Abstract
The enzyme NRH:quinone oxidoreductase 2 (NQO2) plays an important role in the pathogenesis of various diseases such as neurodegenerative disorders, malaria, glaucoma, COVID-19 and cancer. NQO2 expression is known to be increased in some cancer cell lines. Since 3-arylidene-2-oxindoles are widely used in the design of new anticancer drugs, such as kinase inhibitors, it was interesting to study whether such structures have additional activity towards NQO2. Herein, we report the synthesis and study of 3-arylidene-2-oxindoles as novel NRH:quinone oxidoreductase inhibitors. It was demonstrated that oxindoles with 6-membered aryls in the arylidene moiety were obtained predominantly as E-isomers while for some 5-membered aryls, the Z-isomers prevailed. The most active compounds inhibited NQO2 with an IC50 of 0.368 µM. The presence of a double bond in the oxindoles was crucial for NQO2 inhibition activity. There was no correlation between NQO2 inhibition activity of the synthesized compounds and their cytotoxic effect on the A549 cell line.
1. Introduction
Human NRH:quinone oxidoreductase 2 (NQO2) is an enzyme that belongs to the quinone oxidoreductase gene family. The biological activity of NQO2 is quite multifaceted. NQO2 can be considered a detoxifying agent because it catalyzes two-electron reduction of quinones and quinoid compounds into hydroquinones [1]; however, NQO2 activity was also associated with ROS production [2,3,4]. This dual toxifying/detoxifying action of NQO2 is still being debated [5].
NQO2 was linked to the development of various diseases such as neurodegenerative disorders [3,6,7,8,9], malaria [10], glaucoma [11], COVID-19 [12] and various cancers. It is important to note that the role of NQO2 in cancer pathogenesis is still being discussed. It was reported that NQO2 activity contributed to the proliferation of A549 and H1299 cancer cells [13], promoted the establishment of bone metastases of LNCaP-C4-2B prostate cancer [14] and indirectly influenced the activation of NF-kB which resulted in the suppression of cell apoptosis and protection of cancer cells against chemotherapy [15], so NQO2 is considered to be a potential anticancer drug target [16,17,18]. At the same time due to its high expression in cancerous cells, NQO2 can be used as an antitumor prodrug activator [19] and can act as an endogenous cancer suppressor [20,21]. The development of novel NQO2 inhibitors may elucidate the role of this enzyme in cancer pathogenesis.
Owing to the extensive research of Boutin and his team, it is generally assumed that NQO2 is the third melatonin binding site, MT3 [22]. Melatonin was able to inhibit NQO2 in the 50 μM range and it was speculated that melatonin antioxidant activity is at least partly a result of this interaction [23]. The majority of potent NQO2 inhibitors contain at least two or three fused aromatic rings, since it advantageous to possess a planar structure capable of engaging in π–π stacking interactions with the cofactor in the active site of the protein. Other known NQO2 ligands include flavonoids [5], ammosamide B analogues [24], imidazoacridin-6-ones [25], furan-amidines [26], etc.
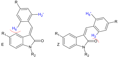
Previously, we demonstrated that 2-oxindole derivatives can act as NQO2 inhibitors and bind to NQO2 binding site, analogous to melatonin [11,27]. In this work we report the development of new oxindole-based NQO2 inhibitors containing additional arylidene moiety in order to amplify the π–π stacking interactions with the FAD cofactor in the active center of the enzyme (Figure 1).
Figure 1.
Proposed design of novel oxindole-based NQO2 inhibitors [27].
2. Results and Discussion
To obtain 3-arylidene-2-oxindoles, the following synthetic approach was used (Scheme 1). The aromatic and heteroaromatic aldehydes were condensed with 2-oxindoles in presence of piperidine as a base with good yields. The synthesis of compounds 1–4, 7–15, 17–20, 24, 25, 27–29, 31, 32, 34–44, 46 and 48–52 was performed according to the our previously published procedure [28,29]. Compounds 5, 6, 16, 21–23, 26, 30, 33, 45, 47 were synthesized during this study (Scheme 1).
Scheme 1.
Synthesis of 3-arylidene-2-oxindoles.
The detailed structures of the obtained 3-arylidene-2-oxindoles are presented in Table 4.
The simultaneous reduction of the double bond and nitro group in compound 4 was performed using Zn/HCl (Scheme 2). Compound 47 was prepared analogously [29].
Scheme 2.
The simultaneous reduction of nitro group and double bond in compound 4.
2.1. Determining the Configuration of Obtained Compounds
3-arylidene-2-oxindoles were often obtained as mixtures of isomers in various ratios, so it was important to establish convenient criteria for determining the predominant isomer. For several arylidene derivatives, we have identified the characteristic signals in the NMR spectra.
2.1.1. Correlation of 1H NMR Signals for E/Z Isomers of 4′-Substituted Benzylidene-2-Oxindoles
For some 4′-substituted benzylidene-2-oxindoles, it was previously found that the chemical shift for the 2′(6′) protons of benzylidene moiety in the 1H NMR spectra are drastically different for E- and Z-isomers, being 7.45–7.84 and 7.85–8.53 ppm, respectively [30]. This significant difference exists due to the fact that 2′ and 6′ protons are deshielded by the carbonyl group of oxindole in the case of Z-isomers, and at the same time the corresponding protons of the E-isomer are shielded by the benzene ring of the oxindole core structure.
In order to determine the main configuration of our products, we analyzed the NMR spectra of the obtained 4′-substituted benzylidene-2-oxindoles (Table 1). We can confirm that this method for establishing the configuration is very convenient since the characteristic signals in Z-isomers significantly shift downfield and can be easily distinguished from other aromatic signals.
Table 1.
Preferred configurations of 4′-substituted benzylidene-2-oxindoles and corresponding characteristic chemical shifts.
2.1.2. Correlation of 1H NMR Signals for E/Z Isomers of 3-(Pyridin-2-Ylmethylidene)-2-Oxindoles
We found the similar spectral trend for 3-(pyridin-2-ylmethylidene)-substituted oxindole derivatives. In E-isomers, the 1H NMR signal which belongs to the H4 proton of the oxindole core has a significant downfield shift because of the deshielding by a nearby pyridine nitrogen. To confirm this hypothesis, we carried out an NOE experiment on compound 1 (Figure 2). This experiment confirmed the assignment of the downfield signal to the H4 proton via its interaction with the other protons of the oxindole core. The NOE correlation was observed between the downshifted signal of H4 and H3′ of the pyridine ring, but no interaction was detected between the methylene proton H and the H4 oxindole proton. Thus, we have shown that the structure of compound 1, which was previously incorrectly identified as Z [28], actually has the E configuration.
Figure 2.
NOE correlations for E-isomer of compound 1.
A pair of doublets (H4 and pyridine H3′ signals) located downfield turned out to be a distinguishing feature of (E)-3-(pyridin-2-ylmethylidene)-2-oxindole derivatives. Thus, we carried out the assignment of signals for all the obtained compounds and identified the predominant isomer in all cases (Table 2).
Table 2.
Preferred configuration of 3-(pyridin-2-ylmethylidene)-2-oxindoles and corresponding characteristic chemical shifts.
2.1.3. Correlation of 1H NMR Signals for E/Z Isomers of Pyrazole Derivatives
We found Z-isomer to be predominant in some pyrazole derivatives. The NOE experiment for 3-(1-methyl-1H-pyrazol-4-ylmethylidene)-2-oxindole 41, obtained as a single isomer, showed the interaction of the double bond proton with the proton H4 of the oxindole fragment (Figure 3), indicating their cis configuration.
Figure 3.
NOE correlation for Z-isomer of compound 41.
The configurations of pyrazole derivative 45 was assigned by comparison of its 1H NMR spectrum with one of the reference compounds. The spectral characteristics of the aromatic region of the 1H NMR spectrum of 45 suggested the predominance of the Z-isomer in this compound as well.
2.2. The Influence of the Reaction Conditions on Isomer Ratio
As can be seen from the above studies, usually one isomer predominates in the synthesized oxindoles. Since E- and Z-isomers may have different biological activities, we searched for new reaction conditions that could increase the content of the minor isomer. We investigated the solvent effect and the influence of microwave activation (MW) on the yields and isomeric composition of the products. The reactions were carried out using standard thermal activation and a standard protic solvent (ethanol), an aprotic low-polar solvent (dioxane) and an aprotic polar solvent (ethyl acetate). As model experiments, both reactions with donor and acceptor aldehydes were carried out (Table 3).
Table 3.
Influence of the reaction conditions on the ratio of isomers.
It is interesting that in case of pyrazole derivatives 39 and 44, the ratio of isomers in all conditions indicated in Table 3 was not dependent on solvent or activation method while for both 6-membered aryls, the quantity of the minor Z-isomer increased with changing ethanol to an aprotic solvent (Table 3). When carrying out the reaction with an acceptor aldehyde in an aprotic solvent, intermediate 1a precipitated after 10 min and can be isolated. Interestingly, in the case of dioxane, the reaction went further until complete conversion to compound 1 as a mixture of isomers, while in ethyl acetate the reaction stopped at the stage of formation of product 1a (Scheme 3).
