Abstract
In the current research, the binary solution containing ionic liquid (IL), 1-ethyl-1-methylmorpholinium dimethyl phosphate ([C1C2MOR][DMP]), 1-ethyl-1-methylpiperidinium dimethyl phosphate ([C1C2PIP][DMP]), or N,N,N-triethyl-N-methylammonium dimethyl phosphate ([N1,2,2,2][DMP]) with ethanol are investigated as new working fluids for absorption refrigeration technology. The IL was mixed with ethanol, which was considered as a refrigerant. Experimental (vapor + liquid) phase equilibria (VLE) of these binary systems were measured by an ebulliometric method within a temperature range from T = (328.15 to 348.15) K with an increment of 10 K and pressures up to 90 kPa. Experimental VLE data were correlated using non-random two-liquid (NRTL) within the maximum average relative deviation of 0.45%, which confirms the effectiveness of using such a model for calculations. Each of the proposed binary systems exhibit a negative deviation from Raoult’s law, which is a very important characteristic for working pairs used in absorption heat pumps or absorption refrigerators. From a technological point of view, measurements of physicochemical properties play an important role. In this research, liquid density and dynamic viscosity were determined at temperatures from T = (293.15 to 338.15) K at ambient pressure over the whole concentration range. These properties were correlated using empirical equations. From experimental density data, the excess molar volumes were determined and correlated using the Redlich–Kister type equation. Ionic liquid: [C1C2MOR][DMP] and [C1C2PIP][DMP] were synthesized and characterized using NMR analysis. The thermophysical characterization of pure ILs, including glass transition temperature (Tg) and heat capacity at the glass transition temperature (ΔgCp), was determined using the differential scanning calorimetry technique (DSC) at atmospheric pressure. In this work, the combination of basic studies on the effect of the cation structure of an ionic liquid on the properties of their solutions with ethanol and the possibility of future application of the tested systems in a viable refrigeration system are presented.
1. Introduction
With the need to conserve energy resources and protect the environment, the interest in absorption refrigeration equipment as an alternative to compressor units has grown significantly in recent years.
Absorption chillers are devices that make extensive use of thermal energy to produce cooling. These devices, using the so-called thermal compressor (absorber, pump, desorber system) for the process of compressing refrigerant vapors, are an ideal economic solution for unearned surplus technological or waste heat. They also work well where there is a shortage of electricity. Unlike compressor chillers, the generation of cooling in absorption devices does not require the supply of expensive electricity because the energy supply of the absorption device is heat in the form of hot water or steam (so-called waste heat). An additional advantage of absorption devices is the use of an environmentally friendly refrigerant that does not destroy the ozone layer (water). This type of equipment is most often used in industry, especially in the energy-heating sector, because large amounts of waste and inexpensive thermal energy are available in this sector.
The characteristic feature that distinguishes absorption equipment from classical compressor equipment is the existence of the following two internal circuits: the thermal compressor circuit, where the working medium is a solution of absorbent (liquid absorbing substance) and absorbate (gaseous absorbed substance, which is also a refrigerant), and the actual refrigeration circuit, where the working medium is the absorbent itself. One of the most important factors determining the effectiveness of absorption chillers is the properties of the working fluids. In absorption refrigeration, a volatile substance acts as the refrigerant (absorbent), while the absorbent is a less volatile compound that has a strong affinity for the refrigerant. Working fluids should meet the following requirements: (1) the difference in boiling point between the pure refrigerant and the mixture at the same pressure condition should be as large as possible; (2) refrigerant should exhibit high heat of vaporization and high concentration within the absorbent to maintain a low circulation rate between the generator and the absorber per unit cooling capacity; (3) transport properties that influence heat and mass transfer, such as density, viscosity, thermal conductivity, and diffusion coefficient, should be favorable; (4) both refrigerant and absorbent should be non-corrosive, environmentally friendly, and low cost [1].
At present, the most used in refrigeration technology are the following two types of absorption chillers: bromolite (LiBr + H2O) and ammonia (H2O + NH3) [2]. In bromolite chillers, the working medium is water, so their use is limited to producing a refrigerant of about 5 °C. They find their use in air-conditioning systems mainly because of their lower investment than ammonia systems. Ammonia chillers, on the other hand, are mainly used in industrial systems, where temperatures of the produced refrigerant below 0 °C are required. When using ammonia chillers deep freezing to temperatures as low as −60 °C is possible.
The choice of the cooling system is determined by the final economic effect. The use of compressor cooling systems is cheaper than absorption systems. However, the use of absorption chillers can have more favorable operating effects. It is estimated that their primary energy-saving potential is between 30% and 60%. Unfortunately, these results are not often achieved by systems already in operation. Although compressor chillers have a higher cooling capacity (coefficient of performance, COP = 2–5, while for absorption chillers COP = 0.6–1.2), they consume more electricity, which gives an advantage to absorption units. An additional advantage of absorption chillers is the longer service life of absorption units compared to refrigeration units due to the presence of a small number of moving parts in the unit, which also makes servicing much easier.
However, the many advantages of absorption refrigeration do not mean that it is a technology without drawbacks. The corrosive properties, explosiveness, crystallization, and toxicity [3,4,5] of the systems used to date (absorbent + coolant) make it necessary to search for alternative solutions. The search for new, more favorable working pairs has gained importance and is of interest to many research laboratories. In the world literature, several systems are proposed for use in the subject under consideration [6,7,8,9,10,11].
Ionic liquids are a very interesting class of compounds that exhibit unique properties, i.e., extremely low volatility, high heat capacity, non-flammability, high thermal and chemical stability, and total or partial solubility in water and organic solvents [12]. The undoubted advantage of ionic liquid chemistry is the ability to control and refine their properties through the appropriate selection of the cation and anion structure. This allows the design of new target-oriented media. Their low volatility argues for their use as alternative solvents in many chemical industries, including but not limited to chemical synthesis, in the field of extraction and separation, as electrolytes in batteries, lubricants, bactericidal and fungicidal compounds, drug carriers, wood preservatives, or in industrial-scale separation techniques [13,14,15,16].
Many ILs systems as the working fluids in absorption refrigeration are given in the literature [17,18,19,20,21,22,23,24,25,26,27,28,29,30,31,32,33,34]. In this work, we propose three ethanolic solutions of the dimethyl phosphate-based iLs with the following cation: 1-ethyl-1-methylmorpholinium, [C1C2MOR]+, 1-ethyl-1-methylpiperidinium, [C1C2PIP]+, and N,N,N-trimethyl-N-ethylammonium, [N1,2,2,2]+ for future use in this area. The use of ethanol instead of water as a refrigerant will further expand the possibility of using such systems in the temperature range below 273 K. To determine the potential application of iLs and their systems as a working fluid in absorption refrigeration technology it is necessary to outline and describe their basic thermodynamic and physicochemical properties. The characteristics of the systems should include, in particular, measurements of (vapor + liquid) phase equilibria, enthalpy of mixing, heat capacity, and transport properties. Up to now, there are only a few publications concerning the properties of pure dimethyl phosphate-based IL or their binary solution with ethanol. The published work on the VLE data concerns the ethanolic solution of the 1,3-dimethylimidazolium dimethyl phosphate, [C1C1IM][DMP] [35,36,37], 1-ethyl-3-methylimidazolium dimethyl phosphate, [C1C2IM][DMP] [38,39], triethylmethylammonium dimethyl phosphate [N1,2,2,2][DMP] [40], 1-ethyl-1-methylpyrrolidinium dimethyl phosphate, [C1C2PYR][DMP] [31] and 1-hydroxy-ethyl-1-methylpyrrolidinium dimethyl phosphate, [C1C2OHPYR][DMP] [31]. Very few publications deal with measurements of enthalpy of mixing in ionic liquid systems with ethanol; data are available for the following ionic liquids: 1,3-dimethylimizadolium dimethyl phosphate, [C1C1IM][DMP] [35], 1-ethyl-3-methylimidazolium dimethyl phosphate, [C1C2IM][DMP] [38], and 1-ethyl-1-methylpiperidinium dimethyl phosphate, [C1C2PIP][DMP] [41] 1-ethyl-1-methylpyrrolidinium dimethyl phosphate, [C1C2PYR][DMP] [41], N,N,N-triethyl-N-methylammonium dimethyl phosphate, [N1,2,2,2][DMP] [41], and 1-hydroxyethyl-1-methyl-pyrrolidinium dimethyl phosphate, [C1C2OHPYR][DMP] [41]. More literature data concern the measurements of density and viscosity of pure iLs with DMP anion [42,43,44,45,46,47,48,49,50,51,52,53,54] but only in a few of them, there are data on the density or viscosity of an ethanolic solution of iLs [35,38,50,54]. To the best of our knowledge, among the ionic liquids analyzed in this work, there is no literature data for comparison. Therefore, the data presented here and its comparison for other dimethyl phosphate-based IL with the available literature data can be a valuable complement to the state of the art in the area undertaken.
2. Results
2.1. DSC Measurements
The thermophysical properties of pure iLs were determined at a temperature range from T = (173.15 to 373.15) K with a 5 K·min−1 heating rate. The experimental data are collected in Table 1 and graphically presented in Figure 1. The list of available thermophysical data of the family of dimethyl phosphate-based iLs is presented in Table 1. The data shows that glass transition temperature was determined for all ion liquids, and the value of Tg increases in the following series: [C1C2PYR][DMP] (Tg = 189.7 K; ΔgCp = 119.6 J·mol−1·K−1) < [N1,2,2,2][DMP] (Tg = 194.4 K; ΔgCp = 154.4 J·mol−1·K−1) < [C1C2OHPYR][DMP] (Tg = 194.9 K; ΔgCp = 148.1 J·mol−1·K−1) < [C1C2PIP][DMP] (Tg = 211.0 K; ΔgCp = 103.9 J·mol−1·K−1) < [C1C2MOR][DMP] (Tg = 222.2 K; ΔgCp = 132.7 J·mol−1·K−1). The melting temperature was determined for two of the presented iLs. Among dimethyl phosphate-based iLs, the lowest melting point equal to Tm = 285.2 K (ΔmH = 0.73 kJ·mol−1) was determined for [C1C2PYR][DMP]. Ionic liquids: [C1C2PIP][DMP] and [N1,2,2,2][DMP] exhibit a similar melting point of about 295 K, whereas, in the case of ammonium-based IL, melting enthalpy is almost seven times higher than for [C1C2PIP][DMP]. Additionally, a (solid-solid) phase transition temperature of 275.5 K was determined only for [C1C2PYR][DMP]. According to our best knowledge, the thermophysical properties of pure IL with dimethyl phosphate anion tested in this research have not been reported in the literature; thus, in Table 1, there are no comparisons between the experimental and literature data. The list of available thermophysical data of the family of dimethyl phosphate-based iLs is presented in Table 1.
