Study on Synthesizing Isobornyl Acetate/Isoborneol from Camphene Using α-Hydroxyl Carboxylic Acid Composite Catalyst
Abstract
1. Introduction
2. Results and Discussion
2.1. Catalyzed Synthesis of Isobornyl Acetate from Camphene
2.1.1. Effect of α-Hydroxyl Carboxylic Acid (HCA) and Boric Acid Dosage on Catalytic Performance
2.1.2. Effect of Acetic Acid Dosage on Camphene Esterification Reaction
2.1.3. Effect of Temperature Changes on Camphene Esterification Reaction
2.1.4. Effect of Changes in Reaction Time on Camphene Esterification
2.1.5. Effect of Water on Camphene Esterification Reaction
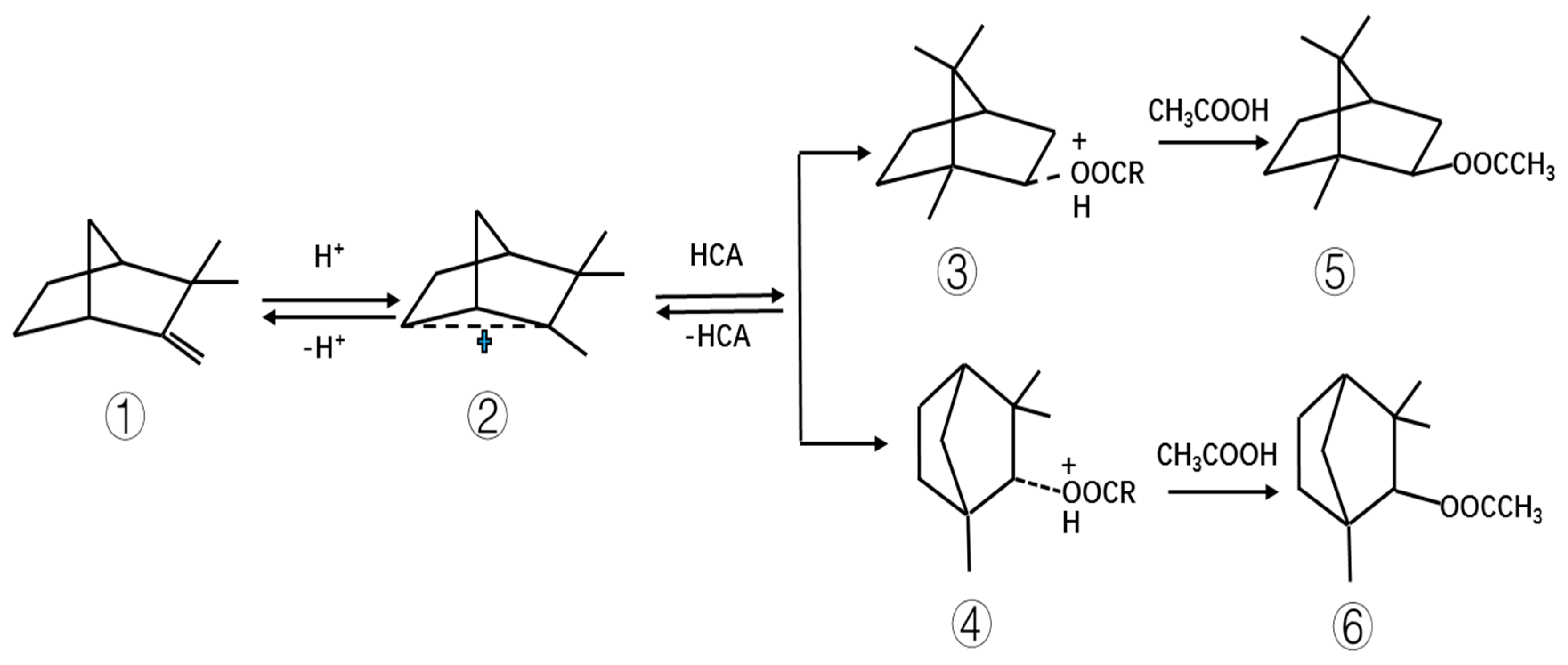
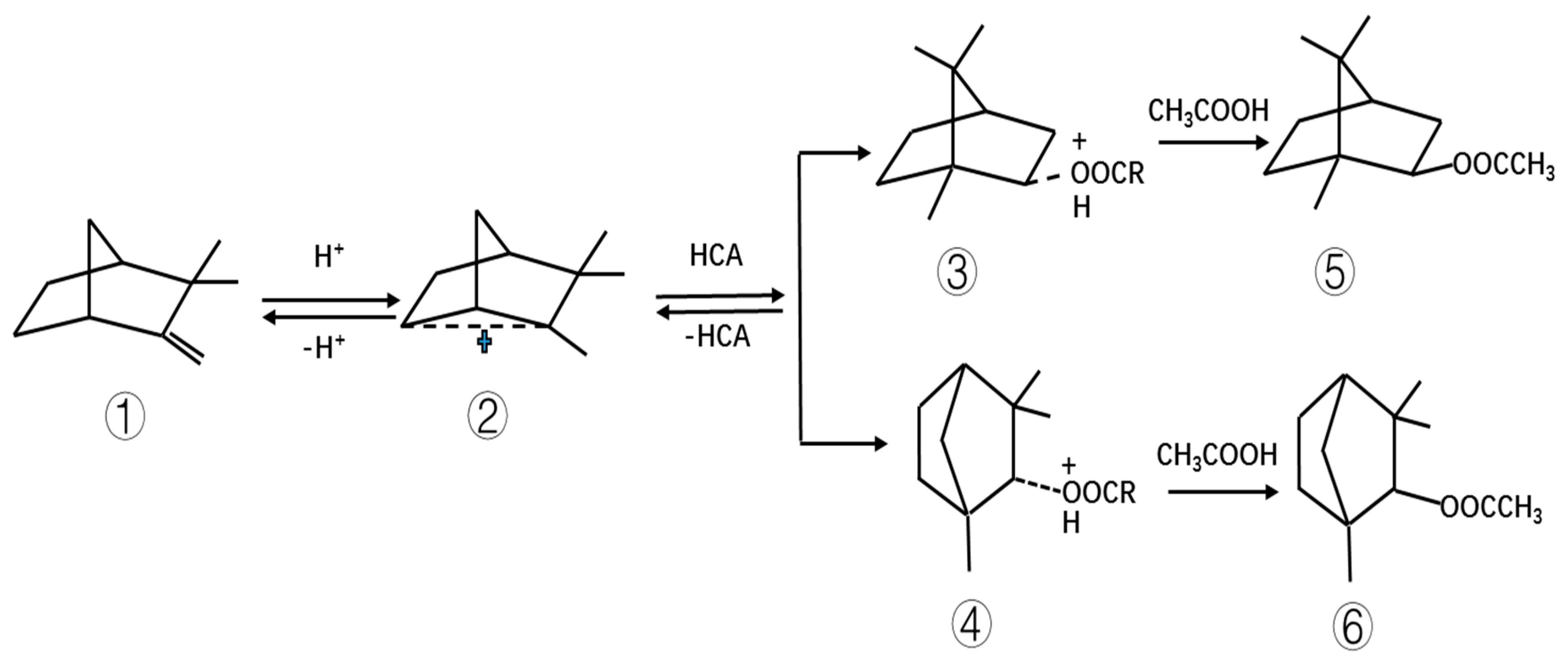
2.2. Reaction Mechanism and Product Analysis of the Esterification of Camphene Catalyzed by HCA–Boric Acid
2.3. Catalyzed Synthesis of Isoborneol from Camphene
2.3.1. Reaction of Camphene and Aqueous Acetic Acid
2.3.2. Camphene Hydration Reaction under Non-Solvent Conditions
3. Experiment
3.1. Materials and Apparatus
3.2. Experimental Methods
3.3. Analytical Methods
4. Conclusions
Supplementary Materials
Author Contributions
Funding
Institutional Review Board Statement
Informed Consent Statement
Data Availability Statement
Acknowledgments
Conflicts of Interest
References
- Politano, V.T.; Lewis, E.M.; Hoberman, A.M.; Diener, R.M.; Api, A.M.; Patel, A. Oral l-Generation Rat Reproduction Study of Isobornyl Acetate: An Evaluation Through Sexual Maturity in the F1 Generation. Int. J. Toxicol. 2017, 36, 252–259. [Google Scholar] [CrossRef] [PubMed]
- Opdyke, D.L.J. Monographs on fragrance raw materials: Isobornyl acetate. Food Cosmet. Toxicol. 1975, 13, 552. [Google Scholar] [CrossRef]
- Bhatia, S.P.; McGinty, D.; Letizia, C.S.; Api, A.M. Fragrance material review on isoborneol. Food Chem. Toxicol. 2008, 46, S182–S184. [Google Scholar] [CrossRef] [PubMed]