Scheme 3.
The isolation of intermediate product 1a using ethyl acetate as solvent.
Thus, for non-pyrazole aldehydes, changing the solvent and MW can increase the yield of the minor Z-isomer, but does not lead to a complete inversion of the isomeric composition of the products. To obtain the E-isomer, standard reaction conditions remain preferable.
2.3. Biological Activity of the Obtained Compounds
The inhibition activity of all synthesized compounds at a concentration of 10 µM was preliminarily tested in vitro using human recombinant NRH:quinone oxidoreductase (NQO2). For active compounds, IC50 values were also determined. Quercetin [31,32] and melatonin [22] were used as positive controls (Table 4, Figure S21). It was found that the presence of a 3-arylidene moiety was necessary for NQO2 inhibition, while 3-alkyl derivatives were essentially inactive. The most active compounds contain an OH-group in the arylidene moiety (13, 15–18). Addition of a 5-acylamino or 5-carbamoylamino group may increase the compound’s inhibition activity, and an increase in affinity was also caused by the addition of a methyl group to the amide nitrogen of the oxindole ring (as demonstrated by compounds 1 and 2 or 14 and 15).
Table 4.
Evaluation of enzyme inhibition activity and compound cytotoxicity against A549 cancer cell line.
The mechanism of NQO2 inhibition by one of the lead compounds, 15, was elucidated using a kinetic experiment (Figure 4 and Figure S22). The reaction rate was monitored under a range of inhibitor (0–25 µM) and BNAH substrate concentrations (9.375–150 µM). We found that both maximum rate Vmax and Michaelis constant Km decreased while Vmax/Km ratio increased at higher BNAH concentrations. Hence, 15 behaves as a typical mixed-type (noncompetitive) inhibitor.
Figure 4.
Kinetic evaluation of NQO2 inhibition by compound 15.
The cytotoxicity of the synthesized oxindoles was studied using the A549 cell line in which the levels of NQO2 are increased (Table 4). We found that some oxindoles had moderate cytotoxic effects in the micromolar range of concentration, but no correlation between NQO2 inhibition activity and influence on cell viability was observed. The cytotoxicity of the compounds may be due to the inhibition of other enzymes associated with the activation of apoptosis in cancer cells, for example GSK3b or tyrosine kinases, or with the general non-specific toxicity of these compounds. Thus, the influence of NQO2 on A549 cell viability has not been established.
2.4. In Silico Studies
To analyze the mode of binding of the obtained oxindole derivatives to the NQO2 active site, we performed ligand–protein (Induced Fit) calculations using the Schrodinger software package. The 3OWH PDB structure [33] was used as a protein model. The calculation results are given for active compound 15 (Figure 5), and similar patterns can be traced for the other derivatives (see Supplementary Materials, Figure S23 and Table S1).
Figure 5.
Proposed binding models of MCA-NAT and 15 to active site of NQO2 (blue) with FAD (green). (A): binding pose of MCA-NAT (purple) and E-isomer (yellow) of 15. (B): E- (yellow) and Z- (red) isomers of 15. (C): interaction map for the E-isomer of 15. (D): interaction map for the Z-isomer of 15.
The possibility of π–π stacking of both E- and Z-isomers of 15 with FAD are shown. For the E-isomer, the binding geometry (the first calculated positions according to the docking score) was extremely similar to MCA-NAT (Figure 5A) (PDB 3OVM [33]) and to our previously reported 2-oxindole analogue [27]. The position of the Z-isomer was similar to the E one and to the classic inhibitors mentioned above (Figure 5B). This allows us to conclude that there is a possibility of binding both isomers (Z and E) in a manner similar to MCA-NAT.
3. Materials and Methods
3.1. Chemistry
All solvents were used as received without further purification. The reactions were monitored by thin layer chromatography (TLC) carried out on Merck TLC silica gel plates (60 F254), using UV light for visualization. Flash column chromatography purifications were carried out using silica gel 60 (particle size 0.040–0.060 mm).
1H and 13C NMR spectra were recorded at 298 K on a Bruker Avance 300 spectrometer with operating frequencies of 400.13 and 100.6 MHz, respectively, and calibrated using residual CHCl3 (δH = 7.26 ppm) and CDCl3 (δC = 77.16 ppm) or DMSO-d5 (δH = 2.50 ppm) and DMSO-d6 (δC = 39.52 ppm) as internal references. NMR data were presented as follows: chemical shift (δ ppm), multiplicity (s = singlet, d = doublet, dd = doublet of doublets, t = triplet, td = triplet of doublets, q = quartet, m = multiplet, br. = broad), coupling constant (J) in Hertz (Hz), integration. High-resolution mass spectra (HRMS) were measured on a Thermo Scientific LTQ Orbitrap instrument using nanoelectrospray ionization (nano-ESI). The reactions under microwave irradiation were carried out in a Monowave 300 microwave reactor (Anton Paar, GmbH, Graz, Austria), as well as in a Bosch HMT72M420 domestic microwave oven with a volume of 17 L. The reactions under thermal activation conditions were carried out on laboratory hot plates, as well as in a ChemiStation chemical reactor (EYELA). 1H and 13C NMR spectra of all novel compounds (Figures S1–S20) are given in Supplementary Materials.
Isatin, 5-methoxyisatin and 5-bromoisatin were purchased from Merck. N-methyloxindole was obtained by N-alkylation using a previously described procedure [34]. The following compounds were obtained as previously described: 5-nitro-2-oxindole [28], 5-amino-2-oxindole [28], 5-acetamido-2-oxindole [28], 5-methoxycarbonylamino-2-oxindole [28], 5-benzoylamino-2-oxindole [28], 5-furoylamino-2-oxindole [28], (E)-3-(2-pyridinylmethylidene)-2-oxindole 1 [28], N-methyl-3-((pyridin-2-yl)methylene)-2-oxindole 2 [29], 5-bromo-3-(2-pyridinylmethylidene)-2-oxindole 3 [28], 5-nitro-3-(2-pyridinylmethylidene)-2-oxindole 4 [28], 3-(3-pyridinylmethylidene)-2-oxindole 7 [28], 5-bromo-3-(3-pyridinylmethylidene)-2-oxindole 8 [28], 5-nitro-3-(3-pyridinylmethylidene)-2-oxidole 9 [28], 3-(4-pyridinylmethylidene)-2-oxindole 10 [28], 5-bromo-3-(4-pyridinylmethylidene)-2-oxindole 11 [28], 5-nitro-3-(4-pyridinylmethylidene)-2-oxindole 12 [28], 3-(3-hydroxybenzylidene)-5-acetylamino-2-oxindole 13 [28], 3-(4-hydroxybenzylidene)-2-oxindole 14 [29], 3-(4-hydroxybenzylidene)-N-methyl-2-oxindole 15 [29], 3-(4-hydroxybenzylidene)-5-(methoxycarbonylamino)-2-oxindole 17 [28], 3-(4-hydroxybenzylidene)-5-furoylamino-2-oxindole 18 [28], 3-(4-hydroxybenzylidene)-5-benzoylamino-2-oxindole 19 [28], 3-((4-methoxyphenyl)methylene)-2-oxindole 20 [29], 3-(3,4,5-trimethoxybenzylidene)-5-acetylamino-2-oxindole 24 [28], 3-(3,4,5-trimethoxybenzylidene)-5-furoylamino-2-oxindole 25 [28], 3-((4-nitrophenyl)methylene)-2-oxindole 27 [29], 3-(4-nitrobenzylidene)-5-(methoxycarbonylamino)-2-oxindole 28 [28], 5-benzoylamino-3-((4-nitrophenyl)methylene)-2-oxindole 29 [29], 3-(4-bromobenzylidene)-5-bromo-2-oxindole 31 [28], 3-(4-bromobenzylidene)-5-(methoxycarbonylamino)-2-oxindole 32 [28], 3-(2-furylmethylidene)-2-oxindole 34 [28], 5-bromo-3-(2-furylmethylidene)-2-oxindole 35 [28], 5-nitro-3-(2-furylmethylidene)-2-oxindole 36 [28], 3-(2-thienylmethylidene)-2-oxindole 37 [28], 5-bromo-3-(2-thienylmethylidene)-2-oxindole 38 [28], 3-((5-ethoxycarbonyl-1H-pyrazol-4-yl)methylene)-2-oxindole 39 [29], 3-((5-ethoxycarbonyl-1H-pyrazol-4-yl)methylene)-5-nitro-2-oxindole 40 [29], 3-((1-methyl-1H-pyrazol-4-yl)methylene)-2-oxindole 41 [29], 3-((3,5-dimethyl-1H-pyrazol-4-yl)methylene)-2-oxindole 42 [29], 3-((3-methyl-1H-pyrazol-4-yl)methylene)-2-oxindole 43 [29], 3-((3,5-dimethyl-1-phenyl-1H-pyrazol-4-yl)methylene)-2-oxindole 44 [29], 3-(4-aminobenzyl)-2-oxindole 46 [29], 3-hydroxy-5-methoxy-3-[2-(4-methylphenyl)-2-oxoethyl]-2-oxindole 48 [28], 3-hydroxy-5-bromo-3-[2-(4-methylphenyl)-2-oxoethyl]-2-oxindole 49 [28], 3-hydroxy-5-bromo-3-[2-(4-methoxyphenyl)-2-oxoethyl]-2-oxindole 50 [28], 3-hydroxy-5-(2-furoylamino)-3-[2-(4-methylphenyl)-2-oxoethyl]-2-oxindole 51 [28], 3-hydroxy-3-[2-(4-methylphenyl)-2-oxoethyl]-2-oxindole 52 [28].