Table 1.
DSC Analysis for the dimethyl-phosphate-based iLs: glass transition temperature, Tg/K, heat capacity at the glass transition temperature, ΔgCp/J·mol−1·K−1, temperature of (solid–solid) phase transition, Ttr,1/K, enthalpy of (solid–solid) phase transition, Δtr,1H/J·mol−1, melting temperature, Tm/K and enthalpy of melting, ΔmH/J·mol−1 measured using the DSC technique at atmospheric pressure (p = 0.1 mPa) a.
Figure 1.
DSC diagrams (in heating mode) of pure iLs.
2.2. (Vapor-Liquid) Phase Equilibria Measurements
The VLE data of the ethanolic solution of iLs: [C1C2MOR][DMP], [C1C2PIP][DMP], and [N1,2,2,2][DMP] have been determined using ebulliometric method at a temperature from T = (328.15 to 348.15) K with an increment of 10 K and pressures up to 90 kPa for different ionic liquid mole fraction. The isothermal experimental P-T-x data for the tested binary systems are listed in Table 2, Table 3 and Table 4.
Table 2.
Experimental P–T–x data for the {[C1C2MOR][DMP] (1) + Ethanol (2)} binary system: equilibrium temperature, T/K; equilibrium pressure, P/kPa, ionic liquid mole fraction, x1; activity coefficient of ethanol, γ2 a.
Table 3.
Experimental P–T–x data for the {[C1C2PIP][DMP] (1) + Ethanol (2)} binary system: equilibrium temperature, T/K; equilibrium pressure, P/kPa, ionic liquid mole fraction, x1; activity coefficient of ethanol, γ2 a.
Table 4.
Experimental P–T–x data for the {[N1,2,2,2][DMP] (1) + Ethanol (2)} binary system: equilibrium temperature, T/K; equilibrium pressure, P/kPa, ionic liquid mole fraction, x1; activity coefficient of ethanol, γ2 a.
As an example, the experimental VLE data together with the NRTL correlations for {[C1C2MOR][DMP] (1) + ethanol (2)} system is presented in Figure 2. These results for the other two systems are shown in Figures S1 and S2 in Supplementary Materials (SM).
Figure 2.
Plot of the experimental and calculated P–x data for {[C1C2MOR][DMP] (1) + Ethanol (2)} vs. ionic liquid mole fraction, x1, at different temperatures, T: ♦, 328.15 K; ●, 338.15 K; ▲, 348.15 K. Full points-experimental data; solid lines-NRTL equation with parameters given in Table 5; dashed lines-ideal solution.
The vapor-liquid phase equilibria (VLE) in the ethanolic solution of the tested IL are written by the following equation:
where P is the pressure of the system; for component i: represents the saturated vapor pressure; and are the liquid and vapor molar fractions; is the fugacity coefficient in the gas phase; is the activity coefficient in the liquid phase. Due to the low volatility of ionic liquids, the gas phase is assumed to consist only of solvent (ethanol) for IL systems. Herein, is approximately equal to 1 and is also approximately equal to 1 because of the relatively low pressure. Thus, Equation (1) can be further reduced to the following:
Experimental data for each tested system shows a typical relationship that is a decrease in the vapor pressure of the ethanolic solution with an increase in the ionic liquid mole fraction. This has to do with the extremely low vapor pressure of a pure ionic liquid. Additionally, as the temperature increases, the vapor pressure in the studied systems increases.
According to Equation (2), the experimental activity coefficient of ethanol () in an IL-containing binary liquid mixture was calculated directly from the VLE data and is also presented in Table 2, Table 3 and Table 4. In each case, the determined values of the ethanol activity coefficient were below unity, indicating that the tested systems show negative deviations from the ideal behavior. This is due to the occurrence of stronger intermolecular interactions between IL and ethanol compared to (ethanol–ethanol) or (IL–IL) interactions. The negative deviation from Raoult’s law is larger for higher IL mole fractions. It is worth mentioning that preferentially, IL used as an absorbent in absorption refrigeration technology should exhibit a powerful ability to absorb refrigerant (ethanol). Therefore, good working pairs are those presenting a highly negative deviation from Raoult’s law. In this work, for each system presented here, the activity coefficients of ethanol (γ2) are lower than unity; thus, each system presents a negative deviation from the ideal solution, which makes the working fluids proposed in this work potentially promising for applications in the area of interest undertaken.
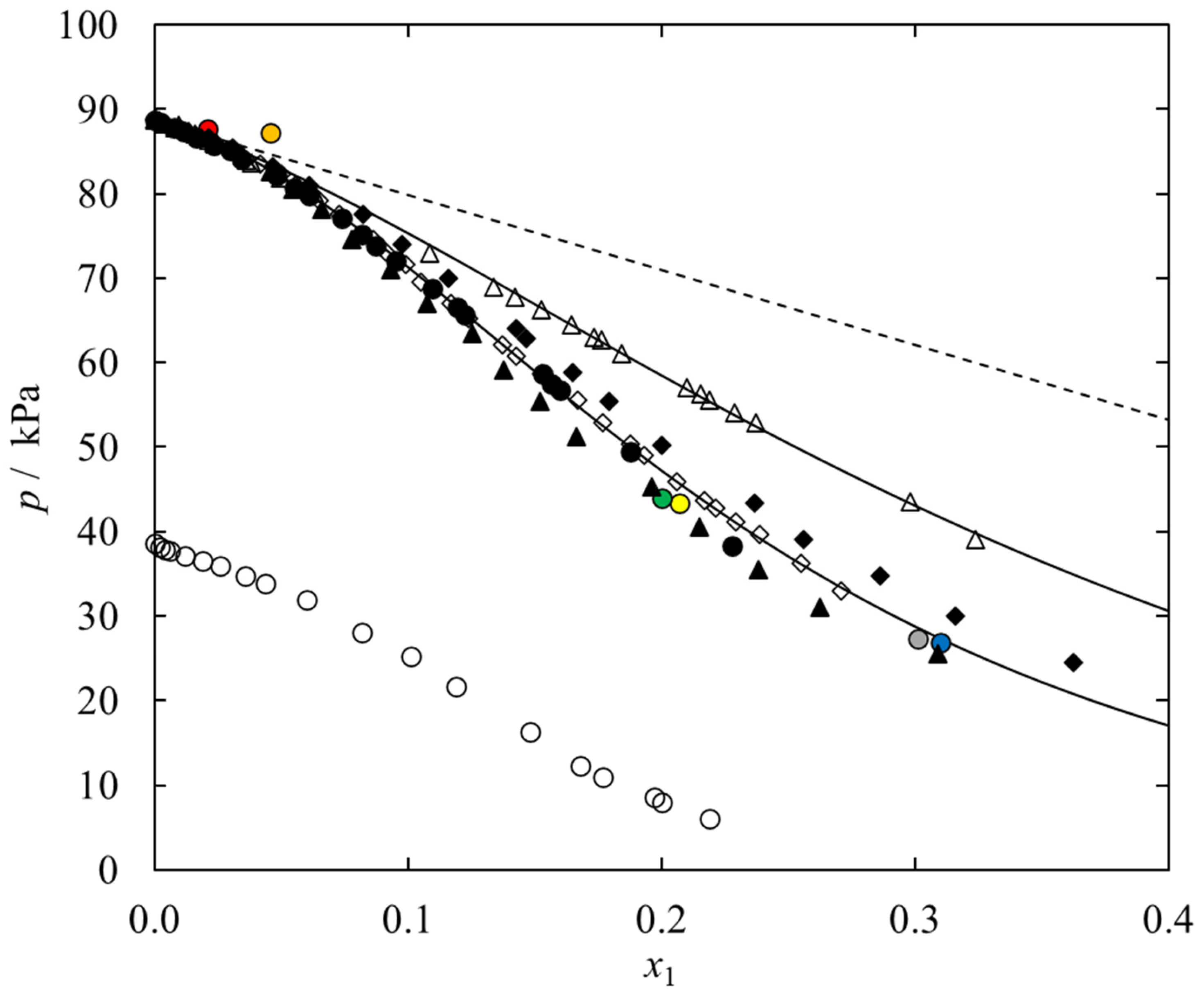
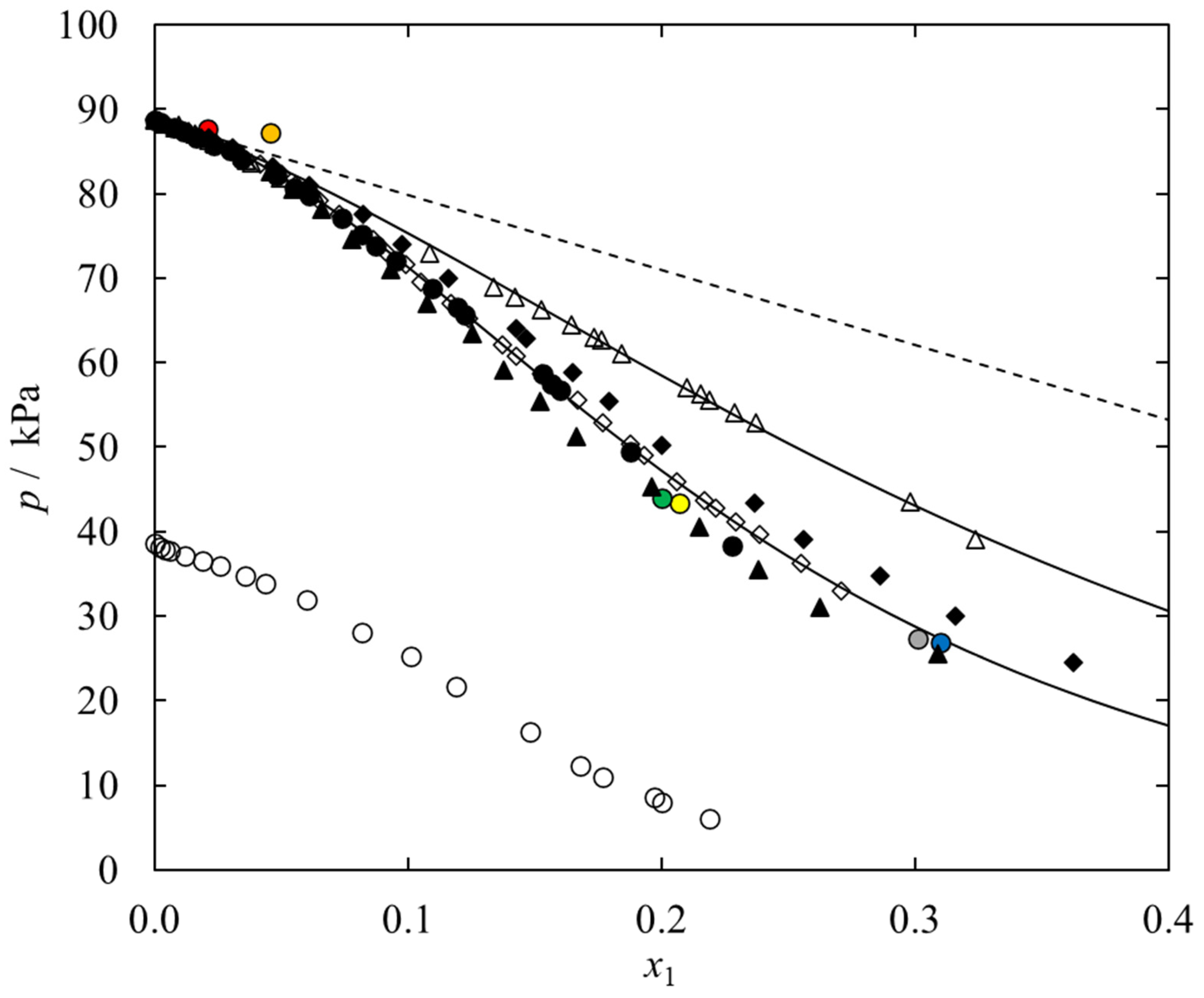
A comparison of the VLE phase diagrams of {IL (1) + ethanol (2)} system under study at a temperature of 348.15 K within a pressure range up to 90 kPa and the vapor pressure of the ideal solution is shown in Figure 3. Such a comparison makes it possible to determine the effect of the structure of the cation of the ionic liquid on the vapor pressure, consequently, on the value and type of deviation of {IL + ethanol} systems from ideality. It was shown that among ethanolic systems investigated here, the vapor pressure increases in the following series: [N1,2,2,2][DMP] < [C1C2PIP][DMP] < [C1C2MOR][DMP]. Among ionic liquids presented, the highest negative deviation from Raoult’s law, so the strongest interactions with ethanol shows [N1,2,2,2][DMP] and the weakest in {[C1C2MOR][DMP] (1) + ethanol (2)}. It is likely that in the case of an ammonium-based ionic liquid, intermolecular interactions between the ILs anion and ethanol play a key role. In addition, the short alkyl chains present in the cation of the ionic liquid promote stronger packing of alcohol molecules in the ionic liquid and the occurrence of van der Waals interactions. The weaker intermolecular interactions present in the case of an ionic liquid with a piperidinium cation are probably a consequence of its ring structure. It affects the formation of steric hindrance and weakens the interaction between IL and ethanol. In the case of the ionic liquid [C1C2MOR][DMP], the system shows the highest vapor pressure, therefore, the lowest deviation from ideality. It is speculated that the presence of an oxygen atom in the cation of the ionic liquid affects the occurrence of stronger interactions between ionic liquid molecules (IL–IL) than between the ionic liquid and the solvent (IL–ethanol).
Figure 3.
Comparison of the VLE data for the systems {[Cation][DMP] (1) + Ethanol (2)} vs. ionic liquid mole fraction, x1, at temperature T = 348.15 K; ♦, [C1C2MOR][DMP] (this work); ●, [C1C2PIP][DMP] (this work); ▲, [N1,2,2,2][DMP] (this work); ◊, [C1C2PYR][DMP] [31]; Δ, [C1C2OHPYR][DMP] [31]; ●, [C1C1IM][DMP] (T = 349.4 K) [35]; ●, [C1C1IM][DMP] (T = 347.75 K) [35]; ●, [C1C2IM][DMP] (T = 348 K) [38]; ●, [C1C2IM][DMP] (T = 347.45 K) [38]; ●, [N1,2,2,2][DMP] (T = 348.5 K) [40]; ●, [N1,2,2,2][DMP] (T = 349.29 K) [40]; ○, {LiBr (1) + Water (2)} [55]. Solid lines-NRTL equation with parameters given in Table 5; dashed lines-ideal solution.
