Scholar] [CrossRef]
- Karra, J.R.; Walton, K.S. Molecular simulations and experimental studies of CO2, CO, and N2 adsorption in metal-organic frameworks. J. Phys. Chem. C 2010, 114, 15735–15740. [Google Scholar] [CrossRef]
- Rallapalli, P.; Prasanth, K.P.; Patil, D.; Somani, R.S.; Jasra, R.V.; Bajaj, H.C. Sorption studies of CO2, CH4, N2, CO, O2 and Ar on nanoporous aluminum terephthalate [MIL-53(Al)]. J. Porous Mater. 2011, 18, 205–210. [Google Scholar] [CrossRef]
- Mishra, P.; Uppara, H.P.; Mandal, B.; Gumma, S. Adsorption and separation of carbon dioxide using MIL-53(Al) metal-organic framework. Ind. Eng. Chem. Res. 2014, 53, 19747–19753. [Google Scholar] [CrossRef]
- Luo, J.; Wang, J.; Cao, Y.; Yao, S.; Zhang, L.; Huo, Q.; Liu, Y. Assembly of an indium–porphyrin framework JLU-Liu7: A mesoporous metal–organic framework with high gas adsorption and separation of light hydrocarbons. Inorg. Chem. Front. 2017, 4, 139–143. [Google Scholar] [CrossRef]
- Li, L.; Wang, X.; Liang, J.; Huang, Y.-B.; Li, H.-F.; Lin, Z.-L.; Cao, R. A water-stable anionic metal-organic framework for highly selective separation of methane from natural gas and pyrolysis gas. ACS Appl. Mater. Interfaces 2016, 8, 9777–9781. [Google Scholar] [CrossRef]
- Luo, X.; Sun, L.; Zhao, J.; Li, D.-S.; Wang, D.; Li, G.; Huo, Q.; Liu, Y. Three metal-organic frameworks based on binodal inorganic building units and hetero-O, N donor ligand: Solvothermal syntheses, structures, and gas sorption properties. Cryst. Growth Des. 2015, 15, 4901–4907. [Google Scholar] [CrossRef]
- Li, J.; Guo, Y.; Fu, H.-R.; Zhang, J.; Huang, R.-B.; Zheng, L.-S.; Tao, J. A spin-canted NiII4-based metal–organic framework with gas sorption properties and high adsorptive selectivity for light hydrocarbons. Chem. Commun. 2014, 50, 9161–9164. [Google Scholar] [CrossRef]
- Fan, W.; Wang, X.; Xu, B.; Wang, Y.; Liu, D.; Zhang, M.; Shang, Y.; Dai, F.; Zhang, L.; Sun, D. Amino-functionalized MOFs with high physicochemical stability for efficient gas storage/separation, dye adsorption and catalytic performance. J. Mater. Chem. A 2018, 6, 24486–24495. [Google Scholar] [CrossRef]
- Plonka, A.M.; Chen, X.; Wang, H.; Krishna, R.; Dong, X.; Banerjee, D.; Woerner, W.R.; Han, Y.; Li, J.; Parise, J.B. Light hydrocarbon adsorption mechanisms in two calcium-based microporous metal organic frameworks. Chem. Mater. 2016, 28, 1636–1646. [Google Scholar] [CrossRef]
- Wang, D.; Zhang, Y.; Gao, J.; Ge, G.; Li, C. A polyhedron-based heterometallic MOF constructed by HSAB theory and SBB strategy: Synthesis, structure, and adsorption properties. Cryst. Growth Des. 2019, 19, 4571–4578. [Google Scholar] [CrossRef]
- Chen, Q.; Ying, Y.; Wang, L.; Guo, Z.; Zhou, Y.; Wang, D.; Li, C. A heterometallic MOF based on monofunctional linker by “one-pot” solvothermal method for highly selective gas adsorption. Z. Anorg. Allg. Chem. 2020, 646, 437–443. [Google Scholar] [CrossRef]