3.1.1. General Procedure for Synthesis of 3-Arylidene-2-Oxindoles
2-oxindole (1 eq.) and the corresponding carboxaldehyde (1 eq.) were dissolved in 2–5 mL of solvent and 60–120 µL of piperidine was added. The reaction mixture was refluxed until the parent oxindole disappeared (monitored by TLC). The reaction mixture was then cooled down to room temperature. If a precipitate formed, it was filtered off and washed with ethyl acetate and diethyl ether and dried. If no precipitate appeared, the solution was concentrated in a vacuum and the resulting product was washed with ethyl acetate and diethyl ether and dried. The following compounds were obtained according to this procedure, with the reactions carried out in ethanol:
- (E,Z)-3-(2-Pyridinylmethylidene)-5-acetamido-2-oxindole 5
- From 0.18 g (0.94 mmol) of 5-acetamido-2-oxindole, 87 µL (0.94 mmol) of 2-pyridinecarboxaldehyde and 75 µL (0.88 mmol) of piperidine with ethanol as solvent the reddish-brown powder (0.156 g, 59%) was obtained as a mixture of two isomers. According to 1H NMR E/Z stereoisomer ratio is 7.15:1, respectively.
- E isomer, 1H NMR (400.13 MHz, DMSO-d6, ppm): 2.02 (s, 3H, CH3), 6.76 (d, J = 8.4 Hz, 1H, H7), 7.42–7.48 (m, 1H), 7.49–7.55 (m, 2H), 7.82 (d, J= 7.7 Hz, 1H), 7.92 (td, J1 = 7.7 Hz, J2 = 1.8 Hz, 1H), 8.90 (d, J = 3.7 Hz, 1H, H3′), 9.30 (d, J = 2.0 Hz, 1H, H4), 9.89 (br.s, 1H, NH), 10.53 (br. s, 1H, NH).
- Selected peaks of Z isomer, 1H NMR (400.13 MHz, DMSO-d6, ppm): 1.96 (s, 3H, CH3), 6.85 (d, J = 7.9 Hz, 1H, H7), 7.66–7.71 (m, 1H), 8.00–8.05 (m, 1H), 8.80 (d, J = 4.8 Hz, 1H, H3′).
- 13C NMR (100.6 MHz, DMSO-d6, ppm): 24.35, 109.61, 120.54, 121.91, 122.44, 124.45, 128.47, 130.18, 133.79, 134.19, 137.61, 139.66, 150.16, 153.59, 168.25, 169.77.
- HRMS (ESI), m/z: (M+H) found 280.1073, C16H14N3O2 requires 280.1086, (M + Na) found 302.0891, C16H13N3O2Na requires 302.0905.
- (E,Z)-3-(2-Pyridinylmethylidene)-5-benzoylamino-2-oxindole 6
- From 0.100 g (0.4 mmol) of 5-benzoylamino-oxindole, 43 µL (0.4 mmol) of 2-pyridinecarboxaldehyde and 30 µL (0.35 mmol) of piperidine with ethanol as solvent the light brown powder (0.084 g, 62%) was obtained as a mixture of two isomers. According to 1H NMR E/Z stereoisomer ratio is 6:1, respectively.
- E isomer, 1H NMR (400.13 MHz, DMSO-d6, ppm): 6.84 (d, J = 8.4 Hz, 1H), 7.41–7.58 (m, 5H), 7.61 (dd, J1 = 8.4 Hz, J2 = 2.0 Hz, 1H), 7.84 (d, J = 7.7 Hz, 1H), 7.88–7.97 (m, 4H), 8.88 (d, J = 3.9 Hz, 1H, H3′), 9.46 (d, J = 1.7 Hz, 1H, H4), 10.22 (br. s, 1H, NH), 10.67 (br.s, 1H, NH).
- Selected peaks of Z isomer, 1H NMR (400.13 MHz, DMSO-d6, ppm): 7.02 (d, J = 8.8 Hz, 1H, H7), 7.19–7.30 (m, 3H), 7.72 (d, J = 7.7 Hz, 1H).
- 13C NMR (100.6 MHz, DMSO-d6, ppm): 109.27, 121.50, 121.68, 123.85, 124.12, 127.69, 128.14, 128.37, 129.74, 131.35, 132.98, 133.93, 135.30, 137.24, 139.97, 149.83, 153.20, 165.37, 169.49.
- HRMS (ESI), m/z: (M + H) found 342.1233, C21H16N3O2 requires 342.1242, (M + Na) found 364.1051, C21H15N3O2Na requires 364.1062, (M+K) found 380.0790, C21H15N3O2K requires 380.0801.
- (E,Z)-3-(4-Hydroxybenzylidene)-5-acetamido-2-oxindole 16
- From 0.192 g (1 mmol) of 5-acetamido-2-oxindole, 0.122 g (1 mmol) of 4-hydroxybenzaldehyde and 80 µL (0.94 mmol) of piperidine with ethanol as solvent the yellow powder (0.189 g, 64%) was obtained as a mixture of two isomers. According to 1H NMR E/Z stereoisomer ratio is 2.6:1 respectively.
- E isomer, 1H NMR (400.13 MHz, DMSO-d6, ppm): 1.99 (s, 3H, CH3), 6.78 (d, J = 8.3 Hz, 1H, H7), 6.87 (d, J = 8.6 Hz, 2H, H3′,H5′), 7.40 (td, J1 = 8.3 Hz, J2 = 1.9 Hz, 1H, H6), 7.51 (s, 1H, CH=), 7.62 (d, J = 8.7 Hz, 2H, H2′,H6′), 8.12 (d, J = 1.9 Hz, 1H, H4), 9.80 (s, 1H, NH), 10.42 (br.s, 1H, NH).
- Selected peaks of Z isomer, 1H NMR (400.13 MHz, DMSO-d6, ppm): 2.02 (s, 3H, CH3), 6.70–6.83 (m, 3H), 7.22 (dd, J1 = 8.3 Hz, J2 = 1.9 Hz, 1H, H6), 7.48 (s, 1H, CH=), 7.82 (d, J = 1.9 Hz, 1H, H4), 8.39 (d, J = 8.8 Hz, 2H, H2′,H6′), 9.68 (s, 1H, NH), 10.46 (br.s, 1H, NH).
- 13C NMR (100.6 MHz, DMSO-d6, ppm): 24.29, 24.49, 109.98, 114.47, 116.11, 116.46, 120.83, 121.84, 124.45, 124.58, 132.57, 133.56, 135.58, 137.40, 138.44, 161.08, 168.27, 169.79.
- (E,Z)-3-(4-Methoxybenzylidene)-5-benzoylamino-2-oxindole 21
- From 0.100 g (0.4 mmol) of 5-(benzoylamino)oxindole, 0.055 g (0.4 mmol) of 4-methoxybenzaldehyde and 30 µL (0.35 mmol) of piperidine with ethanol as solvent the greenish grey powder (0.113 g, 77%) was obtained as a mixture of two isomers. According to 1H NMR E/Z stereoisomer ratio is 2:1, respectively.
- E isomer, 1H NMR (400.13 MHz, DMSO-d6, ppm): 3.81 (s, 3H, CH3), 6.88 (d, J = 8.3 Hz, 1H, H7), 7.07 (d, J = 8.7 Hz, 2H), 7.43–7.66 (m, 5H), 7.76 (d, J = 8.3 Hz, 2H), 7.91 (d, J = 7.2 Hz, 2H), 8.24 (s, 1H, CH=), 10.18 (br.s, 1H, NH), 10.60 (br.s, 1H, NH).
- Selected peaks of Z isomer, 1H NMR (400.13 MHz, DMSO-d6, ppm): 3.82 (s, 3H, CH3), 6.82 (d, J = 8.4 Hz, 1H, H7), 7.03 (d, J = 8.6 Hz, 2H), 7.86 (d, J = 8.6 Hz, 1H, Hind), 8.00 (d, J = 7.1 Hz, 2H), 8.09 (s, 1H, CH=), 8.51 (d, J = 8.7 Hz, 2H, H2′,H6′), 9.85 (br.s, 1H, NH), 10.22 (br.s, 1H, NH).
- 13C NMR (100.6 MHz, DMSO-d6, ppm): 55.40, 109.72, 113.80, 114.38, 115.63, 121.12, 121.85, 122.59, 124.28, 125.29, 125.54, 126.53, 126.92, 127.59, 127.64, 128.36, 128.42, 131.41, 131.47, 131.79, 131.85, 132.84, 132.88, 134.59, 135.12, 136.24, 136.85, 136.88, 138.94, 160.61, 161.29, 165.24, 165.36, 167.62, 169.24.