A broader comparison of the effect of the ILs cation structure for the family of the dimethyl phosphate IL, taking into account the effect of the core structure and the presence of a hydroxyl group in the substituent on the vapor pressure of the {IL + ethanol} system is also shown in Figure 3. It was shown that for the presented family of the DMP-based IL, the vapor pressure increases in the following series: [N1,2,2,2][DMP]~[C1C1IM][DMP]~[C1C2IM][DMP] < [C1C2PYR][DMP]~[C1C2PIP][DMP] < [C1C2MOR][DMP] < [C1C2OHPYR][DMP]. The highest negative deviation from Raoult’s law, thus, the strongest (IL-ethanol) interaction was determined in the case of IL with ammonium cation. A similar effect was observed for 1,3-dimethylimidazolium- and 1-ethyl-3-methylimidazolium cations. It was noted that the extension of the alkyl chain by one CH2 group in the imidazolium cation of IL has no significant effect on the vapor pressure in the studied system. This observation also holds true when increasing the core size of the cation from pyrrolidinium to piperidinium. Moreover, the vapor pressure in the system with [C1C2OHPYR][DMP] is significantly higher compared to the aliphatic analog, [C1C2PYR][DMP]. It is speculated that the presence of a hydroxyl group in an ILs cation creates a greater possibility for a molecule to form hydrogen bonds between the molecules of the ionic liquid, thereby weakening the (IL-ethanol) interaction. Similarly, in the case of an ionic liquid with a morpholinium cation, the presence of an oxygen atom in the structure of the IL cation probably promotes the occurrence of stronger interactions (IL-IL) compared to (IL-ethanol) intermolecular interactions.
In our latest paper [31], it was shown that {[N1,2,2,2][DMP] (1) + ethanol (2)} exhibit the highest vapor pressure among dimethyl phosphate-based IL. It was stated at the time that the ammonium cation substituted with alkyl groups is more aliphatic compared to the imidazolium cation, which prevents the formation of intermolecular hydrogen bonds with ethanol molecules. The small number of literature points under the considered temperature conditions (T = 348.15 K) prompted the authors of this work to conduct a more extensive study of VLE in this system. The experimental data compared with available literature data, is shown in Figure 3. The obtained results differ slightly from the literature data presented by Shen et. al. [40]. The reason for the reduction in vapor pressure in the {[N1,2,2,2][DMP] + ethanol} system presented in this work is the water content of the pure ionic liquid. In the present work, the ionic liquid was synthesized in the laboratory, and the claimed water content is 8000 ppm, while Shen. et al. [40] declare the water content to be 664 ppm. From the literature studies [40] on VLE measurements in {water (1) + ethanol (2) + IL (3)} ternary systems, it is clear that an increase in water content results in a decrease in vapor pressure in the system.
Since the goal of the ongoing research is to search for working fluids alternative to the aqueous solution of lithium bromide, in addition to the vapor pressure data of {IL + ethanol} systems, Figure 3 also shows VLE data for {LiBr + water} system [55]. Although the tested iLs show a high ability to absorb ethanol, the vapor pressure under the same temperature conditions is higher than that of the commercially used system in refrigeration. It is worth considering the possibility of future use of ionic liquids as absorbents in cooling devices since they are designed compounds and exhibit several unique properties, and the commercially used systems are not without drawbacks. Apart from a few literature data for the ethanolic solution of ammonium-based IL, we have not found the literature data on (vapor + liquid) phase equilibria measurements for the systems analyzed in this work.
The NRTL equation for the excess Gibbs energy for the binary system is the following:
where:
where and are the binary interactions parameters. For isothermal data sets, temperature dependence of the parameters is represented as follows:
For a complete T-P-x-y data set, a total of the following five parameters that is: are determined. From a developmental point of view, activity coefficients, derived from excess Gibbs energies but in practice and in this work, the process is reversed and is tested from knowledge of activity coefficient.
The NRTL parameters were calculated by minimalized function given by the following:
The adjustable parameters of the following equation: along with the average absolute deviation (AAD) given by the following equation:
are listed in Table 5.
Table 5.
NRTL parameters fitted to experimental VLE data of {IL (1) + Ethanol (2)} with the average absolute deviation (AAD) and for the systems studied.
2.3. Density and Dynamic Viscosity Data
The liquid density and dynamic viscosity data of pure iLs: [C1C2MOR][DMP], or [C1C2PIP][DMP], or [N1,2,2,2][DMP] and its ethanolic solution were investigated in a whole concentration range at a temperature within (293.15 and 338.15) K with an increment of 5 K. The experiment was performed under ambient pressure, and the experimental data are collected in Table 6, Table 7 and Table 8.
Table 6.
Experimental values of density, ρ/g∙cm−3, excess molar volume, VE/cm3·mol−1, and dynamic viscosity, η/mPa·s for {[C1C2MOR][DMP] (1) + Ethanol (2)} binary mixture as a function of temperature, T/K and IL mole fraction, x1 at atmospheric pressure (p = 0.1 mPa) a.
Table 7.
Experimental values of density, ρ/g∙cm−3, excess molar volume, VE/cm3·mol−1, and dynamic viscosity, η/mPa·s for {[C1C2PIP][DMP] (1) + Ethanol (2)} binary mixture as a function of temperature, T/K and IL mole fraction, x1 at atmospheric pressure (p = 0.1 mPa) a.
Table 8.
Experimental values of density, ρ/g∙cm−3, excess molar volume, VE/cm3·mol−1, and dynamic viscosity, η/mPa·s for {[N1,2,2,2][DMP] (1) + Ethanol (2)} binary mixture as a function of temperature, T/K and IL mole fraction, x1 at atmospheric pressure (p = 0.1 mPa) a.
Temperature dependence of the liquid density for each system under study was described using the following equation:
The root mean square error (RMSE) is expressed by
Table 9.
The parameters of Equations (10) and (11) for correlation temperature dependence of the density of {IL (1) + Ethanol (2)} binary systems a.
The maximum RMSE value between the experimental density data and calculated values was determined to be 0.0003 for each binary system under study, which indicates excellent compatibility between these data. Experimental liquid density data versus temperature and composition for {[C1C2MOR][DMP] (1) + ethanol (2)} is presented in Figure 4 as an example. The solid lines presented in Figure 4a correspond to the results of calculations using Equation (10). The results for the other two systems are shown graphically in Figures S3 and S4 in Supplementary Materials.
Figure 4.
