Pioneering Metabolomic Studies on Diaporthe eres Species Complex from Fruit Trees in the South-Eastern Poland
Abstract
1. Introduction
2. Results and Discussion
2.1. ITS-Based Fungal Identification
2.2. Chemical Characterization of Fungal Metabolites
2.2.1. Polyketides
2.2.2. Pyrones
2.2.3. Oxylipins
2.2.4. Chromones
2.2.5. Sesquiterpenoids
2.2.6. Phthalides
2.2.7. Hybrid Compounds
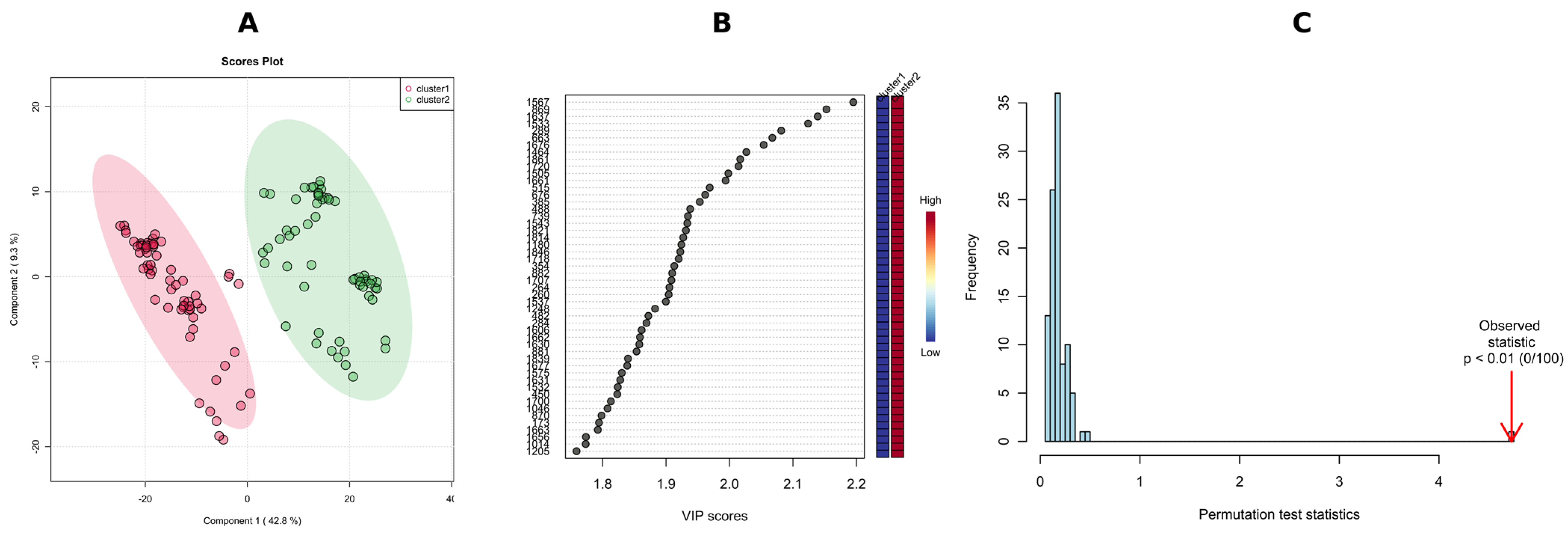
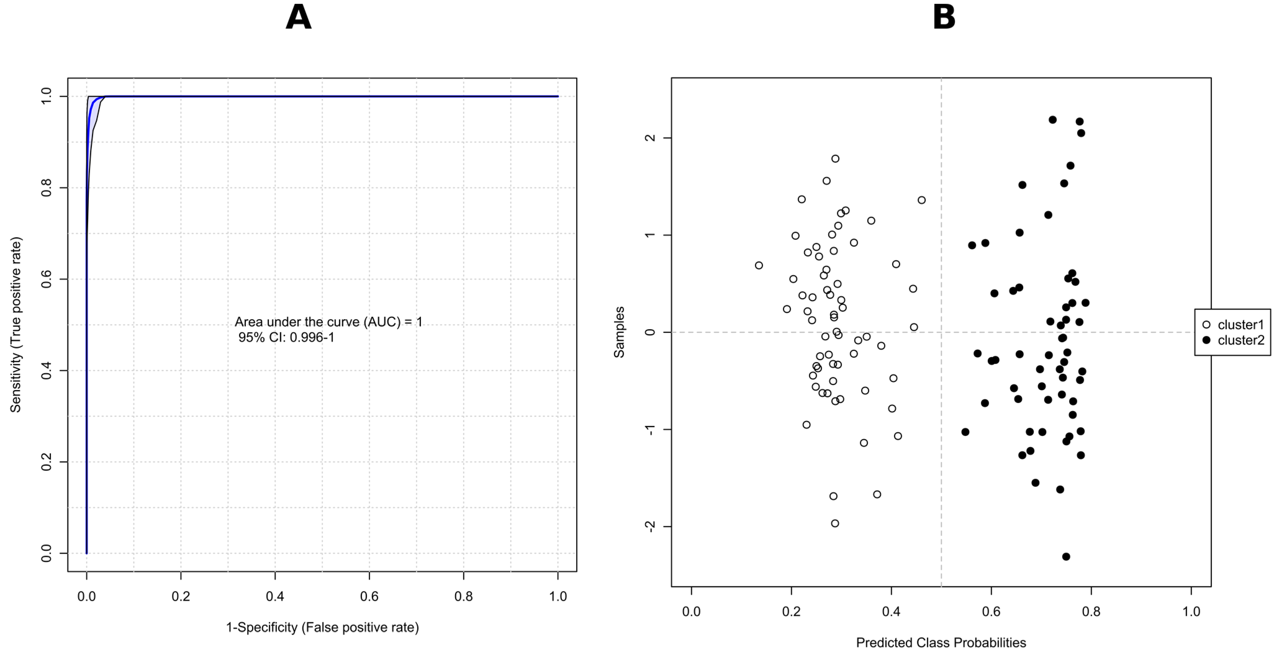
2.3. Metabolite-Based Chemotaxonomy
3. Materials and Methods
3.1. Chemicals and Reagents
3.2. Fungal Strains and Culture Conditions
3.3. DNA Extraction, Amplification and Sequencing
3.4. Extraction of Fungal Metabolites
3.5. UHPLC-QTOF HRMS Profiling
3.6. Data Processing and Metabolite Identification
3.7. Multivariate Statistical Analysis
4. Conclusions
Author Contributions
Funding
Institutional Review Board Statement
Informed Consent Statement
Data Availability Statement
Acknowledgments
Conflicts of Interest
Sample Availability
References
- Rossman, A.Y.; Adams, G.C.; Cannon, P.F.; Castlebury, L.A.; Crous, P.W.; Gryzenhout, M.; Jaklitsch, W.M.; Mejia, L.C.; Stoykov, D.; Udayanga, D. Recommendations of generic names in Diaporthales competing for protection or use. IMA Fungus 2015, 6, 145–154. [Google Scholar] [CrossRef] [PubMed]
- Udayanga, D.; Liu, X.; McKenzie, E.H.C.; Chukeatirote, E.; Bahkali, A.H.A.; Hyde, K.D. The genus Phomopsis: Biology, applications, species concepts and names of common phytopathogens. Fungal Divers. 2011, 50, 189–225. [Google Scholar] [CrossRef]
- Gomes, R.R.; Glienke, C.; Videira, S.I.R.; Lombard, L.; Groenewald, J.Z.; Crous, P.W. Diaporthe: A genus of endophytic, saprobic and plant pathogenic fungi. Persoonia 2013, 31, 1–41. [Google Scholar] [CrossRef]
- Król, E.D.; Abramczyk, B.A.; Zalewska, E.D.; Zimowska, B. Fungi inhabiting fruit tree shoots with special reference to the Diaporthe (Phomopsis) genus. Acta Sci. Pol. Hortorum Cultus 2017, 16, 113–126. [Google Scholar] [CrossRef]
- Sun, W.; Huang, S.; Xia, J.; Zhang, X.; Li, Z. Morphological and molecular identification of Diaporthe species in south-western China, with description of eight new species. MycoKeys 2021, 77, 65–95. [Google Scholar] [CrossRef] [PubMed]
- Santos, L.; Alves, A.; Alves, R. Evaluating multi-locus phylogenies for species boundaries determination in the genus Diaporthe. PeerJ 2017, 5, e3120. [Google Scholar] [CrossRef]
- Guarnaccia, V.; Groenewald, J.Z.; Woodhall, J.; Armengol, J.; Cinelli, T.; Eichmeier, A.; Ezra, D.; Fontaine, F.; Gramaje, D.; Gutierrez-Aguirregabiria, A. Diaporthe diversity and pathogenicity revealed from a broad survey of grapevine diseases in Europe. Persoonia 2018, 40, 135–153. [Google Scholar] [CrossRef]
- Farr, D.F.; Castlebury, L.A.; Pardo-Schultheiss, R.A. Phomopsis amygdali causes peach shoot blight of cultivated peach trees in the southeastern United States. Mycologia 1999, 91, 1008–1015. [Google Scholar] [CrossRef]
- Karaoglanidis, G.S.; Bardas, G. First report of Phomopsis fruit decay on apple caused by Phomopsis mali in Greece. Plant Dis. 2006, 90, 375. [Google Scholar] [CrossRef]
- Guo, Y.S.; Crous, P.W.; Bai, Q.; Fu, M.; Yang, M.M.; Wang, X.H.; Du, Y.M.; Hong, N.; Xu, W.X.; Wang, G.P. High diversity of Diaporthe species associated with pear shoot canker in China. Persoonia 2020, 45, 132–162. [Google Scholar] [CrossRef]
- Harris, D.C. Diaporthe perniciosa associated with plum dieback. Plant Pathol. 1988, 37, 604–606. [Google Scholar] [CrossRef]
- Król, E. Identification and differentiation of Phomopsis spp. isolates from grapevine and some other plant species. Phytopathol. Pol. 2005, 35, 151–156. [Google Scholar]
- Baumgartner, K.; Fujiyoshi, P.T.; Travadon, R.; Castlebury, L.A.; Wilcox, W.F.; Rolshausen, P.E. Characterization of species of Diaporthe from wood cankers of grapes in Eastern North American vineyards. Plant Dis. 2013, 97, 912–920. [Google Scholar] [CrossRef]
- Elfar, K.; Torres, R.; Díaz, G.A.; Latorre, B.A. Characterization of Diaporthe australafricana and Diaporthe spp. associated with stem canker of blueberry in Chile. Plant Dis. 2013, 97, 1042–1050. [Google Scholar] [CrossRef]
- Uecker, F.A. A world list of Phomopsis names with notes on nomenclature, morphology and biology. Mycol. Mem. 1988, 13, 1–231. [Google Scholar]
- Rehner, S.A.; Uecker, F.A. Nuclear ribosomal internal transcribed spacer phylogeny and host diversity in the coelomycete Phomopsis. Can. J. Bot. 1994, 72, 1666–1674. [Google Scholar] [CrossRef]
- Mostert, L.; Crous, P.W.; Kang, J.C.; Phillips, A.J.L. Species of Phomopsis and a Libertella sp. occurring on grapevines with specific reference to South Africa: Morphological, cultural, molecular and pathological characterization. Mycologia 2001, 93, 146–167. [Google Scholar] [CrossRef]
- Guarnaccia, V.; Vitale, A.; Cirvilleri, G.; Aiello, D.; Susca, A.; Epifani, F.; Perrone, G.; Polizzi, G. Characterisation and pathogenicity of fungal species associated with branch cankers and stem-end rot of avocado in Italy. Eur. J. Plant Pathol. 2016, 146, 963–976. [Google Scholar] [CrossRef]
- Guarnaccia, V.; Crous, P.W. Emerging citrus diseases in Europe caused by species of Diaporthe. IMA Fungus 2017, 8, 317–334. [Google Scholar] [CrossRef]
- Udayanga, D.; Castlebury, L.A.; Rossman, A.Y.; Chukeatirote, E.; Hyde, K.D. Insights into the genus Diaporthe: Phylogenetic species delimitation in the D. eres species complex. Fungal Divers. 2014, 67, 203–229. [Google Scholar] [CrossRef]
- Udayanga, D.; Castlebury, L.A.; Rossman, A.Y.; Hyde, K.D. Species limits in Diaporthe: Molecular re-assessment of D. citri, D. cytosporella, D. foeniculina and D. rudis. Persoonia 2014, 32, 83–101. [Google Scholar] [CrossRef] [PubMed]
- Hyde, K.D.; Udayanga, D.; Manamgoda, D.S.; Tedersoo, L.; Larsson, E.; Abarenkov, K.; Bertrand, Y.J.K.; Oxelman, B.; Hartmann, M.; Kauserud, H.; et al. Incorporating molecular data in fungal systematics: A guide for aspiring researchers. Curr. Res. Environ. Appl. Mycol. 2013, 3, 1–32. [Google Scholar] [CrossRef]
- Norphanphoun, C.; Gentekaki, E.; Hongsanan, S.; Jayawardena, R.; Senanayake, I.C.; Manawasinghe, I.S.; Abeywickrama, P.D.; Bhunjun, C.S.; Hyde, K.D. Diaporthe: Formalizing the species-group concept. Mycosphere 2022, 13, 752–819. [Google Scholar] [CrossRef]
- Bhunjun, C.S.; Niskanen, T.; Suwannarach, N.; Wannathes, N.; Chen, Y.-J.; McKenzie, E.; Maharachchikumbura, S.; Buyck, B.; Zhao, C.-L.; Fan, Y.-G.; et al. The numbers of fungi: Are the most speciose genera truly diverse? Fungal Divers. 2022, 114, 387–462. [Google Scholar] [CrossRef]
- Xu, T.-C.; Lu, Y.-H.; Wang, J.-F.; Song, Z.-Q.; Hou, Y.-G.; Liu, S.-S.; Liu, C.-S.; Wu, S.-H. Bioactive Secondary Metabolites of the Genus Diaporthe and Anamorph Phomopsis from Terrestrial and Marine Habitats and Endophytes: 2010–2019. Microorganisms 2021, 9, 217. [Google Scholar] [CrossRef]
- Chepkirui, C.; Stadler, M. The genus Diaporthe: A rich source of diverse and bioactive metabolites. Mycol. Prog. 2017, 16, 477–494. [Google Scholar] [CrossRef]
- Hussain, H.; Ahmed, I.; Schulz, B.; Draeger, S.; Krohn, K. Pyrenocines J–M: Four new pyrenocines from the endophytic fungus, Phomopsis sp. Fitoterapia 2012, 83, 523–526. [Google Scholar] [CrossRef]