- (E)-3-(4-Ethoxybenzylidene)-2-oxindole 22
- From 0.100 g (0.8 mmol) of 2-oxindole, 0.115 g (0.8 mmol) of 4-ethoxybenzaldehyde and 60 µL (0.7 mmol) of piperidine with ethanol as solvent the yellow powder (0.146 g, 73%) was obtained as a single E isomer.
- m.p. = 170–171 °C (m.p.lit. 169–171 [35])
- 1H NMR (400.13 MHz, DMSO-d6, ppm): 1.35 (t, J = 7.0 Hz, 3H, CH3), 4.07–4.14 (m, 2H, CH2), 6.83–6.89 (m, 2H, H7,Hind), 7.06 (d, J = 8.7 Hz, 2H, H3′,H5′), 7.21 (td, J1 = 7.0 Hz, J2 = 0.7 Hz, 1H, Hind), 7.56 (s, 1H, CH=), 7.65 (d, J = 7.8 Hz, 1H, H4), 7.69 (d, J = 8.7 Hz, 2H, H2′,H6′), 10.55 (br.s, 1H, NH).
- (E,Z)-3-(3,4,5-Trimethoxybenzylidene)-2-oxindole 23
- From 0.100 g (0.8 mmol) of 2-oxindole, 0.143 g (0.8 mmol) of 3,4,5-trimethoxybenzaldehyde and 60 µL (0.7 mmol) of piperidine with ethanol as solvent the yellow powder (0.187 g, 84%) was obtained as a mixture of two isomers. According to 1H NMR stereoisomer ratio is 1.66:1. [36]
- Major isomer 1H NMR (400.13 MHz, DMSO-d6, ppm): 3.89 (s, 6H, CH3), 3.95 (s, 3H, CH3), 6.86–6.95 (m, 2H, Hind), 7.24 (t, J = 7.6 Hz, 1H, Hind), 7.27 (s, 2H, H2′,H6′), 7.79–7.83 (m, 2H, Hind,CH=), 8.13 (br.s, 1H, NH).
- Selected peaks of minor isomer 1H NMR (400.13 MHz, DMSO-d6, ppm): 3.98 (s, 9H, CH3), 6.88 (d, J = 7.7 Hz, 1H, H7) 7.06 (t, J = 7.4 Hz, 1H, Hind), 7.49 (s, 1H, CH=), 7.54 (d, J = 7.5 Hz, 1H, H4), 8.02 (br.s, 1H, NH)
- (E,Z)-3-(3,5-Dimethoxy-4-hydroxybenzylidene)-5-benzoylamino-2-oxindole 26
- From 0.100 g (0.4 mmol) of 5-benzoylamino-oxindole, 0.089 g (0.4 mmol) of 3,5-dimethoxy-4-hydroxybenzaldehyde and 30 µL (0.35 mmol) of piperidine with ethanol as solvent the black powder (0.133 g, 79%) was obtained as a mixture of two isomers. According to 1H NMR stereoisomer ratio is 1.66:1.
- Major isomer, 1H NMR (400.13 MHz, DMSO-d6, ppm): 3.78 (s, 6H, CH3), 5.04 (br.s, 1H, OH), 6.83 (d, J = 8.3 Hz, 1H, H7), 7.05 (s, 2H, H2′,H6′), 7.37–7.59 (m, 4H), 7.87 (d, J = 7.2 Hz, 2H, HAr), 8.06 (s, 1H, CH=), 8.52 (br.s, 1H, H4), 9.51 (br.s, 1H, NH), 10.15 (br.s, 1H, NH);
- Selected signals of minor isomer, 1H NMR (400.13 MHz, DMSO-d6, ppm): 3.72 (s, 6H, CH3), 6.78 (d, J = 8.3 Hz, 1H, H7), 7.01 (s, 2H, H2′,H6′), 7.91 (s, 1H, CH=), 7.96 (d, J = 7.0 Hz, 2H, HAr), 8.02 (s, 1H, H4), 10.13 (br.s, 1H, NH);
- 13C NMR (100.6 MHz, DMSO-d6, ppm): 56.08, 56.15, 108.11, 108.45, 109.93, 111.80, 114.39, 122.00, 122.08, 122.93, 123.81, 127.91, 128.76, 128.79, 131.77, 133.27, 135.39, 135.49, 138.22, 139.03, 148.57, 165.66, 169.89.
- (E,Z)-3-(4-Dimethylaminobenzylidene)-2-oxindole 30
- From 0.100 g (0.8 mmol) of 2-oxindole, 0.12 g (0.8 mmol) of 4-(dimethylamino)benzaldehyde and 60 µL (0.7 mmol) of piperidine with ethanol as solvent the reddish-brown powder (0.107 g, 54%) was obtained as a mixture of two isomers. According to 1H NMR E/Z stereoisomer ratio is 1:1 respectively [30].
- 1H NMR (400.13 MHz, DMSO-d6, ppm): 3.01 (s, 6H, CH3), 3.02 (s, 6H, CH3), 6.70–6.95 (m, 8H), 7.10 (t, J = 7.7 Hz, 1H), 7.17 (t, J = 7.8 Hz, 1H), 7.51 (s, 1H, CH=), 7.57–7.67 (m, 4H), 7.78 (d, J = 7.5 Hz, 1H, H4), 8.44 (d, J = 8.7 Hz, 2H, H2′,H6′)*, 10.54 (br. s, 2H, NH).
- *– Z isomer.
- (E,Z)-3-(4-Fluorobenzylidene)-2-oxindole 33
- From 0.100 g (0.8 mmol) of 2-oxindole, 0.95 g (0.8 mmol) of 4-fluorobenzaldehyde and 60 µL (0.7 mmol) of piperidine with ethanol as solvent yellow powder (0.122 g, 68%) was obtained as a mixture of two isomers. According to 1H NMR E/Z stereoisomer ratio is 2:1, respectively [37].
- E isomer, 1H NMR (400.13 MHz, DMSO-d6, ppm): 6.78–6.89 (m, 2H, H7,Hind), 7.17–7.25 (m, 1H, Hind), 7.27–7.38 (m, 2H, H3′,H5′), 7.49 (d, J = 7.6 Hz, 1H, H4), 7.58 (s, 1H CH=), 7.73–7.75 (m, 2H, H2′,H6′), 10.62 (br. s 1H, NH).
- Selected peaks of Z isomer, 1H NMR (400.13 MHz, DMSO-d6, ppm): 6.98 (t, J = 7.5 Hz, 1H, Hind), 7.69 (d, J = 7.5 Hz, 1H, H4), 7.8 (s, 1H, CH=), 8.45–8.5 (m, 2H, H2′, H6′), 10.66 (br.s, 1H, NH).
- (E,Z)-3-(1-[2-(Methoxycarbonyl)ethyl]-1H-pyrazol-4-ylmethylidene)-2-oxindole 45
- From 0.100 g (0.8 mmol) of 2-oxindole, 0.142 g (0.8 mmol) methyl 3-(4-formyl-1H-pyrazol-1-yl)propanoate and 60 µL (0.7 mmol) of piperidine with ethanol as solvent the yellow powder (0.187 g, 84 %) was obtained as a mixture of two isomers. According to 1H NMR E/Z stereoisomer ratio is 1:3.5, respectively.
- Z isomer, 1H NMR (400.13 MHz, DMSO-d6, ppm): 2.87–2.97 (m, 2H, CH2), 3.59 (s, 3H, CH3), 4.39–4.49 (m, 2H, CH2), 6.81 (d, J = 7.6 Hz, 1H, H7), 6.91–7.00 (m, 1H, Hind), 7.14 (t, J = 7.4 Hz, 1H, Hind), 7.57 (d, J = 7.3 Hz, 1H, H4), 7.67 (s, 1H, CH=), 8.24 (s, 1H, CHpyr), 8.83 (s, 1H, NHpyr), 10.54 (br. s, 1H, NHind).
- Selected peaks of E-isomer, 1H NMR (400.13 MHz, DMSO-d6, ppm): 2.87–2.97 (m, 2H, CH2), 3.59 (s, 3H, CH3), 4.39–4.49 (m, 2H, CH2), 6.86 (d, J = 7.6 Hz, 1H, H7), 7.21 (t, J = 7.6 Hz, 1H, Hind), 7.45 (s, 1H, CH=), 7.82 (d, J = 7.4 Hz, 1H), 8.00 (s, 1H), 8.42 (s, 1H), 10.5 (br. s, 1H, NHind).
- 13C NMR (100.6 MHz, DMSO-d6, ppm): 33.87, 47.31, 51.64, 109.28, 116.98, 118.89, 120.87, 121.77, 124.81, 126.30, 127.82, 134.70, 139.98, 143.53, 167.65, 169.30, 171.10.
- HRMS (ESI), m/z: (M+H) found 298.1178, C16H16N3O3 requires 298.1192, (M+Na) 320.0095 C16H15N3O3Na requires 320.1011.