- Api, A.M.; Belsito, D.; Bhatia, S.; Bruze, M.; Calow, P.; Dagli, M.L.; Dekant, W.; Fryer, A.D.; Kromidas, L.; La Cava, S.; et al. RIFM fragrance ingredient safety assessment, Isoborneol, CAS Registry Number 124-76-5. Food Chem. Toxicol. 2015, 84, S33–S41. [Google Scholar] [CrossRef]
- Chunl, N.; Jinlong, L.; Qijun, Z. ZHANG Chunlei. Study on the catalyst for the synthesis of isobornyl acetate. Ind. Catal. 2012, 20, 71–75. [Google Scholar]
- Zheng, H.; Yan, Z.; Chu, S.; Chen, J. Continuous synthesis of isobornyl acetate catalyzed by a strong acid cation exchange resin in an oscillatory flow reactor. Chem. Eng. Process. Process. Intensif. 2018, 134, 1–8. [Google Scholar] [CrossRef]
- Dijs, I.J.; Ochten, H.L.F.V.; Heijden, A.J.M.; Geus, J.W.; Jenneskens, L.W. The catalytic performance of sulphonated cross-linked polystyrene beads in the formation of isobornyl acetate. Appl. Catal. A Gen. 2003, 241, 185–203. [Google Scholar] [CrossRef]
- Castanheiroa, J.E.; Fonseca, I.M.; Ramos, A.M.; Vital, J. Acetoxylation of camphene catalysed by beta zeolite. Catal. Commun. 2008, 9, 2205–2208. [Google Scholar] [CrossRef]
- Luo, J.-Y.; Chen, R.; An, X.-N. Syntheses of Isobornyl Acetate Catalyzed by MoO3/ZrO2. J. Nanjing For. Univ. (Nat. Sci. Ed.) 2006, 6, 51–54. [Google Scholar]
- Yang, Y.; Li, X.; Wang, T.; Ge, R.; Lei, Z. Synthesis of Isobornyl Acetate with Solid Acid Catalyst SO42−/TiO2 Supported by Phosphotungstic acid. Shandong Chem. Ind. 2017, 46, 12–14. [Google Scholar] [CrossRef]
- Popova, S.A.; Yu, I. Chukicheva. Ionic Liquids as Catalysts for the Acetylation of Camphene. Key Eng. Mater. 2017, 743, 355–359. [Google Scholar] [CrossRef]
- Liu, Y.; Wu, Y.; Su, M.; Liu, W.; Liu, F. Developing brnsted–lewis acids bifunctionalized ionic liquids based heteropolyacid hybrid as high-efficient solid acids in esterification and biomass conversion. J. Ind. Eng. Chem. Nano Res. 2022, 92, 200–209. [Google Scholar] [CrossRef]