- Hussain, H.; Krohn, K.; Ahmed, I.; Draeger, S.; Schulz, B.; Di Pietro, S.; Pescitelli, G. Phomopsinones A–D: Four New Pyrenocines from Endophytic Fungus Phomopsis sp. Eur. J. Org. Chem. 2012, 9, 1783–1789. [Google Scholar] [CrossRef]
- Gu, H.; Zhang, S.; Liu, L.; Yang, Z.; Zhao, F.; Tian, Y. Antimicrobial Potential of Endophytic Fungi From Artemisia argyi and Bioactive Metabolites From Diaporthe sp. AC1. Front. Microbiol. 2022, 13, 908836. [Google Scholar] [CrossRef]
- Sessa, L.; Abreo, E.; Lupo, S. Diversity of fungal latent pathogens and true endophytes associated with fruit trees in Uruguay. J. Phytopathol. 2018, 166, 633–647. [Google Scholar] [CrossRef]
- Abramczyk, B.A.; Król, E.D.; Zalewska, E.D.; Zimowska, B. Morphological characteristics and pathogenicity of Diaporthe eres isolates to the fruit tree shoots. Acta Sci. Pol. Hortorum Cultus 2018, 17, 125–133. [Google Scholar] [CrossRef]
- Abramczyk, B.; Marzec-Grządziel, A.; Grządziel, J.; Król, E.; Gałązka, A.; Oleszek, W. Biocontrol Potential and Catabolic Profile of Endophytic Diaporthe eres Strain 1420S from Prunus domestica L. in Poland A Preliminary Study. Agronomy 2022, 12, 165. [Google Scholar] [CrossRef]
- Nnadi, N.E.; Carter, D.A. Climate change and the emergence of fungal pathogens. PLoS Pathog. 2021, 17, e1009503. [Google Scholar] [CrossRef] [PubMed]
- Elad, Y.; Pertot, I. Climate Change Impacts on Plant Pathogens and Plant Diseases. J. Crop Improv. 2014, 28, 139–199. [Google Scholar] [CrossRef]
- Goddard, M.L.; Mottier, N.; Jeanneret-Gris, J.; Christen, D.; Tabacchi, R.; Abou-Mansour, E. Differential production of phytotoxins from Phomopsis sp. from grapevine plants showing esca symptoms. J. Agric. Food Chem. 2014, 62, 8602–8607. [Google Scholar] [CrossRef]
- Reveglia, P.; Pacetti, A.; Masi, M.; Cimmino, A.; Carella, G.; Marchi, G.; Mugnai, L.; Evidente, A. Phytotoxic metabolites produced by Diaporthe eres involved in cane blight of grapevine in Italy. Nat. Prod. Res. 2021, 35, 2872–2880. [Google Scholar] [CrossRef] [PubMed]
- Grove, J.F.J. Metabolic products of Phomopsis oblonga. Part 2. Phomopsolides A and B, tiglic esters of two 6-substituted 5,6-dihydo-5-hydroxypyran-2-ones. J. Chem. Soc. Perkin Trans. 1985, 1, 865–869. [Google Scholar] [CrossRef]
- Stierle, D.B.; Stierle, A.A.; Ganser, B. New phomopsolides from a Penicillium sp. J. Nat. Prod. 1997, 60, 1207–1209. [Google Scholar] [CrossRef]
- Bhat, Z.S.; Rather, M.A.; Maqbool, M.; Lah, H.U.; Yousuf, S.K.; Ahmad, Z. α-pyrones: Small molecules with versatile structural diversity reflected in multiple pharmacological activities-an update. Biomed. Pharmacother. 2017, 91, 265–277. [Google Scholar] [CrossRef]
- Fujimoto, Y.; Kihara, T.; Isono, K.; Tsunoda, H.; Tatsuno, T.; Matsumoto, K.; Hirokawa, H. Studies on the Biological Activities of Islandic Acid and Related Compounds. Chem. Pharm. Bull. 1984, 32, 1583–1586. [Google Scholar] [CrossRef]
- Zhang, Z.; He, X.; Che, Q.; Zhang, G.; Zhu, T.; Gu, Q.; Li, D. Sorbicillasins AB and Scirpyrone K from a Deep-See-Derived Fungus, Phialocephala sp. FL30r. Mar. Drugs 2018, 16, 245. [Google Scholar] [CrossRef]
- Brodhun, F.; Feussner, I. Oxylipins in fungi. FEBS J. 2011, 278, 2609–2610. [Google Scholar] [CrossRef]
- Noverr, M.C.; Erb-Downward, J.R.; Huffnagle, G.B. Production of eicosanoids and other oxylipins by pathogenic eukaryotic microbes. Clin. Microbiol. Rev. 2003, 16, 517–533. [Google Scholar] [CrossRef]
- Kock, J.L.; Strauss, C.J.; Pohl, C.H.; Nigam, S. The distribution of 3-hydroxy oxylipins in fungi. Prostaglandins Other Lipid Mediat. 2003, 71, 85–96. [Google Scholar] [CrossRef] [PubMed]
- Brodhagen, M.; Tsitsigiannis, D.I.; Hornung, E.; Goebel, C.; Feussner, I.; Keller, N.P. Reciprocal oxylipin-mediated cross-talk in the Aspergillus–seed pathosystem. Mol. Microbiol. 2008, 67, 378–391. [Google Scholar] [CrossRef] [PubMed]
- Burow, G.B.; Gardner, H.W.; Keller, N.P. A peanut seed lipoxygenase responsive to Aspergillus colonization. Plant. Mol. Biol. 2000, 42, 689–701. [Google Scholar] [CrossRef]
- Scarpari, M.; Punelli, M.; Scala, V.; Zaccaria, M.; Nobili, C.; Ludovici, M.; Camera, E.; Fabbri, A.A.; Reverberi, M.; Fanelli, C. Lipids in Aspergillus flavus-maize interaction. Front. Microbiol. 2014, 5, 74. [Google Scholar] [CrossRef] [PubMed]
- Reverberi, M.; Punelli, F.; Scarpari, M.; Camera, E.; Zjalic, S.; Ricelli, A.; Fanelli, C.; Fabbri, A.A. Lipoperoxidation affects ochratoxin A biosynthesis in Aspergillus ochraceus and its interaction with wheat seeds. Appl. Microbiol. Biotechnol. 2010, 85, 1935–1946. [Google Scholar] [CrossRef]
- Christensen, S.A.; Kolomiets, M.V. The lipid language of plant-fungal interactions. Fungal Genet. Biol. 2011, 48, 4–14. [Google Scholar] [CrossRef] [PubMed]
- Sakuradani, E.; Ando, A.; Ogawa, J.; Shimizu, S. Improved production of various polyunsaturated fatty acids through filamentous fungus Mortierella alpina breeding. Appl. Microbiol. Biotechnol. 2009, 84, 1–10. [Google Scholar] [CrossRef]
- Beccaccioli, M.; Reverberi, M.; Scala, V. Fungal lipids: Biosynthesis and signalling during plant-pathogen interaction. Front. Biosci. 2019, 24, 172–185. [Google Scholar] [CrossRef]
- Beccaccioli, M.; Pucci, N.; Salustri, M.; Scortichini, M.; Zaccaria, M.; Momeni, B.; Loreti, S.; Reverberi, M.; Scala, V. Fungal and bacterial oxylipins are signals for intra- and inter-cellular communication within plant disease. Front. Plant Sci. 2022, 13, 823233. [Google Scholar] [CrossRef] [PubMed]
- Masui, H.; Kondo, T.; Kojima, M. An antifungal compound, 9,12,13-trihydroxy-(E)-10-octadecenoicacid, from Colocasia antiquorum inoculated with Ceratocystis fimbriata. Phytochemistry 1989, 28, 2613–2615. [Google Scholar] [CrossRef]
- Gao, J.M.; Wang, C.Y.; Zhang, A.L.; Liu, J.K. A new trihydroxy fatty acid from the ascomycete, Chinese truffle Tuber indicum. Lipids 2001, 36, 1365–1370. [Google Scholar] [CrossRef]
- Kato, T.; Yamaguchi, Y.; Abe, N.; Uyehara, T.; Namai, T.; Kodama, M.; Shiobara, Y. Structure and Synthesis of Unsaturated Trihydroxy C18 Fatty Acids in Rice Plant Suffering from Rice Blast Disease. Tetrahedron Lett. 1985, 26, 2357–2360. [Google Scholar] [CrossRef]
- Stadler, M.; Mayer, A.; Anke, H.; Sterner, O. FattyAcids and Other Compounds with Nematicidal Activity from Cultures of Basidiomycetes. Planta Med. 1994, 60, 128–132. [Google Scholar] [CrossRef] [PubMed]
- Semwal, R.B.; Semwal, D.K.; Combrinck, S.; Vilioen, A. Health benefits of chromones: Common ingredients of our daily diet. Phytochem. Rev. 2020, 19, 761–785. [Google Scholar] [CrossRef]
- Ahmed, I.; Hussain, H.; Schulz, B.; Draeger, S.; Padula, D.; Pescitelli, G.; van Ree, T.; Krohn, K. Three new antimicrobial metabolites from the endophytic fungus Phomopsis sp. Eur. J. Org. Chem. 2011, 15, 2867–2873. [Google Scholar] [CrossRef]
- Chen, J.; Chen, J.; Wang, S.; Bao, X.; Li, S.; Wei, B.; Zhang, H.; Wang, H. Amycolachromones A–F, Isolated from a Streptomycin-Resistant Strain of the Deep-Sea Marine Actinomycete Amycolatopsis sp. WP1. Mar. Drugs 2022, 20, 162. [Google Scholar] [CrossRef]
- Jansen, B.J.M.; de Groot, A. Occurrence, biological activity and synthesis of drimane sesquiterpenoids Nat. Prod. Rep. 2004, 21, 449–477. [Google Scholar] [CrossRef]