3.1.2. Influence of solvent on E/Z Isomer Ratio
The general synthesis procedure was used for the synthesis of followed compounds with some variations: 1,4-dioxane or ethyl acetate was used instead of ethanol.
- (E)-3-(2-Pyridinylmethylidene)-2-oxindole (E)-1
- From 0.200 g (1.5 mmol) of 2-oxindole, 0.16 mL (1.5 mmol) of 2-pyridinecarboxaldehyde and 120 µL (1.5 mmol) of piperidine with ethanol as solvent the brown powder (0.109 g, 61%) was obtained as a single E isomer [28].
- 1H NMR (400.13 MHz, DMSO-d6, ppm): 6.84 (d, J = 7.7 Hz, 1H, H7), 6.95 (td, J1 = 7.7 Hz, J2 = 0.9 Hz, 1H, H5), 7.25 (td, J1 = 7.5 Hz, J2 = 1.3 Hz, H6), 7.41 (ddd, J1 = 7.5 Hz, J2 = 4.8 Hz, J3 = 1.1 Hz, 1H, H4′), 7.54 (s, 1H, CH=), 7.82 (d, J = 7.5 Hz, 1H, H6′), 7.90 (td, J1 = 7.7 Hz, J2 = 1.8 Hz, 1H, H5′), 8.4 (d, J = 3.9 Hz, 1H, H3′), 8.98 (d, J = 7.3 Hz, 1H, H4), 10.61 (br.s, 1H, NH).
- (E,Z)-3-(2-Pyridinylmethylidene)-2-oxindole (E,Z)-1
- From 0.100 g (0.8 mmol) of 2-oxindole, 0.08 mL (0.8 mmol) of 2-pyridinecarboxaldehyde and 60 µL (0.7 mmol) of piperidine with 1,4-dioxane as solvent the brown oil (0.145 g, 81%) was obtained as a mixture of two isomers. According to 1H NMR E/Z stereoisomer ratio is 1.3:1 respectively. 1H NMR (DMSO-d6) for E isomer is identical to described above.
- Selected signals of Z-isomer, 1H NMR (400.13 MHz, DMSO-d6, ppm): 7.06 (d, J = 7.9 Hz, 1H, H4), 7.63 (s, 1H, CH=).
- 3-(Hydroxy(pyridin-2-yl)methyl)-2-oxindole 1a
- From 0.100 g (0.8 mmol) of 2-oxindole, 0.08 mL (0.8 mmol) of 2-pyridinecarboxaldehyde and 60 µL (0.7 mmol) of piperidine with ethyl acetate as solvent the beige powder (0.088 g, 49%) was obtained. According to 1H NMR the ratio of two diastereoisomers of 1a and the final condensation product 1 is 6.92:4.17:1 respectively.
- Major isomer, 1H NMR (400.13 MHz, DMSO-d6, ppm): 4.08 (d, J = 2.4 Hz, 1H), 5.33 (dd, J1 = 4.7 Hz, J2 = 1.9 Hz, 1H), 6.62 (t, J = 7.6 Hz, 1H), 6.77 (d, J = 7.7 Hz, 1H), 7.02–7.10 (m, 1H), 7.34 (dd, J1 = 7.2 Hz, J2 = 2.2 Hz, 1H), 7.51 (d, J = 7.8 Hz, 1H), 7.85 (td, J1 = 7.7 Hz, J2 = 1.6 Hz, 1H), 8.62 (d, J = 4.2 Hz, 1H), 10.39 (br.s, 1H)
- Selected peaks of minor isomer 1H NMR (400.13 MHz, DMSO-d6, ppm): 3.96 (d, J = 3.0 Hz, 1H), 5.27 (t, J = 3.5 Hz, 1H), 6.67 (d, J = 7.7 Hz, 1H), 6.83 (t, J = 7.5 Hz, 1H), 7.13 (dd, J1 = 7.1 Hz, J2 = 1.8 Hz, 1H), 7.25 (d, J = 7.3 Hz, 1H), 7.42 (d, J = 8.0 Hz, 1H), 7.66 (td, J1 = 7.8 Hz, J2 = 1.7 Hz, 1H), 8.35 (d, J = 4.1 Hz, 1H), 10.17 (br.s, 1H).
- 1H spectrum also contains signals of 1.
- 13C NMR (100.6 MHz, DMSO-d6, ppm): 57.07, 57.29, 77.74, 78.66, 113.84, 114.22, 125.66, 125.79, 125.91, 127.01, 127.45, 129.06, 129.43, 131.52, 132.66, 133.04, 141.01, 141.75, 148.43, 148.94, 152.96, 153.87, 166.51, 167.34, 181.07, 182.69.
- HRMS (ESI), m/z: (M+H) found 241.0979, C14H13N2O2 requires 241.0977; (M+Na) found 263.0797, C14H12N2O2Na requires 263.0796.
- (E,Z)-3-(4-Hydroxybenzylidene)-2-oxindole (E)-14
- From 0.100 g (0.8 mmol) of 2-oxindole, 0.092 g (0.8 mmol) of 4-hydroxybenzaldehyde and 60 µL (0.7 mmol) of piperidine with ethanol as solvent the yellow powder (0.136 g, 76%) was obtained as a mixture of two isomers. According to 1H NMR E/Z stereoisomeric ratio is 19:1, respectively [29].
- 1H NMR (400.13 MHz, DMSO-d6, ppm): 6.82–6.93 (m, 4H), 7.19 (t, J = 7.6 Hz, 1H, Hind), 7.53 (s, 1H, CH=), 7.61 (d, J = 8.5 Hz, 2H, HAr), 7.69 (d, J = 7.6 Hz, 1H, H4), 10.14 (br.s, 1H, OH), 10.52 (br. s, 1H, NH).
- (E,Z)-3-(4-Hydroxybenzylidene)-2-oxindole (E,Z)-14
- From 0.100 g (0.8 mmol) of 2-oxindole, 0.092 g (0.8 mmol) of 4-hydroxybenzaldehyde and 60 µL (0.7 mmol) of piperidine in 1,4-dioxane or ethyl acetate as solvent the yellow powder was obtained as a mixture of two isomers. Yields: 0.150 g, 84% (1,4-dioxane); 0.109 g, 61% (ethyl acetate). According to 1H NMR E/Z stereoisomeric ratio is 1.75:1, respectively. 1H NMR (400.13 MHz, DMSO-d6, ppm) for E isomer was identical to 14.
- Selected peaks of Z isomer, 1H NMR (400.13 MHz, DMSO-d6, ppm): 6.79 (d, J = 7.6 Hz, 1H, H7), 6.94 (td, J1 = 7.5 Hz, J2 = 0.6 Hz, 1H, Hind), 7.13 (td, J1 = 7.7 Hz, J2 = 0.6 Hz, 1H, Hind), 7.64 (s, 1H, CH=), 8.39 (d, J = 8.7 Hz, 2H, H2′, H6′)
- (E,Z)-3-((5-Ethoxycarbonyl-1H-pyrazol-4-yl)methylidene)-2-oxindole (E,Z)-39
- From 0.100 g (0.8 mmol) of 2-oxindole, 0.134 g (0.8 mmol) of ethyl 4-formyl-1H-pyrazole-5-carboxylate and 60 µL (0.7 mmol) of piperidine with ethanol, 1,4-dioxane or ethyl acetate as solvent the yellow powder was obtained as a mixture of two isomers. Yields: 0.136 g, 76% (ethanol); 0.154 g, 86% (1,4-dioxane); 0.120 g, 67% (ethyl acetate). According to 1H NMR major to minor stereoisomer ratio is 1.6:1 in all solvents [29].
- Major isomer 1H NMR (400.13 MHz, DMSO-d6, ppm): 1.35 (t, J = 7.1 Hz, 3H, CH3), 4.33–4.40 (m, 2H, CH2), 6.5 (m, 1H, H7), 6.99 (td, J1 = 7.5 Hz, J2 = 0.7 Hz, 1H, Hind), 7.17–7.24 (m, 1H, Hind), 7.47 (d, J = 7.5 Hz, 1H, H4), 8.23 (s, 1H, CH=), 9,28 (br.s, 1H, Hpyrazol), 10.64 (s., 1H, NHind).
- Selected peaks of minor isomer 1H NMR (400.13 MHz, DMSO-d6, ppm): 1.27 (t, J = 7.1 Hz, 3H, CH3), 4.25–4.33 (m, 2H, CH2), 6.90 (td, J1 = 7.6 Hz, J2 = 0.9 Hz, 1H), 7.62 (d, J = 7.6 Hz, 1H, H4), 7.82 (s, 1H, CH=), 8.42 (br.s, 1H, Hpyrazol), 10.54 (s, 1H, NHind).