- Qu, Y.-Y.; Zheng, H.-D.; Zou, W.-H.; Wang, Y.-S.; Wu, Y.-X. The Deactivation Mechanism and Regeneration Methods of Resin Catalyst for the Esterification of Camphene. Chem. Ind. For. Prod. 2013, 13, 69–73. [Google Scholar]
- Gui, J.; Yang, Y.; Liang, X.; Zhao, Z.; Huang, J. Synthesis of Isobornyl Acetate from Camphene Isomeric Esterification Catalyzed by Lewis Acids. Chem. Ind. For. Prod. 2018, 38, 110–114. [Google Scholar]
- Liu, Y.; Zhou, Z.; Yang, G.; Zhang, Z. Study on Direct Hydration of Camphene to Isoborneol by Cation Exchange Resins. Int. J. Chem. React. Eng. 2011, 9, 1–16. [Google Scholar] [CrossRef]
- Radbil’, A.B.; Zolin, B.A.; Radbil’, B.A.; Ryazanova, T.V.; Klimanskaya, T.V. Direct Acid-Catalyzed Hydration of Camphene as a Route to Isoborneol. Russ. J. Appl. Chem. 2001, 74, 1850–1853. [Google Scholar] [CrossRef]
- da Silva, K.A.; Kozhevnikov, I.V.; Gusevskaya, E.V. Hydration and acetoxylation of camphene catalyzed by heteropoly acid. J. Mol. Catal. A Chem. 2003, 192, 129–134. [Google Scholar] [CrossRef]
- Britton, H.T.S.; Jackson, P. 209. Physicochemical studies of complex formation involving weak acids. Part IX. Complex formation between boric and tartaric acids. J. Chem. Soc. 1934, 1002–1010. [Google Scholar] [CrossRef]
- Tsuzuki, Y. The Nature of the Complex Formation between Boric Acid and Organic Polyoxy Compounds. Bull. Chem. Soc. Jpn. 1941, 16, 23–31. [Google Scholar] [CrossRef]
- Richard, P.; Russell, S. The boric acid/lactic acid system. Equilibria and reaction mechanism. Inorg. Chem. 1984, 23, 3023–3026. [Google Scholar] [CrossRef]
- Mikio, M.; Yoshinobu, M.; Toshiyuki, T. Thermodynamics for complex formation of boric acid and borate with hydroxy acids and diols. J. Mol. Liq. 2021, 341, 117343. [Google Scholar] [CrossRef]
- Xu, S.; Niu, M.; Zhao, G.; Ming, S.; Li, X.; Zhu, Q.; Ding, L.-X.; Minjun, K.; Asma, A.; Mushab, A.; et al. Size control and electronic manipulation of ru catalyst over b, n co-doped carbon network for high-performance hydrogen evolution reaction. Nano Res. 2022, 1–8. [Google Scholar] [CrossRef]