- Du, W.; Yang, Q.; Xu, H.; Dong, L. Drimane-type sesquiterpenoids from fungi, Chin. J. Nat. Med. 2022, 20, 737–748. [Google Scholar] [CrossRef]
- Zang, L.Y.; Wei, W.; Guo, Y.; Wang, T.; Jiao, R.H.; Ng, S.W.; Tan, R.X.; Ge, H.M. Sesquiterpenoids from the mangrove-derived endophytic fungus Diaporthe sp. J. Nat. Prod. 2012, 75, 1744–1749. [Google Scholar] [CrossRef] [PubMed]
- Chen, C.J.; Liu, X.X.; Zhang, W.J.; Zang, L.Y.; Wang, G.; Ng, S.W.; Tan, R.X.; Ge, H.M. Sesquiterpenoids isolated from an endophyte fungus Diaporthe sp. RSC Adv. 2015, 5, 17559–17565. [Google Scholar] [CrossRef]
- Ichihara, A.; Sawamura, S.; Sakamura, S. Structures of altiloxins A and B, phytotoxins from Phoma asparagi Sacc. Tetrahedron Lett. 1984, 25, 3209–3212. [Google Scholar] [CrossRef]
- León, A.; Del-Ángel, M.; Ávila, J.L.; Delgado, G. Phthalides: Distribution in Nature, Chemical Reactivity, Synthesis, and Biological Activity. Prog. Chem. Org. Nat. Prod. 2017, 104, 127–246. [Google Scholar] [CrossRef]
- Tsantrizos, Y.S.; Ogilvie, K.K.; Watson, A.K. Phytotoxic metabolites of Phomopsis convolvulus, a host-specific pathogen of field bindweed. Can. J. Chem. 1992, 70, 2276–2284. [Google Scholar] [CrossRef]
- Graniti, A.; Sparapano, L.; Evidente, A. Cyclopaldic acid, a major phytotoxic metabolite of Seiridium cupressi, the pathogen of a canker disease of cypress. Plant Pathol. 1992, 41, 563–568. [Google Scholar] [CrossRef]
- Hemberger, Y.; Xu, J.; Wray, V.; Proksch, P.; Wu, J.; Bringmann, G. Pestaliopens A and B: Stereochemically challenging flexible sesquiterpene-cyclopaldic acid hybrids from Pestalotiopsis sp. Chem. Eur. J. 2013, 19, 15556–15564. [Google Scholar] [CrossRef]
- McMullin, D.R.; Tanney, J.B.; McDonald, K.P.; Miller, J.D. Phthalides produced by Coccomyces strobi (Rhytismataceae, Rhytismatales) isolated from needles of Pinus strobus. Phytochem. Lett. 2019, 29, 17–24. [Google Scholar] [CrossRef]
- Aznar-Fernández, T.; Cimmino, A.; Masi, M.; Rubiales, D.; Evidente, A. Antifeedant activity of long-chain alcohols, and fungal and plant metabolites against pea aphid (Acyrthosiphon pisum) as potential biocontrol strategy. Nat. Prod. Res. 2019, 33, 2471–2479. [Google Scholar] [CrossRef]
- Barilli, E.; Cimmino, A.; Masi, M.; Evidente, M.; Rubiales, D.; Evidente, A. Inhibition of early development stages of rust fungi by the two fungal metabolites cyclopaldic acid and epi- epoformin. Pest Manag. Sci. 2017, 73, 1161–1168. [Google Scholar] [CrossRef] [PubMed]
- Cimmino, A.; Fernandez-Aparicio, M.; Andolfi, A.; Basso, S.; Rubiales, D.; Evidente, A. Effect of fungal and plant metabolites on broomrapes (Orobanche and Phelipanche spp.) seed germination and radicle growth. J. Agric. Food Chem. 2014, 62, 10485–10492. [Google Scholar] [CrossRef] [PubMed]
- Samperna, S.; Masi, M.; Vurro, M.; Evidente, A.; Marra, M. Cyclopaldic Acid, the Main Phytotoxic Metabolite of Diplodia cupressi, Induces Programmed Cell Death and Autophagy in Arabidopsis thaliana. Toxins 2022, 14, 474. [Google Scholar] [CrossRef] [PubMed]
- Xia, J.; Broadhurst, D.I.; Wilson, M.; Wishart, D.S. Translational biomarker discovery in clinical metabolomics: An introductory tutorial. Metabolomics 2013, 9, 280–299. [Google Scholar] [CrossRef] [PubMed]
- Larsen, T.O.; Smedsgaard, J.; Nielsen, K.F.; Hansen, M.E.; Frisvad, J.C. Phenotypic taxonomy and metabolite profiling in microbial drug discovery. Nat. Prod. Rep. 2005, 22, 672–695. [Google Scholar] [CrossRef]
- Stadler, M.; Ju, Y.; Rogers, J.D. Chemotaxonomy of Entonaema, Rhopalostroma and other Xylariaceae. Mycol. Res. 2004, 108, 239–256. [Google Scholar] [CrossRef]
- Horn, W.S.; Schwartz, R.E.; Simmonds, M.S.J.; Blaney, W.M. Isolation and characterization of phomodiol, a new antifungal from Phomopsis. Tetrahedron Lett. 1994, 35, 6037–6040. [Google Scholar] [CrossRef]
- Horn, W.S.; Simmonds, M.S.J.; Schwartz, R.E.; Blaney, W.M. Phomopsichalasin, a novel antimicrobial agent from an endophytic Phomopsis sp. Tetrahedron 1995, 51, 3969–3978. [Google Scholar] [CrossRef]
- Abreu, L.M.; Costa, S.S.; Pfenning, L.H.; Takahashi, J.A.; Larsen, T.O.; Andersen, B. Chemical and molecular characterization of Phomopsis and Cytospora-like endophytes from different host plants in Brazil. Fungal Biol. 2012, 116, 249–260. [Google Scholar] [CrossRef]
- Król, E. Grzyby zasiedlające zdrowe łozy winorośli (Vitis spp.) w wybranych szkółkach. Acta Agrobot. 2006, 59, 163–173. [Google Scholar] [CrossRef]
- White, T.J.; Bruns, T.; Lee, J.; Taylor, J. Amplification and direct sequencing of fungal ribosomal RNA genes for phylogenetics. In PCR Protocols: A Guide to Methods and Applications; Innis, M.A., Gelfand, D.H., Sninsky, J.J., White, T.J., Eds.; Academic Press: San Diego, CA, USA, 1990; pp. 315–322. [Google Scholar]
- Tsugawa, H.; Kanazawa, M.; Ogiwara, A.; Arita, M. MRMPROBS suite for metabolomics using large-scale MRM assays. Bioinformatics 2014, 30, 2379–2380. [Google Scholar] [CrossRef] [PubMed]
- Tsugawa, H.; Cajka, T.; Kind, T.; Ma, Y.; Higgins, B.; Ikeda, K.; Kanazawa, M.; VanderGheynst, J.; Fiehn, O.; Arita, M. MS-DIAL: Data-independent MS/MS deconvolution for comprehensive metabolome analysis. Nat. Methods 2015, 12, 523–526. [Google Scholar] [CrossRef] [PubMed]
- Tsugawa, H.; Kind, T.; Nakabayashi, R.; Yukihira, D.; Tanaka, W.; Cajka, T.; Saito, K.; Fiehn, O.; Arita, M. Hydrogen Rearrangement Rules: Computational MS/MS Fragmentation and Structure Elucidation Using MS-FINDER Software Anal. Chem. 2016, 88, 7946–7958. [Google Scholar] [CrossRef] [PubMed]
- Chong, J.; Wishart, D.S.; Xia, J. Using MetaboAnalyst 4.0 for Comprehensive and Integrative Metabolomics Data Analysis. Curr. Protoc. Bioinform. 2019, 68, e86. [Google Scholar] [CrossRef] [PubMed]
- van den Berg, R.A.; Hoefsloot, H.C.; Westerhuis, J.A.; Smilde, A.K.; van der Werf, M.J. Centering, scaling, and transformations: Improving the biological information content of metabolomics data. BMC Genom. 2006, 7, 142. [Google Scholar] [CrossRef] [PubMed]
- Steuer, R.; Morgenthal, K.; Weckwerth, W.; Selbig, J. A gentle guide to the analysis of metabolomic data. Methods Mol. Biol. 2007, 358, 105–126. [Google Scholar] [CrossRef]
- Keller, N.P.; Hohn, T.M. Metabolic pathway gene clusters in filamentous fungi. Fungal Genet. Biol. 1997, 21, 17–29. [Google Scholar] [CrossRef]
- Shwab, E.K.; Keller, N.P. Regulation of secondary metabolite production in filamentous ascomycetes. Mycol. Res. 2008, 112, 225–230. [Google Scholar] [CrossRef]
- Yang, Q.; Jiang, N.; Tian, C.M. Three new Diaporthe species from Shaanxi Province, China. MycoKeys 2020, 67, 1–18. [Google Scholar] [CrossRef]
- Manawasinghe, I.S.; Dissanayake, A.J.; Li, X.; Liu, M.; Wanasinghe, D.; Xu, J.; Zhao, W.; Zhang, W.; Zhou, Y.; Hyde, K.D.; et al. High genetic diversity and species complexity of Diaporthe associated with grapevine dieback in China. Front. Microbiol. 2019, 10, 1936. [Google Scholar] [CrossRef]
- Cao, L.; Luo, D.; Lin, W.; Yang, Q.; Deng, X. Four new species of Diaporthe (Diaporthaceae, Diaporthales) from forest plants in China. MycoKeys 2022, 91, 25–47. [Google Scholar] [CrossRef]
- Udayanga, D.; Xingzhong, L.; Crous, P.W.; McKenzie, E.H.C.; Chukeatirote, E.; Hyde, K.D. A multi-locus phylogenetic evaluation of Diaporthe (Phomopsis). Fungal Divers. 2012, 56, 157–171. [Google Scholar] [CrossRef]