Temperature and composition dependence of liquid density data for {[C1C2MOR][DMP] (1) + Ethanol (2)} system as a function of (a) temperature for different composition, x1: ♦, 1.0000; ♦, 0.9012; ◊, 0.7990; ■, 0.6997; ■, 0.5994; □, 0.5012; ▲, 0.4012; ▲, 0.2991; Δ, 0.2005; ●, 0.1605; ●, 0.1200; ○, 0.1001; x, 0.0799; *, 0.0401; +, 0.0197; –, 0.0000. Points-experimental data; solid lines-correlation using Equation (10) with parameters given in Table 9. (b) Composition at different temperatures, T: ♦, 293.15 K; ♦, 313.15 K; ◊, 333.15 K. Points-experimental data; solid lines-correlation using Equation (12) with parameters given in Table 10.
The composition dependence of the liquid density for each system under study was described using a fourth-degree polynomial with the linear temperature dependence of the parameters of the polynomial.
The root mean square error (RMSE) is expressed by the following:
The parameters of the polynomial described by Equation (12), together with the standard deviation, are collected in Table 10. The maximum σ value between the experimental and calculated density data was determined to be 0.03% for each binary system under study, which indicates excellent compatibility between these data. Experimental liquid density data versus composition for {[C1C2MOR][DMP] (1) + ethanol (2)} is presented in Figure 4b as an example. The solid lines presented in Figure 4b correspond to the results of calculations using Equations (12) and (13). The results for the other two systems are shown graphically in Figures S3 and S4 in Supplementary Materials.
Table 10.
The parameters of Equations (12) and (13) for correlation composition dependence of the density of {IL (1) + Ethanol (2)} binary systems a.
Experimental density and viscosity data show that both pure iLs and their ethanolic solutions exhibit higher liquid density than ethanol, and, as expected, density and viscosity decrease with increasing temperature. This behavior is related to thermal expansion; the fluid density decreases and the intermolecular interactions become weaker due to the increase in the mutual distances between the molecules, and, therefore, the viscosity also decreases. Additionally, the addition of ethanol leads to a decrease in both mixture density and viscosity at each temperature.
Density and viscosity are fundamental physical properties of the solvent and tested medium and are extremely important in the design and optimization of any application, including absorption refrigeration technology, since they may be correlated with the medium fluidity and mass transfer. For this reason, both experimental studies and a discussion of values based on available literature data are warranted. We found no literature data for binary solution composed of ethanol and dimethyl phosphate-based iLs as well as the density of pure ionic liquids under study. Based on experimental and literature data for other dimethyl phosphate-based iLs, it was possible to discuss the effect of the cation structure on the liquid density of the ethanolic solution. The comparison of the experimental liquid density data for {[cation][DMP] (1) + ethanol (2)} system with the literature for other dimethyl phosphate-based ILs solutions at temperature T = 298.15 K is presented in Figure 5.
Figure 5.
Experimental and calculated liquid density data of {Dimethyl Phosphate-Based IL (1) + Ethanol (2)} system vs. ionic liquid mole fraction, x1, at T = 298.15 K: ♦, [C1C2MOR][DMP] (this work); ○, [C1C2PIP][DMP] (this work); ▲, [N1,2,2,2][DMP] (this work); ●, [C1C1IM][DMP] [54]; ●, [C1C1IM][DMP] [35]; ●, [C1C2IM][DMP] [54]; ●, [C1C4IM][DMP] [49]; ●, [C1C2PYR][DMP] [41]; ◊, [C1C2OHPYR][DMP] [41]. Points-experimental, or literature density data; solid lines-calculated using Equation (12) with parameters given in Table 10; dashed lines-literature density data for {LiBr (1) + Water (2)} system [55].
The comparison shows the desirable characteristics of the studied systems from the point of view of future use as working fluids in absorption refrigeration technology because this liquid density value is lower than those for lithium bromide aqueous solution, commercially used as a working fluid in this area. It was shown that the liquid density of {IL (1) + ethanol (2)} decreases in the following series: [C1C1IM][DMP] > [C1C2MOR][DMP] > [C1C2OHPYR] [DMP] > [C1C2IM] [DMP] > [C1C2PYR][DMP] > [C1C2PIP][DMP]~[C1C4IM][DMP] > [N1,2,2,2][DMP]. The increase in the length of the alkyl chain in the imidazolium ring causes a decrease in density. The same trend is observed when the cyclic chain is increased from a five-member pyrrolidinium ring to a six-member piperidine ring. The presence of a hydroxyl group in the pyrrolidinium cation results in a significant increase in density. In addition, the presence of an oxygen atom in the morpholinium cation of the ionic liquid increases the density of the binary system with ethanol compared to the system with piperidinium-based IL.
From Figure 5, the ethanolic system with the ammonium-based ionic liquid shows the lowest density. These data, supplemented by the promising vapor pressure values presented earlier, allow us to conclude that the {[N1,2,2,2][DMP] + ethanol} system is the most promising for application in the area being undertaken.
Based on the liquid density data for pure compounds and the binary systems, the excess molar volumes () for {IL (1) + ethanol (2)} solutions under study were calculated at each temperature. Obtained data are given in Table 6, Table 7 and Table 8. The temperature and composition dependence on the for each system under study is graphically presented in Figure 6.
Figure 6.
Excess molar volume, VE for {IL (1) + Ethanol (2)}: (a) [C1C2MOR][DMP]; (b) [C1C2PIP][DMP]; (c) [N1,2,2,2][DMP] vs. ionic liquid mole fraction, x1, at different temperature, T: ♦, 293.15 K; ◊, 303.15 K; ●, 313.15 K; ○, 323.15 K; ▲, 333.15 K. (d) Comparison of the VE at temperature T = 298.15 K: ♦, [C1C2MOR][DMP]; ○, [C1C2PIP] [DMP]; ▲, [N1,2,2,2][DMP]. Points-experimental results; solid lines-calculated using Equation (14) with parameters given in Table 11.
For all systems under work, the value of is negative in the entire composition range at each temperature, which indicates the occurrence of stronger (IL–ethanol) compared to (ethanol–ethanol) or (IL–IL) interactions. The values can be explained by many contributions, such as contraction because of specific interactions between IL and ethanol or differences in molecule sizes.
The values decrease with an increase in temperature. The minimum of the excess molar volumes varies from −0.9800 cm3·mol−1 (x1 = 0.2005) at T = 293.15 K to −1.5163 cm3·mol−1 (x1 = 0.1992) at T = 338.15 K for {[C1C2MOR][DMP] (1) + ethanol (2)}, from −0.9233 cm3·mol−1 (x1 = 0.2000) at T = 293.15 K to −1.4504 cm3·mol−1 (x1 = 0.2000) at T = 338.15 K for {[C1C2PIP] [DMP] (1) + ethanol (2)}, and from -0.7911 cm3·mol−1 (x1 = 0.1999) at T = 293.15 K to −1.2597 cm3·mol−1 (x1 = 0.1999) at T = 338.15 K in the case of [N1,2,2,2][DMP] ethanolic solution.
A comparison of VE values at 298.15 K for the three ethanol solutions presented in this work is shown graphically in Figure 6d. It shows that below the IL mole fraction x1 = 0.5, the VE values increase in the following series: [C1C2MOR][DMP] < [C1C2PIP][DMP] < [N1,2,2,2][DMP] while for compositions above x1 = 0.5 the increase in VE is observed in the following order: [C1C2PIP] [DMP] < [N1,2,2,2][DMP] < [C1C2MOR][DMP].
The values of the excess molar volume were correlated with the Redlich–Kister equation with the temperature dependence of the parameters as follows:
where x1 and x2 is the ionic liquid and ethanol mole fraction, respectively; /(cm3·mol−1) is the excess molar volume; is the temperature dependence parameters given as following:
The root mean square error (RMSE) is expressed by the following:
where n is the number of experimental points and p is the number of coefficients.
The value of the Redlich–Kister parameters, , along with the standard deviation, are given in Table 11.
Table 11.
Parameters for the Redlich–Kister Equation Using for the Correlation of the Excess Molar Volumes, VE for the {IL (1) + Ethanol (2)} Binary System. Along With the Standard Deviations, σ a.
The combined standard uncertainty of excess volume of mixing (VE) was determined using the error propagation law, using Equations (17) and (18) was calculated to be 0.008 cm3·mol−1.
and
where , are the molar masses of IL and ethanol, respectively; , are the error of molar masses of IL and ethanol, respectively (, ; , are the densities of IL and ethanol, respectively; , is the composition of IL and ethanol, respectively; , is the uncertainty in composition determination of the mole fraction of IL and ethanol, respectively, , is the mass of ionic liquid and solvent, respectively; , is the weighing error (= 0.0001 g); is the uncertainty of density measurement.
Dynamic viscosity data of {[C1C2MOR][DMP], or [C1C2PIP][DMP], or [N1,2,2,2] [DMP] (1) + ethanol (2)} binary systems was measured at a whole composition range at temperatures from T = (293.15 to 338.15) K with an increment of 5 K. The experimental data are collected in Table 6, Table 7 and Table 8. The temperature and composition dependence on dynamic viscosity data for {[C1C2MOR][DMP] (1) + ethanol (2)} are graphically presented in Figure 7 as an example. The other two ethanolic solutions under study are shown in Figures S5 and S6 in Supplementary Materials.
Figure 7.
Experimental and calculated dynamic viscosity data for {[C1C2MOR][DMP] (1) + Ethanol (2)} binary system as a function of (a) temperature for different IL mole fraction, x1: ♦, 1.0000; ♦, 0.9012; ◊, 0.7990; ■, 0.6997; ■, 0.5994; □, 0.5012; ▲, 0.4012; ▲, 0.2991; Δ, 0.2005; ●, 0.1001; ○, 0.0000. Points-experimental data; solid lines-correlation using Equation (19) with parameters given in Table 12. (b) Composition at different temperature, T: ♦, 293.15 K; ◊, 303.15 K; ●, 313.15 K; ○, 323.15 K; ▲, 333.15 K. Points-experimental data; solid lines-guide to the eye.