Disclaimer/Publisher’s Note: The statements, opinions and data contained in all publications are solely those of the individual author(s) and contributor(s) and not of MDPI and/or the editor(s). MDPI and/or the editor(s) disclaim responsibility for any injury to people or property resulting from any ideas, methods, instructions or products referred to in the content. |
© 2023 by the authors. Licensee MDPI, Basel, Switzerland. This article is an open access article distributed under the terms and conditions of the Creative Commons Attribution (CC BY) license (https://creativecommons.org/licenses/by/4.0/).
Share and Cite
Meng, Z.-L.; Qin, R.-X.; Wen, R.-S.; Li, G.-Q.; Liang, Z.-Y.; Xie, J.-K.; Zhou, Y.-H.; Yang, Z.-Q. Study on Synthesizing Isobornyl Acetate/Isoborneol from Camphene Using α-Hydroxyl Carboxylic Acid Composite Catalyst. Molecules 2023, 28, 1875. https://doi.org/10.3390/molecules28041875
Meng Z-L, Qin R-X, Wen R-S, Li G-Q, Liang Z-Y, Xie J-K, Zhou Y-H, Yang Z-Q. Study on Synthesizing Isobornyl Acetate/Isoborneol from Camphene Using α-Hydroxyl Carboxylic Acid Composite Catalyst. Molecules. 2023; 28(4):1875. https://doi.org/10.3390/molecules28041875
Chicago/Turabian StyleMeng, Zhong-Lei, Rong-Xiu Qin, Ru-Si Wen, Gui-Qing Li, Zhong-Yun Liang, Jun-Kang Xie, Yong-Hong Zhou, and Zhang-Qi Yang. 2023. "Study on Synthesizing Isobornyl Acetate/Isoborneol from Camphene Using α-Hydroxyl Carboxylic Acid Composite Catalyst" Molecules 28, no. 4: 1875. https://doi.org/10.3390/molecules28041875
APA StyleMeng, Z.-L., Qin, R.-X., Wen, R.-S., Li, G.-Q., Liang, Z.-Y., Xie, J.-K., Zhou, Y.-H., & Yang, Z.-Q. (2023). Study on Synthesizing Isobornyl Acetate/Isoborneol from Camphene Using α-Hydroxyl Carboxylic Acid Composite Catalyst. Molecules, 28(4), 1875. https://doi.org/10.3390/molecules28041875