- Gao, Y.; Liu, F.; Duan, W.; Crous, P.W.; Cai, L. Diaporthe is paraphyletic. Ima Fungus 2017, 8, 153–187. [Google Scholar] [CrossRef] [PubMed]










| Isolate | Host Plant (Shoot) | GenBank Accession No. | Closest Related Species | Similarity [%] | Coverage [%] |
|---|---|---|---|---|---|
| 260J | Malus domestica | OK474176 | D. eres_HQ533144 | 100 | 99.8 |
| 269J | OK474177 | D. eres_KU712214 | 100 | 100 | |
| 1439J | OK474180 | D. eres_HQ533144 | 100 | 100 | |
| 1597J | OK474183 | D. eres_MK352454 | 100 | 100 | |
| 3105J | OK474188 | D. eres_GQ996572 | 100 | 100 | |
| 1046G | Pyrus communis | OK474190 | D. eres_MK352454 | 100 | 100 |
| 1485G | OK474193 | D. eres_HQ533144 | 100 | 100 | |
| 1679G | OK474196 | D. eres_MK352454 | 100 | 100 | |
| 1915G | OK474198 | D. eres_MK352454 | 100 | 100 | |
| 2201G | OK474201 | D. eres_MH931269 | 100 | 100 | |
| 336W | Prunus cerasus | OK474203 | D. eres_EU571099 | 100 | 99.8 |
| 1648W | OK474204 | D. eres_EU571099 | 100 | 99.8 | |
| 1940W | OK474205 | D. eres_MW228360 | 99.6 | 100 | |
| 3230W | OK474214 | D. eres_EU571099 | 100 | 99.8 | |
| 3243W | OK474216 | D. eres_KX274026 | 100 | 100 | |
| 353S | Prunus domestica | OK474217 | D. eres_GQ996572 | 100 | 100 |
| 1419S | OK474220 | D. eres_EU571099 | 100 | 99.8 | |
| 1420S * | MW664034 | D. eres EU571099 | 100 | 99.8 | |
| 1676S | OK474223 | D. eres_EU571099 | 100 | 100 | |
| 2027S | OK474225 | D. eres_EU571099 | 100 | 99.8 | |
| 487CZ | Prunus avium | OK474227 | D. eres_EU571099 | 100 | 99.8 |
| 1478CZ | OK474228 | D. eres_EU571099 | 100 | 99.8 | |
| 1701CZ | OK474229 | D. eres_EU571099 | 100 | 99.8 | |
| 1721CZ | OK474230 | D. eres_EU571099 | 100 | 99.8 | |
| 1725CZ | OK474231 | D. eres_EU571099 | 100 | 99.8 | |
| 388ORZ | Juglans regia | OK474233 | D. eres_GQ996572 | 100 | 100 |
| 404ORZ | OK474234 | D. eres_KX274026 | 100 | 100 | |
| 1755ORZ | OK474236 | D. eres_GQ281804 | 99.8 | 99.8 | |
| 2238ORZ | OK474237 | D. eres_HQ533144 | 100 | 99.3 | |
| 2339ORZ | OK474238 | D. eres_EU571099 | 100 | 100 | |
| 372L | Corylus avellana | OK474239 | D. eres_HQ533144 | 100 | 100 |
| 1567L | OK474240 | D. eres_KX274026 | 100 | 100 | |
| 1569L | OK474241 | D. eres_MK352454 | 100 | 100 | |
| 1805L | OK474246 | D. eres_GQ996572 | 100 | 100 | |
| 2245L | OK474247 | D. eres_EU571099 | 100 | 100 | |
| 3213B | Prunus persica | OK474250 | D. eres_MK352454 | 99.8 | 100 |
| 3215B | OK474251 | D. eres_MK352454 | 99.8 | 100 | |
| 3216B | OK474252 | D. eres_MK352454 | 99,8 | 100 | |
| 3290B | OK474253 | D. eres_HQ533144 | 99,8 | 100 | |
| 3297B | OK474254 | D. eres_GQ996572 | 100 | 100 |
| No | MS-DIAL ID (NI) | MS-DIAL ID (PI) | Rt (min) | UV (nm) | Meas. m/z | [Adduct Type] | Neutral Formula | MW | Error (ppm) | Major Fragments * | Putative Metabolite | Cmp. Class |
|---|---|---|---|---|---|---|---|---|---|---|---|---|
| 1 | 289 | 3.69 | 215, 262 | 511.1095 | [2M − H]− | C11H12O7 | 256.21 | 0.74 | 255.0510, 211.0614, 181.0519, 135.0448 | Islandic acid-II | Pyranone (α-pyrone) | |
| 2 | 120 | 270 | 3.79 | 220 | 197.0809 | [M − H2O + H]+ | C10H14O5 | 214.22 | 0.16 | 197.0807, 179.0704, 151.0754, 137.0594 | Multiplolide A | 10-membered lactone |
| 3 | 1349 | 579 | 3.98 | 215, 282 | 230.1022 | [M + NH3 + H]+ | C10H12O5 | 212.20 | 0.47 | 195.0655, 177.0538, 149.0598 | Pyrenocine P | Pyranone (α-pyrone) |
| 4 | 107 | 4.15 | 215 | 423.1293 | [2M − H]− | C10H12O5 | 212.20 | 2.17 | 211.0611, 167.0698, 111.0434 | 4-[5-(1-Hydroxyethyl)furan-2-yl]-4-oxobutanoic acid | γ-keto acid | |
| 5 | 1015 | 2082 | 4.58 | 215 | 332.1707 | [M + H]+ | C15H25NO7 | 331.36 | −0.97 | 314.1602, 296.1504, 278.1386, 197.0808, 179.0710, 151.0764 | Phomopsolide B derivative tiglic acid amide isomer I | Pyranone or furanone |
| 6 | 108 | 394 | 4.70 | 220, 285 | 213.0755 | [M + H]+ | C10H12O5 | 212.20 | −0.71 | 195.0651, 177.0546, 167.0703, 149.0595, 139.0393 | Scirpyrone K | Pyranone (α-pyrone) |
| 7 | 264 | 4.86 | 220 | 253.0354 | [M − H]− | C11H10O7 | 254.19 | −0.09 | 179.0379, 164.0103 | Strobide B (cyclopaldic acid derivative) | Phthalide | |
| 8 | 976 | 4.87 | 215 | 657.2882 | [2M − H]− | C15H23NO7 | 329.35 | −0.04 | 328.1409, 229.0713 | Dehydro-phomopsolide B derivative tiglic acid amide | Pyranone or furanone | |
| 9 | 174 | 701 | 4.99 | 215, 255 | 239.0550 | [M + H]+ | C11H10O6 | 238.19 | 0.06 | 221.0443, 203.0335, 193.0499, 177.0545, 175.0391, 160.0153 | Convolvulanic acid A isomer I | Phthalide |
| 10 | 1016 | 1856 | 5.10 | 215 | 314.1603 | [M − H2O + H]+ | C15H25NO7 | 331.36 | −1.47 | 314.1599, 296.1485, 278.1402, 197.0812, 179.0705 | Phomopsolide B derivative tiglic acid amide isomer II | Pyranone or furanone |
| 11 | 1014 | 2087 | 5.85 | 215 | 332.1704 | [M + H]+ | C15H25NO7 | 331.36 | −1.47 | 314.1598, 296.1495, 278.1385, 197.0814, 179.0699, 137.0588 | Phomopsolide B derivative tiglic acid amide isomer III | Pyranone or furanone |
| 12 | 1403 | 2841 | 5.98 | 220 | 419.1375 | [M − H2O + H]+ | C18H28O10S | 436.47 | −1.08 | 301.0743, 283.0627, 255.0682, 237.0573, 179.0694 | Unidentified | |
| 13 | 173 | 6.10 | 220 | 237.0404 | [M − H]− | C11H10O6 | 238.19 | 0.26 | 165.0137 | Convolvulanic acid A isomer II | Phthalide | |
| 14 | 1907 | 2838 | 6.11 | 220 | 419.1372 | [M − H2O + H]+ | C18H28O10S | 436.47 | −0.16 | 301.0743, 283.0627, 255.0682, 237.0573, 179.0694 | Unidentified | |
| 15 | 844 | 2134 | 6.63 | 220 | 334.1862 | [M + NH3 + H]+ | C15H24O7 | 316.35 | −0.54 | 299.1498, 281.1382, 213.0779, 181.0863 | Dihydrohydroxyphomopsolidone B isomer I | Furanone |
| 16 | 847 | 1905 | 6.77 | 220 | 317.1595 | [M + H]+ | C15H24O7 | 316.35 | −0.07 | 299.1505, 181.0863, 153.0909, 137.0593 | Dihydrohydroxyphomopsolidone B isomer II | Furanone |
| 17 | 795 | 1870 | 7.06 | 215 | 315.1438 | [M + H]+ | C15H22O7 | 314.33 | 0.09 | 179.0704, 161.0599, 151.0757, 137.0596, 119.0491 | Dihydrohydroxyphomopsolide B isomer I | Pyranone |
| 18 | 739 | 1468 | 7.10 | 220 | 295.0819 | [M − H2O + H]+ | C14H16O8 | 312.27 | −2.15 | 277.0702, 249.0749, 221.0445, 193.0485, 161.0601 | Isariketide | Polyketide |
| 19 | 482 | 1042 | 7.31 | 220 | 267.1596 | [M − H2O + H]+ | C15H24O5 | 284.35 | −1.81 | 249.1469, 231.1386 | Hydroxy-altiloxin A isomer-I | Drimane sesquiterpenoid |
| 20 | 508 | 1058 | 7.35 | 220 | 269.1024 | [M − H2O + H]+ | C13H18O7 | 286.28 | 0.93 | 169.0495, 151.0384, 123.0441 | Unidentified | |
| 21 | 1404 | 2839 | 7.41 | 220 | 419.1375 | [M − H2O + H]+ | C18H28O10S | 436.47 | −0.62 | 301.0746, 197.0808, 189.0214, 179.0702 | Unidentified | |
| 22 | 488 | 2085 | 7.51 | 220 | 267.1593 | [M − H2O + H]+ | C15H24O5 | 284.35 | −0.75 | 249.1483, 231.1374, 205.1586, 189.1277 | Hydroxy-altiloxin A isomer II | Drimane sesquiterpenoid |
| 23 | 798 | 2085 | 7.69 | 220 | 332.1708 | [M + NH3 + H]+ | C15H22O7 | 314.33 | −1.34 | 297.1332, 279.1237, 179.0702 | Dihydrohydroxyphomopsolide B isomer II | Pyranone |
| 24 | 1180 | 7.96 | 220 | 363.0717 | [M − H]− | C17H16O9 | 364.30 | 1.25 | 229.0768, 220.0343, 179.038 | 5-Hydroxymethylasterric acid | Diphenyl ether | |
| 25 | 111 | 128 | 8.43 | 220 | 177.0546 | [M − 2 × H2O + H]+ | C10H12O5 | 212.20 | −0.37 | 177.0546, 149.0595 | (3R,4R,4aR,6R)-4,8-Dihydroxy-6,7-epoxy-3,4,4a,5,6,7-hexahydro-1H-2-benzopyran-1-one (isomer) | Isocoumarin |