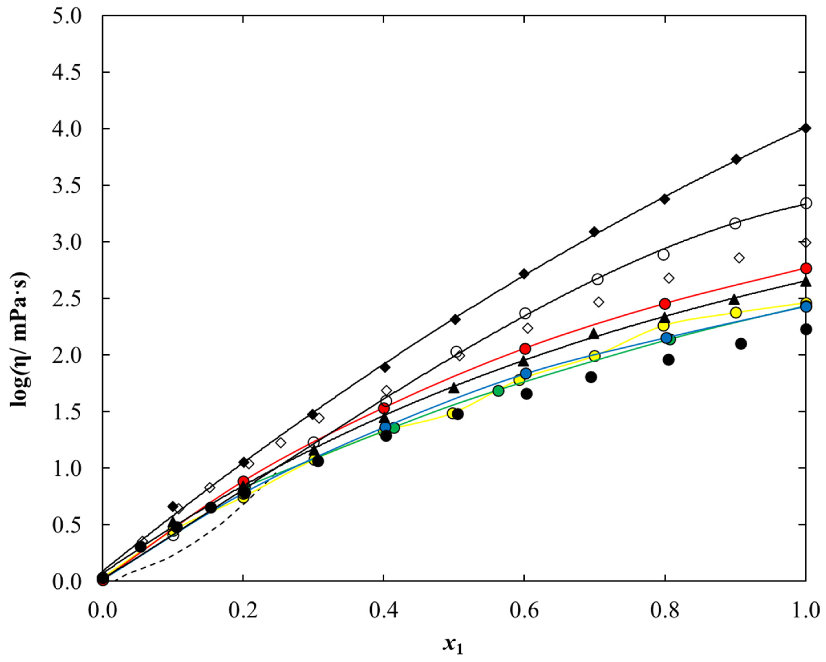
As expected, for each system under study, dynamic viscosity data decreases with an increasing temperature and increasing ethanol content. The comparison of dynamic viscosity data for an ethanolic solution under study at a temperature of 298.15 K is presented in Figure 8. It can be observed that the viscosity values for the tested systems decrease in the following series: [C1C2MOR][DMP] > [C1C2PIP] [DMP] > [N1,2,2,2][DMP], therefore, the most favorable results from the point of view of technological application in as working fluids were obtained for the ethanol mixture of ammonium-based ionic liquid. Additionally, among the ethanolic solution of dimethyl phosphate-based iLs, dynamic viscosity decreases in the following series: [C1C2MOR][DMP] > [C1C2PIP][DMP] > [C1C2OHPYR][DMP] > [C1C4IM][DMP] > [N1,2,2,2][DMP] > [C1C1IM][DMP] > [C1C2IM][DMP] > [C1C2PYR] [DMP].
Figure 8.
Experimental and calculated dynamic viscosity data of {Dimethyl Phosphate –Based IL (1) + Ethanol (2)} system vs. ionic liquid mole fraction, x1, at T = 298.15 K: ♦, [C1C2MOR][DMP] (this work); ○, [C1C2PIP][DMP] (this work); ▲, [N1,2,2,2][DMP] (this work); ●, [C1C1IM][DMP] [54]; ●, [C1C1IM][DMP] [35]; ●, [C1C2IM][DMP] [54]; ●, [C1C4IM][DMP] [49]; ●, [C1C2PYR][DMP] [31]; ◊, [C1C2OHPYR][DMP] [31]. Points-experimental, or literature density data; solid lines-calculated using Equation (19) with parameters given in Table 12; dashed lines-literature viscosity data for {LiBr (1) + Water (2)} system [55].
Within investigated temperature range, the dynamic viscosities for pure iLs vary from η = 17,870 mPa·s at T = 293.15 K to 289.6 at T = 338.15 K for [C1C2MOR] [DMP], from 3276 mPa·s at T = 293.15 K to 136.7 mPa·s at T = 338.15 K for [C1C2PIP][DMP] and from 679.6 mPa·s at T = 293.15 K to 41.46 mPa·s at T = 338.15 K in the case of [N1,2,2,2][DMP]. The comparison of the dynamic viscosity value for pure dimethyl phosphate-based IL at a temperature of 298.15 K is graphically presented in Figure 9. Experiment shows that the dynamic viscosity value for pure iLs decreases in the following series: [C1C2MOR][DMP] > [C1C2PIP][DMP] > [C1C2OHPYR][DMP] > [N1,2,2,2][DMP] > [C1C2PYR][DMP]. The highest viscosity equal to 10,070 mPa·s was determined for [C1C2MOR][DMP], and it is almost 60 times higher than that for [C1C2PYR][DMP].
Figure 9.
Dynamic viscosity value for pure dimethyl phosphate-based iLs.
Temperature dependence of the dynamic viscosity for the binary systems under study was described using the following Andrade-type equation [56]:
Parameter B is described by where R is the gas constant and Ea is the flow activation energy.
Correlation parameters were calculated based on the relative residuals and the parameters were calculated by minimalized function given by the following:
The root mean square deviation (RMSE) is expressed as following:
The values of parameters A and B, along with RMSE, are given in Table 12. The calculation is graphically presented as solid lines in Figure 7.
Table 12.
The parameters of Equations (19) and (21) for correlation the temperature dependence of the dynamic viscosity of {IL (1) + Ethanol (2)} binary systems a.
3. Discussion
Thermodynamic and physicochemical properties of three pure ionic liquids and their ethanolic solution versus temperature and composition were presented in this study. Binary systems composed of IL and ethanol were analyzed for possible future use as working fluids in absorption refrigeration technology. In the studied systems, the ionic liquid would act as an absorbent and ethanol as a circulating agent. This is to search for alternative systems to the commercially used lithium bromide aqueous solution. An additional benefit would be the ability to operate the device at temperatures below 273.2 K due to the use of ethanol instead of water as the circulating medium. In the design of the new working fluid, it is desirable that the mixture exhibits negative deviations from Raoult’s law (resulting in easier refrigerant absorption) and has as low density and viscosity values as possible, which allows easier mass and heat transfer. In this work, three binary solutions composed of [C1C2MOR][DMP], or [C1C2PIP][DMP], or [N1,2,2,2][DMP] and ethanol were considered as an alternative working pair for the absorption refrigeration. Using the DSC technique, the thermophysical properties of pure iLs were determined. The experimental value was compared to those for other dimethyl phosphate-based iLs. For each IL under study, glass temperature and the heat capacity at the glass transition temperature were determined. It was shown that [C1C2PIP][DMP] and [N1,2,2,2][DMP] exhibit similar melting temperatures, whereas the melting enthalpy for IL with ammonium cation is almost 7-times higher than for [C1C2PIP][DMP].
Thermodynamic and physicochemical properties, including vapor pressure, liquid density, and dynamic viscosity of binary systems composed of IL and ethanol, were experimentally determined as a function of temperature and composition. The experimental data was successfully correlated using the appropriate equations. Each system exhibits negative deviations from the ideal solution. The highest negative deviation from Raoult’s equation was determined for the ethanolic solution of [N1,2,2,2][DMP]. The comparison of VLE data investigated here with those for other dimethyl phosphate-based iLs shows that the vapor pressure increases in the following series: [N1,2,2,2][DMP]~[C1C1IM][DMP]~[C1C2IM] [DMP] < [C1C2PYR][DMP]~[C1C2PIP][DMP] < [C1C2MOR][DMP] < [C1C2OHPYR][DMP]. Despite the characteristics desirable for applications in the area being undertaken, the vapor pressures of the proposed systems are higher compared to the commercially used aqueous lithium bromide solution. The correlation of the experimental data with the NRTL equation resulted in good agreement between experimental and calculated values.
Both liquid density and dynamic viscosity decrease as temperature and ethanol content in the systems increase. Experimental density and dynamic viscosity data for the ethanolic solution presented here were compared to those for other dimethyl phosphate-based iLs. It was shown that the density values decrease in the following series: [C1C1IM][DMP] > [C1C2MOR][DMP] > [C1C2OHPYR][DMP] > [C1C2IM][DMP] > [C1C2PYR][DMP] > [C1C2PIP][DMP]~[C1C4IM][DMP] > [N1,2,2,2][DMP], while viscosity decreases as follows: [C1C2MOR][DMP] > [C1C2PIP][DMP] > [C1C2OHPYR][DMP] > [C1C4IM] [DMP] > [N1,2,2,2][DMP] > [C1C1IM][DMP] > [C1C2IM][DMP] > [C1C2PYR][DMP]. Based on liquid density data, the excess molar volumes were calculated and correlated using the Redlich–Kister equation with the temperature dependence of parameters. Since the main objective of the work is to search for working fluids for future use as an alternative to {LiBr + water} refrigeration systems, the experimental data presented were compared with those for an aqueous solution of lithium bromide, conventionally used in industrial-scale refrigeration technologies. The comparison shows that liquid density data for each binary system is lower than those for {LiBr + water} (see Figure 5). Dynamic viscosity for aqueous lithium bromide solution was determined within a narrow range of composition showing a steep course, and at higher concentrations of lithium bromide, the values would be diametrically higher than for the systems proposed in this work (see Figure 8). Resuming, the ethanol solutions of ionic liquid analyzed in this work, especially [N1,2,2,2][DMP], exhibit a high potential for use as a working fluid in absorption cooling technology.
4. Materials and Methods
4.1. Materials
The ethanolic solutions of the dimethyl phosphate-based iLs, namely, 1-ethyl-1-methylmorpholinium dimethyl phosphate (abbreviated as: [C1C2MOR][DMP]), 1-ethyl-1-methylpiperidinium dimethyl phosphate ([C1C2PIP][DMP]) and N,N,N-triethyl-N-methylammonium dimethyl phosphate ([N1,2,2,2][DMP]) were investigated. The sample of [C1C2PIP][DMP] with an initial mass fraction purity 0.970 was purchased from IoLiTec. The synthesis procedure of N,N,N-triethyl-N-methylammonium dimethyl phosphate was presented in our latest work [41]. Here, 1-ethyl-1-methylmorpholinium dimethyl phosphate was synthesized. The structure of the final product was analyzed by 1H NMR and 13C NMR spectra. A detailed description of the synthesis procedure and NMR analysis is given below.
Synthesis of 1-ethyl-1-methylmorpholinium dimethyl phosphate, [C1C2MOR][DMP]
A mass of 115.153 g (1.000 mol) 4-ethylmorpholine (Alfa Aesar, CAS: 100-74-3, purity: 98%) and 121.118 g (0.865 mol) trimethyl phosphate (ACROS Organics, CAS: 512-56-1, purity 99%) was added directly to a 500 mL flask. The synthesis was carried out under reflux at 398.2 K for 24 h under a nitrogen atmosphere. The mixture was extracted several times with ethyl acetate. The residual ethyl acetate was evaporated on the rotary evaporator, and the product was dried in a vacuum oven at temperature T = 353.2 K for 24 h. A mass of 199.143 g of dark brown, viscous liquid was obtained. The yield of the synthesis was 90.33%.