- Lysova, A.A.; Samsonenko, D.G.; Dorovatovskii, P.V.; Lazarenko, V.A.; Khrustalev, V.N.; Kovalenko, K.A.; Dybtsev, D.N.; Fedin, V.P. Tuning the molecular and cationic affinity in a series of multifunctional metal–organic frameworks based on dodecanuclear Zn(II) carboxylate wheels. J. Am. Chem. Soc. 2019, 141, 17260–17269. [Google Scholar] [CrossRef]
- Macreadie, L.K.; Babarao, R.; Setter, C.J.; Lee, S.J.; Qazvini, O.T.; Seeber, A.J.; Tsanaktsidis, J.; Telfer, S.G.; Batten, S.R.; Hill, M.R. Enhancing multicomponent metal–organic frameworks for low pressure liquid organic hydrogen carrier separations. Angew. Chem. Int. Ed. 2020, 59, 6090–6098. [Google Scholar] [CrossRef]
- Macreadie, L.K.; Qazvini, O.T.; Babarao, R. Reversing benzene/cyclohexane selectivity through varying supramolecular interactions using aliphatic, isoreticular MOFs. ACS Appl. Mater. Interfaces 2021, 13, 30885–30890. [Google Scholar] [CrossRef]
- Griffith, J.S. On the general theory of magnetic susceptibilities of polynuclear transition-metal compounds. In Structure and Bonding; Springer: Berlin/Heidelberg, Germany, 1972; pp. 87–126. [Google Scholar]
- CrysAlisPro Software System, version 1.171.41.98a; Rigaku Oxford Diffraction, Rigaku Corporation: Wrocław, Poland, 2021.
- Svetogorov, R.D.; Dorovatovskii, P.V.; Lazarenko, V.A. Belok/XSA diffraction beamline for studying crystalline samples at Kurchatov Synchrotron Radiation Source. Cryst. Res. Technol. 2020, 55, 1900184. [Google Scholar] [CrossRef]
- Lazarenko, V.A.; Dorovatovskii, P.V.; Zubavichus, Y.V.; Burlov, A.S.; Koshchienko, Y.V.; Vlasenko, V.G.; Khrustalev, V.N. High-throughput small-molecule crystallography at the ‘Belok’ beamline of the Kurchatov synchrotron radiation source: Transition metal complexes with azomethine ligands as a case study. Crystals 2017, 7, 325. [Google Scholar] [CrossRef]
- Kabsch, W. XDS. Acta Crystallogr. Sect. D. 2010, 66, 125–132. [Google Scholar] [CrossRef]
- Sheldrick, G.M. SHELXT – Integrated space-group and crystal-structure determination. Acta Crystallogr. Sect. A 2015, 71, 3–8. [Google Scholar] [CrossRef]
- Sheldrick, G.M. Crystal structure refinement with SHELXL. Acta Crystallogr. Sect. C 2015, 71, 3–8. [Google Scholar] [CrossRef]
- Einkauf, J.D.; Ortega, R.E.; Mathivathanan, L.; de Lill, D.T. Nitroaromatic sensing with a new lanthanide coordination polymer [Er2(C10H4O4S2)3(H2O)6]n assembled by 2,2’-bithiophene-5,5’-dicarboxylate. New J. Chem. 2017, 41, 10929–10934. [Google Scholar] [CrossRef]












| Gas | 273 K | 298 K | ||||
|---|---|---|---|---|---|---|
| cm3·g−1 | mmol·g−1 | wt.% | cm3·g−1 | mmol·g−1 | wt.% | |
| CO2 | 54.9 | 2.45 | 9.7 | 34.0 | 1.52 | 6.3 |