| 26 | 748 | 2046 | 8.68 | 220 | 330.1555 | [M + NH3 + H]+ | C15H20O7 | 312.32 | −2.47 | 277.1059, 195.0652, 177.0546, 135.0448 | Dihydrohydroxyphomopsolide A | Pyranone |
| 27 | 143 | 529 | 8.73 | 225, 340 | 225.0758 | [M + H]+ | C11H12O5 | 224.21 | −0.22 | 207.0649, 163.0751, 147.0437 | 5,7-Dihydroxy-O-methylmellein | Dihydroisocoumarin |
| 28 | 1407 | 2837 | 8.85 | 220 | 419.1370 | [M − H2O + H]+ | C18H28O10S | 436.47 | 0.07 | 301.0743, 197.0809, 179.0701 | Unidentified | |
| 29 | 1311 | 8.92 | 220 | 410.0912 | [M − H]− | C27H13N3O2 | 411.41 | 4.90 | - | Unidentified | ||
| 30 | 882 | 9.14 | 220 | 319.1322 | [M − H]− | C15H25ClO5 | 320.81 | −1.33 | 283.1553, 265.1455, 221.1563, 203.1414, 165.0917 | Dihydro-hydroxy-altiloxin B isomer-I | Drimane sesquiterpenoid | |
| 31 | 145 | 533 | 9.21 | 220, 310 | 225.1119 | [M + H]+ | C12H16O4 | 224.25 | −0.29 | 179.1066, 165.0912, 147.0800 | Phomopsinone A | Pyrenocine (α-pyrone) |
| 32 | 799 | 1872 | 9.25 | 220 | 315.1449 | [M + H]+ | C15H22O7 | 314.33 | −5.00 | 297.1353, 215.0913, 197.0803, 179.0698 | Dihydrohydroxyphomopsolide B isomer III | Pyranone |
| 33 | 869 | 1650 | 9.48 | 220 | 301.1204 | [M − H2O + H]+ | C15H23ClO5 | 318.79 | −0.90 | 283.1100, 265.0990, 255.1149, 247.1329 | Hydroxy-altiloxin B isomer I | Drimane sesquiterpenoid |
| 34 | 1861 | 3947 | 9.55 | 220 | 728.3152 | [M + H]+ | C31H53NO16S | 727.82 | 0.80 | 648.3593, 338.2323, 219.1743, 201.1635 | Restricticin derivative | - |
| 35 | 78 | 175 | 9.59 | 220 | 183.1014 | [M − H2O + H]+ | C10H16O4 | 200.23 | 1.85 | 165.0894 | Stagonolide C/G | Macrolide |
| 36 | 646 | 895 | 9.69 | 220 | 255.1596 | [M − H2O − CO + H]+ | C15H24O6 | 300.35 | −0.38 | 237.1486, 219.1377, 191.1432, 173.1321, 163.1484 | Arecoic acid A/B isomer I | Sesquiterpene |
| 37 | 607 | 1893 | 9.97 | 220 | 316.1761 | [M + NH3 + H]+ | C15H22O6 | 298.33 | −2.13 | 299.1465, 281.1374, 201.1512, 181.0859 | Phomopsolidone B | Pyranone |
| 38 | 1205 | 10.08 | 220 | 373.0961 | [M − H]− | C25H14N2O2 | 374.39 | 3.9 | - | Unidentified | ||
| 39 | 1312 | 10.13 | 220 | 825.2562 | [2M − H]− | C18H23NO10 | 413.38 | 1.77 | 221.0813, 177.0914 | Unidentified | ||
| 40 | 279 | 675 | 10.20 | 220 | 237.1484 | [M − H2O + H]+ | C14H22O4 | 254.32 | 0.87 | 219.1373, 191.1432, 173.1321, 133.1015 | Oblongolide R | Naphthofuran (polyketide) |
| 41 | 515 | 1063 | 10.46 | 220 | 269.1747 | [M − H2O + H]+ | C15H26O5 | 286.36 | 0.12 | 251.1639, 233.1531, 215.1428, 205.1584, 187.1479, 177.0905 | Cytospolide F/Q/M | Nonanolide |
| 42 | 644 | 892 | 10.47 | 220 | 255.1588 | [M − H2O − CO + H]+ | C15H24O6 | 300.35 | 0.95 | 237.1483, 219.1379, 191.1428, 173.1329, 163.1481 | Arecoic acid A/B isomer II | Sesquiterpene |
| 43 | 250 | 10.47 | 220 | 251.1287 | [M − H]− | C14H20O4 | 252.31 | −0.07 | 207.1376, 189.1288, 177.1274, 175.1116 | Oblongolide B/C1/E/N isomer I | Norsesquiterpene γ-lactones | |
| 44 | 1248 | 10.59 | 220 | 389.0879 | [M − H]− | C19H18O9 | 390.34 | −0.24 | 220.0367, 192.0386, 189.0538, 179.0348, 149.0242 | Cladonioidesin | Depside | |
| 45 | 331 | 10.76 | 220 | 207.1014 | [M + H]+ | C12H14O3 | 206.24 | 0.83 | 189.0910, 174.0675, 161.0961, 146.0722 | Phomochromone A | Chromone | |
| 46 | 2985 | 10.76 | 220 | 435.1773 | [M + H]+ | C26H26O6 | 434.48 | 5.79 | 229.0833 | Prenylcandidusin C | Dibenzofuran | |
| 47 | 1063 | 11.39 | 220 | 338.2335 | [M − H]− | C19H33NO4 | 339.47 | 2.4 | - | Unidentified | ||
| 48 | 252 | 11.43 | 220 | 251.1292 | [M − H]− | C14H20O4 | 252.31 | −0.86 | 189.1290, 187.1132 | Oblongolide B/C1/E/N isomer II | Norsesquiterpene γ-lactones | |
| 49 | 576 | 1202 | 11.52 | 220 | 279.1226 | [M − H2O + H]+ | C15H20O6 | 296.32 | 0.34 | 261.1116, 219.1015, 179.0698, 137.0597 | Dihydrophomopsolide A | Pyranone |
| 50 | 870 | 11.62 | 220 | 317.1161 | [M − H] − | C15H23ClO5 | 318.79 | 0.00 | 301.2025 | Hydroxy-altiloxin B isomer II | Drimane sesquiterpenoid | |
| 51 | 1606 | 11.64 | 220 | 521.2042 | [M − H]− | C26H34O11 | 522.54 | −2.61 | 283.1554, 265.1450, 193.0503, 163.0398 | Hydroxy-altiloxin A—cyclopolic acid hybrid | Drimane sesquiterpenoid—phthalide hybrid | |
| 52 | 450 | 1307 | 11.74 | 220 | 283.0633 | [M + H]+ | C13H14O5S | 282.31 | 0.61 | 265.0516, 191.0701, 173.0597, 158.0358, 145.0645 | Amycolachromone E | Chromone |
| 53 | 1299 | 11.88 | 220 | 403.1039 | [M − H]− | C20H20O9 | 404.37 | −1.10 | 279.0507, 235.0608, 220.0358, 163.0409 | Unidentified | ||
| 54 | 385 | 871 | 11.89 | 220 | 253.1797 | [M − H2O + H]+ | C15H26O4 | 270.37 | 0.45 | 235.1690, 217.1590, 189.1639, 151.0756 | Dihydro-altiloxin A | Drimane sesquiterpenoid |
| 55 | 881 | 12.02 | 220 | 319.1316 | [M − H]− | C15H25ClO5 | 320.81 | −1.33 | 283.1542, 265.1466, 247.1318, 185.0803 | Dihydro-hydroxy-altiloxin B isomer-II | Drimane sesquiterpenoid | |
| 56 | 1008 | 2071 | 12.02 | 220 | 331.2480 | [M + H]+ | C18H34O5 | 330.46 | −0.30 | 313.2382, 295.2276, 277.2165, 259.2058 | Trihydroxyoctadecenoic acid isomer I | Fatty acid/oxylipin |
| 57 | 1707 | 12.18 | 220 | 568.1605 | [M − H]− | C26H32ClNO11 | 569.99 | −2.44 | 317.1153, 281.1381, 263.1287, 250.0345, 236.0203, 206.0449, 191.0228, 174.0153 | Hydroxy-altiloxin B—isocyclopaldic acid amide hybrid | Drimane sesquiterpenoid—phthalide hybrid | |
| 58 | 676 | 12.19 | 220 | 237.1484 | [M + H]+ | C14H20O3 | 236.31 | 0.51 | 219.1380, 201.1276, 191.1427, 173.1321, 163.1480 | Oblongolide C/D/H/J/P isomer | Norsesquiterpene γ-lactones | |
| 59 | 372 | 12.37 | 220 | 211.1332 | [M + H]+ | C12H18O3 | 210.27 | 0.34 | 193.1211 | Unidentified | Pyranone | |
| 60 | 298 | 12.40 | 220, 255, 290, 340 | 257.0454 | [M − H]− | C14H10O5 | 258.23 | 0.57 | 215.0346, 213.0537, 187.0382, 171.0446, 159.0441 | Alternariol | Benzochromenone (coumarin derivative) | |
| 61 | 942 | 2032 | 12.40 | 220 | 329.2330 | [M + H]+ | C18H32O5 | 328.44 | −2.28 | 311.2225, 293.2117, 275.2008 | Trihydroxyoctadecadienoic acid isomer I | Fatty acid/oxylipin |
| 62 | 552 | 1799 | 12.48 | 220 | 312.1447 | [M + NH3 + H]+ | C15H18O6 | 294.30 | −1.48 | 195.0647, 177.0546, 135.0445 | Phomopsolide A/C | Dihydropyranone |
| 63 | 1664 | 12.55 | 220 | 552.1652 | [M − H]− | C26H32ClNO10 | 553.99 | −2.90 | 317.1169, 234.0391, 190.0506, 175.0281 | Hydroxy-altiloxin B—deoxy-isocyclopaldic acid amide hybrid | ||
| 64 | 1543 | 12.57 | 220 | 493.2457 | [M − H]− | C26H38O9 | 494.58 | −2.82 | 211.0597, 196.0295, 181.0496, 177.0206, 151.0390 | Luminacin E1 | Sesquiterpenoids | |
| 65 | 354 | 827 | 12.60 | 220 | 251.1644 | [M − H2O + H]+ | C15H24O4 | 268.35 | −0.11 | 233.1530, 205.1593, 187.1488, 145.1006 | Altiloxin A | Drimane sesquiterpenoid |
| 66 | 1700 | 12.69 | 220 | 566.1454 | [M − H]− | C26H30ClNO11 | 567.97 | −3.42 | 317.1166, 301.1204, 281.1374, 248.0193, 204.0305 | Hydroxy-altiloxin B—dehydro-isocyclopaldic acid amide hybrid | Drimane sesquiterpenoid—phthalide hybrid | |
| 67 | 952 | 1775 | 12.84 | 220 | 311.2223 | [M − H2O + H]+ | C18H32O5 | 328.44 | −1.57 | 293.2118, 275.2001 | Trihydroxyoctadecadienoic acid isomer II | Fatty acid/oxylipin |
| 68 | 894 | 1981 | 12.99 | 220 | 324.2174 | [M + H]+ | C18H29NO4 | 323.43 | −3.60 | 306.2070, 288.1961 | Bipolamide A | Triene amide |
| 69 | 1009 | 13.03 | 220 | 329.2334 | [M − H]− | C18H34O5 | 330.46 | −0.16 | 229.1441, 211.1338, 183.1394, 171.1047 | Trihydroxyoctadecenoic acid isomer II | Fatty acid/oxylipin | |