1H NMR (500 MHz, D2O, 298 K): δ (ppm): Cation: 4.07–4.04 (4H, m, H2), 3.56 (2H, q, JCH2,CH3 = 7.5 H, CH2), 3.53–3.44 (4H, m, H3), 3.17 (3H, s, N-CH3), 1.39 (3H, tt, C–CH3); Anion: 3.59 (6H, d, JH, P = 10.5 Hz, CH3).
13C NMR (125 MHz, CD3CN, 298 K): δ (ppm): Cation: 61.27 (C2), 61.27 (CH2), 60.03 (C3), 46.91 (N–CH3), 7.60 (C–CH3); Anion: 52.23 and 52.18 (CH3).
The NMR spectra are presented in Figures S7 and S8 in Supplementary Material (SM). The structures of the iLs tested in this work are presented in Table 13. To remove remaining volatile chemicals and to decrease water content before measurements, every IL was drained for 48 h in a vacuum drying oven (Binder, model VD 23) at a temperature T = 373 K and under reduced pressure (P = 4∙10−4 mbar) obtained by a vacuum pump (Vacuubrand RZ 6). The water mass fraction of the dried IL was determined using Karl-Fischer titration (model SCHOTT Instruments TitroLine KF). The sample description, including the purities, water content, and purification methods, is presented in Table 14.
Table 13.
The structures and basic information of ILs under study: molecular weight (M), liquid density (ρ), and dynamic viscosity (η) at temperature T = 313.15 K and pressure p = 0.1 mPa a.
Table 14.
Specifications of chemical samples.
Binary systems were prepared by weighing the pure components on a Mettler Toledo AB 204-S balance, with a precision of 1∙10−4 g. Due to the high water absorption of ionic liquids, to prevent variations in the composition, the solutions were weighed just before the measurements.
4.2. Experimental Apparatus and Procedure
4.2.1. Differential Scanning Calorimetry (DSC)
Thermophysical properties of pure iLs, including temperature (Tm) and enthalpy of melting (ΔmH), glass transition temperature (Tg), and heat capacity at the glass transition temperature (ΔgCp), as well as temperature (Ttr) and enthalpy (ΔtrH) of (solid + solid) phase transition, were determined by DSC 1 STARe System (Mettler Toledo) calorimeter, which used differential scanning calorimetry (DSC) technique. The calibration of the apparatus was carried out by measuring the samples of 99.9999 mol% purity indium and high-mass-purity n-heptane (Sigma-Aldrich (St. Louis, MO, USA), ≥99.5%), n-octane (Sigma-Aldrich, ≥99%), n-decane (Sigma-Aldrich, ≥99%), ethylbenzene (Sigma-Aldrich, ≥99%), cyclohexane (POCH, ≥99.5%), n-dodecane (Acros Organics, ≥99%), n-octadecane (Aldrich, ≥99%), naphthalene (Acros Organics, ≥99%), and water (Millipore, κ < 0.05 mS·cm−1). Calibration measurements were made at the heating/cooling rate of 5 K·min−1 in a temperature range from T = (180 to 430) K. The uncertainties are as follows: u(T) = 0.3 K, u(ΔH) = 3.3 J∙g−1. Measurements of all examined IL samples were performed in heating mode at the heating rate of 5 K·min−1. A sample of the tested ionic liquid weighing about 10 mg was placed in an aluminum pan and an empty hermetic aluminum pan was used as a reference. The apparatus includes a liquid nitrogen cooling system, and the measurements were made in an inert atmosphere with a nitrogen flux of about 200 mL/min. The experiments were carried out within the temperature range from (173.15 to 373.15) K. The experimental data were analyzed using STARe DB V12.00 software (Bhopal, India).
4.2.2. (Vapor-Liquid) Phase Equilibria Measurements
The isothermal vapor-liquid phase equilibrium (VLE) measurements were performed using an ebulliometric method, where the main part of the apparatus is a specially designed ebulliometer [57]. The mixture of ionic liquid and ethanol placed in the device is in continuous movement forced by the operation of the Cottrell pump. The superheated two-phase mixture gets decompressed, and it is thrown through the tube onto the socket of the thermometer. It is assumed that the expansion in the equilibrium chamber causes the loss of excess heat of the superheated liquid, which is used to evaporate the additional amount of liquid. As a result, the equilibrium temperature is established on the walls of the thermometric socket under the conditions of pressure in the system. By changing the pressure in the system, one can set the temperature of the measurement. Measurements were made at the following three constant temperatures: 348.15, 338.15, and 328.15 K. In the equilibrium chamber, the two-phase mixture is separated into the following two streams: a steam flow and a liquid flux. Ionic liquids have a negligibly low vapor pressure, so the steam flow consists only of ethanol. Before the two streams are combined, samples can be taken from the gas phase and liquid phase reservoirs. Earlier, the steam flow enters the condenser. A very important role is played by thorough mixing of the combined streams. For this purpose, glass tubes were designed in an appropriate way and stabilizing system comprising the isolated container with a volume of 50 dm3 enabled the pressure to be kept constant within 0.1 kPa and to dampen the pressure fluctuations caused by the bumping of the liquid boiling in the ebulliometer or by the variation of the temperature of the surroundings was implemented. The equilibrium temperature was measured with a resistance thermometer (type P-550, Roth, Germany) with a precision of 0.01 K. The pressure was measured with the precision of 0.1 kPa by a tensiometric vacuum meter (type CL 300, ZEPWN, Poland). The thermometer and the manometer were calibrated by measuring the boiling points as a function of pressure for n-octane, ethanol, and water and compared to values obtained from the literature [58]. The uncertainty was at the level of u(p) = 0.2 kPa and u(T) = 0.05 K. The composition of samples taken from the ebulliometer was determined densimetrically based on previous density measurements in two-component systems using the Anton Paar GmbH 4500 vibrating-tube densimeter (Graz, Austria) with an accuracy of 1·10−5 g·cm−3 at each temperature. Only the liquid phase was sampled because, as previously mentioned, the gas phase consisted only of pure ethanol. A calibration curve of density vs. mole fraction of IL was made and the uncertainty in the mole fraction composition was better than 2·10−3. The VLE measurement error was caused by an error related to incorrect indications of the thermometer, error related to incorrect indications of the manometer, error resulting from the calibration curve of the manometer, error related to the accuracy of determining the mole fraction of the liquid phase, error related to other factors influencing the determination of the equilibrium temperature, such as the following: imperfection of mixing inside the measuring cell, which creates a concentration gradient, disturbance of the equilibrium conditions during sampling, or impurities present in the sample. The total measurement error is the sum of the factors mentioned above. The combined uncertainty of the method used for the VLE estimation is larger than the instrument error and was estimated at 0.5 kPa.
4.2.3. Density Measurement
The liquid density of pure ILs and their ethanolic solutions were determined at a temperature range from T = (293.15 to 338.15) K with an increment of 5 K at ambient pressure.
The densities were measured on an Anton Paar GmbH 4500 densimeter using vibrating tube method. Measurements were made at different temperatures with a built-in thermostat. The precision in the temperature control (internally of 0.01 K) is provided by two integrated Pt 100 platinum thermometers. The apparatus was calibrated at atmospheric pressure using double-distilled degassed water and air. The densimeter is precise to within 1·10−5 g·cm−3, and because of the purity of IL, estimated standard uncertainty of the density measurement, u(ρ) is better than 5·10−3 g·cm−3.
4.2.4. Dynamic Viscosity Measurements
Viscosity measurements for pure ILs and their ethanolic solution were carried out using DVNext Wells-Brookfield Cone Rheometer (Middleborough, United States of America). The experiment was performed within the temperature range from T = (293.15 to 338.15) K with an increment of 5 K. The apparatus consists of torque measuring system, where a calibrated beryllium-copper spring is the main part. The spring is connected to the drive mechanism of a rotating cone, and it senses the resistance to rotation caused by the presence of a liquid sample between the cone and a stationary flat plate. The resistance to the rotation of the cone produces a torque that is proportional to the shear stress in the fluid. Then, the reading is converted to centipoise units from pre-calculated range charts. The tested pure ionic liquids and their solutions with ethyl alcohol are Newtonian liquids, which means that viscosity does not depend on the shear rate. It was checked before every measurement. The system was previously calibrated to the standards by the manufacturer, and calibration was verified using appropriate standards. The mean standard deviation of viscosity was determined based on standard measurements, and the relative uncertainty, ur(η) value, was determined to be 0.03. The apparatus is accurate to within 1.0% of the full-scale range reproducibility is within 0.2%. The working temperature range is from 0 °C to 100 °C. Two cones were used for viscosity measurements. One for measurements above 250 mPa·s with a cone radius of 0.012 m and a cone angle of 1.5°, and the other for measurements below 250 mPa·s, with a radius of 0.024 m and a cone angle of 0.8°. The gap between the cone truncation and the plate was 12.7·10–6 m.