- 3-((3,5-Dimethyl-1-phenyl-1H-pyrazol-4-yl)methylidene)-2-oxindole 44
- From 0.100 g (0.8 mmol) of 2-oxindole, 0.160 g (0.8 mmol) of 3,5-dimethyl-1-phenyl-1H-pyrazole-4-carbaldehyde and 60 µL (0.7 mmol) of piperidine with ethanol, 1,4-dioxane or ethyl acetate as solvent yellow powder was obtained as single isomer. Yields: 0.159 g, 63% (ethanol); 0.157 g, 62% (1,4-dioxane); incomplete conversion of started oxindole (76% conversion) in ethyl acetate. According to 1H NMR a single isomer was obtained in all solvents. [29]
- 1H NMR (400.13 MHz, DMSO-d6, ppm): 2.15–2.22 (m, 6H, CH3), 6.87 (d, J = 7.6 Hz, 1H, H7), 6.92 (td. J1 = 7.6 Hz, J2 = 0.7 Hz, 1H, Hind), 7.07 (d, J = 7.7 Hz, 1H, H4), 7.20 (td, J1 = 7.6 Hz, J2 = 0.8 Hz, 1H, Hind), 7.4–7.48 (m, 2H, Har, CH=), 7.53 (t, J = 7.5 Hz, 2H, Har), 7.57–7.62 (m, 2H, Har), 10.60 (br.s, 1H).
3.1.3. General Procedure for Synthesis of 3-arylidene-2-oxindoles using MW Activation
2-Oxindole (1 eq.) and corresponding carboxaldehyde (1 eq.) were dissolved in 2–3 mL of 1,4-dioxane and 60 µL of piperidine was added. Reaction mixture was subjected to microwave irradiation (260W) for 11.5 min via a repeated process of 0.5–1 min of MW activation followed by a 1–2 min cooldown period. The reaction was carried out until the parent oxindole was no longer detected by TLC. The reaction mixture was cooled down to room temperature.
If the precipitate formed, it was filtered off, washed with ethyl acetate and diethyl ether and dried.
If no precipitate appeared, the solution was concentrated in vacuum and the resulting product was washed with ethyl acetate and diethyl ether and dried. The following compounds were obtained according to this procedure:
- (E,Z)-3-(2-Pyridinylmethylidene)-2-oxindole (E,Z)-1
- From 0.100 g (0.8 mmol) of 2-oxindole, 0.08 mL (0.8 mmol) of 2-pyridinecarboxaldehyde and 60 µL (0.67 mmol) of piperidine the brown oil (0.149 g, 83%) was obtained as a mixture of isomers. According to 1H NMR E:Z stereoisomer ratio is 3.7:1, respectively. 1H NMR signals were identical to described in Section 3.1.2. for 1.
- (E,Z)-3-(4-Hydroxybenzylidene)-2-oxindole (E,Z)-14
- From 0.100 g (0.8 mmol) of 2-oxindole, 0.092 g (0.8 mmol) of 4-hydroxybenzaldehyde and 60 µL (0.67 mmol) of piperidine the yellow powder (0.159 g, 89%) was obtained as a mixture of two isomers. According to 1H NMR E/Z stereoisomer ratio is 1.75:1, respectively. 1H NMR signals were identical to described in Section 3.1.2. for 14.
- (E,Z)-3-((5-Ethoxycarbonyl-1H-pyrazol-4-yl)methylidene)-2-oxindole (E,Z)-39
- From 0.100 g (0.8 mmol) of 2-oxindole, 0.134 g (0.8 mmol) of ethyl 4-formyl-1H-pyrazole-5-carboxylate and 60 µL (0.67 mmol) of piperidine the yellow powder (0.089 g, 50%) was obtained as a mixture of two isomers. According to NMR 1H major to minor stereoisomer ratio is 1.6:1. 1H NMR signals were identical to described in Section 3.1.2. for (E,Z)-39.
- 3-((3,5-Dimethyl-1-phenyl-1H-pyrazol-4-yl)methylidene)-2-oxindole 44
- From 0.100 g (0.8 mmol) of 2-oxindole, 0.160 g (0.8 mmol) of 3,5-dimethyl-1-phenyl-1H-pyrazole-4-carbaldehyde and 60 µL (0.67 mmol) of piperidine the yellow powder was obtained as single isomer 1H NMR signals were identical to described in Section 3.1.2 for 44. According to 1H NMR conversion is 68%.
3.1.4. Synthesis of 3-(pyridin-2-ylmethyl)-5-amino-2-oxindole 47
- To the suspension of 0.146 g (0.6 mmol) 3-(2-pyridinylmethylidene)-5-nitro-2-oxindole and 0.350 g (5.6 mmol) zinc powder in 5 mL of MeOH the 0.6 mL of HCl conc. was rapidly added with vigorous stirring. After 30 min, the reaction was terminated by addition of NaHCO3 and pH was adjusted to 8. The reaction mixture was extracted with EtOAc, organic fraction was dried with Na2SO4 and the solvent was removed under reduced pressure. The compound (0.086 g, 65%) was obtained as brown powder.
- 1H NMR (400.13 MHz, DMSO-d6, ppm): 2.88–3.0 (m, 1H, CH2), 3.28–3.36 (m, 1H, CH2), 3.83–3.90 (m, 1H, CH), 4.51 (br.s, 2H, NH2), 5.98 (s, 1H, H4), 6.33 (dd, J1 = 7.6 Hz, J2 = 1.8 Hz, 1H, H6), 6.49 (d, J = 8.1 Hz, 1H, H7), 7.2–7.26 (m, 2H, Hpy), 7.65–7.72 (td, J1 = 7.7 Hz, J2 = 1.8 Hz, 1H, Hpy), 8.495 (d, J = 4.1 Hz, 1H, H3′), 9.99 (br. s, 1H, NH).
- 13C NMR (100.6 MHz, DMSO-d6, ppm): 38.15, 45.04, 109.46, 111.31, 112.63, 121.76, 123.60, 130.41, 132.34, 136.42, 143.20, 149.03, 158.41, 178.07.
- HRMS (ESI), m/z: (M+H) found 240.1128, C14H14N3O requires 240.1137, (M+Na) found 262.0939, C14H13N3ONa requires 262.0956.
3.2. Biology
3.2.1. NQO2 Assay
The activity of recombinant human NQO2 (Sigma #Q0380, St. Louis, MA, USA) was evaluated kinetically using menadione and N-benzyl-dihydronicotinamide (BNAH) as the substrate and co-substrate, respectively. All reagents and test compounds were dissolved in 50 mM Hepes-KOH (pH 7.4) containing 1 mM of β-octyl-D-glucopyranoside, 0.1 mg/mL BSA and 1 μM FAD. In a 96-well black flat-bottom plate, 50 μL of the test compounds were introduced at a final concentration of 10 μM for primary screening, and a range of final concentrations from 10 nM to 100 μM was used to determine IC50 values. Quercetin was used as a positive control. The solutions of the test compounds were pre-incubated for 5 min with 50 μL of human recombinant NQO2 (final concentration 42 ng/mL). Then, 25 μL of menadione was introduced at a final concentration of 100 μM. The reaction was started with 25 μL of 100 μM BNAH. The fluorescence of the co-substrate BNAH was followed at wavelengths of 370/440 nm at 37 °C using an Infinite M200 Pro microplate reader (Tecan, Grödig, Austria). The fluorescence data was fit according to a one-phase decay nonlinear regression to obtain slope values with Prism 8.0 (GraphPad Inc., San Diego, CA, USA). The activity in sample wells were normalized against negative control and enzyme-blank samples.
3.2.2. Cell Culture
A549 lung carcinoma cells were purchased from the ATCC (CCL-185). The A549 cells were maintained in F12-K (Gibco, Paisley, UK) supplemented with 10% fetal bovine serum (FBS, Gibco, UK), penicillin (100 UI mL−1), streptomycin (100 µg mL−1) and GlutaMax (2 mM, Gibco, UK). All cells line were cultured under a humidified atmosphere of 95% air/5% CO2 at 37 °C. Subconfluent monolayers, in the log growth phase, were harvested by a brief treatment with TrypLE Express solution (Gibco, UK) in phosphate-buffered saline (PBS, Capricorn Scientific, Ebsdorfergrund, Germany) and washed three times in serum-free PBS. The number of viable cells was determined by trypan blue exclusion.
3.2.3. Antiproliferative Assay
The effects of the synthesized compounds on cell viability were determined using the MTT colorimetric test. All examined cells were diluted with the growth medium to 3.5 × 104 cells per mL and the aliquots (7 × 103 cells per 200 μL) were placed in individual wells in 96-multiplates (Eppendorf, Germany) and incubated for 24 h. The next day the cells were treated with the synthesized compounds separately at various concentrations for the determination of CC50 and incubated for 72 h at 37 °C in a 5% CO2 atmosphere. After incubation, the cells were then treated with 40 μL MTT solution (3-(4,5-dimethylthiazol-2-yl)-2,5-diphenyltetrazolium bromide, 5 mg mL−1 in PBS) and incubated for 4 h. After an additional 4 h incubation, the medium with MTT was removed and DMSO (150 μL) was added to dissolve the formazan crystals. The plates were shaken for 10 min. The optical density of each well was determined at 560 nm using a microplate reader GloMax Multi+ (Promega, Madison, WI, USA). Each of the tested compounds was evaluated for cytotoxicity in three separate experiments.