| 70 | 1846 | 13.07 | 220 | 680.2120 | [M − H]− | C32H40ClNO13 | 682.11 | −0.67 | 318.0985, 317.1156, 303.0737, 281.1389, 274.1086, 259.0844, 246.1130, 231.0902 | Hydroxy-altiloxin B—methyl-salfredin C3 hybrid | Drimane sesquiterpenoid—phthalide hybrid | |
| 71 | 1830 | 13.12 | 220 | 329.2327 | [M − H]− | C18H34O5 | 330.46 | 2.00 | 229.1443, 211.1331, 183.1394, 171.1016 | Trihydroxyoctadecenoic acid isomer III | Fatty acid/oxylipin | |
| 72 | 676 | 1060 | 13.14 | 220 | 303.1365 | [M − H]− | C15H25ClO4 | 304.81 | 1.19 | 267.1605, 249.1500, 223.1693, 141.0918 | Dihydro-altiloxin B | Drimane sesquiterpenoid |
| 73 | 1583 | 3423 | 13.21 | 220 | 514.3136 | [M + H]+ | C25H43N3O8 | 513.63 | −2.55 | 496.3022, 452.2766, 382.2589, 364.2488 | Arbumycin | Cyclic peptide |
| 74 | 999 | 13.31 | 220 | 329.2328 | [M − H]− | C18H34O5 | 330.46 | 0.75 | 293.2133, 201.1118, 171.1022, 139.1113 | Trihydroxyoctadecenoic acid isomer IV | Fatty acid/oxylipin | |
| 75 | 1254 | 13.44 | 220 | 391.1398 | [M − H]− | C20H24O8 | 392.40 | −1.00 | - | Unidentified | ||
| 76 | 1676 | 3507 | 13.63 | 220 | 555.1639 | [M − H]− | C26H33ClO11 | 556.99 | −0.07 | 317.1157, 281.1380, 263.1278, 237.0376, 191.0350, 175.0379 | Hydroxy-altiloxin B—cyclopolic acid hybrid isomer-I | Drimane sesquiterpenoid—phthalide hybrid |
| 77 | 663 | 1341 | 13.70 | 220 | 285.1259 | [M − H2O + H]+ | C15H23ClO4 | 302.79 | −2.32 | 267.1146, 239.1203, 203.1422, 175.1484 | Altiloxin B | Drimane sesquiterpenoid |
| 78 | 780 | 13.78 | 220 | 311.2219 | [M − H]− | C18H32O4 | 312.44 | −0.70 | 293.2119, 249.1863, 231.1748, 157.0865 | Dihydroxyoctadecadienoic acid isomer I | Fatty acid/oxylipin | |
| 79 | 1821 | 3804 | 13.82 | 220 | 652.2162 | [M − H]− | C31H40ClNO12 | 654.10 | 0.65 | 334.0927, 317.1156, 290.1035, 275.0792, 231.0908, 190.0529 | Hydroxy-altiloxin B—dihydro-salfredin A7 hybrid | Drimane sesquiterpenoid—phthalide hybrid |
| 80 | 1046 | 13.91 | 220 | 335.0825 | [M − H]− | C16H17ClN2O4 | 336.77 | −4.90 | - | Unidentified | - | |
| 81 | 1833 | 14.01 | 220 | 659.4739 | [2M − H]− | C18H34O5 | 330.46 | 0.94 | 311.2218, 293.2122, 211.1324, 199.1340 | Trihydroxyoctadecenoic acid isomer V | Fatty acid/oxylipin | |
| 82 | 940 | 14.13 | 220 | 655.4417 | [2M − H]− | C18H32O5 | 328.44 | 2.32 | 309.2066, 291.1962, 227.1285, 209.1176, 197.1180, 185.1179 | Trihydroxyoctadecadienoic acid isomer III | Fatty acid/oxylipin | |
| 83 | 996 | 14.21 | 220 | 329.2336 | [M − H]− | C18H34O5 | 330.46 | 1.05 | 293.2116, 211.1356, 199.1345, 171.1022 | Trihydroxyoctadecenoic acid isomer VI | Fatty acid/oxylipin | |
| 84 | 221 | 14.47 | 215, 320 | 193.0856 | [M + H]+ | C11H12O3 | 192.21 | 1.67 | 175.0754, 147.0805, 132.0577 | 5-Methylmellein | Benzopyran | |
| 85 | 993 | 14.54 | 220 | 329.2328 | [M − H]− | C18H34O5 | 330.46 | 1.36 | 311.2215, 293.2091, 211.1334, 199.1335, 181.1232, 169.1221 | Trihydroxyoctadecenoic acid isomer VII | Fatty acid/oxylipin | |
| 86 | 299 | 14.64 | 220, 290 | 515.1241 | [2M − H]− | C12H15ClO4 | 258.70 | 1.83 | 213.0685, 183.0586 | Acremonisol A | Dihydroisocoumarin (aromatic pentaketide) | |
| 87 | 1677 | 14.69 | 220 | 555.1662 | [M − H]− | C26H33ClO11 | 556.99 | −4.20 | 317.1154, 299.1059, 237.0396, 191.0339, 175.0391 | Hydroxy-altiloxin B—cyclopolic acid hybrid isomer-II | Drimane sesquiterpenoid—phthalide hybrid | |
| 88 | 1612 | 14.70 | 220 | 523.2178 | [M − H]− | C26H36O11 | 524.56 | −1.17 | 285.1711, 267.1604, 241.1815, 237.0396, 223.1692, 193.0506 | Dihydro-hydroxy-altiloxinA—cyclopolic acid hybrid | Drimane sesquiterpenoid—phthalide hybrid | |
| 89 | 828 | 14.71 | 220 | 313.2383 | [M − H]− | C18H34O4 | 314.46 | −0.85 | 295.2275, 277.2166, 259.2035, 235.2090, 157.0861 | Dihydroxyoctadecenoic acid isomer I | Fatty acid/oxylipin | |
| 90 | 1663 | 14.73 | 220 | 552.1649 | [M − H]− | C26H32ClNO10 | 553.99 | −1.27 | 301.1210, 250.0360, 206.0481, 191.0226 | Altiloxin B—isocyclopaldic acid amide hybrid isomer-I | Drimane sesquiterpenoid—phthalide hybrid | |
| 91 | 1662 | 14.82 | 220 | 552.1644 | [M − H]− | C26H32ClNO10 | 553.99 | −0.37 | 301.1207, 250.0352, 206.0463, 191.0226 | Altiloxin B—isocyclopaldic acid amide hybrid isomer-II | Drimane sesquiterpenoid—phthalide hybrid | |
| 92 | 178 | 711 | 14.88 | 220 | 239.1645 | [M + H]+ | C14H22O3 | 238.32 | −1.38 | 221.1529, 193.1580, 175.1481, 135.1176, 119.0851 | Penihydrone | Cyclic alcohol |
| 93 | 1720 | 14.95 | 220 | 583.1603 | [M − H]− | C27H33ClO12 | 585.00 | −2.61 | 317.1161, 281.1405, 263.1272, 221.0447, 189.0188, 167.1104 | Hydroxy-altiloxin B—O-methylisocyclopaldic acid hybrid | Drimane sesquiterpenoid—phthalide hybrid | |
| 94 | 1785 | 14.98 | 220 | 311.2227 | [M − H]− | C18H32O4 | 312.44 | 0.27 | 293.2108, 275.2017, 249.1856, 235.1706, 195.1390 | Dihydroxyoctadecadienoic acid isomer II | Fatty acid/oxylipin | |
| 95 | 1661 | 845 | 15.43 | 220 | 552.1644 | [M − H]− | C26H32ClNO10 | 553.99 | −0.37 | 301.1218, 250.0359, 206.0457, 191.0226 | Altiloxin B—isocyclopaldic acid amide hybrid isomer-III | Drimane sesquiterpenoid—phthalide hybrid |
| 96 | 722 | 1784 | 15.53 | 220 | 311.2224 | [M + H]+ | C18H30O4 | 310.43 | −2.30 | 293.2109, 275.2007, 187.1115, 159.1152 | Hydroxyoxooctadecadienoic acid isomer I | Fatty acid/oxylipin in |
| 97 | 1532 | 15.54 | 220 | 489.2122 | [M − H]− | C26H34O9 | 490.54 | 1.65 | 211.0614, 209.0445, 195.0280, 193.0501, 181.0505, 151.0398 | Austalide O | Meroterpenoid | |
| 98 | 1718 | 3602 | 15.54 | 220 | 580.1950 | [M − H]− | C28H36ClNO10 | 582.04 | 0.86 | 301.1209, 278.0668, 263.0430, 247.1330 | Altiloxin B—O-dimethylisocyclopaldic acid amide hybrid | Drimane sesquiterpenoid—phthalide hybrid |
| 99 | 1505 | 700 | 15.69 | 220 | 477.2493 | [M − H]− | C26H38O8 | 478.58 | 0.19 | 403.2497, 211.0607, 181.0491, 151.0384 | Antroquinonol U | Meroterpenoid |
| 100 | 2684 | 15.79 | 220 | 404.2065 | [M + NH3 + H]+ | C22H26O6 | 386.44 | 0.68 | 267.1229, 233.0818, 147.0650, 129.0551 | Colletofragarone A1 | Cyclohexenone | |
| 101 | 1630 | 3501 | 15.82 | 220 | 536.1675 | [M − H]− | C26H32ClNO9 | 537.99 | −0.59 | 301.1206, 234.0417, 191.0452, 175.0275 | Altiloxin B—deoxy-isocyclopaldic acid amide hybrid isomer-I | Drimane sesquiterpenoid—phthalide hybrid |
| 102 | 260 | 15.84 | 220 | 251.1648 | [M − H]− | C15H24O3 | 252.35 | 0.27 | 207.1738 | Deoxy-altiloxin A | Drimane sesquiterpenoid | |
| 103 | 1575 | 16.01 | 220 | 507.2226 | [M − H]− | C26H36O10 | 508.56 | 1.91 | 269.1762, 251.1647, 223.1736, 193.0507, 163.0384 | Dihydro-altiloxin A—cyclopolic acid hybrid | Drimane sesquiterpenoid—phthalide hybrid | |
| 104 | 284 | 16.01 | 220 | 253.1809 | [M − H]− | C15H26O3 | 254.37 | 0.07 | 235.1704, 209.1891, 193.1591, 177.1280 | (Deoxy-dihydro-altiloxin A) Diaporol I | Drimane sesquiterpenoid | |
| 105 | 1421 | 16.04 | 220 | 293.2112 | [M − H2O + H]+ | C18H30O4 | 310.43 | −0.25 | 275.2002, 219.1386, 179.1453, | Hydroxyoxooctadecadienoic acid isomer II | Fatty acid/oxylipin | |
| 106 | 1656 | 16.07 | 220 | 550.1492 | [M − H]− | C26H30ClNO10 | 551.97 | −1.18 | 301.1219, 283.1122, 265.1450, 248.0206, 176.0324 | Altiloxin B—dehydro-isocyclopaldic acid amide hybrid | Drimane sesquiterpenoid—phthalide hybrid | |