Supplementary Materials
The following supporting information can be downloaded at: https://www.mdpi.com/article/10.3390/molecules28041940/s1, Figure S1. Plot of the experimental and calculated P–x data for {[C1C2PIP][DMP] (1) + Ethanol (2)} vs. ionic liquid mole fraction, x1, at different temperatures, T: ♦, 328.15 K; ●, 338.15 K; ▲, 348.15 K. Full points-experimental data; solid lines-NRTL equation with parameters given in Table 7; dashed lines-ideal solution; Figure S2. Plot of the experimental and calculated P–x data for {[N1,2,2,2][DMP] (1) + Ethanol (2)} vs. ionic liquid mole fraction, x1, at different temperatures, T: ♦, 328.15 K; ●, 338.15 K; ▲, 348.15 K. Full points—experimental data; solid lines—NRTL equation with parameters given in Table 7; dashed lines—ideal solution; Figure S3. Temperature and composition dependence of liquid density data for {[C1C2PIP] [DMP] (1) + Ethanol (2)} system as a function of (a) temperature for different composition, x1: ♦, 1.0000; ♦, 0.8993; ◊, 0.7968; ■, 0.7031; ■, 0.6007; □, 0.5028; ▲, 0.4027; ▲, 0.3001; Δ, 0.2001; ●, 0.1597; ●, 0.1203; ○, 0.1001; x, 0.0803; *, 0.0402; +, 0.0203; –, 0.0000; (b) composition at different temperature, T: ♦, 293.15 K; ◊, 303.15 K; ●, 313.15 K; ○, 323.15 K; ▲, 333.15 K. Points–experimental data; solid lines—correlation using Equation (10) with parameters given in Table 11; Figure S4. Temperature and composition dependence of liquid density data for {[N1,2,2,2] [DMP] (1) + Ethanol (2)} system as a function of (a) temperature for different composition, x1: ♦, 1.0000; ♦, 0.8987; ◊, 0.7991; ■, 0.6988; ■, 0.5986; □, 0.4998; ▲, 0.4004; ▲, 0.3011; Δ, 0.1999; ●, 0.1600; ●, 0.1201; ○, 0.0998; x, 0.0802; *, 0.0402; +, 0.0201; –, 0.0000; (b) composition at different temperature, T: ♦, 293.15 K; ◊, 303.15 K; ●, 313.15 K; ○, 323.15 K; ▲, 333.15 K. Points-experimental data; solid lines-correlation using Equation (10) with parameters given in Table 11. Figure S5. Experimental and calculated dynamic viscosity data for {[C1C2PIP][DMP] (1) + Ethanol (2)} binary system as a function of (a) temperature for different IL mole fraction, x1: ♦, 1.0000; ♦, 0.8993; ◊, 0.7968; ■, 0.7031; ■, 0.6007; □, 0.5028; ▲, 0.4027; ▲, 0.3001; Δ, 0.2001; ●, 0.1001; ○, 0.0000. Points-experimental data; solid lines-correlation using Equation (19) with parameters given in Table 11. (b) Composition at different temperature, T: ♦, 293.15 K; ◊, 303.15 K; ●, 313.15 K; ○, 323.15 K; ▲, 333.15 K. Points—experimental data; solid lines—guide to the eye; Figure S6. Experimental and calculated dynamic viscosity data for {[N1,2,2,2][DMP] (1) + Ethanol (2)} binary system as a function of (a) temperature for different IL mole fraction, x1: ♦, 1.0000; ♦, 0.8987; ◊, 0.7991; ■, 0.6988; ■, 0.5986; □, 0.4998; ▲, 0.4004; ▲, 0.3011; Δ, 0.1999; ●, 0.0998; ○, 0.0000. Points—experimental data; solid lines—correlation using Equation (19) with parameters fiven in Table 11. (b) Composition at different temperature, T: ♦, 293.15 K; ◊, 303.15 K; ●, 313.15 K; ○, 323.15 K; ▲, 333.15 K. Points—experimental data; solid lines—guide to the eye; Figure S7. 1H NMR spectra of [C1C2MOR][DMP]; Figure S8. 13C NMR spectra of [C1C2MOR][DMP].
Author Contributions
M.K. (Marta Królikowska): methodology, data curation, visualization, formal analysis, investigation, writing; M.S.: formal analysis; investigation, validation; M.K. (Marek Królikowski): formal analysis. All authors have read and agreed to the published version of the manuscript.
Funding
This work has been supported by the Warsaw University of Technology.
Institutional Review Board Statement
Not applicable.
Informed Consent Statement
Not applicable.
Data Availability Statement
The data presented in this study are available in the article and Supplementary Materials.
Conflicts of Interest
The authors declare no conflict of interest.
Sample Availability
Samples of the compounds [C1C2MOR][DMP], [N1,2,2,2][DMP] are available from the authors.
References
- Sun, J.; Fu, L.; Zhang, S. A review of working fluids of absorption cycles. Renew. Sustain. Energy Rev. 2012, 16, 1899–1906. [Google Scholar] [CrossRef]
- Zhuo, C.Z.; Machielsen, C.H.M. Thermophysical properties of the trifluoroethanol-pyrrolidone system for absorption heat transformers. Int. J. Refrig. 1993, 16, 357–363. [Google Scholar] [CrossRef]
- Srikhirin, P.; Aphornratana, S.; Chungpaibulpatana, S. A review of absorption refrigeration technologies. Renew. Sust. Energy Rev. 2001, 5, 343–372. [Google Scholar] [CrossRef]
- Aphornratana, S.; Chungpaibulpatana, S.; Srikhirin, P. Experimental investigation of an ejector refrigerator: Effect of mixing chamber geometry on system performance. Int. J. Energy Res. 2001, 25, 397–411. [Google Scholar] [CrossRef]
- Khamooshi, M.; Parham, K.; Atikol, U. Overview of Ionic Liquids Used as Working Fluids in Absorption Cycles. Adv. Mech. Eng. 2013, 2013, 1–7. [Google Scholar] [CrossRef]
- Jelinek, M.; Borde, I. Single and double stage absorption cycles based on fluorocarbon refrigerants and organic absorbents. Appl. Therm. Eng. 1998, 18, 765–771. [Google Scholar] [CrossRef]
- Kim, J.S.; Park, Y.; Lee, H. Performance evaluation of absorption chiller using LiBr + H2N(CH2)2OH + H2O, LiBr + HO(CH2)2OH + H2O, and LiBr + (HOCH2CH2)2NH + H2O as working fluids. Appl. Therm. Eng. 1999, 19, 217–225. [Google Scholar] [CrossRef]
- Kim, J.S.; Lee, H.S.; Lee, H. Thermal property measurements and enthalpy calculation of the LiBr + lithium iodide + 1,3-propanediol + H2O system. Int. J. Thermophys. 2000, 21, 1407–1418. [Google Scholar] [CrossRef]
- Yin, J.; Shi, L.; Zhu, M.S.; Han, L.Z. Performance analysis of an absorption heat transformer with different working fluid combinations. Appl. Energy 2000, 67, 281–292. [Google Scholar] [CrossRef]
- Zhao, Z.C.; Zhang, X.D.; Ma, X.H. Thermodynamic performance of a double-effect absorption heat-transformer using TFE/E181 as the working fluid. Appl. Energy 2005, 82, 107–116. [Google Scholar] [CrossRef]
- Ali, K.; Salman, A. Thermodynamic analysis of an absorption refrigeration machine with new working fluid for solar applications. Heat Mass Transf. 2008, 45, 71–81. [Google Scholar]
- Rogers, R.D.; Seddon, K.R. Ionic Liquids-Solvents of the Future? Science 2003, 302, 792–793. [Google Scholar] [CrossRef]
- Chinchilla, R.; Mazon, P.; Najera, C. New dimeric anthracenyl-derived Cinchona quaternary ammonium salts as phase-transfer catalysts for the asymmetric synthesis of α-amino acids. Tetrahedron Asymmetry 2009, 13, 927–931. [Google Scholar] [CrossRef]
- Welton, T. Ionic liquids: A brief history. Biophys. Rev. 2018, 10, 691–706. [Google Scholar] [CrossRef]
- Ray, A.; Saruhan, B. Application of Ionic Liquids for Batteries and Supercapacitors. Materials 2021, 14, 2942. [Google Scholar] [CrossRef]
- Kaur, G.; Kumar, H.; Singla, M. Diverse applications of ionic liquids: A comprehensive review. J. Mol. Liq. 2022, 351, 118556. [Google Scholar] [CrossRef]
- Yokozeki, A.; Shiflett, M.B. Vapor–liquid equilibria of ammonia + ionic liquid mixtures. Appl. Energy 2007, 84, 1258–1273. [Google Scholar] [CrossRef]
- Yokozeki, A.; Shiflett, M.B. Water solubility in ionic liquids and application to absorption cycles. Ind. Eng. Chem. Res. 2010, 49, 9496–9503. [Google Scholar] [CrossRef]
- Liang, S.Q.; Zhao, J.; Wang, L.; Huai, X.L. Absorption refrigeration cycle utilizing a new working pair of ionic liquid type. J. Chem. Thermophys. 2010, 31, 1627–1630. [Google Scholar]
- Liu, X.; Li, J.; Hou, K.; Wang, S.; He, M. New environment friendly working pairs of dimethyl ether and ionic liquids for absorption refrigeration with high COP. Int. J. Refrig. 2022, 134, 159–167. [Google Scholar] [CrossRef]
- Kim, Y.J.; Kim, S.; Joshic, Y.K.; Fedorov, A.G.; Kohl, P.A. Thermodynamic analysis of an absorption refrigeration system with ionic-liquid/refrigerant mixture as a working fluid. Energy 2012, 44, 1005–1016. [Google Scholar] [CrossRef]
- Dong, L.; Zheng, D.; Nie, N.; Li, Y. Performance prediction of absorption refrigeration cycle based on the measurements of vapor pressure and heat capacity of H2O + [DMIM]DMP system. Appl. Energy 2012, 98, 326–332. [Google Scholar] [CrossRef]
- Currás, M.R.; Husson, P.; Pádua, A.A.H.; Costa Gomes, M.F.; García, J. High-Pressure Densities of 2,2,2-Trifluoroethanol + Ionic Liquid Mixtures Useful for Possible Applications in Absorption Cycles. Ind. Eng. Chem. Res. 2014, 53, 10791–11082. [Google Scholar] [CrossRef]
- Zawadzki, M.; Królikowska, M.; Antonowicz, J.; Lipiński, P.; Karpińska, M. physicochemical and thermodynamic properties of the {1-alkyl-1-methylmorpholinium bromide, [C1Cn=3,4,5MOR]Br, or 1-methyl-1-pentylpiperidinium bromide, [C1C5PIP]Br + water} binary systems. J. Chem. Thermodyn. 2018, 98, 324–337. [Google Scholar] [CrossRef]
- Wang, M.; Ferreira, C.A.I. Absorption heat pump cycles with NH3—Ionic liquid working pairs. Appl. Energy 2017, 204, 819–830. [Google Scholar]
- Cera-Manjarres, A.; Salavera, D.; Coronas, A. Vapour pressure measurements of ammonia/ionic liquids mixtures as suitable alternative working fluids for absorption refrigeration technology. Fluid Phase Equilib. 2018, 476, 48–60. [Google Scholar] [CrossRef]