3.3. In Silico Studies
The in silico studies were carried out according to the standard algorithms of the Schrodinger software package and our previous work [38].
4. Conclusions
The synthesis and study of 3-arylidene-2-oxindoles as novel NRH:quinone oxidoreductase 2 inhibitors was performed. It was shown that the E-isomer was the predominant product in the synthesis of 3-benzylidene and 3-(pyridylmethylidene) derivatives, while for pyrazole-4-carbaldehyde derivatives, the Z-isomer sometimes predominated. An NMR criterion for determining the (E/Z)-configuration of 3-(pyridin-2-ylmethylidene)-2-oxindoles was proposed. It was shown that for E-isomers, the signals of protons in the 4th position of the oxindole ring are characteristic in the 1H NMR spectra and lie in the region of 8.9–10 ppm. The molecular modeling of binding to the active site of NQO2 demonstrated that both the E- and Z-isomers are capable of π–π stacking with the FAD cofactor and are located in the active site of the enzyme similar to MCA-NAT (a selective inhibitor of NQO2). The presence of hydroxy groups in the arylidene moiety and the introduction of a methyl group to the oxindole nitrogen led to an increase in binding affinity. The most active compounds 15, 17, 18, 24, and 39 inhibited NQO2 with IC50 values of 0.37–0.62 µM. No correlation was observed between the enzymatic inhibition activity and the cytotoxicity of 2-oxindole derivatives, so further investigation is required.
Supplementary Materials
The following supporting information can be downloaded at: www.mdpi.com/article/10.3390/molecules28031174/s1, Figures S1–S20: 1H and 13C NMR spectra of synthesized compounds; Figures S21 and S22: concentration dependence of inhibition activity for the most active compounds and Michaelis–Menten kinetic study for compound 15; Figure S23: docking simulation for compound 24; Table S1: docking score for most active compounds 15,17,18,24, and 39.
Author Contributions
Conceptualization, N.A.L. and S.E.S.; methodology, D.A.B. and N.A.L.; validation, D.R.B., E.N.B., M.D., D.D.M. and S.E.S.; investigation, E.N.B., M.D., D.D.M., V.G.K., O.B.G., E.V.S. and A.S.B.; resources, A.A.S.; data curation, D.A.B., N.A.L.; writing—original draft preparation, E.N.B. and N.A.L.; writing—review and editing, D.A.B., A.S.B., N.A.L. and S.E.S.; supervision, S.E.S.; project administration, N.A.L., S.E.S. and A.A.S.; funding acquisition, S.E.S. All authors have read and agreed to the published version of the manuscript.
Funding
This research was funded by the Russian Science Foundation, grant number 22-23-20141 (Moscow region).
Institutional Review Board Statement
Not applicable.
Informed Consent Statement
Not applicable.
Data Availability Statement
The data presented in this study are available on request from the corresponding authors.
Conflicts of Interest
The authors declare no conflict of interest.
References
- Rashid, M.H.; Babu, D.; Siraki, A.G. Interactions of the Antioxidant Enzymes NAD(P)H: Quinone Oxidoreductase 1 (NQO1) and NRH: Quinone Oxidoreductase 2 (NQO2) with Pharmacological Agents, Endogenous Biochemicals and Environmental Contaminants. Chem. Interact. 2021, 345, 109574. [Google Scholar] [CrossRef] [PubMed]
- Miettinen, T.P.; Björklund, M. NQO2 Is a Reactive Oxygen Species Generating Off-Target for Acetaminophen. Mol. Pharm. 2014, 11, 4395–4404. [Google Scholar] [CrossRef] [PubMed]
- Hashimoto, T.; Nakai, M. Increased Hippocampal Quinone Reductase 2 in Alzheimer’s Disease. Neurosci. Lett. 2011, 502, 10–12. [Google Scholar] [CrossRef] [PubMed]
- Chen, D.; Li, X.; Liu, X.; Liu, X.; Jiang, X.; Du, J.; Wang, Q.; Liang, Y.; Ma, W. NQO2 Inhibition Relieves Reactive Oxygen Species Effects on Mouse Oocyte Meiotic Maturation and Embryo Development. Biol. Reprod. 2017, 97, 598–611. [Google Scholar] [CrossRef] [PubMed]
- Janda, E.; Nepveu, F.; Calamini, B.; Ferry, G.; Boutin, J.A. Molecular Pharmacology of NRH:Quinone Oxidoreductase 2: A Detoxifying Enzyme Acting as an Undercover Toxifying Enzyme. Mol. Pharmacol. 2020, 98, 620–633. [Google Scholar] [CrossRef]
- Cassagnes, L.E.; Chhour, M.; Pério, P.; Sudor, J.; Gayon, R.; Ferry, G.; Boutin, J.A.; Nepveu, F.; Reybier, K. Oxidative Stress and Neurodegeneration: The Possible Contribution of Quinone Reductase 2. Free Radic Biol. Med. 2018, 120, 56–61. [Google Scholar] [CrossRef]
- Benoit, C.E.; Bastianetto, S.; Brouillette, J.; Tse, Y.C.; Boutin, J.A.; Delagrange, P.; Wong, T.P.; Sarret, P.; Quirion, R. Loss of Quinone Reductase 2 Function Selectively Facilitates Learning Behaviors. J. Neurosci. 2010, 30, 12690–12700. [Google Scholar] [CrossRef]
- Kadnikov, I.A.; Voronkov, D.N.; Voronin, M.V.; Seredenin, S.B. Analysis of Quinone Reductase 2 Implication in Mechanism of Antiparkinsonian Action of Afobazole. Neurochem. J. 2020, 14, 227–234. [Google Scholar] [CrossRef]
- Voronin, M.V.; Kadnikov, I.A.; Zainullina, L.F.; Logvinov, I.O.; Verbovaya, E.R.; Antipova, T.A.; Vakhitova, Y.V.; Seredenin, S.B. Neuroprotective Properties of Quinone Reductase 2 Inhibitor M-11, a 2-Mercaptobenzimidazole Derivative. Int. J. Mol. Sci. 2021, 22, 13061. [Google Scholar] [CrossRef]
- Chhour, M.; Aubouy, A.; Bourgeade-Delmas, S.; Pério, P.; Ternet-Fontebasso, H.; Haidara, M.; Ferry, G.; Nepveu, F.; Boutin, J.A.; Reybier, K. Antimalarial Properties of Dunnione Derivatives as NQO2 Substrates. Molecules 2019, 24, 3697. [Google Scholar] [CrossRef]
- Chesnokova, N.B.; Beznos, O.V.; Lozinskaya, N.A.; Volkova, M.S.; Zaryanova, E.V.; Zefirov, N.S.; Grigoryev, A.V. Novel Agonists of Melatonin Receptors as Promising Hypotensive and Neuroprotective Agents for Therapy of Glaucoma. Biochem. (Moscow) Suppl. Ser. B Biomed. Chem. 2017, 11, 272–278. [Google Scholar] [CrossRef]
- Mamoor, S. NQO2 Is Differentially Expressed in the Blood of Patients with Coronavirus Co-Infections. OSF Prepr. 2020. [Google Scholar] [CrossRef]
- Zhang, J.; Zhou, Y.; Li, N.; Liu, W.T.; Liang, J.Z.; Sun, Y.; Zhang, W.X.; Fang, R.D.; Huang, S.L.; Sun, Z.H.; et al. Curcumol Overcomes TRAIL Resistance of Non-Small Cell Lung Cancer by Targeting NRH:Quinone Oxidoreductase 2 (NQO2). Adv. Sci. 2020, 7, 2002306. [Google Scholar] [CrossRef]
- Dorai, T.; Shah, A.; Summers, F.; Mathew, R.; Huang, J.; Hsieh, T.; Wu, J.M. NRH:Quinone Oxidoreductase 2 (NQO2) and Glutaminase (GLS) Both Play a Role in Large Extracellular Vesicles (LEV) Formation in Preclinical LNCaP-C4-2B Prostate Cancer Model of Progressive Metastasis. Prostate 2018, 78, 1181–1195. [Google Scholar] [CrossRef]
- Kwang, S.A.; Gong, X.; Sethi, G.; Chaturvedi, M.M.; Jaiswal, A.K.; Aggarwal, B.B. Deficiency of NRH:Quinone Oxidoreductase 2 Differentially Regulates TNF Signaling in Keratinocytes: Up-Regulation of Apoptosis Correlates with down-Regulation of Cell Survival Kinases. Cancer Res. 2007, 67, 10004–10011. [Google Scholar] [CrossRef]