| 107 | 1839 | 3843 | 16.10 | 220 | 664.2158 | [M − H]− | C32H40ClNO12 | 666.11 | 1.24 | 318.0981, 301.1211, 303.0744, 274.1095, 259.0842, 246.1126, 231.0901 | Altiloxin B—methyl-Salfredin C3 hybrid | Drimane sesquiterpenoid—phthalide hybrid |
| 108 | 714 | 1422 | 16.17 | 220 | 293.2113 | [M − H2O + H]+ | C18H30O4 | 310.43 | −0.58 | 275.2004, 215.1781, 175.1494, 161.1325 | Hydroxyoxooctadecadienoic acid isomer III | Fatty acid/oxylipin |
| 109 | 1567 | 3318 | 16.19 | 220 | 505.2075 | [M − H]− | C26H34O10 | 506.54 | 0.83 | 267.1603, 249.1496, 223.1703, 193.0513, 163.0392 | Altiloxin A—cyclopolic acid hybrid | Drimane sesquiterpenoid—phthalide hybrid |
| 110 | 1782 | 16.40 | 220 | 295.2269 | [M − H2O + H]+ | C18H32O4 | 312.44 | −0.41 | 277.2162, 259.2048, 161.1326 | Dihydroxyoctadecadienoic acid isomer III | Fatty acid/oxylipin | |
| 111 | 1374 | 2961 | 16.43 | 220 | 433.2588 | [M + H]+ | C25H36O6 | 432.55 | −0.77 | 415.2468, 387.2535, 369.2420, 341.2481, 285.1835, 239.1797 | Wortmannilactone B/D isomer I | Macrolide |
| 112 | 1631 | 3502 | 16.44 | 220 | 536.1703 | [M − H]− | C26H32ClNO9 | 537.99 | −1.89 | 301.1225, 190.0499, 162.0564 | Altiloxin B—deoxy-isocyclopaldic acid amide hybrid isomer-II | Drimane sesquiterpenoid—phthalide hybrid |
| 113 | 1814 | 3741 | 16.74 | 220 | 636.2213 | [M − H]− | C31H40ClNO11 | 638.10 | 0.65 | 334.0929, 301.1205, 290.1025, 275.0799, 231.0904, 190.0511 | Altiloxin B—dihydro-salfredin A7 hybrid | Drimane sesquiterpenoid—phthalide hybrid |
| 114 | 1637 | 3461 | 16.78 | 220 | 539.1686 | [M − H]− | C26H33ClO10 | 540.99 | 0.65 | 301.1213, 265.1457, 221.1567, 193.0505, 175.0396, 163.0394 | Altiloxin B—cyclopolic acid hybrid | Drimane sesquiterpenoid—phthalide hybrid |
| 115 | 1669 | 3460 | 17.24 | 220 | 553.1849 | [M − H]− | C27H35ClO10 | 555.01 | −0.54 | 301.1214, 283.1080, 207.0668, 175.0394, 147.0429 | Altiloxin B—O-methylcyclopolic acid hybrid isomer I | Drimane sesquiterpenoid—phthalide hybrid |
| 116 | 788 | 1512 | 17.34 | 220 | 295.2272 | [M − H2O + H]+ | C18H32O4 | 312.44 | −1.37 | 277.2156, 235.2046, 217.1958, 163.1476 | Dihydroxyoctadecadienoic acid isomer IV | Fatty acid/oxylipin |
| 117 | 1668 | 3459 | 17.37 | 220 | 553.1848 | [M − H]− | C27H35ClO10 | 555.01 | −0.36 | 301.1202, 283.1101, 207.0664, 175.0398 | Altiloxin B—O-methylcyclopolic acid hybrid isomer II | Drimane sesquiterpenoid—phthalide hybrid |
| 118 | 832 | 1577 | 17.61 | 220 | 297.2429 | [M − H2O + H]+ | C18H34O4 | 314.46 | −1.52 | 279.2307, 261.2215, 167.1051 | Dihydroxyoctadecenoic acid isomer II | Fatty acid/oxylipin |
| 119 | 2792 | 17.79 | 220 | 415.2115 | [M + H]+ | C24H30O6 | 414.49 | 0.04 | 281.1393, 135.0814, 119.0854 | 4-O-methylmelleolide | Sesquiterpene | |
| 120 | 715 | 1758 | 17.79 | 220 | 311.2214 | [M + H]+ | C18H30O4 | 310.43 | 0.92 | 293.2119, 275.2013, 249.2216, 177.1276 | Gallicynoic acid D (Dihydroxyoctadecenynoic acid isomer) | Fatty acid/oxylipin |
| 121 | 783 | 1526 | 18.12 | 220 | 295.2272 | [M − H2O + H]+ | C18H32O4 | 312.44 | −2.65 | 277.2161, 259.2038 | Dihydroxyoctadecadienoic acid isomer V | Fatty acid/oxylipin |
| 122 | 1703 | 18.43 | 220 | 567.1631 | [M − H]− | C27H33ClO11 | 569.00 | −0.90 | 317.1164, 281.1396, 263.1289, 219.1380, 153.0906 | Hydroxy-altiloxin B—O-methylcyclopaldic acid hybrid | Drimane sesquiterpenoid—phthalide hybrid | |
| 123 | 1375 | 2960 | 18.68 | 220 | 433.2582 | [M + H]+ | C25H36O6 | 432.55 | 0.61 | 415.2480, 387.2521, 369.2433, 341.2478, 295.2427, 239.1790 | Wortmannilactone B/D isomer II | Macrolide |
| 124 | 1291 | 2676 | 18.83 | 220 | 403.2477 | [M + H]+ | C24H34O5 | 402.52 | 0.50 | 385.2376, 367.2280, 357.2441, 339.2318, 321.2214, 311.2386, 283.1698, 237.1647 | Macrolactin G/I/K isomer | Macrolide |
| 125 | 775 | 1504 | 19.02 | 220 | 295.2271 | [M − H2O + H]+ | C18H32O4 | 312.44 | −1.05 | 277.2171, 167.1430 | Dihydroxyoctadecadienoic acid isomer VI | Fatty acid/oxylipin |
| 126 | 1533 | 3248 | 19.05 | 220 | 489.2134 | [M − H]− | C26H34O9 | 490.54 | −0.80 | 251.1649, 237.0400, 191.0350, 163.0390 | Deoxy-altiloxin A—cyclopolic acid hybrid | Drimane sesquiterpenoid—phthalide hybrid |
| 127 | 1537 | 19.26 | 220 | 491.2297 | [M − H]− | C26H36O9 | 492.56 | −2.12 | 253.1811, 235.1703, 191.0360, 163.0401 | Deoxy-dihydro-altiloxin A—cyclopolic acid hybrid (Diaporol I—cyclopolic acid hybrid) | Drimane sesquiterpenoid—phthalide hybrid | |
| 128 | 756 | 1837 | 19.27 | 220 | 313.2381 | [M + H]+ | C18H32O4 | 312.44 | −1.81 | 295.2274, 277.2167, 249.2212, 185.1311, 125.0962 | Dihydroxyoctadecadienoic acid isomer VII | Fatty acid/oxylipin |
| 129 | 1323 | 2824 | 19.48 | 220 | 417.2644 | [M + H]+ | C25H36O5 | 416.55 | −0.60 | 399.2534, 371.2595, 353.2478, 325.2533, 297.2572, 239.1786, 197.1328 | Macrolactin M | Macrolide |
| 130 | 561 | 19.67 | 220 | 587.4315 | [2M − H]− | C18H30O3 | 294.43 | 1.29 | 275.2015, 195.1361 | Oxooctadecadienoic acid I | Fatty acid/oxylipin | |
| 131 | 3451 | 19.79 | 220 | 520.3404 | [M + H]+ | C33H45NO4 | 519.72 | 3.34 | 502.3311, 337.2739, 258.1101, 184.0733 | Sespendole | Indolosesquiterpene | |
| 132 | 593 | 1222 | 20.23 | 220 | 279.2324 | [M − H2O + H]+ | C18H32O3 | 296.45 | 1.88 | 261.2233, 237.1848, 209.1537, 195.1388, 181.1222 | Hydroxyoctadecadienoic acid isomer I | Fatty acid/oxylipin |
| 133 | 1464 | 3051 | 20.28 | 220 | 459.2383 | [M − H]− | C26H36O7 | 460.56 | 1.15 | 385.2379, 379.2274, 357.2444, 195.0297 | Tropolactone D | Meroterpenoid |
| 134 | 596 | 20.75 | 220 | 295.2276 | [M − H]− | C18H32O3 | 296.45 | 0.91 | 277.2169 | Hydroxyoctadecadienoic acid isomer II | Fatty acid/oxylipin | |
| 135 | 1657 | 21.26 | 220 | 551.1692 | [M − H]− | C27H33ClO10 | 553.00 | −0.46 | 301.1206, 283.1098, 221.1540 | Altiloxin B—O-methylcyclopaldic acid hybrid (Pestalotiopen A) | Drimane sesquiterpenoid—phthalide hybrid | |
| 136 | 560 | 1491 | 21.35 | 220 | 295.2268 | [M + H]+ | C18H30O3 | 294.43 | −0.10 | 277.2170, 235.1703, 179.1434 | Hydroxyoctadecatrienoic acid isomer II | Fatty acid/oxylipin |
| 137 | 1757 | 21.44 | 220 | 612.3671 | [M + FA - H]− | C33H49N3O5 | 567.76 | −2.95 | 228.0640, 168.0426, 122.9844, 93.5690 | Unidentified | - | |
| 138 | 571 | 1487 | 21.58 | 220 | 295.2266 | [M + H]+ | C18H30O3 | 294.43 | 0.58 | 277.2157, 241.1954, 221.1525, 179.1431 | Hydroxyoctadecatrienoic acid isomer III | Fatty acid/oxylipin |
| 139 | 626 | 21.59 | 220 | 297.243 | [M − H]− | C18H34O3 | 298.46 | 1.74 | 279.2327 | Hydroxyoctadecenoic acid isomer I | Fatty acid/oxylipin | |
| 140 | 592 | 1230 | 22.24 | 220 | 279.2322 | [M − H2O + H]+ | C18H32O3 | 296.45 | 0.53 | 261.2233, 149.0231 | Hydroxyoctadecadienoic acid isomer III | Fatty acid/oxylipin |
| 141 | 591 | 1587 | 22.61 | 220 | 297.2432 | [M + H]+ | C18H32O3 | 296.45 | −2.63 | 279.2305, 251.2366, 183.1373, 169.1578, | Hydroxyoctadecadienoic acid isomer IV | Fatty acid/oxylipin |
| 142 | 1541 | 22.61 | 220 | 491.3375 | [M + FA - H]− | C28H46O4 | 446.66 | 0.70 | 427.3211, 425.3062, 409.3098, 407.2971, 391.2990, 281.2488 | Stoloniferone N | Ergostane steroid | |
| 143 | 598 | 1572 | 22.87 | 220 | 297.2426 | [M + H]+ | C18H32O3 | 296.45 | −0.60 | 279.2305, 251.2366, 183.1373, 169.1578, 141.1270 | Hydroxyoctadecadienoic acid isomer V | Fatty acid/oxylipin |
| 144 | 4070 | 22.90 | 220 | 865.4796 | [M + H]+ | C55H64N2O7 | 865.11 | −1.12 | 459.2595, 389.2176, 371.2069, 303.1442, 233.1020 | Unidentified | ||