| CO | 7.6 | 0.34 | 0.9 | 4.9 | 0.22 | 0.6 |
| N2 | 5.4 | 0.24 | 0.7 | 3.2 | 0.14 | 0.4 |
| O2 | 5.1 | 0.23 | 0.7 | 3.2 | 0.14 | 0.5 |
| CH4 | 22.2 | 0.99 | 1.6 | 13.3 | 0.59 | 0.9 |
| C2H2 | 67.1 | 2.99 | 7.2 | 56.5 | 2.52 | 6.2 |
| C2H4 | 59.3 | 2.65 | 6.9 | 50.6 | 2.26 | 6.0 |
| C2H6 | 57.5 | 2.56 | 7.2 | 49.5 | 2.21 | 6.2 |
| Gas Mixture | 273 K | 298 K | ||||
|---|---|---|---|---|---|---|
| V1/V2 | KH1/KH2 | IAST a | V1/V2 | KH1/KH2 | IAST a | |
| CO2/N2 | 10.2 | 23.8 | 31.0 | 10.6 | 16.2 | 19.1 |
| CO2/CO | 7.2 | 8.1 | 25.7 | 6.9 | 5.0 | 17.0 |
| CO2/CH4 | 2.5 | 4.2 | 4.8 | 2.6 | 3.4 | 3.6 |
| C2H6/CH4 | 2.6 | 44.9 | 33.4 37.7 b | 3.7 | 29.5 | 24.6 27.2 b |
| C2H4/CH4 | 2.7 | 24.6 | 24.8 | 3.8 | 17.8 | 17.7 |
| C2H2/CH4 | 3.0 | 21.1 | 29.3 | 4.2 | 15.4 | 19.1 |
Disclaimer/Publisher’s Note: The statements, opinions and data contained in all publications are solely those of the individual author(s) and contributor(s) and not of MDPI and/or the editor(s). MDPI and/or the editor(s) disclaim responsibility for any injury to people or property resulting from any ideas, methods, instructions or products referred to in the content. |
© 2023 by the authors. Licensee MDPI, Basel, Switzerland. This article is an open access article distributed under the terms and conditions of the Creative Commons Attribution (CC BY) license (https://creativecommons.org/licenses/by/4.0/).
Share and Cite
Dubskikh, V.A.; Kolosov, A.A.; Lysova, A.A.; Samsonenko, D.G.; Lavrov, A.N.; Kovalenko, K.A.; Dybtsev, D.N.; Fedin, V.P. A Series of Metal–Organic Frameworks with 2,2′-Bipyridyl Derivatives: Synthesis vs. Structure Relationships, Adsorption, and Magnetic Studies. Molecules 2023, 28, 2139. https://doi.org/10.3390/molecules28052139
Dubskikh VA, Kolosov AA, Lysova AA, Samsonenko DG, Lavrov AN, Kovalenko KA, Dybtsev DN, Fedin VP. A Series of Metal–Organic Frameworks with 2,2′-Bipyridyl Derivatives: Synthesis vs. Structure Relationships, Adsorption, and Magnetic Studies. Molecules. 2023; 28(5):2139. https://doi.org/10.3390/molecules28052139
Chicago/Turabian StyleDubskikh, Vadim A., Aleksei A. Kolosov, Anna A. Lysova, Denis G. Samsonenko, Alexander N. Lavrov, Konstantin A. Kovalenko, Danil N. Dybtsev, and Vladimir P. Fedin. 2023. "A Series of Metal–Organic Frameworks with 2,2′-Bipyridyl Derivatives: Synthesis vs. Structure Relationships, Adsorption, and Magnetic Studies" Molecules 28, no. 5: 2139. https://doi.org/10.3390/molecules28052139
APA StyleDubskikh, V. A., Kolosov, A. A., Lysova, A. A., Samsonenko, D. G., Lavrov, A. N., Kovalenko, K. A., Dybtsev, D. N., & Fedin, V. P. (2023). A Series of Metal–Organic Frameworks with 2,2′-Bipyridyl Derivatives: Synthesis vs. Structure Relationships, Adsorption, and Magnetic Studies. Molecules, 28(5), 2139. https://doi.org/10.3390/molecules28052139