- Takalkar, G.D.; Bhosale, R.R.; Mali, N.A.; Bhagwat, S.S. Thermodynamic analysis of EMISE–Water as a working pair for absorption refrigeration system. Appl. Therm. Eng. 2019, 148, 787–795. [Google Scholar] [CrossRef]
- Królikowska, M.; Paduszyński, K.; Zawadzki, M. (Vapor + liquid) phase equilibria of an aqueous solution of bromide-based ionic liquids—Measurements, correlations and application to absorption cycles. Fluid Phase Equilib. 2019, 494, 201–211. [Google Scholar] [CrossRef]
- Xuan, Y.; Fang, K.; Duan, B.; Gao, N.; Chen, G. Vapor Pressure Measurement of Ternary Systems LiBr + [Emim]I + H2O and LiBr + [Dmim]I + H2O. J. Chem. Eng. Data 2020, 65, 487–494. [Google Scholar] [CrossRef]
- Zhang, F.F.; Li, X.Y.; Chen, G.; Wang, T.; Jin, T.X.; Cheng, C.X.; Li, G.P.; Zhang, L.G.; Zhang, B.; Zheng, F.F. Thermophysical properties and water sorption characteristics of 1-ethyl-3-methylimidazolium acetate ionic liquid and water binary systems. Int. Comm. Heat Mass Transfer. 2021, 127, 105558. [Google Scholar] [CrossRef]
- Królikowska, M.; Grzeszyk, K.; Skonieczny, M. Thermodynamic characterization of {1-ethyl-1-methyl-pyrrolidinium dimethylphosphate, [C1C2PYR][DMP], or 1-hydroxyethyl-1-methylpyrrolidinium dimethylphosphate, [C1C2OHPYR][DMP] (1) + ethanol (2)} binary systems. Fluid Phase Equilib. 2021, 547, 113175. [Google Scholar] [CrossRef]
- de Araújo, H.V.; Massuchetto, L.H.P.; do Nascimento, R.B.C.; de Carvalho, S.M.R.; Dangelo, J.V.H. Thermodynamic performance analysis of a single-effect absorption refrigeration system operating with water and 1-ethyl-3-methylimidazolium-based ionic liquids mixtures. Appl. Therma. Eng. 2022, 201, 117761. [Google Scholar] [CrossRef]
- Chen, Y.; Zhou, T.; Zhao, T.; Hea, Y. Thermodynamic analysis of H2O-3-aminopropyl tributyl phosphonium glycinate as a working pair for absorption refrigeration system. Appl. Therm. Eng. 2022, 213, 118658. [Google Scholar] [CrossRef]
- Skonieczny, M.; Królikowska, M. Thermodynamic Properties of {Diethyl Phosphate-Based Ionic Liquid (1) + Ethanol (2)} Systems, Experimental Data and Correlation. J. Chem. Eng. Data 2022, 67, 869–885. [Google Scholar] [CrossRef]
- He, Z.; Zhao, Z.; Zhang, X.; Feng, H. Thermodynamic properties of new heat pump working pairs: 1,3-Dimethylimidazolium dimethylphosphate and water, ethanol and methanol. Fluid Phase Equilib. 2010, 298, 83–91. [Google Scholar] [CrossRef]
- Kato, R.; Gmehling, J. Activity coefficients at infinite dilution of various solutes in the ionic liquids [MMIM]+[CH3SO4]−, [MMIM]+[CH3OC2H4SO4]−, [MMIM]+[(CH3)2PO4]−, [C5H5NC2H5]+[(CF3SO2)2N]− and [C5H5NH]+[C2H5OC2H4OSO3]−. Fluid Phase Equilib. 2004, 226, 37–44. [Google Scholar] [CrossRef]
- Zhao, J.; Jiang, X.C.; Li, C.X.; Wang, Z.H. Vapor pressure measurement for binary and ternary systems containing a phosphoric ionic liquid. Fluid Phase Equilib. 2006, 247, 190–198. [Google Scholar] [CrossRef]
- Ren, J.; Zhao, Z.; Zhang, X. Vapor pressures, excess enthalpies, and specific heat capacities of the binary working pairs containing the ionic liquid 1-ethyl-3-methylimidazolium dimethylphosphate. J. Chem. Thermodyn. 2011, 43, 576–583. [Google Scholar] [CrossRef]
- Wang, J.F.; Li, C.X.; Wang, Z.H.; Li, Z.J.; Jiang, Y.B. Vapor pressure measurement for water, methanol, ethanol, and their binary mixtures in the presence of an ionic liquid 1-ethyl-3-methylimidazolium dimethylphosphate. Fluid Phase Equilib. 2007, 255, 186–192. [Google Scholar] [CrossRef]
- Shen, C.; Lu, Y.Z.; Li, X.M.; Li, C.X. Effect of the Ionic Liquid Triethylmethylammonium Dimethylphosphate on the Vapor Pressure of Water, Methanol, Ethanol, and Their Binary Mixtures. J. Chem. Eng. Data 2011, 56, 1933–1940. [Google Scholar] [CrossRef]
- Skonieczny, M.; Królikowska, M. Experimental data and correlation of the excess enthalpy for {ionic liquid (1) + ethanol (2)} binary systems. J. Chem. Thermodyn. under review. 2023. [Google Scholar]
- Hiraga, Y.; Goto, M.; Sato, Y.; Smith, R.L., Jr. Measurement of high pressure densities and atmospheric pressure viscosities of alkyl phosphate anion ionic liquids and correlation with the ɛ*-modified Sanchez-Lacombe equation of state. J. Chem. Thermodyn. 2017, 104, 73–81. [Google Scholar] [CrossRef]
- Gaciño, F.M.; Regueira, T.; Bolotov, A.V.; Sharipov, A.; Lugo, L.; Comuñas, M.J.P.; Fernández, J. Volumetric behaviour of six ionic liquids from T = (278 to 398) K and up to 120 MPa. J. Chem. Thermodyn. 2016, 93, 24–33. [Google Scholar] [CrossRef]
- Almeida, H.F.D.; Lopes, J.N.C.; Rebelo, L.P.N.; Coutinho, J.A.P.; Freire, M.G.; Marrucho, I.M. Densities and Viscosities of Mixtures of Two Ionic Liquids Containing a Common Cation. J. Chem. Eng. Data 2016, 61, 2828–2843. [Google Scholar] [CrossRef]
- Martins, M.A.R.; Coutinho, J.A.P.; Pinho, S.P.; Domańska, U. Measurements of activity coefficients at infinite dilution of organic solutes and water on polar imidazolium-based ionic liquids. J. Chem. Thermodyn. 2015, 91, 194–203. [Google Scholar] [CrossRef]
- Mac Dowell, N.; Llovell, F.; Sun, N.; Hallett, J.P.; George, A.; Hunt, P.A.; Welton, T.; Simmons, B.A.; Vega, L.F. New Experimental Density Data and Soft-SAFT Models of Alkylimidazolium ([CnC1im]+) Chloride (Cl−), Methylsulfate ([MeSO4]−), and Dimethyl-phosphate ([Me2PO4]−) Based Ionic Liquids. J. Phys. Chem. B 2014, 118, 6206–6221. [Google Scholar] [CrossRef]
- Freire, M.G.; Teles, A.R.R.; Rocha, M.A.A.; Schroder, B.; Neves, C.M.S.S.; Carvalho, P.J.; Evtuguin, D.V.; Santos, L.M.N.B.F.; Coutinho, J.A.P. Thermophysical Characterization of Ionic Liquids Able To Dissolve Biomass. J. Chem. Eng. Data 2011, 56, 4813–4822. [Google Scholar] [CrossRef]
- Wang, J.Y.; Zhao, F.Y.; Liu, R.J.; Hu, Y.Q. Thermophysical properties of 1-methyl-3-methylimidazolium dimethylphosphate and 1-ethyl-3-methylimidazolium diethyl-phosphate. J. Chem. Thermodyn. 2011, 43, 47–50. [Google Scholar] [CrossRef]
- Gong, Y.H.; Shen, C.; Lu, Y.Z.; Meng, H.; Li, C.X. Viscosity and density measurement for six binary mixtures of water (methanol or ethanol) with an ionic liquid [BMIM][DMP] or [EMIM][DMP] at atmospheric pressure in the temperature range of (293.15 to 333.15) K. J. Chem. Eng. Data 2012, 57, 33–39. [Google Scholar] [CrossRef]
- Krannich, M.; Heym, F.; Jess, A. Characterization of Six Hygroscopic Ionic Liquids with Regard to Their Suitability for Gas Dehydration: Density, Viscosity, Thermal and Oxidative Stability, Vapor Pressure, Diffusion Coefficient, and Activity Coefficient of Water. J. Chem. Eng. Data 2016, 61, 1162–1176. [Google Scholar] [CrossRef]
- Paduszyński, K.; Królikowska, M. Interactions between molecular solutes and task-specific ionic liquid: Measurements of infinite dilution activity coefficients and modelling. J. Mol. Liq. 2016, 221, 235–244. [Google Scholar] [CrossRef]
- Sánchez, P.B.; González, B.; Salgado, J.; Pádua, A.A.H.; García, J. Cosolvent effect on physical properties of 1,3-dimethylimidazolium dimethylphosphate and some theoretical insights on cellulose dissolution. J. Mol. Liq. 2018, 265, 114–120. [Google Scholar] [CrossRef]
- Wang, J.; Li, C.; Shen, C.; Wang, Z. Towards understanding the effect of electrostatic interactions on the density of ionic liquids. Fluid Phase Equilib. 2009, 279, 87–91. [Google Scholar] [CrossRef]
- Zhang, Z.; Zhou, Q.; Lu, X.; Qiao, C.; Zhang, S. Densities and Viscosities of Binary Mixtures Containing 1,3-Dimethylimidazolium Dimethylphosphate and Alcohols. J. Chem. Eng. Data 2014, 59, 2377–2388. [Google Scholar] [CrossRef]
- Królikowska, M.; Skonieczny, M.; Paduszyński, L.; Zawadzki, M. An influence of ionic liquid based additives on vapour pressure and physicochemical properties of {LiBr + water} mixtures—Measurements and COSMO-RS predictions. J. Solution Chem. 2021, 50, 473–502. [Google Scholar] [CrossRef]
- Andrade, E.N. da C. XLI. A theory of the viscosity of liquids—Part I. Lond. Edinb. Dublin Philos. Mag. J. Sci. 1934, 17, 497–511. [Google Scholar] [CrossRef]
- Domańska, U.; Łachwa, J. Thermodynamics of Binary Mixtures of N-Methyl-2-Pyrrolidinone and Ketone. Experimental Results and Modelling of the (Solid + Liquid) Equilibrium and the (Vapour + Liquid) Equilibrium. The Modified UNIFAC (Do) Model Characterization. J. Chem. Thermodyn. 2005, 37, 692–704. [Google Scholar] [CrossRef]
- Vapor Pressure, Liquid Phase. Available online: https://app.knovel.com/hotlink/toc/id:kt00CZDV51/dippr-project-801-full/vapor-pressure-liquid (accessed on 22 December 2022).
Disclaimer/Publisher’s Note: The statements, opinions and data contained in all publications are solely those of the individual author(s) and contributor(s) and not of MDPI and/or the editor(s). MDPI and/or the editor(s) disclaim responsibility for any injury to people or property resulting from any ideas, methods, instructions or products referred to in the content. |
© 2023 by the authors. Licensee MDPI, Basel, Switzerland. This article is an open access article distributed under the terms and conditions of the Creative Commons Attribution (CC BY) license (https://creativecommons.org/licenses/by/4.0/).