| 145 | 311 | 22.96 | 220 | 257.2119 | [M − H]− | C15H30O3 | 258.40 | 1.23 | 211.2077, 207.1727, 189.1644 | Hydroxypentadecanoic acid | Fatty acid/oxylipin | |
| 146 | 4078 | 23.12 | 220 | 865.4789 | [M + H]+ | C55H64N2O7 | 865.11 | 0.30 | 459.2589, 389.2171, 371.2066, 303.1441, 233.1017 | Unidentified | - | |
| 147 | 602 | 1565 | 23.49 | 220 | 297.2424 | [M + H]+ | C18H32O3 | 296.45 | −0.60 | 279.2319, 261.2209, 243.2110, 233.2265, 167.1431, 135.1176 | Hydroxyoctadecadienoic acid isomer VI | Fatty acid/oxylipin |
| 148 | 403 | 24.15 | 220 | 271.2277 | [M − H]− | C16H32O3 | 272.42 | 0.62 | 225.2225, 223.2062, 197.1894 | Hydroxyhexadecanoic acid isomer | Fatty acid/oxylipin | |
| 149 | 631 | 24.81 | 220 | 297.2433 | [M − H]− | C18H34O3 | 298.46 | 0.73 | 251.2377, 249.2236 | Hydroxyoctadecenoic acid isomer II | ||
| 150 | 2637 | 24.91 | 220 | 395.3313 | [M + H]+ | C28H42O | 394.63 | −1.16 | 377.3208, 311.2371, 293.2264, 251.1790, 211.1486, 157.1013 | Ergosta-5,7,9(11),22-tetraen-3beta-ol | Sterol | |
| 151 | 449 | 1291 | 25.58 | 220 | 281.2471 | [M + H]+ | C18H32O2 | 280.45 | 1.45 | 263.2371, 245.2259, 161.1332 | (Linoleic acid) octadecadienoic acid isomer | Fatty acid |
| 152 | 1293 | 2391 | 25.70 | 220 | 357.2997 | [M + H]+ | C21H40O4 | 356.54 | 0.66 | 339.2895, 283.2635, 265.2525, 247.2422 | 2,3-Dihydroxypropyl oleate (octadecenoyl)-sn-glycerol) | Monoacylglycerol |
| 153 | 472 | 1329 | 26.65 | 220 | 283.2635 | [M + H]+ | C18H34O2 | 282.46 | −1.22 | 265.2527, 247.2426, 163.1482 | Octadecenoic acid isomer | Fatty acid/oxylipin |
| No. | MS-DIAL ID | Tentative Identification | VIP Score | FDR Adj. p-Value | Fold Change (Cluster 2/Cluster 1) | AUC |
|---|---|---|---|---|---|---|
| 109 | 1567 | Altiloxin A—cyclopolic acid hybrid | 2.20 | 3.33 × 10−19 | 128 | 0.995 |
| 33 | 869 | Hydroxy-altiloxin B isomer I | 2.15 | 5.51 × 10−19 | 51 | 0.989 |
| 114 | 1637 | Altiloxin B—cyclopolic acid hybrid | 2.14 | 3.23 × 10−19 | 181 | 0.998 |
| 126 | 1533 | Deoxy-altiloxin A—cyclopolic acid hybrid | 2.12 | 3.23 × 10−19 | 283 | 0.999 |
| 1 | 289 | Islandic acid-II | 2.08 | 3.23 × 10−19 | 159 | 0.998 |
| 77 | 663 | Altiloxin B | 2.07 | 3.54 × 10−19 | 121 | 0.994 |
| 76 | 1676 | Hydroxy-altiloxin B—cyclopolic acid hybrid isomer-I | 2.05 | 3.23 × 10−19 | 178 | 0.996 |
| 133 | 1464 | Tropolactone D | 2.03 | 3.54 × 10−19 | 264 | 0.994 |
| 93 | 1720 | Hydroxy-altiloxin B—O-methylisocyclopaldic acid hybrid | 2.01 | 4.71 × 10−18 | 19 | 0.972 |
| 99 | 1505 | Antroquinonol U | 2.00 | 3.54 × 10−19 | 96 | 0.994 |
| 95 | 1661 | Altiloxin B—isocyclopaldic acid amide hybrid isomer-III | 1.99 | 1.73 × 10−18 | 348 | 0.979 |
| 41 | 515 | Cytospolide F/Q/M | 1.97 | 1.04 × 10−18 | 72 | 0.983 |
| 72 | 676 | Dihydro-altiloxin B | 1.96 | 3.23 × 10−19 | 138 | 0.996 |
| 54 | 385 | Dihydro-altiloxin A | 1.95 | 4.83 × 10−19 | 93 | 0.991 |
| 22 | 488 | Hydroxy-altiloxin A isomer-II | 1.94 | 7.42 × 10−19 | 53 | 0.986 |
| 18 | 739 | Isariketide | 1.93 | 3.23 × 10−19 | 236 | 0.997 |
| 64 | 1543 | Luminacin E1 | 1.93 | 3.23 × 10−19 | 59 | 0.998 |
| 79 | 1821 | Hydroxy-altiloxin B—dihydro-salfredin A7 hybrid | 1.93 | 3.33 × 10−19 | 143 | 0.995 |
| 113 | 1814 | Altiloxin B—dihydro-salfredin A7 hybrid | 1.93 | 3.23 × 10−19 | 266 | 0.996 |
| 24 | 1180 | 5-Hydroxymethylasterric acid | 1.92 | 3.23 × 10−19 | 131 | 0.999 |
| 70 | 1846 | Hydroxy-altiloxin B—methyl-salfredin C3 hybrid | 1.92 | 3.23 × 10−19 | 174 | 0.996 |
| 98 | 1718 | Altiloxin B—O-dimethylisocyclopaldic acid amide hybrid | 1.92 | 7.85 × 10−19 | 217 | 0.986 |
| 65 | 354 | Altiloxin A | 1.91 | 5.51 × 10−19 | 82 | 0.989 |
| 30 | 882 | Dihydro-hydroxy-altiloxin B isomer-I | 1.91 | 5.34 × 10−19 | 54 | 0.989 |
| 57 | 1707 | Hydroxy-altiloxin B—isocyclopaldic acid amide hybrid | 1.91 | 3.23 × 10−19 | 165 | 0.997 |
| 7 | 264 | Strobide B | 1.91 | 3.23 × 10−19 | 95 | 0.997 |
| 102 | 260 | Deoxy-altiloxin A | 1.90 | 3.23 × 10−19 | 135 | 0.999 |
| 127 | 1537 | Diaporol I—cyclopolic acid hybrid | 1.90 | 3.23 × 10−19 | 114 | 0.998 |
| 44 | 1248 | Cladonioidesin | 1.88 | 3.23 × 10−19 | 150 | 1.000 |
| 19 | 482 | Hydroxy-altiloxin A isomer-I | 1.87 | 8.10 × 10−19 | 84 | 0.985 |
| 104 | 284 | Diaporol I | 1.87 | 3.23 × 10−19 | 98 | 0.999 |
| 51 | 1606 | Hydroxy-altiloxin A—cyclopolic acid hybrid | 1.86 | 3.23 × 10−19 | 153 | 0.998 |
| 91 | 1662 | Altiloxin B—isocyclopaldic acid amide hybrid isomer-II | 1.86 | 1.06 × 10−18 | 146 | 0.983 |
| 101 | 1630 | Altiloxin B—deoxy-isocyclopaldic acid amide hybrid isomer-I | 1.86 | 7.65 × 10−19 | 192 | 0.986 |
| 55 | 881 | Dihydro-hydroxy-altiloxin B isomer-II | 1.85 | 9.38 × 10−19 | 56 | 0.984 |
| 107 | 1839 | Altiloxin B—methyl-Salfredin C3 hybrid | 1.84 | 9.22 × 10−19 | 207 | 0.984 |
| 87 | 1677 | Hydroxy-altiloxin B—cyclopolic acid hybrid isomer-II | 1.84 | 1.06 × 10−18 | 78 | 0.983 |
| 103 | 1575 | Dihydro-altiloxin A—cyclopolic acid hybrid | 1.83 | 3.54 × 10−19 | 90 | 0.994 |
| 112 | 1631 | Altiloxin B—deoxy-isocyclopaldic acid amide hybrid isomer-II | 1.83 | 6.66 × 10−19 | 115 | 0.987 |
| 97 | 1532 | Austalide O | 1.82 | 3.67 × 10−19 | 42 | 0.993 |
| 52 | 450 | Amycolachromone E | 1.82 | 1.61 × 10−18 | 40 | 0.980 |
| 66 | 1700 | Hydroxy-altiloxin B—dehydro-isocyclopaldic acid amide hybrid | 1.81 | 3.23 × 10−19 | 103 | 0.996 |
| 80 | 1046 | Unidentified | 1.81 | 5.51 × 10−19 | 73 | 0.989 |
Disclaimer/Publisher’s Note: The statements, opinions and data contained in all publications are solely those of the individual author(s) and contributor(s) and not of MDPI and/or the editor(s). MDPI and/or the editor(s) disclaim responsibility for any injury to people or property resulting from any ideas, methods, instructions or products referred to in the content. |
© 2023 by the authors. Licensee MDPI, Basel, Switzerland. This article is an open access article distributed under the terms and conditions of the Creative Commons Attribution (CC BY) license (https://creativecommons.org/licenses/by/4.0/).
Share and Cite
Abramczyk, B.; Pecio, Ł.; Kozachok, S.; Kowalczyk, M.; Marzec-Grządziel, A.; Król, E.; Gałązka, A.; Oleszek, W. Pioneering Metabolomic Studies on Diaporthe eres Species Complex from Fruit Trees in the South-Eastern Poland. Molecules 2023, 28, 1175. https://doi.org/10.3390/molecules28031175
Abramczyk B, Pecio Ł, Kozachok S, Kowalczyk M, Marzec-Grządziel A, Król E, Gałązka A, Oleszek W. Pioneering Metabolomic Studies on Diaporthe eres Species Complex from Fruit Trees in the South-Eastern Poland. Molecules. 2023; 28(3):1175. https://doi.org/10.3390/molecules28031175
Chicago/Turabian StyleAbramczyk, Barbara, Łukasz Pecio, Solomiia Kozachok, Mariusz Kowalczyk, Anna Marzec-Grządziel, Ewa Król, Anna Gałązka, and Wiesław Oleszek. 2023. "Pioneering Metabolomic Studies on Diaporthe eres Species Complex from Fruit Trees in the South-Eastern Poland" Molecules 28, no. 3: 1175. https://doi.org/10.3390/molecules28031175
APA StyleAbramczyk, B., Pecio, Ł., Kozachok, S., Kowalczyk, M., Marzec-Grządziel, A., Król, E., Gałązka, A., & Oleszek, W. (2023). Pioneering Metabolomic Studies on Diaporthe eres Species Complex from Fruit Trees in the South-Eastern Poland. Molecules, 28(3), 1175. https://doi.org/10.3390/molecules28031175