- Hussein, B.; Ikhmais, B.; Kadirvel, M.; Magwaza, R.N.; Halbert, G.; Bryce, R.A.; Stratford, I.J.; Freeman, S. Discovery of Potent 4-Aminoquinoline Hydrazone Inhibitors of NRH:Quinoneoxidoreductase-2 (NQO2). Eur. J. Med. Chem. 2019, 182, 111649. [Google Scholar] [CrossRef]
- Alnabulsi, S.; Santina, E.; Russo, I.; Hussein, B.; Kadirvel, M.; Chadwick, A.; Bichenkova, E.V.; Bryce, R.A.; Nolan, K.; Demonacos, C.; et al. Non-Symmetrical Furan-Amidines as Novel Leads for the Treatment of Cancer and Malaria. Eur. J. Med. Chem. 2016, 111, 33–45. [Google Scholar] [CrossRef]
- Yerer, M.B.; Demirpolat, E.; Cumaoğlu, A.; Torçuk, C.; İmamoğlu, N.N.; Koşar, M. Comparison of Natural NQO2 Inhibitors as a New Target for Cancer Treatment in Different Cell Lines. Turk. J. Biochem. 2015, 40, 224–233. [Google Scholar] [CrossRef]
- Knox, R.J.; Jenkins, T.C.; Hobbs, S.M.; Chen, S.; Melton, R.G.; Burke, P.J. Bioactivation of 5-(Aziridin-1-Yl)-2,4-Dinitrobenzamide (CB 1954) by Human NAD(P)H Quinone Oxidoreductase 2: A Novel Co-Substrate-Mediated Antitumor Prodrug Therapy. Cancer Res. 2000, 60, 4179–4186. [Google Scholar]
- Gong, X.; Kole, L.; Iskander, K.; Jaiswal, A.K. NRH:Quinone Oxidoreductase 2 and NAD(P)H:Quinone Oxidoreductase 1 Protect Tumor Suppressor P53 against 20S Proteasomal Degradation Leading to Stabilization and Activation of P53. Cancer Res. 2007, 67, 5380–5388. [Google Scholar] [CrossRef]
- Gaikwad, N.W.; Yang, L.; Rogan, E.G.; Cavalieri, E.L. Evidence for NQO2-Mediated Reduction of the Carcinogenic Estrogen Ortho-Quinones. Free Radic. Biol. Med. 2009, 46, 253–262. [Google Scholar] [CrossRef] [PubMed]
- Boutin, J.A.; Ferry, G. Is There Sufficient Evidence That the Melatonin Binding Site MT3 Is Quinone Reductase 2? J. Pharmacol. Exp. Ther. 2019, 368, 59–65. [Google Scholar] [CrossRef] [PubMed]
- Boutin, J.A. Quinone Reductase 2 as a Promising Target of Melatonin Therapeutic Actions. Expert Opin. Ther. Targets 2016, 20, 303–317. [Google Scholar] [CrossRef] [PubMed]
- Reddy, P.V.N.; Jensen, K.C.; Mesecar, A.D.; Fanwick, P.E.; Cushman, M. Design, Synthesis, and Biological Evaluation of Potent Quinoline and Pyrroloquinoline Ammosamide Analogues as Inhibitors of Quinone Reductase 2. J. Med. Chem. 2012, 55, 367–377. [Google Scholar] [CrossRef] [PubMed]
- Dunstan, M.S.; Barnes, J.; Humphries, M.; Whitehead, R.C.; Bryce, R.A.; Leys, D.; Stratford, I.J.; Nolan, K.A. Novel Inhibitors of NRH:Quinone Oxidoreductase 2 (NQO2): Crystal Structures, Biochemical Activity, and Intracellular Effects of Imidazoacridin-6-Ones. J. Med. Chem. 2011, 54, 6597–6611. [Google Scholar] [CrossRef]
- Alnabulsi, S.; Hussein, B.; Santina, E.; Alsalahat, I.; Kadirvel, M.; Magwaza, R.N.; Bryce, R.A.; Schwalbe, C.H.; Baldwin, A.G.; Russo, I.; et al. Evaluation of Analogues of Furan-Amidines as Inhibitors of NQO2. Bioorg. Med. Chem. Lett. 2018, 28, 1292–1297. [Google Scholar] [CrossRef]
- Volkova, M.S.; Jensen, K.C.; Lozinskaya, N.A.; Sosonyuk, S.E.; Proskurnina, M.V.; Mesecar, A.D.; Zefirov, N.S. Synthesis of Novel MT3 Receptor Ligands via an Unusual Knoevenagel Condensation. Bioorg. Med. Chem. Lett. 2012, 22, 7578–7581. [Google Scholar] [CrossRef]
- Lozinskaya, N.A.; Babkov, D.A.; Zaryanova, E.V.; Bezsonova, E.N.; Efremov, A.M.; Tsymlyakov, M.D.; Anikina, L.V.; Zakharyascheva, O.Y.; Borisov, A.V.; Perfilova, V.N.; et al. Synthesis and Biological Evaluation of 3-Substituted 2-Oxindole Derivatives as New Glycogen Synthase Kinase 3β Inhibitors. Bioorg. Med. Chem. 2019, 27, 1804–1817. [Google Scholar] [CrossRef]
- Klochkov, V.G.; Bezsonova, E.N.; Dubar, M.; Melekhina, D.D.; Temnov, V.V.; Zaryanova, E.V.; Lozinskaya, N.A.; Babkov, D.A.; Spasov, A.A. Towards Multi-Target Antidiabetic Agents: In Vitro and in Vivo Evaluation of 3,5-Disubstituted Indolin-2-One Derivatives as Novel α-Glucosidase Inhibitors. Bioorg Med. Chem. Lett. 2022, 55, 128449. [Google Scholar] [CrossRef]
- Sun, L.; Tran, N.; Tang, F.; App, H.; Hirth, P.; Mcmahon, G.; Tang, C. Synthesis and Biological Evaluations of 3-Substituted Indolin-2-Ones: A Novel Class of Tyrosine Kinase Inhibitors That Exhibit Selectivity toward Particular Receptor Tyrosine Kinases. J. Med. Chem. 1998, 41, 2588–2603. [Google Scholar] [CrossRef]
- Buryanovskyy, L.; Fu, Y.; Boyd, M.; Ma, Y.; Hsieh, T.C.; Wu, J.M.; Zhang, Z. Crystal Structure of Quinone Reductase 2 in Complex with Resveratrol. Biochemistry 2004, 43, 11417–11426. [Google Scholar] [CrossRef]
- Wu, K.; Knox, R.; Sun, X.Z.; Joseph, P.; Jaiswal, A.K.; Zhang, D.; Deng, P.S.K.; Chen, S. Catalytic Properties of NAD(P)H:Quinone Oxidoreductase-2 (NQO2), a Dihydronicotinamide Riboside Dependent Oxidoreductase. Arch. Biochem. Biophys. 1997, 347, 221–228. [Google Scholar] [CrossRef]
- Pegan, S.D.; Sturdy, M.; Ferry, G.; Delagrange, P.; Boutin, J.A.; Mesecar, A.D. X-Ray Structural Studies of Quinone Reductase 2 Nanomolar Range Inhibitors. Protein Sci. 2011, 20, 1182–1195. [Google Scholar] [CrossRef]
- Jiang, X.; Zheng, C.; Lei, L.; Lin, K.; Yu, C. Synthesis of 2-Oxindoles from Substituted Indoles by Hypervalent-Iodine Oxidation. Eur. J. Org. Chem. 2018, 2018, 1437–1442. [Google Scholar] [CrossRef]
- Delong, W.; Lanying, W.; Yongling, W.; Shuang, S.; Juntao, F.; Xing, Z. Natural α-Methylenelactam Analogues: Design, Synthesis and Evaluation of α-Alkenyl-γ and δ-Lactams as Potential Antifungal Agents against Colletotrichum Orbiculare. Eur. J. Med. Chem. 2017, 130, 286–307. [Google Scholar] [CrossRef]
- Kaur, H.; Singh, P. Rationally Designed Molecules for Resurgence of Cyanide Mitigated Cytochrome c Oxidase Activity. Bioorg. Chem. 2019, 82, 229–240. [Google Scholar] [CrossRef]
- Kniess, T.; Bergmann, R.; Kuchar, M.; Steinbach, J.; Wuest, F. Synthesis and Radiopharmacological Investigation of 3-[4′-[18F]Fluorobenzylidene]Indolin-2-One as Possible Tyrosine Kinase Inhibitor. Bioorg. Med. Chem. 2009, 17, 7732–7742. [Google Scholar] [CrossRef]
- Bazanov, D.R.; Pervushin, N.V.; Savin, E.V.; Tsymliakov, M.D.; Maksutova, A.I.; Savitskaya, V.Y.; Sosonyuk, S.E.; Gracheva, Y.A.; Seliverstov, M.Y.; Lozinskaya, N.A.; et al. Synthetic Design and Biological Evaluation of New P53-MDM2 Interaction Inhibitors Based on Imidazoline Core. Pharmaceuticals 2022, 15, 444. [Google Scholar] [CrossRef]
Disclaimer/Publisher’s Note: The statements, opinions and data contained in all publications are solely those of the individual author(s) and contributor(s) and not of MDPI and/or the editor(s). MDPI and/or the editor(s) disclaim responsibility for any injury to people or property resulting from any ideas, methods, instructions or products referred to in the content. |
© 2023 by the authors. Licensee MDPI, Basel, Switzerland. This article is an open access article distributed under the terms and conditions of the Creative Commons Attribution (CC BY) license (https://creativecommons.org/licenses/by/4.0/).























